| Некоммерческое акционерное общество
«АЛМАТИНСКИЙ УНИВЕРСИТЕТ ЭНЕРГЕТИКИ И СВЯЗИ»
Кафедра радиотехники
РАСЧЕТНО – ГРАФИЧЕСКАЯ РАБОТА 2
на тему: Передатчики с угловой модуляцией
Специальность: 050719 Радиотехника, электроника и телекоммуникации
Выполнила Наби П. Группа БРЭ-09-16
Номер зачетной книжки: 093084
Руководитель: старший преподаватель Кондратович А. П.
__________________________ «____» _________________________2011 г.
Алматы 2011
Содержание
1 Угловая модуляция…………………………………………………………......3
1.1 Частотная модуляция…………………………………………………….…..4
1.2 Частотный модулятор………………………………………………….…....6
1.3 Достоинства частотной и фазовой модуляций…………………………......7
2 Прямые и косвенные способы получения ЧМ и ФМ колебаний….…......…8
3 Построение передатчиков с угловой модуляцией………………………..….9
3.1 Передатчики низовой радиосвязи…………………………………….…....10
3.2 Передатчики на УКВ……………………………………………….…….....11
Заключение…………………………………………………………….………...12
Список литературы………………………………………………….………..…13
1 Угловая модуляция
Формирование радиочастотных сигналов, имеющих заданные временные, спектральные и энергетические характеристики, их последующая передача по специальным направляющим электромагнитным системам или через свободное пространство к потребителю осуществляется с помощью радиопередающего устройства (РПДУ).
Современное РПДУ представляет сложное устройство, состоящее из большого числа каскадов и цепей. Для генерирования и формирования радиосигналов используются различные приборы и активные элементы (АЭ): лампы, транзисторы и т.д. Основными электрическими характеристиками передатчика, определяющими его конструкцию, являются мощность, диапазон несущих частот, вид и требуемое качество модуляции.
Передатчики с угловой модуляцией (УМ) получили широкое распространение в радиосвязи.
Угловая модуляция может быть частотной или фазовой; она применяется в системах низовой радиосвязи различных диапазонов частот, в радиовещании на УКВ, в звуковом сопровождении телевизионного вещания, наземной радиорелейной связи прямой видимости, тропосферной и космической связи. Кроме того, угловая модуляция используется в радиотелеметрии, в системах радиоуправления, в некоторых системах радионавигации и радиолокации. Упрощенно ЧМ и ФМ представляются в виде:
(1)
где m – индекс модуляции;
W - частота модулирующего колебания
Модуляция называется фазовой
, если индекс модуляции m пропорционален амплитуде модулирующего сигнала UW
и не зависит от его частоты W.
Модуляция называется частотной
, если девиация (отклонение) частоты Dw от среднего значения w0
пропорциональна UW
и не зависит от частоты W, т. е. если индекс модуляции m пропорционален UW
и обратно пропорционален W.[1]
Основные характеристики и показатели качества при УМ определяются статической модуляционной характеристикой (СМХ) wЕмод
или fЕмод
, где Емод
– постоянное напряжение, подаваемое на вход модулятора.[1]

Рисунок 2 – СМХ
Динамические модуляционные характеристики: амплитудная и частотная.

Рисунок 3 – Амплитудная ДМХ

Рисунок 4 – Частотная ДМХ
1.1 Частотная модуляция
При частотной модуляции амплитуда несущего колебания остается постоянной, а несущая частота ω0
изменяется во времени по закону модулирующего сигнала.[2]

Рисунок 1.1 - Частотная модуляция:
а –
несущее колебание;
б –
модулирующий сигнал;
в –
частотно – модулированный сигнал;
и
н
– мгновенное значение напряжения несущего колебания;
и
– мгновенное значение напряжения модулирующего сигнала;
и
чм
– мгновенное значение напряжения частотно – модулированного сигнала;
t
– текущее значение времени
На рисунке 1.1 показаны графики модулирующего синусоидального звука и колебания с переменной высокой частотой, полученного в результате частотной модуляции. Во время первого положительного полупериода звукового колебания частота несущего колебания возрастает, доходит до наибольшего значения, а затем возвращается к первому значению. В течение другого отрицательного полупериода звука частота несущего колебания уменьшается, доходит до наименьшего значения и снова принимает первоначальное значение. Чем больше амплитуда модулирующего сигнала, тем сильнее изменяется частота.
При частотной модуляции модулируемым параметром является частота гармонического колебания ω0
, которая получает приращение Δω, зависящее от времени и пропорциональное мгновенному значению модулирующего сигнала U
.
В случае гармонического колебания мгновенная частота ω не меняется во времени, она равна несущей частоте ω0
. При частотной модуляции частота несущего колебания ω связана с
модулирующим сигналом U
зависимостью: ω
=
ω
0
+
k
ч
U
(2)
где ω
0
–
несущая частота несущего колебания;
k
ч
–
размеренный коэффициент пропорциональности между частотой и напряжением, рад / (В·с).
Максимальное отклонение мгновенного значения частоты модули-рованного колебания от среднего значения называется девиацией частоты.
ω
д =
ω
m
ф
=
k
ч
U
/
ω
,
(3) где ω
- мгновенное значение круговой частоты;
m
ф
- девиация фазы несущего колебания (индекс частотной модуляции);
U
–
амплитуда модулирующего сигнала.
1.2 Частотный модулятор
Наибольшее применение имеет частотный модулятор на основе варикапа – полупроводникового диода с обратно смещенным p-n-переходом. Закон изменения емкости p-n-перехода, называемой барьерной, или зарядной, от величины обратного напряжения U имеет вид:
C(U)=Cнач
/ (1 + |U|/φ0
)΄ (4)
где Снач
– начальная емкость;
φ0
=0,5 … 0,7 В (для кремния) - контактная разность потенциалов.
Рисунок 1.2 – График зависимости C(U)
Рисунок 1.3 - Схема частотного модулятора с варикапом, подключенным к контуру автогенератора
1.3 Достоинства частотной и фазовой модуляций
Главным достоинством частотной модуляции является ослабление действия помех, что позволяет улучшить качество приема. По сравнению с амплитудной модуляцией при частотной модуляции лучше используется мощность передатчика.
В радиосвязи и радиовещании успешно применяется частотная модуляция. В нашей стране создана сеть УКВ радиовещательных станций, работающих с частотной модуляцией в диапазоне 64,5 – 73 МГц. Для радиовещания применяется широкополосная частотная модуляция, при которой наибольшее отклонение частоты от первоначального значения достигает десятков килогерц (обычно +
75 кГц). Такое отклонение частоты допустимо только в случае, если частота несущих колебаний достаточно велика. Поэтому радиовещание с частотной модуляцией ведется на ультракоротких волнах, т. е. на частотах не менее десятков мегагерц.
Передатчики с ФМ нашли широкое применение на практике из-за существенных преимуществ по сравнению с амплитудной модуляцией (АМ) и частотной модуляцией (ЧМ):
- хорошая помехоустойчивость;
- использование АЭ в выгодном энергетическом режиме.
Разнородный характер передаваемой информации (телефония, телеграфия, передача данных и т.д.) требует выполнения жестких ограничений на такие параметры передатчика, как стабильность частоты, нелинейные искажения, амплитудно - и фазочастотные характеристики.
Тракт формирования ФМ сигнала обычно является маломощным, т.к. к уровню вносимых искажений и стабильности характеристик предъявляются наиболее высокие требования. В настоящее время применяется почти исключительно фильтровой метод (метод повторной балансной модуляции), характеризуемый высокой стабильностью качественных показателей основных узлов тракта формирования.[2]
К передатчикам с ФМ предъявляются высокие требования к стабильности частоты. Для обеспечения требуемой стабильности поднесущие частоты вырабатываются синтезатором сетки частот. Усиление ФМ сигнала осуществляется в двух ступенях: в предварительных усилителях или усилителях промежуточной частоты и в оконечных каскадах усилителя мощности. Главными требованиями для усилителей является высокая линейность и надёжность.[2]
2 Прямые и косвенные способы получения ЧМ и ФМ колебаний
Существуют прямые и косвенные методы получения ФМ и ЧМ колебаний. При прямых методах модулирующее колебание непосредственно воздействует на необходимый для данной модуляции параметр частоту или фазу высокочастотного колебания. В первом случае частотный модулятор представляет собой автогенератор, в контур которого включен реактивный элемент, управляемый модулирующим сигналом. Прямая фазовая модуляция осуществляется в цепи, через которую проходит ВЧ колебание и сдвиг фазы выходного сигнала изменяется под действием сигнала модуляции.
Косвенные методы предполагают получение нужного вида УМ путем осуществления другой модуляции и соответствующего преобразования сигнала. Так как частота и фаза гармонического колебания взаимосвязаны, то ЧМ колебание можно получить, осуществляя модуляцию по фазе. В случае применения косвенного метода ФМ получается из частотной модуляции и соответствующего преобразования сигнала.[1]

Рисунок 5 – Схемы прямого (а, б) и косвенного (в, г) методов получения частотной и фазовой модуляции
Для преобразования фазовой модуляции в частотную на входе фазового модулятора включается интегратор рисунке 5 (в).
Минимальному значению частоты модулирующего сигнала соответствует максимальное значение отклонения девиации фазы. Небольшое значение девиации частоты, которое можно получить при косвенном методе, ограничивает область его использования. Повышение девиации частоты возможно путем увеличения максимальной девиации фазы за счет применения многоконтурных колебательных цепей или умножения частоты сигнала в n
раз, что в такое же число раз увеличивает девиацию частоты.[1]
3 Построение передатчиков с угловой модуляцией
3.1 Передатчики низовой радиосвязи
Передатчики низовой радиосвязи входят в состав радиостанций различных систем радиосвязи. На рисунке 6 (а), (б) представлены структурные схемы передатчиков низовой связи с УМ. Первая схема использует прямую ЧМ варикапом в кварцевом автогенераторе.[1]
Модулирующий сигнал UW
усиливается в УНЧ 2 и подвергается частотной предкоррекции в 3, затем производится ограничение его амплитуд в ограничителе 4. ФНЧ 5 ограничивает спектр модулирующего сигнала приблизительно до 3,5 кГц. В кварцевом автогенераторе 6 осуществляется прямая ЧМ, затем производится умножение частоты для увеличения глубины модуляции и повышения частоты до рабочего диапазона системы радиосвязи. Полосовой фильтр 8 ослабляет нежелательные спектральные составляющие, возникающие при умножении частоты. Усилитель мощности ВЧ 9 обеспечивает необходимый уровень выходной мощности передатчика, ФНЧ 10 – ослабление излучения высших гармоник до допустимого уровня (40…60дБ).[1]
Рисунок 6 (а) – Структурная схема передатчика низовой связи с ЧМ на кварцевом генераторе
Структурная схема передатчика, использующего косвенный метод получения ЧМ, изображена на рисунке 6 (б) где в фазовом модуляторе 6 осуществляется модуляция фазы несущего колебания, спектр модулирующего сигнала перед входом модулятора может подвергаться дополнительной коррекции в интеграторе 3. Назначения элементов 1-5 и 7-10 аналогичны предыдущей схеме. Частота задающего генератора 11 стабилизируется кварцевым резонатором, а буферный усилитель 12 уменьшает влияние последующих цепей на частоту автогенератора.[1]

Рисунок 6 (б) – Структурная схема передатчика низовой связи с использованием фазового модулятора
3.2 Передатчики на УКВ
Передатчики для радиовещания на УКВ и звукового сопровождения телевидения должны обеспечивать высокое качество звукового вещания.
Передатчики мощностью 4…5 и 15 кВт для повышения надежности используют принцип построения со сложением мощностей двух полукомплектов, возбудители обеспечиваются 100%-ным резервированием.
Обеспечение высоких качественных показателей представляет серьезную проблему, которая решается в основном возбудителе.
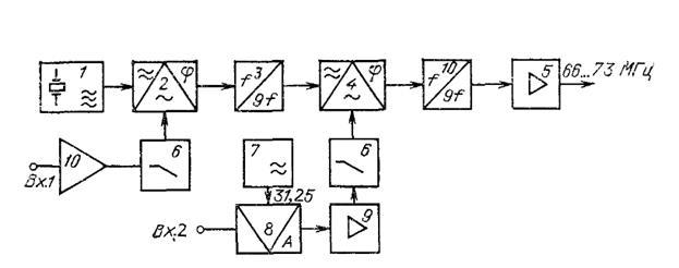
Возбудитель УКВ станции ЗПУКВ-15 выполнен по схеме рисунка 7. Задающий генератор 1 обеспечивает высокостабильные колебания с частотой 80…90 кГц, которые модулируются по фазе в модуляторе 2, где используется импульсно-фазовая модуляция обеспечивающая девиацию фазы Df»140…1500
. Затем частота умножается в 9 раз. Сигналом второго канала в модуляторе 8 производится амплитудная модуляция колебаний поднесущей частоты 31,25 кГц, при этом образуется спектр надтональных частот 16,25…46,25 кГц. Этим сигналом производится вторичная ФМ в фазовом модуляторе 4, где девиация фазы не превышает 7…100
, так как модулирующий сигнал высокочастотный. Интегрирующие цепи 6 обеспечивают преобразования ФМ в ЧМ. Далее частота еще раз умножается в 9 раз и достигает рабочего диапазона 66…73 МГц. Модулирующие сигналы каналов подвергаются частотной предкоррекции цепью с постоянной времени 50 мкс.[1]

Рисунок 7 – Структурная схема возбудителя и предварительного усилителя передатчика УКВ ЧМ вещания с возможностью стереофонической работы
Заключение
Угловая модуляция обладает несколькими важными достоинствами. Так, мощность передатчика не изменяется при модуляции, она постоянна и равна пиковой,, тогда как при АМ, например, мощность несущей должна быть в четыре раза меньше пиковой. Усилитель мощности передатчика с угловой модуляцией работает при постоянной амплитуде сигнала, поэтому к его линейности не предъявляется никаких требований. Он может работать в режиме класса С, т.е. с максимальным кпд. Передатчик не требует для модуляции большой мощности звукового сигнала, по схеме и конструкции он получается заметно проще АМ.
Постоянство мощности ЧМ и ФМ сигналов — существенное преимущество в связи с развитием сети ретрансляторов. Ведь УКВ слабо огибают земную поверхность, поэтому дальность действия УКВ передатчиков в обычных условиях не намного превосходит дальность прямой видимости. Дальность значительно увеличивается при наличии ретранслятора, а тем более — цепочки ретрансляторов, установленных на возвышенных местах. Из-за нелинейности усилительных каскадов ретранслятора слабые сигналы подавляются в нем сильными. Если к тому же сильный сигнал модулирован по амплитуде, то в ретрансляторе возникнет перекрестная модуляция и слабый сигнал так же окажется промодулирован, связь нарушится. При использовании угловой модуляции перекрестная модуляция не возникает. Наличие сильного сигнала приводит лишь к уменьшению коэффициента усиления ретранслятора, но не нарушает возможности проведения связи. По этой же причине передатчики с угловой модуляцией практически не создают помех телевизионному и радиоприему и значительно меньше мешают близко расположенным радиостанциям по сравнению с АМ.
Список литературы
1 Проектирование радиопередающих устройств: Учебн. пособие для вузов/ В.В. Шахгильдян, В.А. Власов, В.Б. Козырев и др.; Под ред. В.В. Шахгильдяна.- 3-е изд.; перераб. и доп. М.: Радио и связь, 1993г.;
2 В. И. Каганов. Радиопередающие устройства. М. ИРПО: Издательский центр « Академия» 2002г.
|