Банк рефератов содержит более 364 тысяч рефератов, курсовых и дипломных работ, шпаргалок и докладов по различным дисциплинам: истории, психологии, экономике, менеджменту, философии, праву, экологии. А также изложения, сочинения по литературе, отчеты по практике, топики по английскому.
Полнотекстовый поиск
Всего работ:
364139
Теги названий
Разделы
Авиация и космонавтика (304)
Административное право (123)
Арбитражный процесс (23)
Архитектура (113)
Астрология (4)
Астрономия (4814)
Банковское дело (5227)
Безопасность жизнедеятельности (2616)
Биографии (3423)
Биология (4214)
Биология и химия (1518)
Биржевое дело (68)
Ботаника и сельское хоз-во (2836)
Бухгалтерский учет и аудит (8269)
Валютные отношения (50)
Ветеринария (50)
Военная кафедра (762)
ГДЗ (2)
География (5275)
Геодезия (30)
Геология (1222)
Геополитика (43)
Государство и право (20403)
Гражданское право и процесс (465)
Делопроизводство (19)
Деньги и кредит (108)
ЕГЭ (173)
Естествознание (96)
Журналистика (899)
ЗНО (54)
Зоология (34)
Издательское дело и полиграфия (476)
Инвестиции (106)
Иностранный язык (62791)
Информатика (3562)
Информатика, программирование (6444)
Исторические личности (2165)
История (21319)
История техники (766)
Кибернетика (64)
Коммуникации и связь (3145)
Компьютерные науки (60)
Косметология (17)
Краеведение и этнография (588)
Краткое содержание произведений (1000)
Криминалистика (106)
Криминология (48)
Криптология (3)
Кулинария (1167)
Культура и искусство (8485)
Культурология (537)
Литература : зарубежная (2044)
Литература и русский язык (11657)
Логика (532)
Логистика (21)
Маркетинг (7985)
Математика (3721)
Медицина, здоровье (10549)
Медицинские науки (88)
Международное публичное право (58)
Международное частное право (36)
Международные отношения (2257)
Менеджмент (12491)
Металлургия (91)
Москвоведение (797)
Музыка (1338)
Муниципальное право (24)
Налоги, налогообложение (214)
Наука и техника (1141)
Начертательная геометрия (3)
Оккультизм и уфология (8)
Остальные рефераты (21692)
Педагогика (7850)
Политология (3801)
Право (682)
Право, юриспруденция (2881)
Предпринимательство (475)
Прикладные науки (1)
Промышленность, производство (7100)
Психология (8692)
психология, педагогика (4121)
Радиоэлектроника (443)
Реклама (952)
Религия и мифология (2967)
Риторика (23)
Сексология (748)
Социология (4876)
Статистика (95)
Страхование (107)
Строительные науки (7)
Строительство (2004)
Схемотехника (15)
Таможенная система (663)
Теория государства и права (240)
Теория организации (39)
Теплотехника (25)
Технология (624)
Товароведение (16)
Транспорт (2652)
Трудовое право (136)
Туризм (90)
Уголовное право и процесс (406)
Управление (95)
Управленческие науки (24)
Физика (3462)
Физкультура и спорт (4482)
Философия (7216)
Финансовые науки (4592)
Финансы (5386)
Фотография (3)
Химия (2244)
Хозяйственное право (23)
Цифровые устройства (29)
Экологическое право (35)
Экология (4517)
Экономика (20644)
Экономико-математическое моделирование (666)
Экономическая география (119)
Экономическая теория (2573)
Этика (889)
Юриспруденция (288)
Языковедение (148)
Языкознание, филология (1140)

Реферат: Особенности линейного и весового роста товарного карпа при смешанной посадке в пруды

Название: Особенности линейного и весового роста товарного карпа при смешанной посадке в пруды
Раздел: Остальные рефераты
Тип: реферат Добавлен 22:39:53 15 февраля 2014 Похожие работы
Просмотров: 43 Комментариев: 13 Оценило: 0 человек Средний балл: 0 Оценка: неизвестно     Скачать

Особенности линейного и весового роста товарного карпа при смешанной посадке в пруды

Ю.Л. Волынкин

Белгородский государственный университет

Мониторинг средних значений морфофизиологических показателей: размер, масса, упитанность, коэффициент массонакопления, ожирение - используют для нормирования кормления карпа при смешанной посадке. Показано, что необходимым элементом технологии выращивания карпа является своевременное проведение лечебно-профилактического курса кормления против аэромоноза с помощью эффективных лечебных кормов, содержащих фурацилин или фуразолидон. Рецепты защищены изобретениями, способ применения лечебных кормов отражен в ветеринарном наставлении. При запоздании с проведением лечебно-профилактического кормления происходит замедление темпа роста карпа. Показано, что эффективность кормления и осенняя навеска карпа при разновозрастной посадке определяются размерами карпа при зарыблении; что рыбы в пруду разделяются на размерные группы, отличающиеся по физиологическому состоянию и ведущие обособленный образ жизни; что ожирение внутренностей отражает интенсивность потребления кормов и у крупных рыб всегда выше, чем у мелких.

В товарном рыбоводстве часто выращивают вместе карпов различного возраста и посадочной массы. В нагульном пруду Ураевского рыбхоза площадью 200 га эта схема входит в технологический процесс. Зарыбление пруда производится собственным посадочным материалом второго порядка, выращенным при плотных посадках в маленьких прудах до навески 80 - 150 г. Дополнительно используются крупные, навеской 40 г, двухлетки, выращенные в выростных прудах рыбхоза.

Методы исследования

С целью нормирования кормления и контроля над состоянием здоровья рыб проводятся ежедекадные обловы с определением среднего размера, средней навески, упитанности по Фультону [1], коэффициента массонакопления [2] и ожирения внутренностей [3]. Прудовые воды, грунт, рыба часто содержат условно-патогенных аэромонад, которые могут активизироваться в мае, при весеннем повышении температуры [4], поэтому обязательным технологическим элементом выращивания рыбы предусмотрено лечебно-профилактическое кормление лечебным комбикормом ЛКФ и ЛГК, которое предупреждает развитие заболевания аэромонозом [5]. Эти корма, включающие препараты фурацилин и фуразолидон в эффективных дозировках, изготавливаются на ОАО «Белтрейд» в г. Шебекино, согласно запатентованному рецепту [6]. Кормление при аэромонозе производится в мае с появлением первых признаков болезни - в соответствии с действующим в Белгородской области ветеринарным наставлением [7, 8].

Результаты исследования

При первом контрольном облове выясняется, что карпы в пруду разделяются на три большие, хорошо разграниченные размерно-весовые группы:«крупные»,«средние» и «мелкие». Традиционно более половины продукции товарного карпа приходится на группу карпа «средние» и примерно по 15-20% - на две остальные размерные группы. При сравнении результатов выращивания по годам выясняется, что при близком видовом и количественном составе зарыбления и одинаковой технике нормирования кормления, удобрения и охраны пруда результаты по средней навеске карпа (и по результатам выращивания в целом) существенно различаются, и это не связано с климатическими особенностями года (табл.).

Средние сезонные морфофизиологические показатели товарного карпа (Нагульный пруд, ЗАО «Рыбхоз Ураевский»)

Условия

Размерная

Годы

и показатели

группа

2002

2003

2004

Крупные

110,0

170,0

150,0

Масса при зарыблении, г

Средние

69,0

80,0

85,6

Мелкие

18,8

40,0

40,0

Температура воды, оС

22,4

20,5

20,0

Навеска при облове, г

450

380

600

Крупные

3,68

3,87

3,21

Упитанность

Средние

3,76

3,91

3,27

Мелкие

3,87

3,88

3,04

Коэффициент

массонакопления

Крупные

Средние

0,124

0,114

0,109

0,113

0,100

0,102

Мелкие

0,112

0,087

0,143

Крупные

2,2

1,9

1,9

Ожирение, балл

Средние

1,9

1,7

1,5

Мелкие

1,5

1,3

1,0

В самом теплом, 2002 году удовлетворительный результат по навеске карпа достигается при средних величинах упитанности и наибольших значениях коэффициента массонакопления и ожирения внутренностей. Профилактическое кормление против аэромоноза проведено в ранние сроки, в мае, при этом обострения заболевания не наблюдали. Сравнительно высокая температура позволила за счет интенсивного кормления в жаркое время добиться удовлетворительного роста карпов группы «мелкие».

В 2003 году получены самые плохие рыбоводные результаты. Профилактическое кормление лечебным комбикормом ЛГК провели по независящим от хозяйства причинам с задержкой, в начале июня. При этом среднесезонный показатель упитанности по всем трем группам рыб оказался значительно повышенным. Это отражает превалирование темпа весового роста над скоростью линейного роста в целом.

В 2004 году получены наилучшие рыбоводные результаты при наименьшей упитанности и наименьшем ожирении внутренностей карпа, что отражает активный линейный рост и хорошее качество кормов, использованных в этом сезоне. Профилактическое кормление ЛГК провели в оптимальные сроки. Несовпадение высокого темпа роста карпа группы «крупные» и пониженного среднесезонного коэффициента массонакопления объясняется тем, что наиболее крупные стаи карпа в августе, особенно в прохладные годы, к которым относится 2004 год, отходят от берега и не попадают в обзор при контрольных обловах. Нормирование кормления в таких случаях производится по данным роста группы «мелкие». Они составляют основу контрольного облова в августе, отличаются высоким коэффициентом массонакопления, который достигается при пониженном ожирении внутренностей - то есть хорошо растут.

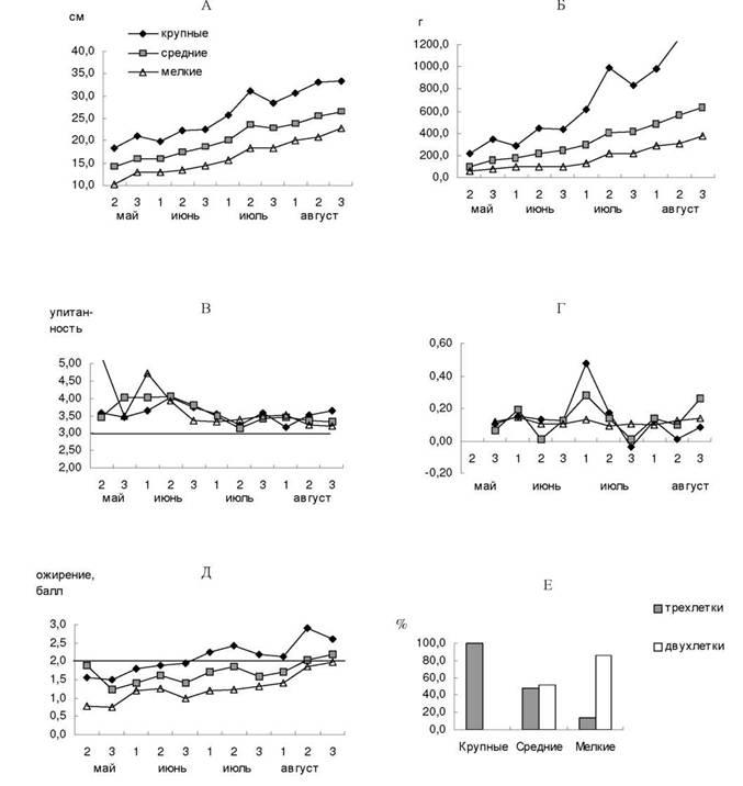
Динамика исследованных морфофизиологических показателей в трех размерно-весовых группах существенно отличается, темп линейного роста и весового роста товарной рыбы во многом определяется навеской рыбы при зарыблении (рис., А, Б).

Максимальная упитанность при наименьшем ожирении внутренностей во второй декаде мая и в первой декаде июня наблюдается у карпов группы «мелкие». Очевидно, это связано с отсутствием у них линейного роста (рис., В, Д): мелкие рыбы не способны к линейному росту при низкой температуре воды. Для групп «средние» и «крупные» повышенный уровень упитанности отмечается в мае и в первой и второй декадах июня. Это обусловлено преобладанием темпа весового роста над скоростью линейного роста, что характерно для начала рыбоводного сезона. Коэффициенты массонакопления в трех группах карпа, вычисленные по результатам изучения средней навески, находятся на среднем уровне (рис., Г).

Морфофизиологические показатели товарного карпа в группах «крупные», «средние» и «мелкие»

(Нагульный пруд, 2002 - 2004 гг.):

А - размер, Б - масса, В - упитанность, Г - коэффициент массонакопления,

Д - ожирение внутренностей, Е - возрастной состав групп

В третьей декаде июня увеличивается скорость линейного роста, что сопровождается уменьшением коэффициента упитанности в трех группах и понижением показателя ожирения у «средних» и «мелких» рыб. Это сигнализирует о возможном недокорме «средних» и «мелких» карпов. В последующем уровень коэффициента упитанности существенно снижается и остается пониженным до конца сезона. Можно констатировать хороший линейный рост и адекватность кормления в целом. Ожирение внутренностей с конца июня начинает постепенно возрастать.

Уровень ожирения и его сезонный ход в группах рыб адекватен их названию. Резкое увеличение уровня кормления в первой и второй декадах июля приводит к снижению упитанности в группах «крупные» и «средние», к увеличению темпа линейного и весового роста с преобладанием линейного, к достижению максимальных значений коэффициентов массонакопления. При этом в наибольшей степени коэффициент массонакопления возрастает у крупных рыб, затем у средних и в меньшей степени - только у мелких карпов. Иными словами, более крупные рыбы при благоприятных условиях растут быстрее, чем мелкие, - пропорционально массе рыб. Показатель массонакопления у карпов группы «мелкие» в течение сезона находится на низком уровне и изменяется в меньшей степени.

В третьей декаде июля происходит снижение темпа линейного и весового роста в группах «крупные» и «средние», при этом возрастает упитанность, понижаются ожирение и коэффициент массонакопления. Это может быть связано со снижением (вынужденным) уровня кормления перед началом уборки урожая.

Но уже с первой декады августа линейный и весовой рост карпа восстанавливаются, упитанность не возрастает, уровень ожирения внутренностей повышается умеренно, а у крупных рыб возрастает выше нормы, что объясняется перекормом, так как эти рыбы питаются первыми до насыщения.

Изучение возрастного состава (рис., Е) показывает, что группа карпа «крупные» целиком состоит из трехлетних рыб, группа карпа «средние» на 52,0% представлена двухлетками и на 48,0% - трехлетками. В группе карпа «мелкие» преобладают двухлетки - 85,7%. Однако часть рыб - 14,3% представлена тугорослыми трехлетними рыбами.

Заключение

Исходя из приведенных и большого количества других, имеющихся в нашем распоряжении рыбоводных и морфофизиологических данных, можно считать установленным, что при смешанной посадке:

темп роста и эффективность использования кормов на рост определяются навеской рыбопосадочного материала;

рыбы в пруду разделяются на группы, ведущие обособленный образ жизни, по размеру, а не по возрасту;

более крупные рыбы быстрее мелких реагируют на хорошие условия среды и кормления увеличением линейного и весового роста и коэффициента массонакопления;

повышенная упитанность отражает замедление темпа линейного роста в сравнении со скоростью весового роста;

уровень ожирения внутренностей в пределах от 2,0 до 1,0 балла - оптимальный для линейного и весового роста карпа; ожирение крупных карпов всегда выше, чем у мелких, что связано с увеличенным потреблением крупными рыбами кормов вследствие «эффекта доминантности» при кормлении.

Можно утверждать о различиях физиологического состояния (по упитанности, скорости массонакопления, ожирению внутренностей) в трех размерно-весовых группах, а также предположить об их образе жизни - раздельном во времени и пространстве пруда. По крайней мере рассматриваемые группы рыб в разное время подходят к кормовым местам, что накладывает отпечаток на результаты контрольного облова.

Эти закономерности можно использовать для оперативного мониторинга роста карпа с целью нормирования кормления.

Список литературы

Инструкция по физиолого-биохимическим анализам рыбы / В.В. Лиманский, А.А. Яржомбек, Е.Н. Бекина, С.Б. Андроников. - М., 1984. - 59 с.

Выращивание карпа в прудах (кормление) / М.А. Щербина, А.Ю. Киселев, А.Е. Касаткина. - Минск: Ураджай. - 1992. - 136 с.

Инструкция по производству биологических работ и первичной обработке данных на судах Запрыбпромразведки. - Калининград, 1977. - 200 с.

Юхименко Л.Н. Проблема аэромоноза: итоги исследования // Болезни рыб: сб. науч. тр. ФГУП ВНИИПРХ. - 2004. - Вып. 79. - С. 206-215.

Волынкин Ю.Л. О стадиях развития аэромоноза карпа // Рыбное хозяйство. - 2005. - № 2. - С. 87 88.

А61К2281768 РФ С2. Лечебный корм для рыб. Волынкин Ю.Л. - № 20044109902/13; Заявл. 15. 31.03.2004 // Бюл. изобр. - 2006. - № 23. - С. 244.

Волынкин Ю.Л. Временные рекомендации по профилактике и лечению зимних форм краснухи рыбопосадочного материала и ремонтно-маточного поголовья карпа и растительноядных рыб // Ветеринарный отдел с Госуд. ветеринарной инспекцией Белгородского облисполкома, № 3 - 1 от 15 января 1992 г.. - 2 с.

Волынкин Ю.Л. Временное наставление по применению гранулированного комбикорма ЛГК против аэромоноза и псевдосоноза рыб // Ветер. отдел с Госветинспекцией управления сельского хозяйства администрации Белгородской области. - № 27 от 28 января 2002 г. - 2 с.

Оценить/Добавить комментарий
Имя
Оценка
Комментарии:
Хватит париться. На сайте FAST-REFERAT.RU вам сделают любой реферат, курсовую или дипломную. Сам пользуюсь, и вам советую!
Никита02:31:35 06 ноября 2021
.
.02:31:34 06 ноября 2021
.
.02:31:32 06 ноября 2021
.
.02:31:31 06 ноября 2021
.
.02:31:29 06 ноября 2021

Смотреть все комментарии (13)
Работы, похожие на Реферат: Особенности линейного и весового роста товарного карпа при смешанной посадке в пруды

Назад
Меню
Главная
Рефераты
Благодарности
Опрос
Станете ли вы заказывать работу за деньги, если не найдете ее в Интернете?

Да, в любом случае.
Да, но только в случае крайней необходимости.
Возможно, в зависимости от цены.
Нет, напишу его сам.
Нет, забью.



Результаты(286794)
Комментарии (4153)
Copyright © 2005-2021 HEKIMA.RU [email protected] реклама на сайте