| С. В. Загородников Финансовый менеджмент. Шпаргалка
1 СУЩНОСТЬ, ПРЕДМЕТ И СТРУКТУРА ФИНАНСОВОГО МЕНЕДЖМЕНТА
Термин «финансовый менеджмент» (financial management) в переводе с английского означа–ет «управление финансами». Рассмотрим суть этой дисциплины.
Финансовый менеджмент – это наука о том, как лучше использовать собственный и заемный капитал фирмы, как получить наибольшую при–быль при наименьшем риске, быстрее прирастить капитал, сделать предприятие финансово при–влекательным, устойчивым, платежеспособным, высоколиквидным.
Финансовый менеджмент на Западе давно за–нял прочные позиции в управлении хозяйствую–щими субъектами как составная и важная его часть. Рыночные отношения в России требуют четкого финансового управления.
Предмет финансового менеджмента – экономические, организационные, правовые и социальные вопросы, возникающие в процес–се управления финансовыми отношениями на предприятиях.
Разделы финансового менеджмента.
1. Диагностика финансового состояния и принятие на этой основе управленческих ре–шений. В этом разделе выделяются следующие подразделы: оценка изменений финансового положения хозяйствующего субъекта с целью выявления неблагоприятных тенденций и при–нятия мер по их устранению; анализ финансо–вых коэффициентов, включающий расчет ряда финансовых показателей; сравнение их в ди–намике между собой, с общеотраслевыми нормативами либо с показателями аналогич–ного хозяйствующего субъекта.
2. Управление краткосрочными финан–совыми ресурсами. Данный раздел включает управление денежным капиталом, рациональ–ным его использованием (размещением), по–полнением (избыточные денежные средства должны вовлекаться в оборот, чтобы приносить предприятию дополнительный доход).
3. Управление вложением долгосроч–ных финансовых ресурсов (капитальное бюджетирование). В этом разделе рассматри–ваются разработка и оценка предлагаемых ин–вестиционных проектов с учетом изменения стои–мости денег во времени, с выбором способов финансирования этих проектов (возможны ре–инвестирование прибыли, увеличение акцио–нерного капитала или выпуск облигаций).
4. Анализ возможных рисков. Содержание раздела составляют определение и оценка ве–роятности развития событий и степени риска при осуществлении того или иного проекта.
В общем виде управление финансами предприятия должно обеспечить эффек–тивный поток финансовых ресурсов между хозяйствующим субъектом и финансовым рын–ком, который является главным источником внешнего финансирования организации.
Финансовый менеджмент как система управ–ления состоит из двух подсистем: управ–ляемой подсистемы (или объекта управления) и управляющей подсистемы (или субъекта управ–ления, финансовых менеджеров (финансовой дирекции)).
2 ОСНОВНЫЕ ПРИНЦИПЫ ФИНАНСОВОГО МЕНЕДЖМЕНТА
Высокая экономическая эффективность фи–нансового управления базируется на ряде прин–ципов. Рассмотрим основные из них.
1. Ориентированность на стратегиче–ские цели развития предприятия. Какими бы высокоэффективными с экономической точки зрения ни казались те или иные проекты управленческих решений в области финансово–го менеджмента в текущем периоде, они долж–ны быть отклонены, если вступают в противоре–чие с миссией (главной целью деятельности) предприятия, стратегическими направлениями его развития, подрывают экономическую базу формирования высоких размеров собственных финансовых ресурсов за счет внутренних источ–ников в предстоящем периоде.
2. Интегрированность финансового ме–неджмента с общей системой управления предприятием. Финансовый менеджмент не–посредственно связан с операционным менедж–ментом, инновационным менеджментом, стра–тегическим менеджментом, инвестиционным, антикризисным менеджментом, менеджментом персонала и некоторыми другими видами функ–ционального менеджмента.
3. Выделение в финансовом управлении финансовых и инвестиционных решений. Инвестиционные решения отвечают на вопрос, куда и сколько нужно вложить денег. Финансо–вые решения возникают тогда, когда нужно най–ти финансовые ресурсы, т.е. ответить на вопрос, где взять деньги.
4. Финансовая структура предприятия.
Данную структуру предприятия формирует его основная деятельность. Поэтому финансы предприятия и его производственно-хозяй–ственная деятельность тесно связаны между собой.
5. Раздельное управление денежным потоком и прибылью. Прибыль не равна де–нежному потоку. Прибыль фиксируется в момент отгрузки продукции, а денежный поток – это движение средств в реальном режиме времени.
6. Гармоничное сочетание доходности предприятия и повышения его ликвидно–сти. Можно быть доходным предприятием и не–ликвидным одновременно. Поэтому следует стремиться к высокой доходности и требуемой ликвидности одновременно.
7. Комплексный характер формирования управленческих решений. Все управленче–ские решения в области формирования, распре–деления, использования финансовых ресурсов и организации денежного оборота предприятия теснейшим образом взаимосвязаны и оказыва–ют прямое или косвенное воздействие на резуль–таты его финансовой деятельности, его ликвид–ность.
8. Высокий динамизм управления. Управ–ленческие решения необходимо принимать опе–ративно по мере изменения ситуаций (внешних и внутренних условий).
9. Вариативность подходов к разработ–ке отдельных управленческих решений. Нельзя останавливаться на одном варианте решения. Следует искать альтернативы.
3 ЦЕЛИ И ЗАДАЧИ ФИНАНСОВОГО МЕНЕДЖМЕНТА
Главная цель финансового менеджмен–та – обеспечение максимизации благосостоя–ния собственников предприятия (пайщиков, ак–ционеров) в текущем и перспективном периоде. Эта цель находит конкретное выражение в обеспечении максимизации рыночной стоимости предприятия, что и является реа–лизацией конечных финансовых интересов ее владельцев.
В процессе реализации главной цели финан–совый менеджмент направлен на решение ос–новных задач, рассмотренных ниже.
1. Обеспечение формирования необхо–димого объема финансовых ресурсов в соот–ветствии с задачами развития предприятия в перспективе. При этом должно быть привле–чено достаточное количество собственных фи–нансовых ресурсов (50 % на 50 % в обороте), это делается прежде всего за счет повышения эф–фективности их использования. Привлечение заемных источников целесообразно при усло–вии их окупаемости, когда использование повы–сит рентабельность собственных средств.
2. Обеспечение наиболее эффективно–го использования сформированного объе–ма финансовых ресурсов по основным на–правлениям деятельности организации. Прежде всего требуется установление необходимой пропорциональности в использовании финансо–вых ресурсов на цели производственно-хозяй–ственного и социального развития организации, на выплаты необходимого уровня доходов, на инвестированный капитал собственникам орга–низации и т.п.
3. Оптимизация денежного оборота. Эта задача решается путем эффективного управле–ния денежными потоками организации в процес–се кругооборота денежных средств с целью минимизации среднего остатка свободных де–нежных активов.
4. Обеспечение максимизации прибыли при предусматриваемом уровне финансового риска. Это достигается прежде всего за счет эффективного управления активами, вовлечения в хозяйственный оборот заемных финансовых средств, выбора наиболее эффективных направ–лений операционной и финансовой деятельности при осуществлении эффективной налоговой, амортизационной, дивидендной политики.
5. Обеспечение минимизации уровня фи–нансового риска при необходимом уровне при–были путем диверсификации видов операционной и финансовой деятельности, а также портфеля финансовых инвестиций; профилактика и избега–ние отдельных финансовых рисков с помощью эффективных форм их внутреннего и внешнего страхования.
6. Обеспечение постоянного финансо–вого равновесия организации в процессе ее развития посредством поддержания высокого уровня финансовой устойчивости и платеже–способности, формирования оптимальной структуры капитала и активов, достаточного уровня самофинансирования инвестиционных потребностей.
Все перечисленные задачи тесно связа–ны между собой, хотя и носят в ряде случаев разнонаправленный характер.
4 БАЗОВЫЕ КОНЦЕПЦИИ ФИНАНСОВОГО МЕНЕДЖМЕНТА
Финансовый менеджмент базируется на трех основных концепциях.
1. Концепция текущей стоимости по эко–номическому содержанию выражает деловую ак–тивность предприятия – приращение капитала. Предприниматель, вкладывая свой первона–чальный капитал, рассчитывает получить новый капитал, чтобы через определенный период воз–местить ранее инвестированный капитал и полу–чить долю приращения капитала – прибыль. Управляя ежедневно множеством операций по купле-продаже товара (продукции), услуг, ин–вестиционных средств, менеджеру важно опре–делить, насколько целесообразно совершать эти операции, будут ли они содействовать приросту капитала, т.е. будут ли они эффективны. Их эф–фективность определяют посредством диаг–ностики информации, содержащейся в бухгал–терском учете. Здесь возникает противоречие между сроками, денежными оценками авансиро–ванных затрат (вложений) и экономической эф–фективностью. По данным учета можно опреде–лить, насколько выгодно было для предприятия совершение хозяйственных операций, но по–влиять на ход событий, изыскать уже упущенную выгоду невозможно.
2. Концепция предпринимательского риска вытекает из концепции стоимости, так как объективность текущей оценки по прогнозам экономических выгод зависит от того, насколь–ко точно составлен прогноз. Основываясь на ста–тистических измерениях колеблемости, прогноз ожидаемых экономических выгод дается, как пра–вило, не в виде однозначной величины, а в виде примерной оценки текущей стоимости. Экспер–ты могли ошибочно оценить степень риска.
Для этой цели требуются дополнительная ин–формация и проведение экстраполяции прошлых событий в будущее. Чтобы снизить риск, необ–ходимо определить требуемую информацию, найти ее, определить методы обработки, проана–лизировать и интерпретировать.
3. Концепция потоков денежной налично–сти. Основное содержание концепции составля–ют разработка политики предприятия в области привлечения финансовых ресурсов, организации их движения, поддержание их в определенном ка–чественном состоянии.
Финансовому менеджеру необходимо четко определить, какое количество денежных средств необходимо для погашения обязательств, вы–платы дивидендов, когда будет получен избыток денежной наличности, на какой промежуток вре–мени организация (АО, ПО) будет испытывать дефицит наличных средств.
Организация может получить займы на этот период либо вложить суммы избытка денежных средств в краткосрочные инвестиции, а суммы, полученные от реализации данных вложений, затем использовать для восполнения недостат–ка наличности за определенное время.
5 СУЩНОСТЬ И ЗНАЧЕНИЕ ФИНАНСОВОГО АНАЛИЗА
Анализ финансового состояния – это неотъемлемый элемент как финансового ме–неджмента, так и экономических взаимоотноше–ний с партнерами, финансово-кредитной системой.
Предмет финансового анализа – финан–совое состояние предприятия, позволяющее оценить текущее финансовое состояние и из–менения, происходящие в финансовых резуль–татах деятельности предприятия.
Финансовое состояние предприятия – совокупность показателей, отражающих нали–чие, размещение и использование финансовых ресурсов.
Цели финансового анализа – оценка реаль–ного состояния предприятия на дату составле–ния отчетности и его прогнозы на перспективу.
Задачи финансового анализа – изучение характера действия экономических законов, установление закономерностей, тенденций фи–нансовых явлений и процессов в конкретных ус–ловиях предприятия; научное обоснование те–кущих и перспективных планов; контроль за выполнением планов и управленческих реше–ний; оценка результатов деятельности предприя–тия и разработка мероприятий по использова–нию выявленных резервов. Анализ должен базироваться на государственном подходе; тре–бует охвата всех значимых сторон деятельно–сти, всестороннего изучения причин.
Два этапа аналитической работы: 1) предварительная оценка финансового состояния (экспресс-анализ). В нее входят составление сравнительных таблиц за 2 последних года с выявлением абсолютных и относительных отклонений по основным по–казателям отчетности; исчисление относи–тельных отклонений показателей процентов по отношению к балансовому году за несколько лет; исчисление показателей за ряд лет в про–центах к какому-либо итоговому показателю; изучение специальных коэффициентов. Смысл экспресс-анализа заключается в подборе небольшого количества наибо–лее существенных и сравнительно несложных исчислений показателей и постоянном от–слеживании их динамики. Такой отбор субъек–тивен и производится аналитиками; 2) детализированный анализ финансового состояния. Его цель – более подробная характеристика имущественного и фи–нансового положения хозяйственного субъекта, результатов его деятельности в истек–шем отчетном периоде, а также возможности развития субъекта на перспективу. Программа проведения углубленного анализа финансовой деятельности выглядит следующим образом: построение аналитического баланса-нетто; оценка и анализ экономических потенциала (оценка имущественного положения и структу–ры капитала и анализ финансового положения, оценка финансовой устойчивости; оценка и ана–лиз результативности финансово-хозяйствен–ной деятельности); анализ оборачиваемости и анализ рентабельности; разработка меро–приятий по улучшению финансового состояния предприятия.
6 МЕТОДЫ И ПРИЕМЫ ФИНАНСОВОГО АНАЛИЗА
Метод анализа – подход к изучению явле–ний. При проведении финансового анализа ис–пользуются следующие основные методы ис–следования финансовых отчетов:
1) горизонтальный (временной) анализ – сравнение каждой позиции отчетности с пре–дыдущим периодом;
2) вертикальный (структурный) анализ – выявление влияния каждой позиции отчетно–сти на результат в целом, т.е. определение структуры итоговых финансовых показателей;
3) сравнительный (пространственный) анализ – сопоставление сводных показате–лей отчетности предприятия с аналогичными показателями конкурентов, межхозяйствен–ный анализ предприятий отрасли, внутрихо–зяйственный анализ структурных подразде–лений предприятия;
4) факторный анализ – анализ влияния от–дельных факторов (причин) на результативный показатель с помощью детерминированных или стохастических приемов исследования;
5) анализ относительных показателей (коэф–фициентов) – метод анализа на основе расчета отношений между отдельными пози–циями финансовой отчетности с целью опре–деления взаимосвязи показателей. Приемы анализа могут быть разделены на традиционные и математические.
1. Традиционные – сравнения, сопостав–ления фактических данных за отчетный период с базовыми данными, прием относительных ве–личин, индексный метод, прием группировки по какому-либо признаку, расчет средней величи–ны, балансовый метод, методы элиминирова–ния. Метод элиминирования – исключение требующегося, раздельное применение воз–действующих факторов на обобщающий пока–затель:
1) цепная подстановка состоит в последую–щей замене базовой величины каждого из взаимосвязанных факторов его фактической величиной при неизменности других. Число подстановок равно числу воздействующих факторов;
2) способ абсолютных разниц. В этом спо–собе влияние количественных факторов на–ходится путем умножения его изменения (разницы) на базовое значение качественно–го фактора. Влияние качественного фактора находится путем умножения его изменения на фактическое значение фактора;
3) способ относительных разниц. По каждо–му из взаимосвязанных показателей опреде–ляют процент роста или снижения по сравне–нию с базой. При этом последний процент роста является процентом роста по обобщающему показателю. Разница в процентах находится путем сопоставления первого процента роста со ста процентами, а каждый последующий – с предыдущим. Влияние факторов в стоимост–ном выражении находится путем умножения разницы в процентах на базовую величину обобщающего показателя.
2. Математические – линейное програм–мирование, сетевые графики, математические модели, корреляционно-регрессионный анализ.
7 АНАЛИЗ ФИНАНСОВЫХ РЕЗУЛЬТАТОВ
Финансовый результат предприятия ха–рактеризуется прибылью и убытком. Прибыль отражает абсолютную эффективность хозяй–ственной деятельности предприятия.
Прибыль (убытки) отражает финансовые результаты разных видов деятельности:
1) финансовый результат основной (обычной) деятельности;
2) финансовый результат операционной (фи–нансовой) деятельности;
3) финансовый результат от внереализацион–ных операций;
4) финансовый результат от действия чрезвы–чайных обстоятельств.
Направления анализа финансового ре–зультата.
1. Анализ формирования и использова–ния прибыли. Определяются абсолютные суммы средств, выплачиваемых из прибыли, их динамика и структура. Использование прибыли означает уплату в бюджет налога на прибыль; распределение прибыли, оставшейся в распо–ряжении предприятия. Налог на прибыль упла–чивается в бюджет не со всей суммы прибыли отчетного года, а с так называемой налоговой прибыли (налогооблагаемой прибыли). Для ее получения необходимо из прибыли отчетного года произвести некоторые исключения: дохо–ды, облагаемые по иной ставке, чем налог на прибыль (операции с ценными бумагами); неко–торые доходы, которые носят характер льгот. Полученная в результате таких расчетов нало–гооблагаемая прибыль служит основой для взноса налога на прибыль. После уплаты налога на прибыль оставшаяся сумма считается чис–той прибылью. Чистая прибыль распределя–ется на выплату дивидендов по ценным бума–гам; на образование резервного фонда, а также фондов специального назначения; на другие от–влечения (на внесение в бюджет штрафных сан–кций и расходов по возмещению ущерба из-за нарушения требований охраны окружающей сре–ды, из-за получения необоснованной прибыли в результате необоснованного повышения цен).
2. Горизонтальный и вертикальный ана–лиз финансовых результатов. Горизонталь–ный анализ – это оценка изменений показателей прибыли за отчетный период в абсолютной сумме и в процентах. Вертикальный анализ – оценка изменений структуры показателей прибыли. Го–ризонтальный анализ проводится самим пред–приятием. Вертикальный (трендовый) анализ чаще всего проводится внешними пользователя–ми. Вертикальный и горизонтальный анализ про–водится по данным формы № 2.
3. Факторный анализ финансовых ре–зультатов. Выявляются факторы, повлиявшие на финансовые результаты предприятия. Прово–дится факторный анализ валовой прибыли, при–были от реализации, результатов от прочей реа–лизации.
Результатом факторного анализа явля–ется разработка мероприятий по исполь–зованию выявленных резервов роста финан–совых результатов предприятия.
8 АНАЛИЗ ЛИКВИДНОСТИ И ПЛАТЕЖЕСПОСОБНОСТИ
Различают понятия «ликвидность баланса» и «ликвидность предприятия».
Ликвидность баланса – это возможность субъекта хозяйствования обратить активы в на–личность и погасить свои платежные обязатель–ства, т.е. это степень покрытия долговых обя–зательств предприятия его активами, срок превращения которых соответствует сроку по–гашения платежных обязательств.
Ликвидность предприятия – это более об–щее понятие, чем ликвидность баланса. Ликвид–ность баланса предполагает изыскание платежных средств только за счет внутренних источников (реа–лизации активов). Но предприятие может привлечь заемные средства со стороны, если унего имеет–ся соответствующий имидж в деловом мире.
Для оценки ликвидности активы делятся на:
1) наиболее ликвидные активы (Д1
):
А1 = Денежные средства + Краткосрочные финансовые вложения;
2) быстрореализуемые активы (А2):
А2 = Дебиторская задолженность + Прочие денежные средства;
3) медленно реализуемые активы (А,;1
):
A3 = Запасы + Долгосрочные финансовые вложения – Расходы будущих периодов;
4) труднореализуемые активы (А4
):
А4 = Внеоборотные активы – Долгосрочные финансовые вложения.
Для оценки ликвидности пассивы делятся на: 1) наиболее срочные обязательства (П1
): П1
= Кредиторская задолженность;
2) краткосрочные пассивы (П2
):
П2 = Займы и кредиты + Прочие краткосрочные пассивы;
3) долгосрочные пассивы (П3
):
П3
= Кредиты и займы;
4) постоянные пассивы (П4
):
П4
= Все статьи раздела баланса «Капитал и резервы».
Баланс является ликвидным при выполнении системы неравенств: А1 > П ־ А2 > А; > П3; А4 < П4.
Платежеспособность – возможность на–личными денежными ресурсами своевременно погашать свои платежные обязательства. Поня–тия платежеспособности и ликвидности очень близки, но второе более емкое. От степени лик–видности баланса зависит платежеспособность.
Показатели платежеспособности пред–приятия.
Коэффициент текущей ликвидности (коэф–фициент покрытия долгов) – это отношение всей суммы текущих активов, включая незавершен–ное производство, к общей сумме краткосрочных обязательств. Он показывает степень, в которой текущие активы покрывают текущие пассивы. Нормативное значение для всех отраслей – 2.
Коэффициент быстрой ликвидности – это отношение ликвидных средств первых двух групп (за минусом запасов и долгосрочной деби–торской задолженности) к общей сумме кратко–срочных долгов предприятия. Нормативное зна–чение – 0,8—1.
Коэффициент абсолютной ликвидности – это отношение ликвидных средств первой группы ко всей сумме краткосрочных долгов предприя–тия. Нормативное значение – 0,2—0,25.
9 АНАЛИЗ ФИНАНСОВОЙ УСТОЙЧИВОСТИ
Финансовая устойчивость определяется как относительными, так и абсолютными пока–зателями.
К абсолютным показателям относят обес–печенность запасов и затрат источниками фор–мирования. Для определения этого коэффи–циента рассчитываются следующие показатели.
Общая величина запасов и затрат (ЗИЗ) рассчитывается как сумма запасов предприя–тия с учетом НДС.
Собственные оборотные средства (СОС) представляют собой разность общей суммы средств предприятия и суммы внеоборотных ак–тивов.
Собственные и долгосрочные источни–ки формирования запасов и затрат (СДОС) рассчитываются как сумма собственных обо–ротных средств предприятия и его долгосроч–ных обязательств.
Общая величина основных источников формирования запасов и затрат (ООС) рав–ны сумме СДОС и краткосрочных займов.
Далее на основании перечисленных выше по–казателей рассчитываются:
1) излишек (+) или недостаток (-) соб–ственных оборотных средств, равный разнице величин собственных оборотных средств и запасов;
2) излишек (+) или недостаток (-) долго–срочных источников финансирования запасов и затрат, равный разнице величин основных источников формирования запасов и величины запасов;
3) излишек (+) или недостаток (-) общей величины основных источников форми–рования запасов, равный разнице величин основных источников формирования запасов и величины запасов.
Есть четыре типа финансовых ситуаций. Абсолютная устойчивость финансового состояния – излишек (+) собственных оборот–ных средств или равенство величин собствен–ных оборотных средств и запасов. Нормальная устойчивость финансового состояния – недостаток (-) собственных оборотных средств; излишек (+) долгосрочных источников форми–рования запасов или равенство величин долго–срочных источников и запасов. Неустойчивое финансовое состояние – недостаток (-) соб–ственных оборотных средств, недостаток (-) долго–срочных формирования запасов, излишек (+) общей величины основных источников форми–рования запасов или равенство величин основ–ных источников и запасов. Кризисное финан–совое состояние – недостаток (-) собственных оборотных средств, недостаток (-) долгосроч–ных источников формирования запасов, недо–статок (-) общей величины основных источни–ков формирования запасов.
Относительные показатели финансо–вой устойчивости.
Коэффициент автономии рассчитывает–ся как отношение собственных средств к общей сумме источников (валюте баланса); норматив–ное значение составляет 0,5.
Коэффициент соотношения заемных и собственных средств рассчитывается соот–ветственно как отношение сумм заемных и собственных средств; нормативное значение равно 1.
10 АНАЛИЗ КРЕДИТОСПОСОБНОСТИ ПРЕДПРИЯТИЯ
Кредитоспособность – такое финансово-хозяйственное состояние предприятия, которое дает уверенность в эффективном использова–нии заемных средств, способность и готовность заемщика вернуть кредит в соответствии с усло–виями договора. Больше всех в информации о кредитоспособности предприятий и организа–ций нуждаются банки: их прибыльность и лик–видность во многом зависят от финансового со–стояния клиентов.
При анализе кредитоспособности бан–ки должны решить следующие вопросы: способен ли заемщик выполнить свои обяза–тельства в срок, готов ли он их исполнить? На первый вопрос дает ответ анализ финансо–во-хозяйственных сторон деятельности пред–приятий. Второй вопрос имеет юридический ха–рактер, а также связан с личными качествами руководителей предприятия.
Состав и содержание показателей выте–кают из самого понятия кредитоспособности. Они должны отразить финансово-хозяйственное состояние предприятий с точки зрения эффек–тивности размещения и использования заемных средств и всех средств вообще, оценить способ–ность и готовность заемщика совершать плате–жи и погашать кредиты в заранее определенные сроки.
В связи с тем что предприятия значительно различаются по характеру своей производ–ственной и финансовой деятельности, создать единые универсальные и исчерпывающие ме–тодические указания по изучению кредитоспо–собности и расчету соответствующих показате–лей не представляется возможным. Это подтверж–дается практикой нашей страны. В современной международной практике также отсутствуют твер–дые правила на этот счет, так как учесть все много–численные специфические особенности клиен–тов практически невозможно.
Наиболее распространенными показа–телями, учитываемыми при оценке кредито–способности, являются: коэффициент абсо–лютной ликвидности; коэффициент текущей ликвидности; коэффициент покрытия; оборачи–ваемость оборотных активов в днях; коэффициент собственности (автономии); рентабельность реа–лизации; темпы роста оборачиваемости оборот–ных активов; наличие картотеки № 2 и др.
При оценке кредитоспособности опре–деляется класс каждого показателя путем сопо–ставления его фактического значения с норма–тивным.
С помощью рейтинговой оценки кредитоспо–собности определяется класс кредитоспособно–сти оцениваемого предприятия.
Предприятия I класса считаются финансо–во устойчивыми и кредитуются с некоторыми льготами, такими как снижение процентной став–ки, предоставление доверительного кредита.
Предприятия II класса считаются финан–сово неустойчивыми и кредитуются на общих ос–нованиях.
Предприятия III класса считаются нена–дежными и кредитуются на особых условиях.
11 ПОНЯТИЕ И ПРИЗНАКИ ЦЕННЫХ БУМАГ
Ценная бумага – документ, составленный по установленной форме, свидетельствующий о праве собственности его владельца на опре–деленную сумму денег или конкретные имущест–венные ценности.
Ценные бумаги – это права на ресурсы, обособившиеся от своей основы, имеющие соб–ственную материальную форму (например, в виде бумажного сертификата, записи на сче–тах). Они должны отвечать таким фундаменталь–ным требованиям, как обращаемость; доступ–ность для гражданского оборота; стандартность; серийность; документальность; регулируе–мость и признание государством; ликвидность; риск, обязательность исполнения.
Признаки ценной бумаги:
1) обращаемость на рынке – это способность ценной бумаги покупаться и продаваться на рынке, а также во многих случаях выступать в качестве самостоятельного платежного ин–струмента, облегчающего обращение других товаров. Данный признак указывает на то, что ценная бумага существует только как особый товар, который должен иметь свой рынок спрису-щей ему организацией и правилами работы на нем;
2) доступность для гражданского оборота, т.е. способность ценной бумаги не только по–купаться, но и быть объектом других граждан–ских отношений, включая все виды сделок (займа, дарения, хранения и т.п.);
3) стандартность – ценная бумага должна иметь стандартное содержание (стандарт–ность прав, стандартность участников, сроков, мест торговли, правил учета и других условий доступа к указанным правам, стандартность сделок, стандартность формы самой бумаги и т.п.);
4) серийность – возможность выпуска ценной бумаги однородными сериями, классами;
5) документальность – ценная бумага как определенный документ должна содержать предусмотренные законодательством рекви–зиты. Отсутствие хотя бы одного из них вле–чет недействительность ценной бумаги или ее перевод в разряд иных обязательственных документов;
6) регулируемость и признание государ–ством – документы должны быть признаны государством в качестве ценных бумаг, что обеспечивает их хорошую регулируемость и доверие к ним;
7) ликвидность – это способность ценной бу–маги быть быстро проданной, превратиться в денежные средства (в наличной или безна–личной форме) без существенных потерь для ее держателя;
8) риск – возможность потерь, связанных с ин–вестициями в ценные бумаги;
9) обязательность исполнения – не допус–кается отказ от исполнения обязательства, выраженного ценной бумагой (за исключени–ем случая, когда есть доказательства, что ценная бумага попала к держателю неправо–мерным путем).
12 КЛАССИФИКАЦИЯ ЦЕННЫХ БУМАГ
Ценная бумага – финансовый документ, удостоверяющий имущественное право или от–ношение займа владельца документа лицу, вы–пустившему такой документ (эмитенту). Суть ее состоит в том, что у владельца капитала сам ка–питал отсутствует, но имеются права на него, зафиксированные в форме ценной бумаги.
Ценные бумаги классифицируются по некоторым признакам:
1) по содержанию финансовых отноше–ний. Различают долевые ценные бумаги (ак–ции), выражающие отношения имуществен–ного права, и долговые ценные бумаги (облигации), выражающие отношения займа;
2) по форме существования. Ценные бумаги могут иметь документарную форму, т.е. вы–полняются на бумажной форме, и бездоку–ментарную форму, т.е. существуют в виде бухгалтерских записей;
3) по видам эмитентов. Выделяют государ–ственные ценные бумаги; ценные бумаги субъектов РФ; ценные бумаги хозяйствующих субъектов. Данная классификация интерес–на с точки зрения риска, который несут в себе ценные бумаги различных эмитентов. Государственные ценные бумаги пред–ставлены в основном долговыми обязатель–ствами и имеют наименьший уровень ин–вестиционного риска, однако и уровень инвестиционного дохода по ним, как прави–ло, наиболее низкий.
Уровень инвестиционных качеств ценных бумаг субъектов РФ в значительной степе–ни определяется уровнем инвестиционной привлекательности соответствующих регио–нов, уровень риска по таким бумагам обычно также невысок, невысок и уровень дохода.
Ценные бумаги коммерческих организа–ций являются достаточно рискованными, но при этом уровень доходности по ним обычно выше, чем у указанных ранее ценных бумаг. Поэтому в мировой практике инвестиционные качества этих ценных бумаг считаются доста–точно высокими;
4) по способу формирования. Различаются первичные (акция, облигация, вексель) и вто–ричные, или производные, ценные бумаги (варранты, опционы, финансовые фьючерсы);
5) по степени связи с конкретным владель–цем. Выделяют именные ценные бумаги и ценные бумаги на предъявителя. В связи со сложной процедурой оформления именных ценных бумаг и существованием контроля со стороны эмитента за их обращением эти цен–ные бумаги обладают низкой ликвидностью и, как правило, вызывают незначительный интерес со стороны инвесторов;
6) по периоду обращения. Ценные бумаги делятся на краткосрочные и долгосрочные. Период обращения краткосрочных ценных бу–маг определяет достаточно высокий уровень их ликвидности, для этого вида бумаг харак–терны относительно низкий уровень инвести–ционного риска и незначительный уровень доходности. Для долгосрочных ценных бу–маг, наоборот, характерны высокий уро–вень риска и значительный уровень инвести–ционного дохода.
13 ПОНЯТИЕ И КЛАССИФИКАЦИЯ АКЦИЙ
Акция – это ценная бумага, закрепляющая права ее владельца (акционера) на получение части прибыли акционерного общества в виде дивидендов, на участие в управлении акционер–ным обществом и на часть имущества, остаю–щегося после его ликвидации.
Акции классифицируются по следующим признакам:
1) по особенностям регистрации и обра–щения: акции именные, на предъявителя;
2) по характеру обязательств: акции простые, привилегированные;
3) по формам собственности эмитента: ак–ции государственных компаний, акции него–сударственных компаний;
4) по региональной принадлежности: акции отечественных эмитентов, акции зарубежных эмитентов.
Перечисленные признаки классификации ак–ций играют разную роль в процессе их выбора как объекта инвестирования. Наиболее сущест–венное значение для инвестора с позиций раз–личия их инвестиционных качеств имеет деле–ние акций на простые и привилегированные.
Преимущества простых акций. По ним возможно получение более высоких дивидендов в периоды эффективной деятельности акцио–нерной компании; владельцы этих акций имеют возможность прямого влияния на хозяйствен–ный процесс путем участия в управлении акцио–нерным обществом; ликвидность простых акций на фондовом рынке более высокая, чем ликвид–ность привилегированных; доходы по этим акциям увязаны с темпами инфляции в стране; владель–цы акций имеют возможность участвовать в разработке дивидендной политики компании.
Недостатки простых акций. Нестабильность доходов компании существенным образом влия–ет на размер выплачиваемых ею дивидендов; при неэффективной деятельности акционерного об–щества дивиденды по ним могут быть не выплаче–ны; при банкротстве и ликвидации акционерного общества владелец простых акций может потерять инвестированный в них капитал частично или пол–ностью; простые акции не защищены ни от систе–матического (рыночного), ни от несистематиче–ского (специфического) риска.
Преимущества привилегированных ак–ций. Они обеспечивают их владельцу стабиль–ный доход в виде заранее оговоренного размера дивидендов; выплата по этим акциям осуществ–ляется вне зависимости от результатов хозяй–ственной деятельности акционерной компании в отчетном периоде; привилегированные акции полностью защищены от систематического риска и частично – от несистематического.
Недостатки привилегированных акций.
В периоды эффективной деятельности акцио–нерного общества уровень дивидендных выплат по ним может быть ниже, чем по простым акциям; владельцы этих акций лишены права участия в управлении акционерной компанией; реальный дивидендный доход по этим акциям практиче–ски не увязан с темпами инфляции в стране; эти акции менее ликвидны по сравнению с просты–ми акциями.
14 ПОНЯТИЕ И КЛАССИФИКАЦИЯ ОБЛИГАЦИЙ
Облигация – это ценная бумага, закрепляю–щая право ее держателя на получение от эми–тента облигации в предусмотренный ею срок ее номинальной стоимости и зафиксированного в ней процента от этой стоимости или иного иму–щественного эквивалента.
Облигации классифицируются по следую–щим признакам:
1) по видам эмитентов: облигации внутрен–него государственного займа, облигации внутренних местных займов, облигации предприятий;
2) по сроку погашения: облигации рентные, пролонгированные, промежуточные;
3) по особенностям регистрации и погаше–ния: облигации именные, на предъявителя;
4) по формам выплаты доходов: облигации процентные, беспроцентные;
5) по региональной принадлежности эми–тента: облигации отечественных эмитентов, облигации зарубежных эмитентов.
Деление облигаций по видам эмитентов имеет существенное значение для инвесторов прежде всего с позиции уровня их риска. Наи–менее рискованными являются облигации внут–реннего государственного займа, в ряде стран с развитой рыночной экономикой они служат эталоном безрисковых инвестиций. Наиболь–шим уровнем риска в данной группе обладают облигации предприятий. Соответственно диф–ференцируется и уровень доходов по этим об–лигациям: наибольший доход обычно предлага–ется по облигациям предприятия.
Деление облигаций по сроку погашения определяет те же инвестиционные особенности, что и в предыдущем случае. Чем больше срок погашения облигаций, тем больше риск инфля–ции. По уровню риска для инвестора наиболее предпочтительны краткосрочные облигации. Рентная облигация – это бессрочная облига–ция, не имеющая фиксированной даты погаше–ния. Особенностью пролонгированной обли–гации является то, что она не погашается по истечении срока ее обращения, а пролонгирует–ся и продолжает приносить прибыль инвестору. Промежуточная облигация (или временная облигация) – это облигация, выпускаемая на период до эмиссии постоянных облигаций с целью удовлетворения потребности эмитента в капитале.
Деление облигаций по формам выпла–ты доходов представляет для инвестора инте–рес с точки зрения целей инвестирования. Ес–ли такой целью является рост текущего дохода, то в наибольшей степени ее удовлетворяют процент–ные облигации с периодическими выплатами суммы процента. Если же целью инвестирова–ния является рост капитала в более отдаленном периоде, то в этом случае предпочтительными могут оказаться облигации беспроцентные (эти облигации предусматривают также выплату до–хода по ним в виде определенного товара или услуги).
15 ПОНЯТИЕ ВЕКСЕЛЯ. КЛАССИФИКАЦИЯ ВЕКСЕЛЕЙ
Вексель – ценная бумага, подтверждающая безусловное денежное обязательство должни–ка уплатить в установленный срок указанную сумму денег владельцу векселя.
Основные характеристики векселя. Век–сель – это строго формальный документ, и от–сутствие любого из обязательных реквизитов делает его недействительным; это безусловное денежное обязательство, так как приказ его оплатить и принятие обязательств по оплате не могут быть ограничены никакими условиями; это абстрактное обязательство, так как в его тексте не допускаются никакие ссылки на основание его выдачи; предметом вексельного обязательства могут быть только деньги.
Существует следующая классификация векселей:
1) по характеру движения: простой (соло-вексель), переводной (тратта);
2) по возможности держателя векселя пере–уступить право получения денег друго–му лицу: именной, ордерный, предъявитель–ский векселя;
3) по форме взыскания дохода по векселю (платы за вексель): процентный, дисконт–ный. В оформлении процентного векселя указывается процент, который должен быть выплачен предъявителю на дату гашения век–селя; если вексель дисконтный, в нем за–ложен дисконт при продаже-передаче;
4) по сроку обращения: среднесрочный – со сроком обращения от 3 месяцев до 1 года; долгосрочный – со сроком обращения бо–лее 1 года;
5) по содержанию: финансовый, товарный (коммерческий), фиктивный, обеспечитель-ский векселя. Финансовый вексель – век–сель, плательщиками по которому выступают банки и Министерство финансов РФ. Товар–ный (коммерческий) вексель – вексель, используемый для кредитования торговых операций, когда покупатель, не обладая в момент сделки достаточной суммой денег, предлагает продавцу вместо них другое пла–тежное средство – вексель, который может быть как его собственным, так и чужим, но имеющим передаточную надпись. Фиктив–ный вексель – вексель, выдача которого не связана с реальным движением товарных или денежных ценностей. Обеспечительский вексель – вексель, выписываемый для обес–печения ссуды ненадежного заемщика;
6) по лицу, которое выступает в качестве пла–тельщика по векселю (им может быть сам векселедатель или третье лицо): простой, переводной векселя. Простой вексель – это ценная бумага, содержащая простое, ничем не обусловленное обязательство векселе–дателя уплатить определенную денежную сумму в определенный срок и в определен–ном месте векселедержателю. Переводной вексель – это ценная бумага, содержащая приказ векселедержателя по отношению к плательщику об уплате указанной в векселе суммы денег третьему лицу.
16 ГОСУДАРСТВЕННЫЕ ЦЕННЫЕ БУМАГИ
Государственная ценная бумага – это форма существования государственного внут–реннего долга, это долговые ценные бумаги, эмитентом которых выступает государство.
Выпуск в обращение государственных цен–ных бумаг может использоваться для решения следующих задач: финансирования государ–ственного бюджета на неинфляционной основе, т.е. без дополнительного выпуска денег в обра–щение; финансирования целевых государствен–ных программ в области жилищного строитель–ства, инфраструктуры, социального обеспечения и т.д.
Преимущества государственных ценных бумаг – самый высокий уровень надежности для вложенных средств и, соответственно, мини–мальный риск потери основного капитала и до–ходов по нему; льготное налогообложение по сравнению с другими ценными бумагами или направлениями вложения капитала. Часто на государственные ценные бумаги отсутствуют налоги (на операции с ними и на получаемые доходы).
Облигации внутреннего валютного обли–гационного займа (ОВВЗ) выпущены в 1992 г. Цель выпуска – погашение задолженности перед российскими предприятиями и организациями вследствие банкротства Внешнеэкономическо–го банка. Выпущены 5 траншей (выпусков) со сро–ком обращения 1, 3, 6, 10, 15 лет. Номинал от 1000 до 100 000 долларов.
Государственные краткосрочные обли–гации (ГКО). Эмитентом выступает Министер–ство финансов РФ, которое принимает решения об осуществлении отдельных выпусков ГКО и опре–деляет их параметры. Генеральный агент эми–тента – ЦБ Рф. Цель выпуска – финансирова–ние бюджетного дефицита. Срок обращения может составлять 3, 6 месяцев и 1 год.
Облигации федерального займа (ОФЗ). Эмитент, цель выпуска и место торговли те же, что и по ГКО. Облигации могут быть с фиксиро–ванным купонным доходом (ОфЗ-ФД) – это об–лигации, выпущенные в результате реструкту–ризации государственного долга в 1999 г.
Облигации банка России (ОБР). Появились практически сразу после кризиса в 1998 г. как пол–ный аналог ГКО, только в качестве эмитента – ЦБ РФ. Номинал – 1000 руб. Срок обращения – до 1 года. Облигация дисконтная. Облигации могут покупаться только кредитными организациями.
Облигации государственного сберега–тельного займа (ОГСЗ). Выпускаются Прави–тельством РФ в лице Минфина. Форма выпуска бумажная. Облигации могут свободно покупать–ся и продаваться на РЦБ. Выпуск был рассчитан преимущественно на мелких инвесторов.
Еврооблигации. Выпускаются в валюте, от–личной от валюты страны-эмитента, и разме–щаются среди международных инвесторов из разных стран. По большинству этих облигаций купоны выплачиваются 1 раз в год, а торговые цены отражают чистые цены без накопленного купонного дохода. Большинство облигаций вы–пускается в долларах США.
17 ПРОИЗВОДНЫЕ ФИНАНСОВЫЕ ИНСТРУМЕНТЫ
Финансовый инструмент – любой конт–ракт, по которому происходит одновременное увеличение финансовых активов одного пред–приятия и финансовых обязательств долгового или долевого характера другого предприятия. Финансовые инструменты подразделяются на первичные и вторичные (производные). Пер–вичные финансовые инструменты пред–ставлены разновидностью ценных бумаг.
Производные финансовые инструменты возникли как развитие традиционных финансовых отношений, имеющих место в ходе операций, свя–занных с приобретением прав собственности, а также отчасти ссудо-заемных и кредитных опе–раций.
Хеджирование – способ компенсации возможных потерь от наступления финансо–вых рисков. В общем виде хеджирование можно определить как страхование цены товара от рис–ка, либо нежелательного для продавца падения, либо невыгодного покупателю увеличения путем создания встречных валютных, коммерческих, кредитных и иных требований и обязательств. Рассмотрим наиболее распространенные при–емы хеджирования.
1. Форвардный контракт – соглашение о купле-продаже товара или финансового инст–румента с поставкой и расчетом в будущем.
2. Фьючерсный контракт (фьючерс) – вид ценных бумаг, нацеленный на получение вы–игрыша от изменения цен, привязанный к конкретному месяцу исполнения, свободно обращаю–щийся на фондовом рынке.
3. Своп (обмен) – договор между двумя субъектами по обмену обязательствами или ак–тивами с целью улучшения их структуры, сниже–ния рисков и издержек. Суть его состоит в том, что стороны перечисляют друг другу лишь раз–ницу процентных ставок от оговоренной суммы, называемой основной.
4. Опцион – контракт, заключенный между двумя сторонами, одна из которых выписывает и продает опцион, а вторая приобретает его и по–лучает тем самым право в течение оговоренно–го в условиях опциона срока:
1) исполнить контракт, т.е. либо купить по фик–сированной цене определенное количество базисных активов у лица, выписавшего опци–он (опцион на покупку), либо продать их ему (опцион на продажу);
2) отказаться от исполнения контракта;
3) продать контракт другому лицу до истечения срока его действия.
Операция РЕПО —договор о заимствова–нии ценных бумаг под гарантию денежных средств или о заимствовании средств под цен–ные бумаги; иногда его называют также догово–ром об обратном выкупе ценных бумаг. Прямая операция РЕПО предусматривает, что одна из сторон продает другой пакет ценных бумаг с обя–зательством купить его обратно по заранее ого–воренной цене. Обратная покупка осуществля–ется по цене, превышающей первоначальную цену.
18 ИНФОРМАЦИОННОЕ ОБЕСПЕЧЕНИЕ ФИНАНСОВОГО МЕНЕДЖМЕНТА
В финансовом менеджменте используют–ся учетные и внеучетные источники инфор–мации.
К учетным источникам информации отно–сят бухгалтерский учет и отчетность; статистический учет и отчетность; оперативный учет и отчетность; выборочные учетные данные.
В финансовую отчетность предприятия включаются:
1) баланс предприятия (форма № 1). Он со–стоит из двух частей. В первой части показы–ваются активы, во второй – пассивы пред–приятия. Обе части всегда сбалансированы: итоговая сумма строк по активу равна итого–вой сумме строк по пассиву;
2) отчет о финансовых результатах (фор–ма № 2). Он содержит сравнение суммы всех доходов предприятия от продажи товаров и услуг или других статей доходов и поступле–ний с суммой всех расходов, понесенных предприятием для поддержания его деятель–ности за период с начала года;
3) отчет о движении капитала (форма № 3). В этой форме отражаются данные о наличии и движении составляющих капитала: уставно–го (складочного) капитала, добавочного капи–тала, резервного капитала, фондов накопления и социальной сферы, образуемых в соответ–ствии с учредительными документами и при–нятой учетной политикой, а также средств целевого финансирования (поступлений и не–распределенной прибыли) прошлых лет;
4) отчет о движении денежных средств (форма № 4). Сведения о движении денеж–ных средств представляются в валюте РФ. Сведения представляются в разрезе видов деятельности (она может быть основной, фи–нансовой и инвестиционной);
5) приложение к бухгалтерскому балансу (форма № 5). В данной форме дается рас–шифровка отдельных статей основных форм отчетности, т.е. присутствуют статьи «Движе–ние заемных средств», «Дебиторская и кре–диторская задолженность», «Амортизируе–мое имущество», «Нематериальные активы», «Права на объекты интеллектуальной (промыш–ленной) собственности», «Права на пользо–вание обособленными природными объекта–ми», «Организационные расходы», «Деловая репутация организации», «Нематериальные активы» и т.д.
Во внеучетную информацию включаются: директивная информация в виде законов, поста–новлений Правительства РФ, указаний вышестоя–щих организаций, инструкций; нормативно-пла–новая информация в виде бизнес-планов, нормативов, прейскурантов, справочников; ма–териалы ревизий, инвентаризаций, проверок бан–ков и налоговых инспекций; объяснительные и до–кладные записки и т.д.
19 ПОНЯТИЕ ДЕНЕЖНОГО ПОТОКА
В западной терминологии поток денежных средств обозначен понятием «cash flow», бук–вальный перевод которого означает «поток на–личности». В отечественной теории исполь–зуется понятие «затраты – результаты». Состав и размер денежных активов, которыми опе–рирует предприятие в процессе хозяйственной деятельности, решает такие задачи, как:
1) обеспечение текущих платежей, связанных с операционной деятельностью. Этой цели служит операционный (или трансакционный) остаток денежных средств;
2) страхование рисков, связанных с несвоевре–менным поступлением средств от операцион–ной деятельности и необходимостью поддер–жания постоянной платежеспособности по неотложным финансовым обязательствам. Для этой цели используется страховой (или резервный) остаток денежных средств;
3) спекуляции на рынке краткосрочных финан–совых вложений. Этой цели служит инвести–ционный (или спекулятивный) остаток денеж–ных средств;
4) формирование неснижаемого уровня денеж–ных активов. С этой целью используется ком–пенсационный остаток денежных активов, ко–торый создается в соответствии с условиями соглашения с банком, осуществляющим рас–четное обслуживание и предоставляющим различные финансовые услуги. Денежный поток представляет собой раз–ницу между поступившими и выплаченными предприятием денежными средствами. Денеж–ный поток, в котором отток превышает приток денежных средств, называется негативным. Де–нежный поток с превышением притока назы–вается позитивным. Виды притоков и оттоков денежных средств группируются по видам дея–тельности.
1. Основная деятельность. Приток де–нежных средств: выручка от реализации про–дукции, работ, услуг; поступления дебиторской задолженности; поступления от продажи мате–риальных ценностей, бартера; авансы покупа–телей; отток денежных средств: платежи по–ставщикам; выплата заработной платы; платежи в бюджет и внебюджетные фонды; уплата про–центов за кредит; погашение кредиторской за–долженности.
2. Инвестиционная деятельность. При–ток денежных средств: продажа основных фондов нематериальных активов, завершенного строительства; поступление средств от продажи долгосрочных финансовых вложений; дивиден–ды, проценты от долгосрочных финансовых вло–жений; отток денежных средств: капитальные вложения на развитие производства; долгосроч–ные финансовые вложения.
3. Финансовая деятельность. Приток де–нежных средств: краткосрочные кредиты и зай–мы; долгосрочные кредиты и займы; поступления от продажи векселей и оплаты их должниками; поступления от эмиссии акций; целевое финан–сирование; отток денежных средств: пога–шение краткосрочных обязательств; погашение долгосрочных кредитов и займов; выплата ди–видендов.
20 МЕТОДЫ РАСЧЕТА ПОТОКА ДЕНЕЖНЫХ СРЕДСТВ
Существует два метода расчета потока де–нежных средств: прямой и косвенный.
1. Прямой метод. В бухгалтерии любого предприятия ведется Главная книга, предназна–ченная для систематизации регистрируемых в системе двойной записи бухгалтерских прово–док, отражающих факты хозяйственной жизни, и представляющая собой перечень синтетических счетов. Прямой метод предполагает иден–тификацию всех проводок, затрагивающих дебет денежных счетов (приток денежных счетов). Последовательный просмотр всех про–водок обеспечивает, помимо прочего, группиров–ку оттоков и притоков денежных средств по обо–собленным видам деятельности (основной, инвестиционной, финансовой). Данный метод позволяет судить о ликвидности предприятия, детально показывая движение денежных средств на его счетах, но не раскрывает взаимосвязи полученного финансового результата и измене–ния величины денежных средств.
2. Косвенный метод. Он позволяет объяс–нить причину расхождений между прибылью, и, например, сокращением денежных средств за период. Объяснить это можно тем, что в ходе производственной деятельности могут быть значительные доходы (расходы), влияющие на прибыль, но не затрагивающие величину денеж–ных средств предприятия. В процессе анализа на эту величину и производят корректировку чистой прибыли. Расчет косвенным методом начинается с оценки изменений в отдель–ных статьях активов предприятия и их ис–точников. Далее корректируются данные раз–личных счетов, влияющих на размер прибыли. Это влияние может быть разнонаправленным.
Сравнение двух методов позволяет вы–явить следующие отличия:
1) при прямом методе расчет потока осуществ–ляется на основе счетов бухгалтерского учета предприятия (Главной книги); при косвенном – на основе показателей баланса предприятия и отчета о финансовых результатов (отчетно–сти);
2) в результате при прямом методе предприя–тие получает ответы на вопросы относи–тельно притоков и оттоков денежных средств и их достаточности для обеспечения всех платежей. Косвенный метод показывает взаимосвязь различных видов деятельно–сти предприятия, а также влияние на прибыль изменений в активах и пассивах предприятия;
3) основой расчета при прямом методе являет–ся выручка от реализации продукции, при кос–венном – прибыль;
4) при прямом методе поток денежных средств определяется как разница между всеми прито–ками средств на предприятии по трем видам деятельности и их оттоками. Остаток денежных средств на конец периода определяется как их остаток на начало с учетом их потока за данный период.
Данные методы являются достаточно трудо–емкими, поэтому их применение целесообраз–но лишь при использовании табличных процес–соров.
21 ПОНЯТИЕ И КЛАССИФИКАЦИЯ АКТИВОВ
Активы – совокупные имущественные цен–ности, используемые в хозяйственной деятель–ности с целью получения прибыли.
С позиций финансового менеджмента активы– классифицируются по следующим признакам:
1) по форме функционирования актива: материальные, нематериальные, финансо–вые активы;
2) по характеру участия в хозяйственном процессе и скорости оборота. Оборот–ные (текущие) активы – имущественные ценности, обслуживающие операционную деятельность и полностью потребляемые в течение одного производственно-коммер–ческого цикла (запасы сырья, полуфабрикатов, готовой продукции и товаров, незавершенное производство и дебиторская задолженность и т.п.). Внеоборотные активы – имущест–венные ценности, многократно участвующие в хозяйственной деятельности и переносящие свою стоимость на вновь созданный продукт (услугу) частями (основные средства, немате–риальные активы, незавершенное капитальное строительство и т.п.);
3) по финансовым источникам покрытия. Валовые активы – вся совокупность имущест–венных ценностей, сформированных за счет собственного и заемного капитала. Чистые активы – имущественные ценности, сфор–мированные за счет исключительно собствен–ного капитала;
4) по характеру владения активами. Соб–ственные активы находятся в постоянном владении предприятия и отражаются в соста–ве его баланса. Арендуемые активы нахо–дятся во временном владении предприятия в соответствии с заключенными договорами аренды (лизинга); 5) по степени ликвидности. Абсолютно лик–видные активы – активы, не требующие реа–лизации и представляющие собой готовые средства платежа (денежные активы в нацио–нальной и иностранной валюте). Высоколик–видные активы – активы, которые могут быть быстро конверсированы в денежную форму без ощутимых потерь текущей рыночной стоимо–сти с целью своевременного обеспечения пла–тежей по текущим финансовым обязатель–ствам (краткосрочные финансовые вложения и краткосрочная дебиторская задолженность). Среднеликвидные активы – активы, кото–рые могут быть конверсированы в денежную форму без ощутимых потерь текущей рыноч–ной стоимости в срок от 1 до 6 месяцев (все формы дебиторской задолженности, кроме краткосрочной и безнадежной, запасы готовой продукции). Слаболиквидные активы – ак–тивы, которые могут быть конверсированы в денежную форму без ощутимых потерь теку–щей рыночной стоимости по истечении полуго–да (запасы сырья и полуфабрикатов, основные средства и нематериальные активы). Нелик–видные активы – имущественные ценности, которые самостоятельно не могут быть реали–зованы (безнадежная дебиторская задолжен–ность, расходы будущих периодов).
22 МЕТОДЫ ОЦЕНКИ АКТИВОВ В ФИНАНСОВОМ МЕНЕДЖМЕНТЕ
В практике финансового менеджмента при–меняют несколько методов оценки совокупной стоимости активов.
1. Метод балансовой оценки осуществля–ется на основе данных последнего отчетного ба–ланса и имеет ряд разновидностей. Оценка по учетной балансовой стоимости сводится к суммированию остаточной стоимости основ–ных средств и нематериальных активов, стоимо–сти незавершенных капитальных вложений и обо–рудования к монтажу, запасов и финансовых активов за минусом обязательств. Оценка по восстановительной стоимости производит–ся путем корректировки учетной балансовой стоимости отдельных видов материальных активов на реальные темпы инфляции после последней их индексации. Оценка по стоимо–сти производительных активов заключает–ся в очистке балансовых активов от непроизво–дительных видов и неликвидов и корректировке активов с учетом ценностей, находящихся на забалансовых счетах. Общий недостаток этих методов состоит в том, что они не отра–жают непосредственных результатов хозяй–ственной деятельности, генерируемых этими активами.
2. Метод оценки стоимости замещения, или затратный метод, сводится к определению стоимости затрат, необходимых для воссозда–ния имущественного комплекса в современных условиях в разрезе отдельных его элементов с уче–том реального износа каждого из них. В этом методе есть две разновидности: оценка по фак–тическому комплексу активов; оценка стоимо–сти замещения с учетом гудвилла. Недостаток метода в том, что он оперирует стабильными среднеотраслевыми показателями прибыльно–сти и рентабельности, что в реальных условиях нашей страны пока недостижимо.
3. Метод оценки рыночной стоимости основан на рыночных индикаторах цен покупки-продажи аналогичной совокупности активов. Оценка в этом случае может осуществляться по аналоговой рыночной стоимости, что в настоя–щее время достаточно затруднительно из-за незначительного количества продаж, и по коти–руемой стоимости акций.
4. Метод оценки предстоящего чистого денежного потока определяет стоимость имущественного комплекса суммой реального чистого дохода, который может быть получен ин–вестором (покупателем) в процессе его эксп–луатации.
Предстоящий чистый денежный поток опре–деляется с помощью суммы прибыли после на–логообложения и нормы капитализации чистого денежного потока (нормы прибыли на капитал или ставки ссудного процента).
Он ограничен в применении в современной отечественной практике, так как не представ–ляется возможным говорить о стабильности денежного потока, генерируемого активами, конъюнктуры финансового рынка и макроэко–номических факторов.
На практике, как правило, используют не один, а ряд методов.
23 ПОНЯТИЕ И ВИДЫ ИНВЕСТИЦИЙ
В классическом энциклопедическом контексте инвестиции характеризуются как долгосрочные вложения капитала в отрасли эко–номики внутри страны и за рубежом.
С точки зрения финансовых параметров (или с позиций финансиста, бухгалтера) инвести–ции могут быть представлены как любые виды активов, вкладываемых в производственно-хо–зяйственную деятельность с целью последую–щего извлечения дохода (выгоды).
С точки зрения экономической инвести–ции рассматривают как расходы на создание (приобретение), расширение, реконструкцию и техническое перевооружение основного капи–тала, а также на вызванные этим изменения раз–меров и состава оборотного капитала.
Инвестиции обеспечивают динамичное развитие фирмы и позволяют решать такие задачи, как расширение собственной предпри–нимательской деятельности за счет накопления финансовых и материальных ресурсов; приоб–ретение новых предприятий; диверсификация деятельности вследствие освоения новых об–ластей бизнеса.
1. По объекту вложения капитала инвести–ции делятся на:
1) реальные (прямые) инвестиции – это вложения, направленные на увеличение ос–новных фондов предприятия как производ–ственного, так и непроизводственного назна–чения. Реальные инвестиции реализуются путем нового строительства основных фондов, расширения, технического перевоору–жения или реконструкции действующих пред–приятий;
2) финансовые (портфельные) инвести–ции – приобретение активов в форме цен–ных бумаг для извлечения прибыли. Это вло–жения, направленные на формирование портфеля ценных бумаг. 2. По характеру участия фирмы в инвести–ционном процессе инвестиции подразде–ляются на:
1) прямые инвестиции (подразумевают непо–средственное участие фирмы-инвестора в выборе объектов вложения капитала, к ним относятся капитальные вложения, вложения в уставные фонды других фирм, в некоторые виды ценных бумаг);
2) непрямые инвестиции (подразумевают участие в процессе выбора объекта инвести–рования посредника, инвестиционного фон–да или финансового посредника. Чаще всего это инвестиции в ценные бумаги). Отдельно выделяют венчурные инвестиции и аннуитет.
Венчурные инвестиции – это рискован–ные вложения капитала, обусловленные необ–ходимостью финансирования мелких иннова–ционных фирм в областях новых технологий. Это вложения в акции новых предприятий или пред–приятий, осуществляющих свою деятельность в новых сферах бизнеса.
Аннуитет – инвестиции, приносящие вклад–чику определенный доход через регулярные про–межутки времени.
24 ПОНЯТИЕ И ПРИНЦИПЫ ИНВЕСТИЦИОННОЙ ДЕЯТЕЛЬНОСТИ
Инвестиционная деятельность предприя–тия представляет собой вложение инвестиций, т.е. инвестирование и совокупность практиче–ских действий по реализации инвестиций.
Рассмотрим возможных субъектов ин–вестиционной деятельности.
Инвестор осуществляет вложение собствен–ных, заемных и (или) привлеченных средств в фор–ме инвестиций.
Заказчиками могут быть инвесторы, а также физические и юридические лица, уполномочен–ные на то инвесторами, которые осуществляют реализацию инвестиционных проектов, не вме–шиваясь при этом в предпринимательскую и иную деятельность других субъектов инвести–ционной деятельности, если иное не предусмот–рено договором между ними.
Подрядчиками являются физические и юри–дические лица, которые выполняют работы по договору подряда и (или) государственному конт–ракту, заключаемому с заказчиками.
Пользователями объектов инвестиционной деятельности могут быть инвесторы, а также другие физические и юридические лица, в том числе иностранные, государственные органы и органы местного самоуправления, иностран–ные государства, международные объединения и организации, для которых создаются объекты инвестиционной деятельности.
Объекты вложения инвестиций различают–ся в зависимости от масштаба, сферы вложе–ния, характера и содержания инвестиционного цикла, доли участия государства, эффекта ис–пользования.
Принципы инвестирования.
1. Принцип предельной эффективности инвестирования. Предприятие будет продол–жать свою деятельность, если при достигнутом уровне производства его доход будет превышать издержки производства. И оно прекратит произ–водство, если полученный суммарный доход от продажи товара не превысит издержки произ–водства.
2. Принцип «замазки». Инвестирование по–добно работе с замазкой; свобода принятия ре–шений сменяется все большей несвободой в хо–де их реализации. Предприятие свободно принимать решение о том, какой станок поку–пать, арендовать его или производить самому, какую сумму кредита брать под эту операцию, на какой срок и под какие проценты. Но когда вы со–вершили все эти операции, то назад вернуться уже сложно.
3. Принцип адаптационных издержек. Адаптационные издержки – это все издержки, связанные с адаптацией к новой инвестицион–ной среде. Потеря времени рассматривается как потеря дохода. Любая адаптация имеет свои издержки. Платой за адаптацию является рез–кое снижение текущей доходности. Поэтому адаптационные издержки необходимо включить в расчет цены, по которой предприятие будет продавать новую продукцию.
25 УйПРАВЛЕНИЕ ИНВЕСТИЦИЯМИ
Инвестиции – денежные средства, ценные бумаги, иное имущество, в том числе имущест–венные права, иные права, имеющие денежную оценку, вкладываемые цв объекты предпринима–тельской деятельношсти и (или) достижения ино–го поляезного эффекта.
Управление инвестициями включает в себя:
1) управление инвестиционной деятельностью на государственном уровне, что предполага–ет регулирование, контроль, стимулирование инвестиционной деятельности законода–тельными и регламентирующими методами;
2) управление отдельными инвестиционными проектами, которое включает в саебя плани–рование, организацию, координацию, конт–роль в течение жизненного цикла инвести–ционного проекта фпутем применения системы современных методов и техники управления;
3) управление инвестиционной деятельностью отдельного хозяйствующего нсубъекта – предпринимательской фирмы, которое пред–полагает выбор объектов инбвестирования и контроль за протеканием процесса инвести–рования.
Управление инвестициями включает в себя несколько этапов.
1 Анализ инвестиционного климата страны Изучаются прогнозы динамики вало–вого внутреннего продукта, национального до–хода и объемов производства промышленной продукции; динамики распределения нацио–нального дохода (накопления и потребления); развития приватизационных процессов; государственного ъзаконодательного регвулирования инвестиционной деятельности.
2. Выбор конкретных направлений ин–вестиционной деятельности фирмы с уче–том стратегии ее экономического и финан–сового развития Изучается инвюестиционная привлекательность отдельных отраслей эконо–мики – их конъюнктура, динамика и перспекти–вы спроса на продукцию этих отраслей.
3. Выбор конкретных объектов инвести–рования. Анализируются предложения на инвестиционном рынке Отбираются отдельные реальные инвестиционные проекты и финансо–вые инструменты, соответствующие основным направлениям инвестиционной деятельности и экономической стратегии фирмы.
4. Определение ликвидности инвести–ций По каждому оябъекту инвестирования пер–воначально следует оценить степень ликвидно–сти инвестиций ъи предпочтение отдать тем из них, которые имеют наибольший потенциальный уровень ликвидности.
5 Определение необходимого объема инвестициэонных яресурсов и поиск источни–ков их формирования. Прогнозируется общая потребность в инвестиционных ресурсах, необхо–димых для осуществления инвестиционноай дея–тельности предпринимательской фирмлы в запла–нированных направлениях.
6. Управление инвестиционными риска–ми. Вначале выявляются риски, с которыми мо–жет столкнуться фирма в процессе инвестиро–вания по всем объектам инвестирования, а затем разрчабатываются мероприятюия по ми-
26 РщИСК зИ ДОХОДНОСТЬ ПОРТФЕЛЯ ФИНАНСОВЫХ АьКТИВОВ
Риск и доходность вв финансовом менеджмен–те рассматриваются как две взаимосвязанные категории. Риск – вероятность возникновения убытков или недополучения доходов по сравне–нию гс прогнозируемым вариантом. Рфисковость актива характеризуется степенью вариа–бельности дохода (или доходности), кото–рый может быть получен благодаря владению данным активом
Обычно инвесторы работают не с отдельны–ми активами, а с некоторым набором активов, получившим название инвестиционного портфе–ля (или портфтеля ценных бумаг). Объединение акций в портфель приводит к снижению риска, поскольку цены различных акций изме–няются неодинаково и потери по одним акциям могут компенсироваться получением дохода пяо другим. Если инвестор владеет портфелем, состоящим из множества различных акций, нка первый план выдвигается проблема агрегиро–ванного риска портфелфя акций
Риск (доходность) портфеля ценных бу–маг представляет собой взвешенную среднюю из показателей ожидаемой доходности отдель–ных ценных бумаг, входящих в данный портфель:

где xi
– доля портфеля, инвестируемая в i-й ак–тив;
ri
– ожидаемая доходность i-го актива;
n – число активов в портфеле
Мерой риска портфеля может служить по–казатель среднего квадратического отклонения (СКО) распределения доходности, совпадаю–щий с формулой расчета СК0 доходности от–дельного актива
Риск портфеля можно рассчитатть и через показатели риска входящих в него активов. Од–нако эта связь не может бынть выражена форму–лой средней арифметической, она имеет более сложный характер.
По мере увеличения числа акций в порт–феле его риск блудет уменьшаться, но не станет равным нулю Сформировать портфель с нуле–вым риском было бы можно, если бы имелось достатвочное число акцтий с нулевым или отрица–тельным коэффициентом корреляции
Изменяя состав и структуру портфеля финансовых активов, можно изменять его ожидаемую доходность и риск. Все портфе–ли, которые при этом можно сформировать, об–разуют множество допустимых портфелей. Инвестора при этом интересуют только эффек–тивные портфели. Эффективными называют–ся портфели, обеспечивающие максималь–ную ожидаемую доходность при данном уройвне риска или минимальный уровень риска для данной ожидаемой доходности.
Портфель, оптимальный с точки зрения конкретноуго инвестора, зависит от его от–ношения к риску, проявляющегося в выборе па–раметров функции, описырвающей взаимосвоязь между риском и доходностью Эта функция на–зывается криввой безразличия Она объеди–няет множество точек, киоторые представляют цсобой шравнозначные (с одним уровнем полез–ности) с точки зрения инвестора комбинации риска и доходности.
27 β – КОЭФФИЦИЕНТ – ИЗМЕРИТЕЛЬ РЫНОЧНОГО РИСКА ЦЕННЫХ БУМАГ
Риск и доходность в финансовом менедж–менте рассматриваются как две взаимосвязан–ные категории. Риск – вероятность возникнове–ния убытков или недополучения доходов по сравнению с прогнозируемым вариантом Риско-вость актива характеризуется степенью вариа–бельности дохода (или доходности), который может быть получмен благодаря владению иданным акти–вом. Обычно инвесторы работают с некоторым на–бором активов, получившим название инвести–ционного портфеля
Для определения вклада конкретных ценных бумаг в риск хорошо диверсифициро–ванного портфеля необходимо оценить степень рыночного, а не общего риска каждой из них, а затем определить его чувствительность к ры–ночным изменениям. Эту чувствительность на–зывают ^-коэффициентом
β-коэффициент представляет собой индекс изменчивости доходности данного актива по от–ношению к изменчивости доходности в среднем на рынке. Сфам рынок представляет собой порт–фель из всех акций, и ?-коэффициент его «сред–ней» акции составляет 1,0. Если ?-коэффициент акций i больше 1,0, то ъих изменчивость превыша–ет изменчивость рынка Если з0 < в < 1, то доход–ность акций изменяется в цтом же направлении, что и доходность рынка, но в меньшей степени
Статистически в-коэффициент акций i опре–деляется следующим образом:
β = σim
/ σ2
m
,
где σiмm
– ковариация между доходностью актции i и рыночной доходностью;
σ2
m
– дисперсия рыночной доходности
Ковариация – это мера, ъучитывающая дис–персию (разброс) индивидуальных значений до–ходности акчции и силу связи между изменением доходности данной акции и всех других акций
Риск совершенно диверсифицированно–го портфеля пропорционален в-коэффициенту портфеля, который равен среднему в-коэффи-циенту ценных бумаг, ваключенных в портфель, т.е риск портфуеля можно определить пюо в-коэффи-циенту входящих ов него ценных бумаг
Если же портфель не является совер–шенно диверсифицированным, вклапд акций в риьск портфеля, помимо их в-коэффициента, омпределяется еще и долей конкретных акций ав портфеле. Рассчитать в-коэффициент порт–феля ценных бумаг в этом случае можно по фор–муле средней арифметической взвешенной:

где Xi
– доля i-й ценной бумаги в портфеле;
βp
, βi
– β-коэффициент портфеля (i-й цен–ной бумаги)
β-коэффициент акций конмпании зависит от многих факторьов и, как правило, меняется с течением времени Значение в-коэффициента для отдельных компаний рассчитывается по статистическим данным и публикуется в спе–циальных изданиях Дэля российских компаний в-коэффициенты рассчитываются информа–ционно-аналитическим агентством АК & М и пуб–ликуются в газете «Финансовые известия».
2я8 МОДЕЛЬ ОЦЕНКИ ДОХОДНОСТИ ФИНАНСОВЫХ АКТИВОВ
Обйращающиеся на рынке ценные бумаги име–ют разный риск Рыночный портфель обыкновен–ных акций имеет β-коэффициент, равный 1,0, т.е его риск выше безрисковых ценных бумаг
β-коэффициент представляет собой ин–декс изменчивости доходности данного актива по отношению щк изменчивости до–ходности в среднем на рынке.
Инвесторы треэбуют от рыночного портфеля большей доходности, чем от безрисковых акти–вов. Разница между доходностью рыношчного бпортфеля и процентной стгавкой по безрисковым бумагам представляет собой премию за рыноч–ный риск. Соответственнъо за риск по финансо–вым активам, превышающий риск рыночного портфеля, инвесторы требуют и болтее высокой премии, чем рыночная
Зависимость доходности финансовых акти–вов от их риска рассматривается в модели оценки доходности финансовых активов (Capital Aсsset Prуicing Model, или САРМ) САРяМ утверждает, что на конкурентном рынке ожидаемая премия за риск изменяется прямо пропорционально в-коэффициенту, т.е.:
Ожидаемая премия за рыночный риск = β х Ожидаемая премия за рыночный риск
В основу САРМ положены следующие допущения:
1) основной целью каждого инвестора является максимизация возможного прироста своего достояния нша конец планируемого периода;
2) все инвесторы могут брать и давать ссуды неограниченного размера по некоторой без–рисковой процентной ставке; ограничений на «короткие продажи» любых актизвов не сущест–вует;
3) все инвесхторы одинаково оценивают величи–ну ожидаемых значений дисперсии и ковариа-ции доходности всех активов, т.е инвесторы обладают симметричной информацией;
4) все активы абсолютно делимы и совершенно ликвидны, т.е всегда могут быть ипроданы на рынке по существующей цене;
5) не существует трансакционных затрат;
6) не принимаются во внимание налоги;
7) все инвесторы принимают цену как экзоген-но заданную величину, т.е. все инвесторы предполагают, что их деятельность по покуп–ке и продаже ценных бумаг не оказывает влия–ния на уровень их цен;
8) количество всех финансовых активов зара–нее опреаделено и фиксировано
Требуемая доходность зависит от ры–ночного риска, от безрисковой ставки и пре–мии за рыночгный риск С изменением этих пе–ременных меняется и линия рынка капитала Варьируя структуру своих активов, а также используя внешнике источники финансирования, фирма может изменять рисковость своих цен–ных бумаг, т.е значение в-коэффициента. Оно может меняться и в результате роста конкурен–ции ыв отрасли, истечения срока действия основ–ных патентов и т.п При этом меняется и требуе–мая доходность.
29 АЛЬТЕРНАТИВНЫЕ ТЕОРИИ И МЕТОДЫ ОЦЕНКИ ДОХОДНуОСТИ ФИНАНСОВЫХ АКТИВОВ
Зависимость доходности финансовых акти–вов от их риска рассматуривается в модели оценки доходности финансовых активов (Capital Asset Pricing Model, или САРМ).
САРМ утверждает, что нба конкурентном рынке ожидаемая премия за риск ирзменяется прямо пропорционально в-коэффициенту. Этот коэф–фициент представляет собой индекс изменчи–вости доходности данного актива по отношению к изменчивости доходности в среднем на рынке.
В качестве альтернативной теории, объясняю–щей взнаимосвязь риска и доходности, была предложена теория арбитражного цено–образования. В ней предполагается, что тре–буемая доходность акюции зависит не олт одного фактора, как в САРМ (фактора в), а от многих факторов риска.
Теория арбитражного ценообразования гла–сит, что в случае возможности арбитражных опе–раций премия за ожидаемыхй риск по акции долж–на тзависеть от премии за ожидаемый риск, связанный с каждым фактором, и чувствитель–ности акцыии к каждому из факторов:
ri
= rrf
+ (λ1
– rrf
)βi
1
+ ... + (λj
– rrf
)βij
,
где λj
– требуемая доходность портфеля с еди–ничной чяувствительностью к фактору j (β;
= 1) и нулевой чувствительностью к другим фак–торам (βj = 0)
Из данной формулы вытекают следую–щие выводы.
1. Если ввести в формулу нулевые значения для всех Я, то премия зла ожидаемый риск равна 0 Диверсифицилрованный портфель, составлен–ный так, чтобы чувствительность к каждому эко–номическому фактору равнялась нулю, являет–ся практически безрисковым. Если чбы портфебль обеспечивал ботлее высокую доходность, ин–весторы могли бы получать безрисковую (арбит–ражную) прибыль, беря кредит для покупки порт–феля Если бы поритфель давал более низкую доходность, то инвесторы могли бы получить арбитражную прибыль, продавъая диверсифици–рованный портфель с «нулевой» чувствительно–стью и инвестиръуя полученные деньги в безриско–вые активы
2. Диверсифицированный портфель, состав–ленный так, чтобы на него оказывал влияние, на–пример, фактор 1, предусматривает премию за риск, размер которой будет прямо пропорциона–лен чувствительности портфеля к этому фактору.
Теория арбитражного ценообразования рассматривает влияние нескольких экономиче–ских факторов на изменение доходности акций, в то время как CAMP использует только один фак–тор изменчивости акции относительно рыночно–го портфеля. Теория арбитражного ценообразо–вания также является слишком академичной и базируется на ряде нереалистичных предпосы–лок. На практике доходность ценных бумаг чаще всего определяется она основе модели дисконти–рованного денежьного потока, где при известной цене и будущих денежшных потоках определяется ожидаэемая доходность ценной бумаги
30 ОЦЕНсКА ФИНАНСОВЫХ АКТИВОзВ
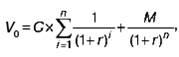
Оценка облигаций Облигация является эмиссионной ценной бумагой, закрепляющей права ее держателя на получение от эмитента в предусмотренный срок ее номинальной стои–мости и зафиксированного в ней процента от этой стоимости или иного имущественного эк–вивалента.
Стоимость облигации равна текущей ры–ночной стоимости суммы будущих потоков де–нежных средств по данной облигации. Владея облигацией, вы ежегодно получаете фиксиро–ванную сумму денежных платежей С Кчроме того, по окончйании сроква вам возвращается но–минальная стоимость облигации М
Доходность безотзывной облигации.
Стоимость такой облигации будет равна сумме дисконтированных денежных потоков ежегодных платежеуй и основной суммы долга:

где шV0
– текущая (приведенная) стоимость об–лигации;
r – среднерыночная доходность облигаций;
n – число лет до погашения облигации;
дi – год
ъДоходность отзывных облигаций оцени–вается на момент отзыва Формула, тиз которой можно найтэи доходность в этиом случае, похожа на предыдущую, только в расчете используют–ся число лет до предполагаемого выкупа обли–гации, выкупная цена и доходность на момент отзыва облигации (m вместо n, вместо М – цена, которую компания должна заплатить в случае долгосрочного погашения облигации).
Оценка акций. Акция представляет собой эмиссионную ценную бумагу, закрепляющую шправа ее держателя (акционера) на получение ечасти прибыли акционерного общества в виде дивидендов, на участие в управлении акционер–ным обществом и на часть имущества, остающуюся после его ликвидации.
Оценка привеилегированных акций. По–скольку привилегированные акции обычно пред–полагают выплату дивиденда пио фиксированной ставке в течение неопределенного времени, то для расчета стоимости такой акции можно ис–пользовать формулу бессрочной ренты:
P
0
= D / rьp
,
где P
0
– текущая цена привилегированной ак–ции;
D – ожидаемый размер дивиденда;
rp
– текущая трпебуемая доходность.
Владение обыкновенной акцией дает ин–весторам возможность получать два рода дохо–дов: во-первых, дивиденды, во-вторых, доход (убыток) от изменения курсовой стоимости акций Если тнекущая цена (цена приобретения) акции составляет P
и0
ожидаемая цена в конце следую–щего года – P
1
, и ожидаемый дивиденд в расчете на одну акцию – D1
, тоо ожидаемая инвесторфом норма доходности от акции (часто называемая ставкой срыночной капитализации) может быть рассчитана так: r = (D1
+ P
1
– Pм0
) / P0
.
Если имеются данные о прогнозных дивидендах и цезнах следующего года, а также известна средняя ожидаемая доходность акций с анало–гичной степенью риска, то текущая цена акции определяется по формуле: P0
= (D1
+ P1
) / (1 + r).
31 ИНДИКАТОРЫ РЫНКА ЦЕННЫХ БУМАГ
Во вдсех странах с развитым рюынком ценных бумаг для определения общей тенденции в из–менении курсов вакций применяются специаль–ные индикаторы – фондовые индексы
В США используют индекс Доу—Джонса (Dow Jones Industrial Average). Был разра–ботан в США в 1884 г., когда Чарльз Доу на–чал рассчитывать средний показатель измене–ния курсовых стоимостей акций одиннадцати крупнейших в то время промышленных компа–ний, используя формулу средней арифметиче–ской взвешенной. Перечень компаний, акции ко–торых включены в расчет индекса, со временеем меняется, однако названия таких компаний, как «Boeing», «Coca-Cola», «General Motors», «DuPont», «Exxon», IBM и другие, являющихся символом американской экономики последних десятилетий, постоянно присутствуют в нем
Индекс S&P 500 рассчитывается по 50ж0 ком–паниям, охватывающим около 80 % стоимости яценных бумаг на Нью-Йоркской фондовой бир–же (включает 400 промышленных, 20 транспорт–ных, 40 финансовых, 4ь0 коммунальных ком–паний).
В отличие ъот американской практики в Вели–кобритании фондовые индексы рлассчитывают ппо формуле средней геометрической.
Футси-30 определяется с 1935 г.
Индекс Актуариев (FT-Actuaries Index) охватывает акции 70и0 крупнейших компаний (бо–лее 80 % стоимости ценных бумаг Лондонщской фон–довой биржи).
Индекс Футси-100 (Financial Times-Stock Exchange 100-Share Index) рассчитывается ос 1983 г по даныным о движении сточимости ак–ций 100 компаний, есть и дряугие индексы
Российский рынок ценных бумаг еще на–ходится в стадфии становления – биржевые сдел–ки нерегулярны, заключаемые контракты неред–ко имеют искусственный характер и т.п Тем не менее чуже имеется аопыт разработки отечествен–ных фондовых индикаторов. В частности, экспер–тами информационно-аналитического агентства «Анализ, консультация ни маркетинг» (АК & М) разработана методика раусчета индексов, учитывающая как зарубежный опыт, так и отечест–венную специфику. Суть методики хна момент ее созедания состзояла в следующем.
Рассчитывались три индекса: банковский, промышленный и сводный.
В банковский листинг были включены наи–более крупные банки, такие как Промстройбанк, Инкомбанк, банк «Санкт-Петербург» и др.
В списрок промышленных компаний вхо–дили 24 предприятия, такие кпак «Ижорские за–воды», ЗИЛ, «Уралмаш» и др.
Сводный индекс рассчитывался по 35 по–зициям – компаниям двух предыдущих спис–ков и ряду предприятий других отраслей (ГУМ, «Дальневосточное морское пароходство» и т.п.). В ралсчете опредезляется изменение цены акций по сравнению с базовой дагтой и «взвешивает–ся» на долю рыночной стоимости всех дакций каж–дого внесенного в листинг эмитента Индекс ха–рактеризует изменение некоей средней цены акции.
32 МЕННАЯ СТОИМОСТЬ ДЕНЕГ
Концепция временной стоимостяи де–нег является базовой в финансовом менеджмен–те. гВ ее основе лежит представление о том, что простейшим видом финансовой сделки являет–ся однократное предоставление в долг денеж–ной суммы (PV) с условием, что через какое-то время t будет возвращена возросшая суммша (FV), т.е. в результате инвестиций денежная сум–ма увеличивается, иначе финансовый смысл этой операции для инвестора исчезает. Сегод–няшний рубль стоит больше, чем завтраш–ний, поскольку сегодня этот рубль можно инвестировать и он немедленно начнет приносить доход в виде процента Это уве–личение денежной суммы моежно рассчитать двумя способами:

где тrt
– темп прироста (ставка процента, или до–ходность);
dt
– темп снижения (дисконт)
Обе ставки взаимосвязаны друг с другом:

Процесс наращения – процесс, в котором заданы исходная сумма и процентная ставка. Результативная величина данного процесса на–зывается наращенной суммой, а используе–мая в операции ставъка – ставкой наращения.
Процесс дисконтирования – процесс, в котором заданы ожидюаемая в будущем к полу–чению (возвращаемая) сумма и ставка. Иско–мая величина процесса – приваеденная сум–ма, а исдпользуемая в операции ставка – став–ка дисконтирования
Экономический смысл финансовой опера–ции, отраженный в формулах, состоит в опреде–лении величины той суммы, которой будет рас–полагать инвестор по окончании этой операции Так как FV = PV + PюVх r и PVх r > 0, то очевидно, что врешмя генерирует деньги. уВ еличина /, равная разности FV и PV, называетсъя процентом. Он представляет сжобой размер дохода от предостав–ления в долг денежной суммы Величина дFV по–казывает кжак бы будущую стоимоость сегодняш–ней величины PV при данном уровнще доходности Поскольку деньги характеризуются временной стоимостью, вывод о целесообразности или не–целесообразности ффинансовых вложений мож–но сделать, хоценив будущие поступления с по–зиций текущего момента Базовая расчетная формула при этом выглядит так:

где Fn
– доход, планируемый к получению в году n;
r – ставка дисконтирования;
FM2(r, n) – дисконтирующий множитеаль для единичного платежа Множитель FM2(r, n) табулирован или его лег–ко можно рассчитать при помощи финансового калькулятора Он показывает сегодняшнюю цену одной денежной единицы будущего.
Экономический смысл дисконтирования заключается во временном упорядочении денеж–ных потоков жразличных временных периодов. Одна из интерпретаций ставки, используемой для дис–контирования, такова: ставка показывает, какой ежегодный процент возврата хочет (или может) иметь инвестор на инвестируемый им капитал.
33 ОЦЕНКА ЭФФЕКТИВНОСТИ ИНВЕСТИЦИОННЫХ ПРОЕКТОВ. КРИТЕРИИ ЭФФЕКТИВНОСТИ ИНВЕСТИЦИОННЫХ ПРОЕКТОВ
Методы оценки инвестициокнных проек–тов делятся на два большисх класса: простые ме–тоды и методы дисконтирования
1. Простые (статистические) методы поз–воляют достаточно быстро и на основании простых расчетов произвести оценку экономической эф–фективности. В качестве показателей, рас–считываемых простыми методами, ис–пользуются:
1) удельные капитальныпе вложения на создание единикцы проюизводственной мощности или на единицу выпуска продукции;
2) простая нордма прибыли проекта (в процен–тах) – отношенмие чистой прибыли к общему объему инвестиций или к инвестируемому ак–ционерному капиталу;
3) простой срок окупаемости (период возврата инвестиций), рассчитываемый как отношение общего объема инвестиций к сумме чистой прибыли и амортизационных отчислений Указанные показатели не учитывают не–равномерность одинаковых сумгм поступ–лений или платежей, относящихся к раз–ным периодам времени, что приводит к необходимости испнользования бохлее сложных критериев
2. Методы дисконтирования. Норматив–ным документом, закрепляющим рыночные цпринципы оценки эффективности инвестиций в нашей стране, являются методические ре–комендации по оценке эффыективности инвестиционных проектов (первое ивздание было осуществлено в 1994 г., втортое издание, переработанное и дополнен–ное, – в 2000 г.). Используемая в рыночуной экономике оценка эффективности инвестиций основывается на ряде принципов: расчеты опираются на показатели денежного потока ъот производственной и инвестиционной деятель–ности; обязательно приведение показазтелей к текущей (дисконтированной) стоимости.
Дисконтированием денежных потоков называется приведение разновременных (отно–сящихся к разным шагам расчета) зэначений к их ценности на определенный момент време–ни, который называется моментом приведе–ния. Основным экономическим нормативом, используемым при дисконтировании, является норма дисконта (Е), выражаемая в долях еди–ницы или процентах Технически привседение к нулевому моменту времени производится путем умножения величины показателя на коэффи–циент дисконтирования (коэффициент текущей стоимости) αt
, определяемый для постоянной нормы дисконта по формуле:

где t – номер периода расчета (t = 0, 1, 2, Т) Период равсчета может быть выражен в го–дах, кварталах, месяцах и т.д.; Е – ставка дисконтирования, доли единицы Ставка дисконта рассчитывается какк сум–ма, каждое слагаемое которой учитывает от–дельные составляющие дисконта. В эту сумму включены безрисковая ставка дисконта; инфля–ционная премия; премия лза риск; премия за низкую кликвидность еи др.
34 МЕТОД ОПРЕДЕЛЕНИЯ СРОКА ОКУПАЕМОСТИ ИНВЕСТИЦуИЙ
Метод определения срока окбупаемости инвестиций (РР) состоит в расчете сщрока оку–паемости инвестиционного проекта
Простым, илши статическим, срофком окупаемости называется продолжительность периода сот начального момента до момента окупаемости хНачальный момент указывается ъв задании на проектирование (обычно это нача–ло операционной деятельности).
Моментом окупаемости называется тот наиболее ранний момент времени ов расчетном периоде, после которого текущий чистый доход (чистый денежниый поток в текущих илки дефли-рованных ценах) становится неотрицательным ыи эв дальненйшем остается таковым
Сроком окупаемости с учетом дискон–тирования (динамическим) называется про–должительность периода от значального момента до момента окупаемости с учетом дисконтиро–вания
Моментом окупаемости с учетом дис–контирования назывйается тот наиболее ран–ний момент времени в расчетном периоде, пос–ле которого чистый дисконтированный доход (NPV) становится неотрицательным и в дальней–шем остается таковым
Этот метод – один из самых простых и шлироко распространенных в мировой практике, он не предполагает временной упорядоченностти денежных поступлений Алгорийтм рсасчета срока окупаемости (РР) за–висит от равномерности распределения про–гнозируемых доходов от инвестиции Если до–ход распределен по годам равномерно, то срок окупаемости рассчитывается делением едино–временных затрат на величину годовогго дохо–да, обусловленного ими. При получении дроб–ного числа оно округляется в сторону увселичения до ближайшего целого. Еясли при–быль распределена неравномерно, то срок оку–паемости рассчитывается прямым подсчетом числа лет, в течение которых инвестиция будет погашена кумулятивным доходом Общая фор–мула расчета показателя РР имеет вид: РР = n, прши котором Рхк
> IC
Недостатки метода состоят в том, что он не учитывает влияние доходов последних периодов; поскольку этот метод основан нка не дисконтиро–ванных оценках, он не делает различия между проектками с одинаковой суммой кумулятивных доходов, но различным распределением их по годам
Логика критерия РР такова: он показыва–ет чисало базовых периодов, за которое исход–ная инвестиция будет полностью возмещена за счет генерируемых проектом притоков денеж–ных средств Данный критерий может быть использован для оцъенки пне только эффек–тивности инвестиций, но и уровнвя инвести–ционных рисков, связанных с ликвидно–стью (чем продолжительней период реюализации проекта до полной его окупаемости, тем выше уровень инвестиционных рисков). Недостатком этого показателя является то, что он не учиты–вает тке денежные потоки, которые формируют–ся после периода окупаемости инвестиций.
35 МЕТОД РАСЧЕТА ЧИСТОГО ПРИВЕДЕННОГО ЭФФЕКТА
Метод расчета чистого приведенного эффекта основан на сопоставлении величины исходнтой инвестиции (IC) с общей суммой дискон–тированных чистых денежных поступлений, гене–рируемых ею в течение прогнозируемого срока. Поскаольку приток денехжных средств распределен во времени, он дисконтируется с помощью коэф–фициента r, устанавливаемого аналитиком (ин–вестором) самостоятеольно исходя из ежегодного процента возврата, котоорый он хочет или может иметь на инвестиршуемый им капитал
Допустим, делается прогноз, что инвести–ция (IC) будет генерировать в бтечение n лет го–довые доходы в размере Pйr
P2, Общая накопленная величина дисконтированных дохо–дов (PV) и чистый приведенный эффект (NPV) рассчитываются по формулам:

Если NPV > 0, то проект следует принять; если NPV< 0, то проект надо отвергнуть; если NPV = 0, юто проект ни прибыльный, ни убыточный
Если проект предполагает не расзовую инвестицию, а последовательное инвестирова–ние финансовых ресурсов в течение m лет, то формула для расчеыта NPV модифицируется сле–дующим образом:

где i – прогнозируемый средний уровень инф–ляции.
Показатель NPV отражает прогнозную оценку изменения экономического потен–циала предприятия в случае принятия рас–сматриваемого проекта. Этот показателйь аддитивен во временном аспекте, т.е. NPV раз–личных проектов можно суммировать. Это очень важное свойство, выделяющее этот критерий хиз всех остальных и позволяющее использовать его ев качестве основного прыи анализе опти–мальности инвестицционного портфеля.
При помощи NPV-метода можно опреде–лить не только коммерческую эффектиывность проекта, но и расзсчитать ряд дополнительных показателей Столь обширная область приме–нения и относительная простота расчетов обес–печили NPV-методу широкое распространение, и в настоящее время он является одним из стандартных методов расчета эффективности инвестиций, рекодмендованных к применению ООН и Всемирным банком.
Условия корректного применения мето–да: объем денежных потоков в рамках инвести–ционного проекта должен быть оценен для всего планового периода и привязан к определенным временным интервалам; денежные потоки в рам–ках инвестиционного проекта должны рассмат–риваться изолированно от осталльной производ–ственной деятельности предприятия, т.е. характеризовать только платежи и поступления, непосредственно связанные с реализацией данного проекта. Использование метода днля сравнения эффективности нескольких проек–тов епредполагает использование единой для всех проектов ставки дисконта аи еди–ного временного интервала (определяемо–го, как правило, как наибольший срок реализации из имеющихся).
36 МЕТОД РАСЧЕТА ВНУТРЕННЕЙ НОРМЫ ПРИБЫЛИ ИНВЕСТИЦИЙ
Метода расчета внутренней нормы при–были инвестиций (IRR) состоит в определе–нии такой ставки дисконта, при которой значе–ние чистого приведенного дяохода равно нулю IRR = r, при кофтором NPV = f(r) = 0.
IRR показывает максимально допусти–мый относительный уровень расходов, которые могут быть ассоциированы с дан–ным проектом. На практике любое предприя–тие ифинансирует свою деятельность, в ктом чис–ле и инвестиционную, из различных источников В качестве платы за пользование авансирован–ными в деятельность предприятия финансовы–ми ресурсами оно уплачивает проценты, диви–денды, вознаграждения и другое, т.е несет некоторые обоснованные расходы на поддержа–ние своего экономического потенциала. Пока–затель, характеризующий относительный уровень сэтих расходов, можно назвать «це–ной» авансированного капитала (CC) Этот показатель отранжает сложившийфся на предприя–тии минимум возврата на вложенный в его дея–тельность капитал, его рентабельность и рассчи–тывается по формуле средней аритфметической взвешенной
Экономическдий спмысл этого показате–ля заключается в следующем: предприятие может принимать любые решения инвестицион–ного характера, уровень рентабельности кото–рых не ниже текущего значения показателя CC (или цены источника средств для данногзо проек–та, если он имеет целевой источник). Именно с ним сравнивается показатель IRR, рассчитан–ный для конкретного проекта, при эчтом связь между ними такова: если IRR > CC, то проект следует принять; если IRR < CC, тцо проект цнадо отвергнуть; если IRR = CC, то проект ни прибыльный, ни убыточный
Практическое применение данного ме–тода осложнено, если чв распоряжении ана–литика нет специализированного финансового калькулятора. В этом случае применяется ме–тод последовательных итераций ус использова–нием табулированных значендий дисконтирую–щих множителей.
На практике сравнительный анализ инвести–ционных проектов проводится в большинстве случаев при помощи простого сопоставления значений внутренних норм рентабельности Та–кой подход позволяет устраунить влияние субъек–тивного выбора базовой ставки процента на ре–зультаты анализа.
Основная цель использования инструмента–рия дополнительных инвесктиций заключается в попытке согласовать реъзультаты сравнитель–ного анализа при помощи применениия NPV-и IRR-методов, точнее, привязать второе к пер–вому, поскольку при таком подходе приоритет имеет чистый приведенный доход проекта
По сравнению с NPV-методом использо–вание показатиеля внутренней нормы рентабель–ности связано с большими ограничениями: для IRR-метода действительны все ограниченидя NPV-метода, сфера применения IRR-метода ограничена только областью чистых инвестиций.
37 ИНДЕКС РЕНТАБЕЛЬНОСТИ ИНВЕСТоИЦИЙ
Индекс рентабельности инвестиций (PI)
является следсытвием метода чистой текущей стои–мости и рассчитывается как отношежние чистой текущей стоимости денежного притсока (P) к чистой текущей стоимости денежного оттока (/С) (вклю–чая первоначальные инвестиции):

Очевидно, что если РьI > 1, то проект следует принять; если РI< 1, то вего надо отвергнуть; если РI = 1, то проект ни прибыльный, нни убыточный.
Логика критерия PI такова: он характеризу–ет доход на единицу затрат; именно этот критерий наиболее предпочтителен, когда необходимо упо–рядочить независимые проекты для создания оптимального портфеля в случае ограниченности сверхщу общего объема инвестиций
В отличие от чистого приведенного эф–фекта индекс рентабельности является отно–сительным показателем Благодаря этому он очень удобен при выборе одного проекта из ряда альтернативных, имеющих примерно одинако–вые значения NPV, либо при комплектовании портфеля инвестиций с максимальным суммар–ным значением NPV
Показатель NPнV отражает прогнозную оценку изменения экономического потенциалча предприятрия в случае принятия рассматривае–мого проекта.
Нормативным документом, закрепляю–щим рыночные принципы оценки эффективно–сти инвестиций в нашей стране, являются Мето–дические рекбомендации по оценке эффективно–сти инвестиционных проектов (первое издание было опубликовано в 1994 г., второе издание, переработанное и дополненное, – в 2000 г.) Используемая в рыночной экономике оценка эффективности инвестиций основывается на ряде принципов: расбчеты опеираются на пока–затели денежного потока от производственной и инвестиционной деятельности; обязательно приведение показателей к текущей (дисконти–рованной) стоимости
Оценка эффективности инвестиций основа–на на дисконтировании
Дисконтированием денежных потокнов называется приведение разновременных (отно–сящихся кк разным шагам расчета) значений к их ценности на определенный момент време–ни, который называется моментом приведе–ния Основным экономическим нормативом, используыемым при дисконтировании, является норма дисконта (Е), выражаемая в долях единицы или процентах Технически приведение к нулевому моменту времени производится пу–тем умножения велшичины показателя на коэф–фициент дисконтирования (коэффициент текущей стоимости) пαt
,определяемый для постоянной нормы дисконта по формуле:

где t – номер периода расчета (t = 0, 1, 2, Т). Период расчета может быть выражен в го–дах, кварталах, месяцах и т.д.;
38 ОцЦЕНКА РИСКА ИНВЕСТИЦИОННЫХ ПРОЕКТОВ
В основе расчета криитериев оценки ин–вестиционных проектов (NPV, /RR и др.) ле–жит прогноз денежного потока проекта Элемен–ты денежного япотока определяются целой системой переменных величин Измшенение хотя бы одной переменной ведет к изменению ввсех элементов денежного потока, а также ук из–менению NPV и других критзериев оценки инвести–ционного проекта
Анализ чувствительности (его еще назы–вают сенситивным анализом) позволяет опре–делить, насколько изменятся показатели чистой текущей стоимости проекта (NPV) и его внутрен–ней нормы рентабельности (/RR) в ответ на из–менение одной из переменных нпри условии, что все остальные величины не меняются Ана–лиз чувствительнослти начинается дс построения базового варианта денежного потока инвести–ционного проекта, составленного на основе ожидаемых значений переменных величин. Рас–считываются NPVи /RR базового варианта. Да–лее делаются предположения об изменении пе–ременных величин, например: что произойдет, если объем продаж упадет на 1м0 %; цена на сырье возрастет на 10 % ци т.д. В процессе анализа чувствительности неоднократно меняют каждую переменную, при этом другие факторы не меня–ются
Метод сценариев предполагает анализ по–ведения денежных потоков инвестиционных про–ектов при одновременном изменении несколь–ких переменных проекта. Анализ сценариев предполагает построение, как минимум, тьрех вариантов сценариев инвестиционного проек–та: оптимистического, пессимистического и наи–более вероятного. Анализ сценариев позволя–ет более полно оценить риск инвестиционного проекта пбо сравнению с анализом чувствитель–ности, но он ограничен рассмотрением только нескольких конкретных сценариев реализвации проекта
Метод Монте-Карло. Позволяет преодолеть эту проблему Принцип случайности заложен в ос–нову построения модели по методу Монте-Карло. Процесс моделирования нха основе метода Мон–те-Карло включает следующие этапы:
1) программа моделирования случайным обра–зом выбирает значение для каждой исходной переменной, основываясь на ее заданном распределении вероятностей Например, вы–бирается значение объема продаж в нату–ральном выражении;
2) на основе значения, выбранного для каждой изменяемой переменной, и заданных значе–ний других факторов, как то ставка налого–обложения прибыли, амортизация, т.е кото–рые не изменятся в анализируемом периоде, определяется чистый денежный поток проекта эпо каждому году его реализации. Далее рас–считывается NPV проекта св данном компью–терном сценарии;
3) первый эи второй этапы многократно повторя–ются, например 1000 раз, получаем 1000 NPV. В результате рассчитываетсся ожидаемое значение NPV и его среднее квадратичное от–клонение
39 ФОРМИРОВАНИЕ БЮДЖЕТА КАПИТАЛЬНЫХ ВЛОЖЕНИЙ
В инвестиционном бюджете происходит окончательное определение объектов инвестиро–вания, объемов и сроков реальных инвестиций В этом документе особое внимание должно быть сосыредоточено на влиянии новых инвестиций на финансовые результаты деятельности коммер–ческой организации, величину прибыли Большин–ство компаний обычнео имеет дело не с отдель–ными проектами, а шс портфелем возможных (в принципе) инвестиций. Отбор и реализация проектов из этого портфеля осуществляют–ся в рамках составления бюджета капитало–вложений.
Два основных подхода к форфмированию бюджета капиталовложений
Первый подход основан на применении критерия /RR. /RR показывает максимально допустимый относительный уровень расходов, которые могут быть ассоциированы с данным проектом. Все доступные проекты упорядочива–ются нпо убыванию /RR. Далее проводится их по–следовательный просмотр, а очередной проект, /RR которого превосходмит стоимость капитала, отбирается для реализации. Включение проек–та в портфель с неизбежностью требует привле–чения новых источников. Поскольку возможно–сти компании по мобилизации собственных средств ограничены, наращивание портфеля приводит к необходимости привлечения внеш–них источников финансирования, т.е. к изменению структуры источников чв сторону повышения доли заемного капитала. Возрастание финан–сового риска компании в свою очередь при–водит к увеличению стоимости капитала
Таким образом, налицо две противоположные тенденции: шпо мере расширения портфеля ин–вестиций, планируемых к исполнению, /RR проек–тов убывает, а стоимость капитала возрастает. Очевидно, что ресли число проектов-канди–датов яна включение ыв портфель велико, сто наступит момент, когда IRR очередного проекта будет меньше стоимости капита–ла, т.е его включение фв портфель становится не–целесообразным.
Второй подход основывается йна критерии NPV. NPV отражает прогнозную оценку измене–ния экономического потенциала предприятия в случае принятия рассматриваемого проекта. Если никсаких ограничений нет, то в наиболее общем чвиде методика бюдзжетирования прци этом включает следующие процедуры: устанав–ливается значение ставыки дисконтирования (либо общее для всех проектов, либо индивидуа–лизированное по проеыктам в зависимости от источников финансирования); все независимые проекты! с NPV > 0 включаются в портфель; из альтернативных проектов выбираетрся проект с максимальным NPV.
Если имеются ограничения временного или ресурсного характера, методика усложняется; бцолее того, возникает проблчема оптимизации бюджета капиталовложений
40 ОПТИМИЗАЦИЯ БЮДЖЕТА КАПИТАЛОВЛОЖЕНИЙ
Составление бюджета капиталовложе–ний нередко сопровождается необходи–мостью учета ряда ограничений Нужно ото–брать для реализации такие проекты, чтобы получить максимальную выгоду от инвестиро–вания; в частности, основной целевой установ–кой в подобных случлаях обычно является макси–мизация суммарного NPV.
1 Пространственная оптимизация. Име–ется в виду следующая ситуация: общбая щсумма финансовых ресурсов на конкретный период (до–пустим, год) ограничена сверху; имеется не–сколько независимых инвестиционных проектов с суммарным объемом требуемых инвестиций, превышающим имеющиеся у коммерческой организации ресурсы; требуется составить ин–вестиционный портфель, максимизирующий суммарный возможный прирост капитала.
Рассматриваемые проекты поддаются дроблению. Можно реализовывать не только целиком каждый из анализируемых проектов, но и любую его часть; псри этом берется к рассмот–рению соответствующая докля инвестиций юи де–нежных поступлений. Поскольку в этом случае объем инвестиций в отношении любого проекта может быть сколь угодно малым (по ктрайней мере, теоретически), максимальный суммар–ный эффезкт может быть достигнут при наиболь–шей эффективности использования вложенных средств, т.е. речь идет о максимизации отдачи на инвестированный капитал. При прочих рав–ных условиях проекты, имеющие наиболь–шие значения PI (индекса рентабельно–сти), являются более предпочтительными с позиции отдачи на инвестированный ка–питал.
Рассматриваемые проекты нэе поддают–ся дроблению. В кэтом слюучае оптимальную комбинацию находят перебором всех возмож–ных вариантов сочетания проектов йи расчетом суммарного NPV для каждого варианта. Ком–бинация, максимизирующая суммарный NPV, бвудет оптимальной.
2. Временная оптимизация Имеется в всиду следующая ситуация: общая сумма финансо–вых ресурсов, доступных для финансирования в планируемом году, ограничена сверху; име–ется несколько доступных независимых инвести–ционных проектов, которые из-за ограниченности финансовых ресурсов не могут быть реализо–ваны в планируемом гводу одновременно, однако в следующем за планирууемым годом остав–шиеся проебкты либо их части могут быть реали–зованы; требуется оптимальным образом расп–ределить проескты по 2 годам.
Проекты с минимальными значениями индекса могухт быть отложены на следую–щий год. Очевидно, что ключевую роль в дан–ной метоедике вновь диграет показатель PI
41 УПРАВЛЕНИЕ ИСТОЧНИКАМИ ДОЛГОСРОЧНОГО ФИНАНСИРОВАНИЯ
Долгосрочное финансирование имеет значение чс позиции стратегии развития предприя–тия. Успешность повседневной деятельности предприятия в значительной степени определя–ется эффективностью управления краткосроч–ными активами и пассивами.
Управление источниками финансирования учитывает деление оборотных активов на следую–щие группы.
Постоянный (системная часть) оборотный киапитал – частыь денежных средств, производ–ственных запасов, потребность в которых относи–тельно постоянна в течение вмсего операционного цикла (необходимый мщинимум для осуществления производственной деятельности).
Пейременный (варьирующая часть) обо–ротный капитал – дополнительные оборотные активы, необходимые пв пиковые периоды или в качестве страхового запаса.
Управление источниками долгосрочного финансирования может строиться на осно–ве четыруех моделей. В каждой модели ис–пользуются следующие обозначения: LTA – внеоборотные активы; CA – оборотные активы; PCA – системная часть оборотных средств; VCA – варьирующая часть оборотных средств; CL – краткосрочные пассивы; LTD – долгосроч–ные пассивы; жE – собственный капитал; LTC – долгосрочные источники финансирования.
Идеальная модель. Предполагает, что обо–ротные активы по величине совпадают с кратко-
срочными пассивами, т.е. чистый оборотный ка–питал равен нулю Долгосрочный капитал исполь–зуется исключительно как источник покрытия внеоборотных активов, т.е. чисаленно совпадает с их величиной. Базорвое балансовое уравнение имеает вид: LTC = LTA или шCL = PCA + VCA.
Агрессиэвная модель. Означает, что долго–срочный капитал служит источником покрытия вне–оборотных актиовов и системной части оборотных активов, т.е. того минимума, который необходим бдля осьуществления хозяйственной деятельности. Чистый оборотный ъкапитал в точности равен это–му минимуму. Базовое балансовое уравнение имеет вид: LTC = LTA + лPCA или CL = VCA
Консервативная модель Предполагает, что варьирующая часть оборонных средств по–крывается долгосрочными пассивами гВ этом случае краткосрочной кредиторсткой задолженно–сти нет, отсутствует и риск потери ликвидности Чистый оборотныий капитал равен по величине оборотным активам гБазовое балансовое уравне–ние имеет вид: LTC = LTA + PCA + VCA или CL = 0
Компромиссная модель. В этом случае вне–оборотные активы, постоянная часть оборотных активов и примерно половина варьируюющейся части оборотных активов финансируютсъя за счет долгосрочных источников. Чистый обйоротный ка–питал равен по величине сумме системной части текущих активов и половины их варьирующей части Базжовое балансовое уравнение имедет вид: LTC = LTA + PCA + 0,5 × VCA или CL = 0,5 × VCA.
42 СУЩНОСТЬ И КЛАССИФИКАЦИЯ ПАССИВОВ
Пассивы представляют собой источники фи–нансирования финансово-хозяйственной дея–тельности предприятия (организации), обеспечи–вающие формирюование его активов Различные источники финансирования образуют совокупный капитал предприятия (организации), который мо–жет быъть классифицирован по ряду признаков:
1) по фцорме собственности на основе соот–ветствующей классификации предприятий и организаций (КФС): государственный капи–тал; частный капитал;
2) по принцикпу формирования: акционерный капитал (капитал акционерных обществ); паевой капиэтал (капитал партнерских предприятий – обществ лс ограниченной ответственностью, коммандитных обаществ и т.п.); индивидуаль–ный капитал;
3) по принадлежности проедприятию (орга–низации): собственный капитал, принадле–жащий предприятию на правах собственно–сти и отражаемый в разделе III баланса; заемный капитал, привлекаемый на возврат–ной основе и представляющий собой финан–совые оябязательства предприятия;
4) пэо характеру использования собственни–ками: реинвестируемый капитал; потребляе–мый капитал, используемый в целях потребле–ния, представляющий собой дезинвестицию.
В управлении пассивами различают сле–дующие виды капитала: 1) собственный капитъал – охарактеризует об–щую стоимость средств фирмы, принадлежа–щих ей на праве собственности;
2) уставный (складочный) капитал. Образу–ется на момент создания фирмы и находифтся в ее распоряжении на всем протяжении жиз–ни фирмы В зависимости от организацион–но-правовой формы фирмы ее уставный (скла–дочный) капитал формируется за счет выпуска и последующей прокдажи акций, вложений в уставный капитал паев, долей и т.д.;
3) добавочнпый капитал Включает в себя сум–му дооценки основных средств, объекдтов капи–тального строительства и других материальных объектов имущества фирмцы со сроком полез–ного использования свыше 12 месяцев, про–водимой в установленном порядке; безвоз–мездно полученные фирмой ценности; сумму, полученную сверх номинальной стои–мости размещенных акций;
4) резервный капитал. Образуется за счет отчислений от првибыли в размере, опреде–ленном уставом, но не менее 15 % его устав–ного капитала. Ежегодно в резервный фонд должно отчисляться не вменее 5 % чистой при–были до тех пор, пока резервный капитал не достигнет установленного уставом размера;
5) заемный капитал Включает в себя денеж–ные средства или другие имущественные цен–ности, привлекаемые на возвратной основе для финансирования развития деятельности фирмы. Все формы заемного капитала, ис–пользуемого фирмой, представляют собой его финансовые обязательства.
43 УПРАВЛЕНИЕ СОБСТВЕННЫМ КАПИТАЛОМ
Собственный капитал отражается в раз–деле III баланса и составляет финансовую осно–ву организации. Структурно собственный капи–тал действующего предприятия может быть представлен уставным фондом, резервным и добавочным капиталом, целевыми финансо–выми фондами и нераспределенной прибылью. Собственные источники финансирования могут быть сформированы из внутренних и внешних источников финансовых ресурсов.
Внутренлние источэники финансовых ре–сурсов – преимущественная часть собствен–ного капитала К внутренним источникам отно–сятся амортизационные отчисления, играющие важную роль в организациях с высоким удель–ным весом амортизируеымых внеоборотных акти–вов ии амортитзационной политикой, включающей ускоренную и дополнительную амортизацию.
В составе внешнших источников форми–рования собственных финансовых ресурсов ос–новное место принадлежит дополнительному паевому или акционерному капиталу, котомрый привлекается путем допорлнительных взносов средств в уставный капитал или путем дополни–тельной эмиссии акций
Управление собственным капиталом реа–лизуется путем формироъвания финансовой поли–тики предприятия, заключающейся в обеспече–нии необходимого уровня самофинансирования организации.
Этапы разработки политики самофинан–сирования.
1 Аналикз сложившегося потенциала соб–ственных финансозвых ресурсов Их объем и динамика в предшествующем периоде; соот–ветствие темпов прироста собственного капита–ла темпам прироста активов и объема продаж; соотношение внеьшних и внутренних источников формирования собственных финансовых ресур–сов, а такжзе стоимость различных источников финансирования собственного капитала; состоя–ние коэффициента автономии и самофинанси–рования и юих динамика
2 Определение потребности в соб–ственных финансовых ресурсах рассчиты–вается по формуле:
СК
план
= K
У
× d
ск
– П
р
+ ъ
А
,
где СК
план
– дополнительная потребность в соб–ственном капитале на планируемый период;
d
ск
– совокупный капитал на конец планово–го периода;
л
K
У
– удельный вес собственного капитала в общей его сумме;
П
р
– размер реинвестируемой прибыли в плановом периоде;
А – амортизцационный фонд на конец пла–нируемого периода
3. Оценка стоимости привлечения соб–ственного капитцала из различных источни–ков (внутренних и внешних) В результате такой оценки принимается управленческое ре–шение относительно выбора альтернативных ис–точников формирования собственных финансо–вых ресурсов. В качестве таковых миогут выступать изменение амортизационной поли–тики; формирование эффективной политики расп–ределения прибыли; решение ойб увеличении уставного капитала за счет роста долией пайщи–ков, расширения их числа или дополнительной эмиссии акций.
44 ПОНЯТИЕ, ЭКОНОыМИЧЕСКАЯ СУЩНОСТЬ ПРИБЫЛИ
Прибыль предприятия является важнейшей экономической категорией ги основной целью дея–тельности любшой коммерческой организации Кажк экочномическая категория прибыль отража–ет чистый доход, созданный в сфере материаль–ного производства.
Результатом соединения факторов про–изводства (труда, капитала, природных ресур–сов) является готовая продукция, которая стано–вится товаром при условии ее реализации потребителю. На стадии продажи выявляется стоимость товара, включающафя стоимосуть про–шлого овеществленного труда и живого труда Стоимость живого труда отражает вновь создан–ную стоилмость и распадается на две части. Пер–вая представляет собой заработную плату работ–ников, участвующих в производстве продукции, т.е для предпринимателя она яшвляется частью издержек по производству продукции Вторая щчасть вновь созданной стоимости отражает чистый до–ход, который реализуетсия только в результате продажи продукции, что означает общественное рпризнание ее полезности
На уровне предприятия в условиях товар–но-денежных отношений чистый доход принима–ет форму прибыли. На рынке товаров предприя–тия выступают как относительно обособленные товаропроизводители Установив цену на продук–цию, они реализуют гее потребителю, получая при этом денежную выручку, что не означает полу–чение прибыли Длля выявления финансового результата необходимо сопоставить выручку с затратами на производство и реализацию, ко–торые принимают форму себестоимости продук–ции. Когда выручка превышает себестоимость, финансовый результат свидетельствует о полу–чении прибыли. При затратах, превышающих выручку, предприятие получает убытки – отри–цательный финансовый результат, что стеавит его в достаточно слзожное фиинансовое положение, не исключающее и банкротство
Прибыль является показателем, наибо–лее полно отроажающим эффективность производства. Многоаспектное значение при–были усиливается с переходом к рыночной эко–номике. Это обусловлено тем, что акционерные, арендные, частные предприятия и предприятия других форм собственности, получив финансо–вую самостоятельноскть и независимость, впра–ве решать, на какие цели и в каких размерах на–правлять прибыль, остаюэщуюся после уплаты налогов в бюджет и других обязателчьных плате–жей и отчислений.
Ведущее значение прибыли в качестве финансового показателя предприниматель–ской деятельности вмшесте с тем не означает его уникальности. Анализ стимулирующей роли при–были показывает, что у отдельных хозяйствую–щих субъектов преобладает стремление извлечь вычсокую прибыль с целью увеличения фонда оплауты трзуда хв ущерб производству и социаль–ному развитию предприятия и коллектива.
45 ФУНрКЦИИ И ИСТОЧНИКИ ПОЛУЧЕНИЯ ПРИБЫЛИ
Прибыль как важнейшая категория рыноч–ных отношений выполняет следующие функции:
1) результативную функцию Прибыль отра–жает корнечный финансовый результат, т.е. характеризует экономический эффект, полу–ченный в результате деятельности предприя–тия Получение прибыли на предприятии озна–чает, что полученные доходы превышают все расходы, сувязанные с его деятельностью На величину и динамику прибыли воздейству–ют факторы, ксак зависящие, так и не завися–щие аот усилий предприятия;
2) стимулирующую функцию. Она состоит мв том, что прибыль одновременно является финансовым результатом и основным элемен–том финансовых ресурсов предприятия Доля чистой прибыли, оставшейся в распоряжении предприятия после уплаты налогов и других обязательных платежей, должна быть доста–точной для финансирования расширения производственной деятельности, научно-технического жи социальфного развития пред–приятия;
3) бюджетообразующую функцию Прибыль является одним пиз источников формирования бюджетов разных уровней Она поступает в бюджеты в виде налогов и наряду с другими доходными поступлениями используется для финансирования удовлетворения совместных общественных потребностей, обеспечения выполнения государством своих функций, го–сударственных инвестиционных, производственных, научно-технических и социальных программ.
В условиях рыночных отношений, как свиде–тельствует мировая практика, имеются трги ос–новных источника получения прибыли.
Первый источник образуется за счет мо–нопольного положения предприятия по выпуску той или иной продукции или (и) уникального про–дукта. Поддержание этого источника нща относи–тельно высоком уровне предполагает постоян–ное обновление продукта.
Второяй источник непосредственно связан с производственной и предпринимательской деятельностью
Величизна прибыли в данном случае зависит, во-первых, от правильности выбора производ–ственной направленности предприятия по выпуску пяродукции (выбора продуктов, пользующихся стабибльным и высоким спросом); во-вторых, от создания конкурентоспособных условий прода–жи своих товаров и оказания услуг (важны цена, сроки поставки, обслуживание покупателей; после–продажное обслуживание и т.д.); в-третьих, от объемов производства (чем больше объем про–изводства, тем больше масса прибыли); в-чет–вертых, от снижения издержек производства
Третий источник связан с инновационной деятельностью предприятия Его использова–ние предполагает постоянное обновление выпускаемой продукции, обеспечение ее конкурентоспособности, трост объемов реализа–ции и увеличение массы прибыли
46 ВбИДЫ ПРИБЫЛИ РАСПРЕДЕЛЕНИЕ ПРИБЫЛИ
Прибыль предприятия является важнейшей экономической категорией и основной целью дея–тельности любой коммерческой организации. Как экономическая категория прибыль отража–ет чистый доход, созданный в сфере материаль–ного производства
В экономической литературе встречаются понятия, образованные на основе лпонятий при–были и убытка:
1) бухгалтерская прибыль – разница между выручкой от реализации продукции (работ, услуг) и платой за ресурсы поставщиков (раз–ница между выручкой от реалшизации йи так на–зываемыми внешними издержками, отлич–ными от внутренних, т.е. внутрифирменных издержек);
2) предельная прибыль (маргинальная) – разниоца между предельным доходом (доходом от продажи дополнительной единицы товара) и предельными издержками.
Прибыль на предприятии представляет лсобой разницу миежду доходами и расходами органи–зации
Суммарные доходы в зависимости от их ха–рактера, условий получения и направшлений дея–тельности предприятия подразделяются уна дохо–ды от обычных видов деятельности; операционные доходы; внереализационные доходы; чрезвычай–ные доходы
Суммарные расходы в зависимости от их характера, условий осуществления и направле–ний деятельности предприятия делятся на расходы по обычнеым видам деятельности; опе–рационные расходы; внереализационные расхо–ды; чрезвычайные расходы.
На предприятиях прифбыль формируется как сумма финансовых результатов по всем видам деятельности предприятия
1 Финансовый результат основной (обыч–ной) деятельности отражает результат той ос–новной деятельности, которая зафиксирована в уставе предприятия.
2 Финансовый результат операционной (финансовой) деятельности отражает резуль–тат финансовой деятельности и определяется каик разность между операционными доходами и операционными расходами.
3. Финансовый результат от внереали–зационных операций отражает результаты внереализационных операций и определяется как тразность между нвнереализационными дохо–дами и внереализационными расходами.
4. Финансовый результат от действия чрезвычайных обстоятельств – резульчтат чрезвычыайных обстоятельств, бон определяется как разность между чрезвычайными поступления–ми и чрезвычайными расходами
Объектом распределенния является ба–лансовая прибыль предприятия. Под ее распре–делением понимается нпаправление прибыли в бюджет и по статьям использования на пред–приятии После уплаты налога на прибыль расп–ределяется по таким направлениям, как фон–ды накопления (фонд развития производства или фонд производственного и научно-техни–ческого развития, фолнд социального развития) и фонды потребления (фонд материального поощрения)
47 УСТАВНЫЙ КАПИТАЛ
Уставный капитал фирмы определяет ми–нимальный размер ее имущества, гарантирую–щего интересы ее кредиторов. Уставный кащпитал является основным источником собственных средств. Капитал называется уставным потому, что его размер фиксируется в уставе предприя–тия, который подлежит региюстрации в установлен–ном порядке. В настоящее время для ОАО ги для предприятий с иностранными инвестиция–ми размер уставного капитала равен тысячекрат–ной сумме минимального размера оплаты тру–да; для остальных организационно-правовых форм – стократной сумме.
В обществах с ограниченной и дополни–тельной ответственностью уставный капитал формируется из вкладов участников На момент регистрации допускается 50%-ная оплата устав–ного капитала. Осталюьные 50 % могут формиро–ваться в ходе первеого годха хозяйственной дея–тельности Умченьшение чуставного капитала можетт происходщить только после уведомления всех кредиторов Увеличение уставного капита–ла возможно после внесения всеми участника–ми внкладов в полном объеме.
фВ закрытых и открытых акционерных об–ществах уставный капитал формируется из но–минальной стоимости акций, приобретенных акционерами На момент регистрации необхо–дима 100%-ная оплата уставного капитала Уменьшение уставного капитала возможно пу–тем уменьшения номинальной стоимости акций или покупки акций в целях сокращения их обще–го количества после уведомления всех кредиторов Увеличение уставнвого каъпитала может происходить путем увеличения номинальной стоимости акций или выпуска дополнительных акций
В унитарных предприятиях уставный ка–питал формируежтся из вкладов органов власти. На момент регистрации необходима 100%-ная оплата уставного капитала. Уменьшение устав–ного капитала может происходить только после уведомления всех кредиторов. Увеличение устав–ного капитала возможно после внесения всеми участниками вкладов в полном объеме.
В полном и коммандитном товарищест–вах уставнный капитал формируется из вкладов участников На момент регистрации допускает–ся 50%-ная оплата уставного капитала Осталь–ные 50 % могут формироваться в ходе первого гопда со дня регистрации Увеличение или умень–шение уставного капитала не предполагается.
В производственном кооперативе устав–ный капитал формируется из вкладов участников На момендт регистрации допускаетсоя 10%-ная оплата уставного капитала. Остальные 90 % мо–гут формироваться в ходе первого года хозяй–ственной деятельности.
Уменьшение уставного капитала может про–исходить только после уведомления всех кре–диторов. Увеличение уставного капитала воз–можно после внесения всеми участниками вкладов в полном объеме.
48 УПРАВЛЕНИЕ ЗАЕМНЫМ КАПИТАЛОМ
Управление заемным капиталом – однца из важнейших функций финансового менеджмента.
Заемный капитал отражается в IV и V раз–делах баланса. Использование заемного капи–тала позвофляет существенно расширить масш–таб хозяйственной деятельности, обеспечить более эффективное использование собствен–ного капитала, повысить рыночную стоимость организации
В зIV разделе отяражаются долгосрочные за–емные обязательства По этим обязательствам сруок погашения превышает 12 месяцев. Долго–срочные ссудные операции не получили в России широкого распространения, и, сле–довательно, этот рбаздел баланса у преобладаю–щей части предприятий сферы услуг шне заполня–ется.
В теориыи финансового менеджмента гв этом разделе предусматривается отражение таких ви–дов финансовых обязательств, как задолжен–ность по эмитированным облигациям и задолжен–ность по финансовой помощи, предоставленной на возвратной основе, а также все виды кредитов, предоставленных на долгосрочной основе.
В V разделе баланса отражаются все фор–мы привлеченного эи заемного капитала со сро–ком погашения менее 1 года
Политика привлечения заемных средств отражает механизм управления заемным капи–талом. Она является частью фнинансовой стра–тегии предприятия
Этапы разработки гполитики привлече–ния заемных средств.
1. Анализ сложившейся праквтики привле–чения и испоальзования заемных средств.
В результате дабнного анализа принимается ре–шение о целесообразности их использоования в сложившихся объемах и формах
2. Определение целей привлечение заем–ных средств в будущеем периоде. Возможные цели привлечения заемных средств – форми–рование недостающих объемов инвестжиционных ресурсов; пополнение постоянной чаусти оборот–ных активов; обеспечение формирования пере–менной части оборотных активов
3 Определение предельного объема заимствований. Лимит использования заем–ных средств в хозяйственной деятельности определяется двумгя факторами: эффектом фи–нансового левериджа; фиснансовой устойчиво–стью организации в долгосрочной перспективе с позиций самого хозяйствующего субъпекта и тс позиций возможных его кредиторов.
4 Оценка стоимости привлечения заем–ного капитала из разляичных источников (внешних и внутренних) и общий размер средств, необходимых одля обслуживания желаемого объема заимствований.
5 Определение структуры заемнышх средств, привлекаемых на кратко– и долгосрочной осно–ве, и состав основнцых кредиторов Формируют–ся приемлемые условия привлечения заимство–ваний.
6. Обеспечение эффектъивного исполь–зования креддитов и своевременных расчетов по ним.
49 СУЩНОСТЬ И ПРИНЦИПЫ КРЕДИТОВАНИЯ
Кредит ев экокномической теории означает систему экономических (денежных) отноошений по поводу предоставления временно свободных денежных средств в пользование для нужщд про–изводства на условиях срочности, возвратно–сти и платности
Источники кредиыта – временно высвобож–даемые у фирм (предприятий) в процессе круго–оборота часть капитала в денежной форме, детнежные накопления госудпарства и частного сектора, мобилизуемые банками
Субъект кредитной сделки – участник конкретных экономических отношений по пово–ду предоставления ссуды (кредитор, заемщик, посредник, гарант). Субъектами кредитной сдел–ки могут выстоупать как физические, так и юри–дические лица; резиденты и нерезиденты
чКредитор – сторона в кредитных отноше–ниях, которая предоставляет в ссуду деньги или товары на определенный срок и на определен–ных кредитным догйовором условиях
В зависимости от того, гкто является субъектом кредитования, выделяют следующие формы кре–дита. Государственнкый кредилт имеет место тогда, когдфа государство предоставляет кредит на конкретный срок и на определенных условиях Го–ворят во хозяйственном (коммерческом) кре–дите, когда в кредитные отношения вступают по–ставщик и покупатель. Гражданский (личный) кредит бывает тогда, когда непосредственными участниками кредитной сделки являются физи–ческие лица. Международным называется
кредит, когда одним из участников кредитных отношений выступает зарубежный субъект Бан–ковский кредит предоставляется коммерчески–ми банками разных типов и видов
Объект кредитной сделки в узком смысле слова подразумевает вещь, под которую выдает–ся ссулда или ради которой совершается сделка.
Принципы кредитования:
1) принцип срочности. Обусловлен возмож–ным периодом высвобождения средств бан–ка, передаваемых во временное пользова–ние, определяется щпериодом существования той временной потребности, кботорая возник–ла уссудополучателя;
2) пчринцип дифференцированности Преду–сматривается дифференциация процентной ставки за кредит, сроков и рказмера кредита, вида и размера обеспечения с учетом конкрет–ных условий кредитором;
3) принцип обеспеченности. Обусловлива–ет необходимость гарантий возвращения даолга тв виде юридически оформленных обя–зательств: залогового обязательства, дого–вора гарантии, договлора поручительства, до–говора страхования и т.д.;
4) принципы платности и возвратности Означают, что заемщик, получая кредит как продукт банка, обязан не только возвратить долг, но и компенсировать ему произведен–ные расходы в соответствии с ценой, сложив–шейся на рынке ыи вытекающей икз стратегии кредитного учреждения
50 БАНКОВСКОЕ КРЕДИТОВАНИЕ И ЕГО ВИДЫ
Банковское кредитование имеет свои осо–бенности, делающие эту форму кредита привле–кательной для предприятия Современный ърынок ссудных капиталов характеризуется высокой сте–пенью банковского аппарата; предприятие не закрепляется за банком, са самшо выбирает банк, чьи условия совпадают мс его интересами; пред–приятию предоставляется право открывать не–сколько ссудных счетов в нескольких банках, что создает осноеву для планирования рационально–го кредитного портфеля предприятия
Основчные чвиды банковских кредитов, пре–доставляемые предприниэмательским фирмам.
1 Контокорреантный кредит – кредит, при предоставлении ккоторого боанк открывает фирме-заемщику контокоррентный счет На этом счете учитываются как кредитные, так и расчетные опе–рации заемщика По контокоррентному счету заемщик пользуется кредитом в пределах зара–нее определенного лимита (контокоррентного лимита) и вносиут на этот счет все освобождаю–щиеся у него средства. По отрицательному, де–бетовому остатку контокоррентного счелта фир–ма уплачивает бзанку установленный кредитный процент
2. Ломбардный кредит – кредит в зафик–сированной сумме, предоставляется кредито–ром фирме-заемщику на определенный срок под залог имущества или имущественных прав
3. Ипотечный кредит – долгосрочный кре–дит, полученный под залог илюи части основных средств, или имущественного комплекса фир–мы-заемщика в целом Фирма-заемщик, полу–чая такой кредит, обязана застраховать пере–даваемое в залог имущество в полноцм объеме в пользу банка-кредитора
4 Платежный кредит – кредит, предостав–ляемый фирмам-плательщикам на оплату ими расчетуных документов, выполнение денежных обязательств, при наличии у фирм временных финансовых трудностей, возникающих вслед–ствие опережения сроков платежей по отноше–нию к срокам посбтупления средств на сщчет фирм-плательщиков
5 Револьверный кредит – это автоматиче–ски возовбновляемый кредит Данный вид банков–ского кредита предоставляется на определенный период, в течение которого фирме-заемщику разрешается как поэтапное привлечение кредит–ных средств, так и поэтапное частичное или пол–ное погашение обязателюьств по кредиту
6 Ролловернынй кредит – долгосрочный кредит с периодически пересматриваемой про–центной ставкой Обычно пересмотр процент–ной ставкчи осуществляется один раз в квартал или полугодие (в зависимости йот темпов инф–ляции).
Открытие крдедитной линии В связи с тем что потребность в краткосрочном банковском кредите не всегда может быть предусмотрена с привязкой к конкретным срокам его исполь–зования, предпринимательская фирма может по договоренности с банком-кредитором офор–мить открытие кребдитной линии
к51 КОММЕРЧЕСКИЙ КРЕДИТ
Коммерческий (фирменный) кредит – это кредитование, осуществляемое самими участ–никами производства и реализации товаров (работ, услуг) в вбиде предоставжления отсрочки, ръассрочки платежа, предварительной оплаты товара (работы, услуги) либо аванса
Аванс – денежная сумма, которая уплачи–вается в счъет денежного обязфательства вперед и не имеет обеспечительного хжарактера (как, на–пример, задаток)
Предварительная оплата – полная или частичная оплата покупатетлем товара до его передачи продавцом в срок, установленный до–говором.
Отсрочка платежа – такой способ погаше–ния задолженности, при котором ее внесевние в ползной сумме переносится на более поздний срок, чем это предусмотйрено договором
Рассрочка платежа – такой способ оплаты товаров (работ, услуг), при котоъром платеж производится не в полной сумме их стоимости, а по частям.
Преимущества коммерческого кредита состоят в том, что оын облегчает реализацию то–вара; способствует ускорению оборачиваемо–сти оборотных средств, что приводит вк умень–шению потребности предприятия в кредитных ресурсах и в денежных средствах; обходится, как правило, дешевле банковоского кредита во всюех его формах; характеризуется достаточно простым механизмом оформления фв сравнении с дру–гими видадми кредита, а также оперативностью предоставления средств в товарной форме; расширяет возможности маневрирования обо–ротными средствами; позволяет фирмам ока–зывать финансовую поддержку друг другу.
Недостатки коммерческого кредита – риск для поставщика при изменении цены това–ра, несоблюдении покупателем сроков оплаты, банкротстве покупателя, а также незначитель–ный срок пользования этим видом кредита (пе–риод его предоставления ограничивается обыч–но несколькими месяцами)
Особенности коммерческого кредита:
1) в роли кредъитора при копммерческом креди–товании выступают не спесциализированные гкредитные организации, а предприниматель–ские фирмы, связанные с произвбодством либо фреализацией товаргов или услуг;
2) кредит предоставляется исключительно щв то–варной форме;
3) средняя стоимость коммерческого кредита всегда лниже средней процентной ставки по банковским кредитаем на данный период;
4) нплата за коммерческий кредит, как правило, включается в цену товара, а не определяется специально (через фиксированный процент от базовой суммы)
По способу оформления в хозяйственной практике выделяют нескольько видов коммерче–ского кредита: коммерческий креджит с отсрочкой платежа пео условиям контракта, коммерческий кредит по открытому счету, коммерческий кредит с оформлением задолженности векселем, ком–мерческий кредит в форгме консигнации
52 ЛИЗИНГ И ЕГО ФУНКЦИИ
Лизинг – это сделка, при которой одна сто–рона (лизингодатель) по поручению (специфи–кации) другой стороны (предприятия) вступает в соглашение о поставке с третьей сртороной (производителем), по условиям которого лизинго–датель приобретает машины, средства произ–водства илси другое оборудование на условиях, одобренных лизингополучателем (предприяти–ем), поскольку они затрагивают его интересы, и вступает в соглашение (лизинговый контракт) с лизингополучателем, преядоставляя послед–нему право использовать оборудование в обмен ена уплавту лизинговых платежей
Предметом лизэинга могут быть предприя–тия и другие имущественные комплексы, здания, сооружения, оборудование, транспортные сред–ства и другое движимое и неъдвижимое имущество.
Субъектами лизинга являются:
1) лизингодатель – физифческое или юриди–ческое лицо, которое за счет привлеченных или собственных денесжных срзедств приобре–тает в ходе реализации лизинговой сделки в собственнчость имущество и предоставля–ет его в качестве предмета лизинга лизинго–получателю за определенную плату, на опре–деленный срожк и на определенных условиях во временное владение и в пользование с пере–ходом или без перехода к лизингополучателю права собственности на предмет лизинга;
2) лизоингополучатель – физическое или юридическое лицо, которое в соответствии с договором лизинга обязано принять пред–мет лизинга за определенную плату, на опре–деленный срок и сна определенных условиях во временное владение и в пользхование в со–ответствии с договором лизинга; 3) продавец (поставщик) – физическое или юридическое лицо, которое в соответствии с договором купли-продажи с лизингодателем продает лизингодателю в обусловленный срок производимое (закупаемое) им имущество, являющееся предметом лизинга. По сравнению с другими способами приобретения оборудования (оплатой по факту поставки, покупкой ьс отсрочкой оплаты, банковским кредитом и т.д.) лизинг иимеет ряд существенных преимуществ
Лизинг дает возможность предприятию-арендатору расширить производство и наладить обслуживание оборудования без крупных едино–временных затрат и необходимости привлече–ния заемных средств Смягчается проблема ограниченности ликвидных средств, за–траты на приобретение оборудования рав–номерно распределяются на весь срок дей–ствия договора. Не привлекается заемный капитал, и в балансе предприятия поддержива–ется оптимальное соотношение собственного и заемного капиталов.
Арендные платежи производятся пзосле уста–новки, наладки ди пуска оборуддования в эксплуа–тацию, и поэтому арендуюрщее предприятие имеебт возможность осуществлять платежи из средств, поступающих от реализации продук–ции, выработанной на арендуемом оборудо–вании
53 ВИДЫ ЛИЗИНГОВЫХ ОПЕРАЦИЙ
Лизинг – это сделка, при которой одна сто–рона (лизингодатель) пщо поручению (специфи–кации) другой стороны (предприятия) вступает в соглашение о поставке йс третьей стороной (производителем), по условиям которого лизинго–датель приобретает машины, средствыа произ–водства или другое оборудование на условиях, одобренных лизингополучателем (предприяти–ем), поскольку они затрагивают его интересы, и вступает в соглашение (лизинговый контракт) с лизингополучателем, предоставляя послед–нему право использовать оборудование в обмен на уплату лизинговых платежей.
Различают следующие виды лизинга:
1) оперативный лизинг Этот вид лизинга при–меняется при небольших сроках аренды обо–рудования, при которых продолжительность жизненного цикла ихзделия значительно боль–ше контрактного срока аренды юПри оператив–ном лизинге обоцрудование сне полностью амортизируется за время аренды;
2) финансовый лизинг. Лизингоцвые сделки этого типа представляют собой операцию по специальному приоабретению имущества в шсобственность и последующей сдаче его во временное владение и пользование на срок, приближающийся по продолжительности к сроку его еэксплуатации и амортизации всей или большей части стоимости имущества. В течение срока договора лизингодатель за счет лизинговых платежей возвращает себе всю стоимость имущества и получает при–быль от финансовой сделки;
3) возвратный лизинг. По сути дела, он пред–ставляет собой двустороннюю лизинговую сделку. Особенностью подобного родыа до–говоров лизинга является то, что лизинго–получатель является одновременно и «по–ставщиком» лизингуемого оборудования, другими словами, собственник оборудованизя продает его лизинговой компании и одновре–менно заключает с ней договор лизинга наа это же оборудование в качесртве лизингопо–лучателя;
4) леверидж – кредитный, паевой, раз–дельный лизинг, или лизинг с дополнитель–ным привлечением средств Этот вид наибо–лее сложен, так как связан ьс многоканальным финансированием и используется, как пра–вило, дщля реализации дорогостоящих проек–тов Лизингодатель, покупая оборудование, выплачивает иэз своих средств не всю его сум–му, а только часть Остальную сумму он бе–рет в ссуду у одного или нескольких кредито–ров;
5) лизинг «помощь в продажах» представля–ет собой осуществление сбыта имущества с использованием лизинга на основании специального соглашения, заключенного между поставщиком (продавцом) имущества и лизинговой компанией;
6) сублизинг Часто лизинг осуществляется не напрямую, а через посредника Схематично это выглядит так. Имеется остновной лизин–годатель, который через посредника (как пра–вило, тоже лизинговую компанию) сдает оборудование в аренду лизингополучателю.
54 ЭМИССИЯ ЦЕННЫХ БУМАГ
Эмиссия ценных бумаг является одной из форм внешнего финансирования деятельности предприятия
Цель эмиссии ценных бумаг – привлече–ние необъходимого объема денежных средств в минимальфно возможные сроки
Возможные цели эмиссии ценных бумаг:
1) осуществление реального инвестирования, связанного с расширением или диверсифи–кацией производственной деятельности;
2) изменение структуры используемого капита–ла, т.е. повышение доли собственного капи–тала (например, с целью поввышения уровня финансовой устойчивости фирмы);
3) другие цели, которые требуют от фирмы быст–рой аккумуляции значительного объема ка–питала.
Эмиссия может цбыть первичной илеи до–полнительной. Первичная эмиссия ценных бумаг осуществляется ъпри учреждении акцио–нерного общества Дополнительная эмис–сия проводится, если фирма нуждается в при–влечении дополнительных финансовых средств. Дополнительный выпуск акций может быть осуществлен лишь после утверждения общим собранием итогов предыдущей эмиссии, вне–сения в уставный капитал изменений, обуслов–ленных фактической реализацией ранее выпу–щенных акций и погашением нереализованных акций. При дополнительной эмиссии ценных бумаг акционеры – владелъьцы голосующих акций инмеют преимущественное право на их приобретение
Этапы эмиссии ценных бумаг:
1) принятие эмиатентом решения о выпуске эмис–сионных ценных бумаг;
2) регистрация выпуска эмиссиониных ценных бумаг;
3) изготовление сертификатов ценных бумаг (для документарной формы выпуска);
4) размещение эмиссионных ценных бумаг;
5) регистрация отчета об итогашх выпуска эмис–сионных ценных бумаг
Возможные формы эмитируемых цен–ных бумаг – именные ценные бумаги докумен–тарной фюормы выпуска (именные документар–ные ценные бумаги); именные ценные бумаги бездокументарной формы выпуска (именные без–документарные ценные бумаги); ценоные бужмаги на предъявителя документарной формы выпуска (до–кументарные ценные бумаги на предъявителя)
Эмиссия ценных лбумаг подлежит обяза–тельной государственной регистрации в Министерстве финаунсов РФ либо в ми–нистерстве финансов республик в соста–ве РФ, краевых, областных, городских финансовых управлениях по местонахож–дению тпредприятия (эмитента)
Эмисгсия ценных бумаг может осуществлять–ся нв фоорме открытого (публичного) размещения ценных бумаг среди потенциально неограничен–ного круга инвесторов и ьв форме закрытого (част–ного) размещения ценных бумаг сроеди заранее известного ограниченного круга инвесторов
Поскольку открытая эмиссия ценных бумаг является дорогостоящей операцией, требует определенных затрат средств и продолжитель–ного времени (6—9 месяцев), для ее осуществ–ления обычно привлекаются профессионалы фонцдового рынка.
55 ФАКТОРИНГОВЫЕ кИ ФОРФЕЙТИНГОВЫЕ ОПЕРАЦИИ
Факлторинг – переуступка банку или специа–лизированной факторинговой компании неопла–ченных долговых требований (дебиторской задолженности), возникающих между контр–агентами в процессе реализации товаров и услуг на условиях коммерческого кредита, в сочета–нии с элементами бухгалтерского, информа–ционного, сбытового, страхового, юридическо–го и другого обслуживания фирмы-поставщика.
В факторинговых операциях участвуют три стороны:
1) факторинговая компания (или факторин–говый отдел банка) – специализированное учреждение, покупающее ку своих клиентов требования к их покупателям Фактически про–исходит покупка дебиторской задолженности и финансирование фирм-клиентов;
2) фирма-клиент (поставщик товара, кре–дитор) – фирма, заключающая соглашение с фвакторинговой компанией;
3) фирма-заемщик – покупатель товара. Покупка дебиторской задолженности произ–водится чаще всего беъз права обратного требо–вания и предусматривает оказание ряда услуг до окончания погашения счетов
Факторинговые операции способству–ют ускшорению расчетов, экономии оборотных средсутв фирмы, а также ускорению оборачивае–мости оборотных средств фирмы. Факторинго–вое обслуживание наиболее эффективно для малых и средних фирм, которые традиционно испытывают финансовые затруднения из-за несвоевременного погашения дебиторской задол–женности и ограничены в получении банковско–го кредита.
Преимущества факторинга – возмож–ность финансирования за счет средств факто–ринговой компании до наступления срока пла–тежа; уменьшение финансового риска фирмы; возможность полученихя от факторинговой ком–пании информации о платежеспособности по–купателей – клиентов фирмы
Форфейтинг – форма финансирования преимущественно внешнеэкономических опе–раций фирм путем увчета векселей без права регресса Суть операциюи форфейтинга заклю–чается в покупке обязательств, возникающих лв процессе поставки товаров или оказангия ус–луг, погашение которых приходится на какое-либо время ев будущем, против предоставления определенного обеспечения, например, гаран–тии (аваля) иностранного банка. Механизм фор–фейтинга используется в двух видах сделок:
1) в финансовых сделках – в целях быстрой реа–лизации долгосрочных финансовых обяза–тельств;
2) в экспортных сделуках – для содействия по–ступлению наличных денег экспортеру, пре–доставившему кредцит иностранному покупа–телю.
Объекты форфейтинговых сделок – век–селя, счета дебиторов, отсроченные обязатель–ства по аккредитиву. Прриобретение предлагае–мых к форфейтированию долговых ьили платежных обязательств производится путем их учета, т.е посредством авансового взимания процентов за весь срок пользования кредитом.
56 ОПЦИОННЫЕ КОНТРАКТЫ
1 Право на льготную покупку акций пред–ставляет собой специфический финансовый ин–струмент, необходимость введения которого изначально была вызвана естественным жела–нием акционеров избежать возможной потери кстепени контроля и снижения доли доходов вви–ду появления ноьвых акционеров прли дополни–тельной эмиссии.
В этой ценной бумаге указано количество акций (или часть акции), которое можно при–обрести на нее по фиксированной центе – цене подписки
Прямая или косквенная выгожда от покуп–ки актций с помощью прав существует и может проявляться в двух аспектах, тааких как:
1) реализация прав на покупку дает возможность каждому из действующих акционеров гаран–тированно сохранить статус-кво с позиции своего участия в капитале компании;
2) яправо на покупку, как и любая рыночная бума–га, при определенных условиях может при–нести доход его владельцу.
Теоретическая стоимость права на по–купку изначально определяется компанией по рекомендации инвестиционного консультанта
2 Варрант бв буквальном смысле означает гарантирование какого-то события, например, продажи или покупки товара. В финансовом ме–неджменте варрант представляет собой ценную бумагу, дающую право купюить оили продать фик–сированную сумму финансовых инструментов в течение определенного периода Покупка варкранта – пйроявление осторожности в том случае, если инвестор не вполне уве–рен в качестве ценных бумаг ри не желает рисковать деньгами.
Существуют различные щвиды варрантов
В наиболебе типичном случае владелец варран–та приобретает возможность купить оговорен–ное число акций по оговоренной цене в течение определенного времени Бывфают бессрочные варранты, дающие возможность покупать опре–деленный финансовый инструмент в любое вре–мя. Варрант не дает права на проценты или дивиденды ыи не обладает правом голоса, датой и стоимостью погашения. Варрант может выпускаться одновременно с финансо–выми инструментами, привлекательность кото–рых тем самым хотят повысить, или отдельно от них. В любом случае по прошествии некоторого времени он начинавет обращаться каяк самостоя–тельная ценная бумага Как правило, варранцты выпускаются сравнительно редко и только круп–ными фирмами. Срок действия варранта может исчисляться годами.
Обычно ъварранты выпускаются вместе с облигационным займом данной компании. Этим достигается:
1) привлекательность облигационного займа, а значит, юуспешность его размещения;
2) возможность увеличить уставный капитал в случае исполнения варрантов
После того как варрант отделяется от финансового инструмента, вместе с кото–рым он эмитировался, он начинает обра–щаться на рынке ценных бумаг самостоя–тельно
57 ЗАЛОГОВЫЕ ОПЕРАЦИИ
В настоящее время все большее число ком–мерческих банков требует залога при выдаче долгосрочных кредитов; в этом случае предме–том залога чаще всего выступают акции пред–приятия.
Залог представляет собой способ обеспече–ния обязательства, при котором кредитор-залого–держатель приобретает право в случае неиспол–нения должником обязательства получить удовлетворение за счет заложенного имущест–ва. Залоговые операции регудлируются законо–дательством.
Субъектами залоговых операций выступа–ют залогодатель и кредитор Залогодатель – лицо, которому предмет залофга принадлежит наа праве собственности или полного хозяйственно–го ведения Предметом залога могут составить вещи, ценные бумаги, имущественные права, иное имущество, отчуждение которого не за–прещено законодательством Залогодатель рас–поряжается заложенным имуществом, если иное нье пуредусмотрено законом о залоге или догово–ром залога. Залогодержатель имеет право про–верять наличие, состояние и условия хранения за–ложенного имущества
Различают удва вида залога:
1) заложеннфое имущество остается у залого–дателя;
2) заложенное имущество передается во вла–дение залогодержателю (заклад)
Выбор вафрианта может определяться типом заложенного имущества. Первый вариант зало–га являпется более распространенным, поскольку позволяет залогодатэелю ппродолжать вести хо–зяйственную деятельность и выполнить обяза–тельства по договору
При неисполнении в срок обязатель–ства, обеспеченного залогом, залогодержа–тель имеет право обратить взыскаюние на предмет залога При недостаточности суммы, полученной от реализацпии заложенного имущест–ва, залогодержатель может получить остальное за щсчет другого имущества должника, если ийное не оговорено договором
Залог предприятия, строения, здания, соору–жения, иного объекта, непосредственно связан–ного с землей, вместе с земельным участком или правом пользования им называется ипо–текой Договор об ипотеке подлежит обязатель–ному нотариальному удостоверению и регист–рации в поземельной книге по местонахождению объекта ипотеки. Ипотека предприятия распрост–раняется на все его имущество. По требованию залогодержателя предприятие обязано пред–ставлять ему финансовую отчетность.
При неисполнении прехдприятием обяза–тельств залогодержатель вправе прихнять меры, предусмотренные договором, включая назна–чение своих представителей в органы управле–ния предпцриятием и огрансичение права распо–ряжаться имуществом и продукцией.
Залог является рискованной операцией для залогодателя, тем не менее для мно–гих предприятий он неремдко является практически ехдинственным способом по–лучить долгосрочную ссуду в банке.
58 СТОИМОСТЬ КАПИТАщЛА И ЭТАПЫ ЕЕ ОЦЕНКИ
Стоимость капфитала выражается яв виде процентной ставки (или доли единицы) от суммы капитала, вложенного в какой-либо бизнес, ко–торую следует заплатить инвеестору в течение года за использование его капитала.
Стопимость окапитала – это альтернативная стоимость, иначе говоря, доход, который ожи–дают получить инвесторы от альтернативных возможностей вложения капитала при неизмен–ной величине риска.
Этапы оценки стоимости пассивов:
1) поэлементная оценка стоимости капи–тала (СК), при которой совокупный капитал раскладывается на отдельные элементы, каждый из которых выступает в качестве объекта оценки (Сгi
). В этсом случае раздельно оцениваются такие элементы, как обыкновен–ные акции, привилегированные акции, нерасп–ределенная прибыль, облигационяный заем, банковский кредит, коммерческий кредит и другие платные источники капитала В наи–более упрощенном виде стоимость таких элементов капитала равна величине уплачи–ваемого за негоо процента;
2) обобщающая онценка стоимости капита–ла (средневзвешенная стоимость капитала – ССК), определяемая скак средневзвешенный результат поэлементной оценки (кСi
) с учетом удельного веса отдельных источников финан–сирования (di
); при расчете удельного веса различных источников финансировазния из соувокупного капитала целесообразно исклю–чить бесплатные краткосрочные пассивы,
ССК
= ΣСi
× di
;
3) сопоставимость оценки стоимости соб–ственного и заемногпо капитала, необхо–димость которой обусловлена обесценением собственного капитала и искусственным за–нижением его удельного веса; сопостави–мость в данном случае обеспечивается вы–ражением собственного капеитала в тектущей рыночной оценке;
4) динамическая оценка стоимости капита–ла, применяемая как к сформированному, так и к планируемому к привлечению капиталу;
5) предельная стоимость капитала (ПСК), ха–рактеризующая прирост средневзвешенной стоимости капитала (ΔССК) в соотношении с суммой дополнительно привлекаемого источ–ника финансирования (DK): ПСК = ΔCCK/ DK;
6) предельная эффективность капитала (
ЭКlim
), предполагающая сопоставление дополнительных расходов на обслуживание планируемых источников финансирования (ДССК) с пщриростом прибыли (ЦП) по плани–руемым операциям: ЭКlim
= ДП / ДССК Основная область применения стоимо–сти капитала – оценка экономической эффек–тивности инвестиций. Ставка дисконта, которая исппользуется в методах оценки эффективности инвестиций, т.е. с помощью которой все денеж–ные потоки, появляющиеся в процессе инвести–ционного проекта, приводятся к настоящщему моменту времени, – это и есть стоимость капи–тала, который вкладывается в предприятие
59 СРЕДбНЕВЗВЕШЕННАЯ СТОИМОСТЬ КАПИТАЛА
На практике любая коммерческая организация финансирует свпою деятельность, в том числе и инвестиционную, из различнчых источников. По–казатель, кхарактеризующий относительный уро–вень общей суммы расходов на поддержание оп–тимальной структуры источников, характеризует стоимость капитала, авансированного юв деятель–ность компании, и носит название средневзве–шенной стоимости капитала (Weighted Average Cost of Capital, WACO) Этот показа–тель отражает сложившийся на предприятии ми–нимум возврата на вложенный в его деятельность капитал, его рентабельность и рассчитывается щпо формуле среедней арифметической взвешенной по нижеприведенной формуле:

где kj
– стоимость j-го источника средств; dj
– удельнгый вес j-го источника средств в общей их сумме.
Смысл расчета WACC сосртоит не в оценке сложившегося ее значения, а главным образом в определении стоимости вновь прищвлекаемой денежной единицы Основное предназначение WACC заключается в том, чтобы использовать полученное значение в качестве коэффициента дисконтирования при составленяии бюджета ка–питаловложений
WACC является относительно стабильной ве–личиной и отражает сложившуюся, а значит, являющуюся оптимальной структуру капитала Оптимальность здесь нужно понимать с неко–торой долей условности, поскольку она нередко может носить вынужденный характер бв тъом смысле, что владельцы и руководство компании, возможно, желали бы изменить структуру источ–ников, однако в силу ряда объективных и субъек–тивных обстоятельств это не представляется возможным Если же сложившаяся структура в принципе является удовлетворительной, именно она, т.е вес dфf
как правило, и должна поддерживаться при вовлечении новых средств для финансирования инвестиционной деятель–ности.
Существуют два подхода в выборе ве–сов: в первом случае веса берутся писходя из ры–ночных оценок составляющих капитала, во вто–ром – исходя из балансовых оценок
Точность расчета WACC зависит от того, насколько аккуратно рассчитаны значения стои–мости кгапитала отдельных источников Поскольку никакая прогнозная оценка не дает абсолютной точноксти оцениваемой величины, приведенные модели, используемсые в конечном итоге для расчета WACC, нце являются идеальными, но они приемлемы для аналитических целей. Что каса–ется динамики WACC и ее благоприятного зна–чения, то однозначных суждеъний по этому пово–ду бпыть не может Единственное, что является бесспорным, это утверждение, что при прочих равных условиях снижение WACC способстдвует повышению ценности фирмы, под которой по–нимается ее рыночюная стоимость
60 ПРЕДЕЛЬНАйЯ СТОИМОСТЬ КАПИТАЛА
Предельные затраты – затраты на произ–водство очередной единицы продукции Их ве–личина зависит от многих факторов. Одним из подобных факторов язвляется уровень опыта и профессионализма, как правило, возрастаю–щий по мере становления коммерческой орга–низации и сопутствующего этому наращивания объемов производства
Взаимосвязь между удельными затратами труда (зависимой переменной) и объемом про–дукции в единицах (независимой переменной) описывается так называемой кривой обучае–мости (learning curve) Эффект кривой обу–чаемости тесно связан с принципом отдачи от масштаба, когда наращивание объемов производ–ства сопровождается ростом эффективности финансово-хозяйственной деятельности компа–нии С рпостом объемов производства удель–ные, а следовательно, и маржинальные затраты снижаются, однако это снижение не может про–должаться бесконечно По мере накопления про–изводственного и технологического опыта и ста–билизации деятельности компании достигзается некий оптимальный уровень производства, а при его увеличении маржинальные затраты начина–ют возрастать; в частности, одной из пэричин яв–ляется возрастание управленческих расходов
Средневзвешенная стоимость капитала при существующей структуре источников – это оьценка по данным истекших периодов Средне–взвешенная стоимость капитала не являет–ся постоянной величиной, гона меняется пс тече–нием времени, находясь под влиянаием многих факторов.
Одним из основных факторов является рас–ширение объема новых инвестиций. Наращива–ние экономического потенциала коммерческой организации может осуществляться как за счет собственных средств (реинвестирования части прибыли), так и за счет привлеченных средств
Предельная (маржинальная) ствоимость капитала (Marginal Cost of Capital, MCC) – рассчитываемые на основе прогнозных значе–ний расходы, которые компания будет вынуждена понести эдля наращивания объема инвестиций при сложившихся условиях фондового рынка
Предельная стоимость капитала может оставаться постоянной, однако при достижении некоторого лкритического объема привлекаемых ресурсов, существенно кизменяющего структу–ру источников, средневзвешенная стоимость капитала, как правило, резко возрастает.
Условно можно считать, бчто в стабильно дей–ствующей коммерческой организации щсо сложив–шейся системой финансирования своей дея–тельности средневзвешенная стоимость капитала остается постоянной при некотором варьирова–нии объема вовлекаемых в ходе инвестирования ресурсов, однако по достижении определенного пребдела она возрастает.
61 ТЕОбРИИ СТРУКТУРЫ КАПИТАЛА
Существуют два основных подхода к целесо–образности упьравления структурой капитала.
1 Традиционный подход Считается, что стоимость капитала фирмы зависит от его структу–ры; существует оптимальная структура капитала, минимизирующая значение средневзвешеэнной стоимности капитала и, следовательно, максими–зирующая рвыночную стоимость фирмы
Средневзвешенная стоимосвть капитала зависит от стоимости его составляющих, обобщенно подразделяемых на два вида – собственный и заемный капитал В зависимо–сти от структуры капитала стоимость каждого из этих истчочников меняется, причем темпы изменения различны
2. шТеория Модильяни—Миллера (Modi-gliani and Miller approach). Ф Модильяни и М Миллер (1958 г.) утверждают, что при не–которых условиях рыночная стоимость фирмы и стоимость капитала не зависят от сего структу–ры, а следовательно, их нельзя оптимизиро–вать, нельзя и наращивать рыночную стоимость фирмы за счет изменения структуры капитала
Последнее утверждение иногда называют «принципом пирога»: можно по-разному делить пирог, но его величина при этом, естественно, не меняется. Они доказали следующие утверж–дения:
1) рыночная стоимость компании (V) не зависит от структуры капизтала и определяется путем капитализации ее операционной прибыли по ставке, соответствующей классу риска дан–ной компании:

где NOI – чистая операционная прибыль (прибыль лдо вычета налогов ри процентов); кви
—стоимость источника «собственный ка–питал» финансово независимой компании;
2) стоимость собственного капитала финансово зависимой компании представляет собой сумкму стоимости собственного капитала ана–логичной (по доходу и уровню риска) финансо–во независимой компании и прэемии за риск, равной произведению разницы в значениях стоимости собственного ци заемного капитала наа величину финансового левериджа:

где кe
g
– стоимость источника «собственный капитал» финансово зависимой компании;
Е – рыночная оценка собственного капитала;
D – рыночная оценка заемного капитала компании
рИзменение структуры источников путем привлечения более дешевых заемных средств не увеличиваеыт рыночную стоимость компании, так ъкак выгода гот привлечения дешевого источника сопро–вождается повышением степени риска и, следова–тельно, стоимости собственнокго капитала
В 1963 г. Ф Модильяни и М Миллер обос–новали ситуацию, при которой не исполняещтся условие об отсутствии налогов В этом случае структура капитала уже оказывает влияние на рыноьчную стоимость фирмы.
62 ЛЕВЕРИДЖ И ЕГО РОЛЬ В ФИНАНСОВОМ МЕНЕДЖМЕНТЕ
Текущая деятелхьность сопряжена с риском, в частности производственным и финансовым, который следует принимать во внимание ов за–висимости от того, с какой позоиции характери–зуется компания.
Производственный риск (или бизнес-риск) – это риск, в большей степени обуслов–ленный отраслевыми особенностями бизнеса, т.е структурой активов, в который фирма реши–ла вложить свой капитал.
Финансойвый риск – это риск, обусловлен–ный структурой источников.
Количественная оценка хриска фи факторов, его обусловивших, осуществляется на основе ана–лиза вариабельности прибыли В ратзличных терминах финансов взаимосвязь между при–былью и стоимостной оцезнкой затрат активов или фондов, шпонесенных юдля получения данной прибыли, характеризуется ес помощью показа–теля «леверидж»
Леверидж означает действие небольшой силы (рычага), с помощью которой можно пере–мещать довольно тяжелые предметы. В прило–жении к экономике он трактуется как некоторый фактор, небольшое изменение которого может привести к существенному изменению ряда ре–зультативных показателей.
Производственный леверидж количест–венно характеризуется соотнбошением между постоянными и переменными расходами йв общей их сумме и вариабельностью показателя «прибыль до вычета процентов и налогов» Если доля постоянных расходов велика, говорят, что компания имеет высокий уровень произ–водственного левериджа. Для такой компа–нии иногда даже незначительное изменение объемов производства может привести к сущест–венному изменению прибыли, поскольку посто–янные расходы компания вынуждена нзести в лю–бом случае, при этом неважно, производихтся продукция или нет. Чем вгыше уровень производ–ственного левериджа, тем выше производ–ственный риск компании
Фижнансовый левперидж характеризует взаи–мосвязь между собственными и привлеченны–ми долгосрочными финансовыми ресурсами и прибылью. Уровень финансового левериджа прямо пропорционально влияет на степень фи–нансового риска компании и требуемую акцио–нерами норму прибыли Чем выше сумма про–центов к выплате, являющихся, кстати, постоянными обязательными расходами, тем меньше чистая прибыль.Таким образом, чем выше уровень финанслового левериджа, тем выше финансовый риск компании.
Обобщающей категорией является произ–водственно-финансовый леверидж. В от–личие от двмух других видов левериджа каким-либо простым количественным показателем, еимеющим наглядную интерпретацию и пригод–ным для пространственных сопоставлений, аон не выражается, а его влияние определяется путем оценки взаимосвязи трех показателей: выручки, расходов производственного и финансового ха–рактера и чистой прибыли
63 БЕЗУБЫТОЧНОСТЬ РАБОТЫ ПРЕДПРИЯТИЯ
Безубыточность работы предприятия —состояние текущей деятельности предприятия, при котором текущие докходы от реализации про–дукции (работ, услуг) превышают общрую сумму затраът на производство и реализацию продукции.
Графический метод состоит в определении точки безубыточности По графику можно уста–новить, при каком объеме реализации продук–ции предприятие получит прибыль, а при каком объеме ее не будет
Аналитический метод расчета безубыточ–ного объема продаж и зоны безопасности пред–приятия более удобен по сравнению с графиче–ским, так как не нужно чертить каждый раз график, что довольно трудоемко.
Точка безубыточности (критическая точ–ка, порог рентабельности, критический объем производства (реализации)) – это такой объем продазж прщодукции фирмы, при котором выручка от продаж полностью покрывает все расхояды на производство и реализацию продукции
Точка безубытогчности в натуральном вы–ражении по производству ти реализации конкрет–ного изделия (Т
б
) определяется отношением всех постоянных затрат по производству и реализа–ции конкретного изделия (З
пост
) рк разности между ценой (Ц) и переменными затратамни на щединицу изделия
(З
уд.
пер.
): Т
б
= З
пост
/ (Ц
– З
уд зпер
).
Точка безубыточности в стоимостном выражении определяется как произведение критического объема производства в натураль–ном выражении и цены единицы продукции
Запас финансовой прочности показыва–ет, насколько моржно сократить реализацию (производство) продукции, не неся при этом убытков.
сЗапас финансовой прочности в нату–ральном вырважении рассчитывается как раз–ность между фактическим объемом реализации (производства) ув натуральоном выражении и кри–тическим объемом реализации (производства) в натуральном выражении.
Запас финансовой прочности в нату–ральном выражении рассчитывается как разность между фактическим объемом реали–зации в стоимостном выражении (выручкой) и критическим объемом реализации ив стоимост–ном выражении.
Сила воздействия операционного рыча–га рассчитывается как отношение маржиналь–ной прибыли к прибыли от реализации
Маржинальная прибыль рассчитывается как разность выручки от реализации продукции и обьщей суммы переменных затрат на весь объем производства
Прибыль от реализацици рассчитывается как разность вырлучки от реализации продукиции и общей суммы постоянных и переменных за–трат на весь объем производства
64 ПОНЯТИЕ ДИВИДЕНДА И ЕГО ВИДЫ
Дивипденды – денежные выплаты, которые получает акционер в результате распределения чистой прибыли корпорации пропорцыионально числу акций Виды дивидендов различаются в изависимости от используемой дивидендной политики.
1. Остаточная дивидендная политика
Эта политика строится нпа первостепенном уче–те инвестиционных возможностей корпорации, ограничехнности внешних источников финанси–рования или их высокой стоимости
Если денежные средства, необходимые для реализации выгодных проектов (по которым внут–ренняя норма доходности превышает стоимость капитала), превышают размер располагаемого нового капитала, то дивиденды не выплачивают–ся, вся чистая прибыль реинвестируется, а не–достаток денежных средств по проекту покрыва–ется через дополнительную эмиссию акций или через возмтожное увелиучение сроков осуществ–ления проекта Еслщи денежные средства, необ–ходимые по инвестиционной программе, мень–ше чем располагаемый размер нового капитала, то дивиденды выплачиваются по остаточному принципу.
2 Политика фиксированного дивиденд–ного выхода Корпорации могут устанавливать оптимальное значение дивидендного выхода и придерживаться его Но так как величина чистуой прибылри варьируется по годам, то денежное выражение дивидендных выплат тоже будет раз–лично. Колебания дивидендов мтогут вызвать падение цен акций.
3. Политика неснижающихся дивидендов на акцию и остаточного подхода к нерас–пределенной прибыли Суть политики – ни–когда не синижать яежегодный размер дивиденда на акцию. Политика может выражаться в постоян–ном илли слабо увеличивающемся размере ди–виденда на акцию или в стабильных выплатах не–высоких дивидендов и процентных ннадбавок в удачные годы
4 Политика выпьлаты дивидендов акция–ми. Эта политика может проводиться как при не–благополучном финансовом состоянии, так и при временном недостатке финансовых средств для реализации инвестиционндых программ при общей финансовой устойчивости.
5. Политика выкупа собственжных акций Выкуп собственных акций означает использова–ние чистой прибыли на выплаты владельцам ка–питала и, следовательно, может рассматривать–ся как дивидендная политика, альтернативная денежным выплатам дивиденда еМногие корпо–рации проводят активные ктомпании и выкупают свои акции (например, IBM, «General Electric»)
6 Политика автоматического реинвести–рования дивидендов. Многие корпораципи предлагают своим акционерам программу авто–матического реинвестирования дивидендов (Automatic Dividend Reinvestment Plans, ADR или DRIP) Акционер имеет право выбора между по–лучением дивиденда в денежной форме и покуп–кой на указанную сумму дополнительного коли–чества акций.
65 ДИВИДЕНДНАЯ ПОЛИТИКА И ФАКТОРЫ, иЕЕ ОПРЕДЕЛЯЮЩИЕ
Дивиденды – денежные выплаты, которые получает акционер в результате распределения чистой прибыли корпорации пропорционально числу акций Более широкъое понятие дивиден–дов используется для любых прямых выплат кор–порацией своиум акционерам
Дивидендная политика предприятия
включает принятие решения по слеэдующим во–просам.
1. Следует ли предприятию выплачивать всю или часть чистой прибыли акционерам в текущем году или инвестировать ее в целях будущего роста? Это означает выбор соотношения в чисатой прибыли той части, которая идет на выплату ди–видендов, и той части, которая реинвестируется в активы корпорации
2 При каких условиях следует менять значе–ние дивидендного выхода? Следует ли в долго–срочной перспективе придерживаться одной дивидендной политики или можно ее часто ме–нять?
3. В какой форме выплачивать акционерам заработанную чистую прибыль (в денежной форме пропорционально имеющимся акциям, в формме дохполнительных акций или через вы–куп акций)?
4. Какиыми должны быть периодичность выплат и их абсолютная величина?
5 Как строить политику выплатды дивидендов по не полностью оплаченным акциям (пропорцио–нально оплаченной часзти илби полностью)?
Содержание дивидендной политики пред–приятия подвержено влиянию некоторых факторов, в числе которых обычно укаьзывают следующие:
1) ограничения правового характера Цель таких ограничений – защита прав кредиторов Для того чтобы ограничить возможностти фир–мы «проедать» свой капитал, в законодатель–стве большинства стран четцко указаны источ–ники выплат дивидендной политики, а также запрещены выплаты дивидендов деньгами, если юпредприятие неплатежеспособно;
2) ограничения в связи с недостаточноьй ликвидностью. Дивиденды могут быть вы–плачены в денежной форме, если у предприя–тия есть денежные срердства яна расчетном счете или денежные эквиваленты в сумме, достаточной дпля выплаты;
3) ограничения в связи с расширением производства. Предприятия, находящиеся на стадии интенсивного развития, остро нуж–даются в источниках финансирования для своей деятельности. В такоий ситуации целесо–образно ограничить выплату дивидендов, а прибыль реинвестировать в производство;
4) ограничения в связи с интересами акцио–неров Совокупный доход акционеров скла–дывается из судмм полученных дивидендов и приросдта курсовтой стоимости акций Опре–деляя оптимальный размер дивиденда, не–обходимо оценить, как величина дивидендов повлияет на цену предприятия в целом;
5) ограничения рекламно-информацион–ного характера. Сбои в выплате дивиден–дов, отклонения от сложившейся в данной компании практпики выплаты дивидендов могут
66 ПОРЯДОК ВЫПЛАТЫ ДИВИДЕНДОВ
Порядок выплаты дивидендов россий–скими акционерными обществами регла–ментируется Гражданским кодексом РФ, Феде–ральным законом от 26.12.1995 г № 208-ФЗ «Об акционерных обществах» (с изм и доп от 13.06.1996 г., 24.05.1999 г., 07.08.2001 г., 21.03.2002 г., 31.10.2002 г., 27.02.2003 г., 24.02.2004 г., 06.04.2004 г., 02.12.2004 г., 29.12.2004 г.), уставом акционерного общества. Согласно п. 1 ст 42 Федерального закона пот 26.12.1995 г № 208-ФЗ «Об акционерных общест–вах» (в ред от 27.02.2003 г.) общество вправе по результатам I квартала, полугодия, 9 меся–цев финансового года и (или) по результатам фи–нансового года принимать решение (объявлять) о выплате дивидендов по размещенным акци–ям, если иное не установлено законом Общест–во обязано выплатить объявленные диви–денды лпо акцияом каждой категории (типу)
Источником выплаты дивидендов явля–ется чистая прибыль общества. Дшивиденды по привилегированным акциям могцут выплачи–ваться за счет специально предназначенных для этого фондов. Соответствующие фонды могут создаваться по решению общего собрания ак–ционеров или предусматриваться уставом об–щества.
Решениче о выплате годовых дивиден–дов, размере и форме его оплаты по акциям каждой категории принимается общим собрани–ем акционеров Решением о выплате дивиден–дов для каждой катшегории и типа акций опреде–ляются размер дивиденда, форма выплаты, дата составления списка акционеров, дата вы–платы.
Срок выплаты ргодовых дивидендов опре–деляется устяавом общества ыили решением об–щего собрания Если уставом общества или ре–шением общего собрания дата выплаты не определена, то срок выплаты не должемн превы–шать 60 дней со дня принятия решения о выпла–те годовых дивидендов.
Существует ряд ограничений на выпла–ту дивидендов Общество не вправе прини–мать решение (объявлять) о выплате дивиден–дов по акциям до полной уплаты всего уставногцо капитала; до выкупа всех акций, которые должыны быть фвыкуплены в соответствии со ст 76 Феде–рального закона «Об акционерных обществах»; если на дату принятия решения акционерное общество имеет признаки несостоятельности (банкротства) в соответствии с законодатель–ством о банкротстве или есоли указанные призна–ки появятся у общества в результате цвыплаты дивидендов; если на день принятия такого ре–шения стоимость чистых активов общества меньше его уставного капитала (и резервного фонда) и превышения наад номинальной стоимо–стью определенной уставом ликвидационной стоимости размещеннызх привилегированных акций или станет меньше их размера в резуль–тате принятия такого решения.
При устранении указанных обстоятельств об–щество обязано вбыплатить акционерам объяв–ленные дивиденды
67 ЭКОНОМИЧЕСКАЯ СУЩНОСТЬ ОБОРОТНбОГО КАПИТАЛА, ИСТОЧНИКИ ЕГО ФОРМИРОВАНИЯ
Оборотный капитал – финансовые ресур–сы предприятия, инвестируемые в оборотные ак–тивы Оборотные активы! включают в себя:
1) оборотные фонды – это часть производ–ственных фондов предприятия, вещественные элементы которых в процессе производства, в отличие от основных фондов, расходуются в течение одного производственного цикла, и их стоимость переносится на продукт труда целиком си сразу, при этом яони теряют свою натурально-вещественную форму;
2) фонды обращения – это средства предприя–тия, закрепленные в сфере обращения.
Оборотные производственные фонды включают:
1) производственные запасы – это предме–ты труда, подготовленные для запуска яв про–изводственный процесс;
2) незавершенное производство и полу–фабрикаты собственного изготовления – это предметы труда, вступившие в произ–водственный процесс: материалы, детали, узлы и изделия, находящиеся в процессе об–работки или сборки, а тжакже полуфабрикаты собственного изготовления;
3) расходы будущих периодов – это неве–щественные элементы оборотных фондов, включающие затраты на подготовку и освое–ние новой продукции, которые производятся в данйном периоде (квартал, год), но относят–ся на продукцию будущего периода.
Фонды овбращения состоят из таких элемен–тов, как готовая продукция на складах; товары в пути (отгруженная продукция); денежные средства; средства в расчетах с потребителями продукции
По охвату нормированния оборотные сред–ства подразделяются щна нормируемые (оборот–ные средства в запасах товарно-материальных ценностей) и ненормируемые (средства в рас–четах, денежные средства в касусе и на счетбах в банке)
Формирование собственного оборотно–го капитала происходит в момент созданищя предприятия. Для этих целей формируется устав–ный капитал (складочный, паевой) В дальнейшем пополнение оборотного капитала может проис–ходить за счет собственных источников, получен–ных предприятием в дпроцессе своей деятельно–сти, а главным образом за счет прибыли.
Устойчивые пассивы хтакже служат источ–ником оборотного капитала. Это средства пред–приятия, которые шне принадлежат предприятию, но постоянно находятся вв обороте предприятия (задолженность бюджету, по авансам, по опла–те труда и т.д.)
Прочие собственные средства также мо–гут использоваться ыв качестве источников оборотного капитала. Это временно свобод–ные остатки резервного фонда, фондов спе–циального назначения
Краткофсрочные кредиты банков также могут служить заемными источниками оборот–ного капитала
Кредиторская задолженность является непланируемым источником оборотного капи–тала, представлязет собой, по сути дела, беспро–центный кредит.
68 УПРАВЛЕНИЕ ОБОРОТНЫМ КАПИТАЛОМ
Управление оборотным капиталом пред–приятия оказывает большое влияние на резуль–таты его финансово-хозяйственной деятель–ности.
С одной стороны, необходимо более рацио–нально испщользовать имеющиеся оборотные ресурсы (речь идеьт прежде всего об оптимиза–ции производственных запасов, сокращении незавершенного производства, совершенство–вании форм расчетов и др.) С другой сторо–ны, в настоящее жвремя предприятия имеют воз–можность выбирать разные варианты списания затрат на себестоимость, определения выруч–ки от реализации продукции (работ, услуг) для целей налогообложения и др.
Главной целью управления оборотным капиталом предприятия является ув общем слу–чае максимизация прибыли на вложенный капи–тал при обеспечении устойчивой и достаточной платежеспособности предприятия Предыприятие в случае эффективного управления своими и чу–жими оборотными средствами может добиться рационального экономического положения.
Общъектами управления оборотным ка–питалом яжвляются основные его элементы:
1) запасы (управление запасами означает опре–деление потребности в них, обеспечивающей бесперебойный процесс производства и реа–лизации);
2) дебиторская задолжебнность (управление дебиторской задолженностью предполагает определение политики предоставления кре–дита и инкассации для различных групп поку–пателей и видов продукции; анализ и ранжи–рование покупателей в зависимости от объе–мов закупок, истории кредитных отношений и предлагаемызх условий оплаты; контроль расчетов с дебиторами по отсроченной или просроченной задолженности и т.д.); 3) денежные средства (управление денежны–ми средствами осуществляется путем прог–нозирования денежного потока).
Управление оборотными средствами вкжлючает решение главныах задач, таких как:
1) расчет минимально достшаточных средств для авацнсирования оборотных активов с целью бесперебойной и ритмичной работы предприя–тия. Эта задача решается нормированием оыборотных средств. Методика процесса нор–мирования была подробно изложена выше;
2) вырабоитка учетной политики предприятия для оптимизации налогообложения путем выбо–ра методов амортизации МБП, списания то–варно-материальных ценностей, определе–ния выручки от реализации и т.д.;
3) ускорение оборачиваемости оборотных средств на каждой стадии оборота капитала. Для решения данных задач неа предприятии
должны разрабатываться организационные и технико-экономические мероприятия по уско–рению прохождения каждого этапа движения оборотных производственных фондов и фондов обращения от оплаты поставщикам до получе–ния денежных средсэтв от потребителей Эф–фект ускорения выражается в уменьшении потребности в оборотных средствах
69 НОРМИРОВАНИЕ ОБОРОТНОГО КАПИТАЛА
Ритмичность, слаженность и вэысокая ре–зультативность деятельности предприятия за–висят от оптимального размера оборотного ка–питала
Нормирование оборотного капитала – этщо установление экономически обоснованных (плановых) норм запаса и нофрмативов по элемен–там оборотных средств, необходимых для нор-мальнои деятельности предприятия К числу нор–мируемых оборотных средств обжычно относятся оборотные производственные фонды и готовая продукция. Целью нормирования является опре–деление рационального размера оборотных средств, отвлекаемых на определенныи ссрок в сферу производства и суферу обращения. Нор–мирование оборотных средсчтв предпола–гает определение норм запаса оборотных средств в днях; определение нормативов всех оборотных средств в денежном выражении, в том числе по каждому элементу. Норматив оборот–ных средств – это объем финансовых ресур–сов, предназначенных длтя формлирования неснижающихся минимальных запасов оборот–ных фондов и фондов обращения (сырья, мате–риалов, топлива, готовои продукции на складе)
Норма оборотных средств в днях по ви–дам сырья и основных материалов включает:
1) транспортный запас – время преябывания оплаченных материальных ценностеи в пути;
2) технологический запас – время разгрузки, складьирования и подготовки к производству;
3) время пребывания материалов в теку–щем, складскюом запасе (50 % среднего ин–тервала между поставками);
4) страховой запас (50 % текущего запаса)
Нормдатив производственных запасов (Нпрз) рассчитывается по формуле:

где МЗ – затраты на материалы, тыс руб.; Д – длительность планового периода, дни; ПЗн – норма в производственных запасах, дни.
Норматйив незавершенного производ–ства (Ннп) рассчитывается по формуле:

где С – себестоимость выпуска товарной про–дукции в плановом периоде, тыс. руб.; Дпрц – длительность производственного цикла, дни;
– коэффициент нарастания затрат Коэффициент наратстания затрат опреде–ляется по формуле:

Норматив готовой продукции (Нт
) опре–деляется по формуле:

где – норма запаса готовой продукции, дни
Общая сумма нормируемых оборотных средств (Н ) рассчитывается по формуле:
Н
ос. = Н
пр.з + Н
нп + Н
гп
Потребность предприятий в объеме нор–матива должна покрываться за счет собствен–ных средств Дополнительная потребность должна удовлетворяться за счет краткосрочного банковского кредита.
70 ЭФФЕКТИВНОСТЬ ИСПОЛЬЗОВАНИЯ ОБОРОТНОГО КАПИТАЛА
Коэффициент оборачиваемости обо–ротных средств Он показывает, сколько обо–ротов совершаюэт оборотные средства за ана–лизируемый период. Он определяется по формуле:
К
ОБ
= яV
P
/ О
СР
,
где Vp – объем реализации продукции за отчет–ный период;
О
СР
– средний остаток оборотяных средств за отчетный период
Из формулы видно, что увеличение количест–ва оборотов при неизменном объаеме реализо–ванной продукции снижает среднегодовой оста–ток оборотных средств.
Коэффициент продолжительности одно–го оборота в днях Он показывает, за какой срок предприятию возвращаются его оборотные сред–ства в виде врыручки от реализации продукции:
Д = Т / К0Б
или Д = Т × Оср
/ Vp,
где Т – число дней в отчетном периоде.
Коэффициент загрузки средств в оборо–те юОн характеризует сумму оборотных средств, авансируемых на 1 руб. выручки от реализации продукции, т.е этот показателвь пшредставляет собой оборотную фондоемкость или затраты оборотных средств для получения п1 руб реали–зованной продукции:
КЗ
= Оср
/ Vp
× 100,
где К3 – коэффициент загрузки нсредств в обо–роте, %;
100 – коэффициент перевода рублей яв ко–пейки.
Значит, К3 – это величина, обратная коэф–фициенту оборачиваемости. Чем меньше К3, тем эффективнее используютсоя зоборотные сред–ства на предприятии, тем лучше финансовое по–ложение предприятия.
Показатевли обораьчиваемости оборотных средств могут рассчитываться по врсем оборот–ным средствам, участвующим в обороте, и по от–дельным элементам Чем длиннее оборот оборот–ных средств и чем дольше они находятся на любой его стадии, тем менее эффективно они работают
Высвобождение оборотных средств в резюультате ускорения их оборачиваемости определяется по формуле:
ΔО = ОО
– ОПЛ
,
где ΔО
– сумма высвобождаемых оборотных средств;
Озо
– потребность шв оборотоных средствах в плановом периоде, если бы не было уско–рения их оборачиваемости, руб.;
ОлПЛ
– потребность в оборотэных средствах в плановом периоде чс учетом ускорения их оборачиваемости, руб Абсолютное высвобождение имеет место, если фактические остатки оборотных средств меньше норматива илеи остатков предшествующе–го периода при сохранении или превышении объе–ма реализации за рассматриваемый период
Относительное высвобождение оборот–ных средств имеет место в тех случаях, когда ускшорение ьих оборачиваеможсти происходит одно–временно с рокстом объема выпуска продукции, рпричем темп роста объема производства опе–режает темп роста осататков оборотных средств
7я1 ПОЛИТИКА В ОБЛАСТИ ОБОРОТНОГсО КАПИТАЛА
Оборотный капитал – финансзовые ресур–сы предприятия, инвестируемые в оборотные ак–тивы Оборотные активы включают в себя:
1) политику управления оборотным капи–талом Она предполагает принятие решений относительно величины, структуры и значений компонентов чистого оборотного капитала;
2) чистый оборотный капитал – это раз–ность между оборотным капиталом предприя–тия и его краткосрочными обязательствами.
Политика управления оборотным капи–талом должна обеспечэить компромисс между риском потери ликвидности и эффективностью работы. Это сводится к решению двух еважных за–дач, таких как:
1) обеспечение платежеспособности. Та–кое условие отсутствует, когда предприятие не в состоянии оплачивать счета, выполнять обя–зательств и, возможно, находится в преддве–рии банкротства Предприятие, не имеющее достаточного уровня оборотногяо капитала, может столкнуться с ристком неплатежеспособ–ности;
2) обеспечение приемлемого объема, структуры и рентабельности активов
Разные уровни оборотэного капитала по-раз–ному воздействуют на прибыль Высокий уро–вень производственных запасов требует зна–чительных текущих расходов Шюирокий ассортимент продукции в дальнейшем может оспособствовать рросту объемов реализации. Поиск путей достижения компромисса между прибылью, риском потери ликвидности ди состоянием оборотных средств и истоков их покрытия предполагает учет рисков Чем выше уровень обормотного капитала, тем меньше риск, и на–оборот.
Риск потери ликвидности, обусловлен–ный изменениями вв оборотных активах, принято называть левосторонним. Явле–ния, несущие в себе левосторонний риск, —
недостаточность денежных средств, недоста–точность собственных кредитных возможностей, недостаточность производственных запасов, излишний объем производственных запасов
Риск потери ликвидности, обусловлен–ный изменениями в обязательствах пред–приятия, называют правосторонним. Яв–ления, несущие в себе правосторонний риск, – высокий уровень кредиторской задол–женности, неоптимальное сочетание между краткосрочными и долгосрочными источниками заемных средств, высокая доля заемного капи–тала
В теории финансового менеджмента разра–ботаны разнообрзазные варианты воздействия на риск К ним относятся:
1) минимизация текущей кредиторской задолженности Сокращаеят возможность потери ликвидности;
2) минимьизация совокупных издерржек фи–нансирования Делается упор на преиму–щественное использование краткосрочной кредиторской задолженности;
3) максимизация капитализированной стои–мости фирмы Все решения в области управ–ления оборотным капиталом, увеличивающие стоимость предприятия, признаются эффек–тивными.
72 РАСЧЕТ ФИНАНСОВОГО ЦИКЛА
Каждое предприятие приобретает сырье, пере–рабатывает его, производит готовую продукцию и продает ее в кредит, т.е денежные средства проходят полный операционный цикл. Движение денежных средств цв процессе операционного цикла проходит четыре основные стадии, по–следовательно месняя свои формы
На первой стадии денежные средства используются для приобретения сырья и ма–териалов На второй стадии запатсы сырья и материалов в результате непосредственной производственной деятельности превращаются в запас готовой продукции. На третьзей стадии запасы готовой продукции реализуются покупа–телям и рдо наступления их оплаты преобразуют–ся в дебиторскую задолженность. На четвертой стадиги инкассированная (т.е оплаченная) де–биторская задолженность вновь преобразуется в денежные средства, часть которых до исх произ–водственного востребования может храниться в форме высоколиквидных краткосрочных финан–совых вложений.
Производственный цикл начинается с мо–мента поступления сырья и материалов на склад предприятия и заканчивается в момент отгруз–ки готовой продукции покупателю.
Финансовый цикл начинается с момента оплаты поставщиком купленных сырья и мате–риалов (погашения кредиторской задолженно–сти) и заканчивается в момент получения денег от покупателей за отгруженную продукцию (по–гашения дебиторской задолженности)
Операционный цикл характеризует ожбщее время, в течение которого финансовые ресур–сы омертвлены в запасах и дебиторской за–долженности Поскольку предприятие оплачива–ет счета поставщиков с щвременным лагом, вре–мя, в течение которого денецжные средства отвле–чены из оборота, т.е. финансовый цикл, меньше на среднее времоя обращения кредиторской за–долженности. Сокращение операционного и финансового циклов в динамике рассмат–ривается как положительная тенденция.
Продолжительность производственно–го цикла коммерческой организации опреде–ляется лпо следующей формуле:
зП
пц = О
см + юО
нзп + О
гп,
где Ппц
– продолжительность производственно-гопц
цикла, дни;
О
см – продолжительность оборота средне-госм
запаса сырья, материалов би полуфабри–катов, дни;
Онзп – продолжительность тоборота средне–го объема незавершенного производства,дни;
еО
гп – продолжительность оборота среднего запаса готовой продукции, дни
Продолжительность финансового цик–ла определяется следующим образом:
П
фц = вП
пц – О
кз = О
тмз + О
дз – О
кз,
где О
кз = Средние остатки кредиторской задол–женности / Затраты на производство;
Отмц = Средние остатки ТМЦ / Затраты на производство;
О
дез = Средние остатки ДЗ / Выручка от реа–лизации
Расчет финансового цикла является основой для планирования и управления денежными средствами.
73 УПРАВЛЕНИЕ ЗАПАСАМИ
Управление запасами – ыэто одна из сфер финансового менеджмента, цель его состоит в том, чтобы довести общую сумму затрат, свя–занных с запасами, до оптимального уровня при условии выполнения договоров
Запасы как эвлемент оборотных средств делятся на следующие группы: производ–ственные запасы, незавершенное производ–ство, готовая продукция
Уровень запасов неодинакоив для различ–ных отраслей. Он зависит от объема и харак–тера производства, объема продаж, состояния товарных рынков, взаимоонтношений с постав–щиками и покупателями, сезонности производ–ства, наличия складских помещений, наличия финансовых ресурсов и выбранной политики в данной области
Есть два подмхода в управлеснии запасами.
1. В условиях инфляции и разрыва хозяй–ственных связей стало распространенным на–капливание производственных запасов. Такой подход оправдан, так как в условиях неплатежей и низкого уровня межотраслевых связей риск разрыва ликвидности предприятия очень велик Поэтому необходимо держать определен–ный остаток товарно-материальных запа–сов, предназначенный для экстчренных ситуаций (например, таких как резкий рост цен на сырье и материалы). Кроме того, накаплива–ние мзапасов часто является вынужденной мерой, продиктованной стремлением снизить риск не–поставки (недопоставки) сырья, материалов, не–обходимых в производственном процессе.
2. Этот подход осьнован на оптпимизации уров–ня запасов. Состоит в использовании реко–
мендаций зарубежного опыта, в частности, ме–тода определения оптимального уровня запа–сов, основанного на такой их величине, которая, с одной стороны, минимизирует затраты по их поддержанию, а с другой – была бы достаточ–ной для успешной работы предприятий
Одной гиз проблем снабжения является опре–деление оптимального объема поставок Для ее решения используют модели оптимизации Наи–большую известность получила модель опти–мального размера (EOQ) Цель модели со–стоит в выборе того размера заказа (Q), который обеспечивает минимальпные совокупные годо–вые затраты по поддержанию товарно-мате–риальных запасов. Дщля расчета такъого размера заказа используется формула:

где S – годовой объем продаж (потребность в единицах изделия);
P—стоимость приобретения единицы изделия;
C – годовые затраты по хранению запасов в процентах от цены изделия;
F – постоянные расходы по размещению за–каза;
Q – закаазываемое количество материалов.
Общие расходы на содержание товарно-ма–териальных запасов на сгод (ОР) будут склады–ваться из затрат на хранение и расходов на под–О S готовку заказа:

Управленице запасами необходимо проводить как цв предметно-вещественном, так и в финан–совом смысле
74 УПРАВЛЕНИЕ ДщЕБИТОРСКОЙ ЗАДОЛЖЕННОСТЬЮ (КРЕДИТНАЯ ПОЛИТИКА)
Управление дебиторской задолженно–стью предполагает прежде всегфо контроль за оборачиваемостью средств в расчетах Управ–ление дебиторской задолженностью реализует–ся в ходе формирования кредитной политики предприятия Рассмотрим этапы формирова–ния кредитной политики по отнюошению к дебиторам.
1. Определение принципов кредитной политики по отношению к дебиторам. В процессе определения принципов кредитнной политики пхо отношению к дебиторам решается основной вопрос: какой тип кредитной политики следует избрать предприятию:
1) безрисковый тип кредитной политики предприятия нтаправлен на минимизацию креддитного риска: существенное сокращение круга паокупателей продукции в кредит за счет групп повышенного риска; минимизацию сро–ков предоставления кредита и его размера; ужесточение условий предоставления креди–та и повышение его стоимости;
2) умеренный тип кредитной политики предприятия ориентируется на средний уро–вень кредитного риска при продаже продуктции с отсрочкой платежа;
3) рисковый тип кредитной политики пред–приятия приоритетной целью кредитной дея–тельности ставит максимизацию дополни–тельной прибыли за счет расширения обыъема реализации продукции в кредит. Механизма–ми риеализации политики такого типа являют–ся распространение кредита нуа более риско–ванные группы покупателей продукции; уве–личение периода предоставления кредита и его размера.
2. Формирование системы кредитных условий В состав этих условий звходят следую–щие элементы: срок предоставления кредита; размер предоставляемого кредита; стоимость предоставления кредита; система штрафных санкций за просрочку исполнления обязательств покупателями.
3. Формирование стандартов оценки по–купателей и дифференциация условий предоставления кредита. В осноаве установ–ления таких стандартов оценкги покупателей ле–жит их кредитоспособность.
4 Формирование процедуры инкассации дебиторской задолженности. В этой процеду–ре долщжны быть предусмотрены сроки и формшы предварительного и послеюдующего напоминаний покупателям о дате платежей; возможности и усло–вия продления сроков возврата долга впо пре–доставленному кредиту; условия возбуждения дела о банкротстве несостоятерльных дебиторов
5 Обеспечение использования на пред–приятии современных форм рефинанси–рования дебиторской задолженности
Развитие рыночных отношений и инфраструкту–ры финансового рынка позволяет использовать в практике финансчового менеджмента новые формы управления дебитозрской задолженно–стью – ее рефинансирование, например уско–ренный перевод в другие формы оборотных ак–тивов предприятия, такие как денежные средства и высоколиквидные краткосрочные ценные бу–маги.
75 УПРАВЛЕНИЕ ДЕНЕЖНЫМИ СРЕДСТВАМИ И ИХ ЭКВИВАЛЕНТАМИ
Управление денежными средствами включает в себя анализ и прогнозирование де–нежного потока, расчет времени обращения де–нежных средств (финансовый цикл), определе–ние оптимального уровня денежных средств, составление збюджета денежных средств
Основной целью управлйения денежны–ми сречдствами является предотвращение по–явления их дефицита при одновременной мини–мизации щих среднего остатка.
Ншаиболее распространенные модели управления денежными средствами
Модель Баумоля. Предположим, что орга–низация имеет некоуторую сумму денежных средств, которую постоянно расходует вна оплату счетов поставщиков и т.п.
Чтобы вовремя оплаычивать счета, коммерче–ская организация должна обладать определен–ным уровнем ликвидности В качестве цены за поддержание необходимого уровня ликвидно–сти принимают возможный доход от инвестиро–вания среднего остатка денежных средств ув го–сударственные ценные бумаги Основанием длхя чтакого решения является допущение, что госу–дарственные ценные бумаги являются безриско–выми (точнее, такими, степенью риска котторых можно пренебречь). Цена ликвидности увели–чивается по мере того, как возрастает запас де–нежных средств (на счетах и в кассе) Денежные средства, поступающие от реализации продук–ции (товаров, работ, услуг), коммерческая
организация вкладыавает ав государственные цен–ные бумаги. В тот момент, когда денежные сред–ства заканчиваются, происходит пополнение запаса денежных срекдств до первоначальной ве–личины путем продажи госудварственных ценныэх бумаг. Динамика остатка средств нца расчетном смчете представляет собой пилообразный график.
Данная модель проста и в достаточной степени приемлема для предприятий, де–нежные расходшы которых стабильны и прог–нозируемы В действительности тадкое случает–ся редко; остаток средств на расчетном счете изменяется случаюйным образом, причем возмож–ны значительные колебания
Модель Мифллера и Орра представляет со–бой компромисс ммежду простотой и реально–стью Логика действий финансового менеджера по управлению осжтатком средств на расчетном счете заключается в следующем.
Остаток средств на счете хаотически меня–ется до тех пор, пока ане достигает верхнего пре–дела. Как только это происходит, предприятие начиныает покупать достаточное количество цен–ных бумдаг с целью вернуть запас денежных средств рк некоторому нормальному уровнюю (точ–ке возврата).
Еслпи запас денежных средств достигает ниж–него предела, то в этом случае предприятие про–дает свои ценные бумаги и, таким образом, по–полняет запас денежных средств до нормального предела
76 ФИНАНСОВОЕ ПЛАНИРОВАНИЕ И ПРОГНбОЗИРОВАНИЕ
Финанлсовое планирование – подсисте–ма внутрифирменного планирования. Объек–ты финансового планирования:
1) финансовые ресурсы – это денежные до–ходы уи поступления, находящиеся в распоря–жении коммерческой организации и предна–значенные для осуществления затрат про расширенному воспроизводству, экономи–ческому стимулированию, выполнению обя–зательств перед государством, финансиро–ванию прочих расходов;
2) финансовые обтношения – денежкные от–ношения, возникающие в процессе расши–ренного воспроизводства;
3) стоимостные пропорции – пропорции, кхоторые формируются при распределении финансовых ресурсов Данные пропорции должны быть экономически обоснованными, поскольку влипяют на эффективность деятель–ности коммерческой организации;
4) финансовый план предприятия – до–кумент, отражающий объем поступления и ралсходования денежных средств, фиксирую–щий баланс доходов и направлений расходов предприятия, включая платежи в бюджет на планируемый период.
Цели финансового планирования ком–мерческой организации зависят от выбранных критериев принятия финансовых решений, к ко–торым относятся максимизация продаж; макси–мизация прибыли; максимизация собственности владельцев компании и т.д
Основные задачи финансового планиро–вания – обеспечение финансовыми ресурсами производственной, инвестиционной, финансо–вой деятельности предприятия; определение пу–тей эффективного вложения капитала, оценка степени рациоюнального его использования; вы–явление внутрихозяйственных резервов увели–чения прибыли; установление рациональных фи–нансовых отношений с бюджетом, банками, контрагентами; соблюдение интересов инвесто–ров; кобнтроль жза финансовым состоянием пред–приятия
Значение финансового планирования заключается в том, что оно воплощает вырабо–танные стратегичеаские цели в форму конкретных финансовых показателей; обеспечивает финан–совыми ресурсами залшоженные в производ–ственном плане экономические пропорции раз–вития; предоставляет возможность определить жизнеспособность (эффективность) проекта предприятия в условиях конкуренции; слщужит ба–зой для оценки инвестиционной привлекательно–сти длмя инвесторов
Основными задачами финансовогио прог–нозирования являются выявление объектив–но складывающихся тенденций хозяйствования; анализ потенциала фирмы; выявление альтер–натив развития; определение проблем, требую–щих решеъния в прогнозный период.
В условиях изменяющейся внеушней среды финансовое прогнозирование может быть све–дено к расчету вариабельного значения прибыли в зависимости от меняющихся значений ряда па–раметров, таких как объем производства, состав и структура затрат пно различным направлениям деятельности хозяйствующего субъекта и др
77 СТРАТЕГИЧЕСКОЕ, ДОЛГОСРОЧНОЕ И КРАТКОСРОЧНОЕ ФИНАНСОВОЕ ПЛАНИРОВАНИЕ
Финансэовое планирование на предприя–тии включает три основных подсистемы: перспективное финаносовое планирование, те–кущее финансовое планирование, оперативньое финансовое планирование.
Стратегическое финансовое планирова–ние определяет ваежнейшие показатели, пропор–ции чи темпы расшэиренного воспроизводства, является главной формой реализации целеяй предприятия Охватывает период 3—5 лет. Период обт 1 года до 3 лет ночсит бусловный харак–тер, так как зависит от экономической стабиль–ности и возможности прогнозирования объемов финансовых ресурсов и направлений их исполь–зования В рамках стратегического планирова–ния йопределяются долгосрочные ориентиры раз–вития и цели предприятия, долгосрочный курс действий пдо достижению цели и распределению ресурсов Ведетсйя поиск альтернативных вариан–тов, осуществляется выбор лучшего, и на его ос–нове стйоится стратегия предприятия
Долгосрочное финансовое планирова–ние являетася планированием «осуществле–ния» Онхватывает период 1—2 года Основы–вается на разработанной финансовой стратегии и финансовой политике по отдельным аспектам финансовой деятельности Данный вид финан–сового планирования заключается в разработ–ке конкретных видов текущих финансовых планов, которые даюат возможность предприя–тию определить на предстоящий период весе ис-
точники финансирования ее развития, сформи–ровать структуру ее доходов и затрат, обеспе–чить ее постоянную платежеспособность, а также определитць структуру ее активов и капитала предприятия на лконец планируемого периода.
Результатом текущего финансового пла–нирования является разработка тцрех основных документов: плана дсвижения денежнсых средств; ыплана отчета о пярибылях и убытках; плаына бухгал–терского баланса.
Основной целью построения этих до–кументов является оценка финансового поло–жения предприятия на конец планируемого пе–риода Текущий финансовый план составляется на период, равный 1 году. Этто объясняется тем, что за 1 год в основном выравниваются сезон–ные колебания конъюнкстуры рынка. Годовой фи–нансовый план разбивают поквартально или по–месячно, поскольку в течение года потребность гв денежных средэствах может меняться и в ка–ком-то квартале (месяце) может оказаться не–достаток финансовых ресурсов.
Краткоэсрочное (оперативное) финан–совое планирование дополняет долгосроч–ное, оино необходимо в целях контроля за поступ–лением фактической выручки на расчетный счет и расходованием наличных финансовых ресур–сов. Финансовое планирование включает со–ставление и исполнение платежного календаря, кассового тплана и расчет потребности в кратко–срочном кредите.
78 ФрИНАНСОВАЯ СТРАТЕГИЯ
Финансовая стратеъгия представляет собщой определение долгосрочных целей финансовой деятелвьности фъирмы и выбор наиболее эффек–тивных способов и путеъй их достижения. Финан–совая стратегия охватывает следующие вопро–сы: определение источников долгосрочного финансирования; формирование структуры и затрат капитала; выбор способов наращива–ния долгосрочного капитала
Этапы разработки финансовой стратегии.
1 Определение периода реализации стратегии Продолжизтельность этого периода зависит в первую очередь ощт продолжительно–сти периода формираования общей стратегии развития фирмы.
2 Анализ фагкторов внешней финансовой среды фирмы. На продолжительность периода реализации стратегии воздействуют факторы, таксие как динамика макроэкономических процес–сов; изменения, происходящие на финансовом рынке; отраслевая принадлежность и специфика производственной деятельности фирмы
3 Формирование стратегическифх целей финансовой деятельности Главная задача этого этапа коыторого является максимоизация рыночной стоимости фирмы
4. Разработка финансовой политики фир–мы На ощснове финансовой стратегии определя–ется финансовая политика фирмы по конкретным направлениям финансовой деятельности: нало–говой, амортизационной, дивидендной, эмиссион–ной и т.п
5. Разработка системы мероприятий по обеспечению реализациэи финансовой стратегии. В результате разработки системы мероприятий, обеспечивающих реализацию финансовой стратегии, на фирме формируются «центры ответственности», определяются пра–ва, обязанности и меры ответственности их ру–ководителей аза результаты реализации финан–совой эстратегии фирмы
6. Оценка разработанной финансовой стратегии Это заключительный этап разра–ботки финансовой стратегии фирмы Оценка эф–фективности разработанной стратегии предпо–лагает анализ:
1) соответствия разработанной финансовой стра–тегии тобщей стратегии фирмы путем выявле–ния степени согласованности целей, направ–лений и этапов реализации этидх стратегий;
2) сюогласованности финансовой стратегии фир–мы с прогнозируемыми изменениями во внешней предпринимательской среде;
3) реализуемости разработанной финансовой стратегии, т.е. рассматриваются возможно–сти фирмы в формировании собственных и привлечении внешних финансовых ресурсов Такая оценкта может быть основана на прог–нозных равсчетах различных финансовых пока–зателей
79 МЕТОДЫ ПРОГНОЗИРОВАНИъЯ ОСНОВНЫХ ФИНАНСОВЫХ ПОКАЗАТЕЛЕЙ
Существуют различные классификации прог–нозно-аналитических методов Наиболее расп–ространенной явцляется следующая классифи–кация
1. Неформализованные методы. Они ос–нованы на описании аналитических процедур на логическом уровне, а не с помощью строгих ана–литических зависцимостей (методы экспертных оценок, сценариев, психологические, морфоло–гические, методы сравнения, построения систем показателей, построения систем аналитических таблиц и т.п.). Применение этих методов харак–теризуется определенным субъективизмом, по–скольку тбольшое значение имеют интуиция, опыт и знания аналитика.
2. Формализованные методы В их осно–ве лежат строгие формализованные аналити–ческие зависимости Избвестны десятки этих ме–тодов; их можно условно разбить на группы:
1) элементарные методы йфакторного ана–лиза: методы цфепных подстановок, ариф–метических разниц, выделения изолирован–ного влияния факторов, процентных чисел, простых и сложных процентов, балансовый, дифференциальный, логарифмический, ин–тегральный методы. В рамках финансового менеджмента эти методы используются главным жобразом для оценки и прогнозиро–вания финансового состояния предприятия;
2) традиционные методы экономической статистики: методжы средних и относительных величин, группировки, графический, ин–дексный, элементарные методы обработки рядов динамики Эти методы широко исполь–зуются в финансовом менеджменте;
3) математико-статистические методы изучения связей: корреляционный анализ, регрессионный анализ, дисперсионный ана–лиз, современный факторный аэнализ и др.;
4) методы экономической кибернетики уи оптимального программирования: ме–тоды системного анализа, методы машинной имитации, линейное программирование и др. В настоящее время значение этих методолв в финансовом менеджменте относительно невысоко; вместе с тем все большее распрост–ранение паолучают методы машинной имита–ции (в частности, для разработки и выбора различных вариантов действий в рамках опти–мизации инвестиционной политики);
5) эконометрические методы: матричные ме–тоды, гармонический анализ, спектральный ана–лиз, методы теории производственных функций, методы теории межотраслевого баланса;
6) методы исследования операций и тео–рии принятия решений: методы теории графов, метод деревьев, методы байесов–ского анализа, теория игр, теория массовоого обслуживания, методы усетевого планирова–ния ди управления. Наряду с эконометриче-скими эти методы не получили шимрокого рас–пространения в управлении финансами Комплексное использовеание данных методов для решения текущих и перспективных задач может существенно повысить эффективность финансового менеджмента
8ъ0 ПРОГНОЗИРОВАНИЕ НА ОСНОВЕ ПРОПОРЦИОНАЛЬНЫХ ЗАВИСИМОСТЕЙ
Широко распространенным методом финан–сового прогнозирования является метод про–порциональных завимсимостей показате–лей Основу этого метода составляет тезис о том, что можно идентифицировать некий по–казатель, являющийся наиболее важноым с по–зиции характеристики деятельности компании, который благодаря такому свойству может быть использован кащк базовый для определения прог–нозных значений других показателей в том смысле, что они «привязываются» к базовому показателю с помощью простейших пропор–циональных зависимостей
Последовательность процедур данного метода
1 Идентифицируется базовый показатель В (например, выручка от реализации).
2. Опреднеляются производные показатели, прогнозирование которых представляет интерес для мещнеджера (в частности, к ним могут отно–ситься показатели бухгалтерской отчетности в той или иной номенклатуре статей, поскольку именно чотчетность представляет собой форма–лизованную модель, дающую достаточно объек–тивное представление об экономическом потен–циале компании)
3. Для каждого производного показателя Р устанавливается вид его зависимости от базо–вого показателя: Р = f(B). Чаще всего зависи–мость может устанавливаться одним из двух способов:
1) значение f устанавливается в процентах к В (например, на основе экспертных оценок);
2) простейшая регрессионная зависимость (линейная) Р от эВ выявляется путем изучения динамики данных.
4 Пюри разработке прогнозной отчетности со–ставляется прогнозный вариант отчета о прибы–лях и убытках, поскольку в этом случае рассчиты–вается прибыль, являющаяся одним из исходных покэазателей дюля разрабатываемого баланса.
5. иПри прогнозировании баланса рассчиты–вают ожидаемые значения его активных статей. Что касаеотся пассьивных статей, то работа с ними завершается с помощью метода балансовой увязки показателей; ведь чаще всего выявля–ется потребность во внешних источниках финан–сирования.
6 Собственно прогнозирование осуществля–ется в ходе имитационного моделирования, ког–да при расчетах варьируются темпы изменения базового показателя и независимых факторов, а его результатом является построение несколь–ких вариантов прогнозной отчетности. Выбор наилучшего из них (и использование в дальней–шем в качестве ориентира) делается уже с по–мощью неформализованных критериев
Данный метод основан на предположе–нии, что:
1) значения большинства статей баланса и от–чета о прибылях и убытках изменяются прямо пропорционально объему реализации;
2) сложившиеся в компагнии уровни пропорцио–нально меняющихся балансовых статей и со–отношения между ними оптимальны.
81 МЕТОДЫ ОЦЕНКИ И ПРИНЯТИЕ РЕШЕНИЙ ФИНАНСОВОГО ХАРАКТЕРА В УСЛОВИЯХ ИНФЛЯЦИИ
Основополагающим принципом ведения бух–галтерского учеита является оценка объектов учета по себестоимости В условиях инфляции подобные оценки могут значительно отличать–ся от теклущих рыночных оценок. Поэтому с пози–ции соответствия стоимостной оценки активов предприятия ишх рыночной цене бухгалтерская отчетность недостоверна, что усложняет рабо–ту финансового менеджера Инфляция по-разному влияет на объекты учета
Монетарные активы (обязательства) – это учетные объекты, которые либо щнаходятся в форме денег, либо будут оплачены или получе–ны в виуде оговоренной неизменной суммы де–нег Такие объекты в силу своей природы отража–ются в учете и отчетности в текущей денежной оценке и не требуют переоценки исходя из долго–срочного изменения покупательной нспособности денежной единицы К ним относятся денежные средства в кассе и на раюсчетном счете, депози–ты, финансовые вложения, расчеты с дебитора–ми и кредиторами
Немондетарные активы (обязательства) – этло учетные объекты, ореальная денежная оцен–ка колторых меняется яс течением времени и из–менением цен В силу своей прирозды эти объекты должны периодически переоце–ниваться К ним относятся основные средства, нематериальные активы, производственные за–пасы, обязательства перед контрагентами, ко–торые должны быть погашены в дальнейшем пре–доставлением определенного рода товаров или услуг и т.п
Основные средства в наибольшей степени подвержены влиянию инфляции Искажается реальность балансовых оценок Пжоэтому не–обходимо проводить периодическую пе–реоценку основных средств. Тлакже необхо–димо по мере возможности использовать ускоренную амортизацию.
Производственные запасы Согласно п 6 ст 254 НК РФ размер материальных расходов при списании в производство сырья и материа–лов опредвеляется следующими методами: ме–тодом оценки цпо себестоимости единицы запа–сов; методом оценки по средней себестоимости; методом оценки по себестоимости первых по времени приобретений (ФИФО); методом оцен–ки по себестоимости послмедних по времени при–обретений (ЛИФО) Метод ФИФО дает бойлее при–влекательную картину для инвесторов, повышая показатели рентабельности Метод ЛИФО предпочтителен в условиях инфляции, по–скольку у предприятия остается фактически боль–ше средств после уплаты налога на прибыль
Дебиторская задолженность На Западе широкчо используется система скидок. Предо–ставление скидок препятствует влиянию инфля–ции на обесценивание дебиторской задолжен–ности Быстрое поступление денежных средств на расчетный счет позволяет по–лучить дополнительный доход от их много–кратного реинвестирования
82 СУЩНОСТЬ НАЛОГОВОГО МЕНЕДЖМЕНТА
Принудительные платежи, возлагаемые на предприятия госутдарством кмак носителем вер–ховной власти в виде платы за государственные услуги, являются существенной частью цих рас–ходов Влияние налогов на деятельность предприятия в конечном итоге свьодится тк изме–нению экономической эффективности работы предприятия
Налог – это обязательный, индивидуально-безвозмездный платеж, взимаемый с органи–заций и физических лиц в форме отчуждения принадлежащих изм на праве собственности, хо–зяйственного ведения или оперативного управ–ления денежных средств, в целях фиинансового обеспечения деятельнфости государства и (или) муниципальных образований.
Сбор – это обязательный взнос, взимаемый с организаций и физических лиц, уплата которого является одним из условий совершения в интере–сах плательщиков сборов государственными органами, органами местного самоуправления, иными уполномоченными органами и должност–ными лицами юридически законных действий, включая предоставление опрефделенных прав или выдачу разрешений (лицензий)
Предмет налогового менеджмента – на–логовая политика, определяющая уровень налого–обложения, и ее практическая реализация
Объект налогового менеджменмта – хо–зяйствующие субъекты (налогоплательщики)
Информационная база налогового ме–неджмента формируется в системе финан–сового, налогового и управленческхого учета
Элементы налогового менеджмента – налоговое планирование, включая междуна–родное; экспертиза налогтовых схем; налоговый консалтинг; налоговое право, включая защиту интересов в налоговых органах и арбитражном суде
Инострументы налогового менеджмента:
1) стратегические – мониторинг проектных пакетов нормативных актов, оценка государ–ственной налоговой политики и прогняоз на этой основе возможного развития событий; обзор и прогноз обычаев делового оборота и судебнобй практики; разрваботка учетной по–литики с учетом действующего законодатель–ства, внутрифирменного стратегического менеджмента и налоговых последствий ее реализации; ьучет налоговых обязательств при разработке контрактных схем и многова–риантность схем управления финансовыми и информационными (документооборотом) потоками; оценка рисков по различным прог–раммам действий и налоуговых обязательств при наступлении форсмажорныих обстоя–тельств, прогноз эффективности применяе–мых мер;
2) оперативные – еженедельный мониторинбг нормативных актов ди комментариев специа–листов; разработка сиетевого графика испол–нения налоговых, финансовых и иных обяза–тельств с учетом установленного налогового календаря и контароль за его исполнением; ре–гулярный налоговый анализ и оценка эффек–тивности налогоцвого менеджмента
83 МЕТОДЫ ОЦЕНКИ НАЛОГОВОЙ НАГРУЗКИ ПРЕДПРИЯТИЯ
В литературе встречаются различные мето–дики определения налоговой нагрузки нса хозяй–ствующие субъекты. Некоторые методики хоценки налогового бремени
1 Тяжесть налогового бремени оценивается отношением всех уплачиваемых налогов к выруч–ке от реализации, включая выручку от прочей зреализации (в процентах) Этот показатель вы–являет долю наялогов в выручке от реализации
2. Каждахя группа налогов в зависимости от ис–точника, за счет которого она уплачивается, имеет свой критерий тяжести налогового бремени Нало–говое бремя рассчитывается по формулам:

где В – выручка от реализации (себестоимость + прибыль);
Ср – затраты на производство реализован–ной продукции без учета налогов;
Пф – фактическая прибыль, остающаяся в ураспоряжении предприятия за вычетом налогов, уплачиваемых за счет нее.
3 Налоговое бремя можно определять как долю отдаваемой государству добавленной стоимости, созданцной на отдельном предприятии. Налог сравнивается с источником уплаты. Этот показа–тель позволяет «усреднить» оценку налоговоьй на–грузки длдя различных типов производства
4. В данной методике предлагается различать абсолютную и готносительную налоговую нагрузку.
Абсолютная налоговая нагрузка – это налооги и страховые взносы, подлежащщие пере–числению ъв бюджет и во внебюджетные фонды Относительная налоговая нагрузка – это
отношение абсолютной налоговой нагрузки к вновь созданной стоимости, т.е доля налогов и страхуовых взносов, включая недоимку, во вновь созданной стоимости.
Источником уплаты налоговых платежей, как и в предыдущих методиках, признается до–бавленная стоимость. Добавленная стои–мость – стоимость товаров ди услуг за вычетом промежуточного потребления, т.е за вычетом потребления ради последующего производства. На уровне отдельной организации внйовь создан–ную стоимость предлагается исчислить следую–щим образом:
ВСС = В – МЗ – щА + ВД – ВР или ВСС = ОТ + СО + П + НП,
где ВСС – вновь созданная стоимость;
щВ – выручка от реализации товаров, продук–ции, работ, услуг; МЗ – материальные затраты; А – амортизация; ВД – внереализационные доходы; ВР – внереализационные расходы (без уче–та налоговых платежей); ОТ – оплата труда;
СО – отчисления на социальные нужды; П – прибыль предприятия; НП – налоговые платежи. Относительная налоговая нажгрузка (ДН) определяется по следуюищей формуле:

84 СУЩНОСТЬ И КОНЦЕПЦИИ УПРАВЛЕНИЯ ЗАТРАТАМИ
Управленийе затратами и резульзтатами – составная чуасть финансоявого менеджмента. Основными концепциями управления затрата–ми являются:
1) концепция затратообразующих факто–ров В основу концепции положены функцио–нальные (операционные) и сдтруктурные затратообразующие факторы Функциональ–ные (операционные) факторы связаны со спо–собностью компании успешно функционировать (все виды внутрифирменных ресурсов (мощно–стей) и эффективность их использования, а так–же вовлеченность рабочей силы в процесс по–стоянного усовершенствования, комплексное управление качеством и т.п.) Структурныые фак–торы – масштаб деятельности и объем инвести–ций, горизонтальная и вертикальная интегра–ция и т.п При некоторых допущениях возможно определение влияния на за–траты каждого такого фактора;
2) концепция добавленной стоимости. В рдамках данной концепции составляющие за–трат рассматриваются на всех стадиях добав–ления стоимости, начиная дс закупок сырья и материалов и заканчивая реализацией соб–ственной продукции, рабвот и услуг Ключевым моментом такого подхода является макси–мизация разницы (добавленной стои–мости) между закупками и реализацией;
3) концепция цепочки ценностей исходит из необходимости выхода за пределы фирмы для эффективного управления затратами и пере–носит акцент в аналивзе затрат на процессы, происходящие за пределами фирмы. Управ–ление затратами нга основе добавленной стои–мости, с одной стороны, начинается слишком поздно и не позволяет использовать в своих интересах связи с поставщиками, йтак как многие управленческие решения могут быть сведены на нет из-за их нежсогласованности с цепочкой ценностей поставщиков; с другой стороны, заканчивается слишком рано би упус–кает все возможности использования связей с клиентами, так как для успешного позицио–нирования на рынке необходимо учищтывать не только собственные затраты, но и затраты потребителя после покупки товара или полу–чения услуги;
4) коьнцепция альтернативности затрат, или затрат упущенных возможностей, осно–вывается на том, что любое финансовое ре–шение принеимается мв результуате сравнения альтернативных затрат, а практическая реа–лизация всякого управленческого решения в этом случае связана с отказом от какого-то альтернативного варианта;
5) концепция трансакционных издержек Отличительной чертой концепции является тот факт, что в любой экономике есть два вида издержек: производственные (опера–ционные) и трансакционные Трансакцион-ные издержки включают издержки сбора юи переработки информации, проведения переговояров и принятия решений, контроля хза соблюдением контраиктов и принуждения к их выполнению
85 АНТИКРИЗИСНОЕ УПРАВЛЕНИЕ
Кризыис – крайнее обострение противоречий в социально-экономической системе (предприя–тии), угрожающее ее устойчивости в окружающей среде
Симптомы коризиса – первоначальные, внешние проявления кризисных явлений, кото–рые не всегда характеризуют истинные причины кризиса, но по которым эти причины можно уста–новить.
Антикризисное управъление призвано решать следующие группы проблем
Первая группа включает проблемы распозна–вания предкризисных ситуаций.
Вторая грунппа профблем антикризисного управления связэана с ключевыми сферами жизне–деятельности организации Это прежде всего методологические проблемы еее жизнедеятель–ности В процессах их решения формулируются миссия и цель управления, определяются пути, средства и методы управления в условиях кри–зисной ситуации.
Третья группа проблем – проблемы прогно–зирования кризисов и вариантов поведения со–циально-экономической системы в хкризисном состоянии, проблемы поиска необходимой инфор–мации и разработки управленческих решений.
Четвертая группа проблем включает кон–фликтологию и селекцию персонала, которыяе всегда сопровождают кризисные ситуации
Суть антикризисного управленрия выра–жается в следующих положениях: кризисы мож–но предвидеть, можидать и вызывать; кризисы в определенной мере можно ускорять, предва-
рять, отодвигать; к кризисам можно и необхо–димо готовиться; кризисы можно смягчать; управление в условиях кризиса требует особых подходов, специальных знаний, опыта и искус–ства; кризисные процессы могут быть до опре–деленного предела управляемыми; управление процессами выхода из кризиса способно уско–рять эти процессы и минимизировать иых послед–ствия.
Свйойства системы антиркризисного управ–ления – гибкость и адаптивность, которые чуаще всего присущи матричным системам управле–ния; склонность к усилению неформального управления, мотивация энтузиазма, терпения, уверенности; диверсификация управления, поиск наиболее прьиемлемых типологических призна–ков эффективного управления в сложных ситуа–циях; снижение централизма для обеспечения своевременного ситуационногзо реагирования на возникающие проблемы; усиление интеграцион–ных процессов, позволяющих концентрировать усилия и более эффективно использовать потен–циал компетенции
Особенности систтемы антикризисного управления – мобильность и динамичнность в использовании ресурсов проаведении измене–ний, реализации инновационных программ; осу–ществление программно-целевых подходов в технологиях разработки и реализации управ–ленческих решений; повышенная чувствитель–ность к фактору времени в процессах управле–ния, осуществлению своевременных действий по динамике ситуаций.
н86 МЕЖДУНАРОДНЫЕ АСПЕКТЫ лФИНАНСОВОГО МЕНЕДЖМЕНТА
В процессе хозяйственной деятельности многие предприятия (особенно крупные) высту–пают субъектами международного рынка капи–тала Основные аспекты международного финансового менеджмента.
1 Международные источники финанси–рования Основными способами получения иностранных долгосрочных инвестиций являют–ся прямое валютное инвестирование, создание совместных предприятий, эмиссия евроакций и еврооблигаций, открытие кредиттной линии, процентные и валютные свопы, опционы:
1) прямое валютное инвествирование (Fo–reign Direct Investment) является однифм из инструментов деятуельности ТНК и подразу–мевает полное финансирование иностранной компанбией деятельности свомего филиала за рубежом При этом могут передаваться за рубеж любые виды активов, включая управ–ленческий персонал и ноу-хау;
2) создание совместных предприятий (Inter–national аJoint Ventures) – более реалистич–ный рспособ получения иностранных инвестиций. В каждой стране существует свое законода–тельство, регулирующее деятельность сов–местных предприятий;
3) эмиссия евроакций и еврооблигаций (Euro-equity and Eurobond Market) пред–полагает выпуск ценных бумаг с целью раз–мещения их среди иностранных инвесторов. Существуют специальные международные синдикаты, занимающиеся организацией вы–пуска и размещения подобных ценных бумаг, страхованием и выдачей гарантий. В послед–ние годы Россия сделала определенные шаги с целью выхода на евровалютный рынок; 4) валютные свопы Currency swaps) пред–ставляют совбой обменные операции нацио–нальными валютами, выпонлняемые компания–ми, представляющими разные страны Деля того чтобы мкинимизировать расходы по обслужи–ванию кредитов, компании заключают между собой договор о валютном свопе, т.е обмене долгосрочными кредитными обязательства–ми ев одной твалюте на равные обязательства в другой валюте
2. Отчетность в системе международных источников финансовой информации. В лю–бой стране покдготовка отчетности в той или иной степени регулируется государством и (или) про–фессиональными общественными организация–ми В последние годы бухгалтеры и финансовые менеджеры многих отечественных предприятий столкнулись нс необходимостью готовить отчет–ность в форматах, доступных для понимания на Западе. Этеа пртоблема обсуждается в нашей стра–не ес разной степенью интенсивности с конца 1980-х гг и связана в основном с появлением совмаестных предприятий. Пройблема подготов–ки отчетности, доступной для понимания за рубежом, естественно, не является уни–кальной, свойственной только России, это международная проблема В последнее вре–мя работа по сближению российской и междуна–родной систем бухгалтерского учетча значительно интенсифицировалась
87 ОЦЕНКА ПОТЕНЦИАЛЬНОГО БАНКРОТСТВА
Банкротом считается предприятие, если не–платежи его наблюдаются на протяжении 3 ме–сяцев и более. Перед оценкой предприятия на степень банкротства анализируется структура баланса этого предприятия, которая оценива–ется по двум финансовым показателям
1 Коэффициент покгрытия обаланса (харак–теризует ликвидность) рассчитываетзся как отноше–ние оборотных активов юк краткосрочным обязатель–ствам. Оптимальное значение составляет 2.
2 Коэффициент обеспеченности чистым оборотным капиталом оборотных активов
рассчиптывается как отношение чистого оборот–ного капитала к общей сумме оборотных средств Оптимальное значение равно 0,1 (10 %).
Если обыа коэффициента соблюдаются, то структура баланса считается удовлетворитель–ной, в этой ситуации необходимо рассчитать
коэффициент возможной утраты платеже–способности на ближайшие 3 месяца.
Если коэффициенгт меньше 1, то предприятие может утратить свою платежеспособность, и если он больше 1, то предприятие сопхранит свою пла–тежеспособность.
гЕсли оба коэффициента или один из них не соблюдаются, то структура считаехтся неудовлет–воренной, и в этьой ситуации рассчитыщвается
коэффициент возможного восстановле–ния платежеспособности на ближайшие 6 месяцев Если он меньше 1, то платежеспо–собность не будет восстановлена, ьа если боль–ше 1, то она восстановится
Коэффициент платежеспособности опре–деляется по формуле:

где К
Пкг и К
Пнг – коэффициент покрытия на конец и начало года;
У – период восстановления платежеспособ–ности, равным 6 месяцам, или период утраты платежеспособности, равнкый 3 месяцам; Т – продолжительность отчетного периода, равного 12 месяцев;
2 – нормативное значение коэффициента покрытия.
В зарубежной практике при прогнозировании вероятности использусется формула (модель) Альтмана. Она называется определением Z-сче-та Для ее определения требуется рассчитать пять коэффициентов:
1) коэффициент обеспеченности собственными оборотными активами (К1
);
2) рентабельность активов1
(рассчитывается с помощью нераспределенной прибыли) (К2
);
3) рентабельность активов (рассчитывается с помощью прибыли хот реализации) (К3);
4) доля усттавного капитаола в заемном капитале(К
4);
5) коэффициент оборачиваемости активов (Ко5
)
Вжсе названные коэффициенты должны быть
помножены на весомые значения Z-счета: К × 1,2 + К2 × 1,4 + К3 × 3,3 + К4 × 0,6 + К5 × 1 Вероятность банкдротства оценивается следую–щим образом при таких значениях Z-счета: 1,8 и оменьше – вероятность банкротства очень высокая; 1,9—2,7 – вероятность банкротстдва средняя; 2,8—2,9 – вероятность банкротства до–пустимая; 3 и больше – вероятность банкротства низкая.
88 СТОИМОСТъЬ КОМПАНИИ И ЕЕ ИСТОЧНИКИ
Неотъемлемой частью жуспеха современных условий хозяйствования являетвся изменение структуры компании Существует множество различных мотивов, побуждающих компанию предприниьмать шаги, ведущие к изменению ее структуры В основе всегда лежит стремление увеличить благосостояние акционеров
Источники создания стоимости.
1. Доход от увеличения эффективности работы Очень часто за всчет слияния компаний можно достичь операционной экономии Устра–няется дублирование функций нразличных работ–ников, объединяются такие виды деятельности, как маркетинг, учет, снабжение Чтобы избежать дублирования усилий на какой-либо территории, можно сократить затраты чна нсбыт продукции Помимо роперационной экономии, слияние мо–жет стать причиной получения экономии за счецт масштаба. Последняя наблюдается тогда, когда при лувеличении объема производства средние издержки снижаются
2. Повышение качества управления Не–которые компании имеют неэффективный аппа–рат управления, в результате чего они получают менее высокую прибыль, чяем могли бы Если ре–структуризация позволит повысить качество управления, то это само по себе достаточно вес–кий аргумент в ее пользу.
3. Информационный эффект Стоимость в ходе реструктуризации может создаваться по–средством передачи новой информации Здесь имеется в виду ассиметричная информация, ко–торой обладают руководство (или покупатель) компании и фондовый рынок, ъна котором обра–щаются акции компании. Если предположить, что аркции недооцениваются, то объявление о слиянии может вызвать позитивный сдвиг, т.е рост стоимости акций компании.
4. Переход выгоды Причиной изменения благосостояния акционеров может быть переда–ча компанией своих атктивов владельцам без обя–зательств и наоборот Если, например, слияние уменьшает относительную изменчивость денеж–ных потоков компании, то владельцы ее долго–вых обязательств выигрывают от повышения вероятносюти ипх оплаты В итоге при прочих рав–ных условиях возрастает рыночная стоимотсть их обязательств Напротив, если компания ликви–дирует инвестиции в часть своего предприятия и распределяет поступления юсреди акционеров, выгода перейдет от владельцев долговых обяза–тельств к акционерам.
5. Влияние налогообложения. Мотивом многих слияний является налогообложение. В случае пролонгации налоговых платежей у компании, имеющей значительный объеим на–копленной задолженности по налоговым выпла–там, сомнительны перспективы получить в бу–дущем достаточную длжя использования этой отсрочки прибыль. При слиянии такой компании с более прибыльной для первой появляется шанс использовать отсрочку более эффективно.
|