| РЕФЕРАТ
на тему: «Глобальная история Вселенной от океана «чистой» энергии до Третьей Мировой
Ядерной Войны»
Выполнил: Шадрин Д.Г.
Челябинск, 2001 г.
Вступление
Уважаемый читатель, просим Вас, знакомясь с предложенными теориями, не забывать о том, что факты, представленные в доказательство гипотезы, являются лишь косвенными подтверждениями гипотезы.
Часть первая
ТЕОРИЯ сИСТЕМНОСТИ мИРОВ
Глава 1. Нейтрино – это гравитон
Прежде чем доказывать самое главное утверждение в моей теории, обратимся к фактам. Я взял сообщение из источника [1; 182-185] и приведу его дословно: «Твердотельные гравитационные неохлажденные детекторы веберовского типа представляют, фактически, только нулевое приближение к желаемому гравитационно-волновому приемнику, ввиду их недостаточной чувствительности в сравнении с оценками астрофизического прогноза (h » 10-16 против h » 10-20). Более точно их следовало назвать «высокочастотными градиентометрами наземного гравитационного поля» или «геофизическими детекторами». Именно в таком качестве их стремились использовать научные группы в Римском и Мэримендском университетах, проводя долговременные наблюдения за шумовым эффектом этих приборов. Имеются экспериментальные аргументы (правда, не получившие пока правдоподобного теоретического объяснения), свидетельствующие в пользу того, что шумовые характеристики геофизических детекторов несут информацию о таких глобальных процессах как колебания собственных мод Земли, приливные эффекты и др.
Недавние экспериментальные факты вызвали новый интерес научной общественности к этим приборам. Как известно, в феврале 1987 года была зарегистрирована Сверхновая 87А в Магеллановом облаке на расстоянии около 52 кПс (килоПарсек.) от Земли. Сенсационным сообщением явилось то, что кроме обычной регистрации, это явление сопровождалось статистически достоверными надфоновыми сигналами нейтринных телескопов. Первой это событие обнаружила советско-итальянская исследовательская группа на нейтринной обсерватории под Монбланом. Она сообщила о регистрации пяти аномальных всплесков, еще не зная информацию об оптическом открытии Сверхновой. Когда поступила и эта информация, то оказалось что нейтринные события опережают факт оптической регистрации на 6 часов. Вслед за этим апостериорный анализ данных на других крупных нейтринных установках – Камиоканде (Япония), IBМ (США) и Баксанской нейтринной обсерватории (СССР) показал наличие превышающих фон сигналов в ночь появления Сверхновой 23 февраля 1987 г.
По инициативе Римской гравитационной волновой группы под руководством г. Пиццеллы был проведен совместный статистический анализ шумовых фонов Римского неохлажденного детектора, работающего в период появления Сверхновой и нейтринного телескопа под Монбланом.
Римский детектор зарегистрировал возрастание шума в момент, коррелированный по времени с пятью нейтринными всплесками на Монблане. Причем уже простейшая взаимная фильтрация данных по методу наименьших квадратов обнаружила факт опережения «гравитационного сигнала» по отношению к «нейтринному сигналу» примерно на 1,5 секунды. Это позволяет дать оценку массы покоя нейтрино на уровне ~10эВ. К моменту написания данной статьи выполнен объемный статистический анализ, обнаруживающий значимую корреляцию данных, комбинируемых с помощью различных взаимоподдерживающих тестов. Корреляция свидетельствует о существовании объективного глобального возмущающего источника, действие которого локализовано в двухчасовом интервале вокруг момента регистрации пятикомпонентного нейтринного сигнала монблановского детектора.
Приведём главные выводы, следующие из статистического анализа:
1) Имеется достоверная корреляция (в смысле аномального возрастания числа совпадений) между суммарной шумовой энергией римского и мэрилендского детекторов и шумовым фоном нейтринного сцинтиляционного телескопа под Монбланом. Причём это имеет место только внутри упомянутого двухчасового интервала при условии опережающего сдвига гравитационного сигнала по тношению к нейтринному на ~(1,2±0,5) сек. Вероятность случайного характера наблюдаемого эффекта весьма мала ~ 10-5¸10-6.
2) Такая же корреляция наблюдается при сопоставлении гравитационных данных с фоном нейтринного черенковского телескопа Камиоканде. Вводимая временная коррекция (~7 cек) находится внутри неопределенности абсолютного времени по часам Камиоканде и соответствует относительному запаздыванию больших нейтронных сигналов в парах Камиоканде – Баксан, Камиоканде – IBM. Вероятность случайности ~3х10-4 .
3) Наблюдаются парные корреляции событий на нейтринных телескопах с временными сдвигами, обеспечивающими максимальный эффект, но находящимися внутри неопределенности локальных часов. Вероятность случайности для пары Монблан – Баксан оценивается как: 4х10-3; Монблан-Камиоканде: 4х10-3; Баксан-Камиоканде: 5х10-4.
4) События всех нейтринных детекторов следуют за сигналами гравитационных детекторов с величиной запаздывания (0,5¸1) сек (положение максимальной корреляции).
Этими четырьмя факторами охватывается основное результативное содержание инцидента со Сверхновой 87А. Они служат основанием для утверждения объективной регистрации некоторого глобального феномена.»
Итак, в речь в этой статье идет о том, что нейтринный сигнал фактически обогнал фотонный сигнал. Нет никаких подобных реакций при рождении Сверхновой, когда могло бы вначале образоваться нейтрино, а потом спустя 6 часов появились фотоны. Такой реакции просто нет. Но речь не об этом. Если подобная реакция и существует, то непонятно одно: «Каким образом нейтрино связано с гравитонами?» Гравитация распространяется быстрее света, а поступило пять сигналов, обогнавших свет! Я попытаюсь доказать, что нейтрино и есть гравитон. Но сначала давайте разберемся с основными элементарными частицами, участвующими в гравитации.
+р – протон, е- – электрон, е+ – позитрон, g – фотон, n0 – нейтрон, n – нейтрино и n- – антинейтрино.
Именно эти основные частицы участвуют в образовании химических элементов. Все остальные частицы появились в результате деления или взаимодействия этих основных частиц.
Все элементарные частицы подвержены слабому гравитационному взаимодействию. Также все перечисленные частицы имеют в своём составе нейтрино. Но не будем торопиться. Давайте сначала разберемся с парадоксами. Рассмотрим Бета-распад: превращение в радиоактивном ядре нейтрона в протон, а также при превращении избыточного протона в нейтрон.
Вам не кажутся странными подобные реакции? Можно ли сделать вывод из этих реакций?

Неправда ли, странный вывод? Ведь из ничего появляются новые частицы. Значит, можно полностью проигнорировать закон сохранения энергии?
И тут нельзя просто так уйти от реальности, сказав, что частицы появились в результате деления бесконечного вакуума. В элементарной физике доподлинно известно, что за то или иное взаимодействие отвечает определенный вид частиц. Даже за гравитацию должны отвечать гравитоны. То есть энергия массы не может уходить в никуда при аннигиляции. Энергия массы уходит вместе с квантами гравитационного поля - гравитонами, а «новые» частицы появились потому, что уже первоначально входили в состав делимых частиц.
Чтобы прояснить ситуацию, я расскажу еще об одном парадоксе. Мы уже рассмотрели процесс взрыва Сверхновой. Теперь рассмотрим конечную стадию её эволюции. Появление нейтронной звезды [2; 8-9]:
За счет огромной гравитации происходит процесс сжатия звезды: «Сжатие приводит к повышению температуры. При этом температура поднимается настолько, что начинается расщепление ядер железа, из которых состоит ядро звезды, на нейтроны, протоны и g
-частицы. При этом происходит превращение пары протон – электрон в пару нейтрон – нейтрино. Так как сечение взаимодействия низкоэнергетичных нейтрино ( En < 10 МэВ) в веществах мало (d ~ 10-43 см2), то нейтрино быстро покидают центральную часть звезды, эффективно унося энергию и охлаждая ядро звезды». Также приведена формула:
e+ + e- « 2g
e+ + e- ® n. + n.
Странная реакция, не правда ли? Еще можно понять превращение электрона и позитрона в фотоны, хотя и тут непонятно каким образом массивные частицы превращаются в безмассовые, ведь в этом случае заряд и электрона и позитрона в фотонах остается неизменным. Но реакция превращения электрона и позитрона в нейтрино и антинейтрино – полный абсурд. То есть массивные заряженные частицы превращаются в безмассовые частицы, не имеющие заряда. Это еще одно полное игнорирование закона сохранения энергии. Энергия частиц уходит в никуда.
Не хотелось бы повторяться, но что это: опять проделки бесконечного вакуума? Неужели вся элементарная физика строится по принципу: «Из вакуума вышло и в вакуум ушло»? Это что за безрассудство, глупость или непонимание проблемы? И все уверения физиков что: «Все это мы можем объяснить» – просто абсурдны. Ведь законы гравитации, сохранения энергии, импульса незыблемы в той же механике. В микромире же они теряют всякий смысл. Но ведь это нонсенс. Механика строится на физических телах. Физические тела состоят из молекул. Молекулы из атомов. Атомы из элементарных частиц.
То есть смело можно утверждать, что механика основана на элементарных частицах, а не наоборот. Иными словами, если законы механики работают на уровне физических тел, то на уровне микромира эти законы должны работать обязательно
. И они не работают в лабораториях не потому, что этого не происходит, а потому, что мы не знаем, как это происходит.
Ни в одной лаборатории мира не были открыты гравитоны. А вернее никем не было доказано, что из более чем 350 открытых частиц хотя бы одна являлась гравитоном. И в то же время науке достоверно известно о существовании гравитационных полей. А значит, должен существовать и квант гравитационного поля – гравитон. И все утверждения о том, что можно объяснить отсутствие гравитонов, просто смешны. Если говорить о том, что можно объяснить все виды взаимодействий, кроме гравитационного, то это выглядит не просто смешно. Это выглядит нелепо. Ведь все виды взаимодействий основываются именно на этом самом главном гравитационном взаимодействии. А разговоры о том, что гравитацию можно проигнорировать на молекулярном уровне как взаимодействие, я считаю просто вредными. Мне могут возразить, что существуют конкретные примеры исчезновения элементарных частиц в «никуда». Например, в качестве доказательства теории Относительности приводился такой факт. На Землю поступает огромное количество нейтрино из космоса, но до Земли долетает лишь их малая часть. Из этого факта сделали вывод, что нейтрино способно двигаться быстрее скорости света и большая его часть просто исчезает в соседнем измерении. Но это возражение, наоборот, работает на меня. Из этого факта можно сделать три вывода:
1) Мы не можем определить частицы, исчезнувшие в соседнем измерении.
2) Мы не можем определить скорость нейтрино.
3) Мы не можем определить массу покоя нейтрино.
То есть, все это говорит о недостатках нашей техники, и о неспособности определить какой же в действительности частицей является нейтрино. То есть мы не можем определить, как нейтрино участвует во взаимодействиях.
Я считаю, что нейтрино участвует в гравитационном взаимодействии. Более того, я считаю, что нейтрино и есть квант гравитационного поля – гравитон.
В подтверждение этого я могу привести два сходных факта между нейтрино и гравитационным полем:
1) Возможность распространяться мгновенно и быстрее скорости света.
2) Невозможность определения гравитационного взаимодействия на малых массах. (Масса покоя нейтрино так и не была обнаружена).
Все те же, кто говорит о том, что частицы пришли из другого измерения, просто невежественны в теории относительности. Ведь все
появляющиеся при реакциях частицы должны появляться со скоростью света или близко к ней. Все же частицы, которые «появляются» при реакциях давно изучены и скорости их известны (они далеко не световые).
Если подставить нейтрино во все формулы в качестве гравитона, то решатся все парадоксы и вопросы, возникающие в элементарной физике.
Я попытаюсь решить эти проблемы. Во-первых, при аннигиляции, электрон и позитрон теряют свою массу и положительный и отрицательный заряды. Я считаю, что нейтрино придает направленность заряду электрона и позитрона. То есть при аннигиляции происходит следующая реакция:
e+ + e- ® n + n + 2g
Причем нейтрино содержит отрицательный заряд, а антинейтрино – положительный.
Тогда протон состоит из следующих элементов: Что же касается распада протона в тяжелом ядре, то чтобы ему распасться он сначала поглощает нейтрино и превращается в тяжелый нейтрон:
Если речь идет о распаде нейтрона в бета распаде, то в этом случае распадается тяжелый нейтрон на протон и нейтрино, а потом идет дальнейший распад: то есть в тяжелом нейтроне нейтрино и антинейтрино уравновешивают заряды друг друга.
Тяжелый нейтрон( )может поглотить нейтрино и тогда начнется процесс распада:
причем получившийся после реакции протон не имеет в своем составе фотона, но обладает положительным зарядом и той же массой, что и обычный протон: И нейтрино и антинейтрино обладают одинаковой массой. В таком виде, а также в составе электрона и позитрона они присутствуют во всех элементарных частицах, кроме нейтрона и фотона.
Всем реакциям, в которых осуществляется так называемый распад нейтрона, предшествует распад ядра. Но ядро при этом должно быть тяжелым. То есть нейтрон получает массу из ниоткуда. На самом деле нейтрон является лишь точкой опоры ядра. А протон получается от взаимодействия позитрона и нейтрона. Протон, обладая массой, может привлечь нейтрино (проносящиеся со скоростью света, но обладающего массой). Массы, как известно, складываются. Также складываются и знаки. То есть положительный протон притянет отрицательное нейтрино. Знаки скомпенсируются и станут нулем. То есть формально частица будет нейтральной и будет иметь в своем составе нейтрон, но также она будет обладать и массой, а все частицы, которые «неожиданно» появятся из нейтрона явятся следствием деления тяжелого ядра.
Существование «новой» частицы под названием тяжелый нейтрон может подтвердить такая частица, как антинейтрон. Антинейтрон обладает отрицательным спином по отношению к нейтрону и может образоваться в результате соединения трех частиц: нейтрона, электрона и антинейтрино, то есть фактически речь идет не о нейтроне, а о тяжелом антинейтроне:
но прежде чем произойдет такая реакция, должна произойти другая реакция – реакция образования антипротона. После термоядерной реакции свободный электрон попадает на орбиту ядра или встречается с другим электроном, но иногда электрон попадает на нейтрон:
Но чаще всего электрон падает на протон, образуя тяжелый нейтрон: либо на только что образовавшийся антипротон, образуя обычный легкий нейтрон:
То есть образование тяжелого антинейтрона – редкое явление. Такая частица как нейтрон получается в результате деления тяжелого ядра, формулы же «легкого» ядра, выглядят так: Как я уже говорил, нейтрино входит в состав всех частиц, кроме легкого нейтрона и фотона.
Чтобы лучше понять, какие процессы происходят при распаде ядра, обратимся к источнику [3; 40]:
«Ядерный b-распад один из ярких примеров проявления слабых взаимодействий элементарных частиц. В этом процессе принимают непосредственное участие как нуклоны (n – нейтрон; p – протон), так и лептонные (е- – электрон; е+ – позитрон; n – нейтрино; n- – антинейтрино), поэтому в основе описания b-распада лежит физика атомного ядра и физика слабых взаимодействий элементарных частиц.
С процессом b-распада связаны в основном три реакции:
1) Испускание электрона (b-- распад)
2) Испускание позитрона (b + - распад)
3) Захват орбитального электрона: [Захват орбитального электрона происходит при гигантской массе ядра, когда ядро содержит не один антипротон, а множество протонов и антипротонов

(антипротонов просто больше), создав тяжелый антипротон – . Но масса и
концентрация антинейтрино вокруг ядра такова, что гравитационные силы превосходят электромагнитные, и поэтому электрон падает на ядро, при этом

появляется не просто нейтрон, а супер-нейтрон – . Количество же выделенных
нейтрино никогда не поддавалось точному подсчету. Тем более невозможно измерить количество нейтрино при реакции нейтронизации вещества.
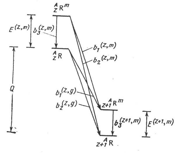
Одной из наиболее важных величин, характеризующей «распад ядра вообще» (по любому каналу) и b+ _ распад в частности, является разность энергии Q (дефект масс) между

энергетическими уровнями ядер
и в основных состояниях: Q - – для b- - распада; Q + – для b+- распада и E-захвата. Величину Q всегда приводят на схемах распада; она определяет как граничные энергии b - переходов, так и энергию, выделяющуюся на «один распад ядра вообще». Общий случай для иллюстрации b- - распада показан на рис. 1».

То есть масса ядра после его распада уменьшается, что справедливо и в моих формулах:
Тем более подтверждением рассматриваемой гипотезы может служить и формула захвата электрона: ,
ведь в этом случае, как и во всех остальных:
Но каким образом получившийся после реакции протон теряет свою массу? Потерять свою массу получившийся протон может только через нейтрино.
Электрон и позитрон теряет свою массу после аннигиляции. В идеале нейтрино и антинейтрино действительно обладают одинаковой массой, но не всегда эта масса полностью покидает электроны и позитроны в процессе аннигиляции. При аннигиляции происходит выделение различных по массе частиц: это и электроны, и менее тяжелые a и b-частицы. Обладая меньшей массой, a и b-частицы быстрей перемещаются и сильней воздействуют на вещества, чем электроны. Практически не имеющие массы жесткие g -частицы разгоняются фактически до скорости света и их воздействие на вещества гораздо выше, чем воздействие и электронов, и a, b-частиц.
Образование a, b, g, n и n-, не является единственным следствием аннигиляции; кроме образования множества элементарных частиц, главным следствием в этом процессе является выделение энергии. Более того, аннигиляция – это единственная атомарная реакция выделения энергии, все остальные реакции с выделением энергии являются ее производными. Термоядерное горение, химическое горение, трение, электрическое свечение – все это является следствием аннигиляции. Все эти реакции являются следствием не только электрической реакции соединения двух атомов, но и сопровождаться тремя реакциями b-распада. И все виды b-распада и слияние двух атомов никогда не происходит по отдельности при любом выделении энергии. И еще три обстоятельства, которые могут служить косвенным подтверждением моей теории:
1) В любой реакции тяжелых ядер выделяется либо нейтрино, либо антинейтрино.
2) Нет ни одной реакции, где бы либо ядром, либо электроном, либо любой другой элементарной частицей поглощалось нейтрино или антинейтрино.
3) Нейтрино обнаруживалось только тогда, когда выделялось, но никогда не было точно известно в состав каких именно частиц оно входит.
Если же принять мою теорию как верную, то можно решить все поставленные вопросы. То есть, я утверждаю, что нейтрино и антинейтрино – гравитоны, нейтрино и антинейтрино – придают заряд электрону и позитрону, нейтрино и антинейтрино накапливают гравитацию, также как накапливается электрический заряд.
То есть в основу существования нейтрино в качестве гравитона мною заложено три факта:
1) Пять нейтрино-гравитационных всплесков, предшествующих оптической регистрации взрыва Сверхновой. (Этот факт напрямую указывает на идентичность нейтрино и гравитона.)
2) Аннигиляция электронно-позитронной пары. (Так называемый процесс превращения массивных частиц в безмассовые сопровождается выделением нейтрино и антинейтрино.)
3) Дефект массы b-
распада. (Тяжелое ядро при b-
распаде становится менее тяжелым, причем b+ - распад сопровождается выделением нейтрино, а b– - распад сопровождается выделением антинейтрино.)
На этом, пожалуй, стоило бы поставить точку. Но есть еще одно обстоятельство, мешающее превратиться нейтрино в гравитон – это спин. По определению, спин гравитона должен быть равен 2, а для нейтрино это значение совпадает с электроном и равно 1/2. Но я бы предостерег моих будущих оппонентов опираться на столь хлипкую позицию.
Все теоретические расчеты спина строятся на всем известной формуле Дирака. Формула Дирака основана на дифференциалах. Что же такое дифференциал? Дифференциал – это значение, стремящееся к нулю. Если перевести на язык элементарной физики, то звучит это так. Берем любую «элементарную» частицу и начинаем делить. На каком-то этапе мы приходим к тому, что эта частица состоит из безсистемных образований, то есть в конечном счете стремится к нулю. Но ведь это утверждение крайне спорно, ведь экспериментально не было доказано, что мы состоим из дискретных образований. Как раз наоборот, при делении одних частииц получаются другие, и эти получившиеся частицы никак нельзя назвать бессистемными. И если говорят, что формула Дирака предсказала появление промежуточных бозонов, то это исключение, лишь подтверждающее правило. Ведь формула Дирака входит в так называемую теорию «великого объединения». А по этой теории должен существовать естественный распад протона. Но ведь по экспериментальным данным распад протона произойдет через 1031 лет. И то это утверждение еще не доказано. Я же объяснил, как происходит распад протона. Сначала протон, поглощая нейтрино, становится тяжелым нейтроном. Потом тяжелый нейтрон из-за своей значительной массы поглощает еще одно нейтрино, происходит ядерная реакция и процесс распада. Так или иначе, нельзя опираться на теоретические выкладки до тех пор, пока экспериментально не будет доказано образование элементарных частиц из дискретных или обнаружение естественного распада протона. По экспериментальным данным достоверно известно лишь о спине электрона и позитрона. Исследования же спина нуклонов признаны неудовлетворительными. Что же касается спина гравитона, то это просто невозможно определить за неимением такой частицы.
Итак, я утверждаю, что нейтрино равен спину электрона и равен 1/2 в единицах h.
Глава 2. Что такое нейтрон? Горение водорода. Ничто.
В предыдущей главе мы установили, что нейтрино является гравитоном. Но мы упустили из виду другую частицу – нейтрон. Чем же на самом деле является нейтрон? Чтобы понять это, я изобразил схему идеального атома на рис. 2. Внутри ядра идеального атома находится протон, вокруг которого движется электрон. Как не трудно догадаться – это схема атомарного водорода. Но по моей схеме идеального атома внутри протона должен находиться нейтрон. То есть масса протона должна превосходить массу нейтрона. Но по экспериментальным данным как раз наоборот: нейтрон массивнее протона. Я уже говорил в предыдущей главе, что обнаружение нейтрона – лишь следствие распада тяжелого ядра. А обнаруженный таким образом нейтрон является тяжелым нейтроном. Но тогда какой же на самом деле массой обладает нейтрон? Ответ очевиден – никакой. Да, никакой! Ведь если нейтрино несет гравитацию, то оно же и обладает знаком. То есть при аннигиляции положительный позитрон притянет к себе отрицательный электрон, но после аннигиляции они теряют свои нейтрино и антинейтрино и становятся нейтральными фотонами.
Протон, обладая положительным зарядом, притянул к себе нейтрино, образовав тяжелый нейтрон. Ну а нейтрон (не тяжелый нейтрон, а тот нейтрон, который входит в ядро атомарного водорода)? Этот нейтрон не обладает никаким знаком, а значит, не может притянуть нейтрино, и никакой массой не обладает! То есть нейтрон по своим свойствам сродни фотону. Только фотон обладает электромагнитным зарядом, а нейтрон его не имеет! То есть нейтрон можно назвать истинно нейтральной частицей (нейтральной по массе и электромагнитному заряду).
Давайте прервемся в описании нейтрона и расскажем о не менее интересной вещи – горении водорода. Объяснение горения водорода подтвердит все мои слова, сказанные выше. Итак, как же происходит горение водорода? Всем известно, что в горении водорода участвует четыре его атома (рис. 2). Но всем известно, что в таком виде водород существует крайне редко. Чаще всего водород существует в молекулярном виде (рис. 3).
Рис. 2
Какой-то из протонов получает избыточный нейтрино. Вследствие этого ядро увеличивает свою массу. Тяжелое ядро из-за избыточной массы может притянуть к себе ближайшее ядро, находящееся с ним в паре. Следствием этого может получиться ядро дейтерия D2, тяжелого водорода (рис. 4). При образовании дейтерия ядро теряет свое нейтрино. Если нейтрино уйдет за пределы действия масс ядра, то последует распад дейтерия до атомарного водорода.

Рис. 3
Если же ядро снова поглотит нейтрино, то тяжелое ядро снова поглотит соседнее ядро и получится ядро трития Т3. Если ядро трития потеряет свой нейтрино, то из-за большой разности энергии позитронов, оно не сможет долго быть стабильным и распадется до атомарного водорода. То есть как таковые ядра дейтерия и трития не могут долго существовать в «тяжелом» радиоактивном состоянии. Атомарный водород снова станет молекулярным. Нейтрино снова притянется какой-нибудь молекулой водорода, и реакция повторится сначала. Это будет происходить до тех пор, пока молекулы водорода (утяжеленного одним нейтрино), дейтерия или трития, не встретятся с такими же молекулами водорода, дейтерия или трития. Тогда и произойдет термоядерная реакция.
Примеры таких реакций приведены ниже:
оn1 + оn1 Þ 1D2
1D2+1T3 Þ 2He4 + 0n1 + 2e+
1D2+1D2 Þ 1T3 + 1p1 + 2e+
3Li6+0n1 Þ 2He4 + 1T3 + 2e+
3Li6+1D2 Þ 2Li7 + 1р1 + 2e+
Суммарный результат этих реакций можно выразить уравнением:
41H1 Þ 2He4 + 2e+ .
На самом деле происходит такая реакция:
41H1 Þ 2He4 + 2e+ + 2n.
Рис. 4
Нейтрино, выделившиеся при реакции, мгновенно поглотится ближайшей молекулой водорода. Позитроны аннигилируют с двумя протонами, результатом чего является появление двух нейтрино и двух антинейтрино. Нейтрино снова станут частью ядра одной из молекул водорода. При горении двух молекул водорода расходуется два нейтрино (имеется в виду идеальный атом), а результатом такой реакции является появление четырех нейтрино. То есть первая реакция влечет за собой цепную реакцию.
Антинейтрино тоже участвует в термоядерных реакциях. Антинейтрино соединяются с оставшимся после распада легким нейтроном, превратив его в антипротон, который станет участником новых термоядерных реакций. То есть любая термоядерная реакция вызовет цепную реакцию и появление новых реакций. А топливом для каждой реакции является нейтрино. Именно нейтрино превращает кинетическую энергию гравитации в потенциальную энергию тяжелого ядра. Потенциальная энергия тяжелого ядра превращается в кинетическую, высвобождая частицы при термоядерных реакциях.
Ядра дейтерия и трития легко подвергаются распаду из-за разности энергий позитронов составляющих ядро, две и три, соответственно, положительно заряженные частицы не могут долго находиться вместе, их удерживает лишь гравитация. Совсем другое дело – «стабильные» ядра гелия или лития (имеются в виду легкие ядра). Само по себе ядро гелия не может распасться в отличие от ядра дейтерия или трития, то есть нейтроны в ядре служат изоляционными прокладками, препятствующими распаду ядра. Стабильное ядро может распасться, лишь получив дополнительную массу в виде нейтрино или антинейтрино. То есть все реакции горения водорода сопровождаются поглощением ядра дополнительной массы – свободных нейтрино. В идеале для осуществления неуправляемой термоядерной реакции горения водорода необходимо всего два нейтрино, но на самом деле реакция горения водорода происходит вместе с другими сопутствующими реакциями (образование тяжелых нейтронов, дейтерия, трития), и для осуществления неуправляемой реакции необходимо несколько десятков нейтрино или антинейтрино.
Итак, с реакцией горения водорода мы разобрались, но мы так до сих пор и не поняли, какой же на самом деле частицей является нейтрон? Что это за частица? Какие вопросы она поднимает? Из чего на самом деле она состоит? Нейтрон – это частица абсолютно нейтральная по массе электромагнитному заряду и знаку. Можно получить частицу нейтральную по массе и знаку (фотон), но как получить частицу, не обладающую никаким зарядом? То есть должна существовать такая частица, как антифон, обладающая зарядом, противоположным фотонному. То есть соединение фотонов и антифотонов, должно составлять нейтрон? Это утверждение верно лишь отчасти. Если нейтрон является соединением фотонов и антифотонов, то как быть с массой? В отличие от фотонов частицы, несущие гравитацию (нейтрино и антинейтрино), обладают различными зарядами, но одинаковой массой. Масса может накапливаться, переходить из одних частиц в другие, но не исчезать! То есть должны существовать частицы, компенсирующие массу, – антимассивные частицы. Но кроме этого антимассивные частицы должны компенсировать и знак, ведь нельзя сказать, что нейтрино и антинейтрино должны соответствовать антимассивные им частицы антинейтрино и нейтрино! Пусть это звучит по-другому. Ко всем новым образовавшимся частицам я буду приставлять приставку «ново». Итак, должны образоваться частицы с антимассой новонейтрино и новоантинейтрино.
| n | и | n- | (все частицы с антимассой для удобства я обозначил знаком модуль | |).
Соединение нейтрино и фотона образует электрон, а соединение антинейтрино и фотона образует позитрон. Если существуют такие частицы, как новонейтрино, новоантинейтрино и антифотон, то должны существовать их соединения – новоэлектрон и новопозитрон:
| n | + g = | e– | , | n- | + g = | e+ |.
Для того чтобы быть действительно нейтральным, нейтрон должен иметь в своем составе электроны, позитроны, новоэлектроны и новопозитроны. Но сколько этих частиц он должен содержать?

Чтобы ответить на этот казалось бы неразрешимый вопрос, надо взглянуть на модель идеального атома – атома водорода (рис. 5). В противоположность ему должен существовать антиатом водорода (рис. 6). Ведь в атоме водорода электрон обладает кинетической энергией, а протон – потенциальной. В противоположность ему должен существовать атом водорода с антипротоном в качестве ядра и позитроном на его орбите. В противоположность этим двум атомам должны существовать подобные им атомы с антимассой (рис. 7 и 8). То есть нейтрон должен содержать в своем составе два электрона, два позитрона, два новоэлектрона и два новопозитрона. Схему нейтрона я изобразил на рис. 9.
Почему частицы я расположил так, а не иначе, и почему я вписал их в воображаемый куб? Потому что нейтрон – это нейтральная частица, а значит, частицы, входящие в состав нейтрона, должны составлять нейтральную структуру, главное условие которой гласит: «Энергия одной частицы должна быть скомпенсирована энергией другой частицы». В то же самое время эта структура должна препятствовать естественному распаду нейтрона. Настоящий распад нейтрона не был обнаружен, иначе были бы найдены частицы с антимассой. На рис. 9 прекрасно видно, как частицы с массой соседствуют с частицами с антимассой.
Но как взаимодействуют частицы с массой и антимассой? Притягиваются ли они, как массивные частицы, либо отталкиваются, как однополярные? Ответ только один: «Массивные частицы отталкиваются от антимассивных». Если бы они притягивались, то массивные частицы соединились бы с антимассивными, превратившись в нейтральную массу и разрушив всю космическую картину Вселенной.
То же самое происходит с фотонами и антифотонами – они взаимоотталкиваемы, но когда они оказываются вместе, их электромагнитные заряды нейтрализуются. Электроны притягиваются позитронами, а новоэлектроны притягиваются новопозитронами. При соединении эти частицы должны аннигилировать, но масса отталкивается антимассой, поэтому частицы не могут окончательно соединиться, но и разлететься они не могут, так как удерживаются электромагнитными силами. Из-за равновесия гравитационных и электромагнитных сил нейтрон не распадается и не аннигилирует.
Именно поэтому нейтрон не распадается без применения к нему внешних усилий. Он не распадается даже при появлении протона (соединение позитрона и нейтрона), то есть та энергия, которая разделила нейтрон, должна быть больше той, которая дала жизнь позитрону. Из всего вышесказанного можно сделать вывод: нейтрон – это частица, обладающая огромным потенциалом, в котором вся энергия скомпенсирована; если это масса, то она скомпенсирована антимассой, если это знак, то он скомпенсирован другим знаком, если это электромагнитный заряд, то он скомпенсирован другим электромагнитным зарядом. То есть я утверждаю, что не существует частиц, не обладающих никакой энергией, существует лишь условие, когда эта потенциальная энергия скомпенсирована внутри частицы. Из этого утверждения можно вывести правило, которое будет полностью соответствовать закону сохранения энергии: «Никакая система, тело или частица не может не обладать никакой энергией. Если мы говорим: «Система, тело или частица не обладает энергией», – то подразумеваем, что энергия, которой обладает система, тело или частица уравновешена другой системой, телом или частицей либо энергия которой обладают эти элементы нами не учитывается». То есть электроны, позитроны, новоэлектроны и новопозитроны обладают энергией, но она уравновешена внутри нейтрона.
Но если нейтрон сам по себе нейтрален и уравновешен, то можем ли мы вообще его обнаружить? Если он входит в состав других частиц, то да. А если не входит? Ведь у такого нейтрона нет никаких дефектов (знака, массы, электромагнитного заряда). Нет, такой нейтрон невозможно обнаружить, как невозможно определить массу нейтрино. То есть нейтрон – это частица, которую невозможно увидеть, почувствовать, узнать. То есть вокруг нас существует огромное количество нейтронов, а мы даже не знаем об этом! Что это значит? Это значит, что абсолютный вакуум не так уж и пуст, в нем содержится огромное количество нейтронов (при делении которых образовались все известные элементарные частицы).
Теперь поговорим о тех четырех атомах, которые образовались после деления нейтрона. Ведь в состав ядер этих атомов входят нейтроны. И хотя при делении нейтрона образовались те частицы, которые сформировали четыре атома, четыре нейтрона не могли сформироваться при делении одного – это противоречило бы всем законам физики. Нет, эти четыре нейтрона первоначально входили в состав некой структуры, которая и дала жизнь четырем атомам. Какой бы не была эта структура, она ни чем не будет обнаружена, поэтому эту структуру я назвал «ничто». Ничто должно состоять из пяти нейтронов, при делении одного нейтрона получились: электроны, позитроны, новоэлектроны, новопозитроны, а четыре других нейтрона сформировали ядра четырех атомов. Исходя из схемы нейтрона, пятый разделившийся нейтрон должен находиться на пересечении других нейтронов. Эти нейтроны должны находиться друг по отношению другу под углом 90о и равноудалены от центрального пятого нейтрона (энергия распространяется во все стороны одинаково), как это показано на рис.10.

Я намеренно изобразил нейтроны не в виде куба, а виде шара. Из-за распространяющейся энергии частиц, входящих в состав нейтрона, любой детектор покажет, что нейтрон имеет вид шара. Для удобства дальнейшего объяснения я «раздвинул» нейтроны. Четыре нейтрона должны крепиться к центральному по гравитационно-электромагнитному принципу: электрон к позитрону, новоэлектрон к новопозитрону. Но при всей своей нейтральности ничто
не будет уравновешенной структурой. Четыре нейтрона пытаются разорвать центральный нейтрон. Именно ничто
дало жизнь четырем атомам. То есть вакуум должен состоять из бесконечных повторений той структуры, которую я изобразил на рис. 10 и эти структуры каким-то образом должны быть связаны между собой. Единственное соединение, при котором эти системы будут и уравновешены и нейтральны – это соединение, показанное на рис. 11.
Между собой они должны «крепиться», по противогравитационному принципу. Иначе говоря, гравитационные элементы центрального нейтрона нижнего ничто
должны контактировать с антигравитационными элементами верхнего ничто
(хотя в пространстве понятие верха и низа просто исчезают). Если бы ничто
крепилось с другим ничто
по гравитационному признаку (гравитоны к гравитонам, антигравитоны к антигравитонам), то ничто
дополнительно к пяти нетронам могло получить еще нейтроны, и атом водорода был бы в другом виде. Но как могут «крепиться» нейтроны по принципу противогравитации? Ведь они должны распасться! Нет, не должны. Ведь речь идет о пространстве. И вакуум должен состоять из бесконечного количества повторений соединений, показанных на рис. 11. Иначе говоря, если «верхний» ничто
будет отталкиваться от «нижнего», то «сверху» он упрется в такое же ничто
и энергия сравняется. Так каждое ничто
контактирует с шестью ближайшими. То есть каждое ничто
как бы зажато в тисках с шести сторон. Это и препятствует распаду ничто
. Условно каждую из сторон, которая контактирует с ничто
, я назвал: передняя, задняя, левая, правая, верхняя, нижняя. Центральный нейтрон контактирует с одним из четырех ничто
слева, справа, спереди и сзади. Чтобы получить четыре атома ничто
необходимо разделиться, но для этого потребуется гигантская энергия. Если ничто
ее получит, то произойдет реакция деления. Как она будет происходить?

Казалось бы, чего проще это объяснить. Центральный нейтрон разделился на восемь частиц. Четыре частицы соединились с четырьмя нейтронами, образовав ядра, другие частицы стали крутиться вокруг ядер, образовав атомы. Энергия, разделившая центральный нейтрон, должна исходить точно из его центра. Энергия будет равномерно распространяться во все стороны. И на четыре нейтрона энергия будет воздействовать с одинаковой силой. Сила передастся от нейтронов к контактирующим с ними ничто
. Через своеобразную систему рычагов противогравитации сила удара выйдет на верхнее и нижнее контактирующее ничто
. Верхнее ничто
опустится вниз, а нижнее поднимется вверх. Все это видно на рис. 12. Среднее ничто
разделилось, верхнее опустилось вниз, а нижнее поднялось вверх. Среднее ничто
разделилось и уже не удерживает верхнее и нижнее ничто
с помощью противогравитации, более того, оно дало им энергию для соединения. Если вы посмотрите на схему нейтрона, то поймете, что верхний и нижний ничто
будут взаимодействовать по принципу гравитации, а не противогравитации. То есть никакие силы не мешают им соединиться. Энергия, с которой они соединятся, превзойдет энергию, разделившую первое ничто
. Верхнее и нижнее ничто
тоже разделятся. Энергия их взрыва разделит соседнее ничто
, так произойдет неуправляемая реакция деления. Казалось бы, все это так и должно произойти. Так и появились вещества.

Рис. 13
Но если бы так происходило на самом деле, то разделилось бы все ничто
, в космосе бы не было вакуума, а все свободное пространство было бы занято веществами! То есть ничто
должно иметь в своем составе более пяти нейтронов.
Чтобы быть более уравновешенным, ничто
должно иметь в своем составе семь нейтронов: один в центре и шесть по бокам: сверху, снизу, спереди, сзади, слева, справа, и располагаться они должны друг к другу под углом 90о, как показано на рис. 13. Так в реальности выглядит ничто
. Цифрами от 1 до 6 я обозначил нейтроны. Многократное повторение этой структуры и есть вакуум. Энергия от взрыва такой структуры разойдется во все стороны одинаково и не вернется в первоначальную точку. И атомы, получившиеся при делении такой структуры, должны содержать разное количество нейтронов. Два атома должны содержать по одному нейтрону, а два других атома – по два нейтрона.
Как же происходило деление нейтрона? Для того чтобы разделить нейтрон понадобится огромная энергия, поэтому процесс деления нейтрона неразрывно связан с процессом образования всей Вселенной. В одном из нейтронов начинают скапливаться нейтрино и антинейтрино. За счет нейтрино и антинейтрино нейтрон становится массивным. Из-за большого количества массивных частиц нейтрон деформируется: электроны и позитроны, входящие в состав нейтрона, начнут соединяться, а новоэлектроны и новопозитроны начнут расходиться. Но нейтрон не распадается, так как с шести сторон зажат другими нейтронами, а нейтроны с шести сторон зажаты ничто
. Нейтрон деформирует свое ничто
и соседнии ничто
, и чем больше масса в центре масс, тем больше эта деформация. Но разделение нейтрона невозможно без центра антимасс. В другом нейтроне могут также скопиться антигравитациооные частицы новонейтрино и новоантинейтрино, превратив нейтрон в центр антимасс. Центр антимасс при значительном накоплении энергии также деформирует нейтрон, ничто
и соседнии ничто
. Деформации, вызванные центром масс и центром антимасс, встретятся тогда, когда в этих центрах будет накоплено достаточно энергии для этого. Нейтроны, лежащие между этими центрами сильно деформируются, что вызовет своеобразную «трещину пространства». Нейтроны не смогут долго выдерживать такую деформацию и распадутся.
Ничто
, деформированное массой, разделится на четыре атома. Два атома с протонами в качестве ядра и два атома с новоантипротоном (соединение новоэлектрона и нейтрона) и еще одним нейтроном в качестве ядра (рис. 14).
Ничто
, деформированное антимассой, также разделится на четыре атома. Два атома с новопротоном (соединение новопозитрона и нейтрона) в качестве ядра и два атома с антипротоном (соединение электрона и нейтрона и еще одним нейтроном в качестве ядра) (рис. 15). На словах трудно показать, как точно будет делиться ничто
, и как будут образовываться атомы, но на модели это будет хорошо видно.
Глава 3 Миры. Система миров
На рис. 16 видно, как происходило деление ничто
. Сначала сформировался центр масс (ЦМ) и центр антимасс (ЦАМ). Линия, проходящая между ЦМ и ЦАМ – это и есть «трещина» по ничто
. Элементарные частицы, входящие в состав «трещины» разделятся на четыре вида атомов, для удобства я обозначил эти атомы цифрами.
Рис. 16
Массивные атомы с протоном в качестве ядра я обозначил цифрой 1, антимассивные атомы с новопротоном в качестве ядра я обозначил цифрой 2, массивные атомы с антипротоном и еще одним нейтроном в качестве ядра я обозначил цифрой 3, антимассивные атомы с новопротоном и еще одним нейтроном в качестве ядра я обозначил цифрой 4. Массивные и антимассивные атомы не могут находиться вместе, они разлетятся перпендикулярно направлению трещины. Миры 1 и 2, 4 и 3 не могут также соединиться из-за взаимоотталкивания гравитации и антигравитации. Граница между этими мирами и трещина между центрами масс и антимасс и есть первые границы между различными видами атомов. Атомы из-за противогравитации должны разлететься (ведь кругом вакуум, через который свободно пролетают атомы), но гравитационное (нейтрино и антинейтрино) и антригравитационное (новонейтрино и антиновонейтрино) топливо движется по вакууму со скоростью света, и могут легко обогнать атомы.
При разрыве «трещины» пространства формируется четыре вида атомов, при формировании этих атомов из-за близости элементарных частиц и кинетической энергии взрыва происходит множество аннигиляций электронно-позитронной и новоэлектронно-новопозитронной пары и выделение гравитационного и антигравитационного топлива. Энергия этого топлива будет гораздо большей, чем энергия центров масс и антимасс.
Гравитационное топливо аннигиляций уйдет в сторону массивных атомов, а антигравитационное топливо уйдет в сторону антимассивных атомов. Часть этого топлива останется там, а большая часть пройдет сквозь атомы и соберет в них достаточно энергии для образования новых центров масс и антимасс.

Рис. 17 Рис. 18
Пройдя необходимое пространство, за пределами каждого из четырех атомов возникнет в зависимости от типа атомов либо центр масс, либо центр антимасс. Возникает два новых центра масс и два новых центра антимасс. Между этими центрами возникнут две новые трещины. Из этих трещин возникнут новые атомы. Эти атомы появятся в таком порядке, как показано на рис. 17. Естественно, что одинаковые атомы соединяются, то есть объем занимаемый атомами, увеличится рис. 18. При появлении новых центров масс и центров антимасс будут появляться новые трещины. Из новых трещин будут появляться новые атомы. Это будет происходить до тех пор, пока атомы не станут занимать пространство в космических масштабах.
Любое пространство, занимаемое одним типом атомов и ограниченное другими типами атомов, я назвал миром. Существует четыре вида атомов, а значит, существует четыре вида миров. Миры с атомами типа 1 – я назвал физическим, мир с атомами типа 2 – я назвал антифизическим, мир с атомом типа 3 – я назвал энергетическим, мир с атомами типа 4 – я назвал антиэнергетическим.
Так как энергия распространяется во все стороны одинаково, то получившиеся миры должны быть в виде шаровидной сферы, а каждый из получившихся миров, сектор этой сферы, вернее ее четверть. На рис. 19 изображен разрез этой сферы. При каждом новом взрыве энергия будет распространяться во все стороны, и будет обволакивать предыдущую сферу миров, а каждая предыдущая сфера окажется внутри последующей. Это значит, что каждый мир будет в виде дынной дольки. На рис. 19 изображен один из таких миров.


Рис. 19
Гравитационное и антигравитационное топливо при разрыве трещин никуда не исчезнет, а будет все время проходить путь, накапливать энергию, создавать центры масс и антимасс, трещины и атомы. Этот процесс бесконечен и происходит до сих пор. Получающиеся миры будут формироваться в той последовательности, как показано на рис. 20. Но как миры с гравитацией могут чередоваться с антигравитационными мирами, ведь они должны разлететься? Но это не так. Как только образуется вторая сфера миров и начнет давить на первую, то первая сфера миров провернется внутри второй, так чтобы атомы с массой находились с массивными атомами (мир 1 с миром 1, мир 3 с миром 3), а атомы с антимассой находились с антимассовыми атомами (мир 2 с миром 2, мир 4 с миром 4). Вращение первой сферы будет происходить вокруг собственной оси, эта ось будет проходить по направлению первой трещины, как показано на рис. 20. Соединение первой и второй сферы вызовет аннигиляцию атомов этих сфер.
Рис. 20
Соединение двух сфер значительно увеличит их массу и антимассу. Вращение первой сферы поэтому будет происходить довольно долго по отношению к скорости перемещения нейтрино. Когда первая сфера соединится со второй, уже появится четвертая. Третья сфера будет зажата между четвертой и второй. Вторая сфера попытается прокрутиться внутри третьей, но ее опередят гравитационные и антигравитационные волны.
Каждый из получившихся миров – и второй, и третьей, и четвертой, и других сфер, сформировавшихся впоследствии, – зажат со всех сторон либо гравитацией, либо антигравитацией, поэтому гравитационное или антигравитационное топливо, появляющееся из-за аннигиляций в мирах этих сфер, концентрировалось в наиболее удаленном от других миров месте. То есть в центре этих миров формировались в зависимости от их типа – либо центр масс, либо центр антимасс. В каждом из центров масс или антимасс скапливалась огромная энергия, поэтому центр масс или антимасс распространял свое влияние на весь свой мир, то есть при перемещении центра масс или антимасс должны были перемещаться все атомы в этом мире.
Когда первая сфера прокрутится внутри второй и соединится с ней, во второй, третьей и четвертой сфере появятся центры масс и антимасс. Соединение первой и второй сферы вызовет многочисленные аннигиляции, из первой и второй сферы будет выброшено огромное количество гравитационного и антигравитационного топлива. Прежде чем гравитационная или антигравитационная волна достигнет границ каждого из миров, вторая сфера, увлеченная первой, по инерции продвинется вперед. Это движение направит гравитационное и антигравитационное топливо двух сфер вперед и вверх в третью сферу. Четыре гравитационных и антигравитационных потока соединятся с двумя центрами масс и антимасс третьей сферы (рис. 21).
Рис. 21
Внутри первой и второй сферы сформировались центры масс и антимасс. При соединении этих сфер центры масс и антимасс соединились. К этому времени гравитационные и антигравитационные потоки достигнут центров масс и антимасс третьей сферы. Соединение центров масс и антимасс вызвало обратную волну – они, как четыре огромных пылесоса, стали «всасывать» в себя гравитацию или антигравитацию. Единые центры масс и антимасс центральной сферы гораздо массивнее центров масс и антимасс третьей сферы, поэтому единые центры масс и антимасс затянут в себя практически всю гравитацию и антигравитацию из третьей сферы миров. Я говорю: «практически всю», потому что в каждом из четырех миров, по типу нашего – физического мира, должны гореть и синтезироваться атомы, должны гореть и взрываться звезды, поэтому часть гравитации или антигравитации будет сконцентрирована в атомах.
Огромный гравитационный и антигравитационный поток из третьей сферы миров в центральную, вызовет огромный гравитационный и антигравитационный удар об центры масс и антимасс центральной сферы миров. Этот удар вызовет смещение центров масс и антимасс центральной сферы. В каждом из четырех миров центральной сферы миров будет сконцентрирована практически одна и та же энергия, потому центры масс центральной сферы сместятся практически на одну величину. Смещение центров масс вызовет смещение атомов этих миров, начнется вращение центральной сферы. Так как центральная сфера обладает огромной массой, то вращение центральной сферы вызовет вращение третьей сферы. Центральная сфера по-прежнему будет затягивать в себя гравитацию, поэтому центральная сфера потянет третью, четвертую; как только образуется пятая, потянет и пятую. Так все время будут образовываться новые сферы миров, и центральная сфера будет вращать остальные сферы. Как только будут появляться новые сферы миров, энергия от разрывов трещин (разрывы будут происходить практически одновременно) будет разделяться на две части: одна часть уйдет от сферы миров для формирования дальнейших «трещин», другая поглотится центральной сферой миров. На рисунке 22 показаны круговые линии, соединяющие миры и проходящие через центры этих миров (в этих центрах находятся центры масс миров), – это гравитационные и антигравитационные потоки. На рисунке видно, как гравитационные и антигравитационные линии выходят из четвертой сферы, пересекают все сферы и заканчивают свой путь в центрах масс и антимасс центральной сферы. На рисунке стрелкой показано вращение сфер. Все миры из-за центробежной силы разлетелись бы, если бы не гравитация. Центральная сфера миров, как гигантская шестеренка, с помощью гравитационных потоков, вращает все остальные сферы. Центральная сфера, как только станет вращать нецентральные сферы, превратится в центры масс и антимасс Вселенной.
Рис. 22
За счет новых «трещин» и сфер постоянно увеличивается масса и антимасса в центрах масс и антимасс Вселенной. Огромная энергия, сконцентрированная в центрах масс и антимасс Вселенной разорвет все ничто
, находящиеся там. Все атомы, находящиеся в центральной сфере будут постоянно взрываться и сгорать, пока там не останется только гравитационное и антигравитационное топливо. Как только это произойдет, центры масс и антимасс центральной сферы начнут разрывать ничто
и сжигать атомы в третьей сфере миров. Это будет происходить до тех пор пока и там все атомы не превратятся в гравитационное и антигравитационное топливо. Гравитационное и антигравитационное топливо станет частью центров масс и антимасс центральной сферы. Фактически третья сфера станет частью центральной сферы. Как только это произойдет, атомы четвертой сферы станут частью центральной сферы, а центры масс и антимасс четвертой сферы соединятся с центрами масс и антимасс центральной сферы. Снова начнутся разрывы ничто
и горение атомов.
Процесс появления новых сфер миров бесконечен и будет происходить до тех пор, пока не кончатся все нейтроны. Но для создания новых сфер гравитационному и антигравитационному топливу необходимо проходить все больший и больший путь, чтобы собрать достаточно энергии для новых «трещин». Каждая новая сфера будет появляться с большим промежутком времени, чем предыдущая. С каждой новой сферой будет увеличиваться энергия в центрах масс и антимасс Вселенной. Каждый раз центр масс и антимасс будет разрывать ничто
, сжигать атомы и увеличивать свой объем. Но каждый раз центру масс и антимасс Вселенной приходится разрывать все больше ничто
и сжигать атомов.
Процесс формирования сфер, также как и процесс увеличения объема центров масс и антимасс за счет других миров, бесконечен.
Все сферы миров входят в систему: гравитационные и антигравитационные потоки – центры масс и антимасс миров – центры масс и антимасс Вселенной. Эту систему я назвал системой миров. Система миров будет постоянно увеличиваться, первая сфера миров была объемом в несколько (3 – 5) кубических километров, но из-за серии взрывов она все время увеличивалась, пока не появился наш мир.
Под нашим миром я подразумеваю физический мир, где находятся все галактики, все системы, все планеты, где находится и наша Земля. Все определяется гравитацией. Луна крутится вокруг Земли, Земля кружится вокруг Солнца, Солнце кружится внутри «млечного пути», «млечный путь» кружится вокруг центра масс нашего мира, а центр масс нашего мира кружится вместе с центром масс и антимасс Вселенной. То есть Вселенная – это система, система миров, основа которой – гравитация и антигравитация. Наш мир – это сектор сферы, вернее четвертая часть сферы, но из-за того, что этот сектор гигантских размеров, по нашему миру не видно, какой он формы. Тем более границы нашего мира четко не очерчены. На рисунке 23 изображена система миров. Стрелкой показано направление вращения миров (НО не надо забывать, что гравитация и трещины намного обгоняют вращение системы миров и успевают сформироваться до того как миры повернутся). Гравитационные потоки проходят через миры в следующем порядке. Миры 1,1, 3,3, 1,1, 3,3 и так далее. Антигравитационные потоки проходят через миры в следующем порядке: 2,2, 4,4, 2,2, 4,4 и так далее. Гравитационные и антигравитационные потоки чередуются через два мира. Заштрихованным на рисунке я изобразил наш мир. На рисунке гравитационный поток входит в наш мир из мира 1 и выходит из нашего мира в мир 3. Это на рисунке. А может быть, и наоборот: гравитационный поток может входить в наш мир из мира 3, а выходить в мир 1. Гравитационный поток, проходящий через наш мир, я назвал основным направлением гравитации. Я изобразил наш мир в третьем кольце миров, на самом деле он гораздо дальше от центров масс и антимасс Вселенной.
Две параллельные линии за пределами сфер миров – это пространственные трещины между 14 и 15-м центром масс и антимасс.

Глава 4. Образование нейтронов.
Во второй главе своей теории я подробно остановился на том, из каких частиц состоит нейтрон, но мы до сих пор не поняли, как образовался нейтрон. Нейтрон является самой нейтральной и уравновешенной частицей, состоящей из восьми не нейтральных разнозаряженных частиц. Как образовался нейтрон? Как образовались все те практически вечные частицы, из которых он состоит? Основные элементарные частицы – это замкнутые системы. Энергия в этих частицах замкнута внутри, поэтому эти частицы самостоятельно не теряют энергию и не подвергаются распаду. То есть распасться может тяжелое ядро либо соединение основных частиц, но сама частица не подвергается распаду. Частицы же, образовавшие основные частицы, по сути, не должны являться частицами. Эти элементы должны составлять незамкнутую систему, а по своему составу – напоминать жидкость, перетекающую из одного пространства в другое. Только в таком состоянии можно представить эти элементы, в противном случае, если бы они были замкнуты и не распадались, это помешало бы образованию нейтрона. То есть нейтроны образовались из беспорядочного набора массивных и антимассивных элементов. Их заряд измеряется лишь на единицу занимаемого ими объема. Эти элементы я назвал «чистой» энергией.
«Чистую» энергию ни в коем случае нельзя назвать убывающей энергией или энергией, стремящейся к нулю. Нет. Эта энергия просто не заключена ни в какую из систем, поэтому легко перетекает из одного пространства в другое. «Чистая» энергия из-за гравитации и антигравитации должна собраться в два океана: океан гравитации и океан противогравитации. Эти океаны должны разлететься, но этого не происходит. Почему? Ответ на этот вопрос заложен в формуле Эйнштейна Е= мс2. Если частица не имеет скорости, то энергия этой частицы равна нулю, именно поэтому “чистая” энергия не аннигилирует. Что такое аннигиляция? Аннигиляция это столкновение частиц небольшой скорости, но при этом какими бы свойствами не обладали частицы сами по себе они не соединяются! Удивительный вывод. Позитрон всего лишь зависает внутри нейтрона, но не соединяется с ним! При аннигиляции частицы только распадаются на составляющие их гравитационные и электромагнитные составляющие. С гравитацией все ясно гравитация накапливается и переходит от одного центра масс к другому.
А что такое фотон и как он себя ведет? Фотон необходим в качестве противовеса гравитации. Фотоны отталкиваются друг от друга и противодействовали аннигиляции “чистой” энергии.
Как же должны взаимодействовать фотоны и антифотоны? Чтобы точно выполнялось правило Эйнштейна фотоны и антифотоны должны притягиваться! Именно фотоны и антифотоны препятствуют “разбеганию” гравитационного и антигравитационного океана.
Равновесие двух океанов поддерживалось до тех пор пока какому-то из океанов не была дана дополнительная энергия. Элементарные частицы могли появиться только при столкновении этих океанов. При неизвестных обстоятельствах в одном из океанов могла появиться вибрация (скорей всего, причиной вибрации могла послужить аннигиляция произвольно сформировавшихся протоэлектронов и протопозитронов, или протоновоэлектронов и протоновопозитронов). Эта вибрация распространилась и на соседний океан. При ударе двух океанов появились «брызги» – части электромагнитно-гравитационной и новоэлектромагно-антигравитационной материи. Когда океаны «откатились», то есть, вернулись к первоначальному довибрационному состоянию, то «брызги» (так как «энергия распространяется во все стороны одинаково») свернулись в шары и стали электронами, позитронами, новоэлектронами и новопозитронами. Электроны и позитроны, а также новоэлектроны и новопозитроны аннигилировали, что вызвало новую вибрацию двух океанов, их сжатие, а затем появление отраженной волны. Отраженная волна привела к новому столкновению двух океанов, новому появлению элементарных частиц и их новой аннигиляции. Цикл все время повторялся, при этом на границе между двумя океанами появлялись не только электроны, позитроны, новоэлектроны и новопозитроны, но и множество других частиц. Эти частицы из-за своих дефектов: массы, антимассы, электромагнитного заряда перемалывались двумя океанами. Из-за многочисленных аннигиляций на границу двух океанов скапливалось гравитационное и антигравитационное топливо. Эти процессы происходили до тех пор, пока не появился нейтрон. Два океана под огромным давлением буквально «спаяли» восемь частиц в нейтрон. Нейтрон из-за отсутствия внутренних дефектов смог выдержать натиск двух океанов. Нейтрон такая частица, которая выдерживает очень сильное сжатие (в качестве примера можно назвать образование протона), но при этом нейтрон не выдерживает растяжений. Нейтрон с двух сторон омывался двумя океанами. Вокруг нейтрона концентрировалась энергия, а «чистая» энергия скручивалась в частицы.

Рис. 24
Постепенно стали появляться еще нейтроны. Нейтрон действовал как фундамент, ровное основание, около которого можно построить еще нейтроны. Появление одного нейтрона вызывало появление других нейтронов (рис. 24). Антигравитационный океан 1 и гравитационный океан 6. На границе океанов 3 стали образовываться нейтроны 5. Нейтроны распространялись по границе океанов в направлении 4. Но кроме этого, на нейтроны действовали два океана в направлении 2. Все это приводило к тому, что на границе двух океанов стала образовываться нейтронная сфера. На рис. 25 показан разрез нейтронной сферы 1.

Рис. 25
В нейтронной сфере, а вернее, в нейтронах и между ними скапливались элементарные частицы, особенно было много гравитационного и антигравитационного топлива. Это приводило к образованию в нейтронной сфере сильных центров масс и антимасс (гравитационный и антигравитационный океан из-за отсутствия единых центров масс и антимасс никак не препятствовал этому процессу). Центры масс и антимасс вызывали сильные деформации в нейтронах. Деформации вызвали появление первой «трещины». Трещина разорвала нейтроны. Элементарные частицы, входящие в состав нейтронов, мгновенно аннигилировали. Это вызвало цепную реакцию. Энергия от первого взрыва распространилась во все стороны – это привело к появлению множества других центров масс и антимасс. Начались массовые разрывы нейтронов и аннигиляции. Нейтроны, не разорванные трещинами, кристаллизовались – к одному нейтрону, подчиняясь гравитации, присоединилось шесть (по количеству сторон воображаемого куба, то есть нейтрона) – так образовалось ничто
. Все некристаллизированные нейтроны, иными словами, не входящие в структуру ничто
или включенные в структуру ничто
в качестве восьмого, девятого и так далее элемента, – разрывались трещинами. Структуры ничто
, соединенные между собой по принципу гравитации, также разрывались трещинами. Остальные ничто
сдавливались двумя океанами по принципу противогравитации. Так образовался первый вакуум. Такая структура вакуума гораздо лучше сопротивляется деформациям, чем нейтронная сфера, этим и объясняется параллельность трещин при образовании системы миров.
На рисунке я не смог бы изобразить, как произошла цепная реакция в нейтронах. На рис. 26 показан разрез вакуумной сферы. На рисунке показаны направления антигравитационных потоков 1 в сторону антигравитационного океана и направление гравитационных потоков 5 в сторону гравитационного океана (гравитационный океан справа). Эти потоки, получающиеся при разрывах нейтронов, прорезают всю нейтронную сферу и образовывая все новые и новые трещины, уничтожают все лишние нейтроны, или превращают их в структуру ничто
. Рис. 26

Пространственные трещины превращают нейтронную сферу в вакуумную сферу 7. Гравитационные и антигравитационное топливо, достигнув, каждый своего океана, останутся на границе.
Гравитационный и антигравитационный океаны будут продолжать производить нейтроны. И это будет происходить до тех пор, пока оба океана не будут исчерпаны. Вновь получившиеся нейтроны будут выдавливаться в сторону вакуумной сферы в направлении 3. Получившиеся нейтроны будут обволакивать вакуумную сферу в направлении 2 (ничто
из-за своей структуры не будет пускать нейтроны в вакуум), образовывая с двух сторон две полусферы 4 и 6. Когда эти полусферы соединяться снова, появится трещина, начнется цепная реакция. Гравитационные и антигравитационные потоки также пройдут внутри вакуумной сферы. Цепная реакция разорвет нейтроны и кристаллизует их, превратив в ничто
. Эти ничто
станут частью вакуума, то есть вакуум увеличит свой объем.
Океаны по-прежнему будут производить нейтроны, и цикл снова повторится. Иными словами, вакуумная сфера будет постоянно увеличиваться до тех пор, когда вакуумная сфера значительно увеличит свой объем и гравитационные потоки будут проходить по другому.
На рис. 27 показан разрез вакуумной сферы в космических масштабах. Гравитационное топливо, полученное при кристаллизации нейтронов, начнет притягиваться гравитационным океаном (он справа) и сконцентрируется в два гравитационных потока 1. То же самое произойдет с антигравитационным топливом, и оно сконцентрируется в два антигравитационных потока 4. Антимассивные (слева) и массивные (справа) частицы, получившиеся при кристаллизации сразу притянутся своими океанами и не будут проходить внутри вакуумной сферы. Искривление гравитационных потоков происходит из-за слишком больших размеров вакуумной сферы. Проходя огромные расстояния внутри вакуумной сферы, потоки притягиваются океанами и идут по самому короткому пути. На рисунке пересекаются гравитационные и антигравитационные потоки, но на самом деле это не так. Речь идет о пространстве. Если провести через вакуумную сферу, воображаемую линию по границе между океанами, то сверху рисунка гравитационный поток будет выше этой линии, а антигравитационный – ниже. В нижней части рисунка все наоборот: антигравитационный поток находится выше воображаемой линии, а гравитационный ниже. Выйдя из вакуумной сферы гравитационные и антигравитационные потоки станут новым топливом для новой кристаллизации нейтронов. Гравитационные и антигравитационные потоки, в первый раз пройдя по этому пути, будут повторять это направление, только будут увеличивать дугу пропорционально увеличению вакуумной сферы. Гравитационные и антигравитационные потоки обходят центр вакуумной сферы, а с увеличением вакуумной сферы они все дальше будут удаляться от него. Но часть гравитационного и антиграцитационного топлива будет попадать в центр вакуумной сферы. Там это топливо будет сталкиваться и концентрироваться внутри ничто
. Так начали формироваться первые центры масс и антимасс. Первый центр масс ЦМ1 сформировался справа (антигравитационный океан слева, а гравитационный справа). Между этими центрами возникла трещина, впоследствии сформировалась система миров 5 (она не в разрезе). Система миров вращается в направлении 3 и увеличивается за счет новых трещин 2. Я изобразил систему миров очень маленькой, на самом деле она еще меньше по сравнению с вакуумной сферой, и я не смог бы изобразить систему миров на этом рисунке даже современными средствами полиграфии. Система миров настолько мала, что гравитационные и антигравитационные потоки, возникающие при кристаллизации нейтронов, практически не будут достигать системы миров (они будут обходить ее стороной) и практически никак не будут влиять на ее формирование.
Итог всего вышесказанного: из океанов формируются нейтроны, из нейтронов появился вакуум, из вакуума появилась система миров. Этот процесс будет происходить до тех пор, пока оба океана не будут исчерпаны (практически вечность). Процесс роста Вселенной похож на рост живой клетки.

Рис. 27
Глава 5. Перемещение частиц по ничто. Порталы. Появление планеты Земля
Теперь давайте поговорим о том, как частицы перемещаются в ничто
. Сначала давайте разберемся с тем, как в ничто
перемещаются атомы веществ. Ничто
– это основная составляющая вакуума. Но ничто
– это не только вакуум. Ничто
занимает все пространство, не занятое веществами. Более того, ничто
занимает все свободное пространство между атомами и внутри них (т.е. между электроном и ядром). Но как же тогда мы свободно перемещаемся сквозь ничто
, не испытывая сопротивления? Очень просто. Ведь ничто
взаимодействует друг с другом по принципу противогравитации. То есть как таковые ничто
ни к чему не крепятся. Как же происходит перемещение атомов по вакууму? Ничто
не имеет массы, но ничто
состоит из нейтронов, а нейтроны имеют в своем составе и массивные и антимассивные частицы. Атомы имеют массу, поэтому ничто
будет крепиться к атомам своими гравитационными частицами. То есть вокруг веществ должен существовать тонкий слой из ничто
. Второй слой не сможет «прилипнуть» к веществу из-за противогравитации первого. И когда вещество движется, ничто
огибает вещество так же, как воздух огибает твердое тело. То есть атомы перемещаются сквозь ничто
по принципу замещения. Вещество перемещается по ничто
и раздвигает его. Ничто
огибает вещество и занимает то место, которое занимало вещество первоначально.
На самом деле фотон проникает внутрь нейтрона, но фотон довольно большая частица и ей нужна большая энергия чтобы “раздвинуть” нейтрон. Не обладая гравитацией как позитрон, фотон не может удержать равновесие внутри нейтрона и покидает его. Раздвинуть следующий нейтрон фотон уже не в состоянии, поэтому фотон перемещается в свободных пространствах между ничто.
Это касается всех частиц, имеющих массу, но как быть с частицами, не имеющими ее – фотонами? Можно рискнуть предположить, что фотоны перемещают внутри ничто
, т.е. внутри нейтронов. Но если бы это происходило, то фотоны просто бы «исчезали» – проходя через нейтрон, их электромагнитное излучение компенсировалось внутри нейтронов электромагнитным излучением антифотонов. Как мы знаем, такого не происходит. Какие-то силы не пускают фотон внутрь нейтрона. Фотоны расталкивают ничто
и прокладывают себе дорогу в свободных пространствах между ничто
. И чем больше световое излучение, тем больший путь проходят фотоны не рассеиваясь, т.е. фотоны перемещаются между ничто
по принципу пробоя. Чем больше будет первоначальная энергия, полученная фотоном, тем больший путь они пройдут не рассеиваясь.
Как вообще ведут себя фотоны в нашем мире? Фотоны не могут накапливаться в атомах как гравитация поэтому они ни как не мешают термоядерным реакциям. Двигаясь по принципу “пробоя” фотоны испытывают внешнее трение, поэтому фотоны постепенно останавливаются. Это происходит до тех пор пока фотон совсем не остановится. В этом случае фотон останавливается и занимает свободное пространство между ничто и находится в пределах электромагнитного воздействия со стороны одной из антимассивных частиц входящих в нейтрон. Иными словами все свободное пространство внутри вакуума занято фотонами. Таким свойством фотонов можно объяснить эффект “черной дыры”. При взрыве Сверхновой фотоны “выдавливаются” из ничто другими частицами. Сверхслабое горение нейтронной звезды не может восполнить потерянные фотоны, поэтому ничто вокруг нейтронной звезды поглощает фотоны. Фотоны могут притягивать к границам нашего мира (окруженного антигравитационными мирами). Из-за этого фотоны могут как бы “подсвечивать” границы нашего мира. Квазары – это и есть эта “подсветка”.
Самый интересный способ перемещения частиц – это перемещение нейтрино и антинейтрино по ничто
. Нейтрино и антинейтрино из-за своих малых размеров имеют способность перемещаться внутри нейтронов, именно этим можно объяснить «исчезновение» этих частиц. То есть нейтрино и/или антинейтрино перемещаются внутри ничто
, пролетая внутри нейтронов. Конечно, пролетая внутри ничто
, нейтрино и/или антинейтрино деформирует его, но нейтрино пролетает дальше и деформация исчезает. То есть, нейтрино, входя в нейтрон, как бы «раздвигает» его (растягивается гравитационная пружина), а когда нейтрино выходит из нейтрона, частицы снова сдвигаются и становятся на место (гравитационная пружина сжимается). Нейтрино, тратя энергию на вход в нейтрон, получает ее на выходе, поэтому нейтрино может проходить гигантские расстояния, практически не тратя энергию. Нейтрино и антинейтрино – массивные частицы, поэтому их перемещение полностью зависит от гравитации, то есть нейтрино и антинейтрино движутся от одного центра масс к другому.
Метод перемещения нейтрино и антинейтрино по ничто
я назвал методом «исчезновения», а перемещение нейтрино и/или антинейтрино по ничто
я назвал перемещением по порталу (от слова порт). Нейтрино и антинейтрино несут в себе гравитацию, обладая достаточной массой, они могут затянуть в портал другие элементарные частицы и даже атомы. Электроны свободно пройдут сквозь нейтрон, но что произойдет с ядрами? Ядра раздвинут нейтрон, вернее, находящиеся в нейтроне частицы, но не разорвут его. Когда ядра пройдут сквозь нейтрон, частицы снова станут на свое место. Единственное, что произойдет с атомом, побывавшим в гравитационном потоке, это потеря дополнительных нейтрино. То есть тяжелое ядро с тяжелыми нейтронами станет легким ядром с легкими нейтронами. Иными словами, радиоактивное вещество перестанет быть радиоактивным.
Мы рассмотрели все необходимые процессы, предшествующие и сопутствующие появлению планеты Земля.
Но давайте вернемся к началу моей статьи. Я говорил о взрыве Сверхновой 87-А. Это явление сопровождалось пятикратной гравитационно-нейтринной волной, а спустя шесть часов оптической регистрацией.
Сверхновая – это массивная звезда. Но до того как стать Сверхновой, звезда проходит несколько циклов. Последний цикл, предшествующий взрыву Сверхновой, – это горение кремния. Давайте рассмотрим этот цикл поподробнее, из взятого мной источника [2; 72-76]:
«Рассмотрим процесс развития звезды с момента, когда в ее центре становится возможным слияние ядер кремния с образованием ядер железа. Чтобы достичь этой стадии, массивной звезде необходимо несколько миллионов лет. Все дальнейшее происходит стремительно.
Реакция горения кремния происходит в течение суток. В центре звезды, внутри кремниевой оболочки начинает формироваться железное ядро. На границе железного ядра и кремниевой оболочки и в более удаленных слоях продолжается синтез элементов и выделение энергии за счет термоядерных процессов. Состоящая из элементов железного максимума, центральная область начинает сжиматься, однако ядерные источники энергии уже исчерпаны, так как образовавшиеся в центральной части звезды атомные ядра имеют максимальную удаленную энергию связи. Означает ли это, что в центральной части звезды полностью прекращаются ядерные реакции? Отнюдь, нет. На самом деле температура и соответственно кинетическая энергия сталкивающихся частиц достигает такой величины, что будут идти реакции с образованием более слабо связанных ядер. Происходит качественное изменение в характере ядерных реакций. Если до этого момента преобладали реакции синтеза более тяжелых элементов с выделением энергии, то теперь ситуация резко меняется. Начинается распад железного ядра на более легкие фрагменты.
При температурах 5х109 К существенную роль начинают играть реакции фоторасщепления железа на нейтроны, протоны и ядра гелия. Эти реакции протекают с поглощением энергии. Энергия, выделившаяся в звезде при превращении водорода в железо, теперь начинает тратиться на то, чтобы железо снова превратилось в гелий, водород, нейтроны. Открываются многочисленные каналы реакций между продуктами распада и легкими частицами – протонами, нейтронами, b-частицами. Так как эти реакции идут с поглощением энергии, начинается охлаждение центральной части звезды. Наряду с этим существенную роль начинают играть процессы, происходящие в результате слабого взаимодействия, которые также приводят к охлаждению центральной части звезды. При больших плотностях энергия электронов возрастает настолько, что превышает
разность энергий ядер: и других изобар, отличающихся заменой протона на нейтрон. В результате захвата ядром электронов в реакциях
(A, Z) + e
-
Þ
(A, Z - 1) +
n
e
происходит обогащение элементов центральной части звезды нейтронами. Этот процесс называется нейтронизацией вещества. Процесс быстрого охлаждения сопровождается дальнейшим сжатием звезды. При этом, в отличие от стадии квазистатического равновесия, выделение гравитационной энергии уже не сопровождается повышением температуры. На этом этапе рост давления в центре звезды не в состоянии скомпенсировать рост сил гравитации. Звезда теряет устойчивость, и начинается постепенно убыстряющееся (свободное) падение наружных оболочек на центр звезды.
Кинетическая энергия падающего к центру звезды вещества приводит к быстрому увеличению скорости горения вещества наружных слоев звезды. При температуре 109 - 1010 К кислород во внешней зоне выгорает в течение нескольких минут. Если звезда достаточно массивна и масса кислорода в ее наружных слоях близка к массе Солнца, то выделяемая в течение нескольких минут энергия сравнима с энергией, выделяемой Солнцем в течение миллиарда лет.
Особенно бурно протекает заключительный этап сжатия массивной звезды. За время, по-видимому нескольких секунд, плотность центральной части звезды достигает плотности ядерного вещества (1014 – 1015 г/см3) или даже несколько больших величин. Температура ядра звезды нарастает до 1011 – 1012 К. В этих условиях интенсивно идет реакция превращения протонов в нейтроны с образованием нейтрино
р + е
-
Þ
n +
n
е
.
Нейтринная светимость достигает огромной величины 1053 эрг/с. Нейтрино свободно покидают звезду, унося большую часть высвобождающейся при ее взрыве энергии и оставляя в центре звезды сжатое до Q » 1014 – 1015 г/см3 нейтринное ядро. С образованием нейтринного ядра сжатия резко прекращаются, и возникает отраженная нейтронная волна. Свойства этой волны, детали ее формирования и распространения, последующий выброс вещества внешних слоев исследованы пока недостаточно детально. Поэтому расчеты этой стадии схематичны. В расчете считается, что все вещество вне нейтронизированного ядра выбрасывается.
Не исключено также, что срыв оболочки Сверхновой происходит за счет неизвестного механизма передачи ей части энергии нейтринной вспышки (для этого требуется передача оболочке всего лишь ~ 1% этой энергии). Важным подтверждением правильности вышеизложенной теории взрыва Сверхновых явилась регистрация нейтринными детекторами Земли нейтринного импульса при взрыве SN1987A
Из анализа данных содержания элементов при взрыве Сверхновой можно сделать следующий вывод:
Расчет дает очень низкое содержание ядер 13С, 14N, 19F, вероятно эти элементы образуются в красных гигантах и выбрасываются в межзвездную среду не на стадии взрыва Сверхновых.
Механизм потери массы Сверхновой играет существенную роль в выносе элементов, образовавшихся в процессе эволюции, в межзвездное пространство. Если после взрыва сохраняется большая часть массы звезды, в межзвездное пространство выбрасываются лишь внешние слои Сверхновой, состоящие преимущественно из легких элементов водорода и гелия. Наряду с этими элементами будут выброшены также более тяжелые элементы, образовавшиеся в результате взрывного нуклеосинтеза в короткий интервал времени взрыва Сверхновой.
Внутренние слои звезды при этом не затрагиваются и поэтому элементы, образовавшиеся в результате горения в условиях термодинамического равновесия на спокойной стадии эволюции звезды, остаются внутри звезды. Если же в результате взрыва Сверхновой в межзвездное пространство выбрасывается значительная масса звезды, то содержание выброшенных элементов будет в большей мере показывать относительное содержание различных элементов, образовавшихся в условиях термодинамического горения звезды, вплоть до стадии, предшествующей взрыву Сверхновой».
Следуя моей теории, нейтрино, являясь гравитонами, в огромном количестве покидают Сверхновую. На рисунке 28 показана стадия предсверхновой. То есть ядро Сверхновой, прежде чем взорваться, разделяется на более легкие элементы. Следуя моей гипотезе, когда каждый из слоев взрывается, выделяется нейтринно-гравитационное излучение. Сначала взрываются три верхних слоя звезды, потом железное ядро. Верхние слои звезды, потеряв значительную часть нейтрино, а вместе с ней и гравитацию, начинают падать на ядро, содержащее значительную часть гравитации до взрыва ядра и после него. Но все-таки большая часть гравитации потеряна вместе с нейтрино, поэтому звезда и теряет устойчивость. Все остальные элементы внешних слоев звезды падают на ядро и происходит окончательный взрыв. При этом звезда теряет всю свою гравитацию. Сверхновая, превратившись в нейтронную звезду, перестает быть центром масс.

Когда-то обладавшая гигантской массой, Сверхновая теряет ее всю. Сверхновая теряет все свободные нейтрино, и прекращаются все термоядерные реакции. Этим и объясняется появление «черной дыры». То есть в нейтронной звезде прекращаются выделения фотонов – продуктов термоядерных реакций. Если же в звезде остается часть гравитации, ничтожное количество в сотни тысяч раз меньшее первоначального уровня, то происходит сверхслабое горение железа и малое выделение фотонов. Этот процесс ведет к следующему этапу эволюции Сверхновой – белому карлику.
Все элементы во Вселенной появились в результате эволюции в массивных звездах. В результате термоядерного горения Сверхновая прошла долгий путь от горения атомов водорода до образования железного ядра. Но почему взрываются Сверхновые? Вероятно, концентрация нейтрино и антинейтрино в Сверхновой такова, что ничто
не может занимать свободное место в атомах. Это приводит к тому, что электроны начинают падать на ядро, в результате этого происходит деление ядер и получение более легких элементов. Этот процесс идет с поглощением температуры, но выделившиеся при этом нейтрино еще больше увеличивают гравитацию. Это приводит к тому, что вокруг Сверхновой открывается многочисленное количество порталов. Атомы железа, сжатого до гигантских размеров, уже не в состоянии удержать в себе столь гигантскую массу. Практически все электроны падают на ядро и этот гигантский толчок, как гигантская рука, выталкивает все нейтрино и антинейтрино по порталам. Сверхновая расходует почти весь свой запас электронов и позитронов – они аннигилируют и превращаются в фотоны нейтрино и антинейтрино. Остаются только нейтроны, составляющие основу нейтронной звезды. В результате потери Сверхновой электронов, позитронов, нейтрино и антинейтрино, практически не остается гравитационного топлива (нейтрино и антинейтрино) для дальнейшего продолжения термоядерных реакций, но это отнюдь не означает, что железное ядро – это предел, а количество химических элементов ограничено. Процесс образования новых химических элементов так же бесконечен, как и процесс расширения Вселенной и появления новых миров. Только этот процесс должен периодически обновляться выбросом избыточного гравитационного топлива. Поэтому я и назвал белый карлик, следующим этапом эволюции Сверхновой. То есть по прошествии миллионов лет белый карлик может стать новой Сверхновой, либо поглотиться другой Сверхновой.
При взрыве Сверхновой открывается огромное количество порталов. В эти порталы будут унесены не только нейтрино и антинейтрино, но и атомы. А из-за гигантской массы, накопленной Сверхновой, в порталы будут унесены огромные скопления веществ, то есть малое содержание ядер 13С, 14N, 19F говорит о том, что эти ядра были унесены в портал.
Анализ содержания основных элементов Земли: водород, кислород, углерод, кремний, кальций, железо – говорит о том, что Земля, да и другие планеты Солнечной системы не могли образоваться из Солнца, состоящего в основном из водорода и гелия. Наше Солнце даже отдаленно не напоминает Сверхновую. Объем Солнца столь мал, да и спектр горения давно изучен, что даже отдаленно нельзя представить, что Солнце в прошлом было белым карликом. Тем более, если Солнце было Сверхновой, то в нашей галактике не было бы такого гигантского количества водорода, которое есть сейчас. То есть, и Земля и другие планеты Солнечной системы были принесены в нашу галактику при взрыве Сверхновой, Солнце же должно было служить центром масс для планет Солнечной системы, перемещенных по порталу (именно перемещением по порталу можно объяснить появление планет солнечной системы) от одного центра масс к другому. Сверхновая теряет свою массу, и вещества летят к другому центру масс – Солнцу. То есть Солнце появилось раньше Земли и других планет Солнечной системы. Как же образовалось Солнце? Солнце могло тоже образоваться при взрыве Сверхновой, но тот взрыв, который образовал Солнце, предшествовал взрыву, который образовал Землю и другие планеты Солнечной системы.
Что же из себя представляет наш мир? Я уж показал на рис. 23 наш мир. На рис. 19 я показал наш мир в трех плоскостях. Но как же образуются звезды в нашем мире? Все зависит от гравитационного топлива и звездного вещества (в основном водорода).
Из «брызг» гравитационного и антигравитационного океана образовались электроны, позитроны, новоэлектроны и новопозитроны. Соединение электронов, позитронов, новоэлектронов и новопозитронов дало нейтроны. Кристаллизация нейтронов дала ничто
. Ничто
в массе и есть вакуум. Разрывы ничто
дают четыре вида атомов. Один из этих атомов – атом водорода. Разрывы ничто
дают систему миров. Мир – это место, занимаемое одним видом атомов и ограниченное со всех сторон другими видами атомов. Один из этих миров (физический) и есть наш мир.
Сразу же после образования наш мир состоял из огромного облака водорода и гравитационного топлива (нейтрино и антинейтрино). Водород и гравитационное топливо – это необходимый материал для горения звезд. Все определяется гравитацией, поэтому горение звезд в нашем мире будет подчинено основному направлению гравитации.
На рис. 29 изображен процесс формирования гигантской Сверхновой нашего мира. Цифрами от 1 до 4 показаны миры, которыми окружен наш мир. A – это направление противогравитации, воздействующее на наш мир из миров с антимассивными атомами. B – это основное направление гравитации, гравитационный поток, выходящий из мира 1, проходящий через наш мир и уходящий в мир 3.
Рис. 29
Основное направление гравитации – это гигантский портал, как огромный пылесос засасывающий в себя атомы и гравитацию. Звезда просто не успеет образоваться, если начнет свое формирование в середине или в верхней точке основного направления гравитации. Первая звезда в истории нашего мира сформировалась в нижней точке основного направления гравитации. Основное направление гравитации все время сносило звезду вверх по направлению гравитации, а так как наш мир постоянно вращается (Е – направление вращения нашего мира), то столкновение этих двух потоков заставляет звезду вращаться (D – направление вращения звезды). Снос звезды приводит к тому, что звезда, проходя по основному направлению гравитации, собирала огромное количество водорода и гравитации.
Звезда давно бы сформировалась в нижней точке нашего мира, ведь гравитации очень много, но водорода еще больше, поэтому водород не успевал прогорать, и звезда увеличивала свой размер. Достигнув центра нашего мира, вращаясь и увеличившись до огромных размеров, – Сверхновая C, взорвется – рис. 30. Взрыв этой Сверхновой астрономы называют «большим взрывом». Взорвавшись, Сверхновая выбросит в наш мир огромное количество звездного вещества F.
Рис. 30
Как известно при взрыве Сверхновая выбрасывает не все звездное вещество. После взрыва остается железное ядро. Сверхновая при своей эволюции сожжет далеко не весь водород, а основное направление гравитации принесет Сверхновой дополнительное гравитационное топливо. Гравитационное топливо, выброшенное Сверхновой при взрыве, достигнет границ нашего мира. Достигнув границ, гравитационное топливо из-за противогравитации соседних миров отразится от них. Отраженные волны направятся в центр масс нашего мира – в железное ядро Сверхновой. Отраженные волны принесут с собой много водорода. И основное направление гравитации, и отраженные волны, и водород – все это приводит к новому горению Сверхновой. (Когда Сверхновая накопит достаточно гравитационного топлива и звездного вещества, то снова взорвется).
Вновь образовавшаяся Сверхновая продолжает свое вращение. Вращаясь, Сверхновая затягивает и закручивает вокруг себя выброшенное звездное вещество (рис. 31).
Рис. 31
Это вещество стало основой для новых звезд и новых Сверхновых. Сверхновые, которые будут образовываться из этого звездного вещества, будут гораздо меньших размеров, чем гигантская Сверхновая, выбросившая звездное вещество.
Гигантская Сверхновая стала центром масс нашего мира и стала затягивать в себя гравитацию со всего нашего мира. Получив энергию отраженных волн из основного направления гравитации, Сверхновая значительно увеличит свою массу – это приводит к тому, что основное направление гравитации практически не сносит Сверхновую, а тот снос, что происходит, «съедается» вращением нашего мира – Е (рис. 31). Сверхновая станет центром масс нашего мира. Гравитационный поток основного направления гравитации, выходящий из внешнего мира 1 и входящий в Сверхновую, я назвал входящий поток – К.
С этим потоком из внешних миров энергия поступает в центр масс нашего мира – гигантскую Сверхновую. Этот поток, как гигантский пылесос, всасывает в себя гравитацию планеты и галактики и выбрасывает их на гигантскую Сверхновую.
Гравитационный поток основного направления гравитации, выходящий из Сверхновой, я назвал исходящим потоком – G. Казалось бы, Сверхновая так массивна, что не может отдавать гравитацию, но это не так. Внутренние миры и центр масс Вселенной – все вместе гораздо массивнее центра масс нашего мира, поэтому из Сверхновой выходит гравитационный поток и уходит во внутренний мир 3. Энергия исходящего потока больше энергии входящего потока – это происходит потому, что входящий поток собирает энергию из нашего мира. Также и Сверхновая собирает энергию из нашего мира.
На рис. 31, Н – это система галактик Млечного Пути. В этой системе находятся многие планеты и галактики, в том числе наша Земля и солнечная система. Почему именно здесь находится Млечный путь? Потому что астрономами недавно было обнаружено основное направление гравитации, а верхнее входящий гравитационный поток.
В январе 1998 года в Вашингтоне на 191-й встрече Американского Астрономического общества были представлены доклады о черных дырах, источник [4; 72]: «Изучено распределение плотных газопылевых облаков в нескольких сейфертовых галактиках. Астрономы смогли локализовать их, сравнивая изображения галактик в инфракрасном и видимом свете. Инфракрасные снимки были получены с помощью камеры «Никмос» Космического телескопа им. Хаббла. Снимки в видимом свете сделаны ранее широкоугольной планетной камерой телескопа Хаббла. Обнаружены пылевые спиральные дорожки, по которым поступает «топливо» к черным дырам в центрах активных галактик.
Типичная галактика Сейферта излучает столько же энергии, сколько триллион Солнц. Вся радиация исходит из пространства, сравнимого по размеру с Солнечной системой. Единственный известный астрономам объект, способный излучать такое количество энергии из столь небольшого объема, – черная дыра. Как полагают, массы черных дыр в галактиках Сейферта порядка 10 млн. М . Механизм выделения энергии в окрестностях черных дыр столь эффективен, что для поддержания активности галактики Сейферта достаточно только 1 М в год. Хотя «топлива» в галактиках более чем достаточно, остается неясным, как материя из внешних частей галактики переносится в центральный участок размером около 1 св. года.
В двух исследованных галактиках пыль формирует ведущие в центр спиральные рукава, несимметричные относительно центра. Рукава образует перемычку при приближении к центру, похожую на звездные бары некоторых спиральных галактик. Известно, что у галактик с баром наблюдаются потоки газа, падающие к их центрам. Ученые предполагают, что пылевые спирали тоже каким-то образом помогают затягивать газ и пыль к центру галактики».
На самом деле, это не черная дыра, а основное направление гравитации, вернее, входящий гравитационный поток центра масс нашего мира гигантской Сверхновой. Этим и объясняется «исчезновение» гигантского количества материи в световом годе (иначе говоря – в портале). Поглощение входящим гравитационным потоком планет и галактик вызывает многочисленные аннигиляции, следствием чего является сильное рентгеновское излучение. Сам по себе входящий гравитационный поток незаметен (нейтрино свободно проходит сквозь нейтроны вакуума), но очень хорошо видны «следы» его жизнедеятельности. Этот портал действует везде: начиная от верхнего мира и заканчивая центром масс нашего мира.
Входящий гравитационный поток – это очень хороший ориентир и по нему можно определить местоположение Млечного Пути в нашем мире. Наша Земля находится почти в конце Млечного Пути.
Центр масс нашего мира закручивает вокруг себя Млечный Путь, и спустя миллионы световых лет Млечный Путь поглотится входящим гравитационным потоком. I – место соприкосновения входящего гравитационного потока и Млечного Пути. T - место предполагаемого нахождения планеты Земля, L - квазары.
Наше Солнце могло образоваться в результате взрыва гигантской Сверхновой – центра масс нашего мира, либо в результате взрыва других Сверхновых, образовавшихся впоследствии.
Как же образовалась Земля? Анализируя элементы, содержащиеся на Земле, можно предположить, что Земля (вернее, тот кусок звездного вещества, из которого образовалась Земля) отделилась от Сверхновой (одна из Сверхновых Млечного Пути за три дня до ее взрыва, до слияния ядер кремния с образованием ядер железа). Но что могло стать причиной отделения от Сверхновой звездного вещества? Такой причиной могло послужить только одно – столкновение Сверхновой и гигантского объекта (гигантского по отношению к массе нашего Солнца, но не к массе Сверхновой). Сверхновая – это массивная звезда, которая в процессе эволюции поглощает гравитоны и ближайшие планеты. При столкновении Сверхновой и гигантского объекта от Сверхновой откалываются мельчайшие кусочки звездного вещества (мельчайшие для Сверхновой).
Итак, за три дня до взрыва Сверхновой в нее врезался гигантский объект, и отделились кусочки звездного вещества. Сила удара была такова, что звездное вещество сразу не упало на Сверхновую, а наоборот, стало удаляться от нее. За три дня вещество улетело на значительное расстояние, но сила инерции стала уступать силе тяготения, и звездное вещество снова полетело к Сверхновой. И оно бы упало на Сверхновую, если бы не произошел взрыв Сверхновой. Сверхновая взорвалась и выбросила звездное вещество в один из открывшихся порталов. Наше Солнце становится центром масс для этого вещества, и звездное вещество выходит на Солнце. Звездное вещество неоднородно, и поэтому от него откалывается, до того как врезаться в Солнце, три или четыре осколка. Звездное вещество врезается в Солнце, а в звездное вещество врезаются осколки. Сила удара такова, что осколки отскакивают от звездного вещества как бильярдные шары, при этом эти осколки тоже раскалываются. Эти осколки не смогут далеко отлететь от Солнца. Наиболее массивные осколки, увлекаемые гравитацией, упадут на Солнце, а наименее массивные (траектория которых от удара, будет направлена по дуге) не смогут упасть на Солнце, а начнут крутиться вокруг него. Оставшиеся осколки и станут впоследствии известными всем нам планетами солнечной системы – это Меркурий, Венера, Земля, Марс, Юпитер, Сатурн, Уран, Нептун, Плутон. Так или иначе, сейчас невозможно определить, как все происходило первоначально, но механизм появления Солнечной системы, надеюсь, описал точно. На Земле мало радиоактивных элементов, а ведь раньше она полностью состояла из них. Но это легко объяснимо – планеты, пройдя портал, теряют свободные гравитоны, то есть перестают быть радиоактивными. Радиоактивные элементы на Земле появились в результате накопления свободных гравитонов поступающих с солнца. Это накопление приводит к тому, что в центре масс Земли – ее ядре, происходят термоядерные реакции. Те же процессы происходят в ядре каждой звезды.
Теперь зная как образовались: Земля, Солнце, наш мир, система миров и вакуум можно найти ответы на осиновые вопросы: “Сколько лет существует Вселенная? Какой объем нашего мира? Какая по счету наша сфера миров и как далеко она от центра масс и антимасс?”.
На все эти вопросы можно найти ответы не покидая границ нашего мира. Посмотрите на рис. 32. На нем изображено практически то же что и на рис. 29, только рис. 32 более точен. Наш мир от m до D m E пересекает основное направление гравитации. Оно направлено по дуге и имеет радиус вращения R2. Сверхновая т С находится точно в середине нашего мира и делит основное направление гравитации на входящий гравитационный поток от т D до т С – расстояние L1 и исходящий гравитационный поток от т С до т Е – расстояние L2.
Рис. 32
К сожалению наш мир не имеет четко очерченных границ с параллельными мирами, поэтому внутренний радиус R1 и внешний радиус R3 можно определить только по основному направлению гравитации и гигантской Сверхновой.

Рис. 33
Радиус можно легко вычислить по длине окружности L=2πR. Чтобы вычислить длину основного направления гравитации мы немного растянем рисунок. Получится трапеция изображенная на рис. 33. Так как наш мир – это четвертая часть сектора сферы, то у трапеции GEFD основания EFIIGD, a <EGH=<FDI=45°; <EHD=90°, из этих обстоятельств легко можно понять EH=EG=FI=ID.
Пусть EF=a; GD=b, тогда Из теоремы Пифагора можно вычислить длину гипотенузы ED.
Вернемся к рисунку 32. Расстояние от т А до т В – это разница между радиусами R3 и R1 АВ= R3-R1 . Сверхновая С делит АВ пополам => СВ=СА=Х.
Кроме того, не надо забывать, что гигантская Сверхновая обладает огромным диаметром Dс, это надо учитывать при вычислении АВ АВ=2Х+Dс= R3-R1. Радиусы R3 и R1 легко можно вычислить. Так как наш мир это четвертая часть этих окружностей, то: 4а=2?R1, 4В=2? R3 => Следовательно длина АВ равна:
Вывод из всего вышесказанного:
Иными словами, зная длину основного направления гравитации, расстояния от Сверхновой до внутреннего мира (СА), а также зная диаметр гигантской Сверхновой можно определить длину окружности внешнего и внутреннего радиусов. По длине окружности можно легко вычислить радиусы R1 и R3. Зная радиус R1 можно определить объем занимаемый всеми внутренними мирами (V1).
Зная радиус R1 и R2 можно вычислить коэффициен миров Km:
Значение коэффициента kМ должно быть одинаково для всех миров. Если коэффициент был бы различным, то толщина миров (для нашего мира это АВ) будет различной и внутренние миры будут раздавлены внешними.
Поэтому зная этот коэффициент и один из объемов V3 или V1 можно определить объем любого из миров, а также предположительно узнать какой по счету наш мир. Точно этого узнать невозможно, так как неизвестно какой объем занимают сейчас центры масс и антимасс Вселенной.
Теперь можно ввести новую системную единицу – стандартный космический год.
Стандартный космический год – это время необходимое для прохождения гигантской Сверхновой (центра масс нашего мира) для полного оборота вокруг центра системы миров.
Как вычислять стандартный космический год? Зная внешние и внутренние радиусы нашего мира R1 и R3 можно определить радиус по которому ходит Сверхновая Rс:
Зная радиус Rс можно определить и расстояние по которому ходит Сверхновая – это стандартный космический год Lс: Lc=2рRc=рR3+рR1
Стандартный космический год делится на 360 равных частей (градусов) – это стандартная космическая минута LM:
Стандартная космическая минута делится на 60 равных частей – это стандартная космическая секунда Lceк:
Как вычислить длину стандартного космического года любого из внутренних соотносительно нашего мира, миров надо разделить длину нашего мира на km столько раз, сколько по счету этот мир от нашего. где X - номер искомого внутреннего мира
Чтобы определить длину стандартного космического года любого из внешних (относительно нашего мира) миров надо умножить длину нашего мира на km столько раз, сколько по счету этот мир от нашего:
LBMy= Lc*km*y; где y - номер искомого внешнего мира.
Со временем люди смогут определить скорость вращения нашего мира относительно центра системы миров. Эта величина должна называться Vm. Vm - это скорость вращения мира. Для каждой сферы миров эта скорость своя. Чем ближе сфера миров к центру системы миров тем больше скорость и наоборот.
Зная длину стандартного космического года нашего мира и скорость вращения нашего мира можно определить мировое время Tm. Мировое время - это время за которое любой из миров проходит стандартный космический год. Эта величина постоянна для любого из миров и будет оставаться постоянной дотех пор пока не начнет исполняться Великий план (об этом я расскажу позже).
Относительно мирового времени должны быть подведены все системные величины особенно юлианский календарь.
По временным значениям нашего мира: возраст гигантской Сверхновой, возраст туманностей галактик и планет можно определить сколько внешних миров было создано после нашего мира и какой объем система миров занимает сейчас.
Если исследовать и понять как появляются: нейтроны, вакуум и пространственные трещины, то можно узнать какой объем занимает вакуумная сфера и какой точный возраст Вселенной.
А зная сколько энергии поступает из внешних миров в наш мир можно определить какой объем занимает центральная сфера миров (центры масс и антимасс Вселенной) и сколько времени осталось существовать нашему миру, пока его не поглотит один из центров масс центральной сферы.
Зная как формировалась Вселенная вообще и наш мир, в частности, можно ответить на самые основные вопросы: “Что такое материя? Что такое элементарная частица?”
Наш мир как и наша Вселенная состоит из множества материальных точек.
Материальная точка – это точка, содержащая одну или несколько элементарных частиц.
Элементарная частица – это определенное количество материи, свернутое в шаровидную форму. Шаровидная форма материи проявляется не из-за внутренних напряжений, а из-за воздействия других элементарных частиц.
Материя – это то, из чего состоит Вселенная. Там, где кончается материя, кончается Вселенная. Все внутри Вселенной состоит из материи.
Материя бывает разных типов и в зависимости от типа существует та или иная элементарная частица. Материя не имеет четких границ. Единственно. Чем ограничена материя – это другими элементарными частицами. Элементарная частица не имеет внутренних границ и не состоит из каких-то элементов ограниченных по: объему, массе, антимассе, электромагнитному или новоэлектромагнитному заряду. Материя всегда обладает потенциальной энергией. Эта потенциальная энергия определяется количеством материи. Кинетическая энергия может быть сообщена материи с помощью другой материи только внешне. Кинетическая энергия может привести к делению материи.
Деление материи бывает двух видов обычное и качественное. Обычное сводится к делению материи на более мелкие элементарные частицы и идет с поглощением энергии (деление электрона на кварки).
Качественное сводится к делению сложных смешанных типов материи на более простые типы. При этом материя так же делится на более мелкие элементарные частицы. При качественном делении материи происходит высвобождение ее потенциальной энергии (аннигиляция электронно-позитронной пары).
Количество энергии может быть вычислено по формуле Е=mcІ, ?ри этом сама частица может быть не массивна, например, фотон. Но в этом случае энергия вычисляется исходя из массы других частицы, участвующих в делении материи. Материя только делится и никогда не соединяется вновь. Нейтрон состоит из восьми различных материальных точек, причем эти точки состоят из разных типов материи и эти точки не смешивают свои типы и не делятся ими друг с другом. Также при аннигиляции и попытках получения новых частиц при соединении уже существующих не получено ни одной новой частицы, которая не распадалась бы практически мгновенно после регистрации.
Из всего вышесказанного можно сделать следующий вывод: Гравитационный и антигравитмационный океан, а также частицы, которые получаются от взаимодействия этих океанов состоят практически из одного типа материи и обладают практически идентичными свойствами. Иными словами гравитационный и антигравитационный океаны получились при делении одного типа материи – “чистой энергии”. А вернее океана “чистой” энергии (см схему качественного деления материи).
Это означает, что все элементарные частицы состояли когда-то из одного типа материи и входили в одну структуру называемую “чистой” энергией. Эта “чистая” энергия должна составлять целый океан.
На рис. 34, океан “чистой” энергии – 1, заключен в шаровидную сферу – 2. Эта сфера – граница океана “чистой” энергии.
Рис. 34
Почему же океан имеет четкую границы и при том шаровидной формы? Этот вопрос лежит в вопросе появления океана гравитации и антигравитации. Океан “чистой” энергии разделился на океан гравитации и антигравитации в результате внешнего энергетического воздействия. А это значит, что за пределами океана существует другая материя, не входящая в состав океана “чистой” энергии. Энергетическое воздействие с помощью другой материи вызвало вибрацию, рис. 35.
На рис 35: 1 – океан “чистой энергии”, 2 – другая материя не входящая в состав океана “чистой” энергии, 3 – направление энергетического воздействия другой материи на океан “чистой” энергии, 4 – вибрация, возникшая в результате энергетического воздействия.
Рис. 35
Вибрация вызвала волны, которые прошли по всему океану чистой энергии. Эти волны и разделили океан “чистой” энергии на океан гравитации и антигравитации. Волны привели к появлению двух завихрений. Эти завихрения и есть океаны гравитации и антигравитации, рис. 36.
На рис 36: 1 – океан “чистой” энергии, 2 – океан гравитации, 3 – океан антигравитации. На рис. 36 видно как океаны закручиваются в спиралевидную форму и увеличивают свой объем за счет океана “чистой” энергии. На самом деле океаны настолько малы (в миллиарды раз меньше по сравнению со всем “океаном” чистой энергии), что их не было бы видно на рисунке.
На границе взаимодействия этих океанов появились: электроны, позитроны, новоэлектроны, новопозитроны, потом нейтроны, потом вакуумная сфера и так далее. Если океан “чистой” энергии является элементарной частицей, а материя не имеет четких границ, то это значит, что и фотон и нейтрино и другие “элементарные” частицы могут делиться дальше, а какие процессы происходит внутри этих частицы не известно. Может каждая из них представляет собой отдельную Вселенную.
Рис. 36
Действительно все в мире относительно и кажется что ни осталось никаких четких ориентиров, но это не так. Нейтрон мельчайший кирпичик атома сформировал по своему образу и подобию идентичные частицы. Частицы, входящие в нейтрон, хоть и являются частицами разного типа имеют в своем составе одинаковое количество материи, названного мною: Nмат.
Иными словами Nмат е-=Nмат|е-?|=Nмат |е+|.
Так же для этих частиц справедливо. Казалось бы введение объема для элементарных частиц абсурдно и противоречит моему собственному утверждению (ведь материя не имеет четких границ), но как я уже говорил материя ограничена другими видами материи. Именно по этим границам и надо ориентироваться. Так же любая частица, находящаяся внутри гигантской элементарной частицы окружена другими частицами (то есть другой материей). Так свободное пространство внутри веществ забито нейтронами, а внутри нейтронов все свободное пространство забито фотонами. Но откуда я решил что объемы таких разных частиц равны? Это утверждение должно быть справедливо иначе невозможно было бы существование такой частицы как нейтрон, а так же невозможно было бы существование такой частицы как нейтрон, а так же невозможно было бы существование всей системы миров (из-за разного объема миров).
Если для элементарных частиц существует понятие количество материи Nмат и объема V, то должно существовать понятие плотности материи Pмат. Для простоты я решил приравнять плотность материи гигантской элементарной частицы к единице Pмат=1.
Но у всех ли частиц одинаковая плотность? Частицы, входящие в нейтрон имеют одинаковое количество материи, одинаковый объем, а значит обладают одинаковой плотностью. Эти частицы формируются из гигантской элементарной частицы, при этом меняется только тип материи, а не ее плотность.
Но какова плотность частиц с разным количеством материи?
Например: да у a, b, g частиц разное количество материи, но пропорционально этому изменяется объем, а значит плотность остается неизменной.
Итак плотность всей материи находящейся внутри гигантской элементарной частицы одинакова. Единственно из-за чего меняется плотность этой материи это из-за движения элементарных частиц, когда одни частицы деформируют другие, но эта деформация исчезает, а плотность приближается к единице когда частица останавливается.
Что находится за пределами гигантской элементарной частицы? Как я уже говорил чтобы начался процесс деления материи в гигантской элементарной частице необходимо было столкновение этой частицы с другой подобной частицей. Кроме того наша гигантская элементарная частица должна быть шаровидной формы, а значит должно быть несколько подобных элементарных частиц. Но по какому принципу формируются и разделяются эти частицы, ведь должны состоять из того же типа материи, что и наша гигантская элементарная частица. Океан времени (так условно я его назвал) должен был разделиться на эти гигантские элементарные частицы по границам плотности.
Иными словами в океане времени появились участки с разной плотностью. Именно по этим участкам появились разрывы и сформировались гигантские элементарные частицы. Сколько этих частиц: десятки, сотни, тысячи? Скорей всего миллиарды и у каждой из них разная плотность, объем количество материи. И наша Вселенная одна из миллиардов других Вселенных. Именно Вселенная. Потому что наша гигантская элементарная частица которой находится система миров и есть Вселенная. Но это утверждение противоречит самому определению Вселенной. По определению во Вселенную должны входить все гигантские элементарные частицы и весь океан времени. Но я рассматриваю Вселенную как разумную единицу. Разум Вселенной находится в системе миров, а люди являются нервными клетками Вселенной (об этом я скажу позже).
Другие гигантские элементарные частицы должны содержать в себе другие системы миров, а значит обладать собственным разумом. Иными словами в океане времени могут находиться миллиарды других Вселенных.
Но чем наша Вселенная отличается от других? Наша вселенная не должна быть и не самой большой и не самой малой по размеру, она должна быть среднего размера. Допустим существует три Вселенных (рис. 37), с одинаковым количествам материи: Nмат1= Nмат2= Nмат3; но с разным объемом: 4V1=2V2=V3.
Значит плотность этих вселенных тоже будет разная: Иными словами при одинаковом количестве материи Вселенные будут обладать разной плотностью: Вселенная1 будет самой плотной, Вселенная2 будет средней плотности, а Вселенная 3 будет самой малой плотности. Если сравнивать (конечно такое сравнение весьма относительно) то: Вселенная1 находится в твердом, Вселенная2 в жидком, Вселенная3 в газообразном состоянии.
От того какая плотность материи зависит какими свойствами будет обладать получившиеся из нее элементарные частицы, а значит система миров и весь разум Вселенной. Наша Вселенная должна находится в жидком состоянии. Почему в жидком состоянии? Потому что жидкость более изменчива чем твердая материя и в то же время более стабильна чем газообразная материя. Именно жидкое состояние позволило вселенной: создать такую сложную систему миров, пройти всю эволюцию, создать людей, создать такую сложную цивилизацию и наконец создать меня и дать мне возможность проникнуть в такую глубину.
Но всему есть предел. Это мой предел. Я не знаю что находится за пределами океана времени. Я не знаю как взаимодействуют между собой материи с разной плотностью. Если бы я знал почему однополярные частицы отталкиваются, разнополярные частицы притягиваются, а фотоны никак не воздействуют друг с другом, то возможно я смог бы ответить на эти вопросы. Но похоже Вселенная решила оставить эту тайну для себя. Возможно в будущем мои последователи смогут ответить на эти вопросы.

Рис. 37
Остается самый сложный вопрос касающийся материи: “Каким образом взаимодействуют разно полярно заряженные частицы?”. На такой сложный вопрос существует ошеломляющий ответ: “Это взаимодействие осуществляется не за счет каких-то внутренних свойств материи, а исключительно за счет внешнего давления”.
Чтобы понять это надо взглянуть на рис. 38. На рис. 38 изображено материальное видение атома водорода. Электрон 1 соединен с позитроном 6 нейтринной цепочкой 8. Эта цепочка проходит внутри двух систем “ничто” 3 и 4. Я изобразил на рисунке две системы ничто, но, сколько их в реальности неизвестно: может одна, может две и более. Системы ничто состоят из пяти нейтронов, таких как нейтрон 10 (на самом деле “ничто” состоит из семи нейтронов, а нейтроны состоят из восьми частиц, но это в пространстве, а рисунок изображен на плоскости). В нейтроне 5 находится позитрон 6, все вместе это составляет структуру протон. Все свободное пространство между “ничто” и нейтронами занято фотонами 2. Электрон все время вращается по дуге 9. Вместе с ним вращается и нейтринная цепочка, и структуры “ничто”, и фотоны и главное вращается позитрон по дуге 7.
Казалось бы, электрон должен оторваться от нейтринной цепочки и уйти в окружающее пространство, но этого не происходит. Почему? Потому что все окружающее пространство забито другой материей – такими же элементарными частицами. Эти элементарные частицы давят со всех сторон (как показано стрелочками) именно поэтому атом не распадается. Почему же тогда вращение не останавливается? Потому что при вращении, как и при любом движении материи, меняется плотность окружающих частиц. Иными словами частицы входящие в состав атома при вращении сжимают окружающие их частицы, тем самым, увеличивая их плотность. Это увеличение плотности (сжатие) идет до тех пор, пока сжатые частицы не начинают отдавать полученную энергию обратно, то есть разжиматься, приобретая первоначальную плотность. Частицы, входящие в состав атома, вновь получают энергию от разжатых частиц, снова идет движение по дуге, и они начинают сжимать уже другие частицы. Именно по этому вращение электрона идет не по окружности, а по сложной дуге.
Я изобразил электрон, позитрон и частицы входящие в состав нейтрона одинаковыми. Почему? Потому – что это и есть одинаковые частицы. То есть: и электрон, и позитрон, и ново электрон, и ново позитрон – это все одни и те же частицы. Почему же тогда так отличаются их свойства? Элементарные частицы не соединяются между собой. Те “новые” частицы, которые ученые фиксируют при аннигиляции – это попытка соединить различные частицы, но после того как они фиксируются, то практически сразу распадаются. Позитрон 6 зажат внутри нейтрона 5, именно поэтому протон не может распасться. Фотоны достаточно большие, поэтому они не могут проникнуть внутрь нейтронов. Нейтрино же это намного более мелкие частицы и они могут свободно проникнуть внутрь нейтронов. Я изобразил частицы входящие в состав нейтрона разведенными в стороны. На самом деле они плотно сжаты, но за счет того что они гигантских размеров (по сравнению с нейтрино) нейтрино может легко проникнуть между ними.
Нейтрино и фотоны появились при других предыдущих аннигиляциях. Но как же происходит сама аннигиляция? Это происходит при столкновении атома с другими частицами. Частицы, входящие в состав одного атома могут столкнуться с частицами входящими в состав другого атома. В этом случае происходят две вещи: либо электроны меняются между собой местами, либо электрон отрывается от своего позитрона. При этом электрон, как правило “забирает” с собой часть цепочки, а вместе с ней и структуру “ничто”. От того насколько длинная эта цепочка и зависит и частота, и длина волны электрона. Такой электрон может найти себе другое ядро (или как в случае с водородом другой протон).
Протон может распасться, если к нему прикрепится электрон со своей цепочкой от другого атома (e - захват), либо (что бывает гораздо чаще) сама нейтринная цепочка (B - распад). Электрон может лишиться своей нейтринной цепочки и тогда превратится… в позитрон. Именно! Электрон лишенный своей нейтринной цепочки и есть позитрон. Позитрон может упасть на ядро (B - распад). Любой из этих распадов может серьезно сбить траекторию движения протона и вызвать его распад – позитрон вырвется из нейтрона.
При столкновении позитрона с электроном или с его нейтринной цепочкой – происходит аннигиляция. Как правило, позитрон сталкивается с электроном (до нейтринной цепочки или тем более ядра он не успевает добраться). При ударе электрон и позитрон распадаются, то есть они теряют маленькие частицы своей материи – эти частицы и становятся нейтрино.
В электропроводниках все движения электронов строго синхронизированы. Эта синхронизация позволяет передавать энергию от одного электрона к другому. Эта передача энергии и называется электрическим током. В магните энергия получается за счет постоянно идущего B распада (об этом я расскажу позже), а в остальных проводниках за счет внешних источников энергии. Синхронизация в магните позволяет некоторым электронам выстраивать неограниченно длинные цепочки, это и вызывает эффект магнитных полей.
Тогда становится понятен эффект шаровой молнии, когда при воздействии высоких энергий многие цепочки распадаются и пытаются сформировать свое ядро, но такие ядра не имеющие протона поэтому явно не стабильны и быстро распадаются.
Почему же электроны, не могут свободно переходить с одной орбиты на другую или от одного атома к другому? Потому что этому мешают нейтринные цепочки. Что же такое гравитация? Это и есть нейтринные цепочки. Нейтринные цепочки проходят через одинокие атомы и пронизывают все вещества, именно поэтому при ходьбе мы не улетаем в космос. Кроме ого нейтринные цепочки могут быть бесконечно длинными и пересекают все планеты в нашем мире.
Возникает резонный вопрос, а существует ли: антигравитация, и антимиры и сама система миров? Да существует, просто в антимирах вещества и планеты пронизаны своими нейтринными цепочками так же как электроны в атоме.
Теперь понятно, почему материя разделяется на типы не из-за своих внутренних свойств, а из-за системы энергетического взаимодействия различных частиц и их размеров. Нет массы и антимассы, нет положительного и отрицательного полюса, – есть только свойство материи к сжатию и разжиманию.
Термоядерный синтез происходит за счет соединения одного протона (со своей цепочкой и электроном) с другим таким же протоном. А стабильность этому ядру придают нейтроны, служащие изоляционными прокладками между протонами (они деформируются так, что усилие уходит не на разрыв ядра, а на его вращение). Всегда количество нейтронов в ядре равно количеству протонов (кроме водорода и его изотопов).
То есть: и электроны, и фотоны, и нейтрино, и системы, в которые они входят – все это одна материя. И вообще свободным мест между частицами не существует, а сами частицы не круглой, а сложной многогранной формы. Значит, все что до этого я делал и писал неправильно или требует серьезного пересмотра?
Рис. 38
Казалось бы схематичное изображение четырех видов атомов на рис. 14 и 15 в корне неверно. Например, на орбите энерговещества крутится позитрон, а это противоречит тому, что я только что написал. Но это не так. Энерговещество менее стабильно, так как содержит лишний нейтрон в своем ядре, а значит, атомы в этом мире составляют мало стабильных, долго не распадающихся ядер. Например, энерговещество идентичное нашему гелию содержит не по четыре нейтрона и протона, как в нашем мире, а четыре протона и восемь нейтронов. При контакте атомов энерговещества с нашими стабильными ядрами, атомы энерговещества быстро распадаются, вызывая аннигиляцию. Поэтому, относительно нашего мира на орбите энерговещества вращается позитрон, но он имеет нейтринную цепочку. То же самое можно сказать от антимассивных атомах. В остальном все правильно единственно это то, что не существует такой частицы как антифотон.
Остается последний вопрос, касающийся материи. Чтобы атомы не распадались, они должны испытывать постоянно высокое давление со стороны других частиц. Чтобы поддерживать это давление гигантская элементарная частица (наша Вселенная) должна испытывать постоянно высокое давление. Но распад океана времени на миллиарды других Вселенных по границам плотности говорит о том, что структура океана времени довольно нестабильна. Конечна ли материя? Это не известно. Но при резком падении давления система миров может распасться, а хардиевая сфера нет. В этом случае сфера может резко увеличить свой объем, нейтринные цепочки могут увеличиться в геометрической прогрессии. Об хардиевой сфере я расскажу позже.
Глава 6. Теория Относительности в гипотезе Системности миров
Чтобы понять, как действует теория относительности в гипотезе системности миров, давайте сначала разберемся в распространении гравитации в нашем мире. Обратимся к источнику [1]:
 |
«Существует ряд теорий и гипотез. Некоторые изначально предполагают, что измеряемая на опыте константа тяготения остается постоянной только на определенных расстояниях. Хорошо известна гипотеза Дирака о том, что постоянная тяготения меняется со временем. Кроме этих теоретических предположений, стимулом для развития проблемы является наблюдаемая экспериментаторами разница между лабораторным значением:  |
которое измерено в экспериментах типа кавендиша и значением, полученным из географических наблюдений (в Хилтоновских шахтах в Австралии; буровые скважины в Мичигане и др.): Предположения о том, что неньютоновская гравитация не вполне адекватно описывает ситуацию в астрофизике, возникли достаточно давно. Основой для таких предположений, т.е. предположение о нарушении (или недостаточности) закона обратных квадратов при изучении явлений на масштабах, значительно превышающих солнечную систему, послужила разница в оценке плотности массы галактик, необходимой для того, чтобы помешать их разбеганию и оценке, основанной на соотношении масса – светимость. Прямыми измерениями можно определить светимость звезды и галактики, и каждой единице светимости прописано определенное количество единицы массы. Так для Солнца отношение масса – светимость полагается равным 1. Поскольку динамика ближайших галактик хорошо известна, то массы их можно определить достаточно точно, например, измеряя скорость вращения. Видимые области нашей галактики состоят с отношением масса – светимость равным 10. Отсюда делается вывод, что для отдельных эллиптических галактик отношение масса – светимость для центральных областей порядка 10.
Сравнительно недавно из измерений радиоизлучения нейтрального водорода были определены скорости вращения большого числа галактик. Это вращение было прослежено вплоть до внешних областей дисков галактик. Результат оказался весьма неожиданным – скорость вращения оставалась примерно постоянной. Ранее же предполагалось, что если основная масса галактики сосредоточена во внутренних областях, то внешние части должны иметь меньшую плотность и быть более слабо связанными. Поэтому действующая на них центробежная сила должна быть меньше, а вращение медленным. Однако такое утверждение противоречит полученным экспериментальным данным; скорость вращения оставалась постоянной, меняясь, как это показано на графике (рис. 39).
Рис. 39
Большинство астрономов предполагает, что следствием этого факта является значительно большая величина отношения «масса – светимость». Следовательно, галактики должны иметь большую массу, чем это считалось прежде, и истинное отношение «масса – светимость» должно быть порядка 30 или еще больше. Откуда родилась гипотеза о темной материи (невидимой материи), которая не испускает электромагнитных волн, однако обладает отличающейся от нуля массой».
Наша земля постоянно получает солнечные нейтрино, поэтому в центре Земли происходят термоядерные реакции и увеличивается масса Земли. Кроме этого, Земля является большим магнитом. Как я уже говорил раньше, термоядерные реакции и электрические реакции атомного обмена взаимосвязаны.
Как же на самом деле устроен магнит? Магнит представляет собой замкнутую гравитационно-электромагнитную систему. Как мы знаем, электроны текут от положительного заряда к отрицательному. Как это происходит? На положительном потенциале концентрируются свободные электроны. Их может сконцентрироваться так много, что они, отталкивая друг друга, будут покидать положительный потенциал. На отрицательном потенциале, наоборот, существует недостаток свободных электронов. И при соединении положительного и отрицательного потенциалов электроны перетекают на отрицательный заряд. Но это не вся реакция. Часть электронов, попадая на отрицательный потенциал, аннигилируют с ядром. При этом в основном происходит третья реакция b-распада. Как известно, при этой реакции выделяется нейтрино. Нейтрино содержит отрицательный заряд, поэтому подчиняется тем же законам, что и электрон. Нейтрино будет отталкиваться от электронов. На отрицательный полюс постоянно поступают свободные электроны, поэтому у нейтрино нет другого пути, кроме как на положительный полюс. При этом, притягиваясь к положительному полюсу, нейтрино будут выталкивать электроны на отрицательный полюс и процесс повториться. Надо сказать, что этот процесс очень медленный, поэтому магнит теряет очень мало электронов и нейтрино, и практически он вечен. Этот процесс указан на рис. 40.
Рис. 40
Иными словами, константа тяготения может отличаться от полученной экспериментальной. Часть нейтрино все равно исчезнет в портале и станет топливом для термоядерных реакций, происходящих внутри Земли, впрочем это характерно для всех планет в нашем мире.
[1]: «В Основной Теории Относительности не существует понятия абсолютного времени и абсолютного пространства. Ни одна из четырех координат не обладает, как правило, реальным физическим смыслом и не может быть непосредственно измерена. Исключения составляют локальные системы координат, связанные с наблюдателем, например, топоцентрическая система координат. В указанном случае координатное время непосредственно измеримо с помощью часов, так как отождествляется по предположению с собственным временем наблюдателя. Пространственные координаты могут быть измерены в непосредственной близости от наблюдателя посредством измерительной линейки.
Астрономическая система координат называется не вращающейся в кинематическом смысле в том случае, если ее пространственные оси являются фиксированными по отношению к внешним, достаточно удаленным астрономическим объектам (квазарам), которые считаются неподвижными по определению. В классической Ньютоновской теории тяготения кинематическое и динамическое определения отсутствия вращения астрономической системы координат совпадают. Однако в общей Теории Относительности эти определения в общем случае не являются эквивалентными.
Анализ уравнений Эйнштейна показывает, что вращение астрономических систем координат, связанных с системой тяготеющих тел (одним телом), отсутствует как в динамическом, так и в кинематическом смыслах лишь тогда, когда гравитационное влияние внешних по отношению к системе тел (телу) масс ничтожно мало. В частности, из сделанного нами предположения, что барицентрическая система координат является не вращающейся как кинематически, так и динамически. Поэтому с теоретической точки зрения понятия кинематической (построенной по наблюдению квазаров) и динамической (построенной по наблюдению больших и малых планет Солнечной системы), астрономических систем отсчета являются эквивалентными.
Различие в определениях понятий динамического и кинематического вращений проявляется на примере геоцентрической системы координат. Действительно, геоцентрическая система координат привязана к Земле, которая подвержена гравитации со стороны внешних масс – Луны, Солнца и т.д. Поэтому геоцентрическую систему координат принимают как невращающуюся и кинематически. Динамически невращающаяся геоцентрическая система координат медленно вращается по отношению к пространственным осям, барицентрическая система координат, привязанным к «неподвижным» звездам. Это вращение хорошо известная геодезическая величина, равная 1\\92 (столетие)».
Речь в этих статьях идет о неравномерном распространении гравитации в нашем мире, но все это легко понять, взглянув на схему миров нашего мира: основное направление гравитации, отраженные гравитационные волны, гигантская Сверхновая, взрывы Сверхновых и наконец, многочисленные галактики и системы – все это влияет на накопление гравитацией. Что же тогда с теорией относительности? Ее можно забыть? Да ни за что на свете! Давайте снова вспомним правило распространения энергии, выведенное Эйнштейном: E = mc2? Эйнштейн был настоящим пророком, ведь выведя эту формулу, он не знал, как точно распространяется гравитация, но формулу он вывел точно! «Что такое скорость света?» – это скорость движения фотонов. «Как образуются фотоны?» – в результате аннигиляции электронно-позитронной пары. «Как образуются позитроны?» – в термоядерных реакциях. «Как получаются термоядерные реакции?» – в результате деления тяжелых ядер. «Как образуются тяжелые ядра?» – в результате накопления массы – нейтрино и антинейтрино. То есть выделяемая энергия напрямую зависит от массы и скорости света. «Почему скорости света?» – спросите вы. Помните, в предыдущей главе я говорил о перемещении частиц в ничто
, а от перемещения частиц в ничто
зависит скорость их передвижения. Фотоны движутся между ничто
по принципу «пробоя». То есть, чтобы переместиться по ничто
, фотонам необходимо «растолкать» себе дорогу. Нейтрино, перемещаясь в ничто
, перемещается по методу «исчезновения». То есть нейтрино, чтобы переместиться по ничто
, нужно «пробить» только одно ничто
на входе. При перемещении ничто
по порталу, энергия, давшая первоначальный толчок и отправившая ничто
по порталу, практически не расходуется. Это означает только одно, что энергия перемещения не затухает. Как же получаются фотоны, нейтрино и антинейтрино? В результате аннигиляции электронно-позитронной пары. Энергия, давшая первоначальный толчок, была одинаковой! То есть первоначальная скорость фотонов и гравитонов была одинаковой! Это значит, скорость света и гравитации первоначально была одинакова! Но это только первоначально. Проходя гигантские расстояния, скорость света затухает, а скорость гравитации – нет. Этим и можно объяснить шестичасовую разницу между нейтринно-гравитационным и фотонным излучением при регистрации взрыва Сверхновой 87А.
Незатухающая скорость света (скорость гравитации), и есть реальная величина распространения энергии. А по светимости (количеству выделенных фотонов), можно определить характер и силу термоядерных реакций, происходящих внутри звезды.
А как же быть со временем? С какой скоростью оно передвигается? Она распространяется со скоростью распространения гравитации – скоростью движения нейтрино и антинейтрино. Почему именно от гравитации зависит скорость распространения энергии и времени? Все определяется гравитацией. Что такое время по сути? Это элементарные частицы. Но это не просто элементарные частицы, а изменения, происходящие в этих частиц. Без изменений время как бы останавливается (как в вакууме в нашем мире). Изменения в элементарных частицах: физические, химические, термоядерные реакции происходят за счет накопленной гравитации. Но как в действительности происходит перемещение во времени, ведь все планеты движутся? У каждой планеты свои орбиты. Чтобы понять, как распространяется гравитация, посмотрите на рис. 29. То есть гравитация зависит от центра масс нашего мира – гигантской Сверхновой. На рис. 41: А – направление движения нашего мира; В – направление движения времени –
Рис. 41
это направление перемещения гигантской Сверхновой, то есть направление движения нашего мира будет совпадать с направлением движением во времени. Цифрами 1, 2 и 3 показаны положения во времени гигантской Сверхновой. 1 – будущее положение Сверхновой; 2 – настоящее положение Сверхновой; 3 – прошлое положение Сверхновой. Если мы будем двигаться из настоящего (точка 2) в направлении движения времени со скоростью света, то попадет в будущее (точка 1). Если мы будем двигаться из будущего (точка 1) против движения времени, то попадем в настоящее, в (точка 2). Если мы будем двигаться из настоящего (точка 2), против движения времени, то попадем в прошлое, в (точка 3). Если из прошлого (точка 3) мы будем двигаться в будущее, то попадем в настоящее (точка 2). Если мы от Сверхновой будем двигаться к центрам масс и антимасс Вселенной (точка 4), то для того чтобы вернуться в настоящее, надо вернуться в прошлое (ведь за время передвижения в точку 4) Сверхновая переместится во времени). То же самое происходит и при перемещении в точку 5 от центра масс и антимасс вселенной. Но не надо забывать, что гигантская Сверхновая постоянно взрывается. Также все планеты и галактики кружатся, и это тоже надо учитывать при движении во времени. При передвижении во времени надо учитывать конкретную траекторию каждой звезды, иначе при передвижении во времени может произойти нежелательный сдвиг в пространстве.
Глава 7. Появление жизни на Земле
Чтобы объяснить, как появилась жизнь на Земле, надо разобраться с энергией живой клетки. Обратимся к источнику [5; 40 – 41, 46]:
«Синтез и гидролиз молекул АТФ – универсальный промежуточный этап огромного количества энергетических преобразований в клетках бактерий, растений и животных – от простейших до человека. Гидролиз молекул АТФ происходит под влиянием ферментов и коферментов, входящих в состав мышечных волокон, ионных насосов, в рибосомах при синтезе белков и т.д. Из-за больших размеров органических молекул и ферментных структур места выделения и использования энергии гидролиза часто разделены расстояниями, значительно превышающими межатомные. Поэтому возникает важный вопрос о механизме эффективного переноса энергии гидролиза молекул АТФ вдоль больших белковых молекул.
Механизму транспорта энергии в биологических системах было посвящено специальное заседание Нью-Йоркской академии наук в 1973 г. Обсуждались три главных вопроса: существует ли кризис в биоэнергетике? Если да, то какова его природа? Как может быть разрешен этот кризис? Уже сама постановка этих вопросов говорила об отсутствии понимания механизма эффективного переноса энергии.
Предлагаемые объяснения наталкивались на непреодолимые трудности. Эти трудности объяснялись тем, что количество энергии, выделяемое в одном акте гидролиза молекул АТФ (~ 0,5 эВ), слишком мало для возбуждения электронных состояний белковых молекул. Их возбуждение требует энергии, на порядок большей. А энергии, выделяемой при гидролизе молекул АТФ, достаточно только для возбуждения внутримолекулярных колебаний белковых молекул. Вот почему ряд выступавших на конференции учёных, в частности М. Клейр, Д. Грин, К. Штауб, считали, что в белковых молекулах энергия гидролиза молекул АТФ переносится в виде вибрационной энергии колебаний группы атомов С = 0, входящих в состав пептидных групп всех белков. Для возбуждения этих колебаний требуется только 0,21 эВ энергии.
Это предположение активно оспаривали другие участники конференции (в частности, Г. Вебер). Они утверждали, что в конденсированной среде (водное окружение, другие молекулы) время жизни вибрационного возбуждения отдельных пептидных групп должно составлять, как и время жизни вибрационных колебаний в молекулярных кристаллах, только 10-12 с. Значит, такие колебания не могли бы участвовать в переносе энергии гидролиза молекул АТФ на расстояние, значительно превышающие размеры самих пептидных групп.
Сторонники переноса энергии вибрационными колебаниями возражали, что, по-видимому, особая структура белковых молекул может играть ключевую роль в стабилизации и увеличении времени жизни вибрационных состояний, возбуждаемых в таких макромолекулах. Однако они не смогли убедительно обосновать это утверждение. Не нашли поддержки и неовиталистические высказывания некоторых участников заседания о необходимости установления новых закономерностей, управляющих энергетическими преобразованиями в живой природе, существенно отличающимися от закономерностей, установленных при исследовании тел неживой природы.
Участники конференции так и не пришли к единому мнению. Вопрос о «кризисе» в биоэнергетике остался неразрешенным.
В том же 1973 г. была опубликована работа Н. И. Кислухи и А. С. Давыдова. Исследователи установили, что в a-спиральных белковых молекулах могут распространяться без потери энергии и изменения формы колебательные возбуждения коллективной природы. Такие возбуждения в дальнейшем получили название давыдовских солитонов.
Исследование показало, что при наличии в цепочке двух волн разной амплитуды, волна с большей амплитудой, двигаясь с большей скоростью, всегда обгоняет волну с малой амплитудой. Неожиданно оказалось, что нелинейное взаимодействие во время столкновения не сказывается на последующем движении уединенных волн. После столкновения они продолжали движение, не меняя колоколообразной формы и скоростей. Смещалось лишь немного их положение по сравнению с тем, которое они занимали бы, если бы не было столкновения.
Таким образом, при столкновении уединенные волны не обмениваются энергией. Именно поэтому в численных расчетах Ферми (1955 г.) не наблюдалась термолизация. Обнаруженное замечательное свойство уединенных волн, сближающее их поведение с поведением частиц, позволило Забуски и Крускалу назвать их солитонами – сокращение от английского названия solitary wave».
Также А. С. Давыдовым было рассмотрено, как солитоны эффективно переносят энергию в белковых молекулах, в механизме мышечного сокращения, движения с помощью ресничек, жгутиков и флагеля. Но дальнейшие исследования показали, что и этот способ транспортировки неэффективен [6; 48-49]:
«С 1973 г. киевской школой теоретиков развивается подход А. С. Давыдова к объяснению механизма транспорта энергии в биологических системах. Именно тогда была опубликована ранее упомянутая работа Н. И. Кислухи и А. С. Давыдова с описанием модели переноса энергии в a-спиральных белковых молекулах за счет солитонов – колебательных возбуждений коллективной природы, сохраняющих форму уединенной волны.
Следует сказать, что впервые наблюдал уединенные волны на воде английский инженер Джон Скотт Рассел 165 лет назад. С тех пор теория этого явления получила блестящее развитие, особенно в 60-е годы нашего столетия, когда и укоренилось название «солитон», обозначающее нелинейную уединенную волну, перемещающуюся без потери энергии и изменения формы. Такая стабильность солитона обусловлена взаимным влиянием нелинейности и дисперсии. Дисперсия задает различную скорость и, следовательно, пространственное расплывание различных гармоник (монохроматических волн) локализованного возбуждения, в то время как нелинейность обеспечивает интенсивное взаимодействие монохроматических составляющих волнового пакета. В результате перераспределения энергии при этом взаимодействии сообразуется устойчивое коллективное возбуждение, распространяющиеся как единое целое.
Согласно концепции А. С. Давыдова и его сотрудников, при гидролизе молекулы АТФ, прикрепленной к концу a-спиральной белковой молекулы (которая представляется как квазиодномерная нелинейная система с экситонной дисперсией) высвобождается энергия, распространяющаяся по a-спирали в виде солитона. При этом рассматриваются две колебательные подсистемы – возбуждение внутренних колебаний пептидных групп (амид-1) макромолекул (с дипольным моментом d = 0,35 Д и энергией возбуждения ~ 0,21 эВ) с резонансным деполь-депольным взаимодействием между собой и деформационные колебания, связанные со смещением первоначальных равновесных положений пептидных групп. Связь колебаний амид-1 со смещениями их равновесных положений характеризуется некоторым коэффициентом пропорциональности. Отсюда находится и энергия соответствующей связи. Оказалось, что если бы энергетический транспорт осуществлялся посредством распространения солитонов в биомолекулах, то внешние излучение могло бы эффективно нарушать этот процесс. Эта задача была рассмотрена для достаточно низко интенсивных СВЧ-излучений, а также для коротких и мощных СВЧ-импульсов наносекундной длительности (I
0
>
10 МВт/см2)».
О. В. Бецким и В. В. Кисловым были предложены другие способы транспортировки энергии: активационный, туннельный и комбинированный. Но как признаются авторы статьи, и эти способы не всегда являются эффективными.
Так как же происходит транспортировка энергии между клетками, если все электронные способы являются неэффективными? А вы не задавали себе вопроса: «Почему именно электронный?» Ведь на свете существуют и другие частицы, которые могут нести энергию и распространятся волнами. Кроме фотонов, электронов, позитронов и их производных, существуют еще и другие частицы – нейтрино и антинейтрино. Именно нейтрино могут распространяться волнами и именно они могут эффективно переносить энергию и информацию из одной клетки в другую, а также внутри клетки. Как я уже говорил, при аннигиляции получаются не только обычные фотоны, но и a, b и жесткие g-частицы, то есть при аннигиляции появляется множество различных нейтрино с различными массами, частотой излучения и длиной волны. Каждая термоядерная реакция строго индивидуальна, как отпечаток пальца. Одна реакция с одними элементами резко отличается от реакции с теми же элементами и с добавлением еще одного элемента. И в отличие от a, b и жестких g-частиц, которые в основном будут поглощены соседними атомами, нейтрино, выделившись, будет искать ближайший центр масс. В клетке же центром масс является ядро клетки. Нейтринная волна, скорость которой равна световой, может свободно обогнать электромагнитную волну. Нейтринная волна распространяется во все стороны одинаково, она свободно пройдет внутри клетки и достигнет ядер соседних клеток. Нейтрино инициирует реакцию внутри ядер и снова выделится нейтрино. Выделившийся нейтрино снова достигнет соседних ядер. Так одна реакция вызовет цепную реакцию. Я уже чувствую нападки биологов: «Как, радиация внутри клетки? Да радиация ее убьет!» Это заблуждение.
Во-первых, термоядерные реакции происходят не только на высоких энергиях. На высоких энергиях они лишь фиксируются!
Во-вторых, как я уже говорил, термоядерные реакции происходят всегда при выделении энергии, и не важно, что это за энергия: трение, электрическое свечение или химическое горение внутри клетки.
Другое дело, что естественный радиоактивный распад не обнаруживается в живых клетках. Это не означает, что он не происходит, просто в живых клетках все процессы строго сбалансированы и все выделяющиеся частицы моментально поглощаются. Тем более, что не термоядерные реакции служат топливом клетки, а химическая реакция – горение. Термоядерные реакции лишь служат для переноса информации внутри клетки и между клетками. Элементы, отвечающие за перенос информации и содержащимися во всех клетках, это 12С, 16О, 1Н. Углерод, кислород и водород можно назвать основой радиоактивности клетки, а термоядерными реакциями клетки, являются следующие реакции:
1Н + 1Н Þ D2+ е++n,
12С + 1Н Þ 13С+g,
16О + 1Н Þ 17О+g,
D2 Þ 1Н + 1Н + е++n,
13С Þ 12С + е+ + n ,
17О Þ 16О + е+ + n.
Я бы назвал эти реакции так: «реакции биологической радиации».
Первые три реакции – это реакции соединения ядра клетки. То есть они составляют одну цепочку ДНК и могут присоединить недостающие звенья, создав новую цепочку ДНК. Эти реакции и есть составные части, набор которых и составляет ДНК. Последние три реакции – это реакции распада этих трех составных частей.
Если водород, кислород и углерод способны переносить информацию, то эта информация должна быть основой ДНК. То есть в кислотах разведен слабый радиоактивный раствор. Таким образом, какой-то из радиоактивных атомов, входящих в состав кислот, содержит необходимую информацию, а совокупность таких атомов и составляет подробную информацию об организме. Ведь не секрет, что любой живой организм – это сложный баланс химических элементов, и от состава этих элементов зависит то, каким будет организм. Клетка, контактируя с тем или иным веществом, записывает информацию (поглощает электроны, позитроны, нейтрино, антинейтрино) своими радиоактивными атомами. Записывая подобную информацию, строится цепочка ДНК. А сильная внешняя радиация может серьезно повредить механизм ДНК. Косвенным подтверждением биологической радиации может служить механизм человеческого самовозгорания. Человеческое тело на 75% состоит из воды и не может сгореть за несколько секунд, кроме случаев термоядерных реакций. При термоядерной реакции выделяется огромная температура, а дейтеризация клетки может происходить за секунды (не распад, а горение дейтерия). Последующая термоядерная реакция горения дейтерия сожжет все элементы живой клетки в термоядерных реакциях и вызовет цепную реакцию, перекинувшись на соседние клетки. Это может происходить при очень серьезном генетическом сбое человеческих клеток, который может произойти при генетических заболеваниях и передаваться по наследству. Поэтому при самовозгорании огонь может перекинуться на других членов семьи (родственников) и сжечь их, но при этом не заденет других случайных людей (не родственников). Термоядерное горение клеток резко отличается от химического горения веществ. При генетическом сбое клетка начинает концентрировать гравитацию, и электроны начинают падать на ядро – это вызывает цепную реакцию в клетках и сожжет весь организм.
Так как же появилась жизнь на Земле? Как сформировалась клетка? Давайте начнем по порядку. В пятой главе своей работы я рассказывал о появлении Земли. Земля – это кусок звездного вещества, переместившегося по порталу и отколовшийся при столкновении с Солнцем. Скорей всего, Земля откололась сразу и не сталкивалась ни с какими другими планетами, иначе бы Земля потеряла свой кислород. Как только Земля откололась, на нее должна была упасть Пангея – кусок шаровидного звездного вещества, расколовшегося от удара о Землю и образовавшего материки. В пользу этой версии говорит береговая линия Канады, схожая с береговой линией Антарктиды. Падение Пангеи вызвало взрыв кислорода. Кислород не мог гореть при космическом холоде, а падение Пангеи вызвало сильное трение и разогрело кислород. Пангея принесла с собой много водорода. Произошел взрыв. Началось активное горение водорода с кислородом – так образовался первый единый океан, а Пангея оказалась под водой. Горение водорода инициировало много химических реакций, что в свою очередь повлекло за собой образование соли хлорида натрия (NaCl). Вся вода превратилась в электролит, а так как Земля из-за большого содержания железа является гигантским магнитом, то океан стал частью этого магнита. Вода растворила не только соль, но и все растворимые в воде вещества, также всплыл нерастворимый осадок, который был легче воды. Среди осадка было много углерода и углекислого газа. Океан превратился в гигантский «суп», в котором находилось множество химических веществ.
Не весь кислород сгорел при падении Пангеи, огромная его часть была растворена в глубине мирового океана. На поверхности же и над поверхностью океана в основном концентрировался углекислый газ.
Лунная активность вызывала на Земле приливы и отливы. Приливы и отливы в свою очередь вызывали на Земле появление волн. Волны мелко «нарезали» пузырьки кислорода и углекислого газа. Не сгоревший и нерастворенный в воде углерод находился во взвешенном состоянии и стал частью этих пузырьков. Волны вызывали трение между пузырьками. Трение пузырьков кислорода и углекислого газа в электролите (океан является электролитом) вызывало появление на границе пузырьков границ из ионов, так появились первые клетки и их мембраны.
Земля, вернее тот кусок звездного вещества, из которого появилась Земля, при переходе через портал «потерял» все свободные гравитоны (нейтрино и антинейтрино), поэтому топливом для термоядерных реакций, происходящих внутри и на поверхности Земли, служило Солнце. При накоплении нейтрино внутри мирового океана начались реакции горения водорода – образование дейтерия. Образование дейтерия происходило внутри ионных оболочек, внутри кислородных и углекислотных пузырьков. Образование дейтерия инициировало ядерные реакции с участием углерода и кислорода. Кроме термоядерных реакций происходило множество химических реакций внутри клеток. Все эти реакции приводили к появлению множества нейтрино и антинейтрино.
У каждого вещества при химическом или термоядерном горении выделяется свой, определенный тип нейтрино и антинейтрино с определенной массой покоя, электромагнитным зарядом, частотой испускания и длиной волны. И у каждого вещества свой уникальный тип этих частиц. Этот тип так же уникален, как отпечатки пальцев.
При термоядерных и химических реакциях вся информация о химических веществах, входящих в состав клетки, записывалась на радиоактивные атомы водорода, углерода и кислорода с помощью нейтрино и антинейтрино. Эта информация и стала основой для будущих ДНК.
Углекислый газ, растворенный в воде, поднялся на поверхность, а потом сконцентрировался над поверхностью океана, создав парниковый эффект.
Кроме термоядерных реакций в клетках происходили основные химические реакции. В зависимости от того, где находились клетки, происходили различные реакции. То есть происходило три основных вида химических реакций – на поверхности, в середине океана, на дне. На поверхности происходила реакция расщепления углекислого газа на углерод и кислород. В середине океана было растворено много кислорода, поэтому здесь, наоборот, происходила реакция окисления углерода. Углекислый газ создавал парниковый эффект – это приводило к подогреву океана. Нагрев океана создавал конвекционные потоки, что приводило к свободному взаимообмену углекислого газа и кислорода. Углекислый газ поднимался вверх, а кислород опускался вниз.
Из клеток, появившихся на поверхности Мирового океана, появились растения. Из клеток, находящихся в середине Мирового океана, появились животные.
Клетки формировались не только на поверхности и в середине Мирового океана, но и на его дне. На дне существует множество подводных течений и дейтерия. На дне Мирового океана также сформировались клетки, но для этого понадобилось гораздо больше времени, при этом химические и термоядерные реакции происходили без участия кислорода, более того, кислород для таких клеток ядовит, эти клетки так и остались вирусами.
В клетках постоянно происходили реакции деления. Как это происходило? Чтобы понять это, надо взглянуть на модель ДНК. ДНК – это двойная спираль, где каждая из спиралей содержит информацию, независимую друг от друга. Спирали крепятся друг к другу по магнитному принципу «+» к «-», в самой спирали элементы чередуются по тому же принципу. Но термоядерные реакции вносят в ДНК свои коррективы. Ядерные реакции накапливают не только информацию, но и гравитацию. В атомах, входящих в состав ДНК, накапливается радиоактивный кислород О17, радиоактивный углерод С13 и дейтерий D2. Это происходит до тех пор, пока эти атомы не начнут распадаться. Большое накопление гравитации в атомах приводит к цепной реакции, которая идет точно по спирали, вернее по двум спиралям одновременно.
Элементы двух спиралей крепятся между собой по магнитному принципу, причем если один элемент содержит радиоактивный кислород, то в другом содержится радиоактивный углерод или дейтерий. Следовательно, реакция происходит в двух элементах одновременно. При реакции распада выделяется огромное количество позитронов, что вызывает аннигиляцию, и ДНК при этом разрывается на две отдельные спирали. Отдельные спирали, получив толчок, расходятся в две разные стороны, то есть разрывают ядро клетки, а потом и всю клетку. Химические реакции формируют вокруг отдельной спирали кислоты, необходимые для создания второй спирали. Формируется вторая спираль, которая соединяется с первой по магнитному принципу.
В разных клетках реакции деления происходили по-разному. Если клетки находились в глубине океана, то реакция проходила так, как я описал выше. Если клетки находились на поверхности океана, то реакции деления происходили с участием солнечного света. Солнечный свет содержит фотоны и жесткие гамма-частицы. Эти частицы бомбардировали клетки, находившиеся на поверхности океана, – это приводило к тому, что процесс деления клеток был более мягким и происходил при меньшей гравитации, чем у клеток находящихся в глубине океана. Так появились первые клетки животных и растений. Так появилась ЖИЗНЬ. Солнечная радиация и реакции радиоактивного распада химических элементов Земли приводили к различным мутациям в клетках и появлению различных форм жизни.
Теперь давайте поговорим о старении и смерти клетки. В низших организмах клетки практически вечны, постоянно делясь, клетки бактерий только обновляются, но не умирают. За счет чего это происходит? В клетках высших организмов содержится гораздо больше информации, а информация, как я уже говорил, записывается с помощью нейтрино и антинейтрино на ядра радиоактивных атомов клетки. При делении клеток выделяется гораздо большая энергия, чем при обычной жизнедеятельности клетки. Эта энергия больше, чем энергия, которую накопила клетка, чтобы разорвать ДНК. Если клетка поглощала бы всю энергию, выделявшуюся при разрыве ДНК, то эта энергия могла бы серьезно вредить наследственной информации, находящейся в радиоактивных атомах, поэтому каждая клетка высших организмов делится определенное число раз. Еще в зародыше в клетке высших организмов закладывается гравитация, необходимая для деления клеток, а с каждым делением эта гравитация постепенно уходит в окружающее пространство (за пределы живого организма). Постепенные энергетические потери клеток приводят к замедлению, а иногда и к полному прекращению процессов деления.
Ничего во Вселенной не исчезает бесследно и не появляется из неоткуда – доказательством этого утверждения является моя гипотеза. Так и живая клетка не исчезает бесследно. Смерть живой клетки – это термоядерный взрыв. Этот взрыв вызван нарушением баланса химических, физических и термоядерных реакций, происходящих в клетках. Радиоактивный углерод, радиоактивный кислород и дейтерий начинают распадаться, но энергии недостаточно для того, чтобы разорвать спирали ДНК. Нейтрино и антинейтрино покидают клетку. Как я уже говорил, нейтрино и антинейтрино являются переносчиками и хранителями информации, то есть при смерти клетки из нее выходит не только энергия гравитации, но и информация. Каждый организм строго индивидуален, как индивидуальна каждая клетка организма. Поэтому информация, покидающая организм, строго индивидуальна. Но это не просто информация покидает тело – его покидает личность. И это, поверьте мне, не абсурд и не плод больной фантазии – это лишь констатация факта. Что такое человеческая личность? Личность человека заключена в его мозге. А именно в нашем мозге, то есть в памяти, заложена информация о нашей личности. Осязание, обоняние, зрение, вкус и слух – это всего лишь электрические сигналы, посланные и расшифрованные нашим мозгом. Человеческое тело, как и все, что нас окружает, состоит из веществ, а вещества – это всего лишь сочетание элементарных частиц в определенной последовательности. Электромагнитная информация нашего мозга, наших клеток была записана с помощью нейтрино и антинейтрино на ядра радиоактивных атомов наших клеток. При смерти происходит микроядерный взрыв клеток. При этом нейтрино и антинейтрино, содержащие в себе информацию о личности, покидают тело! Поэтому я и утверждаю, что после смерти организм покидает личность. Электромагнитно-информационная оболочка покидает человеческое тело или, другими словами, то что, дает жизнь клеткам, его душа. После смерти душа покидает тело. Подчиняясь гравитации, душа устремляется к центру масс (как я уже говорил выше, нейтрино и антинейтрино могут свободно проходить сквозь нейтроны, а значит и через вещества, частью которых они являются). Ближайшим центром масс является наша Земля. Для того, чтобы живая клетка жила на Земле, ей необходимо преодолевать входящую земную гравитацию. Иначе ДНК будет разрушена или будет нарушен гравитационный баланс внутри клетки. И если душа после смерти клетки обладала меньшей гравитацией, чем необходимо для жизни, то душа уходила вовнутрь Земли. Если же масса была почти равна или чуть больше массы из расчета на одну клетку, необходимой для жизни, то душа будет находиться во взвешенном состоянии, «купаясь» в электромагнитных полях Земли. Если же масса души в расчете на одну клетку значительно превышала массу Земли, то душа уходила на Солнце. В случае если данная масса души еще больше, то она покидает Солнечную систему. Но ведь это парадокс! Как душа человека может превышать земную массу, если клетки умирают? Ну, во-первых, человек, как правило, умирает от болезни, а не от старения клеток. Во-вторых, человек проживает на Земле не одну жизнь, а несколько. Как это происходит?
Душа, попадая внутрь Земли или Солнца, становилась участником термоядерных процессов, происходящих внутри этих планет, но она не попадала в самый центр Земли или Солнца, а горела лишь в верхних слоях планет. За время горения из души расходуется гравитационное топливо, а значит, теряется часть информации, но на место этой, израсходованной энергии, приходит энергия Солнца или Земли. При жизни больше всего энергии вырабатывается мозгом, поэтому больше всего стирается информации из памяти самой личности. Информация же о самом организме хоть и стирается, но не может быть полностью уничтожена. Это происходит потому, что энергия каждой клетки содержит информацию обо всем организме, и если при горении теряется часть информации о клетках, то потом эту информацию можно будет легко восстановить с помощью оставшихся клеток. Поэтому после горения в Земле или Солнце или при бомбардировке душ, находящихся на Земле, солнечными нейтрино или электромагнитно-гравитационным полем Земли, информация в душах о целом организме все равно остается, и независимо о каком организме идет речь – от вирусов до человека.
Химические элементы – это основа любого организма, а душа – это источник дополнительной энергии и информации об организме и частично о личности.
Для подтверждения всего этого необходимо сначала вспомнить процесс размножения. В женском организме соединяются сперматозоид и яйцеклетка, что вызывает деление клеток, в результате чего в женском организме развивается плод в течение девяти месяцев. За это время он потребляет огромное количество питательных веществ, но кроме этого, плоду необходимо очень большое количество гравитации для деления клеток. Если бы плод брал эту энергию у матери, то она бы быстро состарилась во время беременности и могла бы умереть от старости клеток, но беременная женщина молодеет. Как же тогда восполняется гравитация плода? С Солнца на Землю поступают нейтрино, а вместе с ними поступают души. Или же души выходят из центра Земли с помощью вулкана. С помощью солнечных нейтрино и извержений вулкана в зародыш поступают и души, которые находятся на поверхности Земли. Если душа соизмерима с энергией плода, с массой, необходимой для деления клеток, то душа поступает в плод, развивается и рождается человек. То есть человек может прожить тысячи жизней, чтобы покинуть солнечную систему. Но для чего же живет человек на Земле? Зачем вообще необходимы все прожитые им жизни? Чтобы ответить на эти вопросы, необходимо проанализировать всю человеческую историю, лишь тогда появятся ответы даже на самые глобальные вопросы.
Но прежде давайте подведем глобальный итог по всей изложенной теории системности миров. Я постарался объяснить все от начала до конца: от появления элементарных частиц до жизни на Земле. И пусть это было сделано не в точном хронологическом порядке, но зато я подробно описал все процессы, происходящие во Вселенной. От появления первого нейтрона до появления жизни на Земле прошло несколько сот триллионов лет. Давайте теперь расставим все в хронологическом порядке.
1. Появление нейтронов из гравитационных океанов.
2. Взрыв и кристаллизация нейтронов. Появление ничто
(вакуума).
3. Появление «трещин» и деление ничто
на четыре физических элемента Вселенной, появление миров.
4. Накопление массы и увеличение объемов миров. Появление системы миров.
5. Появление нашего мира.
6. Горение водорода и синтез элементов. Появление центра масс нашего мира – гигантской Сверхновой.
7. Взрыв гигантской Сверхновой. Появление Млечного Пути. Появление галактик и нашего Солнца.
8. Горение и синтез малой Сверхновой. Столкновение малой Сверхновой с планетой, ее взрыв и прохождение куска звездного вещества через портал.
9. Выход звездного вещества из портала и его столкновение с Солнцем. Распад звездного вещества на планеты. Формирование Солнечной системы. Появление Земли.
10. Химическое горение водорода, кислорода и углерода. Появление океанов. Происхождение многих химических реакций и, как результат, появление сложных химических элементов.
11. Появление жизни на Земле.
Из всего вышесказанного следует, что Вселенная прошла длительный путь от двух океанов (гравитации и противогравитации) до появления такой ее части, как Земля, и возникновения на ней жизни посредством именно физических законов Вселенной и в результате длительного процесса эволюции. То есть Вселенная прошла длительный процесс эволюции, и этот процесс предшествовал эволюции жизни на Земле. Первым был этап эволюции Вселенной, а далее была эволюция жизни на Земле до появления человека и создания его истории.
Прежде чем я начну дальнейшее повествование, давайте ответим на вопрос: «Что является истиной?» Сложный вопрос, но на этот сложный вопрос существует простой ответ: «Истина – это факт, многократно доказанный и подтвержденный». Нелишне будет сказать, что наука и строится на понятии истины. «Что такое наука?» – «Наука – это сведение разрозненных фактов в единые гипотезы, теории и, как следствие, в законы». Эти гипотезы, теории и законы проверяются на верность другими гипотезами, теориями и законами и если появятся какие-то несоответствия, то либо неверны новые гипотезы, теории или законы, либо старые гипотезы, теории или законы. Но главным в науке остается факт. Если гипотезы, теории или законы противоречат фактам, эти гипотезы, теории или законы являются неверными! К сожалению, многие ученые забывают это и начинают ставить гипотезы, теории или законы выше фактов. Это сильно вредит науке. Можно задаться вопросами: «Разве противоречит ньютоновской гравитации и теории относительности передвижение во времени и по порталу? Разве противоречит Дарвинской эволюции существование других форм жизни (в том числе не углеродно-кислородных) на других планетах?» Нет, не противоречит. А душа? Душа – это всего лишь энергия, которая по сути своей вечна.
Да, я готов, так же как и вы, разоблачать шарлатанов и мошенников от науки, но это не значит, что я должен растоптать очевидные факты. И если какие-то гипотезы и теории противоречат фактам, то это всего лишь (согласен, глубоко научная) фантазия. Ученые должны понимать, что для факта должна существовать презумпция невиновности: «Никакой факт не может быть отвергнут, пока опытным путем не доказано обратное». Поэтому давайте смело задавать себе самые сложные вопросы и не боятся получить на них ответы.
Прежде чем вплотную заняться человеческой историей, ответим еще на другие волнующие нас вопросы: «Есть ли другая жизнь во Вселенной? Одиноки ли мы в нашем мире? Существуют ли другие расы внеземного происхождения, схожие с нами по разуму?»
Ответы на эти вопросы лежат в появлении человека. Взрыв гигантской Сверхновой нашего мира дал толчок к образованию Млечного Пути, а это сотни тысяч галактик, что в свою очередь привело к образованию десятков тысяч малых Сверхновых. В процессе эволюции малые Сверхновые поглощают кроме нейтрино и антинейтрино огромное количество звездного вещества, часто при этом Сверхновая поглощает и планеты. Все это приводит к тому, что складываются десятки тысяч ситуаций для образования таких планет, как наша Земля. Потом после взрывов образуются тысячи таких планет, как Земля. В зависимости от того, в каких условиях оказываются планеты, на сотне из них, или около того, возникает жизнь. На десяти из этих планет жизнь выдерживает испытание эволюцией, и появляются гуманоиды – существа, схожие с нами по интеллекту и общему развитию. Они должны были пройти такой же или схожий процесс исторической эволюции. Они могли пройти весь путь: от каменного топора до космической ракеты. Они могли добиться самых высочайших технологий и открывать порталы. Также они могли достичь высоких успехов в генной инженерии.
Человек достиг высочайших успехов в науке и технике за 7 – 10 тысяч лет. Для Вселенной же миллиард лет все равно что для человека секунда. Поэтому плюс или минус сто тысяч лет между взрывом одной Сверхновой и другой – это вполне нормально. Напомню, что горение и взрыв Сверхновой зависит от поступающей гравитации. Если гравитации и водорода много, то Сверхновая горит и взрывается быстрее. В противном же случае Сверхновая горит и взрывается гораздо медленнее. Не секрет, что наша Солнечная система находится очень далеко от центра масс нашего мира. Тем более наша Солнечная система могла образоваться не при первой серии взрывов малых Сверхновых, а при второй или третьей, ведь они происходят до сих пор. Поэтому наша цивилизация могла появиться гораздо позже, чем другие цивилизации.
Почему я так уверен в наличии внеземной цивилизации? Потому что на Земле этому существует несколько тысяч доказательств существования другой цивилизации: начиная с наскальных рисунков и заканчивая пирамидами. Слишком бросаются в глаза многие факты. Например, наскальные изображения в Мексике, которые можно рассмотреть с высоты птичьего полета! На Земле это выглядело как хаотическое собрание линий. Но даже если ученые находят этим рисункам самые безумные объяснения, то как они смогут объяснить появление пирамид? Их невозможно построить просто так! Да, сейчас мы можем построить тысячи таких пирамид, но нам для этого понабилось тысячи лет эволюции научной и технической мысли!
Давайте представим, что минимально необходимо для строительства таких пирамид, как в Египте.
1. Лазер или водяная пушка (блоки пирамид имеют очень точную конфигурацию).
2. Гидравлический или электрический кран (40- и 100-тонные плиты иначе не сдвинуть, а тем более их не поднять с помощью только людей и животных).
3. Грузовик для передвижения плит из мастерских на стройплощадку.
4. Знания в области градостроительства, метеорологии, геометрии, астрономии и так далее.
5. Как минимум, у древних египтян арифмометры, как максимум – персональные компьютеры!
Список еще можно продолжать. А ученые говорят: «Египтяне были очень умны, поэтому построили пирамиды». Эти заявления являются издевательством над всей человеческой историей.
Как я уже говорил, на Земле существует тысячи доказательств существования других цивилизаций, причем эти доказательства есть в разных не связанных между собой культурах. Слишком явные доказательства, чтобы от них можно было так просто отмахнуться.
Теперь возникает другой вопрос: «Когда другая цивилизация появилась на Земле?» То, что она появилась на Земле до того, как появился современный человек, это уже документально доказанный факт (наскальные рисунки древнего человека). Появлялась ли другая внеземная раса на Земле до появления человека? Ответить на этот вопрос сейчас практически невозможно. Известно лишь то, что на Земле все жизненные формы исчезали, как минимум, четыре раза, что приводило к образованию новых жизненных форм и ускорению процессов эволюции. Это могло быть вызвано объективными причинами: такими, как падение метеорита, увеличение солнечной активности, изменение климата, изменение геомагнитной обстановки Земли. Но также это могло быть вызвано и субъективными причинами – искусственное вмешательство в процесс эволюции. Динозавров могли убить как климатические условия, так и гуманоиды. Может быть сделан и вовсе невероятный вывод: «Жизнь на Земле появилась в результате эксперимента!» Первый вариант: внеземная цивилизация, обнаружив планету, где сформировались все условия для возникновения и образования жизни, могла начать генетический эксперимент по выведению человеческой расы. При этом стоит заметить, что на каждой планете существуют свои строго индивидуальные условия жизни. Существует и вполне логичный с этой точки зрения, второй вариант: внеземная раса обнаружили планету, когда жизнь на ней уже сформировалась и стала эволюционировать.
Но надо сказать, что эволюция проходила в течение миллионов лет, а за такой период внеземная раса могла просто вымереть. Значит, никакого эксперимента не было?
Не совсем. Ученым до сих пор не известен возраст Земли, а возраст находок они определяют по количеству углерода 12С. Как я уже говорил, углерод участвует в термоядерных реакциях в клетках, поэтому этот метод может дать ошибку в определении возраста. Вполне возможно, что наша Земля гораздо моложе, чем в официальных версиях.
Так или иначе, но факт остается фактом – человек мог появиться только в результате генетического соединения обезьян и внеземной расы. Трудно предполагать, что толкнуло внеземную расу на проведение такого эксперимента. Скорей всего, они надеялись получить сверхчеловека – гуманоида с самым высоким интеллектом, который бы ответил на все вопросы, возникающие в процессе познания: «Как появилась Вселенная? Для чего дана жизнь? Почему все происходит так, как происходит?»
Я рассказал в своей гипотезе, как появилась Вселенная, как появилась жизнь. Теперь перейдем к рассмотрению следующего вопроса. Для чего мы живем и почему так непонятна жизнь? Для этого я попробую проанализировать человеческую историю. Прочитайте и изучите вместе со мной «Историческую гипотезу эволюционного развития человечества», я думаю, мы найдем ответы на все эти вопросы.
Содержание
РАЗДЕЛ I
Часть вторая. Историческая ТЕОРИЯ
эволюционного развития человечествА……………….3
Глава 1. Доисторический период…………………………………….4
Глава 2. Иудаизм…………………………………….……………………….13
Глава 3. Греция и Рим…………………………………….………………..16
Глава 4. Христианство……………………………………………………20
Глава 5. Общая история………………………………………………….26
Глава 6. Двадцатый век…………………………………………………..30
Глава 7. Итоги и выводы…………………………………………………41
Глава 8. Правила человеческого существования……………48
Глава 9. Время и человек…………………………………………………60
РАЗДЕЛ Iii
Часть первая. ТЕОРИЯ сИСТЕМНОСТИ мИРОВ……………………...1
Глава 1. Нейтрино – это гравитон…………………….……………...2
Глава 2.Что такое нейтрон? Горение водорода.
Ничто. ……………………...……………………...…………………11
Глава 3 Миры. Система миров. ……………………...………………...17
Глава 4.Образование нейтронов. ……………………...……………22
Глава 5.Перемещение частиц по ничто. Порталы.
Появление планеты Земля……………………...…………..28
Глава 6.Теория Относительности в гипотезе
Системности миров……………………...……………………46
Глава 7.Появление жизни на Земле……………………...…………50
Список литературы……………………...……………………...…………60
Список литературы
Часть первая:
1) Т. 41: «Гравитация и Астрономия» / Под ред. М. В.Сажина – 1991. М/; Копейкин С. М.: «Релятивисткие системы отсчета в Солнечной системе»; Милюков В. К., Руденко В. М.: «Статус и перспективы гравитационно-волнового эксперимента».
2) Ишханов Б. С., Капитонов И. М.: «Ядерная физика. Происхождение элементов». Учебное пособие / МГУ им. М. В. Ломоносова, НИИ ядер. физики. Физфак; Каф. общ. ядер. физики – М:. Изд-во МГУ. 1989 г.
3) «Бета и антинейтринное излучение радиоактивных ядер» – Справочник / В.Г. Алексакин; С. В. Родичев; П. М. Рубцов и др.; под ред. П. М. Рубцова – М: Энергоатомиздат. 1989 г.
4) Научно-популярный журнал «Земля и Вселенная». № 3. 1998 г.
5) Давыдов А.С.: «Солитоны в биоэнергетике». Киев: Издательство «Наука». 1986 г.
6) Бецкий О.В.: «Волны и клетки». М.: Издательство «Знание». 1990 г.
Часть вторая:
7) Жак К.: «Египет великих фараонов: История и легенда». М.: Издательство «Наука». 1992 г.
8) Гуляев В.И.: «Города-государства Майя» М.: Издательство «Наука». 1979 г.
9) Боннар А.: «Греческая цивилизация». Ростов. 1994 г.
10) Кузищин В.И.: «История древнего Рима» М.: Издательство «Высшая школа». 1994 г.
11) Агибалова Е.В.: «История средних веков». М.: Издательство «Знание». 1997 г.
12) Атаманюк В.Г., Ширшев Л.Г., Акимов Н.И.: «Гражданская оборона». М.: Издательство «Высшая школа». 1987 г.
Шадрин Дмитрий Геннадьевич
ГЛОБАЛЬНАЯ ИСТОРИЯ ВСЕЛЕННОЙ
Набор: Кузыкина О. А.
Корректор: Синицын И. Е
Верстка: Гыбин Б. В.
Дизайн обложки: Шадрин Д.Г., Шушарин В.И.
Лицензия ЛР №020797 от 12.06.07
Печать RISO. Формат А5.
Бумага офсетная. Тираж 500 экз.
Усл. п. л. 14. Заказ 010601/1.
Отпечатано с готового
оригинал-макета ИЧП “Квазар”
(3512) 66-36-17
По вопросам и предложениям обращайтесь по адресу: 454016, г. Челябинск, ул. Чайковского 70-а, кв. 59
Шадрину Дмитрию Геннадьевичу..
тел.: (3512) 97-19-81.
E-mail: [email protected]
.
|