| Р.А. Олимов, И.В. Кирилин Норильский индустриальный институт
Известно, что под математической моделью элемента схемы электро-снабжения понимается совокупность математических уравнений, их коэффициентов и неравенств, описывающих определенное состояние или процессы в элементе. Универсальных математических моделей элементов, в полной мере отражающих процессы, происходящие в них, не существует. Поэтому в модели обычно выделяют те свойства элемента, которые доминируют в рассматриваемом процессе, и пренебрегают свойствами, мало влияющими на результат расчетов. Однако для повышения точности расчетов по возможности следует учитывать влияние, даже, казалось бы, несущественных изменений величин, принимаемых при моделировании неизменными.
В сетях общего промышленного назначения согласно ГОСТ 13109-97 до-пускается эксплуатировать электро-установки в течение длительного времени (95% каждых суток (22 ч 48 мин)) при отклонениях напряжения (±5%) и в те-чение остальных 5% (1 ч 12 мин) – при отклонениях ±10%. Систематические отклонения напряжения, превышающие нормированные align=«center»значения по величине и длительности, характерны, в частности, для локальных энергосистем, напри-мер, для Норильской энергосистемы. Несмотря на низкий коэффициент мощно-сти потребителей промышленных предприятий Норильской горной компании, среднеэксплуатационные уровни напряжений в сети 110 кВ энергосистемы поддерживаются на достаточно высоком уровне (117 – 122 кВ). Это объясняет-ся малой протяженностью системообразующих и тупиковых линий. Напряжения на шинах низшего напряжения трансформаторных подстанций также часто превышают номинальные значения на 5-10%. Причиной этого является отсут-ствие встречного регулирования напряжения на трансформаторах главных по-низительных подстанций (при наличии устройств РПН). Последнее обстоятель-ство обусловлено суровыми климатическими условиями эксплуатации трансформаторов на площадках открытых распределительных устройств и отсутствием нормативной численности персонала. Рассмотрим, каким образом можно учесть отклонения напряжения при разработке математической модели синхронного двигателя для определения его возможностей как источника реактивной мощности.
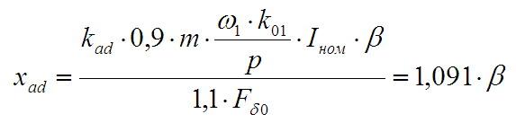
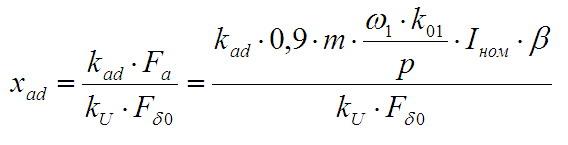
Увеличение напряжения приводит к росту намагничивающего тока двигателя со стороны статора и снижению индуктивного сопротивления взаимной индукции по продольной оси двигателя по сравнению с номинальным режимом
(1)
здесь коэффициент, вводимый для перехода от намагничивающей силы обмотки якоря к намагничивающей силе обмотки возбуждения; – магнитная индукция в зазоре; – число последовательно соединенных витков, которым при данном магнитном потоке определяется значение ЭДС в фазе обмотки; — обмоточный коэффициент; — относительное значение напряжения.
С уменьшением значения снижается и сопротивление . Это в свою очередь, вызывает [1] непропорциональное снижение тока возбуждения (2)
(2)
где , — относительные нагрузки статора соответственно по активной и реактивной мощности; — сопротивление двигателя по продоль-ной оси, соответствующее насыщению магнитной цепи при холостом ходе и номинальном напряжении статора.
Для синхронных электродвигателей типа СДС-19-56-40, используемых для привода шаровых мельниц (ШМ) обогатительных фабрик Норильской гор-ной компании согласно (2), увеличение напряжения на 10% приводит к сле-дующей зависимости составляющей индуктивного сопротивления двигателя по продольной оси полюсов от загрузки двигателей активной мощностью [2]

здесь – магнитное напряжение воздушного зазора при напряжении, рав-ном .
Тогда при характерной загрузке синхронных двигателей ШМ активной мощностью значения будут изменяться в пределах 0,903÷1,066 (синхронное реактивное сопротивление рассеяния двигателя определено в [2]).
С учетом того, что двигатели ШМ как источники реактивной мощности практически не используются и эксплуатируются с (из-за величины по-терь активной мощности в них, превышающей потери на передачу той же реак-тивной мощности от генераторов системы), токи возбуждения, определенные по (2) необходимо поддерживать в пределах 0,878÷0,923 от номинального значения.
При работе синхронных двигателей ШМ с номинальным напряжением на зажимах и той же характерной загрузке активной мощностью значения сопротивления будут находиться в пределах 0,979÷1,159 , т.е. будут отличаться от определенных ранее примерно на 10%. Ток возбуждения при этом необходимо поддерживать примерно равными 0,489÷0,917 – номинального значения.
Таким образом, при загрузке двигателей активной мощностью погрешность расчета тока возбуждения без учета превышения напряжения пи-тающей сети составляет более 40%.
Список литературы
1. Сыромятников И. А. Режимы работы асинхронных и синхронных двигателей // Под ред. Л. Г. Мамиконянца. 4-е изд., перераб. и доп. М.: Энергоатомиздат, 1984.
2. Кирилина О. И. Определение параметров синхронных двигателей // Промышленная энергетика. 2003. № 1. C. 27–31.
|