Банк рефератов содержит более 364 тысяч рефератов, курсовых и дипломных работ, шпаргалок и докладов по различным дисциплинам: истории, психологии, экономике, менеджменту, философии, праву, экологии. А также изложения, сочинения по литературе, отчеты по практике, топики по английскому.
Полнотекстовый поиск
Всего работ:
364139
Теги названий
Разделы
Авиация и космонавтика (304)
Административное право (123)
Арбитражный процесс (23)
Архитектура (113)
Астрология (4)
Астрономия (4814)
Банковское дело (5227)
Безопасность жизнедеятельности (2616)
Биографии (3423)
Биология (4214)
Биология и химия (1518)
Биржевое дело (68)
Ботаника и сельское хоз-во (2836)
Бухгалтерский учет и аудит (8269)
Валютные отношения (50)
Ветеринария (50)
Военная кафедра (762)
ГДЗ (2)
География (5275)
Геодезия (30)
Геология (1222)
Геополитика (43)
Государство и право (20403)
Гражданское право и процесс (465)
Делопроизводство (19)
Деньги и кредит (108)
ЕГЭ (173)
Естествознание (96)
Журналистика (899)
ЗНО (54)
Зоология (34)
Издательское дело и полиграфия (476)
Инвестиции (106)
Иностранный язык (62791)
Информатика (3562)
Информатика, программирование (6444)
Исторические личности (2165)
История (21319)
История техники (766)
Кибернетика (64)
Коммуникации и связь (3145)
Компьютерные науки (60)
Косметология (17)
Краеведение и этнография (588)
Краткое содержание произведений (1000)
Криминалистика (106)
Криминология (48)
Криптология (3)
Кулинария (1167)
Культура и искусство (8485)
Культурология (537)
Литература : зарубежная (2044)
Литература и русский язык (11657)
Логика (532)
Логистика (21)
Маркетинг (7985)
Математика (3721)
Медицина, здоровье (10549)
Медицинские науки (88)
Международное публичное право (58)
Международное частное право (36)
Международные отношения (2257)
Менеджмент (12491)
Металлургия (91)
Москвоведение (797)
Музыка (1338)
Муниципальное право (24)
Налоги, налогообложение (214)
Наука и техника (1141)
Начертательная геометрия (3)
Оккультизм и уфология (8)
Остальные рефераты (21692)
Педагогика (7850)
Политология (3801)
Право (682)
Право, юриспруденция (2881)
Предпринимательство (475)
Прикладные науки (1)
Промышленность, производство (7100)
Психология (8692)
психология, педагогика (4121)
Радиоэлектроника (443)
Реклама (952)
Религия и мифология (2967)
Риторика (23)
Сексология (748)
Социология (4876)
Статистика (95)
Страхование (107)
Строительные науки (7)
Строительство (2004)
Схемотехника (15)
Таможенная система (663)
Теория государства и права (240)
Теория организации (39)
Теплотехника (25)
Технология (624)
Товароведение (16)
Транспорт (2652)
Трудовое право (136)
Туризм (90)
Уголовное право и процесс (406)
Управление (95)
Управленческие науки (24)
Физика (3462)
Физкультура и спорт (4482)
Философия (7216)
Финансовые науки (4592)
Финансы (5386)
Фотография (3)
Химия (2244)
Хозяйственное право (23)
Цифровые устройства (29)
Экологическое право (35)
Экология (4517)
Экономика (20644)
Экономико-математическое моделирование (666)
Экономическая география (119)
Экономическая теория (2573)
Этика (889)
Юриспруденция (288)
Языковедение (148)
Языкознание, филология (1140)

Реферат: Витамин В1

Название: Витамин В1
Раздел: Рефераты по химии
Тип: реферат Добавлен 02:37:40 29 сентября 2005 Похожие работы
Просмотров: 7777 Комментариев: 19 Оценило: 20 человек Средний балл: 4.1 Оценка: 4     Скачать

Краткая историческая справка: Витамин В1 это тот витамин, которому человечество обязано открытием всех остальных витаминов. Во времена расцвета английских колоний в странах Юго-Восточной Азии у Английских колонизаторов развивалась не виданная ранее болезнь, течение которой не походило ни на одно ранее известное заболевание и часто вызывала смерть. Местные аборигены называли болезнь «бери-бери» и связывали непонятное явление с «гневом богов» посланным на ненавистных захватчиков. Как было замечено, «гневом богов» заболевали лишь англичане, в то время как на местных жителей «боги не гневались».

Только детально изучив положение дел, учёным удалось выяснить причину болезни. Как выяснилось, местные жители употребляли в пищу не ободранный рис, т.е. с кожурой, в то время как англичане в силу своей цивилизованности ели только ободранный рис. Чуть позже был открыт витамин В1 . Так же открыли, что этот витамин содержится только в оболочках зёрен растений, в самих зёрнах его нет. В1 относиться к группе водорастворимых витаминов.

Водорастворимые витамины : Водорастворимые витамины не растворяются в жирах и многих органических растворителях, но хорошо растворяются в воде, термолабильны, неустойчивы к изменениям рН, не могут депонироваться в тканях. Многие из них являются составными частями ферментов и непосредственными участниками большинства реакций обмена веществ во всех живых организмах.

Витамин B 1 (тиамин) - первый витамин, открытый наукой. Изучение его связано с выяснением заболевания «бери-бери», распространенного в стра­нах Юго-Восточной Азии.

Гипо - и авитаминозы . При недостатке или отсут­ствии в рационе витамина B1 развиваются гипо - и авитаминозы. Иногда их причиной может быть наличие в кормах папоротника орляка, содержащего фермент тиаминазу, которая гидролитически расщепляет ви­тамин. К недостатку в рационе витамина B1 наиболее чув­ствительны птица, телята, ягнята, лошади, свиньи, собаки и пушные звери. Наступают нарушения деятель­ности нервной (парез и паралич), сердечно­сосудистой систем (стенокардия), пищевого канала (уменьшается секреция пищеварительных желез, атония, отсутствие ап­петита), резко падает уровень продуктивности. У птицы на ранних стадиях авитаминоза возникают судороги мышц шеи, у свиней нарушается ритм работы сердечной мышцы. Развиваются Судороги, гипергликемия, ацидоз, в крови накапливается много пировиноградной кислоты, в поджелудочной железе дегенерируют островки Лангерганса, в надпочечниках - хромаффинная ткань, в различных участках нервной системы - нейроны. Развиваются кровоизлияния, парез, паралич, резкое истощение, и наступает смерть. В крови и тканях при этом накапливаются кетокислоты, что вызывает тяжелое нару­шение, особенно в тканяхс высокой интенсивностью обмена веществ (мозг,сердце). При недостатке витаминаВ1 тормозятся какпроцессы пре­вращения пировиноградной кислоты в активированную уксус­ную кислоту, так и реакции цикла лимонной кислоты в целом.

Внешними признакаминедостаточности являются параличи и полупараличи (полиневриты),судороги и другие нарушения. Особенно чувствительны к недостатку витаминаВ1 птицы (цып­лята,индюшата и голуби).У больных птиц отмечается взъерошенность оперения, общая слабость, дегенерация скелетных мышц и мускульного желудка, запрокидывание головы и рас­стройства желудочно-кишечного тракта.

Свиньи реагируют на недостаток витамина потерей аппети­та,общей слабостью, поносами, судорогами и нервными рас­стройствами. Затем появляются кровоизлияния в стенках же­лудка и кишечника, нарушается воспроизводительная способ­ность и атрофия сердечной мышцы.

Витамин В1 широко распространен в различных кормах (зерназлаков, мука грубого помола и дерть, отруби, горох, рыбная мука, сухой обрат, молоко и молочная сыворотка). Очень высоким содержанием витамина В1 отличаются дрожжи, в которых тиамин находится в виде пирофосфорного эфира. Наибольшее количество витамина B1 в печени, почках, сердеч­ной мышце и в мозгу.

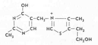
Химическое строение и свойства . Витамин В1 яв­ляется производным двух соединений - тиазола (4-метил-5-оксиэтилтиазола) и пиримидина (2-метил-5-оксиметил-6-аминопиримидина).

В животных тканях и дрожжах витамин В1 находится не в свободном состоянии, а в виде тиаминпирофосфата, т. е. в виде пирофосфорного эфира:

Витамин В1 — белый кристаллический порошок горь­кого вкуса, с характерным запахом, хорошо рас­творяется в воде, относительно устойчив в слабокислой среде, выдерживает сильное нагревание и воздействие кислорода. В щелочной среде, особенно при температуре выше 100° С, он быстро пре­вращается в тиохром.

В природных кормахпотери витамина В1 практически не имеют значения, но активность тиамина может снижаться при сушке (например,рыбной муки, сухого снятого молока).

Природные источники и потребность животных. Ви­тамин В1 синтезируется тканями растений и микроба­ми. В 1 кг корма содержится витамина В1 (мг):

Пивные дрожжи 68,6
Пекарские дрожжи 30,0
Трава (разнотравье, клевер, люцерна) 10,0
Зерно ячменя 3,1
Картофель 1,0

Потребность в витамине организм удовлетворяет за счет тиамина кормов и бактериального синтеза в пи­щевом канале. Тиамин в преджелудках жвачных (в ос­новном в рубце) синтезируется бактериями вида Flavobacleriumvitarumen. Содержание витамина умень­шается по мере перехода от рубца к сычугу. Суточная потребность для свиней составляет 1-1,8 мг на 1 кг сухого вещества корма, для телят-8-15 мг на голо­ву, для ягнят — 2—4 мг на голову.

Обмен в организме. Организм получает витамин с кормом и за счет синтеза микробами пищевого канала. Тиамин корма поступает в свободном, этерифицированном и частично в связанном виде. Две последние формы расщепляются в кишках под влиянием гидролаз с образованием свободного тиамина. С током крови после всасывания он поступает во все органы и тка­ни. Часть тиамина в печени фосфорилируется. Наи­большие концентрации витамина выявляются в миокар­де, печени, мозгу, легких, почках и надпочечниках. Избыток тиамина и продукты его распада выделяются с мочой и частично с калом.

Значение для обмена веществ. Биологическое зна­чение тиамина, прежде всего, обусловлено его коферментными функциями. Тиамин, который поступает в ткани с током крови, фосфорилируется под влиянием фермента тиаминпирофосфокиназы:

Mg2 +

тиамин + АТФ ———» тиаминпирофосфат + АМФ.

Тиаминпирофосфат составляет 70-90% всех фосфор­ных эфиров тиамина тканей, остальное количество составляют тиаминмонофосфат и тиаминтрифосфат. Тиа­минпирофосфат - кофермент пируватдекарбоксила-зы, катализирующей окислительное декарбоксилирование пировиноград-ной и других а-кетокислот.

Одна из основных химических реакций, в которых участвует тиаминпирофосфат, - декарбоксилирование пировиноградной кислоты с образованием ацетил-коэнзим А. Если в кормах и организме нет тиамина, то фермент не синтезируется, в тканях накапливается пировино-градная кислота, возникает явление ацидоза, при котором разрушаются клетки, прежде всего нервной системы. Это приводит к ряду патологичес-ких нару­шений, характерных для гипо - и авитаминозов В1 . Кроме того, тиаминпирофосфат входит в состав свыше 30 ферментов, принадлежа-щих к различным классам. В частности, он входит в состав молекулы 2-оксоглутаратдегидрогеназы, катализирующей декарбо­ксилирование а-кетоглутаровой кислоты до янтарной. Является составной частью транскетолазы, осущест­вляющей перенос двууглеродного остатка (активногогликолевого альдегида) от ксилулозо-5-фосфата на рибозо-5-фосфат. Тиамин ускоряет реакцию дегидриро­вания янтарной кислоты, предохраняет витамин С от окисления, обеспечивает стабильность концентрации витамина В6 в тканях, способствует биосинтезу нуклеиновых кислот, белков, глюкозы, гликогена и жиров в тканях животного.

Антивитамины. Антивитамины делятся на две груп­пы - структурные аналоги тиамина и тиаминазы. Структурные аналоги могут входить в состав молекул карбоксилаз, вытеснять из них тиамин, вызывая ингибирование их действия. К ним относятся окситиамин и пиритиамин (формулу первого см. ниже).

Тиаминазы способны расщеплять молекулу тиамина на две неактивные части: пиримидиновую и тиазольную.

Применение. Препараты витамина и корма, богатые тиамином, применяют при лечении полиневритов и невритов, неврозов, стенокардии, нефритов, ожогов, ахилии и др.


Список используемой литературы:

1. А.И. Кононский, Биохимия животных. -М.: Колос, 1992.

2. А.В. Чечеткин, Биохимия животных. -М.: Высшая школа, 1982.

3. Ю.Д. Третьяков, Химия. Справочные материалы. –М.: Просвещение, 1984.

4. А.Н. Голиков, Физиология сельскохозяйственных животных. –М.: Агропромиздат, 1991

5. А.М. Прохоров, Большой энциклопедический словарь. -М.: Советская энциклопедия, 1991

6. В.И. Георгиевский, Практическое руководство по физиологии сельскохозяйственных животных. –М.: Высшая школа, 1976

7. А.Г. Тен, Кормопроизводство. –М.: Колос, 1982

На самом деле, что касается литературы, то, это всё ложь и провокация. В действительности использовались тоько первые две книги (примечание автора).

И ещё пару слов полезной информации: За время моего студенчества у меня накопились и продолжают накапливаться всякие разные рефераты (по естественным наукам), если что кому надо, и если у меня такая хрень есть, то могу помочь /совершенно бесплатно/ Мой ящик: [email protected]

ИВАН

Оценить/Добавить комментарий
Имя
Оценка
Комментарии:
Срочная помощь учащимся в написании различных работ. Бесплатные корректировки! Круглосуточная поддержка! Узнай стоимость твоей работы на сайте 64362.ru
20:13:55 10 сентября 2021
Если Вам нужна помощь с учебными работами, ну или будет нужна в будущем (курсовая, дипломная, отчет по практике, контрольная, РГР, решение задач, онлайн-помощь на экзамене или "любая другая" учебная работа...) - обращайтесь: https://clck.ru/P8YFs - (просто скопируйте этот адрес и вставьте в браузер) Сделаем все качественно и в самые короткие сроки + бесплатные доработки до самой сдачи/защиты! Предоставим все необходимые гарантии.
Иоанн04:24:55 23 июня 2020
Привет студентам) если возникают трудности с любой работой (от реферата и контрольных до диплома), можете обратиться на FAST-REFERAT.RU , я там обычно заказываю, все качественно и в срок) в любом случае попробуйте, за спрос денег не берут)
Olya22:52:56 24 августа 2019
.
.22:52:55 24 августа 2019
.
.22:52:54 24 августа 2019

Смотреть все комментарии (19)
Работы, похожие на Реферат: Витамин В1

Назад
Меню
Главная
Рефераты
Благодарности
Опрос
Станете ли вы заказывать работу за деньги, если не найдете ее в Интернете?

Да, в любом случае.
Да, но только в случае крайней необходимости.
Возможно, в зависимости от цены.
Нет, напишу его сам.
Нет, забью.



Результаты(286307)
Комментарии (4153)
Copyright © 2005-2021 HEKIMA.RU [email protected] реклама на сайте