Банк рефератов содержит более 364 тысяч рефератов, курсовых и дипломных работ, шпаргалок и докладов по различным дисциплинам: истории, психологии, экономике, менеджменту, философии, праву, экологии. А также изложения, сочинения по литературе, отчеты по практике, топики по английскому.
Полнотекстовый поиск
Всего работ:
364139
Теги названий
Разделы
Авиация и космонавтика (304)
Административное право (123)
Арбитражный процесс (23)
Архитектура (113)
Астрология (4)
Астрономия (4814)
Банковское дело (5227)
Безопасность жизнедеятельности (2616)
Биографии (3423)
Биология (4214)
Биология и химия (1518)
Биржевое дело (68)
Ботаника и сельское хоз-во (2836)
Бухгалтерский учет и аудит (8269)
Валютные отношения (50)
Ветеринария (50)
Военная кафедра (762)
ГДЗ (2)
География (5275)
Геодезия (30)
Геология (1222)
Геополитика (43)
Государство и право (20403)
Гражданское право и процесс (465)
Делопроизводство (19)
Деньги и кредит (108)
ЕГЭ (173)
Естествознание (96)
Журналистика (899)
ЗНО (54)
Зоология (34)
Издательское дело и полиграфия (476)
Инвестиции (106)
Иностранный язык (62791)
Информатика (3562)
Информатика, программирование (6444)
Исторические личности (2165)
История (21319)
История техники (766)
Кибернетика (64)
Коммуникации и связь (3145)
Компьютерные науки (60)
Косметология (17)
Краеведение и этнография (588)
Краткое содержание произведений (1000)
Криминалистика (106)
Криминология (48)
Криптология (3)
Кулинария (1167)
Культура и искусство (8485)
Культурология (537)
Литература : зарубежная (2044)
Литература и русский язык (11657)
Логика (532)
Логистика (21)
Маркетинг (7985)
Математика (3721)
Медицина, здоровье (10549)
Медицинские науки (88)
Международное публичное право (58)
Международное частное право (36)
Международные отношения (2257)
Менеджмент (12491)
Металлургия (91)
Москвоведение (797)
Музыка (1338)
Муниципальное право (24)
Налоги, налогообложение (214)
Наука и техника (1141)
Начертательная геометрия (3)
Оккультизм и уфология (8)
Остальные рефераты (21692)
Педагогика (7850)
Политология (3801)
Право (682)
Право, юриспруденция (2881)
Предпринимательство (475)
Прикладные науки (1)
Промышленность, производство (7100)
Психология (8692)
психология, педагогика (4121)
Радиоэлектроника (443)
Реклама (952)
Религия и мифология (2967)
Риторика (23)
Сексология (748)
Социология (4876)
Статистика (95)
Страхование (107)
Строительные науки (7)
Строительство (2004)
Схемотехника (15)
Таможенная система (663)
Теория государства и права (240)
Теория организации (39)
Теплотехника (25)
Технология (624)
Товароведение (16)
Транспорт (2652)
Трудовое право (136)
Туризм (90)
Уголовное право и процесс (406)
Управление (95)
Управленческие науки (24)
Физика (3462)
Физкультура и спорт (4482)
Философия (7216)
Финансовые науки (4592)
Финансы (5386)
Фотография (3)
Химия (2244)
Хозяйственное право (23)
Цифровые устройства (29)
Экологическое право (35)
Экология (4517)
Экономика (20644)
Экономико-математическое моделирование (666)
Экономическая география (119)
Экономическая теория (2573)
Этика (889)
Юриспруденция (288)
Языковедение (148)
Языкознание, филология (1140)

Реферат: Оптические инструменты, вооружающие глаз

Название: Оптические инструменты, вооружающие глаз
Раздел: Рефераты по физике
Тип: реферат Добавлен 10:32:35 11 октября 2005 Похожие работы
Просмотров: 2119 Комментариев: 17 Оценило: 7 человек Средний балл: 4.6 Оценка: 5     Скачать

План.

Введение

Глава 1. Оптические инструменты, вооружающие глаз.

1.1. Оптические приборы для визуальных наблюдений;

1.2. Оптические инструменты :

1.2.1. Лупа;

1.2.2. Микроскоп;

1.2.3. Зрительная труба;

1.2.4. Проекционные аппараты;

1.2.5. Спектроскоп.

Глава 2. Дифракционные явления в оптических инструментах.

2.1. Дифракция Фраунгофера в геометрически сопряженных плоскостях;

2.2. Дифракция Фраунгофера на щели и круглом отверстии;

2.3. Интенсивность света в фокусе линзы;

2.4. Дифракционный предел разрешения оптических инструментов:

2.4.1. Разрешающая способность телескопа;

2.4.2. Разрешающая способность глаза;

2.4.3. Предел разрешения микроскопа;

2.4.4. Замечание о нормальном увеличении оптических инструментов.

Введение

Оптика - раздел физики, в котором изучается природа оптического излучения (света), его распространение и явления, наблюдаемые при взаимодействии света и вещества. Оптическое излучение представляет собой электромагнитные волны, и поэтому оптика - часть общего учения об электромагнитном поле.

Оптика - это учение о физических явлениях, связанных с распространением коротких электромагнитных волн, длина которых составляет приблизительно 10-5 -10-7 м. Значение именно этой области спектра электромагнитных волн связано с тем, что внутри нее в узком интервале длин волн от 400-760 нм лежит участок видимого света, непосредственно воспринимаемого человеческим глазом. Он ограничен с одной стороны рентгеновскими лучами, а с другой - микроволновым диапазоном радиоизлучения. С точки зрения физики происходящих процессов выделение столь узкого спектра электромагнитных волн (видимого света) не имеет особого смысла, поэтому в понятие "оптический диапазон" включает обычно ещё и инфракрасное и ультрафиолетовое излучение.

Ограничение оптического диапазона условно и в значительной степени определяется общностью технических средств и методов исследования явлений в указанном диапазоне. Для этих средств и методов характерны основанные на волновых свойствах излучения формирование изображений оптических предметов с помощью приборов, линейные размеры которых много больше длины ? излучения, а так же использование приёмников света, действие которых основано на его квантовых свойствах.

По традиции оптику принято подразделять на геометрическую, физическую и физиологическую. Геометрическая оптика оставляет вопрос о природе света, исходит из эмпирических законов его распространения и использует представление о световых лучах, преломляющихся и отражающихся на границах сред с разными оптическими свойствами и прямолинейных в оптически однородной среде. Её задача - математически исследовать ход световых лучей в среде с известной зависимостью показателя преломления n от координат либо, напротив, найти оптические свойства и форму прозрачных и отражающих сред, при которых лучи происходят по заданному пути. Наибольшее значение геометрической оптики имеет для расчёта и конструирования оптических приборов - от очковых линз до сложных объективов и огромных астрономических инструментов.

Физическая оптика рассматривает проблемы, связанные с природой света и световых явлений. Утверждение, что свет есть поперечные электромагнитные волны, основано на результатах огромного числа экспериментальных исследований дифракции света, интерференции, поляризации света и распространения в анизотропных средах.

Одна из важнейших традиционных задач оптики - получение изображений, соответствующих оригиналам как по геометрической форме, так и по распределению яркости решается главным образом геометрической оптикой с привлечением физической оптики. Геометрическая оптика дает ответ на вопрос, как следует строить оптическую систему для того, чтобы каждая точка объекта изображалась бы также в виде точки при сохранении геометрического подобия изображения объекту. Она указывает на источники искажений изображения и их уровень в реальных оптических системах. Для построения оптических систем существенна технология изготовления оптических материалов с требуемыми свойствами, а также технологию обработки оптических элементов. Из технологических соображений чаще всего применяют линзы и зеркала со сферическими поверхностями, но для упрощения оптических систем и повышения качества изображений при высокой светосиле используют оптические элементы.


Глава 1. Оптические инструменты, вооружающие глаз.

1.1. Оптические приборы для визуальных наблюдений

Для невооруженного глаза наименьший угол зрения приблизительно равен 1'. Этот угол определяется мозаичным строением сетчатки, а также волновыми свойствами света. Существует ряд приборов, предназначенных для увеличения угла зрения – лупа, микроскоп, зрительная труба. При визуальных наблюдениях глаз является неотъемлемой частью оптической системы, поэтому ход лучей в приборах, вооружающих глаз, зависит от аккомодации глаза. При анализе работы оптических приборов для визуальных наблюдений удобнее всего полагать, что глаз наблюдателя аккомодирован на бесконечность. Это означает, что лучи от каждой точки предмета, пройдя через прибор, попадают в глаз в виде параллельного пучка. В этих условиях понятие линейного увеличения теряет смысл. Отношение угла зрения φ при наблюдении предмета через оптический прибор к углу зрения ψ при наблюдении невооруженным глазом называется угловым увеличением:

Угловое увеличение является важной характеристикой оптических приборов для визуальных наблюдений.

Следует отметить, что в некоторых учебниках полагается, что глаз наблюдателя аккомодирован на расстояние наилучшего зрения нормального глаза d0 . В этом случае ход лучей в приборах несколько усложняется, но угловое увеличение прибора приближенно остается таким же, как и при аккомодации на бесконечность.

Лупа. Простейшим прибором для визуальных наблюдений является лупа. Лупой называют собирающую линзу с малым фокусным расстоянием (F ≈ 10 см). Лупу располагают близко к глазу, а рассматриваемый предмет – в ее фокальной плоскости. Предмет виден через лупу под углом

где h – размер предмета. При рассматривании этого же предмета невооруженным глазом его следует расположить на расстоянии d0 = 25 см наилучшего зрения нормального глаза. Предмет будет виден под углом

Отсюда следует, что угловое увеличение лупы равно

Линза с фокусным расстоянием 10 см дает увеличение в 2,5 раза. Работу лупы иллюстрирует рис. 3.5.1.

Микроскоп. Микроскоп применяют для получения больших увеличений при наблюдении мелких предметов. Увеличенное изображение предмета в микроскопе получается с помощью оптической системы, состоящей из двух короткофокусных линз – объектива O1 и окуляра O2 (рис. 3.5.2). Объектив даст действительное перевернутое увеличенное изображение предмета. Это промежуточное изображение рассматривается глазом через окуляр, действие которого аналогично действию лупы. Окуляр располагают так, чтобы промежуточное изображение находилось в его фокальной плоскости; в этом случае лучи от каждой точки предмета распространяются после окуляра параллельным пучком.

Рисунок 3.5.1.

Действие лупы: а – предмет рассматривается невооруженным глазом с расстояния наилучшего зрения d0 = 25 см; б – предмет рассматривается через лупу с фокусным расстоянием F.

Рисунок 3.5.2.

Ход лучей в микроскопе.

Мнимое изображение предмета, рассматриваемое через окуляр, всегда перевернуто. Если же это оказывается неудобным (например, при прочтении мелкого шрифта), можно перевернуть сам предмет перед объективом. Поэтому угловое увеличение микроскопа принято считать положительной величиной.

Как следует из рис. 3.5.2, угол зрения φ предмета, рассматриваемого через окуляр в приближении малых углов,

Приближенно можно положить d ≈ F1 и f ≈ l, где l – расстояние между объективом и окуляром микроскопа («длина тубуса»). При рассматривании того же предмета невооруженным глазом

В результате формула для углового увеличения γ микроскопа приобретает вид

Хороший микроскоп может давать увеличение в несколько сотен раз. При больших увеличениях начинают проявляться дифракционные явления.

У реальных микроскопов объектив и окуляр представляют собой сложные оптические системы, в которых устранены различные аберрации.

Телескоп. Телескопы ( зрительные трубы) предназначены для наблюдения удаленных объектов. Они состоят из двух линз – обращенной к предмету собирающей линзы с большим фокусным расстоянием (объектив) и линзы с малым фокусным расстоянием (окуляр), обращенной к наблюдателю. Зрительные трубы бывают двух типов:

· Зрительная труба Кеплера, предназначенная для астрономических наблюдений. Одна дает увеличенные перевернутые изображения удаленных предметов и поэтому неудобна для земных наблюдений.

· Зрительная труба Галилея, предназначенная для земных наблюдений, дающая увеличенные прямые изображения. Окуляром в трубе Галилея служит рассеивающая линза.

На рис. 3.5.3 изображен ход лучей в астрономическом телескопе. Предполагается, что глаз наблюдателя аккомодирован на бесконечность, поэтому лучи от каждой точки удаленного предмета выходят из окуляра параллельным пучком. Такой ход лучей называется телескопическим. В астрономической трубе телескопический ход лучей достигается при условии, что расстояние между объективом и окуляром равно сумме их фокусных расстояний l = F1 + F2 .

Зрительная труба (телескоп) принято характеризовать угловым увеличением γ. В отличие от микроскопа, предметы, наблюдаемые в телескоп, всегда удалены от наблюдателя. Если удаленный предмет виден невооруженным глазом под углом ψ, а при наблюдении через телескоп под углом φ, то угловым увеличением называют отношение

Угловому увеличению γ, как и линейному увеличению Γ, можно приписать знаки плюс или минус в зависимости от того, является изображение прямым или перевернутым. Угловое увеличение астрономической трубы Кеплера отрицательно, а земной трубы Галилея положительно.

Угловое увеличение зрительных труб выражается через фокусные расстояния:

Рисунок 3.5.3.

Телескопический ход лучей.

В качестве объектива в больших астрономических телескопах применяются не линзы, а сферические зеркала. Такие телескопы называются рефлекторами. Хорошее зеркало проще изготовить, кроме того, зеркала в отличие от линз не обладают хроматической аберрацией.

В России построен самый большой в мире телескоп с диаметром зеркала 6 м. Следует иметь в виду, что большие астрономические телескопы предназначены не только для того, чтобы увеличивать угловые расстояния между наблюдаемыми космическими объектами, но и для увеличения потока световой энергии от слабосветящихся объектов.


1.2. Оптические инструменты.

1.2.1. Лупа

Одним из простейших оптических приборов является лупа – собирающая линза, предназначенная для рассматривания увеличенных изображений малых объектов. Линзу подносят к самому глазу, а предмет помещают между линзой и главным фокусом. Глаз увидит мнимое и увеличенное изображение предмета . Удобнее всего рассматривать предмет через лупу совершенно ненапряженным глазом , аккомодированным на бесконечность. Для этого предмет помещают в главной фокальной плоскости линзы так , что лучи, выходящие из каждой точки предмета , образуют за линзой параллельные пучки. На рисунке изображено два таких пучка , идущих от краев предмета. Попадая в аккомодированный на бесконечность глаз, пучки параллельных лучей фокусируются на ретине и дают здесь отчетливое изображение предмета.

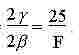
Угловое увеличение. Глаз находится очень близко к линзе , поэтому за угол зрения можно принять угол 2Y , образованный лучами, идущими от краев предмета через оптический центр линзы. Если бы лупы не было , нам пришлось бы поставить предмет на расстоянии наилучшего зрения (25 см) от глаза и угол зрения был бы равен 2Y. Рассматривая прямоугольные треугольники с катетами 25 см и F см и обозначая половину предмета Z, можем написать :

где 2B – угол зрения, при наблюдении через лупу;

2Y - угол зрения, при наблюдении невооруженным глазом;

F – расстояние от предмета до лупы;

Z – половина длины рассматриваемого предмета.

Принимая во внимание , что через лупу рассматривают обычно мелкие детали и поэтому углы Y и B малы, можно тангенсы заменить углами. Таким образом получится cледующее выражение для увеличения лупы

Следовательно, увеличение лупы пропорционально 1 / F , то есть её оптической силе.

1.2.2. Микроскоп

Прибор, позволяющий получить большое увеличение при рассматривании малых предметов, называется микроскопом.

Простейший микроскоп состоит из двух собирающих линз.

Очень короткофокусный объектив L1 даёт сильно увеличенное действительное изображение предмета P'Q' , которое рассматривается окуляром, как лупой.

Обозначим линейное увеличение , даваемое объективом, через n1 , а окуляром через n2 , это значит , что = n1 и = n2 ,

где P'Q' – увеличенное действительное изображение предмета;

PQ – размер предмета;

P''Q'' - увеличенное мнимое изображение предмета;

n1 – линейное увеличение объектива;

n2 – линейное увеличение окуляра.

Перемножив эти выражения , получим = n1 n2 ,

где PQ – размер предмета;

P''Q'' - увеличенное мнимое изображение предмета;

n1 – линейное увеличение объектива;

n2 – линейное увеличение окуляра.

Отсюда видно , что увеличение микроскопа равно произведению увеличений, даваемых объективом и окуляром в отдельности. Поэтому возможно построить инструменты, дающие очень большие увеличения – до 1000 и даже больше. В хороших микроскопах объектив и окуляр - сложные.

Окуляр обычно состоит из двух линз объектив же гораздо сложнее. Желание получить большие увеличения заставляют употреблять короткофокусные линзы с очень большой оптической силой. Рассматриваемый объект ставится очень близко от объектива и дает широкий пучок лучей, заполняющий всю поверхность первой линзы. Таким образом , создаются очень невыгодные условия для получения резкого изображения: толстые линзы и нецентральные лучи. Поэтому для исправления всевозможных недостатков приходится прибегать к комбинациям из многих линз различных сортов стекла.

В современных микроскопах теоретический предел уже почти достигнут. Видеть в микроскоп можно и очень малые объекты , но их изображения представляются в виде маленьких пятнышек, не имеющих никакого сходства с объектом.

При рассматривании таких маленьких частиц пользуются так называемым ультрамикроскопом, который представляет собой обычный микроскоп с конденсором, дающим возможность интенсивно освещать рассматриваемый объект сбоку, перпендикулярно оси микроскопа.

С помощью ультрамикроскопа удаётся обнаружить частицы , размер которых не превышает миллимикронов.

1.2.3. Зрительная труба

Простейшая зрительная труба состоит из двух собирающих линз. Одна линза, обращенная к рассматриваемому предмету, называется объективом , а другая , обращенная к глазу наблюдателя - окуляром.

Ход лучей в зрительной трубе показан на рисунке.

Объектив L1 дает действительное обратное и сильно уменьшенное изображение предмета P1 Q1 , лежащее около главного фокуса объектива. Окуляр помещают так, чтобы изображение предмета находилось в его главном фокусе. В этом положении окуляр играет роль лупы, при помощи которой рассматривается действительное изображение предмета. Действие трубы, так же как и лупы, сводится к увеличению угла зрения. При помощи трубы обычно рассматривают предметы, находящиеся на расстояниях, во много раз превышающих её длину.

Поэтому угол зрения, под которым предмет виден без трубы, можно принять угол 2B, образованный лучами, идущими от краев предмета через оптический центр объектива.

Изображение видно под углом 2Y и лежит почти в самом фокусе F объектива и в фокусе F1 окуляра.

Рассматривая два прямоугольных треугольника с общим катетом Z' , можем написать:

где 2Y - угол под которым видно изображение предмета;

2B - угол зрения, под которым виден предмет невооруженным глазом;

F - фокус объектива;

F1 - фокус окуляра;

Z' - половина длины рассматриваемого предмета.

Углы Y и B - не велики, поэтому можно с достаточным приближением заменить tgY и tgB углами и тогда увеличение трубы

где 2Y - угол под которым видно изображение предмета;

2B - угол зрения, под которым виден предмет невооруженным глазом;

F - фокус объектива;

F1 - фокус окуляра.

Угловое увеличение трубы определяется отношением фокусного расстояния объектива к фокусному расстоянию окуляра. Чтобы получить большое увеличение, надо брать длиннофокусный объектив и короткофокусный окуляр.

1.2.4. Проекционные аппараты.

Для показа зрителям на экране увеличенного изображения рисунков, фотоснимков или чертежей применяют проекционный аппарат. Рисунок на стекле или на прозрачной пленке называют диапозитивом, а сам аппарат , предназначенный для показа таких рисунков, - диаскопом. Если аппарат предназначен для показа непрозрачных картин и чертежей , то его называют эпископом. Аппарат , предназначенный для обоих случаев называется эпидиаскопом.

Линзу , которая создает изображение находящегося перед ней предмета, называют объективом. Обычно объектив представляет собой оптическую систему, у которой устранены важнейшие недостатки, свойственные отдельным линзам. Чтобы изображение предмета на было хорошо видно зрителям, сам предмет должен быть ярко освещен.

Источник света S помещается в центре вогнутого зеркала (рефлектора) Р. свет идущий непосредственно от источника S и отраженный от рефлектора Р, попадает на конденсор К, который состоит из двух плосковыпуклых линз. Конденсор собирает эти световые лучи на объективе О, который уже направляет их на экран Э, где получается изображение диапозитива Д.

Сам диапозитив помещается между главным фокусом объектива и точкой, находящейся на расстоянии 2F от объектива. Резкость изображения на экране достигается перемещением объектива, которое часто называется наводкой на фокус.

1.2.5. Спектроскоп

Для наблюдения спектров пользуются спектроскопом.

Наиболее распространенный призматический спектроскоп состоит из двух труб, между которыми помещают трехгранную призму.

В трубе А , называемой коллиматором имеется узкая щель, ширину которой можно регулировать поворотом винта. Перед щелью помещается источник света, спектр которого необходимо исследовать. Щель располагается в фокальной плоскости коллиматора, и поэтому световые лучи из коллиматора выходят в виде параллельного пучка. Пройдя через призму , световые лучи направляются в трубу В , через которую наблюдают спектр. Если спектроскоп предназначен для измерений , то на изображение спектра с помощью специального устройства накладывается изображение шкалы с делениями , что позволяет точно установить положение цветовых линий в спектре.

При исследовании спектра часто бывает целесообразней сфотографировать его , а затем изучать с помощью микроскопа.

Прибор для фотографирования спектров называется спектрографом.

Схема спектрографа показана на рисунке.

Спектр излучения с помощью линзы Л2 фокусируется на матовое стекло АВ, которое при фотографировании заменяют фотопластинкой.


Глава 2. Дифракционные явления в оптических инструментах

Дифракционные явления играют важную роль при работе оптических инструментов, предназначенных для получения изображений объектов (глаз, объектив телескопа, микроскоп и т.д.). Дифракция определяет волновой предел разрешения инструментов, то есть минимальный размер деталей объекта, которые могут быть разрешены в изображении.

Оптические изображения, полученные с помощью линз или зеркал, никогда не воспроизводят объект с идеальной точностью. Они бывают искажены вследствие всякого рода несовершенств оптических систем (аберрации). Но даже идеальная линза, свободная от аберраций, не может дать идеального изображения из-за волновой природы света. Дифракция световой волны, возникающая из-за конечного размера линз и зеркал, приводит к нарушению стигматичности изображений. Это означает, что изображения точечных объектов не могут быть точечными; они изображаются дифракционными пятнами конечного размера. Вследствие перекрытия дифракционных изображений две близкие точки объекта могут оказаться неразрешимыми в изображении. Таким образом, возникает важная задача о дифракционном пределе разрешения оптических инструментов.

2.1. Дифракция Фраунгофера в геометрически сопряженных плоскостях.


Изображения, получаемые при помощи линз или зеркал, располагаются в геометрически сопряженных плоскостях. В этом случае для пучка лучей, распространяющегося от каждой точки объекта, выполняется условие дифракции Фраунгофера. Пусть, например, параллельный пучок света от далекого точечного объекта, сходится в фокальной плоскости линзы (рис. 2.1).

Рисунок 2.1.

Дифракция Фраунгофера в фокальной плоскости линзы.

Каждая точка фокальной плоскости соответствует бесконечно удаленной точке; следовательно, в фокальной плоскости выполняется условие дифракции Фраунгофера. Роль препятствия, на котором свет испытывает дифракцию, играет диафрагма D, ограничивающаяся световой пучок. Такой диафрагмой, в частности, может являться оправа самой линзы. Принято говорить, что дифракция происходит на входной апертуре оптической системы.

Аналогичным образом можно проиллюстрировать случай, когда точечный источник находится на конечном расстоянии a от линзы, а изображение возникает на расстоянии b за линзой. При этом расстояния а и b подчиняются формуле линзы

(2.1)

Для простоты мы ограничиваемся здесь случаем тонкой линзы.

Для того, чтобы пояснить, почему и в этом случае выполняется условие наблюдения дифракции Фраунгофера, заменим одиночную линзу с фокусным расстоянием F двумя вплотную расположенными линзами с фокусными расстояниями и (рис. 2.2). Тогда источник оказываются расположенными в переднем фокусе первой линзы, а плоскость изображения совпадает с задней фокальной плоскостью второй линзы. При этом автоматически выполняется соотношение (2.1), так как оно равносильно правилу сложения оптических сил (то есть обратных фокусных расстояний) двух близко расположенных линз. В промежутке между линзами лучи идут параллельным пучком. Сравнивая рис. 2.1 и 2.2, можно заключить, что во втором случае дифракция Фраунгофера


происходит на общей оправе линз и наблюдается в задней фокальной плоскости второй линзы.

Рисунок 2.2.

Дифракция Фраунгофера в плоскости, геометрически сопряженной источнику.

Рис. 2.1 соответствует картине дифракции света в объективе телескопа (или глаза), рис. 2.2 – дифракции в объективе микроскопа.

2.2. Дифракция Фраунгофера на щели и круглом отверстии.

Если перед линзой расположена диафрагма в виде узкой щели ширины D, то расчет для дифракционной картины Фраунгофера не представляет труда. В этом случае для распределения интенсивности в дифракционной картине получается выражение


(2.2)

Здесь q – угловая координата плоскости наблюдения. При наблюдении дифракции в геометрически сопряженной плоскости линейная координата r связана (в случае малых углов) с угловой координатой соотношением: r = F*q. (или r = F2 *q для случая рисунка 2.2).

Распределение l( q ) имеет главный максимум при q = 0 и эквидистантно расположенные нули при sinq = ml/D, где m – целое число. Значительная часть энергии света, прошедшего через щель, локализуется в главном дифракционном максимуме, угловая полуширина которого равна l/D. Интенсивность соседнего максимума составляет приблизительно 5 % от интенсивности в центре дифракционной картины. Этот случай представляет для дифракционной теории оптических инструментов чисто методический интерес, поскольку, как правило, входные апертуры имеют вид круглых отверстий. Расчет фраунгоферовой дифракции на круглом отверстии оказывается достаточно громоздким и приводит к бесселевым функциям первого порядка I1 .

Распределение интенсивности света при дифракции Фраунгофера на круглом отверстии диаметра D выражается формулой


(2.3)


Распределения (2.2) и (2.3) очень похожи друг на друга. Картина дифракции на круглом отверстии имеет вид концентрических колец. Центральное светлое пятно носит название пятна Эйри. Интенсивность в максимуме первого светлого кольца составляет приблизительно 2 % от интенсивности в центре пятна Эйри. Распределение (2.3) показано на рис. 2.3.

Рисунок 2.3.

Дифракция Фраунгофера на круглом отверстии.

При оценке разрешающей способности оптических инструментов важно знать размер центрального дифракционного максимума. Угловой радиус пятна Эйри выражается соотношением


(2.4)

2.3. Интенсивность света в фокусе линзы.

Как следует из формулы (2.4), линейный размер дифракционного пятна пропорционален 1/D , а его площадь в фокальной плоскости ~ 1/D2 . При этом полный поток световой энергии, проходящий через линзу, изменяется пропорционально ее площади (~ D2 ). Таким образом, интенсивность света в фокусе (в центре пятна Эйри) изменяется прямо пропорционально D4 . Этот результат можно строго получить методом зон Френеля. Линзу следует рассматривать, как зонную пластинку, которая компенсирует фазовые сдвиги световых колебаний в фокусе как от различных зон Френеля так и от разных элементов одной и той же зоны. На языке векторных диаграмм это означает, что линза «выпрямляет» цепочку элементарных векторов, образующих векторную диаграмму для кольцевых зон Френеля.

Число зон Френеля, укладывающихся на линзе, в случае, когда точка наблюдения совпадает с главным фокусом, равно m = D2 /4lF. Вклад одной зоны равен pA0 , где А0 - амплитуда волны от источника. Пренебрегая закручиванием спирали, то есть считая вклады всех зон одинаковыми, получим А = mpA0 . Следовательно, выигрыш от фокусировки


(2.5)

где S – площадь линзы. Из-за малого значения оптической длины волны отношение I / I0 оказывается весьма значительным. Например, для линзы диаметром D = 5 см и фокусным расстоянием F = 50 см выигрыш от фокусировки оказывается порядка 108 .

2.4. Дифракционный предел разрешения оптических инструментов

2.4.1. Разрешающая способность телескопа.

Под разрешающей способностью телескопа принято понимать разрешающую способность его объектива. Телескопы предназначены для наблюдения удаленных объектов (звезд). Пусть с помощью телескопа, объектив которого имеет диаметр D, рассматриваются две близкие звезды, находящиеся на угловом расстоянии . Изображение каждой звезды в фокальной плоскости объектива имеет линейный размер (радиус пятна Эйри), равный lF/D. При этом центры изображений находятся на расстоянии y*F. Как и в случае спектральных приборов, при определении дифракционного предела разрешения используется условный критерий Рэлея (рис. 2.4). Разница состоит в том, что в случае спектральных приборов речь идет о разрешении двух близких спектральных линий по их изображениям, а в случае оптических инструментов – о разрешении двух близких точек объекта.


Согласно критерию Рэлея, две близкие точки объекта считаются разрешенными, если расстояние между центрами дифракционных изображений равно радиусу пятна Эйри.

Рисунок 2.4.

Предел разрешения изображений двух близких звезд по Рэлею.

Применение критерия Рзлея к объективу телескопа дает для дифракционного предела разрешения:


(2.6)

Следует отметить, что в центре кривой суммарного распределения интенсивности (рис. 2.4) имеется провал порядка 20 % и поэтому критерий Рэлея лишь приблизительно соответствует возможностям визуального наблюдения. Опытный наблюдатель уверенно может разрешать две близкие точки объекта, находящиеся на расстоянии в несколько раз меньшем ymin .

Числовая оценка дает для объектива диаметром D = 10 см, ymin = 6,7*10-6 рад = 1,3”, а для D=102 см, ymin = 0,13”.

Этот пример показывает, насколько важны большие астрономические инструменты. Крупнейший в мире действующий телескоп-рефлектор имеет диаметр зеркала D = 6 м. Теоретическое значение предела разрешения такого телескопа ymin = 0,023”. Для второго по величине телескопа-рефлектора обсерватории Маунт-Паломар с D = 5 м теоретическое значение ymin = 0,028”. Однако, нестационарные процессы в атмосфере позволяют приблизиться к теоретическому значению предела разрешения таких гигантских телескопов лишь в те редкие кратковременные периоды наблюдений. Большие телескопы строятся главным образом для увеличения светового потока, поступающего в объектив от далеких небесных объектов.

2.4.2. Разрешающая способность глаза.


Все сказанное выше о пределе разрешения объектива телескопа относится и к глазу. На сетчатке глаза при рассмотрении удаленных объектов формируется дифракционное изображение. Поэтому формула (2.6) применима и к глазу, если под D понимать диаметр зрачка d3p . Полагая d3p = 3 мм, l = 550 нм, найдем для предельного разрешения человеческого глаза:

Известно, что сетчатка глаза состоит из светочувствительных рецепторов конечного размера. Полученная выше оценка находится в очень хорошем согласии с физиологической оценкой разрешающей способности глаза. Оказывается, что размер дифракционного пятна на сетчатке глаза приблизительно равен размеру светочувствительных рецепторов. В этом можно усмотреть мудрость Природы, которая в процессе эволюции стремится реализовать оптимальные свойства живых организмов.

2.4.3. Предел разрешения микроскопа

В случае микроскопа объект располагается вблизи переднего фокуса объектива. Интерес представляет линейный размер деталей объекта, разрешаемых с помощью микроскопа. Изображение, даваемое объективом, располагается на достаточно большом расстоянии L>>F. У стандартных микроскопов L = 16 см, а фокусное расстояние объектива – несколько миллиметров. Объект может располагаться в среде, показатель преломления которой n > 1 (иммерсия).

Радиус пятна Эйри в плоскости изображения равен 1.22lL/D, где D – диаметр объектива. Следовательно, микроскоп позволяет разрешить две близкие точки объекта, находящиеся на расстоянии l, если центры их дифракционных изображений окажутся на расстоянии l', превышающим радиус дифракционного пятна (критерий Рэлея).


(2.7)


Здесь u’= D/2L – угол, под которым виден радиус объектива из плоскости изображения (рис. 2.5).

Рисунок 2.5.

К условию синусов Аббе.

Чтобы перейти к линейным размерам самого объекта, следует воспользоваться так называемым условием синусов Аббе, которое выполняется для любого объектива микроскопа:


(2.8)

При написании последнего выражения принята во внимание малость угла u'. Отсюда для предела разрешения объектива микроскопа получаем выражение:


(2.9)

Угол 2u называют аппретурным углом, а произведение n*sinu – числовой апертурой. У хороших объективов угол u близок к теоретическому пределу u=p/2. Полагая для примера показатель преломления иммерсионной жидкости n = 1,5, получим оценку: lmin =0,4l.

2.4.4. Замечание о нормальном увеличении оптических инструментов.

Как в телескопе, так и в микроскопе изображение, полученное с помощью объектива, рассматривается глазом через окуляр. Для того, чтобы реализовать полностью разрешающую способность объектива система окуляр–глаз не должна вносить дополнительных дифракционных искажений. Это достигается целесообразным выбором увеличения оптического инструмента (телескопа или микроскопа). При заданном объективе задача сводится к подбору окуляра. На основании общих соображений волновой теории можно сформулировать следующее условие, при котором будет полностью реализована разрешающая способность объектива: диаметр пучка лучей, выходящих из окуляра не должен превышать диаметра зрачка глаза d3p . Таким образом, окуляр оптического инструмента должен быть достаточно короткофокусным.


Поясним это утверждение на примере телескопа. На рис. 2.6 изображен телескопический ход лучей.

Рисунок 2.6.

Телескопический ход лучей


Две близкие звезды, находящиеся на угловом расстоянии ymin в фокальной плоскости объектива изображаются дифракционными пятнами, центры которых располагаются на расстоянии ymin F1 . Пройдя через окуляр, лучи попадут в глаз под углом ymin F1 /F2 . Этот угол должен быть разрешимым для глаза, зрачок которого имеет диаметр d3p . Таким образом:

Здесь g = F1 /F2 – угловое увеличение телескопа. Отношение D/g имеет смысл диаметра пучка, выходящего из окуляра. Знак равенства в (4.10) соответствует случаю нормального величения.


(2.11)

В случае нормального увеличения диаметр пучка лучей, выходящих из окуляра, равен диаметру зрачка d3p . При g> gN в системе телескоп–глаз полностью используется разрешающая способность объектива. Аналогичным образом решается вопрос об увеличении микроскопа. Под увеличением микроскопа понимают отношение углового размера объекта, наблюдаемого через микроскоп, к угловому размеру самого объекта, наблюдаемого невооруженным глазом на расстоянии наилучшего зрения d, которое для нормального глаза полагается равным 25 см. Расчет нормального увеличения микроскопа приводит к выражению:


(2.12)

Вывод формулы (2.12) является полезным упражнением для студентов. Как и в случае телескопа, нормальное увеличение микроскопа есть наименьшее увеличение, при котором может быть полностью использована разрешающая способность объектива. Следует подчеркнуть, что применение увеличений больше нормального не может выявить новые детали объекта. Однако, по причинам физиологического характера при работе на пределе разрешения инструмента целесообразно иногда выбирать увеличение, превосходящее нормальное в 2–3 раза.

Заключение

Практическое значение оптики и её влияние на другие отрасли знания исключительно велики. Изобретение телескопа и спектроскопа открыло перед человеком удивительнейший и богатейший мир явлений , происходящих в необъятной Вселенной. Изобретение микроскопа произвело революцию в биологии. Фотография помогла и продолжает помогать чуть ли не всем отраслям науки. Одним из важнейших элементов научной аппаратуры является линза. Без неё не было бы микроскопа, телескопа, спектроскопа, фотоаппарата, кино , телевидения и т.п. не было бы очков, и многие люди, которым перевалило за 50 лет, были бы лишены возможности читать и выполнять многие работы , связанные со зрением.

Область явлений, изучаемая физической оптикой, весьма обширна. Оптические явления теснейшим образом связаны с явлениями, изучаемыми в других разделах физики, а оптические методы исследования относятся к наиболее тонким и точным. Поэтому неудивительно , что оптике на протяжении длительного времени принадлежала ведущая роль в очень многих фундаментальных исследованиях и развитии основных физических воззрений. Достаточно сказать, что обе основные физические теории прошлого столетия - теория относительности и теория квантов - зародились и в значительной степени развились на почве оптических исследований. Изобретение лазеров открыло новые широчайшие возможности не только в оптике, но и в её приложениях в различных отраслях науки и техники.

Источники:

http://www.markbook.chat.ru

http://www.college.ru

http://som.fio.ru

Оценить/Добавить комментарий
Имя
Оценка
Комментарии:
Срочная помощь учащимся в написании различных работ. Бесплатные корректировки! Круглосуточная поддержка! Узнай стоимость твоей работы на сайте 64362.ru
20:01:05 10 сентября 2021
Если Вам нужна помощь с учебными работами, ну или будет нужна в будущем (курсовая, дипломная, отчет по практике, контрольная, РГР, решение задач, онлайн-помощь на экзамене или "любая другая" учебная работа...) - обращайтесь: https://clck.ru/P8YFs - (просто скопируйте этот адрес и вставьте в браузер) Сделаем все качественно и в самые короткие сроки + бесплатные доработки до самой сдачи/защиты! Предоставим все необходимые гарантии.
Леонида03:11:17 23 июня 2020
Привет студентам) если возникают трудности с любой работой (от реферата и контрольных до диплома), можете обратиться на FAST-REFERAT.RU , я там обычно заказываю, все качественно и в срок) в любом случае попробуйте, за спрос денег не берут)
Olya22:31:52 24 августа 2019
.
.22:31:51 24 августа 2019
.
.22:31:50 24 августа 2019

Смотреть все комментарии (17)
Работы, похожие на Реферат: Оптические инструменты, вооружающие глаз

Назад
Меню
Главная
Рефераты
Благодарности
Опрос
Станете ли вы заказывать работу за деньги, если не найдете ее в Интернете?

Да, в любом случае.
Да, но только в случае крайней необходимости.
Возможно, в зависимости от цены.
Нет, напишу его сам.
Нет, забью.



Результаты(286105)
Комментарии (4150)
Copyright © 2005-2021 HEKIMA.RU [email protected] реклама на сайте