Банк рефератов содержит более 364 тысяч рефератов, курсовых и дипломных работ, шпаргалок и докладов по различным дисциплинам: истории, психологии, экономике, менеджменту, философии, праву, экологии. А также изложения, сочинения по литературе, отчеты по практике, топики по английскому.
Полнотекстовый поиск
Всего работ:
364139
Теги названий
Разделы
Авиация и космонавтика (304)
Административное право (123)
Арбитражный процесс (23)
Архитектура (113)
Астрология (4)
Астрономия (4814)
Банковское дело (5227)
Безопасность жизнедеятельности (2616)
Биографии (3423)
Биология (4214)
Биология и химия (1518)
Биржевое дело (68)
Ботаника и сельское хоз-во (2836)
Бухгалтерский учет и аудит (8269)
Валютные отношения (50)
Ветеринария (50)
Военная кафедра (762)
ГДЗ (2)
География (5275)
Геодезия (30)
Геология (1222)
Геополитика (43)
Государство и право (20403)
Гражданское право и процесс (465)
Делопроизводство (19)
Деньги и кредит (108)
ЕГЭ (173)
Естествознание (96)
Журналистика (899)
ЗНО (54)
Зоология (34)
Издательское дело и полиграфия (476)
Инвестиции (106)
Иностранный язык (62791)
Информатика (3562)
Информатика, программирование (6444)
Исторические личности (2165)
История (21319)
История техники (766)
Кибернетика (64)
Коммуникации и связь (3145)
Компьютерные науки (60)
Косметология (17)
Краеведение и этнография (588)
Краткое содержание произведений (1000)
Криминалистика (106)
Криминология (48)
Криптология (3)
Кулинария (1167)
Культура и искусство (8485)
Культурология (537)
Литература : зарубежная (2044)
Литература и русский язык (11657)
Логика (532)
Логистика (21)
Маркетинг (7985)
Математика (3721)
Медицина, здоровье (10549)
Медицинские науки (88)
Международное публичное право (58)
Международное частное право (36)
Международные отношения (2257)
Менеджмент (12491)
Металлургия (91)
Москвоведение (797)
Музыка (1338)
Муниципальное право (24)
Налоги, налогообложение (214)
Наука и техника (1141)
Начертательная геометрия (3)
Оккультизм и уфология (8)
Остальные рефераты (21692)
Педагогика (7850)
Политология (3801)
Право (682)
Право, юриспруденция (2881)
Предпринимательство (475)
Прикладные науки (1)
Промышленность, производство (7100)
Психология (8692)
психология, педагогика (4121)
Радиоэлектроника (443)
Реклама (952)
Религия и мифология (2967)
Риторика (23)
Сексология (748)
Социология (4876)
Статистика (95)
Страхование (107)
Строительные науки (7)
Строительство (2004)
Схемотехника (15)
Таможенная система (663)
Теория государства и права (240)
Теория организации (39)
Теплотехника (25)
Технология (624)
Товароведение (16)
Транспорт (2652)
Трудовое право (136)
Туризм (90)
Уголовное право и процесс (406)
Управление (95)
Управленческие науки (24)
Физика (3462)
Физкультура и спорт (4482)
Философия (7216)
Финансовые науки (4592)
Финансы (5386)
Фотография (3)
Химия (2244)
Хозяйственное право (23)
Цифровые устройства (29)
Экологическое право (35)
Экология (4517)
Экономика (20644)
Экономико-математическое моделирование (666)
Экономическая география (119)
Экономическая теория (2573)
Этика (889)
Юриспруденция (288)
Языковедение (148)
Языкознание, филология (1140)

Статья: Метод стереоизмерений по цифровым изображениям

Название: Метод стереоизмерений по цифровым изображениям
Раздел: Рефераты по географии
Тип: статья Добавлен 03:20:57 20 сентября 2012 Похожие работы
Просмотров: 25 Комментариев: 6 Оценило: 0 человек Средний балл: 0 Оценка: неизвестно     Скачать

Чибуничев А.Г.

В настоящее время вопросам обработки цифровых изображений, полученных камерами на ПЗС, уделяется большое внимание в исследованиях советских и зарубежных ученых [1 —10]. В основном эти исследования направлены на повышение точности и надежности определения координат точек изображений и их отождествления на смежных снимках. Так, например, положение маркированных точек на изображении определяется с точностью 0, 01—0, 05 пиксела изображения [4; 10] по макетным снимкам и 0, 03—0, 09 величины пиксела [3, 7, 8, 9] по реальным изображениям, полученным различными камерами на ПЗС.

Для немаркированных точек точность отождествления одноименных точек на паре реальных снимков значительно ниже и колеблется в пределах 0, 5—10 пикселов изображения [6]. При этом надежность отождествления маркированных точек на тест-объекте достигает — 90% [5] и 50—80% на реальных снимках (также по маркированным точкам)[5, 9]. Точность и надежность определения координат точек цифрового изображения и их отождествления на смежных снимках зависит от качества самих изображений (параметров . камеры, условий съемки) и в значительной степени от алгоритмов их обработки. Используя цифровую фотограмметрическую систему на базе персонального компьютера, описанную в [2], можно организовать обработку цифровых изображений с более высокой точностью и надежностью. Напомним, что в [2] речь идет о стереонаблюдениях и измерениях цифровых изображений на разделенном экране персонального компьютера. Вопрос о надежности отождествления одноименных точек стереопары в данном случае отпадает, так как выполняются стереонаблюдения.

С целью ускорения процесса измерений предлагается использовать измерительную марку, высвечиваемую на экране в виде «окна», величина которого подбирается немного больше по размерам маркированных точек. Процесс измерений в этом случае заключается только в том, чтобы данная маркированная точка попала в соответствующее «окно» (Р1 и Р2) на левом и правом снимке. Это существенно ускоряет процесс измерений и не требует от наблюдателя большой квалификации. Если измеряются немаркированные точки, то размер измерительной марки целесообразно устанавливать 20X20— 30x30 пикселов изображения, так как в таких пределах осуществляется наиболее точно корреляция двух изображений согласно исследованиям, выполненным в [9].

После наведения измерительной марки на выбранную точку вырезаются два фрагмента изображений по периметру «окна» и : и запоминаются в отдельных файлах для дальнейшей их обработки с целью получения координат х и у соответствующих точек на левом ( ) и правом ( ) снимках. Выделение фрагментов изображений и происходит из исходных изображений и, хранящихся в памяти ПК.

Здесь следует заметить, что выделение фрагментов изображений Р'1 и Р’2 происходит, естественно, из исходных изображений Р1 и Р1, хранящихся в памяти ПК. При этом дисплей служит только для стереонаблюдений и не является измерительной частью системы. Поэтому требования к дисплею в данном случае могут быть невысокими, особенно при измерениях только по маркированным точкам (такие задачи часто имеют место в инженерной фотограмметрии). Для этих целей может быть использован стандартный дисплей ПК вместо отдельного графического дисплея.

Теперь рассмотрим получение координат х, у, - по фрагментам изображений. Остановимся здесь только на случае маркированных точек. Для нахождения соответствующих координат точки левого и правого снимков достаточно найти координаты центра маркированной точки на этих снимках. Большинство авторов [4, 8, 10] решает этот вопрос следующим образом. Фрагмент изображения рассматривают как некоторое материальное тело и применяют к нему известный из математического анализа метод вычисления моментов различного порядка [11]. Для дискретного изображения размером m х n пикселей можно записать

(1)

где fij — значения плотностей пикселей или их функции. Выражения (2.1) являются универсальными в смысле формы маркированных точек. Однако они очень чувствительны к шумам. Поэтому для повышения точности определения координат хЦ, уЦ сначала выполняют предварительную обработку изображения (используя чаще методы пространственной области) путем свертки изображения с гауссоидой вида

(2)

что позволяет сгладить изображение. Затем выполняют пороговое удаление шумов. Пороговое значение плотности изображения: получают на основе эмпирических формул. Получена следующая оптимальная формула для изображения с уровнем квантования, равным 256:

(3)

где 2G — ширина распространения функции Гаусса (2);

А — размер маркированной точки.

Как показали исследования [10], такой подход дает хорошие результаты. Точность данного метода достигает 0, 01 пикселя. Однако этот путь имеет существенные недостатки. Имеется в виду необходимость подбора оптимальной ширины функции Гаусса, от которой в значительной степени зависит точность определения координат хЦ, уЦ. Выбор величины 2G, в свою очередь, зависит от уровня шума, уровня квантования изображения и размеров маркированной точки. Достаточно сказать, что изменение величины 2а на 0, 5 приводит к размыванию границ на 1 пиксель. Кроме того, вычисление центра фигуры на основе (1) совершенно не защищено от влияния локального шума, наличие которого может привести к грубым ошибкам. Источником такого шума могут быть блики, тени, посторонние изображения объектов, попавшие в пределы окна с маркированной точкой и т. д.

В данной работе предлагается другой подход, основанный на использовании уравнения фигуры маркированной точки для определения координат хЦ, уЦ. В этом случае появляется возможность подавлять пиксели, принадлежащие не только общему, но и локальным шумам.

Вычислительная процедура состоит из двух этапов. Первый этап заключается в выделении границ маркированной точки. На втором этапе определяются координаты хЦ, уЦ на основе уравнения фигуры.

Выделение границ маркированной точки основано на вычислении первой производной функции изображения f(x, у). Первая производная в любой точке изображения получается из величины градиента в этой точке. Существует много способов вычисления производных от изображения. Наибольшее распространение получили способы, основанные па свертке изображения в некоторой окрестности с центром в точке (х, у) с так называемой маской (оператором) H тех же размеров. Градиент изображения G можно записать в общем виде как двумерный вектор:

(4)

где Нx, Hy — маски;

* — обозначение операции свертки.

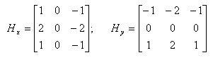
В качестве Нх, Ну использован оператор Собеля для окрестности 3x3:

(5)

Величина градиента в точке вычисляется как

(6)

Определение координат центра маркированной точки рассмотрим на примере круга:

(7)

Это уравнение составляется для всех точек, имеющих ненулевые значения градиентов в пределах фрагмента изображения. Решение выполняется по способу наименьших квадратов методом последовательных приближений. Каждому уравнению присваивается вес в зависимости от величины градиента:

(8)

где Gmax — максимальное значение градиента в пределах фрагмента изображения; Gi — значение градиента для данного (i) пикселя изображения.

Вес, вычисленный по (8), играет роль фильтра, который подавляет энергетические шумы (порядка 20%) и сужает область пикселей, принадлежащих границе контура, которая получается размытой из-за условий съемки и преобразований (6) примерно до +/-1 пикселя.

С целью уменьшения влияния локальных шумов, соизмеримых по энергии пикселей с уровнем сигнала на маркированной точке вводится второй вес также для каждого пикселя:

(9)

где Vi —невязка в i-м уравнении (7);

ц — средняя квадратическая ошибка единицы веса;

N — номер итерации.

Полученные таким образом координаты геометрического центра маркированной точки хц, уц на левом и правом снимках используются в качестве измеренных для дальнейшей аналитической обработки снимков, причем с весом, полученным из уравнивания.

Экспериментальные исследования данного метода подтвердили его эффективность. Координаты центра маркированной точки можно определять, в некоторых случаях с точностью 0, 01 пикселя изображения. Подробные экспериментальные исследования приводятся в следующей статье.

Список литературы

1. Путятин Е.П., Аверин С.А. Обработка изображений в робототехнике. М.: Машиностроение, 1990, 320 с.

2. Чибуничев А.Г. О возможностях применения цифровых методов фотограмметрии для решения инженерных задач, -Изв. вузов. Геодезия и аэрофотосъемка, 1990, № 6, с. 76—82.

3. Bosseman W., Godding R., Riechmann W. Photogrammetric Investigation of CCD Cameras, C. – R. Ph. M. M. V., Corn. V. Symposium, Switzerland, September, 1990, v. 1395, p. 119-126

4. El Hakim S. F. A Hierarchial Approach to Stereo vision. – Photog. Eng. And Rem. Sen., 1989, vol. 55. № 4. p. 443-448

5. Hwang J. T., Chang R. G. Comparing the image matching methods of the two-stage and FFT. C. – R. Ph. M. M. V., Com. V. Symposium, Switzerland, September, 1990, v. 1395, p. 1035-1042

6. Greenfield J.S. A Stereo Visision Approach to Automatic Stereo Matching in Photogrammetry. – Report № 381. The Ohio State University Columbus, July, 1987, 137 p.

7. Luhmann T. Image recording systems for close-range photogrammetry. C. – R. Ph. M. M. V., Com. V. Symposium, Switzerland, September, 1990, v. 1395, p. 86-95

8. Mikhail E. M., Akey M. L., Mitchell O. R. Detection andsub-pixel-location of photogrammetric targets in digital images. – Photogrammetria, 1984, 39(3), p. 63-83

9. Rosenholm D. Emperical Invesligation of Optimal Window Size Using the Least Square Image Matching Method. – Photogrammetria, 1987, vol. 42, p. 113-125

10. Trinder J. C. Precision of Digital Target Location. - Photog. Eng. And Rem. Sen., 1989, vol. 55. № 6. p. 883-886

11.Бермант А. Ф. Краткий курс математического анализа. М.: Наука, 1965, 663 с.

Оценить/Добавить комментарий
Имя
Оценка
Комментарии:
Привет студентам) если возникают трудности с любой работой (от реферата и контрольных до диплома), можете обратиться на FAST-REFERAT.RU , я там обычно заказываю, все качественно и в срок) в любом случае попробуйте, за спрос денег не берут)
Olya05:54:03 29 августа 2019
.
.05:54:02 29 августа 2019
.
.05:54:02 29 августа 2019
.
.05:54:01 29 августа 2019
.
.05:54:00 29 августа 2019

Смотреть все комментарии (6)
Работы, похожие на Статья: Метод стереоизмерений по цифровым изображениям

Назад
Меню
Главная
Рефераты
Благодарности
Опрос
Станете ли вы заказывать работу за деньги, если не найдете ее в Интернете?

Да, в любом случае.
Да, но только в случае крайней необходимости.
Возможно, в зависимости от цены.
Нет, напишу его сам.
Нет, забью.



Результаты(286139)
Комментарии (4150)
Copyright © 2005-2021 HEKIMA.RU [email protected] реклама на сайте