Банк рефератов содержит более 364 тысяч рефератов, курсовых и дипломных работ, шпаргалок и докладов по различным дисциплинам: истории, психологии, экономике, менеджменту, философии, праву, экологии. А также изложения, сочинения по литературе, отчеты по практике, топики по английскому.
Полнотекстовый поиск
Всего работ:
364139
Теги названий
Разделы
Авиация и космонавтика (304)
Административное право (123)
Арбитражный процесс (23)
Архитектура (113)
Астрология (4)
Астрономия (4814)
Банковское дело (5227)
Безопасность жизнедеятельности (2616)
Биографии (3423)
Биология (4214)
Биология и химия (1518)
Биржевое дело (68)
Ботаника и сельское хоз-во (2836)
Бухгалтерский учет и аудит (8269)
Валютные отношения (50)
Ветеринария (50)
Военная кафедра (762)
ГДЗ (2)
География (5275)
Геодезия (30)
Геология (1222)
Геополитика (43)
Государство и право (20403)
Гражданское право и процесс (465)
Делопроизводство (19)
Деньги и кредит (108)
ЕГЭ (173)
Естествознание (96)
Журналистика (899)
ЗНО (54)
Зоология (34)
Издательское дело и полиграфия (476)
Инвестиции (106)
Иностранный язык (62791)
Информатика (3562)
Информатика, программирование (6444)
Исторические личности (2165)
История (21319)
История техники (766)
Кибернетика (64)
Коммуникации и связь (3145)
Компьютерные науки (60)
Косметология (17)
Краеведение и этнография (588)
Краткое содержание произведений (1000)
Криминалистика (106)
Криминология (48)
Криптология (3)
Кулинария (1167)
Культура и искусство (8485)
Культурология (537)
Литература : зарубежная (2044)
Литература и русский язык (11657)
Логика (532)
Логистика (21)
Маркетинг (7985)
Математика (3721)
Медицина, здоровье (10549)
Медицинские науки (88)
Международное публичное право (58)
Международное частное право (36)
Международные отношения (2257)
Менеджмент (12491)
Металлургия (91)
Москвоведение (797)
Музыка (1338)
Муниципальное право (24)
Налоги, налогообложение (214)
Наука и техника (1141)
Начертательная геометрия (3)
Оккультизм и уфология (8)
Остальные рефераты (21692)
Педагогика (7850)
Политология (3801)
Право (682)
Право, юриспруденция (2881)
Предпринимательство (475)
Прикладные науки (1)
Промышленность, производство (7100)
Психология (8692)
психология, педагогика (4121)
Радиоэлектроника (443)
Реклама (952)
Религия и мифология (2967)
Риторика (23)
Сексология (748)
Социология (4876)
Статистика (95)
Страхование (107)
Строительные науки (7)
Строительство (2004)
Схемотехника (15)
Таможенная система (663)
Теория государства и права (240)
Теория организации (39)
Теплотехника (25)
Технология (624)
Товароведение (16)
Транспорт (2652)
Трудовое право (136)
Туризм (90)
Уголовное право и процесс (406)
Управление (95)
Управленческие науки (24)
Физика (3462)
Физкультура и спорт (4482)
Философия (7216)
Финансовые науки (4592)
Финансы (5386)
Фотография (3)
Химия (2244)
Хозяйственное право (23)
Цифровые устройства (29)
Экологическое право (35)
Экология (4517)
Экономика (20644)
Экономико-математическое моделирование (666)
Экономическая география (119)
Экономическая теория (2573)
Этика (889)
Юриспруденция (288)
Языковедение (148)
Языкознание, филология (1140)

Реферат: Расчет показателей разработки элемента трехрядной системы

Название: Расчет показателей разработки элемента трехрядной системы
Раздел: Рефераты по технологии
Тип: реферат Добавлен 03:25:55 02 сентября 2005 Похожие работы
Просмотров: 695 Комментариев: 23 Оценило: 6 человек Средний балл: 4 Оценка: 4     Скачать

ведение……………………………………………………………………………………………….1

2. Геологическая характеристика месторождения

2.1 Нефтеносность…………………………………………………………………………………. 5

2.2 Характеристика продуктивных пластов……………………………………………………... 6

2.3 Физико-химические свойства пластовых флюидов…………………………………………..8

2.4 Особенности разработки Приобского месторождения……………………………………….9

2.5 Геолого-физические критерии применимости различных методов воздействия на Приобском месторождении………………………………………………………………… 11

3. Заводнение пластов…………………………………………………………………………… 12

4. Расчет показателей разработки месторождения при трехрядной схеме расположения скважин……………………………………………………………………………………………..16

4.1 Методика расчета дебитов воды и нефти в элементе трехрядной системы разработки……………………………………………………………………………….. 17

4.2 Расчет показателей разработки элемента трехрядной системы………………………….. 17

4.3 Определение показателей разработки месторождения…………………………………….20

5. Список литературы…………………………………………………………………………….. 25

1. Введение

В отечественной и зарубежной практике разработки нефтяных месторождений широко используются различные методы воздействия на пласт, различающиеся механизмами воздействия на пласты и используемыми рабочими агентами. Наиболее распространенными методами воздействия являются:

заводнение (включая различные гидродинамические методы воздействия);

разновидности заводнения с использованием химических реагентов (физико-химические методы воздействия):

полимерное,

с применением ПАВ,

мицеллярное,

щелочное,

растворами кислот,

агентами на спиртовой основе,

агентами на других основах,

карбонизированной водой,

заводнение с потокоотклоняющими технологиями на основе химических

реагентов;

газовые методы:

смешивающиеся вытеснение нефти углеводородными газами, несмещивающиеся вытеснение нефти углеводородными газами, вытеснение нефти неуглеводородными газами, водогазовая репрессия;

нагнетание оторочек жидких растворителей, тепловые методы;

нагнетание пара, нагнетание горячей воды, внутрипластовое горение.

микробиологические методы.

Выбор метода воздействия на нефтяные залежи определяется рядом факторов, наиболее существенными из которых являются геолого-физические характеристики залежей, технологические возможности осуществления метода на данном месторождении и экономические

критерии. Перечисленные выше методы воздействия на пласт имеют многочисленные модификации и, в своей основе, базируются на огромном наборе составов используемых рабочих агентов. Поэтому при анализе существующих методов воздействия имеет смысл, в первую очередь, использовать опыт разработки месторождений Западной Сибири,- а также месторождений других регионов с аналогичными Приобскому месторождению свойствами коллекторов (в первую очередь низкую проницаемость коллекторов) и пластовых флюидов.

2. Геологическая характеристика месторождения 2.1 Нефтеносность

На Приобском месторождении этаж нефтеносности охватывает значительные по толщине отложения осадочного чехла от среднеюрского до аптского возраста и составляет более 2,5км. Непромышленные притоки нефти и керн с признаками углеводородов получены из отложений тюменской (пласты K)i и Юз) и баженовской (пласт Юо) свит. Из-за ограниченного числа имеющихся геолого-геофизических материалов, строение залежей к настоящему времени не достаточно обосновано.

Промышленная нефтеносность установлена в неокомских пластах группы АС, где сосредоточено 90% разведанных запасов. Основные продуктивные пласты заключены между пимской и быстринской пачками глин. Залежи приурочены к линзовидным песчаным телам, сформировавшихся в

шельфовых и клиноформных отложениях неокома, продуктивность которых не контролируется современным структурным планом и определяется практически только наличием в разрезе продуктивных пластов-коллекторов. Отсутствие при многочисленных испытаниях в продуктивной части разреза пластовой воды доказывает, что залежи нефти, связанные с пластами этих пачек, представляют собой замкнутые линзовидные тела, полностью заполненные нефтью, а контуры залежей для каждого песчаного пласта определяются границами его распространения. Исключение составляет пласт АС7, где получены притоки пластовой воды из песчаных линз, заполненных водой.

В составе продуктивных неокомских отложений выделено 9 подсчетных объектов: AC12 3, АС12 2, АС11 2-4, АС11 1, АС11 0, АС10 1-2, АС10 0, АС9 , АС7 . Залежи пластов АС 7 , АС9 промышленного интереса не представляют.

2.2 Характеристика продуктивных пластов

Основные запасы нефти на Приобском месторождении сосредоточены в отложения неокомского возраста. Особенностью геологического строения залежей, связанных с неокомскими породами является то, что они имеют мегакосослоистое строение, обусловленное формированием их в условиях бокового заполнения достаточно глубоководного морского бассейна (300-400м) за счёт выноса обломочного терригенного материала с востока и юго-востока. Формирование неокомского мегакомплекса осадочных пород происходило в целой серии палеогеографических условий: котинентального осадконакопления, прибрежно-морского, шельфового и очень замедленного осаждения осадков в открытом глубоком море.

По мере продвижения с востока на запад происходит наклон (по отношению к баженовской свите, являющейся региональным репером) как глинистых выдержанных пачек (зонального репера), так и содержащихся между ними песчано-алевролитных пород.

Согласно определениям, выполненным специалистами ЗапСибНИГНИ по фауне и споропыльце, отобранным из глин в интервале залегания* пимской пачки, возраст этих отложений оказался готеривским. Все пласты, что находятся выше пимской пачки. Проиндексированы как группа АС, поэтому и на Приобском месторождении пласты BCi.5 были переиндексированы на АС7-12 .

При подсчёте запасов в составе мегакомплекса продуктивных неокомских отложений выделено 11 продуктивных пластов: АС12/3, АС12/1-2, АС12/0, АС11/2-4, АС11/1,

Сводная таблица параметров продуктивных пластов в пределах

эксплуатационного участка.

Пласт

Средняя

глубина

Средняя толщина

Открытая пористость. %

Нефтенасыщенность. %

Коэффициент песчанистости

Расчлененность

Общая, М

Эффект, М

АС10 0

2529

10,2

1,9

17,6

60,4

0,183

1,8

АС10 1 -2

2593

66,1

13,4

18,1

71,1

0,200

10,5

AC10 0

2597

20,3

1,9

17,2

57,0

0,091

2,0

AC10 1-2

2672

47,3

6,4

17.6

66,6

0,191

6:1

AC11 0

2716

235,3

4,9

17,6

67,2

0,183

4,5

AC 11 1

2752

26,7

4,0

17,7

67,5

0,164

3,3

AC12 3-4

2795

72,8

12,8

18,0

69,8

0,185

9,3

2.3 Физико-химические свойства пластовых флюидов

Пластовые нефти по продуктивным пластам АС 10, АС 11 и АС 12 не имеют значительных различий по своим свойствам. Характер изменения физических свойств нефтей является типичным для залежей, не имеющих выхода на поверхность и окружённых краевой водой. В пластовых условиях нефти средней газонасыщенности, давление насыщения в 1,5 -2 раза нижепластового ( высокая степень пережатия).

Экспериментальные данные об изменчивости нефтей по разрезуэксплуатационных объектов месторождения свидетельствуют онезначительной неоднородности нефти в пределах залежей.

Нефти пластов АС 10, АС 11, и АС 12 близки между собой, более лёгкая нефть в пласте АС 11, молярная доля метана в ней 24,56%, суммарное содержание углеводородов С2Н6 -С5Н12 - 19,85%. Для нефтей всех пластов характерно преобладание нормальных бутана и пентана над изомерами.

Количество лёгких углеводородов СН4 - С5Н12 , растворённых в разгазированных нефтях, составляет 8,2-9,2%. Нефтяной газ стандартной сепарации высокожирный (коэффициент жирности более 50), молярная доля метана в нём составляет 56,19(пластАС 10)- 64,29(пластАС12). Количество этана намного меньше, чем пропана, отношение С2Н6 /СЗН8 равно 0,6, что характерно для газов нефтяных залажей. Суммарное содержание бутанов 8,1-9,6%, пентанов 2,7-3,2%, тяжелых углеводородов С6Н14 + высшие 0,95-1,28%. Количество диоксида углерода и азота невелико, около 1%.

Разгазированные нефти всех пластов сернистые, парафинистые, малосмолистые, средней плотности.

Нефть пласта АС 10 средней вязкости , с содержанием фракций до 350_С больше 55%, нефти пластов АС 11 и АС 12 вязкие, с содержанием фракций до 350 С от 45% до 54,9%.

Технологический шифр нефтей пласта АС 10 - II Т1П2, пластов АС 11 и АС12-П Т2П2.

Оценка параметров, обусловленных индивидуальными характеристикми нефтей и газов, выполнена в соответствии с наиболее вероятными условиями сбора, подготовки и транспорта нефти на месторождении. Условия сепарации следующие:

1 ступень - давление 0,785 Мпа, температура 100 С;

2 ступень - давление 0,687 Мпа, температура 300 С;

3 ступень - давление 0,491 Мпа, температура 400 С;

4 ступень - давление 0,103 Мпа, температура 400 С. Приобское месторождение разрабатывается в сложных условиях, обусловленных особенностями его географического расположения и геологического строения продуктивных пластов.

2.4 Особенности разработки Приобского месторождения

Месторождение удаленное, труднодоступное, 80% территории находится в пойме реки Обь и затопляется в паводковый период. Месторождение отличается сложным геологическим строением - сложное строение песчаных тел по площади и разрезу, пласты гидродинамически слабо связаны. Для коллекторов продуктивных пластов характерны:

низкая проницаемость;

низкая песчанистость;

повышенная глинистость;

высокая расчлененность.

До 1996 года месторождение разрабатывалось по технологической схеме "Уточненные технологические показатели разработки первоочередного участка Приобского месторождения (Левобережная часть)", составленной СибНИИНП в 1990 году. Разработка каждого эксплуатационного объекта АС10 , АС11 , AC12 проводилась при размещении скважин по линейной трехрядной треугольной схеме с плотностью сетки 25 га/скв, с бурением всех скважин до пласта АС 12 .

В 1997 г. СибНИИНП было подготовлено "Дополнение к технологической схеме опытно-промышленной разработки левобережной части Приобского месторождения, включая пойменный участок N4", в котором были даны

коррективы по разработке левобережной части месторождения с подключением в работу новых кустов N140 и 141 в пойменной части месторождения. В соответствие с этим документом предусматривается реализация блоковой трехрядной системы (плотность сетки - 25 га/скв) с переходом в дальнейшем на более поздней стадии разработки на блочно-замкнутую систему.

Месторождение отличается низкими дебитами скважин. Основными проблемами разработки месторождения явились низкая продуктивность добывающих скважин, низкая естественная (без разрыва пластовнагнетаемой водой) приемистость нагнетательных скважин, а также плохое перераспределение давление по залежам при осуществлении ППД (вследствие слабой гидродинамической связи отдельных участков пластов). В отдельную проблему разработки месторождения следует выделить эксплуатацию пласта АС12. Из-за низких дебитов многие скважины этого пласта должны быть остановлены, что может привести к консервации на неопределенный срок значительных запасов нефти. Одним из направлений решения этой проблемы по пласту АС12 является осуществление мероприятий по интенсификации добычи нефти.

Приобское месторождение характеризуется сложным строением продуктивных горизонтов как по площади, так и по разрезу. Коллектора горизонтов АС10 и АС11 относятся к средне и низкопродуктивным, а АС12 - к аномально низкопродуктивным. Геолого-физическая характеристика продуктивных пластов месторождения указывает на невозможность освоения месторождения без активного воздействия на его продуктивные пласты и без использования методов интенсификации добычи. Это подтверждает опыт разработки эксплуатационного участка левобережной части.

2.5 Геолого-физические критерии применимости различных методов воздействия на Приобском месторождении

Основными геолого-физическими характеристиками Приобского месторождения для оценки применимости различных методов воздействия являются :

глубина продуктивных пластов- 2400-2600 м,

залежи литологически экранированные, естественный режим - упругий

замкнутый,

толщина пластовАС10 , АС11 и АС12 соответственно до 20,6 , 42,6 и 40,6 м.

начальное пластовое давление- 23,5-25 МПа,

пластовая температура- 88-90°С,

низкая проницаемость коллекторов, средние значения по результатам

исследования керна - по пластам АС10 , АС11 и АС 12 соответственно 15,4,

25,8, 2,4мd

высокая латеральная и вертикальная неоднородность пластов,

плотность пластовой нефти- 780-800 кг/м3 ,

вязкость пластовой нефти- 1,4-1,6 мПа*с,

давление насыщения нефти 9-11 МПа,

нефть нафтенового ряда, парафинистая и малосмолистая.

Сопоставляя представленные данные с известными критериями эффективного применения методов воздействия на пласт можно отметить, что, даже без детального анализа, из перечисленных выше методов для Приобского месторождения могут быть исключены: тепловые методы и полимерное заводнение (как метод вытеснения нефти из пластов). Тепловые методы применяются для залежей с высоковязкими нефтями и на глубинах до 1500-1700 м. Полимерное заводнение предпочтительно использовать в пластах проницаемостью более 0,1 мкм для вытеснения нефти с вязкостью от 10 до 100 мПа*с и при температуре до 90°С (для более высоких температур применяются дорогостоящие, специальные по составам полимеры).

3. Заводнение пластов

Опыт разработки отечественных и зарубежных месторождений показывает, что заводнение оказывается довольно эффективным методом воздействия на низкопроницаемые коллектора при строгом соблюдении необходимых требований к технологии его осуществления. В числе основных причин, вызывающих снижение эффективности заводнения низкопроницаемых пластов оказываются:

ухудшение фильтрационных свойств породы за счет:

набухания глинистых составляющих породы при контакте с закачиваемой водой,

засорения коллектора мелкодисперсными механическими примесями, находящимися в закачиваемой воде,

выпадением в пористой среде коллектора осадков солей при химическом взаимодействии нагнетаемой и пластовой воды,

уменьшение охвата пласта заводнением вследствие образования вокруг нагнетательных скважин трещин-разрыва и распространения их в глубь

пласт (для прерывистых пластов, возможно также некоторое увеличения охвата пласта по разрезу),

значительная чувствительность к характеру смачиваемости пород нагнетаемым агентом значительное снижение проницаемости коллектора засчет выпадения парафинов.

Проявление всех этих явлений в низкопроницаемых коллекторах вызывает более существенные последствия, чем в высокопроницаемых породах.

Для устранения влияния на процесс заводнения указанных факторов используются соответствующие технологические решения: оптимальные сетки скважин и технологические режимы эксплуатации скважин, нагнетание в пласты воды необходимого типа и состава, соответствующая ее механическая, химическая и биологическая очистка, а также добавка в воду специальных компонентов.

Для Приобского месторождения заводнение следует рассматривать в качестве основного метода воздействия .

Применение растворов ПАВ на месторождении было отвергнуто, в первую очередь, по причине низкой эффективности этих реагентов в условиях низкопроницаемых коллекторов.

Для Приобского месторождения и щелочное заводнение не может быть рекомендовано по следующим причинам:

- основной из них является преимущественная структурная и слоистая глинистость коллекторов. Глинистые агрегаты представлены каолинитом, хлоритом и гидрослюдой. Взаимодействие щелочи с глинистым материалом может привести не только к набуханию глин, но и к разрушению породы. Щелочной раствор низкой концентрации увеличивает коэффициент набухаемости глин в 1,1-1,3 раза и снижает проницаемости породы в 1,5-2 раза по сравнению с пресной водой , что является критичным для низкопроницаемых коллекторов Приобского месторождения. Применение растворов высокой концентрации (снижающих набухаемость глин) активизирует процесс разрушения породы. Кроме того, глины с высокой способностью к ионному обмену могут отрицательно воздействовать на оторочку щелочного раствора в результате замены натрия на водород.

- сильно развитая неоднородность пласта и большое число пропластков, приводящие к низкому охвату пласта раствором щелочи. Для заводнения нефтяных пластов в Среднем Приобье широко используются подземные воды апт-сеноманского комплекса, сложенного толщей слабосцементированных, рыхлых песков, песчаников, алевролитов и глин уватской, ханты-мансийской и викуловской свит, хорошо выдержанных по площади, довольно однородных в пределах участка. Воды отличаются малой коррозийной способностью из-за отсутствия в них сероводорода и кислорода.

Расчет показателей разработки месторождения при трехрядной схеме расположения скважин.

Исходные данные

Исходные данные

9

Наименование параметра

Еденица

Символ

Значения

п/п

измерения

1

Площадь нефтеносности

М2

S

2000*109

2

Плотность сетки скв-н

М2 /СКВ

Sc

25*104

3

Расстояние м/д линией нагнетания и

линией отбора

М

1

500

4

Расстояние м/д сквжинами (ширина элемента)

М

b

500

5

Абсолютная проницаемость пласта

М2

Кабс

0,17*1012

6

Общая толщина пласта

М

ho

20.6

7

Коэффициент охвата

Кохв

0.7

8

Вязкость нефти в пластовых условиях

Па* с

µH

1,54*10-3

9

Вязкость воды в пластовых условиях

Па* с

µB

0,36*10-3

10

Относительная проницаемость

11

пласта для нефти

М2

kn

0,85

11

Относительная проницаемость

пласта для воды

М2

kн

0,32

12

Толщина пласта, охваченного заводнением

М

h

14,4

13

Пористость пласта

m

0,19

14

Начальная насыщенность связанной водой

SCB

0,1

15

Остаточная нефтенасыщенность

SH OCT

0,27

16

Перепад давлений м/д линиями нагнетания

.

и отбора

Па

Рс

0,476* 106

Месторождение вводится в разработку в течение шести лет. При этом ежегодно разбуривается и вводится в эксплуатацию по 60 элементов

(60 скважин).

Разработка осуществляется при постоянном перепаде междулиниями нагнетания и отбора.

Предполагается, что за весь рассматриваемый период ни один

элемент системы не выбывает из разработки. Требуется рассчитать

изменение в течение 12 лет следующих показателей разработки

месторождения: 1) добычи нефти, обводненности продукции и текущей нефтеотдачи для одного элемента системы разработки;

2) добычи нефти, обводненности продукции и текущей нефтеотдачи для месторождения в целом.

4.1Методика расчета дебитов нефти и воды в элементе трехрядной системы разработки месторождения при логарифмически нормальном законе распределения абсалютной проницаемости представлена в источнике ((1), задача 3.7).

4.2 Расчет показателей разработки элемента трехрядной системы.

По формуле (13) из (1) определяют проницаемость к* пласта, обводнившегося ко времени t=t*.

Например, при t*=3J5*10 ≈365 сут

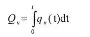
Для вычисления дебита нефти и воды необходимо определять значение интеграла

Можно при этом использовать также таблицы интеграла вероятности

помещенные в справочнике (2).

Имеем соотношение:

Обозначим

тогда

Таким образом, обводненность v=v(t) будем вычислять по формуле (21) из ист.(1) преобразованной к виду

Приведем к виду, удобному для вычислений, зависимость k* =k* (t)

Например, при t= 3,15·107 ≈365сут k* =2.9·10-12

По таблицам Ф(3,59)=0,99. Отсюда при t=3 515*107 с значение vэ =0,005 Результаты вычислений изменения во времени обводненности продукции, а также дебита нефти и воды при постоянном дебите жидкости для элемента

пласта приведены в таблице при ряде значений времени t==t*

Т ,

годы

К* ,

10-12 м2

X

Ф(X)

Vэ(t)

qнэ ,

м3 /сут

qвэ

м3 /сут

ηэ

1

2,9

3,59

0,99

0,005

34,83

0,17

0,138

2

1,46

2,5

0,9874

0,0063

34,78

0,22

0,154

3

0,97

1,9

0,9426

0,029

34

1,0

0,166

4

0,73

1,53

0,9164

0,04

33,6

1,4

0,189

5

0,58

1,05

0,7062

0,147

29,8

5,2

0,193

6

0,49

0,9

0,6318

0,18

28,7

6,3

,0,208

7

0,42

0,69

0,5098

0,24

26,6

8,4

0,224

8

0,37

0,45

0,3472

0,33

23,45

11,55

0,235

9

0,32

0,3

0,2358

0,38

21,7

13,3

0,244

10

0,29

0,13

0,1034

0,45

19,25

15,75

0,258

11

0,26

-0,02

-0,016

0,5

17,5

17,5

0,262

12

0,24

-0,15

-0,1192

0,56

15,4

19,6

0,270

Дебит жидкости, получаемый из элемента разработки qж согласно (20) не изменяется со временем при pc =const. По формуле (20) имеем

согласно источнику (1).

Изменение во времени нефтеотдачи показано на графике 1 ,откуда видно что через 12 лет после начала разработки элемента его нефтеотдача станет равной Г1э=0,27.

4,3 Определение показателей разработки месторождения.

Согласно плану разбуривания и обустройства месторождения ежегодно в течение шести лет, т.е. в течение срока ввода месторождения в разработку в эксплуатацию передается по 60 элементов. Всего за 6 лет введено в эксплуатацию 360 элементов. Для простоты будем считать, что добыча нефти с разбуриваемых элементов будет происходить с начала каждого года.

Для определения изменения во времени добычи нефти по месторождению в таб. 2 приведены данные о добыче нефти из элементов, вводимых в действие за каждый год. Для определения добычи нефти в целом по месторождению добыча нефти по группам элементов суммируется по каждой горизонтальной строке таблицы. Аналогичным образом строится таблица 3 для расчета добычи воды.

Обводненность добываемой из месторождения продукции вычисляют по формуле

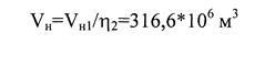
Всего по месторождению в разработку вовлекается объем нефти в пластовых условиях

Коэффициент охвата по месторождению в целом η2 =0,7. Поэтому общий объем нефти в пласте

Нефтеотдача по месторождению в целом определяется как отношение объема накопленной добычи нефти

к первоначальному объему нефти в пласте Vн

Оценить/Добавить комментарий
Имя
Оценка
Комментарии:
Хватит париться. На сайте FAST-REFERAT.RU вам сделают любой реферат, курсовую или дипломную. Сам пользуюсь, и вам советую!
Никита03:29:44 02 ноября 2021
.
.03:29:43 02 ноября 2021
.
.03:29:42 02 ноября 2021
.
.03:29:42 02 ноября 2021
.
.03:29:41 02 ноября 2021

Смотреть все комментарии (23)
Работы, похожие на Реферат: Расчет показателей разработки элемента трехрядной системы

Назад
Меню
Главная
Рефераты
Благодарности
Опрос
Станете ли вы заказывать работу за деньги, если не найдете ее в Интернете?

Да, в любом случае.
Да, но только в случае крайней необходимости.
Возможно, в зависимости от цены.
Нет, напишу его сам.
Нет, забью.



Результаты(287007)
Комментарии (4154)
Copyright © 2005-2021 HEKIMA.RU [email protected] реклама на сайте