План реферата
Алкалоиды (
общие сведения)
1.
Пиридиновая группа
а) Никотин
б) Анабазин
2.
Хинолиновая группа
а) Хинин
б) Стрихнин
3.
Изохинолиновая группа
а) Папаверин
б) Кураре
4.
Фенантреновая группа
а) Морфин
б) Кодеин
5.
Тропиновая группа
а) Атропин
б) Кокаин
6.
Пуриновая группа
а) Кофеин
Воздействие на человека
1.
Алкалоиды группы опиума
2.
Кокаин
3.
Никотин
4.
Кофеин Алкалоиды
Понятие алкалоиды не является строгим. Принято алкалоидами называть азотсодержащие органические соединения гетероциклического строения, обладающие ярко выраженным физиологическим действием на организм человека и животных. Большинство алкалоидов обладает сложным строением.
Лечебные и ядовитые свойства экстрактов многих растений были известны еще в глубокой древности. Строение первого алкалоида – кониина – было установлено в 1886г., и после этого развитие химии алкалоидов пошло вперед гигантскими шагами.
Алкалоиды являются продуктами обмена веществ в растениях. Наиболее богаты алкалоидами двудольные растения, а среди них семейства маковых, сложноцветных, лютиковых, пасленовых и мареновых.
Так как обычно в одной группе растений содержатся алкалоиды, близкие по структуре, то классификация алкалоидов проводится, как правило, по группе растений, в которых они имеются. Например, алкалоиды болиголова, алкалоиды арековой пальмы, алкалоиды пасленовых, алкалоиды кока, алкалоиды опия и т.д. В настоящее время выделено и охарактеризовано уже более 2000 алкалоидов из них только 50 содержится в животных [1].
В ходе эволюции высшие растения выработали так называемую метаболическую экскрецию, делающую возможным накопление вторичных соединений в продуцирующем их организме, но вне метаболистически активных центров – обычно в вакуолях и клеточной стенке. Алкалоиды обнаруженные у животных, не всегда синтезируются самим организмом; иногда их происхождение связано с характером пищи. Так бобры накапливают алкалоид касторамин, который очень близок к алкалоиду дезоксинуфаридину, содержащемуся в корневищах кубышки желтой, используемой ими в пищу.
В большинстве случаев алкалоиды находятся в растении в виде солей органических и неорганических кислот. Локализуются преимущественно в определенных частях (органах) растений, например у хинного дерева – главным образом в коре, у аконита – в клубнях, у кокаинового куста в листьях. Содержание алкалоидов в тканях обычно составляет десятые – сотые доли процента и редко доходит до 10-15% (кора хинного дерева).
Долгое время биологические функции алкалоидов в растительном организме были неясны. Чаще их считали конечными продуктами обмена веществ, или иными экстрактами. Однако было доказано, что алкалоиды активно вовлекаются в обменные процессы. Возможно, алкалоиды также защищают растения от поидания животными, т.е. являются антифедантами[3].
Кроме того, алкалоиды классифицируются по основаниям. Всего выделяют 6 групп алкалоидов: пиридиновая (никотин), хинолиновая (хинин, стрихнин), изохиниловая (папаверин, кураре), фенантреновая (морфин, кодеин), тропиновая (атропин) и пуриновая (кофеин) [4].
Немногие алкалоиды жидкости и являются летучими соединениями, большинство же удалось выделить в кристаллическом виде; последние содержат кислород, в первых его не имеется.
Большинство алкалоидов оптически деятельно, и притом вращает влево.
Алкалоиды почти все горьки на вкус; в небольшом количестве многие из них производят возбуждающее действие на нервную систему, в больших же дозах они часто являются весьма ядовитыми. Из-за этого возбуждающего действия растения, содержащие алкалоиды, издавна употреблялись людьми то для приготовления напитков (чай, кофе—ради кофеина, какао-ради теобромина), то для курения (табак, опиум), то для жевания (листья коки). Злоупотребление некоторыми алкалоидами, особенно вспрыскиваниями морфия или нюханьем кокаина, ведет к очень тяжелым последствиям. Кроме того, отдельные алкалоиды обладают специфическим физиологическим действием, чем часто пользуются в медицине.
Все это издавна возбуждало большой интерес к изучению алкалоидов. Выяснилось, что все они представляют амины, вторичные или третичные, но не первичные, а иногда—аммониевые основания. В связи с этим алкалоиды проявляют основные свойства, т.е. реагируют с кислотами и дают двойные соли с хлорной платиной.[2]
Пиридиновая группа
Никотин
Никотин, алкалоид, содержащийся в табаке (до 8%), а также в растениях некоторых других родов; производные пиридина. При курении табака никотин возгоняется, проникает в дыхательные пути и, всасываясь, действуют на ганглии вегетативной нервной системы и на т. н. холинреактивные структуры центральной и периферической нервной системой. В малых дозах никотин действует возбуждающе на нервную систему, в больших вызывает ее паралич. Никотин это один из самых ядовитых алкалоидов: несколько капель (100-200 мг, т.е. количество, содержащееся в 200 г табака) при в ведении в человека вызывают смерть[3], а ПДК никотина в воздухе составляет 0,5 мг/м3
[5].

Никотин используется в сельском хозяйстве как инсектицид.
Анабазин

Анабазин основной алкалоид ежовника безлистного, произрастающего в Средней Азии. Как и никотин, сильно токсичен, но тоже применяется в качестве контактного инсектицида.[1]
Хинолиновая группа
Хинин
Хинин представляет белые кристаллы, в безводном состоянии плавящиеся при 175°, а из воды выделяющиеся с 3 молекулами кристаллизационной воды. Соли его очень горьки на вкус и обладают в растворе прекрасной синей флуоресценцией. Хинин- важнейшее средство против малярии и вообще жаропонижающее; применяется обыкновенно в виде средней сернокислой или хлористоводородной (с одной молекулой НСL)
соли.
Хинин в больших дозах ядовит. [2]

Стрихнин
Стрихнин очень ядовит даже в малых дозах вызывает сильные судороги. В терапевтических дозах применяется при хранических катарах желудка, как возбуждающее средство для сердечной деятельности и центральной нервной системы [4]

Изохинолиновая группа
Папаверин
Папаверин- алкалоид содержащийся в опиуме. Употребляется как снотворное и антиперистальное средство.[4]
Кураре
Кураре представляет собой соединение нескольких различных алкалоидов. При введении под кожу терапевтических доз его наступает полное расслабление поперечнополосатой мускулатуры, в больших дозах вызывает смерть.[4]
Фенантреновая группа
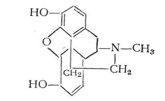
Морфин.

Морфин, алкалоид опийного мака. Обладает сильным болеутоляющим, выраженным снотворным и эйфорическим действием. Тормозит условные рефлексы и усиливает действие наркотических снотворных и местноанастизирующих средств. Возбуждает рвотный центр и понижает возбудимость дыхательного и кашлевого центров, тормозит двигательную и секреторную активность желудочно-кишечного тракта. Понижает основной обмен. Гидрохлорид морфина используют в медицине как обезболивающее средство. Длительное применение приводит к наркомании (морфинизму).[3]
Кодеин
применяется против кашля и болей[4]

Тропиновая группа
Атропин

Алкалоид беладонны, дурмана и белены. Несмотря на исключительно высокую токсичность, широко применяется в медицине, в частности в глазной практике, так как обладает способностью расширять зрачок.[1].
Кокаин
Один из основных алкалоидов коки – кокаин был первым из открытых местнообезбаливающих и наркотических средств. Противопоказания при его применении в медицине обуславливаются его способностью вызывать наркоманию из-за привыкания организма.[1]
Кокаин вращающий влево и в виде хлористоводородной соли часто применяемому в медицине для местной анестезии.
Кроме левовращающего кокаина, в листьях коки содержится и немного правовращающего, но этот последний не является антиподом первого и дает иной эфект; так называемый, псевдококаин или d-кокаин,. Дело в том, что уже тропин может существовать в 2 формах, которые считаются цис-транс-изомерами:
метил (при азоте) и гидроксил могут находиться либо по одну и ту же сторону от плоскости кольца, либо по разные стороны. Тропин отвечает менее стойкой форме и легко переходит в β-тропин. Бензойный эфир последнего, тропакокаин,
также найден был в листьях коки. При восстановлении эфира тропинонкарбоновой кислоты (XII).
Интересно отметить, что этот d-кокаин действует лучше обыкновенного: анестезирующее действие сильнее, а ядовитость меньше. Таким образом, эти два свойства, хотя и оба зависят от конфигурации, но меняются различно. Это открывает надежду найти еще менее ядовитый и в то же время более действительный препарат.[2]

Пуриновая группа
Кофеин
Кофеин - соединение из группы метилксантинов
. Это алкалоид, содержащийся в листьях чая, в семенах кофе, в семенах какао, в семенах кола и в других растениях. У кофеина сочетаются психостимулирующие и аналептические свойства. Особенно выражено у него прямое возбуждающее влияние на кору головного мозга. Кофеин стимулирует психическую деятельность, повышает умственную и физическую работоспособность, двигательную активность, укорачивает время реакции. После его приема появляется бодрость, временно устраняются или уменьшаются утомление, сонливость[7]/
Воздействие на человека
Алкалоиды группы опиума.
За последние годы увеличилось число лиц, употребляющих алкалоиды опия, чаще стали возникать острые состояния на фоне их приема, в том числе и острые отравления наркотиками, возрос уровень комбинации наркотических средств, стали потребляться новые химически активные вещества в кустарной обработке, чаще регистрируются брутальные расстройства гомеостаза в результате длительной интоксикации. Все это показывает необходимость детального анализа этих состояний.
Всасывание алкалоидов группы опия через желудочно-кншечный тракт происходит быстро, при курении, при парентеральном введении действие наступает незамедлительно. После обезвреживания в печени выведение из организма происходит через почки, частично через кишечник. Определенные концентрации в биосредах организма могут быть обнаружены в течении 8 - 12 часов. В комбинации с алкалоидами применяют димедрол, этанол, производные бензодназепинового ряда.[3]
Кокаин
Кокаин начинает работать практически мгновенно – сразу, после того как порошок попадает на слизистую носа, наступает "приход" - вспышка кайфа. Резко повышается двигательная активность, мозг "быстрее" соображает, наблюдается общий подъем душевных и физических сил. Оно и понятно: кокаин психостимулятор. Однако эффект ощущается недолго - 10, от силы 15 минут, и затем наступает депрессия, которая длится около 30-40 минут. Доза зависит от длительности потребления. Стартовая доза - две "дорожки"
Зависимость и другие опасности:
длительное употребление кокаина вызывает паранойю, глухоту, бред, нарушение пищеварения и неконтролируемые конвульсии. Кроме того, весьма вероятность проблемы со слизистой носа или отвердение вен (зависит от способа приема); нарушение фаз сна (человек перестает высыпаться)[6].
Никотин
Как ни прискорбно, мы и здесь «впереди планеты всей». Семилетний пацаненок с «бычком» в зубах уже не вызывает былого возмущения даже среди степенных представителей старшего поколения.
По официальным данным, на сегодня в России курят 60% мужчин и 30% женщин. Среди мужского населения в возрасте от 30 до 40 лет табачной зависимости подвержены 70%. Но это «цветочки». А вот и «ягодки»: регулярно курят около 40% старшеклассниц и около 50% старшеклассников. А почему бы им не курить? Запрет на продажу табачных изделий распространяется только на младенцев и подростков до 16-и лет. Да и чего греха таить: если в магазинах этот запрет худо-бедно соблюдается, то уж купить сигареты поштучно или пачкой в ларьке, киоске или у бизнес-бабушек не составит труда и для десятилетней девчонки. Страсть торговцев к деньгам понять можно, но наплевательское отношение к здоровью подрастающего поколения граничит, пожалуй, с преступлением.
Что мы имеем в результате? Никотин пагубно воздействует на бронхо-легочную систему, желудочно-кишечный тракт, сердечно-сосудистую систему. В Ижевске на диспансерном учете с болезнями органов дыхания в 1997 году состояло 11 тысяч человек, из них с хроническим бронхитом - 4710 человек, бронхиальной астмой - 1034, язвенной болезнью желудка - 9825. И около 70% из них курят, упорно продолжают вредить своему здоровью, сокращать свою жизнь. Но, что характерно, большая часть курящих - это люди с низким образовательным уровнем, чей социальный статус далек от идеала. Люди более образованные относятся к своему здоровью бережнее и внимательнее. Среди них уже вполне отчетливо видна тенденция к отказу от курения и всего, что может неблагоприятно сказаться на здоровье. В США за последние годы число курящих сократилось в три раза. Но их табачная промышленность делает немалые барыши на российской беспечности: все, что не нужно американцам, россияне с аппетитом выкуривают[8].
Кофеин
Интоксикация кофеином - симптомы:
•Hедавний прием кофеина, обычно в дозе более 250mg;
•По крайней мере пять из следующих симптомов:
•беспокойство;
•нервозность;
•раздражительность;
•бессоница;
•покраснение лица;
•повышенный диурез;
•расстройство пищеварения;
•мышекные подергивания;
•тахикардия (учащенное сердцебиение) или сердечная аритмия;
•периоды неутомляемости
•психомоторное возбуждение;
В принципе, передозировка кофеина может быть крайне неприятной, но обычно не вызывает необратимых изменений. Однако, иногда люди “умирают” от передозировки.
Cуммарные токсикологические данные:
Токсическая доза: Подтвержденная летальная доза составляет 10g, хотя известен один документированный случай выживания после иньекции 24g. У маленьких детей прием внутрь 35mg/kg может вызвать интоксикацию средней тяжести. Дети метаболизируют кофеин очень медленно. Для них также опасен теофиллин, который может содержаться в препаратах от бpонхиальной астмы.
Симптомы:
А. Острое отравление кофеином дает ранние симптомы анорексии (отсутствие аппетита), тремора (дрожание, в т.ч. пальцев рук) и беспокойства. Затем следует тошнота, тахикардия, гипертония и спутанность сознания. Сильная интоксикация может вызвать делирий ("б. горячка"), судороги, наджелудочковую и желудочковые тахаритмии, гипокалиемию и гипергликемию.
Б. Хронический прием высоких доз кофеина может привести к нервозности, раздражительности, гневливости, постоянному тремору, мышечным подергиваниям, бессонице и гиперрефлексии (hyperreflexia).
При тестировании крови:
Концентрации 1..10mg/l нормальны для пьющих кофе. Концентрация 80mg/l несовместима с жизнью[7].
Список литературы
1. И.И. Грандберг «Органическая химия» издание третье Москва издательство «Высшая школа» 1987 стр 434-437.
2. Ю.С. Залькинд «Химия циклических соединений» издание второе Ленинград Научное Химико-Техническое издательство НТУ ВСХН СССР 1930 стр 301-315
3. Большой энциклопедических словарь «Биология» научное издательство «Большая Российская энциклопедия» Москва 1998 стр 17, 269, 288, 408.
4. П.П. Астанин, Е.А. Максимюк «Химия с зоотехническим анализом» издательство «Колос» Москва 1965 г. стр 302-305.
5. «Предельно допустимые концентрации вредных веществ в воздухе и воде» издание второе издательство «Химия», Ленинградское отделение 1975. стр 57, 154.
6. Журнал «Психосфера» №1 1999 год http://www/sfera.informsk.ru.
7. http://www
.doktor.ru.
8. http://www.nioch.nsc.ru.
|