Реферат выполнили студентки группы БУА-02-1 Вартанян Маргарита Александровна и Балахонова Марина Сергеевна
Северо-Кавказский горно-металлургический институт (Государственный технологический университет)
Факультет: экономический
Кафедра: математики
Владикавказ 2004
Глава
I
.
Задача принятия решения
При рассмотрении задач исследования операций мы всегда имеем дело с количественной информацией. Но так бывает не всегда: выбор профессии, места работы, проектов научных исследований и т. д. — примеры ситуаций, когда важными являются многие качественные факторы. К этому добавляется неопределенность в исходной информации, связях факторов, последствий нашего выбора, многокритериальность оценивания альтернатив.
В силу уже только этих перечисленных факторов лицо, принимающее решения, (ЛПР) вынуждено выходить за рамки исследования операций, действовать неформально, на основе своего опыта, своей интуиции и (подчеркнем особо!) субъективно.
§ 1.1. Проблема выбора в сложных ситуациях
Принятие решений, то есть выбор одной из возможных альтернатив, — это практически постоянный атрибут человеческой жизни. Многие решения мы принимаем, не задумываясь, некоторые решения обдумываем достаточно тщательно, наконец, бывают такие решения, которые мы обдумываем чрезвычайно серьезно. Как правило, проблемы, которые надо решить в этом, последнем случае, имеют исключительный, неповторяющийся характер, связаны с целым рядом альтернатив, отличаются либо новым объектом выбора, либо новыми условиями выбора.
Для таких сложных ситуаций характерны следующие черты проблем, решение которых ищется:
• уникальность, неповторимость ситуации выбора;
•сложность оценивания рассматриваемых альтернатив;
• недостаточная определенность последствий принимаемых решений;
• наличие совокупности разнородных факторов, которые следует принимать во внимание;
• недостаточная определенность последствий принимаемых решений;
• наличие совокупности разнородных факторов, которые следует принимать во внимание;
• ответственность за принятое решение и наличие лица или группы лиц, принимающих на себя эту ответственность.
Конечно, проблема рационального выбора в сложных ситуациях была всегда, но в наше время острота этой проблемы возросла:
• возрос динамизм жизни, уменьшилось время, в течение которого принятое решение остается верным;
• развитие науки и техники привело к появлению большого числа альтернативных вариантов выбора;
• возросла сложность каждого из вариантов принимаемых решений;
• увеличилась взаимозависимость разных решений и их последствий.
Сразу надо сказать о двух существенных моментах. Первый из них — это кажущиеся проблемы. В 1946 году знаменитый немецкий физик Макс Планк прочитал доклад «Кажущиеся проблемы науки», который он начал вопросом: на какой стороне зала, где он выступает, находятся окна — справа или слева? На такой вопрос можно ответить только в том случае, если одновременно указать собственное местоположение, только в этом случае вопрос имеет смысл и допускает решение. Бывают, конечно, и более сложные случаи возникновения кажущихся проблем, для которых не хватает определенных предпосылок, граничных условий. Зачастую такие проблемы встречаются в скрытой форме, поэтому первоначально еще надо показать, что проблема существует (то есть что решение /надо искать, оно не лежит на поверхности) и что решение может быть найдено.
К кажущимся проблемам относятся и вопросы, в которых недостает подробностей, необходимой исходной информации, что не позволяет превратить их в конкретные аргументированные, сравнимые, допускающие оценивание альтернативы (это расплывчатые вопросы типа «Что требует первоочередного развития: промышленность или сельское хозяйство?»). Еще один вид кажущихся проблем — это такие проблемы, решение которых зависит от личных взглядов, вкусов, привычек, склонностей («Какой вид спорта лучше — бокс или футбол?»). Следующий вид кажущихся проблем — это проблемы, в которых просто нет выбора, а есть жесткая обусловленность обстоятельствами (лопнула шина вашего велосипеда, инструментов для ремонта нет, денег на попутный транспорт нет, остается, как пел В. Высоцкий: «...а дальше пёхом и не стонать!»).
Наконец, еще одной разновидностью кажущихся проблем являются «логические ловушки» — задачи, противоречащие логике. Примером таковой является задача о корабельном парикмахере, который по приказу капитана должен брить всех мужчин, находящихся на корабле, которые не бреются сами. Будет или не будет парикмахер брить себя, он нарушает приказ капитана.
В дальнейшем мы будем иметь дело с реальными, а не кажущимися проблемами.
Второй существенный момент состоит в следующем. Ниже будет рассказано о некоторых методах принятия решений, каждый из которых в той или иной степени формализован, представлен как свод правил действий, алгоритмов выбора. Надо иметь в виду, что метод — это инструмент и, как каждый инструмент, он может быть полезен, бесполезен, а то и вреден. Принятие решения — процесс творческий, соединение науки с искусством, и таковым он останется всегда. Рост мощности методов позволяет переходить от использования лишь здравого смысла и интуиции (которые, конечно, всегда будут необходимы при принятии решения) к созданию большего числа альтернатив и более глубокой их проработке. Безусловно, менеджеру надо быть хорошо осведомленным о существующих методах принятия решений, чтобы, с одной стороны, не превратиться из ЛПР (лица, принимающего решения) в ЛПБ (лицо, подписывающее бумаги, разработанные другими) и чтобы, с другой стороны, повысить эффективность своей работы.
§ 1.2. Разработка сценариев, построение и анализ дерева целей
Выше мы обсудили вопрос о том, почему возникает и в чем сот 'стоит проблема выбора. Сейчас вашему вниманию предлагается одна из возможных концепций действий, направленных на решение этой проблемы.
Будем исходить из того, что деятельность человека, б том числе и принятие решения, является целенаправленной. В силу этого формирование цели (целей) деятельности — это первостепенный шаг как по важности, так и по порядку действий. Поскольку цель (желаемый результат деятельности) взаимосвязана с той общей жизненной ситуацией, которая будет иметь место в момент окончания деятельности, постольку возникает вопрос о прогнозировании будущей картины мира (или региона, или какого-то сектора экономики и т. д.). Маленький, но красочный пример: пока руководители одной великой державы раскачались и закупили импортный завод по производству болоньевых плащей, мода на них прошла.
Прогнозирование будущей картины интересующей нас части мира и будущих возможных состояний в этой части мира (этой частью может быть и маленькое-маленькое предприятие) называют разработкой сценария. Разработка сценариев — высококвалифицированная, кропотливая и ответственная работа. Кроме того, эта работа — неформализуемая, творческая, для нее нет исчерпывающего алгоритма проведения.
Одной из основных задач при разработке сценария является определение факторов, которые характеризуют ситуацию и тенденции ее развития, а также определение альтернативных вариантов динамики их изменения. Разработка сценариев — широкое поле для использования экспертных методов.
Обычно перед разработкой сценария проводится анализ ситуации с определением основных действующих сил, взаимоотношений между факторами, которые существенны в данной ситуации, формируется набор существенных переменных, достаточно полно определяющих развитие анализируемой ситуации. Конечно, переменные могут быть как количественные, так и качественные. Первые позволяют получать более достоверные оценки (но не всегда!), вторые позволяют отразить действительный характер анализируемой ситуации. Количество переменных должно быть разумно необходимым, так как избыток переменных затрудняет анализ ситуации, а недостаток делает анализ поверхностным и ненадежным. Для каждой переменной выбирается своя шкала.
При разработке сценариев желательна многовариантность описания будущей ситуации. Группируя варианты сценариев в классы, можно определить рациональную стратегию воздействия на ситуацию. Несколько вариантов сценария обычно более информативны, чем один.
Для разработки сценариев привлекаются специалисты самых разных профилей. Результатом их работы, скажем, для фирмы-производителя должен быть прогноз потребности в продукции фирмы. Этот прогноз является, конечно, главной частью сценария, но не единственной. Необходим прогноз предельных возможностей смежников по развитию производства и поставок; прогноз жизненного цикла изделий; прогноз поведения конкурентов; прогноз новых возможностей, обусловленных научно-техническим прогрессом; иногда нужна оценка запасов природных ресурсов и предельных возможностей объемов их добычи и т. д. Ясно, что круг вопросов, включаемых в рассмотрение при разработке сценария, связан с желаниями, с формулируемыми целями. Цели и сценарий в определенной мере взаимосвязаны. Конечно, сценарий не имеет ценности, если он является результатом поверхностного теоретизирования («Рассчитали на бумаге, да забыли про овраги, а по ним ходить...»).
Желания и сценарий являются основой формирования не только главной, генеральной цели (или нескольких взаимно независимых целей), но и целого дерева целей, в котором достижение цели или группы целей данного уровня является необходимым условием для возможности достигнуть цель следующего, вышележащего уровня. По мере перехода к нижележащим уровням (возможно, уже при переходе ко второму уровню) начинается формирование каких-то конкретных задач и заданий.
В качестве примера назовем дерево целей НАСА (Национальной администрации по аэронавтике и исследованию космического пространства, США), которое было в свое время (1965 год) таким:
Первый уровень — цели: изучение космоса; использование космоса.
Второй уровень — задачи: изучение Солнца и планет Солнечной системы; исследование глубокого вакуума, радиации и других условий космоса и т. д. (всего 15 элементов).
Третий уровень — задания, обеспечивающие решение задач, второго уровня: всестороннее изучение Луны; развитие средств связи и навигации; изучение биологических аспектов и т. д. (всего 68 элементов).
Четвертый уровень — принципиальные опыты. Проведение этих опытов обеспечивало решение задач предшествующих уровней (всего 31 опыт).
Пятый уровень — системы: системы запуска космических кораблей; космические корабли для облета планет человеком; системы для высадки людей и т. д. (оказалось достаточным 46 систем).
Шестой уровень — подсистемы: аппаратура, необходимая для достижения системами их конечных целей (бортовые источники энергии; средства обработки данных и т. д., всего 437 элементов).
Седьмой уровень — функциональные элементы, составляющие в целом какую-то подсистему: например, бортовые источники энергии — это собственно источники энергии, преобразователи энергии из одного вида в другой, устройства накопления энергии и регулирования ее расхода и т. д. (всего 274 наименования)
Восьмой уровень — конструктивные варианты подсистем: различные способы технической реализации функциональных элементов (всего 804 элемента).
Наконец, девятый уровень — технические проблемы, связанные с преодолением каких-то научных или инженерных трудностей (всего 2329 элементов).
Можно было бы ограничиться менее масштабным примером, но приведенный пример, думается, лучше иллюстрирует процесс разворачивания дерева целей, в котором полно, последовательно, в логической взаимосвязи строится остов последующей работы по планированию и управлению.
При построении дерева целей сверху вниз, исходя из главной цели, открывается возможность согласования затрат, сбалансированного распределения ресурсов. Достоинством рассматриваемой концепции является также то, что нижележащие уровни выдвигают свои предложения в соответствии с теми целями, достижение которых необходимо для достижения главной цели, а не исходя из достигнутого ими уровня и их сиюминутных желаний, связанных с их собственным развитием.
Наконец, достоинство дерева целей в том, что оно позволяет если не исключить, то хотя бы сократить пропуски и ошибки в планировании. На основе дерева целей с использованием определенных методов экспертного оценивания оказывается возможным количественное соизмерение элементов дерева с помощью коэффициентов их относительной важности, которые выражают меру необходимости проведения того или иного мероприятия. Кроме только что названных величин, с помощью экспертизы по дереву целей можно оценивать возможные сроки завершения работ, а также экономические затраты, необходимые для этого. Наконец, дерево целей позволяет формально и достаточно точно оценить коэффициенты взаимной полезности, то есть увеличение научно-технического потенциала, который может быть использован при работе по решению данной задачи, за счет знаний, накопленных при решении какой-то другой задачи (или других задач).
Мы не будем сейчас рассматривать методы экспертного оценивания, с помощью которых находят названные характеристики, поскольку раньше об экспертизе уже было рассказано довольно подробно. Сэкономив на повторении в данном пункте, мы лучше кратко рассмотрим некоторые еще не встречавшиеся нам подходы к решению проблемы выбора (новые по сравнению с теми, о которых шла речь в разделе, посвященном исследованию операций).
Глава
II
.
Некоторые методы анализа деловых проблем
§ 2.1. Подходы к решению проблемы выбора
Каждая проблема принятия решения имеет свои особенности, но у всех проблем есть и общие компоненты:
• наличие какой-то определенной, своей в разных случаях, исходной ситуации;
• не менее двух вариантов решения;
• последствия при выборе каждого из вариантов.
Можно выделить и общий подход к решению проблемы выбора:
• исследовать собственно проблему;
• уяснить исходную ситуацию;
• сформировать возможные решения;
• описать последствия этих решений;
• оценить возможные варианты решений и последствия решений;
• выбрать решения;
• обобщить опыт принятия решений.
Эта общая схема конкретизируется в соответствии с характером задачи. Если по своей сути перед нами задача исследования операций (о чем шла речь в части I), то можно назвать следующие логические элементы:
• выделение цели или совокупности целей;
• выделение альтернативных средств, при помощи которых можно достичь цели;
• определение необходимых ресурсных затрат для каждой альтернативы;
• построение математической или логической модели, то есть определение зависимости между целями, альтернативными средствами их достижения, окружающей средой и ресурсами;
• определение критерия выбора предпочтительной альтернативы;
• проведение необходимых расчетов, их анализ, внесение, при необходимости, соответствующих коррективов;
• собственно принятие решения и его исполнение.
Если задачей является принятие решений в организации, то можно выделить следующие этапы:
• определение целей деятельности организации;
• выявление проблем, трудностей в процессе достижения этих целей;
• исследование проблем и постановка диагноза;
• поиск альтернатив решения, оценка альтернатив, выбор лучшей;
• согласование решений в организации и их утверждение;
• подготовка к вводу решения в действие;
• управление осуществлением решения;
• проверка эффективности принятого решения, внесение необходимых коррективов.
Общими в подходе к решению проблемы выбора являются и следующие пять аспектов:
• КТО должен (или хочет) решать?
• ГДЕ, то есть на каком месте, в каком окружении, при каких обстоятельствах и граничных условиях предстоит принять решение?
• КОГДА (до какого срока или как часто) надо принимать решение?
• КАК (каким образом или в какой форме) должно быть выражено решение?
• ЧТО обуславливает решение? В чем его цель?
• ДЛЯ ЧЕГО оно служит? Зачем его надо принимать?
Наконец, надо заметить, что обсуждение процесса разработки и принятия решения — это фактически тоже моделирование. При таком моделировании, конечно, надо следовать определенным принципам. К моделям принятия решений предъявляют следующие требования:
• корректность (математическая и формально-логическая непротиворечивость модели, невозможность получения в ее рамках бессмысленных, принципиально невозможных или противоречащих друг другу результатов);
• адекватность (правильность отражения в модели моделируемых принципов и особенностей процесса принятия решения);
• полнота (достаточная точность и достаточный объем отражения основных принципов, лежащих в основе принятия решения);
• универсальность (возможность ее применения к достаточно широкому классу ситуаций).
Теперь давайте познакомимся с некоторыми процедурами выбора. Прежде всего отметим, что при использовании любой из них, важно не только сопоставить все возможные решения, но и иметь как можно более полный перечень возможных решений. Самая хорошая процедура, используемая самым хорошим менеджером,не даст того варианта решения, который не попал в поле зрения, не пришел на ум (фокусник не может вынуть из своей шляпы того, что туда не было положено).
По-видимому, самая простая процедура выбора изображена на рис. 2.1.
Рис, 2.1. Схема возможных вариантов

Возможные варианты довольно легко приходят в голову, хорошо группируются, анализируются и оцениваются. Более подробное и более объемное представление проблемы дает целое дерево решений, о чем будет идти речь дальше.
Достаточно широко используется процедура, известная под названием «морфологический анализ», или «морфологический метод». Несколько упрощая суть этого метода, можно представить его так. Составляется таблица, в левой колонке которой могут быть перечислены, скажем, объекты воздействия, а в верхней строке — возможные способы воздействия (мероприятия). Затем клетки заполняются возможными воздействиями на данный объект какими-либо вариантами данного способа. Достоинство метода в том, что можно целенаправленно формировать как объекты воздействия, так и способы воздействия, а затем систематически исследовать различные варианты. Приведем в качестве примера морфологическую таблицу для торговой фирмы, желающей увеличить сбыт и уменьшить расходы (пример, конечно, максимально упрощенный) (табл. 2.1).
Таблица 2.1. Упрощенный вид морфологической таблицы
| ПСИХОЛОГИЧЕСКОЕ ВОЗДЕЙСТВИЕ |
ЭКОНОМИЧЕСКОЕ ВОЗДЕЙСТВИЕ |
Покупатель 1.Реклама
2.Обещание «бесплатных»
дополнительных услуг
|
1.сервисное обслуживание
2.Скидка или кредит постоянным покупателям
|
Поставщик 1.Встречные услуги
2.Контакты с конкурен-
том поставщика
|
1.Закупка оптом
2.Самовывоз
|
В рамках морфологического анализа можно рассматривать и задачи с достаточно большим числом варьируемых переменных, (то есть не только те две переменные, объект — способ воздействия, о которых написано раньше).
Широкое применение в настоящее время получили специальные математические методы, используемые в сложных и объемных (с большим числом учитываемых факторов) ситуациях. В качестве примера опишем метод «Стоимость — эффективность».
Допустим, решается вопрос об определении количества рекламных щитов с информацией о товарах вашей фирмы. С помощью экспертов или из статистических данных можно оценить (и довольно точно!) связь объемов продаж с количеством щитов. С другой стороны, можно подсчитать (достаточно точно!) общие затраты как функцию числа щитов. Эта функция может расти нелинейно, так как при изготовлении большего числа щитов может возникнуть экономия (на накладных и транспортных расходах, скидка при оптовых закупках и т. д.). Затем ЛПР совместно анализирует связь эффективности рекламы и ее стоимости. В простейшем случае можно ориентироваться на отношение стоимости к результату, то есть на отношение затрат на рекламу к доходу от продаж. Можно сравнивать дополнительные затраты на рекламу с дополнительным доходом, который приносит эта реклама. Иногда ЛПР фиксирует определенную желательную эффективность и минимизирует затраты или, наоборот, задается бюджетным ограничением на затраты и стремится максимизировать эффективность.
Как понятно из приведенного примера, метод «Стоимость — эффективность» — это оптимизационный подход к достаточно объемным или громоздким задачам, а также к задачам, в которых есть трудности с представлением исходной информации (о такой ситуации речь будет идти в следующем пункте).
Как правило, умелое сочетание науки, математических методов и искусства менеджера дает хорошие результаты при использовании подхода «Стоимость — эффективность».
§ 2.2. Поиск решений в расплывчатых условиях
Для формализованного описания реальных ситуаций, в которых нет полной определенности и однозначности, сейчас используется такой математический аппарат, как теория нечетких множеств.
Термин "fuzzysets", введенный Л. Заде, переводится по-разному: размытые, нечеткие, нечетко определенные, расплывчатые и т. д. множества. С использованием этого термина был дан ряд определений и введены понятия, на основе которых построен новый математический аппарат. Одной из областей применения этого аппарата является теория принятия решений.
Математический аппарат нечетких множеств достаточно сложен (во всяком случае достаточно необычен); большого распространения и применения нечеткие множества еще пока не получили; по-видимому, теория нечетких множеств пока далеко не на таком уровне кристаллизации и завершенности, как классические разделы высшей математики (это, бесспорно, положительное качество для исследователя, но сомнительное достоинство для студента). Но есть мотивы, в силу которых кратко, на описательном уровне ниже рассказывается о применении теории нечетких множеств при принятии решений:
• методы этой теории хорошо соотносятся с образом человеческого мышления, и знакомство с нечеткими множествами позволяет, с одной стороны, более осознанно и более эффективно разрабатывать и принимать решения, а с другой стороны, способствует формированию правильной профессиональной психологии;
• ясно, что со временем теория нечетких множеств будет иметь более широкое распространение, чем сейчас, поэтому первое знакомство с ней откладывать не стоит (уже есть сообщения о том, что с использованием методов этой теории получены технические решения, реализованные в высококачественной видео- и фотоаппаратуре).
Естественно, рассмотрение материала должно начинаться с определения основного понятия — понятия расплывчатого (нечеткого) множества.
Пусть Х = {х} — совокупность объектов, обозначенных через х. Расплывчатое множество А в X есть совокупность упорядоченных пар А = {х, µа
(х)}, х Є X, µа
(х) — степень принадлежности х множеству А, то есть µа
(х) — это функция, ставящая каждому элементу х из X в соответствие какое-то (одно) число из отрезка [0; 1].
Обычное множество — это множество, для которого ц равно либо нулю, либо единице, скажем, множество четных чисел. Примером нечеткого множества может быть множество А «несколько чисел» для множества X= {0; 1; 2;...} всех неотрицательных чисел.
А = {(1; 0,0), (2; 0,05), (3; 0,2), (4; 0,6), (5; 0,8), (6; 1,0), (7; 1,0), (8; 0,8), (9; 0,6), (10; 0,2), (11; 0,05), (12; 0,0)}.
В данном примере утверждается, что одно число еще не может, а 12 чисел уже могут попадать в множество «нескольких чисел», два числа и одиннадцать чисел лишь при очень большом желании, образно говоря, могут быть охарактеризованы как несколько чисел, 6 или 7 чисел признаются таким количеством чисел, которые в данном контексте, бесспорно, отнесены автором примера к числу объектов, обладающих определенным свойством, и т. д.
Рассмотрим еще один пример, иллюстрирующий, как используются нечеткие множества. Пусть примерно прямая линия АБ — это любая линия, проходящая через точки А и Б так, что расстояние d, от каждой точки АБ до («истинной») прямой (АБ)° по отношению к длине (АБ)° мало, d— нечеткая переменная (читатель может сам определить d). Примерно средней точкой М на АБ назовем такую точку, расстояние от которой до М° — середины (АБ)° — мало.
С использованием приведенных понятий можно для известной теоремы о трех медианах треугольника (три медианы треугольника пересекаются в одной точке) сформулировать аналог — нечеткую теорему. Пусть АВС — примерно равносторонний треугольник с вершинами А, В, С, а М1
, М2
, М3
— примерно середины сторон ВС, АС, АВ.
Тогда примерно прямые АМ1
, ВМ2
, СМз
образуют «примерно» треугольник Т1
Т2
T3
, который более или менее мал в сравнении с треугольником АВС (рис. 2.2).

Рис. 2.2. Нечеткая теорема о трех «медианах»
Конечно, приведенные примеры скорее забавны, чем практически полезны, но дело в том, что мы постоянно пользуемся нечеткими понятиями, рассуждениями, множествами, теоремами:
• у корпорации X прекрасные перспективы;
• на фондовой бирже наблюдается резкий спад;
• корпорация У использует прогрессивную технологию и т. д.
Обратите внимание на то, что для описания расплывчатости недостаточно теории вероятностей и статистических методов, они предназначены для работы со случайностью, когда речь идет о принадлежности некоторого объекта к четкому множеству. Скажем, последний из приведенных примеров содержит расплывчатое утверждение вследствие неточности, нечеткости выражения «прогрессивная технология», в то время как утверждение «вероятность того, что фирма 2 работает в убыток, равна 0,8» содержит информацию о мере неопределенности относительно принадлежности 2 к четкому множеству фирм, работающих в убыток.
Люди, в отличие от ЭВМ, обладают способностями оперировать расплывчатыми понятиями и выполнять расплывчатые инструкции (вспомните русскую народную сказку, в которой герой блестяще выполнил одну из таких инструкций: «Пойди туда, не знаю куда, принеси то, не знаю что»). Люди также способны на интуитивном уровне оперировать с расплывчатыми целями («Фирме надо сохранить за собой около 15—20% рынка»), расплывчатыми ограничениями («Фирма не может потратить на рекламу значительную часть квартального дохода») и с расплывчатыми решениями («На рекламу будет выделено около 5—8% дохода»).
При том подходе к принятию решений в расплывчатых условиях, который развит Р. Беллманом и Л. Заде, и цель, и ограничения рассматриваются как расплывчатые множества в пространстве альтернатив.
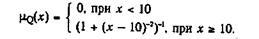
Если X = {х} — заданное множество альтернатив, то расплывчатая цель Q отождествляется с фиксированным расплывчатым множеством Q в X. Например, если X — действительная прямая, а расплывчатая цель формулируется как «х должно быть значительно больше 10» (скажем, доход должен быть таким в каких-то известных единицах), то эту цель можно представить как расплывчатое множество с функцией принадлежности

Расплывчатое ограничение С в пространстве X определяется таким же образом, то есть как некоторое расплывчатое множество в X. Если, как и для цели, X — действительная прямая, то ограничение «х должно быть приблизительно в окрестности 15» (такими могут быть ограничения на затраты) представимо с помощью функции принадлежности

Если в пространстве альтернатив X заданы расплывчатая цель Q и расплывчатое ограничение С, то расплывчатое множество D, образованное пересечением Q и С, называется расплывчатым решением. В специальных работах показано, что для D = Q П С,
будет

В условиях приводимых выше примеров

Взаимосвязь расплывчатых цели, ограничений и решения показана на рис, 2,3.
В том случае, когда расплывчатая цель Q задана в множестве У = {у}, а ограничение — в множестве X = {х}, причем х — причина, у — следствие и есть отображение f множества из X в У, можно для Q из У найти в X множество Q, порождающее Q. Функция принадлежности Q задается равенством µQ
(х) =µQ
(f(х)).

Рис.2.3. Нахождение расплывчатого решения
(µd
— сплошная линия на рисунке, который несколько деформирован по сравнению с истинным для большей наглядности;
х' — оптимальное решение)
Решение в этом случае ищется, как и раньше, в виде пересечения Q и С:

Так, в простейшем случае используются нечеткие величины при принятии решений.
В силу очевидных причин затронутые вопросы в большей мере сейчас не рассматриваются. Будем надеяться, что изложенный материал, пользуясь терминологией данного пункта, будет для вас, читатель, «достаточно полезен».
§ 2.3. Поиск решений при наличии многокритериальных альтернатив
В разделе, посвященном исследованию операций, коротко было рассказано о многокритериальных оптимизационных задачах. Этот рассказ, касающийся математических аспектов ситуаций, когда имеется несколько критериев, — необходимая часть сведений, которыми должен быть вооружен менеджер, но только часть сведений, касающихся принятия решений при большом числе альтернативных вариантов выбора и значительном числе разнородных критериев, когда ЛПР не может, вообще говоря, в одиночку, самостоятельно составить целостную картину качества альтернативных вариантов. Есть различные методы организации деятельности ЛПР в таких условиях, ни один из них не претендует на универсальность. Из-за ограниченности объема данного пособия мы обсудим только один из возможных подходов, позволяющий учесть специфику получения информации от ЛПР и экспертов, которые в подобной ситуации крайне необходимы.
Перечислим основные положения, которые должны учитываться при построении многокритериальных моделей задач принятия решений:
• модель создается исследователем для структуризации и уточнения предпочтений лица, принимающего решения, которое непосредственно участвует в ее разработке;
• модель должна быть логически непротиворечива;
• модель должна содержать описание всех возможных элементов задачи принятия решений и свойства этих элементов;
• модель должна давать возможность использовать реальную информацию о задаче, полученную от экспертов, ЛПР;
• модель должна быть достаточно простой и удобной для анализа и использования ЛПР.
Под критериями понимают такие показатели, которые:
• признаются ЛПР в качестве характеристик степени достижения поставленной цели;
• являются общими и измеримыми для всех допустимых решений;
• характеризуют общую ценность решений таким образом, что у ЛПР имеется стремление получать по ним наиболее предпочтительные оценки (то есть в качестве критериев не следует использовать ограничения).
Набор критериев многокритериальной задачи должен удовлетворять следующим требованиям:
• полнота (использование любых дополнительных критериев не меняет результатов решения, а отбрасывание хотя бы одного из выбранных критериев меняет результат);
• операциональность (каждый критерий должен иметь понятную для ЛПР формулировку, ясный и однозначный смысл, характеризовать определенный аспект решения);
• декомпозируемость (набор критериев должен позволять упрощать оценивание предпочтений путем разбиения первоначальной задачи на отдельные более простые подзадачи);
• неизбыточность (разные критерии не должны учитывать один и тот же аспект решения);
• минимальность (аспект решения должен содержать как можно меньшее число критериев);
• измеримость (каждый критерий должен допускать возможность количественной или качественной оценки степени достижения соответствующей цели).
Эти требования, конечно, противоречивы, но ясное представление о них позволяет строить полноценный набор критериев.
Частные и типичные пробелы в анализе многокритериальных задач принятия решений:
• нет полного списка допустимых вариантов решений;
• нет полного списка критериев, характеризующих качество решений;
• не построены все или некоторые шкалы критериев;
• нет оценок вариантов решений по шкалам критериев;
• нет решающего правила, позволяющего получить требуемое в задаче упорядочение вариантов решения (решающее правило, метод принятия решения, представляет собой принцип сравнения векторных оценок и формирования суждения о предпочтительности одних из них по отношению к другим).
Известно, что возможности человека по переработке многомерной информации очень ограничены, поэтому вероятность ошибочных действий ЛПР достаточно велика. В рамках рассматриваемого подхода были предложены два варианта проверки действий ЛПР.
Первый — критерий непротиворечивости: в аналогичных ситуациях оценки или сравнения альтернатив руководитель должен принимать одинаковые решения. Конечно, предпочтения ЛПР могут меняться во времени, но не таким образом, чтобы эти изменения служили иллюстрацией броуновского движения (согласитесь, логично ожидать непротиворечивого поведения от человека во время получения от него деловой информации). Этот критерий основан на предположении о существовании у ЛПР определенной, непротиворечивой политики. Отметим, что при всей естественности такого предположения, при всей очевидной его справедливости в реальных ситуациях так бывает не всегда.
Второй критерий для оценки деятельности ЛПР — критерий транзитивности, который для трех альтернатив А, В, С можно записать так:
Если А > В, В > С, то А > С (для отношения предпочтения);
Если А = В, В = С, то А = С (для отношения безразличия).
При нарушении транзитивности возникает порочный круг типа А > В, В > С, С > А и выделить предпочтительный вариант невозможно.
Как и в случае с первым критерием, надо сказать, что в реальных ситуациях появление нетранзитивности в предпочтениях ЛПР вполне возможно.
В специальной литературе обсуждаются как причины появления противоречивости и нетранзитивности, так и способы выхода из этих достаточно сложных ситуаций. Здесь же отметим, что для ЛПР имеет смысл сознательно избегать нарушения указанных критериев.
Известно, что для человека сложными являются задачи с большой нагрузкой на понятийный аппарат; задачи, требующие параллельной обработки многомерной информации; сравнение альтернатив с малыми уровнями различимости; задачи, имеющие значительное число критериев (5—6—7 и больше), значительное число оценок на шкалах критериев (5 и больше), значительное число результирующих классов решений (5—6 и больше).
Характерными для такого подхода, о котором сейчас идет речь, являются следующие особенности. Для описания ситуаций приня тия решения используется естественный язык данной организации: понятия «хуже» и «лучше» для каждого критерия формулируются в виде развернутых словесных определений. При сборе информации используются лишь такие вопросы, для которых заранее была установлена возможность получения надежных, непротиворечивых ответов. На основе опыта и интуиции ЛПР определены общие правила оценки альтернативных вариантов, определен перечень критериев оценивания.
Во многих случаях целесообразно использовать шкалы качественных критериев со словесными оценками градаций качества. При этом можно ввести в рассмотрение достаточно сложные понятия; описать большое число факторов, имеющих отношение к рассматриваемой ситуации; можно учесть неопределенность, связанную с неполным знанием последствий принимаемых решений, и риск, связанный с выбором некоторых альтернатив. Критерии с качественными шкалами, оценки по которым четкие, однозначные, хорошо различимые, являются эффективным средством получения информации от экспертов, повышают достоверность этой информации, так как эксперт рассматривает альтернативные варианты через призму предпочтений ЛПР.
Словесные шкалы оценок соответствуют изменению качества от лучшего к худшему значению, эти шкалы — порядковые. Надо заметить, что использование этих шкал не исключает перехода к количественным оценкам, скажем, с использованием аппарата размытых, нечетких множеств, о котором речь шла выше.
При использовании шкал качественных критериев человек обычно может последовательно и непротиворечиво определять превосходство среди объектов, отличающихся оценками по двум критериям, если по остальным критериям оценки объектов одинаковы и являются либо лучшими, либо худшими (число критериев при этом может достигать 7—8 штук, число оценок по каждому критерию может достигать 5—6 штук). Исходя из этой возможности, можно у ЛПР или эксперта получить ответ на вопрос, какая ситуация хуже при поочередном ухудшении качества по каждому из рассматриваемых критериев. По результатам отчетов можно построить единую шкалу оценок для данной пары критериев. Эту процедуру можно повторить для всех других пар критериев, причем одновременно идет проверка предпочтений на непротиворечивость и транзитивность. Полученная информация представляет собой соответствующие двум ситуациям (сначала лучшие оценки по фиксированным критериям, затем худшие) системы линейных неравенств и равенств, отображающие сравнения падений качества вдоль осей разных критериев. В результате возникает множество доминирующих или несравнимых альтернатив. Если их исключить из множества всех альтернатив, то среди оставшихся можно снова выделить доминирующие или не сравнимые и т. д. В итоге получаются группы лучших, средних, худших альтернатив.
Конечно, использование формальных методов, экспертных оценок, ЭВМ позволяет ЛПР глубже проанализировать возможные варианты решений, но всегда для принятия качественного решения будет требоваться талант, интуиция, опыт управленца, принимающего решение.
§ 2.4. Человеко-машинные способы анализа деловых проблем
настоящее время ЭВМ находят широкое применение во многих областях человеческой деятельности, в том числе и при принятии решений. Самым естественным образом на их долю достается выполнение таких функций, как хранение и обработка больших массивов информации, выполнение трудоемких расчетов при решении оптимизационных задач, наглядного представления информации и т. д.
Особый интерес с точки зрения практики принятия решений для нас представляет тот класс задач, который характеризуется следующими чертами:
• интересующие ЛПР экономические процессы практически не допускают прямых натуральных экспериментов;
• имеется лишь частичная формализация проблемы, то есть качественное, не количественное описание какой-то части проблемы;
• решение вырабатывается в результате неоднократного взаимодействия ЛПР и ЭВМ.
Между ЛПР и ЭВМ осуществляется диалог в реальном масштабе времени с непосредственным и оперативным обменом сообщениями в удобной для пользователя форме. ЭВМ по заданной программе имитирует, воспроизводит течение изучаемого процесса при нескольких вариантах управления, задаваемых ЛПР, который анализирует и оценивает полученные результаты. При этом ЛПР явно или неявно оценивает результаты по многим критериям и постепенно, после нескольких попыток, определяет, в какой степени область возможных решений допускает одновременное улучшение по многим критериям. В итоге ЛПР приходит к разумному компромиссу в значениях различных критериев. Такой способ формирования решения обычно называют имитационным моделированием.
Как правило, имитационные модели сложны, имеют большую размерность, в них много внешних переменных (то есть переменных, значения которых задаются извне, а не исследователем). В таких моделях сразу могут рассматриваться несколько аспектов проблемы (экологические, демографические, производственные, транспортные и т. д.), могут быть блоки решений каких-то оптимизационных задач, необходимые для модели базы данных, какие-то дополнительные возможности. При насыщении имитационной модели совокупностью программ, адекватно описывающих функционирование системы, позволяющих по возможности решать какие-либо оптимизационные задачи и рассчитывать последствия решений, получается эффективный рабочий инструмент для ЛПР. В заключение, справедливости ради, надо отметить, что имитационное моделирование, конечно, не претендует на абсолютное превосходство и всесильность. Те вариантные расчеты, которые проводятся в рамках какой-либо имитационной модели, позволяют оценить последствия только отдельных решений, но не дают общей картины возможностей при значительном числе допустимых решений. Поэтому ЛПР может остаться в неведении как по поводу эффективности вариантов решений, так и по поводу полноты списка разумных, представляющих интерес вариантов решений.
И еще один важный момент: ЭВМ — помощник, а не замена человека, человеко-машинные процедуры не исключают принятия коллективных решений. Надо отметить, что коллективное принятие решений, в отличие от определения результирующих экспертных оценок, предполагает не только расчет результата коллективной экспертизы, но и специальное обсуждение альтернатив, обмен информацией, согласование противоположных мнений и т. д. Кроме того, коллективные решения — окончательны, в то время результирующие экспертные оценки — только база для принятия управленческих решений.
Глава
III
Неформальные моменты при принятии решений
После знакомства со всем материалом этого раздела давайте обсудим, в достаточно произвольном порядке, те проблемы, которые раньше нельзя было рассмотреть и обсудить.
Прежде всего зададимся вопросом о последствиях решений. Насколько это важный вопрос и насколько неожиданными могут быть последствия принятых решений, думаю, объяснять не надо. Всего лишь один пример: станок, сделанный на экспорт, был выкрашен в зеленый цвет, и из-за этого заказчик от него отказался, так как в его стране этот цвет — цвет траура. Конечно, такой казус предусмотреть трудно, хотя в какой-то степени возможно (можно проконсультироваться у специалистов по истории и культуре данной страны, представить заказчику какие-либо наглядные материалы и т. д.)
Приведем список вопросов, которые в определенной мере могут способствовать правильной и сознательной направленности мыслей на данном этапе работы:
1. Что я выиграю при некотором решении, варианте решения (деньги, время, уверенность, удовольствия и т. д.)?
2. Что я потеряю при таком решении (деньги, время и т. д.)?
Какие новые задачи встанут передо мной?
Какие обязанности у меня появятся?
Какая новая ситуация для меня возникнет?
Каковы положительные и отрицательные побочные действия этого решения?
Принесу ли я пользу (или вред) другим?
Возникнут ли в результате данного решения новые проблемы?
Потребуются ли новые решения?
По возможности ответы надо сформулировать количественно. Надо принимать в расчет (учитывать количественно) последствия аварий, срывов планов, риск, которые связаны с данным решением (например, хотя бы оценочно надо учитывать неблагоприятные метеоусловия).

Рис. 3.1. Динамика насыщения рынка новым товаром (р — объем продаж, I — время)
Выяснить последствия решения означает, по сути, сделать некоторый прогноз будущей ситуации. Иногда удается математическими методами оценить тенденцию развития, количественно описать протекание некоторого процесса в будущем. Например, объем сбыта новых изделий часто описывается логистической кривой (рис. 3.1).
Параметры этой модели k, b, с могут быть получены несколькими способами (в частности, с помощью экспертных оценок или методами математической статистики). Вообще экспертиза и создание сценариев, о чем речь шла выше, органично соединяются с принятием решений и оцениванием последствий принятых решений.
Полезно помнить об основных типах постановки задач принятия решений:
• выделение лучшей по какому-то критерию альтернативы;
• линейное упорядочение альтернатив;
• выделение упорядоченного или неупорядоченного подмножества лучших (приемлемых) альтернатив;
• упорядоченное или неупорядоченное разбиение альтернатив на группы.
Последствия решений тесно связаны с теми критериями, по которым мы оцениваем варианты этих решений. Подчеркнем, что критерия для выбора критериев оценки нет, выбор критериев — процесс творческий и неформализованный. Выбор критериев оценивания — очень важный этап работы, поэтому его желательно проводить, объединив усилия компетентных специалистов.
Перечислим некоторые существенные классы критериев, которые должны попасть в поле зрения:
• технические критерии (пригодность, надежность, возможность автоматизации, прочность и т. д.);
• технико-экономические (мощность, производительность, затраты времени, срок окупаемости, инвестиции, энергоемкость, эксплуатационные расходы, основные фонды, действенность рекламы и т. д.);
• эргономические критерии (безопасность, удобство в эксплуатации, влияние на утомление и т. д.);
• социологические (жизненный уровень, возможность повышения квалификации, государственная помощь, социальные условия труда и т. д.);
психологические (навыки руководства, персональные особенности, поведение в коллективе и другие);
• эстетические критерии (привлекательность, узнаваемость, целесообразность и другие);
• социальные критерии (юридические нормы, человеческий фактор, политические последствия и другие).
В случае принятия решений, связанных с научной деятельностью и прикладными исследованиями, добавляются такие критерии, как:
• принципиальная важность ожидаемых научных результатов;
• прикладная важность проводимых исследований;
• возможность быстрой передачи ожидаемых результатов в практическое использование; сравнение с мировым уровнем работ в данной области
и некоторые другие критерии в зависимости от конкретной задачи.
Если же идет какая-то производственная работа, то заботиться в первую очередь надо о следующих четырех факторах:
• время выполнения работы;
• себестоимость работы;
• фронт работы в следующий момент, то есть надо заботиться о том, чтобы не возникали узкие места и простои;
• качество работы.
При коллективном поиске критериев, как и при коллективном принятии решений, важно, чтобы советчики в первую очередь говорили не о том, какой критерий выбрать (какое решение принять), а о том, какие вообще критерии (решения) пригодны и полезны в данном случае. Надо прежде всего составить достаточно полный список возможностей. И только потом приступить к выбору критериев и решений.
Далее целесообразно проводить оценивание с использованием какой-либо шкалы оценивания, соответствующей данному критерию (точные оценки, приближенные оценки, относительные оценки, очки или баллы, словесные оценки, возможно, с использованием аппарата нечетких множеств). Конечно, надо стремиться к количественной шкале оценок, но с чувством меры (как гласит старое правило конструкторов и технологов: «Настолько точно, насколько надо; настолько грубо, насколько можно»).
Рис 3.3. Нижний уровень управления
Важно собрать и сохранить на будущее накопленный багаж знаний, сведения о решении, его последствиях, участниках работы и т. д.

Рис 3.2. Схема осей


Рис. 3.4. Верхний уровень управления

Рис 3.6. Соотношение вопросов разных уровней управления
Время {
Рис. 3.5. Соотношение вопросов нижнего и верхнего управления
Уровень
Для повторяющихся ситуации и однотипных решений естественным образом возникают определенные инструкции или уставы.
В зависимости от того, на каком уровне управления проводится работа, выбирается диапазон рассматриваемых вопросов. Чем выше уровень управления, тем более долговременные задачи решаются на нем, тем меньше диапазон близких по времени (сегодняшних) задач, тем шире круг задач, связанных с будущим. Поясним сказанное рис. 3.2—3.6.
Начиная новую работу, задайте сами себе ряд контрольных вопросов:
• правильно ли оценена исходная ситуация?
• совпадает ли новая задача с ранее встречавшимися? Если нет, то в чем различие?
• в полной ли мере охвачены возможные варианты решения? Есть ли лишние? Есть ли упущенные варианты?
• правильно ли рассчитаны или оценены последствия решения?
• правильные ли критерии используются?
• насколько достаточна и надежна информация?
• есть ли какая-либо новая информация или новые источники информации?
Следующие шаги по разработке и принятию решения можно вести по более детальной схеме, состоящей из пяти этапов.
Этап 1. Предварительный анализ и выявление проблем:
• выявление уровней рассмотрения, элементов и структуры системы (процесса), типов связей;
• выявление основных видов ресурсов и критериев качества функционирования;
• выделение подсистем, используемых ими ресурсов и критериев качества функционирования подсистем;
• выделение основных противоречий (проблем), узких мест и ресурсных ограничений.
Этап 2. Постановка задачи:
• содержательная постановка задачи, определение типа задачи;
• формирование множества альтернатив;
• формирование множества критериев, разработка шкал.
Этап 3. Получение исходных данных (измерение, оценивание):
• измерение характеристик альтернатив (физические измерения, имитационное моделирование, сбор статистических данных);
• организация при необходимости экспертизы.
Этап 4. Обработка данных и решение конкретной задачи:
• формализация задачи и использование нужных математических методов;
• формирование вариантов решений;
• анализ результатов, выявление противоречий;
• формирование решения.
Этап 5. Анализ решения, принятие решения, реализация решения.
Как показывает опыт, нередко наиболее трудными и важными являются такие аспекты процесса принятия решения, которые прямо не относятся к самому этому процессу:
• введение экспертов и ЛПР в проблематику решаемых задач;
• формирование общего языка общения для разных групп экспертов и ЛПР;
• согласование мнений и взглядов разных групп экспертов и ЛПР;
• выявление истинных целей решения и т. д.
И уж, конечно, не надо допускать известных и потому особенно досадных ошибок:
• оказавшись перед необходимостью принятия решения, не подготовиться к нему или отодвигать решение до тех пор, пока на подготовку уже не будет времени;
• закрывать глаза на последствия решения или не думать о них;
• заботиться только о себе и своей выгоде, не беспокоясь ни о ком другом;
• принимать решения только интуитивно, по вдохновению;
• принимать решения на основе симпатий или антипатий, по настроению, отбрасывая всякие рациональные соображения;
• считать себя непогрешимым и отказываться от советов;
• не желать учиться на ранее принятых решениях, совершать одни и те же ошибки.
Если решение все-таки оказалось ошибочным и его можно быстро пересмотреть, изменить, улучшить, то это надо сделать, но сделать надо аккуратно (как гласит известная поговорка «Перемены в командах ведут к беспорядку»).
Если ошибочное решение изменить уже нельзя, то его придется выполнять, по возможности оттянув как можно дольше нежелательные последствия с тем, чтобы подготовить соответствующие мероприятия для встречи этих последствий.
В заключение этого раздела обсудим важный вопрос, который имеет отношение к психологии менеджера. Кому не приходилось слышать известную фразу малоопытных мелких торговцев: «Я всем рискую», которой они пытаются прикрыть свои аппетиты, несоразмерно большие по сравнению с их квалификацией, сложностью и ответственностью их работы.
Во-первых, разумные люди рискуют половиной, а не всем. И никто не обязан из своего кармана оплачивать чужой риск.
Во-вторых, купец, приобретая товар для последующей продажи, знает и конъюнктуру на рынке, и характеристики товара, то есть располагает если не полной, то все-таки довольно большой информацией, чего нельзя сказать о производителе. Производитель, запуская изделие в производство, еще не имеет стопроцентной уверенности в том, каковы будут качества изделия, его потребительские достоинства, спрос на изделие, успехи конкурентов и т. д. (ведь производственный цикл и длиннее торгового, и предшествует ему).
Еще больше неопределенность у разработчика, поскольку перед началом разработки оценить, что же получится, труднее, чем перед началом производства. Между тем и производство, и разра ботка требуют в наше время значительных материальных затрат и значительного времени при неопределенности результатов не меньшей, чем в торговле, так что вопрос о риске, думаю, имеет достаточно ясный ответ.
Но дело не только в риске, связанном с той или иной деятельностью. Дело в том, что в экономике, как и в человеческом организме, все связано, все важно: и фундаментальные исследования, и разработки, и производство, и услуги. Нельзя ослаблять ни одно из названных звеньев, нельзя заботиться только о своих и только сиюсекундных интересах. Квалифицированный менеджер должен помнить о смежных звеньях, особенно о предшествующих, так как они обеспечивают его будущее благополучие.
Глава
IV
.
Безопасность бизнеса
Когда-то, когда в начале перестройки стали появляться первые кооперативы, ко мне в дверь позвонили. Два симпатичных парня предложили мне поставить на вход в мою квартиру стальную дверь с сейфовыми замками. Каюсь, я повел себя невежливо: я засмеялся. Потом я повинился перед ребятами и объяснил, что такая дверь стала бы самой большой ценностью в моей квартире. Мы посмеялись вместе и тепло расстались.
Ясно, что тот, кто занимается бизнесом, не может себе позволить веселиться так, как это было в описанном случае. Вопросы безопасности бизнеса перед предпринимателем стоят очень остро, так как ему есть что терять (богатство имеет свои минусы, как скромный достаток свои плюсы). Хотя обеспечение безопасности — дело дорогое, предпринимателю лучше руководствоваться правилом морского судоходства: «Если не уверен в безопасности, считай, что опасность существует».
§ 4.1. Основные понятия и положения
Прежде всего уточним, что под безопасностью понимается состояние защищенности жизненно важных интересов личности, предприятия, общества и государства от внутренних и внешних угроз. В соответствии с таким толкованием, безопасность бизнеса в широком смысле — это такое текущее и стабильно прогнозируемое состояние среды функционирования бизнеса, в котором бизнес действует без нарушений, перерывов и болезненных противоестественных потерь.
Общие требования к системе безопасности вполне естественны и понятны. Обеспечение безопасности должно быть непрерывным, плановым, централизованным, целенаправленным, конкретным, активным, надежным, универсальным и комплексным. Сама система безопасности должна иметь соответствующее обеспечение: правовое, нормативное, техническое, информационное, программное.
Защите от потенциальных угроз и противоправных посягательств подлежат: персонал, финансовые средства, материальные средства, информационные средства ограниченного доступа, средства и системы информатизации, технические средства и системы охраны и защиты материальных и информационных ресурсов.
Как правило, на определенном этапе развития (читай: при определенном уровне богатства) в организации возникает необходимость и возможность создать службу безопасности. Сейчас уже хорошо проработаны вопросы, связанные с созданием, структурой, функционированием, оснащением таких служб. Эти вопросы подробно обсуждаются в специальной (достаточно объемной) литературе, к которой мы и отсылаем читателя. Важно, что именно служба безопасности ведет работу по обеспечению безопасности бизнеса и организует соответствующую работу других структурных единиц предприятия в части обеспечения безопасности. В частности, именно служба безопасности должна заботится о полноценном и эффективном использовании всего арсенала технических средств защиты. Этот арсенал многообразен, позволяет организовать защиту, обнаружение попыток несанкционированного проникновения и пресечение таковых.
Как говорилось раньше, в жизни практически всегда имеют место какие-либо конфликтные ситуации. Они не всегда носят антагонистический характер, бывает, что сторонам даже выгодно обмениваться информацией. Но если взаимовыгодности обмена информацией нет, то ее, а не что-либо другое, прячут в первую очередь. И охотятся в первую очередь — за информацией. Уточним, что под информацией здесь понимаются не любые сведения, а только такие сведения о людях, предметах, объектах, явлениях и процессах, отображаемые в сознании человека или на каких-то носителях, которые предназначены для последующего восприятия человеком, являются для него новым, пополняют его знания или убеждения.
Сказанное означает, что из соображений эффективности и безопасности бизнеса прежде всего приходится весь объем деловой информации делить на открытую, доступную всем и предназначенную для ограниченного, «своего», крута лиц. Служебная, профессиональная, промышленная, коммерческая или иная информация, охранительный правовой режим которой устанавливается ее собственником на основе законов и подзаконных актов таковым, чтобы не допустить к ней лиц вне определенного круга, называется конфиденциальной информацией.
Некоторая, особо значимая часть конфиденциальной информации составляет коммерческую тайну. Коммерческая тайна — это сведения, которые не являются государственными секретами, связаны с производством, технологической или конструкторской информацией, новыми разработками, финансами и другой дея тельностью предприятия, это сведения, разглашение которых может нанести ущерб бизнесу.
Действующим законодательством предусмотрено, что определенные сведения не могут быть коммерческой тайной (учредительные документы, документы о платежеспособности, сведения о наличии вакантных рабочих мест и т. д.)
На основании сказанного выше можно условно выделить следующие объекты конфиденциальных интересов бизнеса, которые являются предметом противоправных интересов отдельных людей, организаций или рыночной конкуренции в целом:
• предприятия и организации (производство и производственная деятельность; научная деятельность; торгово-финансовая деятельность; посредническая деятельность и т. д.);
• продукция и услуги (собственно материальные ценности; открытия и изобретения; технологические и конструкторские разработки; промышленные образцы; технические проекты и отчеты; ноу-хау и т. д.);
• информация (о состоянии, деятельности и планах; о рынке; о производстве и продукции; о финансах и ценах; о ресурсах и их запасах; о поставщиках и клиентах и т. д.);
• финансовые потоки (величины и адресаты; организация, порядок прохождения и защита; конкретные лица, работающие с финансами и т. д.).
Конечно, при всей важности информации не только она подвергается преступному посягательству. Ясно, что злоумышленники охотятся и за деньгами, и за материальными ценностями. Поскольку вопросы защиты материальных ценностей — наиболее хорошо проработанная часть защиты бизнеса, дальше будут обсуждаться только вопросы защиты информации и защиты от мошенничества в финансовой области как более актуальные в современных условиях.
§ 4.2. Посягательство на информацию и ее защита
Конфиденциальную информацию прячут «за семью печатями», но поскольку ею все-таки пользуются, она тем или иным образом выплескивается за те пределы, в которых ее хотели бы сохранить. Условно можно выделить семь категорий источников, обладающих, владеющих или содержащих в себе конфиденциальную информацию.
1. Люди, К этой категории относятся сотрудники, рабочие, обслуживающий персонал, продавцы продукции, клиенты, партнеры, поставщики, посредники, покупатели и т. д. Люди не только обладают и распространяют информацию, они способны ее анализировать, обобщать, делать выводы, а также скрывать или совершать какие-либо криминальные действия с информацией.
Документы. Документы — самая распространенная форма накопления, хранения и обмена информацией. Они весьма разнообразны по своему функциональному назначению, содержанию и материальным носителям, обычно о сохранности и защите документов проявляют особую заботу, но...
Публикации. Публикации — это информационные носители в виде открытых изданий: книги, статьи, доклады, рекламные проспекты и т. д. Одним из лучших источников конфиденциальной информации являются болтуны, поэтому на съездах специалистов, конференциях, научных семинарах, семинарах по обмену опытом умельцы собирают самую свежую и ценную информацию.
По оценкам специалистов, до 60% секретной военной информации и до 95% важной промышленной информации можно получить из открытых источников.
Технические носители информации. Технические носители информации — это бумажные носители, кино- и фотоматериалы, магнитные носители, аудио- и видеоносители, распечатки программ и данных на принтерах и экранах ЭВМ, табло индивидуального или коллективного пользования и др. Опасность утечки информации, связанная с техническими носителями, в том, что их парк, как и парк ЭВМ, растет очень быстро, широко доступен и трудно контролируем.
Технические средства обеспечения производственной деятельности. В эту группу входят средства и каналы связи, охранные и пожарные системы, трансляционные системы, автоматизированные системы сбора и обработки информации и ряд других систем. Полнота и достоверность информации источников этой группы делают их весьма привлекательными для злоумышленников.
Продукция. Продукция — весьма специфический источник информации. Каждый этап жизненного цикла продукции (замысел, разработка, опытный образец, испытания и доводка, серийное производство, эксплуатация, модернизация, снятие с производства) сопровождается своей информацией, проявляющейся в виде разных физических эффектов, демаскирующие признаки которых могут раскрыть охраняемые сведения.
7. Промышленные и производственные отходы. Отходы могут быть очень ценным источником информации, тем более что они могут зачастую добываться легально, безопасно и легко. Выброшенные копирки, черновики и т. д. могут рассказать много интересного специалисту, а химический анализ отбросов может открыть очень важный секрет.
Даже такое поверхностное перечисление источников конфиденциальной информации, как только что приведенное, позволяет достаточно аккуратно рассмотреть различные способы несанкционированного доступа к конфиденциальной информации. Способ доступа к информации (а, как правило, используется комбинация различных способов) соотносится злоумышленником с его целью. Специалисты считают, что можно выделить три цели преступного посягательства на информацию:
• получение необходимой информации для конкурентной борьбы;
• внесение изменений в информационные потоки конкурента в соответствии со своими интересами;
• нанесение ущерба конкуренту путем уничтожения информационных ценностей.
Коротко рассмотрим некоторые способы несанкционированного доступа к конфиденциальной информации.
Инициативное сотрудничество. Речь идет о том, что сотрудник организации сам по каким-то причинам каким-то образом идет на противоправные действия. По мнению специалистов, около 25% работников готовы в любое время и при любых обстоятельствах предать интересы организации, в которой работают, и около 50% готовы сделать это в зависимости от обстоятельств. Эти обстоятельства весьма разнообразны, иногда даже неожиданны: финансовые затруднения; политическое, религиозное, научное, моральное инакомыслие; недовольство зарплатой, статусом, должностью, обиды на начальство или власть; тщеславие, амбиции, зависть, непомерные запросы или семейные проблемы; вредные пристрастия и многое (к сожалению, очень многое) другое. Опасность инициативного сотрудничества трудно переоценить, так как такое сотрудничество особенно тяжело раскрывается, а проникает такой сотрудник обычно очень глубоко внутрь организации.
Склонение к сотрудничеству. Это, как правило, насильственное действие со стороны злоумышленника по отношению к работнику данной организации, осуществляемое путем подкупа, запугивания, провокации, шантажа, устройства ловушек и т. д. Одной из разновидностей склонения к сотрудничеству иногда бывает переманивание специалистов конкурента к себе для овладения его знаниями. Незаконность, бесчестность, подлость и омерзительность средств и способов склонения к сотрудничеству не знает границ. Можно только пожелать читателю никогда не доходить до таких действий и уметь им противостоять.
Выпытывание (выведывание, интервьюирование) — это стремление с помощью внешне наивных, невинных вопросов получить определенные сведения. Надо иметь в виду, что выпытывание — это не экзаменационная ситуация, когда преподаватель жестоко терзает несчастного беззащитного студента, стремясь выяснить (и продемонстрировать ему), что он еще не знает о тех временах, когда одна из прабабушек одной из его бабушек пешком ходила под стол. Речь идет о милом, ненавязчивом, но очень эффективном разговоре и скрытом (как косвенном, так и прямом) выуживании информации. Осуществляется выпытывание разным образом: официальные пресс-конференции и интервью, подставные любовницы (и любовники), беседы в ближайшем окружении интересующего человека, ложное трудоустройство и ложный прием на работу и т. д.
Выпытывание — достаточно эффективный способ доступа к конфиденциальной информации, и есть большие умельцы его использования.
Подслушивание — это способ ведения разведки и шпионажа, применяемый как агентами, так и специальными постами подслушивания. Подслушивание — весьма распространенный способ получения информации, способ многогранный, со многими приемами и средствами. К достоинствам этого способа добывания информации надо отнести то, что получаемая информация имеет определенную эмоциональную нагрузку (она иногда бывает не менее важной, чем прямое содержание) и поступает в реальном масштабе времени, без опозданий и задержек (если идет непосредственное подслушивание).
Не вдаваясь в технические подробности, перечислим некоторые способы подслушивания:
• подслушивание разговоров в помещении или на транспорте с помощью радиозакладок («жучков») или микрофонов;
• подслушивание телефонных, телексных и телефаксных линий связи, радиотелефонов и радиостанций;
• дистанционный съем информации с различных технологических средств за счет их побочных излучений и наводок;
• лазерное облучение оконных стекол в интересующих помещениях;
• направленное радиоизлучение, которое заставит «откликнуться и заговорить» деталь в телевизоре, радиоприемнике, телефоне или другой технике.
Технические способы реализации подслушивания чрезвычайно разнообразны, оригинальны, сложны и достаточно дороги.
Наблюдение — способ ведения разведки визуально или с помощью технических средств. Наблюдение — многогранный и многоплановый способ ведения разведки, даже простая классификация этого способа по разным признакам становится довольно объемным и трудоемким делом. Квалифицированное наблюдение требует привлечения хороших специалистов и технических средств. Зато результаты наблюдений, в случае успеха, могут быть весьма впечатляющими и доказательными.
Хищение — умышленное противоправное овладение чужими ценностями (в частности, информацией) — это широко используемый злоумышленниками способ посягательства на чужое добро. Как считают специалисты, 10% людей никогда не воруют в силу своих моральных воззрений, 10% воруют при каждом удобном случае при любых обстоятельствах, 80% людей, как правило, честны, но могут поддаться соблазну украсть.
Воруют, как правило, все, что плохо лежит, в том числе и информацию, и людей, и программные средства, воруют на любом социальном уровне. Надо иметь в виду, что не всегда хищение, особенно информации, обнаруживается быстро и не всегда похищенное можно восстановить, поэтому хищение — достаточно опасное нарушение прав законных владельцев.
Копирование как способ получения конфиденциальной информации чрезвычайно распространено и популярно, так как оставляет законного владельца в неведении о случившемся. Существуют многочисленные эффективные технические способы и приемы копирования как документов, так и машинной памяти. Как и при хищении, копируют все то ценное или потенциально ценное, что плохо лежит.
Подделка, модификация, фальсификация — это способы получения доступа к конфиденциальной информации путем предоставления ложных документов; изменений, которые ведут к преодолению запретов; искажению истинной картины в ущерб законным владельцам.
Конечно, такие действия, как подделка, модификация, фальсификация, применяются не только по отношению к информации, но и по отношению к материальным продуктам. В том случае, когда дело касается информации, могут возникнуть особо сложные и тонкие ситуации, когда права первооткрывателей и законных владельцев защитить очень трудно.
Уничтожение информации (а также продукции и людей), к сожалению, не редкость в наше время. Уничтожение может осуществляться с применением технических средств, оружия или программным путем. Для уничтожения информации иногда бывает достаточно поразить системы автоматизированной обработки данных, защиты информации, связи, охраны, противопожарной защиты и др., то есть что-то обеспечивающее или даже второстепенное.
Незаконное подключение — это контактное или бесконтактное получение тех сообщений, которые передаются по различным линиям и проводам. Подключиться для перехвата каких-то сообщений можно практически к любым линиям связи, даже к сетям питания и заземления, даже к волоконно-оптическим линиям связи. Обнаружить подключение очень сложно, так что угрозу незаконного подключения надо считать серьезной.
Перехват — это получение информации за счет электромагнитных волн пассивными средствами приема. Перехватываются не только сигналы радиосвязи, но и другие такие электромагнитные излучения, как: излучения радиолокационных и радионавигационных систем, телеуправления, сигналы, возникающие в электронной аппаратуре за счет самовозбуждения, акустического воздействия, паразитных колебаний, сигналы ПЭВМ, возникающие при выдаче на экран электронно-лучевой трубки текущей информации. Возможен перехват переговоров по радиотелефону и по беспроводным системам связи внутри учреждения. Возможная дальность установления контакта колеблется от десятков метров до тысяч километров (в зависимости от характера источника и используемых средств перехвата). Поскольку растет объем информации, передаваемый «радиоспособом», постольку растет и значение такого способа незаконного получения информации, как перехват.
Негласное ознакомление — это любой способ получения информации, к которой субъект не допущен, преднамеренный или случайный, несанкционированный и оставшийся тайным в момент его использования. Одним из обстоятельств, способствующих негласному ознакомлению с конфиденциальной информацией, является низкая трудовая дисциплина и пренебрежение правилами режима секретности. Другим обстоятельством может иногда быть плохо продуманный режим секретности, когда, например, оказывается возможным одно и то же или что-то близкое получить и законно, и незаконно. Для негласного ознакомления сейчас широко используются многочисленные весьма совершенные технические средства, но не сняты с вооружения и возможности человека, которые у данного индивидуума оказались феноменальными (зрительная память, слух, умение читать речь по губам и т. д.).
Фотографирование — это способ получения видимого изображения на разнообразных фотоматериалах. Особенность способа — документальность. Снимки могут иметь разное назначение, от компромата до раскрытия секретов технологического характера, бывает, что они дают очень ценные и детальные сведения об объекте наблюдений.
Возможности современных фотокамер, объективов и материалов буквально ошеломляют (если на фотовыставке демонстрируется снимок, сделанный в момент внедрения сперматозоида в яйцеклетку, то понятно, что тайно снять событие, непосредственно предшествующее упомянутому, — не проблема).
Конечно, фотографирование как способ добывания информации в наше время должно быть дополнено таким способом, как видеосъемка.
Вся информация (как полученная из открытых источников, так и похищенная) подвергается соответствующей аналитической обработке силами квалифицированных специалистов. В результате их работы руководству или сторонним заказчикам предоставляются соответствующие информационно-аналитические документы.
Перечисление способов несанкционированного доступа к конфиденциальной информации — это не какая-то классификация или систематизация, это просто первое знакомство с определенным кругом угроз бизнесу.
Естественно, возникает вопрос: как противостоять этим угрозам? В силу сложности и объемности проблемы ответ на этот вопрос сейчас можно дать лишь на уровне первого знакомства.
Защита информации (как и любая другая защита) начинается с создания необходимой правовой основы. В организации должны быть разработаны и введены в действие нормативные документы, которые регламентируют меры защиты в соответствии с действующим законодательством. Без создания правовых основ обеспечения безопасности любые последующие претензии предпринимателя к кому-либо могут оказаться просто беспочвенными.
Нормативные правовые документы должны регламентировать:
• порядок определения и фиксации степени секретности информации;
• порядок работы с информацией данной степени секретности;
• работу организационных структур, созданных для защиты бизнеса в целом и информации в частности;
• работу структурных единиц организации в части защиты законных интересов организации;
• взаимодействие с государственными органами в части защиты законных интересов организации;
• меры ответственности за различные нарушения законных интересов организации и причиненный при этом ущерб и ряд других вопросов.
Следующий элемент защиты — организационные мероприятия, направленные на чрезвычайное затруднение несанкционированного доступа к конфиденциальной информации. Эти мероприятия многообразны и многоплановы:
• мероприятия, осуществляемые при проектировании, строительстве и оборудовании помещений и отдельных производственных зон;
• мероприятия, обеспечивающие удобство контроля прохода и перемещения людей, проезда транспорта;
• мероприятия, осуществляющиеся при подборе, найме и увольнении персонала;
• мероприятия, связанные с сохранением сведений работниками (постоянными, временными, сторонними);
• организация надежного пропускного режима и контроля посетителей;
• организация надежной охраны помещений и территорий;
• организация хранения, использования и защиты носителей конфиденциальной информации;
• мероприятия по обеспечению безопасной (в смысле секретности) эксплуатации различных технических средств и целый ряд других мероприятий.
Следующий элемент защиты называют инженерно-техническим. Инженерно-техническая защита должна создать возможность противодействовать тем техническим средствам незаконного получения информации, которыми располагают злоумышленники. Инженерно-техническая защита — это совокупность специальных органов, технических средств и мероприятий по их использованию в интересах обеспечения безопасности бизнеса.
По функциональному назначению средства инженерно-технической защиты делятся следующим образом:
• физические средства защиты, препятствующие проникновению злоумышленников на объекты и защищающие персонал, материальные ценности, финансы и информацию от противоправных действий;
• аппаратные средства защиты, то есть приборы, устройства, приспособления и т. д., которые призваны препятствовать утечке информации;
• программные средства защиты, то есть специальные программы, программные комплексы и системы защиты информации в информационных системах различного назначения и средствах обработки данных;
• криптографические средства защиты — это специальные математические и алгоритмические средства защиты информации, передаваемой по сетям связи или хранимой и обрабатываемой на ЭВМ, которые основаны на шифровании информации.
Особо надо сказать о том, что в наше время, когда распространенность и значимость ЭВМ стали очень велики, требуется специальная комплексная защита средств вычислительной техники. Строится эта защита по тем же принципам, что и защита информации в системе целиком: организационные меры защиты, аппаратные, программные и криптографические средства защиты.
В заключение надо сказать, что охота за информацией и защита информации — это вечная борьба копья и щита, которая издавна идет с переменным успехом и которую, к сожалению, еще долго придется вести.
§ 4.3. Мошенничество и его предотвращение
Общее представление о мошенничестве
Под мошенничеством понимают выманивание, похищение у кого-либо денег, ценностей, прав и т. д. с помощью обмана при некоторой осведомленности и доверительном отношении к происходящему того, кого обманывают. В основе мошенничества лежат обман и/или злоупотребление доверием.
Жертвами мошенничества по отношению к частным лицам обычно становятся люди с определенной психологической структурой личности. Это прежде всего алчные люди, люди с обостренным чувством зависти, не уверенные в себе, или, наоборот люди, склонные словчить, получить выгоду, не считаясь с нормами морали, люди авантюристического склада, иногда люди, пережившие тяжелое эмоциональное потрясение.
Становятся жертвами мошенничества и организации. Чаще всего урон наносится финансам, организации, но бывает, что потери носят материальный характер. Некоторые аспекты мошенничества против организации и меры по защите от него обсуждаются ниже.
Специалисты выделяют несколько типов мошенничества. Первый тип — это мошенничество (растраты, хищения) со стороны наемного работника. Даже простое перечисление типичных видов такого мошенничества производит впечатление:
• воровство наличности из кассы, воровство чеков, использование наличности не по назначению, фальсификация кассовых книг и сумм на банковских счетах, подделка чеков, оплата личных счетов чеками фирмы, фальсификация записей в бухгалтерских книгах;
• представление фальсифицированных счетов-фактур, фальсификация транспортных накладных и т. д.;
• кражи инвентаря, несанкционированные продажи имущества фирмы, использование имущества фирмы, мошенничество со счетами от медицинских учреждений, фальсификация отчетности о командировках;
• сговор с клиентами или поставщиками, получение «благодарности» за определенные услуги, завышение цен, использование подставных поставщиков, переплата «сверху», выдача необеспеченных или фальшивых векселей, мошенничество с выплатой зарплаты, предоставление заказов за взятки;
• мошенничество со страховкой, незадекларированные доходы, фальсификация налоговых деклараций;
• компьютерные преступления и ряд других деяний.
Второй тип мошенничества — это мошенничество со стороны руководителей. Обычно имеют место манипуляции с финансовой отчетностью. Часто обман совершается в интересах организации, а не только и не столько в интересах мошенника.
Третий тип — аферы с инвестициями, когда инвесторам предлагается вложить деньги в проекты, которые оказываются липовыми, не имеющими никакой стоимости.
Четвертый тип мошенничества — мошенничество поставщиков. Эти аферы бывают действиями самих поставщиков или совместными действиями поставщиков и заказчиков. Обычно завышается количество поставляемого товара. Либо поставляется бракованный товар, либо товар вообще не поставляется, а платежи за него производятся.
Пятый тип — мошенничество со стороны потребителя: неоплаченный товар, получение платы за несделанную работу, поставка фирмам ненужного им товара.
Возможны, конечно, различные комбинации типов мошенничества и мошенничество нефинансовой направленности (фальсификация свидетельств о рождении игроков на каком-либо детском чемпионате).
Статистически достоверно, что от своих работников фирмы терпят ущерб больше, чем от клиентов. Ущерб от мошенничества возрастает в тяжелые экономические периоды, в период роста финансовых затруднений, слияния фирм, во время осуществления рискованных проектов. И как это не печально, мошенничество может совершить любой.
При всем разнообразии мошеннических деяний есть три основных элемента, присущих им всем:
• давление внешних обстоятельств;
• возможность совершить и какое-то время скрывать мошенничество;
• способность оправдать это действие.
Если человек ощущает давление внешних обстоятельств, имеет возможность совершить мошенничество и может оправдать свой поступок перед самим собой, то скорее всего он пойдет на мошенничество. Те, кто противостоит мошенничеству, обращают внимание главным образом только на один из трех названных моментов: на саму возможность совершить мошенничество. В этом одна из причин неудач в борьбе с этим явлением.
Специалисты разделяют давление внешних обстоятельств на четыре группы:
• финансовое давление (жадность, жизнь не по средствам, долги, большие медицинские расходы, большие финансовые потери, неожиданная потребность в деньгах и т. д.);
• давление пороков и пагубных пристрастий (алкоголь, сексуальная распущенность, азартные игры, наркотики);
• давление, связанное с работой (бывает, что человек идет на мошенничество ради сведения счетов с начальством или сослуживцами, из-за недооценки (действительной или кажущейся) его успехов, неудовлетворенности от работы или зарплаты, боязни потерять работу и т. д.);
• другие виды давления (притязания членов семьи, желание что-то доказать «всем», подражание кому-либо и т. д.).
Есть определенные условия, которые способствуют появлению возможности мошенничать. Среди таких условий надо в первую очередь назвать следующие:
• отсутствие или недостаточность мер контроля, позволяющих предупредить и/или выявить мошенничество;
• невозможность или неспособность оценить качество выполнения работы (такая оценка может отсутствовать как со стороны потребителя, так и со стороны руководителей исполнителя работы);
• отсутствие производственной дисциплины;
• предоставление искажений или недостаточной информации (жертва мошенничества не имеет доступа к истинной информации, находящейся в распоряжении жулика, как это, например, часто бывает в крупных аферах со стороны менеджеров, направленных против акционеров или инвесторов);
• равнодушие к происходящему со стороны начальства и коллег;
• отсутствие ревизий и аудиторских проверок;
• нарушение принципа неотвратимости наказания (в результате чего жулика после разоблачения тихо увольняют, и он продолжает совершать мошеннические действия, а иногда даже делает успешную карьеру);
• некомпетентность или уязвимость жертв.
Наконец, нельзя недооценивать такого элемента преступления, которым является мошенничество, как самооправдание. Специалисты утверждают, что наличие самооправдания — почти обязательная составляющая такого преступления как мошенничество. Важность самооправдания в том, что очень и очень многие люди не идут на мошенничество до тех пор, пока не находят какие-либо причины своих действий, оправдывающие их в собственных глазах.
Существует бесчисленное количество оправданий, которые мошенники находят для объяснения причин своих действий (моя фирма мне задолжала, я только одолжу на время деньги и сразу же их верну, от этого никому хуже не будет, это направлено на благие цели и т. д.). Как правило, в основе самооправданий лежит известный психологический феномен: люди судят о себе по своим намерениям (а не по делам) и не рассматривают себя в качестве преступников.
Некоторые признаки мошенничества
Довольно часто мошенничество проявляется в виде определенных симптомов. Как отдельные симптомы, так и их совокупность не могут считаться достаточным доказательством, но они должны привлекать к себе внимание соответствующих сотрудников и служб.
Симптомами возможного мошенничества со стороны наемных работников являются:
• слабый внутренний контроль;
• отклонение от средних (обычных) значений величин тех или иных характеристик;
• нестандартные данные в бухгалтерских документах;
• выходящий за привычные (типичные) рамки образ жизни;
• необычное поведение;
• наличие наводок и жалоб.
Еще раз надо подчеркнуть, что эти симптомы не являются доказательствами, так как они могут иметь вполне обоснованное не уголовное происхождение или быть результатом случайных совпадений (ошибки в документах, наследство, семейные неурядицы, злонамеренная клевета завистника и т. д.).
К признакам возможного мошенничества со стороны менеджеров относят:
• аномалии в деятельности предприятия (необъяснимые изменения в балансовой отчетности, работа на грани кризиса, необычные или крупные выгодные сделки в конце отчетного периода, недостаточность основного капитала, быстрый рост расходов по сравнению с доходами, участие предприятия в крупных судебных процессах и др.);
• личные качества менеджеров, свидетельствующие о наличии у них возможных мотивов (большие долги или запросы, участие в азартных играх или рискованных сделках, неясное или уголовное прошлое, нечестное или неэтичное поведение на работе, зависимость личного благополучия от успешности работы организации и др.);
• аномалии в организационной структуре предприятия (излишнее усложнение структуры предприятия подразделениями, существование которых не вызвано деловой необходимостью, отсутствие эффективного подразделения внутрифирменного аудита, работа в отраслях с высоким риском и приверженность к рискованным операциям, крупные сделки с родственными фирмами и т. д.);
• особые отношения с партнерами (проблемы с банковскими контролирующими органами, препятствие аудиторам в получении ими необходимой документации, частые смены сторонних юрисконсультов, пользование услугами нескольких банков, частые ссылки на давление со стороны политиков, «зеленых», общественного мнения и т. д.).
Для афер с инвестициями, организуемыми менеджерами, симптоматично наличие огромного количества специфических признаков:
• необычно высокие процентные ставки;
• инвестиции, не представляющие обычно делового интереса;
• понуждение инвесторов к вложению денег как можно быстрее, пораньше;
• использование лазеек для уклонения от налогов или их уменьшения;
• сфера предпринимательства, новая для данной местности, осуществляемая неизвестными действующими лицами;
• действия, уже сопровождавшиеся банкротством или скандалами;
• представление цифр и/или финансовых документов, не прошедших гласную проверку;
• проекты, основанные на получении «неофициальных» вознаграждений, сложных схем маркетинга, на поиске «особых» подходов к богатым и на устных соглашениях, о которых «нельзя говорить» из-за особенностей местных или иностранных законов;
• неподтвержденные аудиторской проверкой финансовые отчеты или рекламные заявления, пропагандирующие эти отчеты;
• инвестиции, подразумевающие продолжение инфляции, или предварительное установление привлекательных процентов, которые в данный момент не могут быть реальными;
• обещание успешности инвестиций, основанное на чьих-то «уникальных» способностях или возможностях добиваться финансового успеха (предсказание будущих цен, необычно эффективная сеть дистрибьюторов и т. д.);
• демонстрация особой привлекательности инвестиций на уровне чистых эмоций;
• необходимость для достижения успехов крупных займов;
• поиск инвесторов для выплаты имеющихся долгов;
• шикарный образ жизни руководителей, лишь недавно начавших свой бизнес;
• давление на инвесторов с целью стимулировать вложение в какое-то одно предприятие;
• невозможность выйти из дела или забрать обратно свои вложения;
• заявления, направленные на то, чтобы вызвать жалость к руководителям и/или привлечь средства для преодоления якобы временных трудностей.
Надо заметить, что мошенничество управленческого персонала часто принимает такие размеры, что его признаки могут быть обнаружены в первичных документах. Такими признаками являются:
• пропажи отдельных документов;
• проводки, просроченные относительно выписки по счету в банке;
• большое количество аннуляций или скидок;
• совпадение имен и адресов плательщиков или заказчиков;
• увеличение числа просроченных счетов;
• увеличение числа исправленных документов;
• подмены документов;
• двойные оплаты;
• передаточные надписи на чеках в адрес вторых лиц;
• не имеющие смысла последовательности документов;
• сомнительные надписи от руки на документах;
• представление не оригиналов, а копий документов.
О наличии мошенничества могут сигнализировать признаки, которые появляются при анализе функционирования организации или ее подразделений. Речь идет о процедурах, взаимосвязях, ситуациях и состояниях, которые достаточно необычны, неправдоподобны, значительно выходят за рамки нормального или среднего состояния, чтобы их можно было принять на веру.
К числу таких признаков относятся:
• необычность места или времени события;
• участие в событии лиц, которые не должны в нем участвовать;
• странность процедур или способов осуществления действий;
• слишком крупные или слишком мелкие сделки или суммы;
• слишком частые или слишком редкие операции, операции с очень большой прибылью или, наоборот, с нулевой прибылью;
• неожиданные недостачи или излишки;
• отклонение от спецификаций, увеличение остатков, расхождения в физических характеристиках;
• избыточные закупки, обилие дебиторских или кредиторских напоминаний, значительное увеличение или уменьшение сумм на текущих счетах, недостачи или превышения по кассе;
• осуществление платежей с запаздыванием, необоснованные затраты или платежи;
• странные увеличения финансовых показателей (увеличение доходов при уменьшении материально-производственных запасов, увеличение доходов при уменьшении количества перечисляемых денег или при уменьшении оборота по кассе, увеличение запасов при уменьшении кредиторской задолженности, увеличение объема продаж при увеличении цены единицы продукции,- увеличение оборота при сокращении остатков, увеличение запасов при уменьшении затрат на обслуживание складов) и ряд других признаков, которые, безусловно, должны привлекать к себе внимание заинтересованных лиц.
Есть определенные симптомы наличия мошенничества, которые выявляются при анализе взаимоотношений данной фирмы с партнерами, личных качеств и биографий работников, сделок с родственными компаниями, при анализе динамики образа жизни и деятельности (как утверждают специалисты, почти нет мошенников, которые прятали бы похищенное в чулок, переход к жизни на широкую ногу — типичное следствие и проявление удачно проведенного мошенничества).
Во многих организациях есть люди, знающие или подозревающие о совершаемых мошенничествах, но не сообщающие ничего никому. Для этого есть несколько причин.
Во-первых, у людей может не быть стопроцентной уверенности в том, что имеет место мошенничество, так как они наблюдают только симптомы. Во-вторых, люди боятся мести. В-третьих, работники могут быть зависимы от мошенников. В-четвертых, организации не очень помогают своим сотрудникам делиться обоснованными подозрениями (люди не знают, что и как делать, к кому обращаться, нет «горячей линии» для анонимных сообщений или сторонних организаций, которым можно было бы довериться и т. д.). Наконец, в-пятых, большинство воспитано в духе недоносительства за детские проказы. И этот дух переносится на совсем «недетские» шалости. Так что выявление симптомов — дело не простое.
Резюмируя сказанное по поводу симптомов и признаков мошенничества, надо подчеркнуть два момента. Во-первых, всегда должен соблюдаться принцип презумпции невиновности, симптомы и признаки мошенничества лишь сигнализируют о возможном наличии преступления, но не являются доказательствами. Во-вторых, людей надо учить замечать и распознавать симптомы мошенничества, это единственный способ попытаться побороть такое растущее зло, как мошенничество.
Расследование мошенничества
Если зазвенел звоночек и появились признаки мошенничества, тем более если загремели колокола и появились (как результат мошенничества) материальные потери, надо проводить расследование мошенничества. Расследование мошенничества — это сложная и тонкая работа. Если эта работа проведена плохо, могут пострадать невинные люди, преступники могут остаться безнаказанными, а организация будет противодействовать мошенничеству неверным образом.
Главная цель любого расследования — выяснение истины, что означает получение ответов на следующие вопросы: было ли мошенничество на самом деле, кто, каким образом, когда, где и почему его совершил? В результате расследования свершившегося или совершаемого мошенничества надо обнаружить мошенников, определить степень их виновности, расследовать способ совершения преступления, выявить мотивы действий преступников.
При проведении расследования надо собрать улики, обладающие доказательной силой. Таковыми могут быть улики, полученные в виде свидетельских показаний, документированные улики, улики, которыми являются вещественные доказательства, улики, полученные в результате наблюдения или слежки. Особое внима ние надо обратить на то, какие наиболее значимые доказательства могут быть при данном мошенничестве.
Начинаться расследование должно по возможности так, чтобы не возникали кривотолки и не падало подозрение на невинных людей (минимальный круг лиц, не расследование, а «необходимость подготовить справку» и т. д.). В начале расследования бывает полезна матрица дела, в которую включается как можно большее количество вероятных действий со стороны подозреваемых.
В такой матрице увязываются между собой различные элементы потенциальной аферы:
• похищенные или исчезнувшие средства (имущество);
• лица, имеющие возможность совершить хищение;
• вероятные способы хищения;
• возможные способы сокрытия хищения;
• возможности для реализации похищенного;
• выявленные симптомы и признаки хищения;
• виды давления внешних обстоятельств на возможных преступников;
• предполагаемые самооправдания потенциальных похитителей;
• основные слабые элементы внутрифирменного контроля, способствовавшие совершению хищения.
Методы расследования, как понятно читателю, — это область отдельной самостоятельной специальности, поэтому сейчас можно только на описательном уровне перечислить некоторые их них.
В порядке внутрифирменного расследования можно иногда использовать такой (дорогой!) метод, как ужесточение контроля. При этом методе тщательно регистрируется все происходящее в течение 2—4 недель при ужесточенном контроле, когда практически исключена возможность совершить мошенничество. Так же тщательно регистрируется все происходящее в течение тех же по длительности периодов до и после периода ужесточения контроля. Результаты наблюдений сравниваются и анализируются, достаточно часто мошенничество удается выявить.
Большинство афер скрывается путем манипулирования первичными документами, поэтому сбор и изучение таких документов с целью получения документальных улик являются очень важным методом расследования. Можно назвать такие возможности получения документальных улик: анализ поступивших сигналов и возможностей для совершенствования мошенничества, поиск информации в открытых источниках, аудиторские проверки, получение труднодоступных документов личного характера и некоторые другие возможности. Иногда документальные улики могут попасть в руки заинтересованных лиц случайно (как, впрочем, и вещественные доказательства).
Особо надо сказать об аудиторской проверке очень больших объемов достаточно мелких документов, когда невозможно проверить каждый документ. В некоторых случаях подходящим способом является проверка хорошо сформированной случайной выборки (тут необходимо определенное знание в области статистики). В других случаях удобной является компьютерная проверка, когда информация анализируется на основе определенных параметров (какие-то реквизиты, платежи конкретным лицам, частота какого-то фактора и т. д.).
Конечно, при случайной выборке есть риск не обнаружить мошенничества из-за нерепрезентативности выборки или пропустить нужный документ, даже если он попал в выборку. Конечно, и при компьютерной проверке можно остаться ни с чем, если для анализа выбраны неудачные параметры. Но в целом названные способы достаточно эффективны, особенно если удается использовать их совместно.
Вообще, мошенничество выявляется при аудиторской проверке, когда аудиторы не довольствуются простой фиксацией наличия нужных документов, когда аудиторы проверяют подлинность документов, оправданность расходов, верность всех аспектов документов, обращают внимание на нереалистические ситуации.
Расследование мошенничества — сложная работа, но основные типы проводимых при ней проверок общеизвестны и ясны. Проверке подлежат:
• комплектность документации;
• точность расчетов;
• точность соблюдения законов;
• правильность утверждения документов;
• причинная обусловленность действий.
При необходимости проводятся необходимые экспертизы и опросы сотрудников, а также изыскиваются пути для получения доступа к труднодобываемым документальным, уликам (в первую очередь это данные о частных банковских вкладах, уплате налогов, совершении различных сделок).
Достаточно часто даже из общедоступных источников удается собрать такие сведения об образе жизни подозреваемого, которые бесспорно свидетельствуют о том, что он живет, мягко говоря, не по средствам. Бывает, что умелая демонстрация подозреваемому этого факта оказывается достаточной для получения от него признания в совершенном мошенничестве. Но, конечно, нельзя делать ставку на результат такой демонстрации (хотя бы потому, что похищенное может быть более или менее незаметно спрятано по карманам родственников).
Искусство проведения опросов и допросов, которые неизбежны при расследовании, — это отдельная объемная тема, ее мы здесь касаться не будем.
Конечно, все выявленное в ходе расследования должно быть правильно задокументировано, чтобы результаты расследования обладали достаточной доказательной силой.
Предупреждение мошенничества
Говоря о мошенничестве, надо отметить два обстоятельства. Во-первых, если мошенничество произошло, то победителей не бывает. Пойманные мошенники (таковых все-таки ловят, и иллюзий на этот счет ни у кого быть не должно) несут наказание, должны возмещать ущерб, «теряют лицо» в глазах близких людей. Организации теряют деньги, время и доверие потребителей. Во-вторых, расследование мошенничества (плюс судебные издержки) может составить очень значительную сумму. В то же время профилактические меры, направленные на предотвращение мошенничества, могут быть достаточно дешевыми.
В силу сказанного именно предупреждение мошенничества должно быть постоянной заботой руководства организации.
Специалисты считают одним из основных факторов в предупреждении мошенничества создание атмосферы честности, открытости и взаимопомощи. Основные составляющие такой атмосферы известны:
• прием на работу честных людей и проведение их специальной подготовки по противостоянию мошенничеству;
• политика «открытых дверей», доступность руководства, отсутствие жульничества с их стороны, отсутствие авралов в работе;
• наличие всеми принимаемого и соблюдаемого кодекса чести, который регламентирует пограничные зоны деятельности, отделяет дозволенное от неприемлемого;
• создание специальной программы помощи сотрудникам, облегчающей им преодоление давления внешних обстоятельств;
• формирование в коллективе убежденности, что нечестность наказуема;
• противостояние возникновению ореола восхищения нарушителями.
Как это не печально, но кадровая и технологическая политика зачастую ведет к созданию атмосферы, которая способствует злоупотреблениям. Элементами такой политики обычно являются:
• неопределенность в вопросах социального обеспечения, явное неравноправие сотрудников внутри организации, неучет различий между людьми, неадекватная заработная плата, плохие возможности для продвижения по службе, враждебная по отношению к коллегам атмосфера, большая текучесть кадров и прогулы, атмосфера недружелюбного соперничества, недостаточная профессиональная подготовка кадров;
• наличие руководителей, которые служат образцом равнодушия или неправильного поведения, автократический стиль руководства, отсутствие обратной связи от сотрудников к руководителям, наличие руководителей с импульсивным, бесчувственным, слишком эмоциональным или подавляющим характером;
• неоправданное планирование финансовых показателей, жизнь только сегодняшним днем и сиюминутными задачами, авральный стиль работы, излишне жесткие правила внутреннего распорядка, проблемы с финансированием, борьба с последствиями, а не с причинами злоупотребления, отсутствие четких должностных обязанностей.
К сожалению, приведенный список можно пополнить и другими элементами.
Особо надо подчеркнуть, что сокращение количества таких преступных действий, как мошенничество, возможно только при неотвратимости наказания. Характерная личная особенность мошенников такова, что, как правило, просто увольнение воспринимается ими как нечто малоболезненное, в то время как извещение семьи и знакомых о причинах увольнения ощущается как реальное наказание.
Другой важный фактор предупреждения мошенничества — это устранение возможностей для злоупотреблений. С этой целью специалисты рекомендуют:
• иметь хорошую систему активно работающего внутрифирменного контроля;
• предотвращать сговор между сотрудниками фирмы, с одной стороны, и клиентами или поставщиками, с другой;
• проверять персонал;
• наладить работу «горячей линии» для получения информации о симптомах или фактах злоупотреблений;
• проводить активную предупредительную политику в области аудита;
• проинформировать партнеров об отношении фирмы к злоупотреблениям и т. д.
Конечно, игнорирование мер контроля сводит на нет всю работу по предотвращению мошенничества. Если же контроль действительно ведется и сотрудники вдобавок знают, что у их коллег есть возможность сообщить о своих подозрениях, то люди редко влезают в незаконные дела (страх разоблачения — один их самых серьезных сдерживающих факторов для потенциальных мошенников).
Наконец, надо упомянуть и такую возможность, как мошенничество по отношению к фирме сторонних лиц и организаций, особенно в области инвестиций. Как правило, махинации с инвестициями по отношению к данной фирме имеют место, когда у злоумышленников есть возможность получать информацию о своей
жертве (а то и от жертвы). Противостоять подобным аферам можно, требуя полную информацию о финансовом положении потенциального партнера, о его деятельности в прошлом и настоящем, о прохождении им аудиторской проверки, о длительности занятия подобным бизнесом, а также просто задумавшись о целесообразности подобных инвестиций.
Вывод, который можно сделать из всего сказанного, достаточно прост: для предотвращения мошенничества необходимы компетентность и бдительность.
§ 4.4. Некоторые частные вопросы безопасности
бизнеса
Обсуждая вопросы защиты бизнеса, целесообразно хотя бы бегло коснуться еще некоторых тем.
Первая из них — это рэкет. Безусловно, лучшая защита от рэкета — это глубокая нищета, хотя бы внешняя, так как вымогательство любого типа — это в первую очередь информационная борьба.
Конечно, можно пойти на то, чтобы платить рэкетирам, но возникают вопросы:
• деловая сторона (часто выполнение первых условий рэкета — только начало: будут все новые суммы и новые условия, дело может дойти до полного разорения или постепенного превращения первоначально законопослушной организации в преступную);
• правовая сторона дела (если плату рэкетирам предприниматель перекладывает на потребителей своего товара, он становится участником преступления? (Да — Нет. Ненужное зачеркнуть);
• экономическая сторона дела (процветание рэкета, как и процветание любой криминальной деятельности, означает отток трудовых и материальных ресурсов из сферы производства в сферу паразитирования и, как следствие, уменьшение объемов полезного производства);
• социальная сторона дела (богатства, накопленные любым криминальным образом, очень редко, скажем так, используются впоследствии на благо общества, а недооценивать силу и власть, которые дает богатство, нельзя).
Первые рекомендации при такой напасти, как рэкет, могут носить только самый общий характер.
Если рэкетир пытается шантажировать предпринимателя каким-то компроматом, то последнему надо пытаться тянуть время, постараться выяснить, что известно шантажисту, дискутировать о сумме и составе компромата, постараться выйти на информацию о рэкетире и его источниках сведений (нередко требование «поделиться» исходит от дилетантов или из ближайшего окружения (внедренный сотрудник, подкупленный или сломленный сотрудник, недовольный или уволенный сотрудник и т. д.). Если рэкетир переоценил значение компромата или предприниматель готов пострадать за содеянное, то он не должен открывать свои карты перед вымогателем, не надо терять свое информационное преимущество.
Другой тип рэкета — угроза жизни, здоровью, организации, когда преступники требуют деньги за то, что они не сделают ничего плохого предпринимателю, его родным или организации. Частая и популярная реализация этого способа — навязанная дорогая охрана или навязанные работники с чрезмерными окладами, посаженные, вдобавок, на ключевые посты.
Самые надежные меры защиты, как всегда, — предварительные: умелая дезинформация (особенно когда есть подозрение, что началась охота за компроматом на вас), работа в рамках закона (в первую очередь умелая уплата налогов), аккуратный подбор сотрудников и хорошая рабочая атмосфера (при которой сотрудник не будет скрывать факт «наезда» на него), отсутствие «темных пятен» (нанимание «крутых ребят» для выколачивания долгов из партнеров, обращение к авторитетам преступного мира, покупка ворованного, мелкие нарушения закона и т. д.).
Бизнесмен должен понимать, что нередко «темные пятна» готовятся самими преступниками для начала игры. Возможен и другой способ действия преступников, более «вежливый»: угрозы представляются как «деловые» предложения, предложения «содействия» в бизнесе за определенный процент (как правило в начале небольшой, но потом неожиданно быстро растущий, подкрепляемый актами устрашения). В этом случае преступники действуют хитрее, готовят объяснения и запасные версии на случай «прокола», начинают «прессовать» бизнесмена издалека (предлагается сходить попариться, съездить на природу или на рыбалку и т. д.).
Конечно, знание того, как преступники могут закинуть крючок, и другие предварительные меры не гарантируют от неприятностей. Поэтому на случай возникновения такой неприятности, как рэкет, надо иметь определенный план действий. Такой кризисный план позволяет избежать необдуманных действий, паники и смягчает удар.
В кризисном плане обычно отражается следующее:
• виды угроз (шантаж, захват заложников, опасность вредительства и т. д.);
• состав кризисной группы, обязанности ее членов, правила взаимозаменяемости сотрудников;
• список документов и ценностей для усиленной охраны и эвакуации, способы усиления охраны и эвакуации;
• описание типовых ситуаций действий преступников и способов противодействия;
• конкретные действия руководства и привлеченных сотрудников;
• взаимодействие с правоохранительными органами и службами безопасности партнеров (если есть договоренность о взаимной поддержке);
• меры по защите семей сотрудников, кризисных линий связи, охране коммуникаций;
• установление по возможности личностей рэкетиров («засветившиеся» рэкетиры не так опасны) и другие необходимые действия.
И, конечно, в борьбе с рэкетом нужны квалифицированные специалисты и объединение усилий бизнесменов.
На этом закончим обсуждение первой темы и перейдем к следующим вопросам.
Как показывает опыт, надо знать своих партнеров и клиентов не только по их рассказам. В противном случае возможны всякие неожиданности (контрагент растворился в пространстве вместе с вашим товаром и деньгами, проверенный человек начинает прогорать и пытается решить свои проблемы за ваш счет и т. д.). Информацию о тех, с кем вы имеете деловые контакты, надо собирать регулярно, по возможности объективно и из разных источников.
О проверяемом человеке или фирме можно получить практически любую информацию, дело зависит от затрат, сроков и профессионализма исполнителей. Эту работу берутся выполнять информационные агентства, охранные и детективные службы, частные детективы и «консультанты» из числа бывших и действующих сотрудников силовых ведомств. Разброс цен достаточно велик, зависит от многих параметров. Надо узнавать и сравнивать цены и результаты.
Искать исполнителей можно по объявлениям и через знакомых, опять-таки надо сравнивать цены, обещания, отношение к вам как к заказчику. Четко формулируйте свои вопросы. Во-первых, от этого зависит цена, сроки и результат. Во-вторых, неконкретный вопрос влечет неконкретный ответ. На вопрос: «Каково финансовое положение фирмы «Рога и копыта»?», скорее всего будет дан ответ: «Устойчивое». Другое дело вопрос: «Какова оценка объема ежемесячной наличной выручки за последние полгода такой-то фирмы?»
Если вы — не крупный бизнесмен, то обращайтесь не в самые крупные агентства. Ищите хорошо зарекомендовавшего себя исполнителя — «середнячка», у них и цены поменьше, и рядовыми клиентами они дорожат.
Надо искать такого исполнителя, который может оказать многие услуги, может сделать многое, а не только проверить по узкому кругу учетов. В противном случае при возникновении новых вопросов вам придется искать нового исполнителя. Бывают полезными и информационные посредники, которые могут знать, где дешевле и быстрее достать нужную информацию. Избегать надо тех, для кого информационная работа — источник приработка, а не заработка, так как у них дело вряд ли поставлено на поток.
Если ваши интересы выходят за рамки стандартной проверки, а исполнитель не может дать даже предварительной оценки стоимости работы, то скорее всего он просто не ориентируется в интересующих вас вопросах. Ясно, что с ним лучше дел не иметь. Не стоит иметь дел и с «бандитами». Во-первых, у них нет нужной квалификации, во-вторых, ваши вопросы — это информация о вас самих (то есть вы можете ненароком навести их на себя).
Специалисты обращают внимание еще на ряд частных, но важных моментов:
• надо быть осторожным и внимательным, решая вопросы страхования, надо собрать информацию и проанализировать несколько вариантов страхования;
• свои бизнес-планы не обсуждайте в сомнительном окружении, вашими идеями могут воспользоваться другие;
• не посещайте сомнительных и скандальных заведений, не привязываетесь к одному, пусть и хорошему месту;
• не ведите демонстративно шикарного образа жизни, это может стать источником угрозы;
• по возможности пользуйтесь кредитными карточками, но помните, что и с ними мошенничают;
• если уезжаете, постарайтесь поселить на время отъезда кого-то в вашей квартире;
• отказывайтесь от ночных бизнес-встреч в дальних районах, особенно с незнакомыми партнерами.
Наконец, надо хотя бы кратко сказать о такой приятной ситуации, как появление зарубежного партнера. После того, как пройдет эйфория от раскрывающихся перед вами радостных перспектив (эйфория может возникнуть как следствие рассказа заморского гостя, от нее надо поскорее избавиться), сходите в нужное посольство и внимательно изучите материалы о данной фирме. Остерегайтесь громких наименований и внушительных титулов, иногда они просто скрывают миниатюрность фирмы. Лично посетите фирму и посольство и посмотрите, что к чему. Обратите внимание на адрес фирмы, если этот адрес — абонентский ящик или какая-то экзотика (острова в Тихом океане), то надо насторожиться, обязательно проверьте место регистрации фирмы.
Потребуйте детальных переводов всей документации (договоров, бизнес-планов и т. д.). Помните, что в другой стране действует не наше, а другое законодательство, поэтому надо выяснить, что означает каждое условие каждого документа.
Не верьте предпринимателям, утверждающим, что их не интересует прибыль. За советы вежливо благодарите, но нужны вам не столько они, сколько деньги. Не вкладывайте деньги через маклеров.
Будьте внимательны к мелочам. Скажем, позвоните по телефону, указанному в визитной карточке. Если выясняется, что фирма не имеет секретаря, работающего полный день, то вряд ли вам стоит рассчитывать на такую фирму. Еще более подозрительно, если при крупной сделке вас просят, скажем, для лучшего прохождения сделки произвести какие-то, в общем, не очень большие предварительные платежи, да еще и в третьей стране.
Конечно, очень много зависит от знаний, опыта, сообразительности, конечно, «конь о четырех ногах и то спотыкается», конечно, всего не предусмотришь. Но одно дело, если вас обыгрывают, как могут (могут и не обыграть), и совсем другое дело, если вас обыгрывают, как хотят. Не ограничивайтесь первым знакомством с тем кругом проблем, который был затронут, и тогда к вам придет не маленькая случайная неустойчивая удача, а крупный, закономерный и прочный успех.
§ 4.5. Личная безопасность предпринимателя
Обсуждая вопросы борьбы с противоправными посягательствами на бизнес, особо надо поговорить об обеспечении безопасности предпринимателя.
Давно известно, что личная безопасность в значительной степени зависит от самого человека, соблюдения им соответствующих правил предосторожности и норм поведения, которые резко уменьшают возможность успешного исхода преступного замысла. Если же человек не пользуется охраной, когда она необходима и возможна, проявляет личную беспечность (и то же делает его ближайшее окружение), по недомыслию или по необходимости совершает повторяющиеся действия (попадает в повторяющуюся обстановку), оставляет «хвосты» (скрывает от налогообложения доходы, имеет случайные или сомнительные связи, есть обиженные люди и т. д.), то он сам готовит себе неприятности.
Основным условием подготовки преступления, выбора способа, места и времени является сбор и оценка соответствующих сведений. Для получения таких сведений преступник может установить личные контакты с предпринимателем или с его ближайшим окружением, использовать такой способ, как выпытывание (см. выше), использовать технические средства получения информации или организовать наблюдение за предпринимателем и его ближайшим окружением. Если воспользоваться устаревшей аналогией, то можно сказать: так же как Подлодка не пойдет в атаку, не подняв перископ, так и преступник не пойдет на дело, не собрав нужных сведении. И так же как подлодку выдает перископ, так и преступника при сборе информации выдает его инициатива, активность, направленность действий и интересов.
В силу сказанного важнейшими элементами личной безопасности в первую очередь являются информационная защита и выявление подозрительного интереса к предпринимателю.
Информационная защита включает:
• сокрытие предпринимателем, его семьей, ближайшим окружением информации, которая может принести ущерб предпринимателю;
• четкие инструкции родственникам ближайшего окружения о том, какие сведения им надо хранить в тайне;
• своевременное информирование бизнесмена родственниками и ближайшим окружением о всех фактах подозрительного интереса к нему, его бизнесу или к семье (такая обратная связь может быть организована и с помощью «горячей линии», то есть с помощью защищенного телефонного канала с известным номером, предназначенного именно для тревожных сообщений);
• организация через окружение дезинформации нужного толка.
Выявление подозрительного интереса к предпринимателю дело, конечно, непростое. Предприниматель сам должен анализировать и изучать степень угрожающей ему опасности. Первый необходимый и простой шаг — это учет всех сведений и фактов, являющихся, по его мнению, подозрительными.
В случае угроз или преследований имеет смысл записать угрозы на магнитофон, преследователя сфотографировать и т. д. В наше время для обеспечения безопасности, в том числе и личной, использование различных технических средств — совершенно обязательное условие. Сложность и объемность вопросов, связанных с соответствующей техникой, такова, что здесь их обсуждать хотя бы кратко нет возможности, нужно обратиться к специальной литературе, просто надо помнить об их существовании и подыскивать с помощью специалистов подходящие варианты.
При необходимости для защиты предпринимателя может использоваться личная охрана. Конечно, она не гарантирует благополучия (достаточно вспомнить гибель Дж. Ф. Кеннеди), но если учесть, что ее отсутствие гарантирует неблагополучие, то... В общем, надо обдумать этот вариант. Обязательное минимальное условие эффективности охраны — это комплексность охранных мероприятий, которые должны обеспечить безопасность:
• предпринимателя на работе, при передвижении и дома;
• семьи предпринимателя и его жилища;
• поступающей корреспонденции;
• информации о планах предпринимателя и т. д.
Безопасность на рабочем месте обеспечивается в первую очередь тем, что к бизнесмену допускаются только те лица, в которых он заинтересован, чьи документы проверены и в рабочее время. Во внерабочее время надо проявить дополнительную заботу о безопасности входа в кабинет (кодовый замок, переговорное устройство и т. д.).
Безопасность при передвижении достигается за счет наличия нескольких маршрутов (из которых случайным образом выбирается один для очередной поездки), отсутствия остановок и поддержания скорости движения (тут важна квалификация водителя), движение в группе и т. д.
Безопасность жилья (первый и последний этажи самые опасные) обеспечивается надежностью дверей, замков, решеток, наличием возможности безопасно определять, наблюдать и контролировать посетителей. Целесообразно подключиться к системе вневедомственной охраны, скооперироваться с соседями, ликвидировать свободный доступ в подъезд и на этаж.
Преступные действия могут осуществляться различным образом.
Непосредственное нападение при прямом контакте может быть пресечено охраной. Непосредственное нападение из засады во многом ограничивает предупредительные меры охраны по своевременному обнаружению и обезвреживанию преступника. Характерной особенностью непосредственного нападения является скоротечность событий. По-видимому, достаточно эффективной защитой является возможность сохранить движение и способность маневрировать.
Большую опасность для предпринимателя представляет такое преступное действие, как минирование.
Различают мины контактного подрыва, мины с часовым механизмом и мины, управляемые по радиоканалу. Весьма уязвимы для минирования транспортные средства, поэтому они требуют особого внимания.
Некоторые демаскирующие признаки минирования:
• следы ремонтных работ или участки поверхности с нарушенной окраской;
• выделяются участки свежевырытой или высохшей земли;
• натянутая проволока, шнур и т. д.;
• пустоты в стенах;
• остатки различных материалов, нетипичных для данного места;
• неожиданные посторонние предметы («потерянные» книги, зонтики, игрушки т. д.);
• подозрительное тиканье внутри предмета и др.
Действия в случае возникновения предположения о минировании:
• отойти в безопасное место по тому пути, которым пришли к подозрительному предмету;
• не допускать в опасное место людей;
• организовать наблюдение за подозрительным предметом;
• сообщить о находке в милицию.
Конечно, нельзя брать в руки подозрительный предмет, двигать его, подвергать механическим воздействиям.
Одной из разновидностей минирования являются почтовые отправления (письма, бандероли, посылки) с соответствующей начинкой (от заряда в 20 грамм просто для устрашения до заряда, способного разнести кое-что весьма солидное). Вопреки поговорке, дурное дело в наше время делается хитро, но некоторые демаскирующие признаки почтовых сообщений с сюрпризами в виде разнообразных мин известны:
• центр тяжести письма смещен;
• толщина письма более 3 мм, масса более 80 г;
• письмо упругое на ощупь, как резина;
• в упаковке пересыпается сыпучее вещество;
• на обертке есть жировые пятна;
• в упаковке прощупываются твердые предметы;
• почтовое отправление имеет необычный запах: миндаля, марципана, жженой пластмассы и т. д.;
• подозрительно, если упаковка особо тщательно заклеена, или имеется нестандартная, явно самодельная упаковка;
• послание от неизвестного лица, либо неразборчивый или явно вымышленный обратный адрес, гриф «лично в руки» и т. п. и ряд других признаков, которые в совокупности позволяют отнести данное послание к числу подозрительных.
Естественно, что такие отправления должны вскрывать специалисты в местах, предназначенных для подобных операций.
Чрезвычайно важным элементом личной безопасности бизнесмена является безопасность его детей. Воспитание иммунитета личной безопасности должно начинаться рано, вестись с чувством меры (без запугивания), доброжелательно и как бы случайно. Надо учитывать, что дети не любят формул «запрещено», «нельзя», «ты обязан» и т. д. Важно соблюдать постепенность в обучении, закрепить знания и навыки в игре.
Сейчас есть достаточно много литературы, посвященной безопасности детей, и если неоднократные упоминания специальной литературы подразумевали книги, которые адресованы специалистам, то книги о безопасности детей обязан прочитать просто каждый.
§ 4.6. Определение размера целесообразных затрат на обеспечение безопасности
Затраты на обеспечение безопасности обычно достаточно существенны (хотя такой элемент противодействия злоумышленникам, как привычка не болтать, ничего практически не стоит, если эта привычка выработана с раннего детства).
Кратко рассмотрим на качественном уровне возможный подход к определению размера целесообразных затрат на обеспечение безопасности бизнеса.
Допустим, что для каждой из возможных неприятностей известны размеры и величины ущерба, если никакое противодействие не предпринимается. Величины ущерба выписаны в первой строке матрицы (табл. 4.1).
Таблица 4.1. Платежная матрица производителя

Индекс ноль означает, что неприятность не произошла. В первой колонке этой матрицы стоят затраты на противодействие данной неприятности при разном уровне противодействия. Индекс ноль в этом случае означает, что никаких затрат не производится. Элементы матрицы — отрицательные величины, так как и неприятности, и противодействие связаны с расходом средств. Считается, что противодействие Пi
способно предотвратить все неприятности Hj
такие, что i ≥ j и совсем не способно уменьшить неприятность Hk
при i< k. В итоге величины затрат, элементы Дij
матрицы, определяются по простому правилу:

Уже первичный поверхностный анализ позволяет сделать некоторые полезные выводы. Пусть, например, финансовые возможности производителя ограничены, и он может организовать противодействие степени не больше, чем Пз
, в то время как ожидать надо неприятность степеней Н5
или Н6
(остальные практически исключены). Из матрицы на рисунке видно, что затраты на какое-либо противодействие лишь увеличат потери. Другой печальный вариант имеет место, если подрядчик нашего производителя готов выполнить работу лишь большого объема, высокой степени противодействия, скажем П5
или П6
, то есть достаточно дорогую работу. Если можно ожидать неприятность не более, чем степени Н2
то от бездействия ущерб будет меньше, чем от противодействия, которое доступно производителю. В том случае, когда у производителя есть возможность маневра, он обычно может выбирать и путь решения стоящей перед ним задачи.
Выбор способа минимизации затрат, связанных с данной неприятностью, зависит от того, какова исходная информация о различных степенях неприятности.
Если известно лишь, что неприятность может произойти, то имеем типичную игровую ситуацию. Самым осторожным решением, естественно, будет решение минимизировать максимальный ущерб (то есть выбор противодействия П6
для приведенного примера, так как minmaxDij
приводит к выбору: min {0; -5; -10;-15; -20; -35; -45}).
Если информации больше, то возможны другие игровые ситуации.
Когда из опыта, из предыстории, или на основе экспертных оценок известны вероятности наступления каждой из данных неприятностей, то задача становится статистической. В этом случае можно либо минимизировать математические ожидание неприятности, либо пойти на риск, минимизируя наиболее вероятную неприятность.
Первый подход означает, что, пользуясь несовместностью событий {Hk
} вычисляются величины

где 1 + N — общее число возможных неприятных ситуаций, Pi
— вероятность неприятности Hi
, i= О, 1, ..., N, номер k — это номер противодействия Пk
, которое выбрано для применения. Среди величин {Мk
}, k = 0, ... N, находится минимальное, чем и определяется искомый выбор противодействия.
Минимизация производителем математического ожидания проигрыша означает сочетание принципа гарантированного результата с усреднением «выигрыша». Такой подход целесообразен при многократном повторении ситуации или в том случае, когда принимается однократное единое решение сразу для многих объектов.
Второй подход можно применить, если для некоторого номера k будет

поскольку соответствующее этому номеру противодействие Пk
достаточно для всех степеней неприятности Hi
при i ≤ k, а остальные возможности — маловероятны.
Общий же вывод малоутешителен: экономить на безопасности опасно.
Глава
V
. Ведение спора
Данная тема посвящена важному и необходимому для менеджера навыку: умению аргументированно излагать свои мысли, проводить доказательные рассуждения. Вполне возможно, что приведенный на следующих страницах материал должен был бы открывать пособие, с тем чтобы читатель оказался лучше подготовлен к восприятию последующего текста (то есть воспринимал содержание критически). Поэтому тот, кто начал чтение книги с этих строк, вполне может дочитать данный раздел до конца.
§5.1. Основные понятия и положения
Прежде всего обсудим терминологию, основные понятия и некоторые общие положения, связанные с рассматриваемой темой
Когда речь идет о споре, то подразумевается, что имеет место столкновение мнений, наличие разногласий, несовпадение устремлений, и всё это выливается в обсуждение (словесное). В идеальном случае (который совсем не исключен в практике менеджера) спор — способ выяснения истины, а не средство отстаивания своей точки зрения. Правда, известно и другое мнение: «Спор — это лучший способ укрепить оппонента в его заблуждении».
Основным элементом такой формы разрешения проблемы, как спор, является доказательство. Доказательство — это логическое рассуждение, в процессе которого подтверждается или опровергается истинность какой-либо мысли с помощью других мыслей, истинность которых уже доказана или очевидна. Доказательство отличается от умозаключения. В умозаключении из данных посылок выводится заключение; в доказательстве подбираются посылки, которые подтверждают или опровергают выдвинутое положение. В умозаключении заранее исходят из истинности посылок и следят только за правильностью логической связи их терминов; в доказательстве подвергаются логической проверке не только связи, но и истинность самих посылок.
Исходя из приведенного определения доказательства, отражающего его сущность, нужно отметить два важных момента:
• какой должна быть по содержанию истинная мысль, которую надо взять в качестве посылки как исходную, в каждом конкретном случае определяется специальными науками; логика же определяет, какова должна быть мысль по форме (общее, частное, единичное суждение), какие использовать формы связи и отношения между известными истинными мыслями;
• доказывающие мысли сами нуждаются в доказательстве, они должны выводиться из других истинных доказанных мыслей и т, д. Поскольку процесс обоснования аргументов должен быть конечным, постольку предполагается существование таких истин, которые в данном конкретном доказательстве не нуждаются в особом обосновании (эти истины должны быть выявлены и явно объявлены).
В доказательстве различают три части: доказываемый тезис, аргументы и доказательное рассуждение.
Тезис — это суждение, которое требуется доказать. Тезис — это та мысль, для обоснования истинности или ложности которой строится доказательство.
Выявить тезис, спорную мысль — это первое, что должен сделать квалифицированный (и даже неквалифицированный) спорщик. Для этого надо, во-первых, быть уверенным в том, что все слова и выражения нам понятны, и в случае необходимости определить слово или понятие (взяв готовое определение или сконструировав совместно с оппонентом новое). Во-вторых, надо узнать: об отдельном объекте идет речь или обо всем классе данных объектов, или о какой-то части класса данных объектов (выяснить суждение по количеству). Иногда еще надо выяснить, всегда ли свойственен объекту тот признак, который ему приписывается. В-третьих, надо установить, считаем ли мы тезис несомненно истинным (ложным) суждением или возможным, условным суждением.
Итак, тезис должен быть суждением четким и точно определенным по своему содержанию. Уяснение тезиса ведется в трех направлениях: установление точного смыслового содержания понятий в составе доказываемого положения; выявление объема понятий, входящих в тезис; установление характера тезиса (представлен ли он суждением необходимости, действительности или только вероятности).
Очень важно, чтобы тезис был выражен как можно проще и по возможности кратко. Надо избегать споров из-за таких тезисов, которые недоказуемы (споры о мотивах поступков, например, «Чужая душа — потёмки»), споров из-за пустяков («из-за выеденного яйца»), споров из-за мелких второстепенных вопросов при наличии серьезных и важных проблем. Наконец, тезис должен быть постоянным и однозначным в процессе доказательства, не должен быть внутренне противоречив, не должен противоречить ранее высказанным суждениям по данному вопросу.
Аргументы — это доказывающие мысли, высказывания, которые обосновывают наше утверждение. Они должны быть достоверными и достаточными, из них с необходимостью должно следовать доказываемое положение. Основанием доказательства могут служить факты, законы науки, аксиомы, документальные свидетельства. Аргументы должны быть объективно истинными и достаточно полными. Аргументы, приводимые в подтверждение тезиса, не должны противоречить друг другу. Наши доводы должны быть такими, чтобы из них вытекала истинность тезиса. Тезис и доводы должны быть связаны так, чтобы наш собеседник, признав истинность довода, должен был бы с необходимостью признать и верность тезиса.
Под доказательным рассуждением (демонстрацией) понимают совокупность умозаключений, необходимых для логического выведения тезиса из основания, сам процесс доказательства. Доказывающее рассуждение должно быть последовательным, логически стройным и убедительным, непротиворечивым. Конечно, нельзя и переусердствовать с доказательными рассуждениями: есть очевидные истины. Если связь довода и тезиса сразу не видна, то надо уметь показать ее наличие — это одна из задач доказательного рассуждения.
Теперь можно обсудить некоторые общие положения, связанные со спором.
Отправной точкой спора является установление пунктов разногласия. Затем надо четко определить цель и тему спора, а также — что такое «хорошо» и что такое «плохо». Для спора нужен общий язык, понятия должны быть точно, одинаково и однозначно определены. Надо договориться о том, что принимается без доказательств. Спор надо вести в виде утверждений (тезисы и аргументы), которые нелишне фиксировать каким-либо доступным способом.
Надо уяснить, из-за чего идет спор: из-за тезиса или из-за доводов.
Спор из-за тезиса — это спор о том, является данная мысль верной или нет. Спор из-за доводов — это спор о том, насколько верно само доказательство. Цель этого спора в том, чтобы продемонстрировать противнику неверность его аргументов. Надо помнить, что опровержение доказательства еще не делает тезис неверным, ложным. Опровержение доказательства делает тезис сомнительным, недоказанным, но не более.
При выяснении вопроса, из-за чего идет спор, может оказаться, что разногласие между нами и оппонентом лежит в вопросах более общих и глубоких, чем тот, который привел к данному спору. В таком случае обсуждение данного вторичного вопроса, скорее всего, кончится ничем.
Еще до начала спора надо быть готовым к встрече с двумя принципиальными трудностями. Во-первых, одной из самых серьезных преград является неумение многих людей слушать и слышать другого человека. Во-вторых, «каждому кажется, что он говорит понятно». Увы, далеко не всегда ваш собеседник так же умен, как вы (иногда, даже часто, он умнее вас, именно поэтому ищет в ваших словах больше, чем вы в них вложили, и, не найдя, не может понять, что же вы хотите сказать).
Конечно, в споре надо уметь «смотреть на шаг вперед», нужно проявлять определенную дальновидность и осмотрительность. Смотреть на шаг вперед очень не просто, особенно в скоротечном устном споре, но такое умение — необходимость...
Наконец, чтобы спор не превратился в пустой разговор ни о чем, можно время от времени задавать самому себе и оппоненту простые контрольные вопросы:
Что обсуждается?
О чем спрашивают?
Что утверждают?
Что предлагают?
Как предлагают действовать?
Часто в менеджменте доказательство — это счет. Эти слова означают: обоснование должно идти не на основе малосодержательных рассуждений, а на базе осознанных расчетов, так как достаточно часто то, что кажется очевидным на первый взгляд, на самом деле является неверным. Поясним сказанное простым примером.
На рис.5.1 изображен квадрат, сторона которого равна единице. Для будущего менеджера, конечно, не составит труда посчитать, что длина диагонали этого квадрата равна√2. Пусть вдоль этой диагонали идет лестница, образующие которой параллельны сторонам квадрата. На среднем рисунке, где мало ступенек, максимальное отклонение лестницы от диагонали (оно показано стрелочками) достаточно велико. Если мне по каким-то причинам это не нравится

Рис 5.1. Определение длины ковровой дорожки
то я могу нарисовать побольше ступенек (правый рисунок) и уменьшить максимальное отклонение лестницы от диагонали. Увеличивая число ступенек, можно «приблизить» лестницу к диагонали, сделать отклонение лестницы от диагонали сколь угодно малым. Возникает вопрос: какой длины ковровую дорожку нужно будет постелить на лестницу «в конце концов», то есть при «очень большом» числе ступенек?
И последнее: иногда лучший путь к победе в споре — это уход от него.
§ 5.2. Проведение доказательства
Как уже говорилось, прежде всего необходимо выяснить, как понимает наш оппонент спорный тезис.
Далее. Довольно часто камнем преткновения является определение терминов и понятий. Надо иметь в виду, что точные и бесспорные определения возможны далеко не всегда, поэтому стремиться надо не к безукоризненному определению, а к такому, которое достаточно для данного спора. В противном случае дело сведется к спору из-за слов и определений. Иногда лучше поступиться своим определением или заменить спорное слово другим, более подходящим.
Выбор доводов во многом зависит от задачи, которую мы стараемся решить, включаясь в спор. Для проверки истинности мысли мы выбираем доводы, которые сильны с нашей точки зрения. Для убеждения противника используем доводы, которые должны показаться сильными нашему оппоненту. Для победы над противником подыскиваем доводы, которые должны поставить его в трудное положение. Для убеждения слушателей ищем доводы, которые адресуются не столько к оппоненту, сколько к слушателям (часто обращаемся к его чувствам, причем нередко к тем, которые напрямую связаны с его кошельком).
Каждую мысль надо излагать в отдельности. Подробности и второстепенные утверждения лучше опускать, чтобы не затемнять главного. Большим недостатком (особенно в устном споре) является быстрая смена мыслей, сложность мыслей или связей между ними. Конечно, надо следить за своей речью, люди должны успевать понимать ее. Хорошо, если каждая мысль низведена к своему житейски близкому первоисточнику.
Из сильного довода надо постараться извлечь максимум пользы, слабых доводов лучше не приводить (их можно лишь упомянуть вскользь, чтобы показать, что у нас есть, что еще сказать, но этот довод — второстепенный, и мы не придаем ему большого значения (тогда из-за него можно не спорить). Не следует останавливаться на доводе дольше, чем нужно.
Что касается доводов противника, то прежде всего надо уметь их выслушивать! Если доводов несколько, то их надо расчленить, выяснить содержание и смысл каждого. Иногда этого хватает для того, чтобы оппонент отказался от каких-то своих слов. Не забывайте, что для опровержения тезиса противника необходимо опровергнуть все его доводы, а не какую-то их часть.
Рассматривая доводы противника, нужно убедиться в том, что:
а) довод является истинным;
б) довод действительно противоречит нашему утверждению и
несовместим с ним.
Часто проверяется только первое, в то время как истинный довод вполне возможно не опровергает нашего тезиса. Иногда бывает, что довод противника работает против него самого, так что будьте внимательны к ним.
Теперь рассмотрим несколько иной круг вопросов, связанных с проведением доказательства.
По способу аргументации доказательства делятся на прямые (выведение из основания истинности или ложности тезиса) и косвенные (обосновывается истинность или ложность антитезиса — утверждения, противоречащего тезису).
Логические правила доказательства делятся на три группы соответственно составным элементам доказательства. Это правила относительно тезиса, аргументов, доказательного рассуждения.
Подтвердить тезис можно несколькими способами. Можно вывести тезис из установленной истинности аргументов. Можно воспользоваться методом полной индукции, то есть проанализировать все возможные варианты. Можно подтвердить тезис, воспользовавшись схемой: либо S1
, либо S2
, либо Sз
есть P; S1
и S2
не есть Р, следовательно, Sз
есть Р. Ясно, что все альтернативы последнего способа должны быть строго разделительными, а их список — полным.
Можно воспользоваться косвенным доказательством. При косвенном доказательстве бывает удобен закон средневекового монаха и логика Клавдия: если из предположения о ложности утверждения вытекает его истинность, то утверждение истинно.
Косвенное доказательство применимо и тогда, когда вариантов больше двух и известно, что ни одна из двух рассматриваемых величин не превосходит другую (то есть доказать, что одновременно a ≤ b и b ≤ а), получив тем самым доказательство их равенства. Этот способ может быть удобен для локализации какой-либо величины или даты на определенном интервале.
Опровергнуть тезис можно также несколькими способами. Можно опровергнуть тезис, разрушив выставленное основание фактами, законами науки или продемонстрировав отсутствие необходимой связи между тезисом и выдвинутым основанием (то есть аргументами). Можно опровергнуть тезис через опровержение вывода, то есть идти от отрицания следствия к отрицанию основания, доказав ложность следствия. Можно построить опровержение по схеме: либо S1
либо S2
, либо S3
есть Р; S1
есть P; следовательно, ни S2
, ни S3
не есть Р. Можно, наконец, опровергнуть тезис косвенным путем, доказав истинность антитезиса, противоречащего тезису.
В практике менеджера нередко возникают ситуации, когда надо установить наличие причинной связи между явлениями, проверить, имеется ли таковая. Есть определенные рекомендации и для таких случаев.
Перечислим некоторые методы установления причинных связей.

Надо иметь в виду, что перечисленные методы (как и другие методы выявления причинной связи) дают, особенно на первых порах, лишь более или менее достоверный результат, носят вероятностный характер (недаром во всех выводах присутствовало слово «видимо»).
Важно помнить о простых формальных требованиях к доказательным рассуждениям, среди которых, в первую очередь, надо назвать следующие. Независимо от того, о чем идет речь, нельзя что-то одновременно утверждать и отрицать. Нельзя принимать некоторое утверждение, не принимая всего, что вытекает из него. Невозможное не является возможным, доказанное — сомнительным, обязательное — запрещенным. Надо правильно самим ставить вопрос, и вам должны правильно ставить вопрос. Дело в том, что вопрос (явно или неявно) опирается на определенное исходное знание, выступающее предпосылкой вопроса. Правильно поставленным считается вопрос, предпосылка которого представляет собою истинное и непротиворечивое знание.
Проводя доказательства, помните, что не могут быть истинными следующие типы простых суждений, взятые одновременно, в одном и том же отношении:
Данное А не есть В. Все А есть В.
Данное А есть В.
Ни одно А не есть В.
Некоторые А не есть В. Некоторые А есть В.
Интересно то, что оба суждения этого пункта могут быть ложными.
Все А есть В.
Ни одно А не есть В.
Но будьте разумны: нет никакого противоречия в русской пословице «Как работать, мы — мальчики, а как есть — мужики».
Надо аккуратно обращаться с высказываемыми суждениями, операции с ними подчиняются определенным правилам. Перечислим основные из них, считая исходные суждения истинными. Для облегчения понимания этих правил можно сделать соответствующие рисунки.
Суждение «Все А есть В» должно переходить в суждение «Некоторые В есть Л» и только иногда, при совпадении объемов А и В, может переходить в суждение «Все В есть А» (рис. 5.2).

Рис. 5.2. Соотношение между объектами в суждениях
Суждение «Некоторые А есть В» должно переходить в суждение «Некоторые В есть Л» или, иногда, в суждение «Все В есть Л». С помощью нужных рисунков, аналогичных рис. 5.2, вы это легко увидите.

Далее нам потребуется еще одно обозначение: запись не-В будет означать отрицание В. Для краткости остальные возможные случаи представим схематично.
Исходное суждение
Преобразованное суждение
«Все А и только А есть В» «Все В есть A»
«Некоторые А и только А есть В» «Все В есть A»
«Ни одно А не есть В» «Ни одно B не есть A»
«Все Aесть В» «Ни одно A не есть не-В»
«Все A не есть В» «Все A есть не-В»
«Некоторые A есть В» «Некоторые A не есть не-В»
«Некоторые A не есть В» «Некоторые A есть не-В»
«Все A есть В» «Ни одно не-В не есть A»
«Ни одно A не есть В» «Некоторые не-В есть A»
«Некоторые A не есть В» «Некоторые не-В есть A»
Для понимания перехода от данного исходного суждения к преобразованному надо нарисовать картинку, а для уяснения возможности использования приведенных правил читателю надо придумать несколько подходящих примеров.
Проводя доказательное рассуждение, мы используем цепочку суждений, каждое из которых может быть по объему общим (то есть относиться ко всему классу каких-то объектов) или частным (относиться лишь к какой-то доле объектов). Два суждения могут быть равнозначными, то есть выражать в разной форме одну и ту же мысль, или подчиненными, то есть такими, у которых объем одного (подчиненного) составляет часть объема другого (подчиняющего). Между суждениями есть определенное соотношение истинности и ложности.
В равнозначных суждениях истинность и ложность имеют место одновременно. Для подчиненных суждений ситуация сложнее.
Истинность подчиняющего общего суждения определяет истинность подчиненного частного суждения. Ложность общего суждения оставляет частное суждение неопределенным. Ложность частного суждения влечет ложность подчиняющего общего суждения, истинность частного суждения оставляет общее суждение неопределенным.
Надо также обратить внимание на противоположные и противоречащие суждения. Противоположные высказывания противопоставляют крайние точки какой-то шкалы (черный — белый), а противоречащие высказывания противопоставляют некоторое утверждение и его отрицание (синий — не синий).
Если противоположные суждения являются общими, то есть относятся ко всему классу объектов, то истинность одного из них предопределяет ложность другого, ложность одного такого суждения оставляет другое неопределенным. Оба противоположных высказывания могут быть одновременно неверными и не могут быть одновременно истинными.
Если противоположные суждения — частные, то ложность одного такого суждения определяет истинность другого, в то время как истинность одного из таких суждений оставляет другое суждение неопределенным. Такой результат связан с тем, что два подобных суждения могут быть одновременно истинными и не могут быть одновременно ложными.
С противоречащими суждениями ситуация проще. Два противоречащих высказывания не могут быть одновременно истинными и ложными, из двух противоречащих высказываний одно обязательно верно. Истинность одного из противоречащих высказываний влечет ложность другого.
Слова о «неопределенности» суждений означают, что надо рассматривать конкретную ситуацию отдельно, проводить достаточно глубокий содержательный анализ.
При использовании в качестве довода мнения авторитета надо, во-первых, быть уверенным, что данное мнение принадлежит человеку, который является специалистом именно в данном вопросе, а не просто известным человеком. Во-вторых, надо помнить, что такой аргумент, как ссылка на авторитет, является не абсолютным, а лишь более или менее достоверным доводом.
Очень важно, чтобы приводимые вами доводы были верными не только с вашей точки зрения, но и по мнению вашего противника. Ведя спор, помните о логических законах мышления (закон тождества, закон противоречия, закон исключенного третьего, закон достаточного основания), а также о границах применимости каждого закона и каждого высказанного утверждения. Аккуратно формируйте понятия и суждения: они являются теми кирпичиками, из которых вы строите дом. В споре оружием являются дедуктивное и индуктивное умозаключения, аналогия, доказательства. Не забывайте находить изъяны в рассуждениях противника, но и не увлекайтесь этим, постарайтесь посмотреть на вещи с точки зрения вашего собеседника, относитесь сочувственно к его мыслям и желаниям.
Ваши умозаключения, конечно, в какой-то степени должны воздействовать и на чувства собеседника, но не опускайтесь до уровня эмоций. Помните, что важно не только высказать правильное суждение, но и умело его преподнести. С этой целью можно взять на вооружение слова Честерфильда: «Никогда не доказывай своего мнения громко и с жаром, даже если в душе ты убежден в своей правоте и твердо знаешь, что иначе и быть не может, — выскажи его скромно и спокойно, ибо это единственный способ убедить; если же тебе не удается это сделать, попытайся попросту перевести разговор на другую тему...».
В вашем арсенале обязательно должны быть хладнокровие и самообладание. Ваше спокойствие, возможно, благотворно подействует на вашего оппонента, и спор пойдет в более деловом тоне. Но демонстрировать надо именно спокойствие, а не подчеркнутую холодность превосходства, которое лишь в виде великого одолжения снизошло до разговора.
В споре важны некоторые чисто тактические моменты.
По возможности надо держать в памяти общую картину спора, понимая, в каком состоянии находится спор, что уже сделано, для чего делается очередной шаг. Нельзя упускать из вида тезис. Очень плохо, если спор просто идет от довода к доводу.
Если в ответ на довод оппонента сразу не находится должного возражения, то этот довод можно объявить принимаемым лишь условно, тотчас попросив оппонента продемонстрировать, как его довод связан с тезисом.
С самого начала спора старайтесь придерживаться дружелюбного тона с вашим оппонентом, пусть большую часть времени говорит он. Пусть ваш собеседник считает, что данная мысль принадлежит ему. Ведя спор, апеллируйте к благородным, а не низменным качествам вашего собеседника.
Не забывайте, что вы можете быть не правы. Поэтому и тактически, и психологически целесообразно не говорить противнику напрямик о том, что считаете его мнение неверным. Если вы не правы, быстро признайте это.
Конечно, для понимания изложенного материала необходимо рассмотреть побольше примеров. Здесь они не приводятся, потому что сейчас издано достаточно много учебников и задачников по курсу формальной логики, в которых есть и примеры, и упражнения.
§ 5.3. Ошибки в доказательстве
Я не могу быть не права в своем мнении, потому что я в нем уверена». Эти замечательные слова из письма в редакцию газеты можно было бы взять в качестве эпиграфа не только к данному разделу, но и ко всей теме. Но поговорим об ошибках в доказательствах серьезно... Как и правила доказательства (и соответственно им), ошибки в доказательстве делятся на три группы: ошибки относительно тезиса, ошибки в аргументах, ошибки в рассуждениях.
Ошибки относительно тезиса возникают, когда, несмотря на истинность основания и логическую правильность рассуждения, заключение не совпадает с выдвинутым тезисом.
Можно указать два вида ошибок такого рода: потеря или подмена тезиса; опровержение тезиса через опровержение аргументации. Потеря тезиса означает отклонение от первоначального тезиса, переход к какому-либо частному, производному вопросу или к рассуждениям «вообще». Подмена тезиса состоит в переходе к доказательству совсем другого тезиса, отличного от первоначального, но зачастую на него похожего. Вторая ошибка относительно тезиса — опровержение тезиса через опровержение демонстрации — состоит в том, что опровержение доводов еще не опровергает тезис, неверная аргументация делает тезис сомнительным, но не ложным.
Частой ошибкой бывает ошибка чрезмерного доказательства, когда доказывается слишком много, настолько много, что из данных посылок следует не только доказываемый тезис, но и какое-то ложное положение.
Ошибки в аргументах доказательства имеют несколько разновидностей, каждая из них получила свое собственное название.
Ошибка ложности основания состоит в выборе заведомо ложного исходного положения. Иногда такая ошибка — результат добросовестного заблуждения, иногда — преднамеренная попытка обмана.
Ошибка недостаточности аргументов состоит в отсутствии логической связи между выдвинутым основанием и тезисом. Часто эту ошибку допускают потому, что истинное лишь в определенных условиях считают истинным вообще. Бывает, что аргументы сами по себе верны, но не являются достаточными для обоснования тезиса. Ограничение умозаключений доказательством лишь необходимых условий без доказательства выполнимости достаточных условий — достаточно распространенная ошибка. Если допущена такая ошибка, утверждение остается потенциально справедливым, но не доказанным. Следствием этой ошибки может быть то, что даже при выполнении необходимых условий, утверждение может оказаться неверным.
Нередко встречаются и такие ошибки, как ложный довод (используется явно неверная мысль или аргумент) и произвольный довод (используется довод, который либо не относится к данному случаю, либо сам еще нуждается в доказательстве).
Ошибка предвосхищения основания получается, когда в качестве аргумента берется положение, которое само нуждается в доказательстве. Истинность довода при этом как бы предвосхищается.
Иногда, используя косвенное доказательство, рассматривают не все возможности. В таком случае опровержение лишь рассмотренных вариантов не влечет опровержения тезиса.
Круг в доказательстве — ошибка, состоящая в том, что тезис выводится из посылок, которые в свою очередь выводятся из тезиса. В итоге получается порочный круг, который не доказывает ни тезиса, ни посылок.
Назовем и такие распространенные ошибки, как аргументация к человеку и аргументация к публике. В первом случае вместо обоснования истинности или ложности тезиса с помощью объективных аргументов все пытаются свести к положительной или отрицательной характеристике личности человека, утверждение которого поддерживается или оспаривается. Во втором случае вместо правильного обоснования истинности или ложности выдвинутого тезиса пытаются все свести к воздействию на чувства людей, не дать слушателям спокойно составить объективное мнение о предмете обсуждения.
Ошибка поспешного обобщения состоит в том, что некоторое свойство, обнаруженное у небольшой части объектов данного класса, переносится на весь класс только на том основании, что не встречалось объектов, у которых нет этого свойства.
Очень часто допускают ошибку, которая состоит в подмене условного, то есть того, что реализуется лишь при определенных условиях, безусловным (как сказал герой одной из интермедий Аркадия Райкина: «Я ее поцелую — пойдут дети...»).
Наконец, надо упомянуть ошибку смешения причинной связи с простой последовательностью, когда используют ошибочное правило «после этого — значит по причине этого».
Ряд ошибок являются типичными для таких умозаключений, как дилемма того или иного вида. Например, делают заключение о ложности следствия, исходя из ложности основания, или объявляют истинным основание, исходя из истинности следствия. В разделительно-категорическом умозаключении (А может быть В или С, А есть В, следовательно, А не есть С) иногда ошибочно употребляют «или» не в строго разделительном смысле или ошибочно производят неполное деление рода на виды.
Ошибки в демонстрации бывают следующими.
Ошибка мнимого следования — неспособность вывести доказываемый тезис из приведенного основания.
Прыжок в доказательстве — ошибка, возникающая в результате пропусков промежуточных звеньев в цепи умозаключений. При этом тезис высказывается непосредственно вслед за основанием, без выявления того, как он логически следует из этого основания.
Частая ошибка — путаница противоположного и противоречащего высказываний.
Нередко ошибки связаны с преобразованием суждений (правила преобразований приведены в предыдущем разделе). Такие ошибки могут возникать, когда дают трактовку документу или кратко формулируют в явном виде чужое пространное утверждение.
Наконец, часто бывают те ошибки в демонстрации, о которых говорилось выше в предыдущих разделах: употребление двусмысленных слов, переход от сказанного в относительном смысле к сказанному безотносительно, переход от смысла разделительного к смыслу собирательному и наоборот, а также ряд других, уже упоминавшихся ошибок.
§ 5.4. Уловки в споре
К уловкам в споре относят все, что должно облегчить ведение спора для одной из сторон и затруднить ведение спора для другой стороны (иногда, правда, считают уловками только то, что мешает нам).
Некоторые уловки являются, по сути, вполне позволительными тактическими приемами. Например, оттягивание возражения, то есть использование действий, которые прикрывают нашу неспособность сразу найти и привести нужное возражение. В качестве таких действий могут применяться дополнительные вопросы, ответы издалека и т. д. Также нет ничего предосудительного и в том, что на слабый довод противника оказывается особенно сильное давление.
Но некоторые действия можно смело квалифицировать как уловки в полном соответствии с приведенным выше определением. Подробно описать их все, конечно, невозможно, поэтому лишь коротко перечислим наиболее «популярные».
Прежде всего, назовем такую достаточно грубую и простую уловку, как срыв спора каким-либо образом. Достаточно часто противнику просто не дают говорить (перебивают, демонстрируют нежелание слушать его, используют слушателей-единомышленников в качестве шумового фона и т. д.). Обычно завершающим аккордом таких действий является выход из спора, с громогласным объявлением собственной безусловной победы.
Более серьезной и опасной является уловка, названная «призыв к полицейскому». Состоит она в том, что участник, проигрывающий спор, начинает говорить не о верности или ошибочности обсуждаемого тезиса, а об опасности самого тезиса или его следствий для государства, общества, человечества, любимой тещи и т. д. Таким образом, вместо делового спора начинается обсуждение вопроса с позиции «пользы или вреда». Цель таких аргументов — объявить себя победителем, зажав оппоненту рот.
Бывает, что подобная уловка используется не только для «победного» прекращения спора, но и для получения (хотя бы на словах) согласия оппонента со своим тезисом, для принуждения оппонента к отказу от его мнения («палочные доводы»). К сожалению, далеко не все начальники знают, что «опираться можно только на то, что оказывает сопротивление», и часто злоупотребляют палочными доводами, иногда даже в ущерб делу. Надо признать, что начальственные доводы почему-то всегда довольно убедительны... Специфические уловки появляются в том случае, когда спор идет в прессе. Обычно такой спор очень долог, трудно уследить за всеми публикациями, которые, как правило, появляются в разных изданиях, и т. д. Так что возможностей для искажений, ответов не по существу, передергивания и других подобных грехов предостаточно.
В качестве типичных уловок можно назвать следующие:
• отступление от задачи спора, умышленная неопределенность или запутанность речи, когда сразу не ясно, что же утверждается, подмена понятий;
• использование неоднозначности речи, подмена спора из-за тезиса спором из-за довода, подмена пункта разногласий, бездоказательное оценивание доводов оппонента;
• отступление от тезиса, когда сразу хватаются за другой тезис, не скрывая этого, расширение или сужение тезиса, усиление или смягчение оценочного звучания тезиса;
• произвольные, а то и нелепые доводы, а также умножение довода, когда один и тот же довод повторяется в разных словах, в разных формах и выдается за несколько доводов;
• если спор идет не из-за тезиса, а из-за доказательства, то возможная уловка нашего противника может состоять в том, что он перестает доказывать свой тезис, начинает опровергать наш или требует, чтобы мы доказали свой тезис («Критиковать легко... вы докажите свой тезис...» и т. д.);
• использование двойных стандартов, оценивание своих и чужих по-разному, использование своих или чужих принципов в зависимости от сиюсекундной выгодности того или другого из них, умышленное или неумышленное просеивание фактов;
• неполное опровержение, когда выискиваются слабые тезисы из числа выдвинутых, которые опровергаются, а объявляется о полном разгроме оппонента, требование дать однозначный ответ (да — нет) на вопрос, который не допускает такого ответа;
• такие мнимые доказательства, как тождесловие (когда в виде довода в пользу данного тезиса приводится этот же тезис, только выраженный другими словами), обращенное доказательство (когда достоверную мысль делают тезисом, а вероятную — доводом), использование довода, который еще сомнительнее тезиса;
• круг в доказательстве, отождествление опровергнутого довода с опровержением тезиса, умышленное отбрасывание условий и оговорок выдвинутого оппонентом тезиса или доводов (или умышленное добавление условий), игра на подразумевающихся условиях или оговорках, приписывание тезису заведомо неверного следствия (что с необходимостью опровергает тезис), которое из него не вытекает и т. д.
Не редкость такие психологические уловки, как:
• раздражение противника;
• выискивание (а зачастую, выдумывание) мотивов действий оппонента;
• отвлечение внимания от мысли, которую хотят провести без критики;
• безответственные необоснованные намеки на возможные грехи оппонента;
• переход от опровержения тезиса противника к его личности, перевод спора на противоречия между взглядами противника и его поступками;
• использование «ложного стыда», то есть проведение своего довода благодаря неосведомленности человека, в которой он не хочет признаваться;
• подслащенные доводы, лесть оппоненту;
• внушительный вид, уверенность в голосе, авторитетный тон (все это особенно хорошо действует на неподготовленных слушателей спора), использование промахов, описок и других подобных грехов противника;
• неправомерная ссылка на авторитеты (иногда на авторитеты совсем из другой области) или отрицание авторитетов (либо полное, либо по соображениям текущей выгоды), громогласные утверждения «...наука установила... все экономисты считают...» и т. д.;
• обращение оппонента не к разуму, а к чувствам, пропаганда ближайшей мелкой выгоды или вреда в пику разумному долгосрочному развитию, обращение вашего противника к крайнему, диаметрально противоположному варианту решения, которое по сравнению с предлагаемым им решением оказывается просто нелепым;
• использование проигрывающим такой психологической уловки, как объявление себя жертвой произвола;
• смешение правды и лжи, навешивание ярлыков без должного основания, политическое шельмование, моральный террор и т. д.
Трудно привести исчерпывающий список рецептов против уловок, поэтому ограничимся лишь скромным перечнем возможных мер.
Прежде всего, конечно, надо спорить лишь о том, что хорошо знаешь. Не надо спорить без нужды с «мошенником слова», забиякой, который поднаторел в словесных битвах и может буквально жонглировать словами (причем часто он только это и может делать, по существу спорного вопроса сказать ему нечего). У вас обязательно должны быть на вооружении хладнокровие, самообладание, выдержка. «Охватывайте» весь спор, не довольствуйтесь переходом от довода к доводу. Тщательно и отчетливо выясняйте тезис и доводы как противника, так и свои.
Следите за тем, чтобы каждое понятие, по возможности, выражалось одними и теми же словами. Можно даже повторять на свой лад фразы противника с тем, чтобы получить его согласие на вашу трактовку его мысли и тем самым предотвратить разночтение и последующие разногласия. Слова, имеющие разные значения, надо постараться заменить другими, однозначными словами, более определенными по смыслу, или даже целым точным выражением.
Разоблачить уловку очень трудно, поскольку надо доказать не только ошибочность действий и утверждений противника, но и факт сознательного использования непозволительного приема, что, зачастую, практически невозможно. Поэтому тактически целесообразно ограничиться указанием на ошибку в рассуждениях оппонента, этого достаточно для того, чтобы парировать его удар. Но если разоблачение уловки возможно, то практически всегда стоит и надо ее разоблачить.
Искусством правильного и результативного ведения спора можно овладеть только на практике. При этом надо иметь в виду, что для победы в споре нужно обладать достаточными знаниями и что, кроме споров, есть еще и работа, дело, результат которого, а не победа в споре, в конечном счете, является для нас главным.
|