Введение
Среди химических волокон, формируемых мокрым способом, наибольшее распространение в промышленности получили вискозные волокна. С помощью используемых на этих производствах установок регулирующие технологических растворов (осадительной, пластификационной ванн), удаляются убыточные количества воды и сульфата натрия без потерь ценных компонентов – сульфата цинка, серной кислоты, и поверхностно – активных веществ (ПАВ). Для выведения избыточного количества воды применяют процессы выпаривания для выведения сульфата натрия – процессы кристаллизации, при которых наряду с получением товарного продукта – сульфата натрия высокой степени чистоты возвращаются в производственный цикл все оставшиеся компоненты в виде осадительного раствора.
Важным фактором, определяющим экономику регенерации, является стоимость выпаривания воды из раствора и себестоимость товарного сульфата натрия. Традиционные процессы выпаривания и кристаллизации весьма энергоемки и поэтому затраты в основном зависят от расхода технологического пара (другие виды затрат существенно ниже). В связи с этим повышение эффективности собственно процесса регенерации определяется главным образом использованием энергетических совершенных установок. Основным направлением в решении этой задачи является максимальное использование вторичного пара с помощью теплового насоса.
Промышленный процесс кристаллизации и его аппаратурное оформление для получения товарного продукта сульфата натрия (безводного) характерен тем, что себестоимость его значительно превышает оптовую цену. Хотя затраты частично или полностью окупаются стоимостью возвращенных реагентов, расходы на процесс кристаллизации остаются неоправданно высокими. Повышение экономичности процесса кристаллизации может быть осуществлено путем резкого снижения энергозатрат, главным образом на стадии получения глауберовой соли.
В современных условиях хозяйствования перевод химических производств на энергосберегающие экологически чистые технологии является актуальной задачей. Отечественной инженерной фирмой КОНЕН на базе Светлогорского АО (Химволокно) реализовано на установки кристаллизации сульфата натрия из технологических растворов производство вискозного волокна – на стадии извлечения г глауберовой соли из вины дегидратации ее до безводного сульфата натрия реализована энергосберегающая технология. Результаты энергосбережения при равных объемах регенерируемой ванны (№ 26 м з/ч) представлены в таб. 1., данные представлены для стадии дегидратации глауберовой соли на базе двух вертикальных выпорных кристаллизаторов диаметром 2300 мм двухкорпусной схемы вакуум – кристаллизационной установки с тепловым насосом для обогрева первого корпуса и отбора экстра – пара из него для обогрева второго корпуса.
Таблица 1.Энергозатраты на реконструкцию
| Затраты |
Удельный расход |
| До реконструкции |
После реконструкции |
1. Водяной пар,
кг / 1000 кг Na 2
SO 4
|
3700 |
415 |
| 2. Вода , м 3
/1000 кг Na 2
SO 4
|
40-60 |
7-10 |
3. Энергия всех видов, Дж/1000 кг
Na 2
SO 4
|
9,6275*10 9
|
1,26*10 9
|
Следствием изменения технологии и режима стадии, новой организации движения материальных и тепловых потоков производительность стадии по товарному продукту – сульфату натрия достигла 70000 кг в сутки, то есть возросла в 2 раза.
Таким образом на стадии дегидратации глауберовой соли до безводного сульфата натрия и реализации энергосберегающей технологии, на ряду с увеличением производительности стадии по товарному продукту, достигнуты снижение удельных затрат водяного пара и охлаждающей воды в 8 – 8,5 раз, а общего расхода энергии в 7,5 раза.
В данном проекте предлагается вышеуказанный опыт использования энергосберегающей технологии применить для условий кристаллизации сульфата натрия ОАО «Балаковские волоконные материалы».
1. О бзор и анализ существующих технологических схем и типов основного оборудования и технологического процесса
В процессе формирования вискозного волокна состав осадительной ванны значительно изменяется – понижается концентрация серной кислоты, увеличивается содержание сульфата натрия и серы. Общий объем ванны в результате разбавления ее водой, находящейся в вискозе непрерывно увеличивается.
Объем ванны должен быть постоянным, по этому избыток ее, образующийся в результате разбавления водой, должен направляться на регенерацию.
Регенерация осадательной ванны заключается в удалении избытка воды вакуум – выпариванием и избытка сульфата натрия кристаллизацией.
Чтобы отчетливо представить значение регенерации осадительной ванны для уменьшения расхода кислоты и солей ниже приведен примерный баланс осадительной ванны (в кг) для завода вискозного волокна, производительностью 120 т/сутки (табл. 2).
Таблица 2. Сравнение затрат компонентов в балансе ванны
| Компоненты баланса |
На 1 кг волокна, кг |
Всего в сутки, кг. |
| Вода (поступает в ванну) |
9,520 |
1142400 |
| - вносимая с прядильным раствором |
0,322 |
39840 |
| - от нейтрализации щелочи |
0,214 |
25680 |
| - вводимая при добавке реактивов |
| ИТОГО: |
10,066 |
1207920 |
| Вода (расход) |
| - уносимая нитью из ванны |
3,182 |
381840 |
| - теряемая в следствие разбрызгивания и утечки из ванны |
0,789 |
93960 |
| - испаряемая |
2,100 |
252000 |
| ИТОГО: |
6,065 |
727800 |
| Серная кислота в расчет на 100%-ную (расход) |
| - на нейтрализацию щелочи |
0,903 |
108360 |
- потери:
Из за уноса ванны с волокном
Из за разбрызгивания и утечки с ванной в канализацию
|
0,179
0,126
0,662
|
21480
15120
79440
|
| ИТОГО: |
1,870 |
224400 |
| Сульфат натрия (в пересчете на 100%-ный) |
| - образующейся при нейтрализации щелочи в вискозе |
1,308 |
156960 |
- потери:
Из за уноса с волокном
Из за разбрызгивания, утечки с ванной, сбрасываемой в канализацию
|
0,689
0,177
1,177
|
82680
21240
141240
|
| ИТОГО потерь: |
2,043 |
245160 |
| Сернокислый цинк ( расход) |
0,2 |
24000 |
Приведенные цифры показывают, что из осадительной ванны должно быть удалено 1207920 – 727800 = 480120 кг воды, или 10,066 – 6,065 = 4,001 кг/кг ниже, а часть ванны спускать в канализацию, то на каждый килограмм волокна теряется 0,72 кг серной кислоты, 1,1 кг сульфата натрия и 0,07 кг сульфата цинка.
Регенерация ванны необходима не только для уменьшения расходов реагентов на 25- 30 % , но и для устранения загрязнения водоемов.
Таким образом, целью регенерации осадительной ванны является устранение загрязнения водоемов, уменьшения расхода реагентов путем испарения воды и кристаллизации избытка сульфата натрия.
Осадательная ванна может быть подвергнута полной или частичной регенерации.
При частичной регенерации из ванны удаляется не весь избыток воды, поступающий в нее с вискозой, а только часть. Количество воды, испаряемой при частичной регенерации, определяется требованиями сохранения в ванне постоянной концентрации сульфата натрия. Если испарить всю избыточную воду, то в ванне будет накапливаться сульфат натрия в количестве до 0,6 кг/кг волокна. Этот избыток сульфата натрия должен быть удален из упаренного раствора кристаллизацией или другими методами.
При частичной регенерации, надо выпарить 50-60 % от общего количества избыточной воды, а остальное - спустить в канализацию. Естественно, что полная регенерация более целесообразна.
Для регенерации осадительной ванны предложены различные методы. Избыточную воду испаряют продуванием горячего воздуха через предварительно нагретую ванну – контактная выпарка, или выпариванием в вакуум – выпарном аппарате.
Избыток сульфата натрия из упаренной ванны выделяют кристаллизацией (из насыщенного раствора).
Так как сульфат натрия выделяется в виде десятиводного гидрата, то при кристаллизации удаляется и некоторое количество воды из раствора. Наиболее перспективным методом регенерации осадительной ванны является электролиз сульфата натрия в кислой среде. Этот метод представляет интерес для вискозной промышленности, где в значительных количествах расходуется как сенная кислота, так и сульфат натрия.
При электролизе сульфата натрия оба эти реагента получаются в эквивалентных количествах и могут быть использованы в производстве. При взаимодействии щелочи с серной кислотой в процессе формования вискозного волокна вновь образуется сульфат натрия, который при электролизе снова дает серную кислоту и щелочь. Следовательно, при осуществлении этого метода регенерации создается замкнутый цикл и расход щелочи и серной кислоты сводиться к пополнению неизбежных потерь. Этот метод был опробован в полупроизводственных условиях и были получены обнадеживающие результаты. Основное затруднение, возникающее при реализации указанного метода, заключается в повышенном расходе электроэнергии и, соответственно, пониженных выходах по току при электролизе сульфата натрия ( по сравнению с электролизом хлористого натрия). В связи с вышеуказанным, этот метод пока не может быть применен в данном проекте, т.к. требует дальнейшей разработки с целью снижения расхода электроэнергии и увеличения выхода по току.
Таким образом, пока кристаллизация является основным методом удаления избытка сульфата натрия из осадительной ванны.
Выделение сульфата натрия при полной регенерации ванны производиться в аппаратах, применяемых для кристаллизации солей в различных отраслях химической промышленности. Для этих целей обычно используют горизонтальные многосекционные цилиндрические вакуум-кристаллизаторы, вакуум в которых создается пароструйными многоступенчатыми установками. Выпадающие кристаллы глауберовой соли отделяются от маточного раствора на центрифугах и направляются на обезвоживание (удаление кристаллизационной воды). Обезвоживание проводят путем нагрева в баках с мешалкой при 50 – 55 0
С. Образующиеся кристаллы вместе с маточным раствором поступают в испарители – кристаллизаторы, где удаляется вода, центрифугируют, сушат и направляют на упаковку. Высушенный безводный сульфат натрия используется в различных отраслях народного хозяйства (производство синтетических моющих средств, стекольная промышленность и др.)
Кристаллизацией называют выделение твердой фазы в виде кристаллов главным образом из растворов и расплавов. Каждому химическому соединению обычно соответствует одна или несколько кристаллизационных форм, отличающихся положением и числом осей симметрии. Явление образования нескольких кристаллических форм данного химического соединения носит название полимер.
Кристаллы, выделяющиеся с молекулами воды, называются кристаллогидратами. Причем, в зависимости от условий кристаллизации, одно и то же вещество может кристаллизоваться с различным числом молекул воды. Осуществляемая в промышленности кристаллизация называется массовой.
Обычно массовую кристаллизацию проводят, понижая растворимость кристаллизуемого вещества за счет удаления части растворителя.
В производственных условиях процесс кристаллизации состоит из следующих операций: собственно кристаллизации, отделение кристаллов от маточного раствора, перекристаллизации (при необходимости), промывки и сушка кристаллов.
Известны следующие способы кристаллизации: кристаллизация с удалением части растворителя, кристаллизация с охлаждением или нагреванием раствора, комбинированные способы.
Способом удаления частичного растворителя проводится или его испарением или вымораживанием. Наиболее распространено испарение. Растворитель испаряют в выпарных аппаратах, подводя к нему тепло извне, через стенку. После достижения нужной степени пресыщения, как правило, в тех же аппаратах осуществляют и кристаллизацию. Способ называется изотермическим.
Общий недостаток способа – это отложение солей (кристаллов – инкрустация) на теплопроводящих поверхностях, одновременно концентрируются примеси, содержащиеся в растворе.
Способ кристаллизации с изменением температуры раствора называют еще изогидрическим,
т.к. он осуществляется при постоянном содержании в растворе растворителя.
К комбинированным
способам относятся вакуум – кристаллизация, кристаллизация с испарением части растворителя в токе носителя и дробная кристаллизация.
При вакуум - кристаллизации испарение растворителя происходит не путем подвода тепла через стенку, а за счет отдачи раствором своего физического тепла, которое расходуется на испарение части растворителя.
Кристаллизация с испарением части растворителя в токе носителя (воздуха) происходит за счет испарения и охлаждения раствора при этом.
Дробная кристаллизация – это последовательное выделение из раствора ряда растворенных в нем веществ.
Проведение кристаллизации выше указанными способами требует значительных энергозатрат. Поэтому повышение экономичности процесса кристаллизации является важной задачей снижения неоправданно высоких расходов.
На второй стадии кристаллизации, где сульфат натрия кристаллизируется в вакуумных испарителях – кристаллизаторах в виде безводного сульфата натрия процесс кристаллизации проводится в аппаратах с естественной циркуляцией раствора.
Этот метод реализуется в ОАО «Балаковские волоконные материалы».
Общий недостаток кристаллизации при выпаривании – это отложение кристаллов (инкрустация) на теплопроводящих поверхностях. Этот недостаток присутствует и в аппаратах с естественной циркуляцией, работающих в системе кристаллизационных установок ОАО.
Инкрустация при работе испарителей – кристаллизаторов с естественной циркуляцией раствора является неприятным фактором, снижающим их производительность и приводящим к частным остановкам аппаратов для чистки и промывки (примерно 1 раз в смену один аппарат останавливается на чистку и промывку). При этом чистка аппаратов требует значительных трудозатрат во вредных условиях – выделение сероуглерода и сероводорода и агрессивная среда (серная кислота).
Указанный недостаток частично можно устранить переводом процесса работы вакуумного испарителя – кристаллизатора на работу с принудительной циркуляцией раствора.
Отложение солей на греющих поверхностях выпарных аппаратов – кристаллизаторов приводит также к уменьшению коэффициента теплопередачи, а, следовательно, и производительности. У аппаратов с естественной циркуляцией при этом понижается скорость циркуляции, кипение начинает заглубляться в трубки, вызывая усиление отложений, что в свою очередь воздействует на циркуляцию, которая становиться неустойчивой. Этот процесс со временем прогрессирует. Естественно поэтому стремление организовать в контуре аппарата искусственную (принудительную) циркуляцию с помощью специального насоса, которая бы не зависела от изменения тепловой нагрузки.
По своему устройству аппарат с принудительной циркуляцией в основном аналогичен аппаратам с естественной циркуляцией, разница заключается в основном в наличии циркулярного насоса.
При выпаривании в таких аппаратах растворов «на кристалл» образование и рост кристаллов происходит из пересыщенного раствора. При установившемся режиме работы аппарата процесс выпаривания носит циклический характер.
Из сепаратора циркулирующий раствор, содержащий кристаллы соли, при температуре, практически равной температуре кипения в сепараторе, поступает в греющие трубки аппарата, где воспринимает тепло греющего пара. Перегретый раствор выходит из трубок в подъемную трубку, где закипает.
Температура раствора понижается до температуры кипения в сепараторе, а освободившейся тепло идет на образование вторичного пара. При удалении части растворителя из насыщенного раствора в виде пара возникает пресыщение раствора, вследствие чего происходит образование зародышей и рост уже имеющихся кристаллов, т.е. пресыщение снимается. Смешавшись с новой порцией исходного раствора и, снимая по пути пресыщение, раствор вновь поступает в трубку – цикл замыкается.
Экспериментальные данные показывают, что за время пребывания циркулирующего раствора в растворном пространстве пресыщение снимается не полностью и раствор поступает в греющую трубку с каким то остаточным пресыщением. Если не принять особых мер конструктивного и технологического порядка, то инкрустация пойдет настолько быстро, что уже через несколько часов работы придется останавливать аппарат на промывку.
СвердНИИХИММАШем проведены работы по снижению инкрустации и предложен способ, который заключается в накоплении кристаллов кристаллизующихся веществ в циркулирующем растворе, с целью создания большего числа центров кристаллизации для быстрого снятия пресыщения. Применение данного способа (при этом в циркулирующем растворе содержалось от 10 до 30 % сульфата), позволило увеличить беспромывочный срок до 3-х суток, причем коэффициент теплопередачи не снижается относительно первоначального.
Метод выпаривания – кристаллизации с принудительной циркуляцией раствора рекомендуется в данном проекте.
2. Технологические расчеты
2.1 Расчет количества глауберовой соли и сульфата натрия
При полной регенерации осадительной ванны на каждую тонну волокна требуется удалить 357 кг. Сульфата натрия безводного, или в воде глауберовой соли – 858,2 кг. (данные ОАО «Балаковские химические волокна»)
В расчете на 120 т в сутки волокна удаляется безводного сульфата натрия: 357 * 120 = 42840 кг/сутки, или

что соответствует количеству глауберовой соли:

= 4047,7 
где 322 и 142 – молекулярные массы Na 2
SO 4
* 10 H 2
O и Na 2
SO 4
соответственно.
Количество ванны, направляемой на кристаллизацию. Согласно производственных данных при кристаллизации с каждого м 3
ванны удаляется 100 кг сульфата натрия в виде безводного сульфата. Требуется направить на кристаллизацию осадительной ванны:
, или 1785/100=17,85 м 3
/ч
Состав осадительной ванны, поступающей на кристаллизацию:
H 2
SO 4
– 110 – 150 г/л 2 г/л
Na 2
SO 4
– 320 20 г/л
ZnSO 4
– 13-16 г/л
Плотность – 1,27 - 1,34 г/см 3
(согласно норме технологического режима), или принятой для расчета:
H 2
SO 4
– 150 г / л
Na 2
SO 4
– 320 г / л
ZnSO 4
–16 г/л
Вода – 854 г/л
1340 г/л
Содержание компонентов в осадительной ванне, поступающей на кристаллизацию:
H 2
SO 4
: 150 * 17,85 = 2677,5 кг/ч;
где 17,85 м 3
/ч – объем осадительной ванны, поступающей на кристаллизацию:
Na 2
SO 4
– 320 * 17,85 = 5712 кг / ч
ZnSO 4
–16 * 17,85 = 285,6 кг / ч
H 2
O – 854 * 17,85 = 15234,9 кг/ч
Итого: 23919 кг/ч
В процессе кристаллизации из ванны выкристаллизовывается 100 кг/м 3
ванны безводного сульфата натрия, что составит:
100 * 17,85 = 1785 кг / ч Na 2
SO 4
, или
= 4047,68 кг / ч Na 2
SO 4
* 10 H 2
O
С глауберовой солью уносится воды:
4047,68 – 1785 = 2262,68 кг/ч
Содержание компонентов в осадительной ванне (маточном растворе), поступающий на плавку (обезвоживание в плавильном котле):
H 2
SO 4
– 2677,5 кг / ч
Na 2
SO 4
– 5712 – 1785 = 3927 кг / ч
ZnSO 4
– 285,6 кг / ч
H 2
O – 15243,9 – 2262,68 = 12981,22 кг / ч
Итого: 14810,22 кг/ч
Состав осадительной ванны (маточного раствора) после кристаллизации глауберовой соли:
H 2
SO 4
– 2677,5 кг/ч или 13,47% масс.
Na 2
SO 4
–3927,0 кг/ч или 19,76 % масс.
ZnSO 4
– 285 кг/ч или 2,20 % масс.
H 2
O – 12381,22 кг/ч или 64,57 % масс.
Итого: 19870, 22 кг/ч или 100 % масс.
Таблица материального баланса глауберовой соли ( Na 2
SO 4
* 10 H 2
O )
Таблица. 3.1
| Приход |
Расход |
| Статья |
Количество, кг/ч |
Статья |
Количество, кг/ч |
| 1. Осадительная ванна на входе в кристаллизаторы |
1.Маточный раствор |
| H 2
SO 4
|
2677,5 |
H 2
SO 4
|
2677,5 |
| Na 2
SO 4
|
5712,0 |
Na 2
SO 4
|
3927,0 |
| ZnSO 4
|
285,6 |
ZnSO 4
|
285,6 |
| H 2
O |
15243,9 |
H 2
O |
12981,22 |
| 2. Кристаллы глауберовой соли |
4047,68 |
| Итого |
23919,0 |
Итого |
23919,0 |
Объем маточного раствора:
= 14,829 м 3
/ч
где 1340 кг/м 3
– плотность раствора.
Состав маточного раствора:
H 2
SO 4
– = 180,6 г/л
Na 2
SO 4
– = 264,8 г/л
ZnSO 4
– = 19,2 г/л
H 2
O – = 875,4 г/л
Итого : 1340 г/л
2.2 Расчет количества и состава плава глауберовой соли
Количество глауберовой соли, поступающей в плавильный котел:
4047,68 кг / ч Na 2
SO 4
* 10 H 2
O ( см . Расчеты 3.1.),
в нем кристаллизированной воды – 2262,68 кг/ч и
безводного сульфата натрия 4047,68 – 2262,68 = 1785 кг/ч,
что составляет:
Na 2
SO 4
– = 0,4410, или 44,10 % масс
H 2
O - = 0,5590, или 55,90% масс.
Объем плава:
= 2,778 м 3
/ч
где 1457 кг/м 3
– плотность 44,10% - ного раствора Na 2
SO 4
[6]
Объем плава глауберовой соли с учетом разбавления плава водой в соотношении 1:2:
2,778 * 3 = 8,334 м 3
/ч
3.2.4. Объем добавленной воды:
2,778 * 2 = 5,556 м 3
/ч
2.3 Расчет расхода топлива
Тепло на участке кристаллизации расходуется в виде пара с давлением 3 кгс/см 2
(0,3 МПа) на следующие цели:
- работа пароструйных насосов установок кристаллизации глауберовой соли (в работе 2 аппарата);
- на плавление глауберовой соли в плавильных топках (в работе 4 аппарата);
- в вакуум - испарителях – кристаллизаторах (5 в работе);
- работа пароструйных насосов испарителей – кристаллизаторов (5 в работе).
Исходные данные:
1. температура кристаллов глауберовой соли на выходе из центрифуг – 7,5 0
С;
2. температура воды, подаваемой на разбавление плава в плавильный котел - 20 0
С;
3. масса плавильного котла – 350 кг;
4. масса тепловой изоляции котла – 1000 кг.
Согласно технического паспорта на кристаллизационную установку расход пара давлением 3,0 кгс/см 2
(0,3 МПа) и теплосодержанием 518,0 ккал/кг составляет 740,0 кг/г на 1 установку. При работе 2-х установок (1 резервная) с учетом 10 % потерь тепло расход тепла составляет:
Q 1
=740*518*1,1*2=843304 Ккал/ч
Расход тепла на плавление глауберовой соли
Расход тепла на нагрев кристаллов от t ’
н
= 7,5 0
С до t ’
к
= 50 0
С.
Q 2
’ = m 2
’
c 2
’
( t ’
k
- t ’
н
) = 4047.68 * 0.108 * (50-7.5) = 18578.9 Ккал/ч
m 2
‘
– масса кристаллов Na 2
SO 4
* 10 H 2
O кг/ч
c 2
´
- теплоемкость кристаллов, ккал/кг*град
c 2
´
= 34,9 = = 0,108 [6]
322 – молекулярная масса Na 2
SO 4
* 10 H 2
O кг/кмоль
Расход тепла на нагрев воды:
Q 2
´´ = m 2
´´ c 2
´´( t k
´´ - t н
´´) = 5556 * 1(50-20) = 166680 ккал/ч
Расход тепла на плавление глауберовой соли:
Q 2
´´ = 4047*18,106 = 79287,3 ккал/ч
где 18,106 ккал/кг – теплота кристаллизации Na 2
SO 4
* 10 H 2
O [6]
Расчет тепла на нагрев аппарата
Q 2
´´= G 2
c IV
∆ t * n = 3500*0,11(50-20)*4= 46200 ккал/ч
G 2
- масса плавильного котла, кг
c IV
- теплоемкость стали, ккал/кг*град
n – количество котлов в работе.
Расчет тепла на нагрев изоляции котла:
Q 2
v
= G v
c v
* ∆ t * n = 1000 * 0,3 * (50-20)*4= 36000 ккал/ч
Потери тепла поверхностью изоляции котла (при коэффициенте теплопередачи К = 0,9 ккал/м 2
*ч*град
Q 2
vi
= 0,9*5,5*10*4 = 198 ккал/ч
Общий расход тепла на плавление глауберовой соли:
Q 2
= Q 2
I
+ Q 2
II
+ Q 2
III
+ Q 2
VI
+ Q 2
V
+ Q 2
VI
= 18578,9 + 166680+73287,3+46200+36000+198 = 340944,2 ккал/ч
Расход тепла на работу струйных насосов. Согласно технического паспорта на испаритель - кристаллизатор на один аппарат расходуется пара с давлением 3кгс/см 2
(0,3Мпа) и теплосодержанием 518,0 ккал/кг – 80 кг/ч
При работе 5 аппаратов расход пара составляет 80 * 5 = 400 кг/ч, или с учетом 10% потерь в виде тепла расход равен:
Q 3
I
= 518 * 400 * 1,1 = 227920 ккал/ч
Расход тепла на испарение влаги из раствора.
Количество испаряемой влаги до состояния насыщения при 50 0
С равно 80 кг/м 3
раствора (данные производства), или
m II
= 8 * 8,334 = 667,72 кг/ч
Расход тепла на испарение равен:
Q 3
II
= m II
r II
= 667,72 * = 379 277,7 ккал/ч;
где r II
– удельная теплота при 50 о
С, ккал/ч. [8]
Расход тепла при кристаллизации Na 2
SO 4
Q 3
´´´ = m ´´´ q ´´´ = 1785*3,239= 5781,6 ккал/ч,
где m ´´´ - масса кристаллизующейся Na 2
SO 4
, кг/ч
q ´´´ - удельная теплота кристаллизации Na 2
SO 4
, ккал/кг;
q ´´´ = 1927 = = 9,239 ккал/кг
142 – молекулярная масса Na 2
SO 4
, кг/кмоль
Расход тепла на нагревание 5 аппаратов
Q 3
IV
= m IV
c IV
( t k
– t н
) n = 7500 * 0.11(50-20)*5 = 123750 ккал/ч
Расход тепла на нагрев изоляции:
Q 3
v = G 3
v
c v
( t k
– t н
) n = 1200 * 0,3 (50-20) * 5= 54000 ккал/ч
Расход тепла на потери поверхностью аппаратов:
Q 3
VI
= k * F ∆ t * n = 0,9 * 8,3 * 10 * 5 = 373,5 ккал/ч
где F – поверхность 1 аппарата, м 2
Общий расход тепла на кристаллизацию Na 2
SO 4
Q 3
= Q 3
I
+ Q 3
II
+ Q 3
III
+ Q 3
VI
+ Q 3
V
+ Q 3
VI
= 227920 + 379277,7 + 5781,6 + 123750 + 54000 + 373,5 = 791 102,8 ккал / ч
Расход тепла по участку:
Q = Q 1
+ Q 2
+ Q 3
= 843304 + 340944,2 + 791 102,8 = 1975351 ккал/ч
2.4 Расчет потребного оборудования и производственных площадей
2.4.1 Расчет потребного оборудования
Кристаллизатор вакуумный горизонтальный.
Исходные данные:
1. Размеры кристаллизатора:
Длина L=8862 мм.
Диаметр Д=2004 мм.
Емкость V= 27 м 3
2. Поверхность зеркала испарения
S = L Д = 8,862 2,004 = 17,759 м 3
Расчет:
Требуется площадь зеркала испарения для кристаллизации 4047,7 кг
/ ч
глауберовой соли:
По данным ЦЗЛ ОАО «Вискозные волокна» съем кристаллов глауберовой соли составляет 114 кг. В час с м 2
зеркала испарения.
Требуется площадь зеркала испарения кристаллизаторов:
4047,7/114 =35,506 м 2
Требуется кристаллизаторов для кристаллизации 4047,7 кг
/ ч
глауберовой соли:
     
Устанавливается 3 кристаллизатора, в том числе: 2- в работе, 1 – резервный.
2.4.1.1 Приемный бак осадительной ванны.
Количество осадительной ванны, подаваемой на кристаллизацию, составляет 17,85 м з
/ ч
(см. раздел 3) при резерве времени бака =1 час и коэффициенте заполнения Q =0,6(для пенящихся растворов) равен при увеличенной подаче (в случае форсированной работы подача ванны может быть увеличена до 24 м з
/ ч
):

Объем бака с принятыми размерами Д=4800 мм и Н=2800 мм. равен:

Вместимость бака с этими размерами ( =0,6) равна:
=50,642*0,6=30,385 м 3
Требуется баков для приема ванны: ; устанавливается 2 бака.
2.4.1.2 Насос подачи осадительной ванны во всасывающую емкость.
Количество осадительной ванны, подаваемой на установку кристаллизации - 24 м з
/ ч
;
Принимается к установке насос марки х45=13и с характеристиками [11]:
подача – 25 м з
/ ч
;
напор – 10 м;
частота вращения – 960 ;
электродвигатель АО – 2;
мощность – 15 кВт.
Требуется количество насосов:
24/25=0,96~1
Устанавливается 2 насоса, в том числе:
1 – в работе;
1 – резерв.
2.4.1.3 Центрифуга для отделения маточного раствора от кристаллов глауберовой соли.
Устанавливается центрифуга типа НВШ-350-2К с технической характеристикой [12]:
Максимальный рабочий диаметр ротора, мм – 350;
Число оборотов мотора, ;
Фактор разделения при максимальном диаметре ротора – 1800;
Относительное число оборотов шнека, ;
Расчетный крутящий момент на выходной вал редуктора, кгс * м – 3000;
Мощность электродвигателя главного привода – 29,3 кВт;
Производительность по осадку, т/ч – 2-4
Требуется центрифуг:

Устанавливается 3 центрифуги типа НВШ-350-2к, в том числе:
2 – в работе;
1 – резерв
2.4.1.4 Бак для сбора маточного раствора с центрифуг.
Расчет аналогичен, как и в п. 3.1.2. устанавливается бак вертикальный цилиндрический с размерами:
Диаметр – 4800 мм;
Высота – 2800 мм;
Вместительность - 38 м 3
;
Количество баков – 2.
2.4.1.5 Центробежный насос подачи осадительной ванны в центрифуги.
Расчет аналогичен, как и в п. 3.1.3. устанавливается 2 насоса типа х45-13и с характеристикой:
Подача – ;
Напор – 10 м;
Частота вращения – ;
Электродвигатель АО – 2;
Мощность – 15 кВт.
2.4.1.6 Центробежный насос для подачи маточного раствора в смеситель осадительной ванны кислотной станции.
Расчет аналогичен, как и в п. 3.1.3. устанавливается 2 насоса типа х45-13и. 
Плавательный котел для глауберовой соли.
Согласно производительность плавильного котла составляет солевой массы. Количество массы, подавляемой в плавильные котлы равно 
Требуется плавильных котлов:

Устанавливается 5 котлов с технической характеристикой:
Производительность – ;
Вместительность – 5,4 м 3
;
Диаметр – 1734 мм;
Высота – 4500мм.
Электродвигатель мешалки:
Тип АО62-4; Мощность – 10 кВт;
Число оборотов – 1500 мин -1
;
Редуктор типа ВО – II;
Передаточное число - 3,88;
Масса редуктора с электродвигателем – 231кг. 
2.4.1.7 Выпарной испаритель – кристаллизатор.
Количество плава, поступающего в испаритель – кристаллизаторы равно 8,334 м 
Производительность испарителя – кристаллизатора по исходному плаву равна 2,0 м 
Требуется испарителей – кристаллизаторов 
Устанавливается 6 испарителей – кристаллизаторов, в том числе 5 – в работе, 1- резерв, чистка.
Техническая характеристика: тип – выпарной аппарат – кристаллизатор с принудительной циркуляцией и выносной греющей камерой ( тип 2, исполнение 1 – ГОСТ 11987 – 81). 
Поверхность теплопередачи – 100 м 2
;
Диаметр греющей камеры – 800 мм;
Диаметр сепаратора – 2200 мм;
Диаметр циркуляционной трубы – 500 мм;
Высота аппарата – 21000 мм;
Диаметр греющих труб – 38 х 2 мм;
Длина греющих труб – 6000 мм.
Циркуляционный насос:
Типа – 0 Х 6 – 42Г [13];
Производительность – 250-1400 м 3
/ч;
Напор – 6,5 м. ст. жидкости;
Число оборотов вала – 960 оборотов/мин;
Мощность электродвигателя – 30,9 кВт.
Центробежный насос для перекачивания пульпы из разгрузочной емкости испарителей – кристаллизаторов в сгустители.
Количество перекачиваемой пульпы – 2 м 3
/ч с каждого испарителя – кристаллизатора.
Устанавливается насос марки ХК 8/18 с характеристикой: [11]
Подача – 8 м 3
/ч (2,2 л/с);
Напор – 19 м.ст. жидкости;
Частота вращения – 2900 об/мин.;
Мощность – 0,8 кВт;
КПД – 51%;
Количество устанавливаемых насосов – 6 ( по одному на каждый аппарат).
2.5 Расчет производственных площадей
Исходные данные:
1. Список устанавливаемого оборудования (см. таб. 3.2)
Таблица 3.2 Спецификация оборудования
| Рабочие машины и оборудование |
Ккол-во единиц |
Производительность единицы |
Мощность мотора, кВт |
Площадь занятая ед. оборудованием, м 3
|
| На единицу оборудования |
всего |
Единицей |
всего |
| 1 |
2 |
3 |
4 |
5 |
6 |
7 |
| 1. Кристаллизатор вакуумный, горизонтальный |
22 |
17,759 т/ч |
- |
- |
8,862х2,004х2 = 17,759 м 2
|
35,518 м 2
|
| 2. Насос подачи осадительной ванны во всасывающую емкость |
22 |
25 м 3
/ч |
15 |
30 |
1,996х0,982=1,96 м 2
|
3,920 м 2
|
| 3. Насос подачи осадительной ванны во всасывающую емкость |
2
2
|
25 м 3
/ч |
15 |
30 |
1,996х0,982=1,96 м 2
|
3,920 м 2
|
| 4. Центрифуга для отделения маточного раствора от кристаллов |
33 |
2 - 4 т/ч |
29,3 |
58,6 |
1,670х1,450 = 2,420м 2
|
4,840 |
| 5. Бак для сбора маточного раствора с центрифуг |
22 |
- |
- |
- |
Ф 4,800 = 18,086 м 2
|
36,172 |
| 6. Центробежный насос подачи осадительной ванны в центрифуги |
22 |
25 м 3
/ч |
15 |
30 |
1,996*0,982 = 1,96 м 2
|
3,920м 2
|
| 7. Центробежный насос для подачи маточного раствора с центрифуг в смесители |
22 |
25 м 3
/ч |
15 |
30 |
1,996*0,982 = 1,96 м 2
|
3,920м 2
|
| 8. Плавильный котел для глауберовой соли |
6
5
|
4 м 3
/ч |
10 |
50 |
Ф 1,734 = 2,360 м 2
Ф 0,8 = 0,502
|
11,800 м 2
|
| 9. Выпарный испаритель – кристаллизатор ( циркул. насос) |
6
6
|
250-1400 м 3
/ч |
30,9 |
185,4 |
2,010*0,996 = 2,002 м 2
|
12,012 м 2
|
| 10. Центробежный насос пульпы |
66 |
2 м 3
/ч |
0,8 |
1,6 |
0,960*0,580 = 0,557 м 2
|
3,341 м 2
|
| Итого |
145,215 м 2
|
2. Коэффициент использования площади – 3,5
Расчет:
1. Площадь, занятая под оборудование составляет: 145,215 * 3,5 = 508,253 м 3
2. Принимая шаг колонны производственных помещений 12х12 = 144 м 2
, получим число ячеек под оборудование:
 3,5 = 4
3. Принимаем размер площади под оборудование в здании с шагом колонн 12х12, равен:
12х12х4 = 576 м 2
4. Обзор анализ литературных источников и патентные исследования по теме 5 проекта
Обзор и анализ литературных источников
Применение тепловых насосов (ТН) в ряде химико-технологических процессов (ХТП), имеющих дело с парами рабочего тела низкого давления приводит [1-4] к значительной экономии энергетических затрат. Дело в том, /
что повышение давления паров сопровождается ростом температуры конденсации, и становится возможным использовать теплоту их конденсации для испарения того же рабочего тела с более низкой температурой кипения. Затраты энергии на сжатие паров рабочего тела почти на порядок меньше, нежели на производство пара рабочего тела высокого потенциала; поэтому применение ТН экономически выгодно.
ТН особенно перспективны в энергоёмких процессах химической технологии, таких как выпаривание, дистилляция, ректификация, выпарная кристаллизация. Наибольший эффект от ТН возможен в непрерывных крупнотоннажных производствах.
Рассмотрим и оценим эффективность применение различных вариантов ТН на примере модельной схемы непрерывного испарения чистой воды с помощью греющего водяного пара (рисунок 4.1).
В кипятильник 1
поступает поток воды W с температурой t 1
. Б его трубном пространстве давление равно р;
вода там догревается до температуры кипения t
,
отвечающей р,
и целиком переходит во вторичный пар, отводимый сверху. Межтрубное пространство кипятильника обогревается потоком насыщенного водяного пара D
более высокого давления Р > р,
температурой конденсации Т >
t
.
Конденсат последнего выводится из межтрубного пространства кипятильника.
В аппарате с частичным ТН (ЧТН) лишь часть образующегося в кипятильнике 1
пара сжимается в инжекторе 2 за счёт подачи потока D
0
пара высокого давления ( рисунок 4.1а).
Здесь очевидны недоиспользование пара низкого потенциала (поток ( W - D
в
)
отводится с установки) и значительный подвод свежего пара (поток D 0
в инжектор). Тем не менее, как будет показано ниже, этот вариант ТН может при определённых условиях конкурировать с полным ТН (ПТН), изображённым на (рисунок 4.1б).
В последнем случае весь образующийся в кипятильнике пар сжимается в турбокомпрессоре 2 до давления греющего пара р
и используется для испарения потока подаваемой жидкости W
.
Принципиально важным здесь является ответ на вопрос: хватит ли потока вторичного пара W
после его сжатия до давления Р.
чтобы обеспечить подогрев потока подаваемой жидкости W
до температуры кипения при давлении р
и полное испарение этого потока.
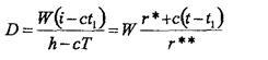
Ответ на этот вопрос найдём, записав (без учёта теплопотерь в окружающую среду) тепловой баланс для пространственного контура I (кстати, одинакового для всех вариантов ТН, в том числе и для частичного ТН), позволяющий определить необходимый поток греющего пара D
:

откуда

Здесь с - теплоёмкость воды (она мало изменяется с температурой; поэтому принята одинаковой для поступающей воды и конденсата); i
и h
-
энтальпии насыщенных паров - вторичного и греющего; r
* = i
-
ct
и r
**
= = h
- сТ
- теплоты парообразования (конденсации) вторичного (давление р)
и греющего (давление Р)
пара, соответственно.
После сжатия в компрессоре пар получается перегретым (рисунок 4.2,
т.З на диаграмме Р,р-
h
,
i
);
Его температура Т п
больше температуры Т сухого насыщенного пара (т.4).
Энтальпия перегретого пара h
" =
h
+ С п
(Т п
- Т),
где С п
- теплоёмкость пара, равная 1.98 кДж/(кг К).
Из (1) следует, что при подаче в кипятильник исходной воды с температурой кипения (
t
1
= t ), тем более при t
<
t
,
поток сжатого пара W меньше необходимого потока греющего пара D , т.к. с ростом давления теплота парообразования (конденсации) понижается - см. рисунок 4.2:.
Поэтому для полного испарения потока исходной воды W к сжатому вторичному пару требуется, как правило, добавить дополнительный поток D +
свежего греющего пара. Его можно найти из теплового баланса узла смешения


Анализ формул (2) и (3) показывает, что величина D +
> 0
при t 1
< t . При t 1
~ t величина D +
=0 за счёт теплоты перегрева сжатого пара, хотя его поток W , безусловно, меньше необходимого потока D
греющего пара.
Дополнительный поток D +
может быть уменьшен или совсем исключён путем усовершенствования ТН.

Оно заключается в дросселировании конденсата (он находится при давлении Р
и температуре кипения Т) греющего пара до давления вторичного пара р;
на рисунке 4.2
эта операция изображается вертикалью 5-6. Как видно из рисунка 4.2,
в результате дросселирования получается влажный пар (с температурой t
),
смещённый к состоянию кипящей жидкости при давлении р.
Сухой пар (его доля X во влажном паре, иначе - степень сухости последнего, невелика, но заметна) можно направить на сжатие в компрессор 2, добавив к основному потоку W . Это позволяет в значительной мере скомпенсировать дополнительный поток греющего пара D +
. Такой тепловой насос назван нами [14]
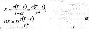
компенсирующим - КТН. Он отличается от обычного полного ТН наличием дроссельного вентиля 3 и сепаратора 4 {рисунок 4.1в).
Анализ модельной схемы КТН будем вести с обусловленными выше допущениями. Тепловой баланс для пространственного контура I идентичен рассмотренному для схемы на рисунке4. 1б
и приводит к выражению (1). Тепловой баланс для пространственного контура II , охватывающего дроссельный вентиль (в нём не происходит изменения энтальпии) и сепаратор, имеет вид:

Отсюда находим степень сухости пара X и его поток DX
,
направляемый на сжатие

В случае самоиспарения перегретой воды величина X реально близка к 0,05; в случае органических жидкостей она может превышать 0,1 [14]
Из материального баланса узла III видно, что в компрессоре теперь сжимается поток пара W
+
DX
.
Из теплового баланса узла IV можно найти дополнительный поток пара, необходимый чтобы обеспечить подогрев потока подаваемой жидкости W
до температуры кипения при давлении р
и полное испарение этого потока:

Анализ формулы (8) приводит к выводу, что при питании кипятильника водой при температуре кипения получается D +
< 0. Это означает, что в рассматриваемом случае не только не требуется дополнительного пара, но даже появляется возможность отводить некоторое количество пара (- D +
≡ Е) стороннему потребителю, как показано штриховой линией на рисунке 4.1в.
Либо можно подавать в кипятильник воду ниже температуры кипения в соответствии с формулой (7) при D +
- 0.
Оптимальный (с точки зрения теплоиспользования) ТН (ОТН) отличается от КТН наличием сепаратора 5( рисунок 4.1г),
в котором перегретый пар (после сжатия пара в турбокомпрессоре 2) барботирует через конденсат греющего пара, находящийся при давлении Р
и температуре кипения Т, с испарением части конденсата. За счёт этого испарения получаемый поток Д"
сухого насыщенного греющего пара становится больше необходимого для проведения данного процесса потока D греющего пара и появляется возможность отводить некоторое количество пара на сторону - поток Е, показанный на рисунке штриховой линией. Либо можно подавать в кипятильник воду, заметно недогретую до температуры кипения.
Поток избытка Е
пара высоких параметров и другие материальные потоки этой схемы ТН можно найти на базе материальных (МБ) и тепловых (ТБ) балансов для различных узлов и аппаратов на рисунке 4.1г.
Приведём основные вехи технологического расчёта, полагая как и ранее с, С п
=
const .
ТБ для контура I , необходимый для определения расхода греющего пара D , совпадает с записанным выше; поэтому D рассчитывается по (1).
МБ для контура II позволяет определить поток насыщенного пара высокого давления D " из сепаратора 5:


В расчётные уравнения входит температура перегретого пара Т п
после компрессора. Определим её с учётом адиабатического КПД η ад
последнего, используя диаграмму состояния рабочего тела h
-
s
.
Найдя по диаграмме (известны состояние пара перед сжатием и давления р,Р)
удельную адиабатическую работу сжатия L ад
= h
* -
i
,
рассчитываем реальную работу сжатия: L
=
L
ад
/η ад
=
h
’’ –
i
.
Откладывая в диаграмме (на кривой Р)
энтальпию h
"
фиксируем точку состояния рабочего тела после сжатия и его параметры, включая Т п
(подробнее см. [14]). Например для водяного пара при t
=100 °
C
,
p
= 0.1 МПа, Р = 0,25МПа
и η ад
= 0,7
имеем: Т п
= 230 °С.
Перегрев при политропном сжатии Т п
- Т = 97 °С;
это значит, что реальная теплота перегрева пара C
п
(
T n
-
T
) = 190
кДж/кг составляет заметную долю от теплоты парообразования греющего пара г** = 2370 кДж/кг. Эти цифры говорят о вполне значимой добавке пара при использовании и учёте теплоты его перегрева.
Перед сравнением различных вариантов ТН несколько соображений о подходе к оценке их эффективности.
Одним из типичных примеров использования принципа теплового насоса являются машины умеренного охлаждения. Для их оценки и сопоставления введено [15,16,17]
понятие о холодильном коэффициенте ε х
,
выражающим количество холода, производимого в испарителе, приходящееся на единицу затраченной адиабатической работы:
Таблица 4.1

Для тепловых насосов, предназначенных для повышения потенциала пара с целью последующей передачи теплоты q при температуре Т в
верхнего источника более целесообразен коэффициент эффективности тепловых насосов (ε),
называемый также коэффициентом преобразования. [5]:

Коэффициент эффективности ТН ε,
как и холодильный коэффициент ε,
в определённом смысле характеризует термодинамическое совершенство реализуемого теплового насоса: чем выше ε,
тем выгоднее данный вариант теплового насоса. Разумеется, сравнение вариантов ТН следует проводить при одинаковых уровнях и перепадах температур ,
поскольку ε,
как и ε х
в значительной степени зависит не только от перепада температур, но и от их уровня.

На рисунке 4.4
приведено сравнение коэффициентов эффективности полного ТН (теоретического и реального) в области температур от 100
до 150 °С. В качестве нижнего температурного уровня t
н
выбрана температура 100 °С, соответствующая водяному пару, получаемому из воды при атмосферном давлении. Теоретический (для идеального ТН) коэффициент эффективности ТН рассчитывали по формуле, аналогичной для ε х
в случае идеальной холодильной машины:

В реальных условиях работы ТН коэффициент эффективности ТН рассчитывается по левой формуле (18), причем работа сжатия 1 кг водяного пара может быть рассчитана с помощью энтальпийно-энтропийной диаграммы h
,
i
- S водяного пара как разность энтальпий конечного и начального состояний (
h
"
- i
)
или (
h
* -
i
)/
η
ад
(рисунок 4.5).
С учётом механического к.п.д. компрессора η
мех
работа сжатия равна:


При расчётах по формуле (22) принята С п
-1,98 кДж/(кгК); η
ад
=
0,78; η
мех
=0,9; i
= 2676 кДж/кг. Результаты расчёта ε р
при давлениях Р=
2 , 3 и 4 ата приведены в таблице 4.1.
Из рисунка4. 4
видно, что коэффициент эффективности реального ТН составляет 65 — 70 % от теоретического коэффициента эффективности ТН, что близко к произведению двух коэффициентов η
ад
*
η
мех
равному 0,702.
С увеличением разности температур (давлений) коэффициент эффективности ТН (коэффициент преобразования) ε р
закономерно уменьшается, оставаясь достаточно высоким.
При оценке эффективности применения ТН необходимо учесть большую стоимость единицы электроэнергии (для работы турбокомпрессора) по сравнению с тепловой в виде греющего пара. По данным различных заводов РФ коэффициент К, равный отношению цен за единицу электроэнергии и тепловой в виде пара давлением до 1 МПа, колеблется в широких пределах (от 3 до 6). С учётом этого соотношения экономический коэффициент эффективности ТН будет в К
раз меньше: ε эк
=
ε
р
/
K
.
Расчёт ε эк
для ПТН и КТН с учётом формулы (22) дает одинаковый результат в расчёте на 1 кг сжимаемого в турбокомпрессоре пара. Однако при сравнении эффективности применения ПТН, КТН и ОТН необходимо учесть долю свежего пара d
≡
D
+
/ D
,
дополнительно подаваемого, как правило, в аппарат с ПТН и, наоборот, отводимого с установки в случае КТН и ОТН. Тогда экономический коэффициент эффективности ε эк
при работе с ПТН, КТН и ОТН по сравнению с работой кипятильника без ТН может быть рассчитан по формуле:

Здесь ε р
рассчитывается по формуле (22), но без учёта теплоты перегрева паров, так как последняя учтена при расчётах D
+
из тепловых балансов узлов смешения (контур II на рисунке 4.1б
и контур IV на рисунке 4.1в).
Результаты расчётов ε эк
по формуле (23) совместно с (3), (8) и (12) при условии t
1
=
t
,
р=0,1 МПа и Р=0,25МПа и различных значениях К
представлены на рисунке 4.6.
При работе без ТН подаётся только свежий пар (
d
= 1) и, естественно, величина ε эк
= 1.
Для частичного теплового насоса экономический коэффициент эффективности не зависит, естественно, от соотношения цен К
за единицу электроэнергии и тепловой в виде пара. Он полностью определяется коэффициентом инжекции U
=
D
в
/
D o
и возможным отличием цен на пар высокого давления и рабочего, характеризующимся коэффициентом К п
.


На ряде предприятий РФ цена за 1 кг пара при давлениях от 0,3 до 1 МПа одинакова, тогда К п
=
1.
Так как D = D 0
+ D
в
=
D
0
(1+
U
),
то D
/
D o
= 1+
U
,
a коэффициент преобразования для ЧТН :

При U
= 0.6
и принятом К п
= 1
на рисунке 4.6
получим горизонтальную линию, пересекающую ε эк
для других вариантов ТН при значениях К >
5,5-5,8. Это свидетельствует, что турбокомпрессоры в схемах ТН выгодно применять при не очень большом соотношении цен за единицу электроэнергии и тепловой (менее 5). При значениях К >
6 в случае одинаковых цен на пар высокого и среднего (рабочего) давлений экономически более выгодным может оказаться частичный ТН.
При К <
5 наиболее выгодным является ОТН. Совсем немного (по величине ε эк
примерно на 1 %) уступает ему КТН и чуть больше - ПТН (примерно на 6%).Однако в последних двух случаях обогрев кипятильника производится перегретым паром, что приводит к ухудшению условий теплопередачи. Поэтому схему ОТН следует считать наиболее целесообразной.
Штриховой линией на рисунке 4.6
показана зависимость ε эк
от К
для ПТН без учёта теплоты перегрева паров после сжатия. Видно, что доля последней составляет 5 - 7 % от полной энтальпии пара и пренебрегать ею не следует. Однако для эффективного использования этой теплоты перегрева следует применять полное внутреннее охлаждение паров в сепараторе высокого давления, как это показано на рисунке 4.1г.
Сравнение эффективности применения ТН в процессах выпаривания, дистилляции и ректификации может быть проведено по той же канве.
Задачей данных патентных исследований является поиск информации об энергосберегающих технологиях и оборудовании для энергосбережения в процессах кристаллизации растворов солей и, в частности, сульфатов.
Поиск проведен по материалам, предоставленным в таб. 4.2.
| Предмет поиска (тема, объект, его составные части) |
Цель поиска информации |
Страна поиска |
Классификационные индексы |
| Наименование источника поиска информации |
| Энергосберегающее оборудование и технологии кристаллизации растворов солей |
Снижение энергозатрат на процесс кристаллизации сульфата натрия из осадительной ванны |
Россия
|
Пат. 1752115 РФ, МКН G 21 F 9/16 |
Айзенштейн В.Г., Захаров М.К.,Носов Г.А., Оптимизация полного теплового насоса в процессах химической технологии заявка 15.01.2001 |
| Энергосберегающее оборудование и технологии кристаллизации растворов солей |
Снижение энергозатрат на процесс кристаллизации сульфата натрия из осадительной ванны |
Россия
|
Пат. 1752115 РФ, МКН G 21 F 9/16 |
Айзенштейн В.Г., Захаров М.К.,Носов Г.А., Компенсирующий тепловой насос в химико-технологических процессах. Заявка от 23.03.2000. |
3. П редложения по модернизации и реконструкции
В данном проекте предлагается реконструкция кристаллизационной установки АО «Вискозное волокно» в ОАО «Балаковский завод волоконных материалов». При этом обвязка кристаллизатора выполняется по энергосберегающей технологии. Для этого на каждую секцию кристаллизатора устанавливается по дополнительному конденсатору смешения. Орошение конденсаторов производится речной водой (по на каждый конденсатор). При этом количество воды, подаваемой на основной конденсатор - уменьшается. Барометрическая вода с проектируемых конденсаторов сливается в существующую камеру- гидрозатвор. Не сконденсировавшаяся парогазовая смесь отсасывается паровым эжектором в сборный коллектор ( с 2,3,4 секций кристаллизатора) и в сборный коллектор (с 1 секции кристаллизатора) и далее по существующей схеме.
3.1 Техническая характеристика оборудования
3.1.1 Кристаллизатор
· Рабочее давление – вакуум;
· среда – агрессивная (осадительная ванна с кристаллами глауберовой соли);
· температура по секциям: I - до 17° С ; II - до 15° С; III – до 12° С; IV - до 10° С;
· матерная – сталь гуммированная эбонитом 51 – 1627 по ТУ 38 – 1051082 – 76, δ гум
= 4,5 мм;
· габариты: ;
· масса - 14900 кг.
3.1.2 Конденсатор смешения
· Подача воды на орошение ;
· материал: сталь нж;
· габариты: 1000 мм; Н= 3500 мм.
3.1.3 Насос
· Подача - ;
· напор – 31 м.вод.ст;
· электродвигатель АО -51-2:
мощность - 18 кВт;
частота вращения - 940 
3.1.4 Насос вакуумный ВВН1 – 12
· Номинальная производительность по линии всасывания - 560 ;
· вакуум – 0,04 МПа;
· расход воды - 2 
· электродвигатель 4А200 L 6У3:
мощность - 32 кВт;
частота вращения - 1040 .
Кроме указанного выше мероприятия предлагается увеличить подачу осадительной ванны в кристаллизатор с 18 до 24 , что приведет к повышению температуры ванны по секциям кристаллизатора в сумме на 3С. При этом увеличивается скорость образования кристаллов и их зародышей, что в свою очередь увеличивает выход кристаллов; в связи с этим увеличивается и производительность кристаллизационной установки.
Предлагается так же установка циркуляционных насосов для вакуум – испарителей – кристаллизаторов. В результате чего снизится инкрустация (отложения солей) на поверхностях аппарата и тем самым увеличится продолжительность работы аппарата между технологическими чистками, снизятся затраты труда и материалов на проведение чистки, увеличится их производительность.
Так же предлагается установка тепловых насосов для обогрева корпусов вакуум – испарителей – кристаллизаторов с использованием их вторичного пара, что снизит расход тепла на вакуум – кристаллизацию сульфата натрия.
4. А втоматизация технологического процесса и контрольно – измерительные приборы
4.1 Введение
Промышленность химических волокон относится к одной из прогрессивных и развивающихся высокими темпами отраслей промышленности нашей страны.
Волокна используются главным образом для изготовления одежды; кроме этого, значительное количество их расходуется на изготовления всевозможных технических тканей и изделий, высокопрочной кордной ткани, рыболовных снастей, веревок, канатов и т.д. натуральных волокон недостаточно для удовлетворения все возрастающих потребностей населения в текстильных товарах, а для технических изделий натуральные волокна во многих случаях непригодны, т. к. не обладают необходимым комплексом особых свойств (высокой термостойкостью, прочностью, биостойкостью и т.д.). Кроме того, производство натуральных волокон является трудоемким и дорогостоящим. Поэтому возникла необходимость в разработке промышленных способов получения волокон искусственным путем.
Процесс получения вискозных волокон включает следующее технологические стадии:
1. Мерсеризация целлюлозы – обработка целлюлозы в большом избытке 18% -ного раствора едкого натра, в результате чего образуется пульто щелочной целлюлозы в растворе щелочи:

Полученная щелочная целлюлоза подвергается отжиму от избытка щелочи и измельчению;
2. Предсозревание щелочной целлюлозы – выдерживание ее при определенной температуре и влажности, в результате чего она подвергается термоокислительной деструкции, и вязкость ее снижается;
3. Ксантогенирование щелочной целлюлозы – обработка ее сероуглеродом в среде азота с целью получения растворимого в водном растворе полимера – ксантогената целлюлозы:

4. Растворение полученного ксантогената целлюлозы в водном растворе едкого натра с целью получения вискозы – прядильного раствора для формирования волокон;
5. созревание вискозы и подготовка ее к формованию волокна (смешение, фильтрация, обезвоздушивание);
6. Формование и отделка волокна. Формование вискозных волокон проводят мокрым способом , т.е. с использованием осадительной ванны. В ходе формования протекают основные процессы, приводящие к накоплению в осадительной ванне сульфата натрия:






Для поддержания постоянства состава осадительной ванны она направляется на кристаллизацию избытка сульфата натрия.
Процесс кристаллизации сульфата натрия осуществляется на кристаллизационных установках.
Основными операциями, осуществляемыми на установках кристаллизации являются:
1. Кристаллизация глауберовой соли из осадительной ванны;
2. Обезвоживание отфугованных кристаллов (плавка);
3. отделение кристаллов от маточного раствора (центрифугирование);
4. Кристаллизация и сушка кристаллов ;
5. Упаковка сульфата натрия
4.2 Объекты автоматизации. Средства автоматизации и КИП
Автоматизация управления – как отдельными аппаратами, комплексами аппаратов, так и производством в целом – является важным элементом совершенствования процесса, определяя устойчивость, качество работы, и производительность процесса, повышение производительности труда в производстве волокон и в частности в проведении процесса кристаллизации сульфата натрия.
За последние годы появилось много статей, посвященных автоматизации аппаратов. За это время в теории и практике автоматизации химико-технологических процессов и производств достигнуты значительные успехи.
Разработан системный подход к автоматизации управления, созданы системы унифицированных технических средств автоматизации, обеспечивающих комплексное решение задач оперативного управления, моделирования и применения цифровых вычислительных машин (ЦВМ) для управления производствами. Все это позволило конкретизировать понятия автоматизированной системы управления – АСУ для производств вискозных волокон. В настоящее время любая проблема автоматизации рассматривается, по крайней мере, как часть проблемы создания АСУ с учетом внешних химико-экономических факторов. Возрастание роли автоматизированного управления в химико-технологических производствах привело к появлению следующих особенностей современных производств:
· Так называемая локальная автоматизация, считывается ранее единственной формой автоматизации, становится неотъемлемой частью технологического оборудования;
· Автоматизированное управление рассматривается как «технологический» фактор, превращающий композицию из многих механизмов аппаратов в единый агрегат с новыми качествами и повышенной эффективностью.
В отделении кристаллизации сульфата натрия осуществляется контроль следующих параметров:
1. Температура по секциям горизонтальных вакуум – кристаллизаторов;
2. Температура плава в плавильных котлах;
3. Давление в трубопроводах подачи пара и воды на установку, а так же в линиях нагнетания насосов;
4. Вакуума в барометрических конденсаторах;
5. Температуры в испарителях – кристаллизаторах;
6. Уровней сред в баках.
Осуществляется также контроль и регулирование следующих параметров:
1. Расхода осадительной ванны на установку;
2. Соотношения расхода природного газа и воздуха в топку трубы – сушилки.
3. Расхода пара в сгустители.
Таб. 6.1 Общетехнические средства контроля и автоматизации, используемые при автоматизации и управлении в отделении кристаллизации
| Контролируемые и регулируемые параметры |
Средства контроля и автоматизации |
Тип |
| Датчики для измерения температуры и преобразователи |
| 1. Температура осадительной ванны на входе, в горизонтальный кристаллизатор и по его секциям |
1. Термометр сопротивления медный. Градуировка 23
2. Преобразователь измерительный к термометрам сопротивления
|
ТСМ – 6097
ТСМ – 5071
ПТ – ТС - 68
|
| 2. Температура раствора в испарителях - кристаллизаторах |
1. Термометр сопротивления медный. Градуировка 23
2. Преобразователь измерительный к термометрам сопротивления
|
ТСМ – 6097
ТСМ – 5071
ПТ – ТС - 68
|
| 3. Температура плава в плавительных котлах |
1. Термометр сопротивления медный. Градуировка 23
2. Преобразователь измерительный к термометрам сопротивления
|
ТСМ – 6097
ТСМ – 5071
ПТ – ТС - 68
|
| 4. Температура топочных газов в сушилке сульфата натрия |
1. Термопара хромель-амомелевая
2. Преобразователь измерительный к термопарам
|
ТХА – 0806
ПТ – ТП – 68
|
| Датчики для измерения разрежения и давления |
| 1. Разрежение в вакуум – кристаллизаторах, испарителях – кристаллизаторах и барометрических конденсаторах |
1. Тягомер симфонный, выходной сигнал 5 мА
2. Тягомер сильфонный, выходной сигнал 0,2 – 1 кгс/см 2
|
ТС – Э1
ТС – Э2
ТС – Э3
ТС – П1
ТС – П2
|
| 2. Давление растворов после насосов |
Разделитель мембранный с пленкой из фторопласта и манометр сильфонный, выходной сигнал 5 мА |
РМ 5320
МС – Э1
МС – Э2
|
| 3. Давление пара, воды |
Манометр пружинный, выходной сигнал 0,2 – 1 кгс/см 2
|
МП – П2 |
| Приборы для непосредственного измерения разрежения и давления без передачи сигнала на значительные расстояния |
| Разрежение и давление по системе |
Тягомер стрелочный
Напоромер стрелочный
|
ТмМП – 52
НПМ - 52
|
| Датчики для измерения расхода |
| 1. Расход осадительной ванны и растворов |
1. Комплект индукционного расхода мера
2. Датчик
3. Измерительный блок ИР – 11, выходной сигнал 5 мА
|
ИР -11
ДРИ
|
| 2. Расход пара и воды |
1. Диафрагма камерная
2. Диафманометр сильфонный, показывающий, выходной сигнал 5 мА
|
ДСП – 786Н
ДСП – 787Н
|
| 3. Расход природного газа в топку сушилку |
1. Диафрагма безкамерная
2. Диафманометр сильфоный, выходной сигнал 5 мА
|
ДС – П3
|
| Датчики для измерения уровня |
| 1. Уровни в сборниках ванны, плава, растворов |
1. Пьезометрическая трубка
2. Манометр сильфонный, выходной сигнал 5 мА
3. Манометр сильфонный, выходной сигнал 0,2 – 1,0 кгс / см 2
|
МС – Э1
МС – П1
|
| Измерение числа оборотов штека – питания сушилки |
1. Датчик тахометра малогабаритный
2. Измеритель магнитоиндукционного тахометра
|
Д – 1
ТЭ - 1
|
| Вторичные приборы |
| 1. Температура, измеряемая термопарой |
Потенциометр автоматический показывающий (многоточечный) |
КСП – 2 - 028 |
| 2. Давление, разрежение, уровень (к датчикам с электрическим выходом) |
1. Потенциометр автоматический показывающий, выходной сигнал 0,2 – 1 кгс/см 2
2. Потенциометр автоматический показывающий, с пневматическим изодромным регулятором
|
КСП – 3
КСП - 4
|
| 3. Температура измеряемая термометром сопротивления |
Мост автоматический показывающий, выходной сигнал 0,2 – 1 кгс/см 2
|
КСМ - 3 |
| 4. К датчикам с пневматическим выходом |
Приборы пневматической ветви ГСП |
ПВ4.2Э
ПВ4.3Э
ПВ10.1Э
|
| Преобразователи общего назначения |
1. Пневматический преобразователь
2. Электропневматический преобразователь
|
ПЭ – 55 м
ЭПП - 63
|
| Регуляторы |
| 1. Пневматической ветви ГСП |
1. Пропорциональный регулятор
2. Пропорционально – интегральный регулятор
|
ПР1.5
ПР3.21
|
| 2. Электрической ветви ГСП |
1. Блок регулирующий аналоговый
2. Блок управления аналогового регулятора
|
Р12
БУ12
|
| Регулирующая арматура и исполнительные механизмы |
| 1. Потоки растворов и осадительной ванны |
Клапан регулирующий фторопластовый с пневматическим мембранным исполнительным механизмом |
1545п 2 |
| 2. Потоки газа, воздуха |
1. Поворотная регулирующая заслонка
2. Пневматический Следящий привод поршневой
|
СИУ ряда 101
ПСП – Т -1
|
4.3 Требования к приборам и средствам автоматизации
Требования, предъявляемые к приборам и средствам автоматизации [21,стр.119-120] производствах химических волокон, в первую очередь определяются свойствами сред, параметры которых измеряется. Для большинства стадий производства химических волокон следует учитывать запыленность газообразных сред, температуру и концентрацию веществ, вызывающих коррозию в газовых и жидкостных потоках, а также запыленностью и содержание SO 2,
SO 3
, CS 2
в атмосфере помещений, где устанавливается оборудование контроля и регулирования. Влияние температуры сред и концентрации веществ, вызывающих коррозию, учитывается при подборе соответствующих материалов для узлов датчиков, соприкасающихся со средой. При измерении концентрации запыленных сред применяются специальные способы очистки и подготовки пробы газа на анализ. Чтобы избежать коррозии щитовых средств контроля и автоматизации, а также сохранить их эксплуатационные характеристики в условиях запыленности и загрязненности атмосферы производственных помещений, необходима максимально возможная централизация управления с очисткой и кондиционированием воздуха, подаваемого в диспетчерские пункты. Это позволяет снизить расходы на эксплуатацию приборов и увеличит срок их службы.
5. Механические расчеты
5.1 Расчет элементов испарителя – кристаллизатора
5.1.1 Расчет допускаемого внутреннего давления для цилиндрической обечайки теплообменника испарителя – кристаллизатора
Исходные данные:
Длина обечайки Н ц
= 6000 мм;
Внутренний диаметр – 800 мм;
Толщина стенки S = 10 мм.
В межтрубной пространстве находится водяной насыщенный пар с температурой t c
= 132,9 0
С при Р с
= 0,3 МПа. Материал кожуха – листовой прокат из стали 1 х 18Н10Т.
Прибавка к расчетной толщине стенки С = 1,5 мм.
Швы – сварные с двусторонним сплошным проваром, выполнены вручную (см. рис.8.1)
Расчет:
Расчетная температура стенки t = t c
= 132,9 0
С;
Допускаемое напряжение:
В рабочем состоянии [ ] = *
= 1 * 152 = 152 МПа, Где *
= 152 МПа – для стали 1Х18Н10Т при температуре 132,9 0
С. [3]
= 1 – для листового проката, при гидравлических испытаниях
[ ] = Т20/1,1
= = 263,6 МПа,
где Т20
= 290 МПа – предел текучести стали 1 Х 18 Н10Т при + 20 0
С.
Расчетное давление (см. рис. 8.1 ) – Р *
р
= Р с
= 0,3 МПа
Пробное давление при гидравлическом испытании (Р р
0,5 МПа и Нс < 8 м).
р и
= max 1,25 р р
[ ] 20
/ [ ] = 1,25 * 0,3 * = 0,43 Мпа =0,43МПа
Р р
= 0,3 МПа
где [ ] 20
= 20
*
= 177 Мпа – допускаемое напряжение стали 1 х 18Н10Т при температуре + 20 0
С ( = 1) [3]
Коэффициент прочности сварных соединений обечайки для заданного типа швов = 0,93. [3]
Допускаемое внутреннее давление в рабочем состоянии:
[ p ] = 2 [ ] ( S – C ) / ( D + S – C ) = = 2.97 МПа;
При гидравлических испытаниях:
[ p ] = 2 [ ] и
( S - C ) / ( Д + S – C ) = = 5.15 МПа
Условия применяемости формул соблюдается, т.к. ( S - C ) / Д = = 0,0106 <0,1. Таким образом р р
< [ p ], (0,3 МПа <2,97 МПа) и р и
<[ р и
], ( 0,43 МПа < 5,15 МПа)

Рис. 8.1. Схема расчетная обечайки. Рис. 8.2. Схема расчетная обечайки теплообменника сепаратора
5.1.2 Расчет обечайки сепаратора
Исходные данные:
Материал обечайки – сталь 1Х18Н10Т.
σ в
= 550 МН/м 2
; σ Т
= 220 МН/м 2
[3].
Проницаемость материала обечайки в среде – 0,03 мм/год (с 1
= 1 * 10 -3
; с 2
= 0).
Среда – водный раствор осадительной ванны – жидкость ж
= 1295 кг/м 3
Р с
– вакуум 450 мм. рт. ст.
t с
= 60 0
С
Диаметр Д = 2200 мм;
Н = 6000 мм;
Продольный сварной ручной электродуговой шов – стыковой двух сторонний. ( ш
= 0,95). [3]
Аппарат 2-го эксплуатационного класса 2-й группы ( = 1,0). [3]
Расчет:
Эскиз к расчету смотреть рисунок 8.2.
Гидростатическое давление в нижней части обечайки при уровне жидкости в сепараторе Н ж
= 1 м определяется по формуле [3]:
р ж
= ж
g Н ж
= 1295 * 9,81 * 1 = 12704 Па 0,013 МПа
Расчетное внутреннее давление среды р с
= 760 – 450 = 310 мм.рт.ст., или
р с
= * 1,013 * 10 4
= 4,132 * 10 4
Па
Расчетное давление в сепараторе р = р с
+ р ж
= 4,132 * 10 4
+ 1,3*10 4
= 5,432 * 10 4
Па
Допускаемое напряжение для стали 1х18Н10Т по пределу прочности [3] из ф. 14.1 и таб. 14.1:
σ д
= ( σ в
/ n в
) * =( 550*10 6
/ 2,6) * 1,0 = 211,5 * 10 6
Н/м 2
Допускаемое напряжение для стали 1Х18Н10Т по пределу текучести (ф 14,2) [3]:
σ д
= ( σ т
/ n т
) * = 220 * 10 6
* 1,0 / 1,5 = 146,7 * 10 6
Н/м 2
Второе, как меньшее является расчетным.
Так как ( σ д
/ р) * ш
= (146,7 * 10 6
/ 0,05432 * 10 6
) * 0,95 = 2565,6150,
то величиной р в знаменателе формулы (15.1) [3] пренебрегаем.
Расчетную толщину стенки обечайки определяем по формуле (15.1)
S ´ = (Д в
р / 2 σ д
ш
) + с = 2,2 * 0,05432*10 6
/ 2 * 146,7 * 10 6
* 0,95 = ( 0,4 * 10 -3
+ с)м;
Прибавку с при с 3
= 0,8 * 10 -3 м (таб. 2.15) [3] определяем по формуле (15.15) [3]
С = с 1
+ с 2
+ с 3
= (1+0+0,8) 10 -3
= 1,8 * 10 -3 м ;
S ´ = (0,4+1,8)10 -3
= 2,2 * 10 -3 м , принимаем
S = 3 мм.
Проверим напряжение в стенке обечайки при гидравлическом испытании аппарата водой р ж
= ж
g Н ж
= 1000 * 9,81 * 6 = 58860 Па 0,059 МПа. Жидкость - вода. Расчетное давление испытания определяем по формуле (15,25) [3] и таб. (14.5) [3]:
Р и
= р г
+ р ж
= 10*10 4
+ 5,9*10 4
= 15,9 * 10 4
Па 0,16 МПа
Напряжение в стенке обечайки при гидравлическом испытании аппарата определяется по формуле (15,24) [3]:
σ = [Д в
+ ( S – C )] p и
/ 2( S – C ) ш
= [ 2,2 + (3 – 1,8) * 10 -3
] 0,16 / [2(3 – 1,8) * 10 -3
* 0,95] = 154,5 МПа, что < σ т
/ 1,2 = 220 / 1,2 = 183,3 МПа
5.1.3 Расчет конического днища сепаратора
Исходные данные:
Материал днища – сталь 1Х18Н10Т; внутренний диаметр Д в
= 2200 мм; днище коническое неотбортованное с углом конуса 2 α = 150 0
и , с центральным отверстием d = 0,05 м;  ш
= 0,95;
Давление на днище р = 5,432 * 10 4
Па  0,05 * 10 6
МПа ; С 1
= 1,0 мм, С 2
= 0
Расчет:
Фактор формы днища при α = 75 о
определяем по графику (16.8) [3] при R б
/Д в
= 0,01 и у = 9;
Эскиз днища смотреть рисунок 8.3

Рис. 8.3 Эскиз днища сепаратора
Расчетную толщину днища определяем по формуле (16.7) [3]:
S ´ = (Д в
р у / 2 σ ид
ш
) + с = 2,2 * 0,05 * 9/( 2*146 * 0,95) + с = ( 0,0036 + с) м = (3,6*10 -3
+ с) м.
Прибавку с при с 3
= 0,4 мм (таб. 2.15) [3] определяем по формуле (15,15) [3]
С = с 1
+ с 2
+ с 3
= (1 + 0 + 0,4) * 10 -3
= 1,4 * 10 -3 м ;
S ´ = (3,6 + 1,4)10 -3
= 5 * 10 -3 м .
Принимаем ближайший размер по таблице 16,19 [3], но не менее, толщину стенки обечайки S = 5 мм. Площадь поперечного сечения укрепляющего кольца в нижней части обечайки определяем по формуле:
= 2,2 2
* 0,05 * tg 75 о
/ (8*146) = 0,00077
При соотношении размеров конечного сечения кольца по фигуре (16.11) [3] расчетная толщина будет: S к
= = = 0,016 м. (см рис. 8.4)
Размеры укрепляющего кольца S к
= 16 мм; 3 S к
= 16*3 = 48 мм
2 S = 5*2 = 10 мм.
S к
> S

5.1.4 Расчет трубной решетки греющей камеры
Эскиз расчетный смотреть рис.8. 5

Рис. 8.5 К расчету трубной решетки греющей камеры
Исходные данные:
Давление в трубном пространстве р m
= р с
+ р ж
= 1295 * 9,81 * 6 + 0,04 * 10 6
= 76223,7 Па
Давление в междутрубном пространстве р м
= 0,3 Мпа;
Длина трубок L = 6000 мм;
Матерная труб – сталь 1Х18Н10Т;
Матерная трубной решетки – сталь 0 х 13;
Диаметр – Д в
= 800 мм = 0,8 м;
Диаметр труб – ф 38 х 2 мм.
σ ид
= 177,0 МПа для стали 1Х18Н10Т – σ ид
= 146 МПа – для стали
С = 1,8 * 10 -3 м
Расчет
Расчетную высоту наружной части решетки при = 1 определим по формуле (23.1) [3]:
h ´ t
= k Д в
+ с = 0,43 * 0,8 + 0,0018 = 0,0078 + 0,0018 = 0,0096 = 9,6 мм.
Коэффициент прочности решетки определяем по формуле (22,5) [3]
= = = 0,99
Расчетную высоту средней части решетки при = 0,99 определим по формуле (23.1) [3]:
h ´ 1
= k Д в
+ с = 0,99 * 0,8 + 0,0018 = 0,0181 + 0,0018 = 0,0199 = 19,9 мм.
5.1.5 Расчет компенсатора кожуха греющей камеры
Исходные данные:
Диаметр внутренний кожуха Д в
= 800мм;
Длина L = 6000 мм;
Давление р m
= 0,076 Мпа;
Р м
= 0,3 МПа
Температура:
t m
= 90 0
C
t к
= 132,9 0
С
S к
= 10 мм, с к
= 1,5 мм
Трубы ф 38 *2 мм; с т
= 1,2 мм
Z = 187 шт.
Материал корпуса сталь 1Х18Н10Т
Компенсатора сталь – 1Х18Н10Т,
σ тк
(132,9 0
С) = 152 МПа Е к
(132,9 0
С) = 1,91 * 10 5
Па
σ тт
(90 о
С) = 146МПа Е м
(90 о
С) = 2,00 * 10 5
Па
к
t
= 17,2 * 10 -6
1/ о
С м
t
= 17,2 * 10 -6
1/ о
С
Расчет:
Площадь поперечного сечения корпуса (стр.320)[3]:
F k
= (Д в
+ S к
) S к
= 3.14(0,8+0,010)*0,010 = 254,34*10 -3 м 2
Площадь поперечного сечения труб (стр.320)[3]:
F т
= ( d H
– S m
) S m
Z = 3.14(38-2)2 * 187 = 42276,96 мм 2
= 0,042 м 2
= 420 * 10 -4 м 2
Сила взаимодействия между корпусом и трубами за счет температурных напряжений определяется по формуле (24.1) [3]:

Суммарную силу, растягивающую корпус и трубы, от давления среды в трубном и междутрубном пространстве при расчетном диаметре трубной решетки Д в
определяем по формуле (24.2) [3]:
Р = 0,785[(Д в
2
– d н
2
Z ) p m
+ d в
2
Zp m
] = 0,785[(0.8 2
– 0.038 2
*187)*0.3*10 6
+ 0.038 2
*187*0.076 ]= 87128,4 Н;
Максимальное напряжение в корпусе определим по формуле (24.5) [3]:
σ max
k
= P t
/ F k
+ PE k
t
/ ( E t
* F k
+ E m
t
F m
) = (2.27 / 254,34 * 10 -4
) + (8*7128,4 *191*10 5
) / (1,91*10 5
*254,34 * 10 -4
+ 2,0*10 5
* 420*10 -4
) = 95,82 МН/м 2
, что < σ тк
то
/1,2 = 220 * 10 6
/ 1,2 = 183,3 * 10,6 Н/м 2
,
т.е. условия (24.5) [3] выполнено .
Максимальное напряжение в трубах определим по формуле (24.6) [3]:
σ max
т
= P t
/ F т
+ PE т
t
/ ( E t
* F k
+ E m
t
+ F m
)= 2,27 / 420*10 -4
– (87128,4*191*10 5
)/ (191*10 5
* 254,34 *10 -4
+ 2,0*10 5
*420*10 -4
) = 93,21 МН/м 2
,
< σ т т
90
/1,2 = = 121,7 МН/м 2
условие (24.6) [3] выполнено, значит, компенсатор не требуется.
5.1.6 Расчет обтюрации греющей камеры
Исходные данные:
Диаметр внутренний Д в
= 800 мм,
Давление р п
= 0,16 Мпа
Температура t c
= 90 о
С
Прокладка – ПОН -1(ГОСТ-481-80)
Материал уплотняемых поверхностей – сталь 1Х18Н10Т,
Эскиз расчетная схема рис.8.6
Расчет:
На основании таб. 19.2 стр. 242 [3] для лучшей герметичности рекомендуется прокладка прямоугольной формы (тип 1) при давлении 0,16 МПа. Тип обтюрации I , II , III – A , VI – A , V для давления < 10 МПа.
Из таблицы (19,13;19,3 и 19,18) [3] имеем диаметр прокладки:
Д = Д в
+ 10 = 800 + 10 = 810 мм
S = 4 мм
h = 2S + 1 = 2*4 + 1 = 9 мм
h 1
= 2,5 S = 2,5 * 4 = 10 мм
q = 1,2 σ T
= 1.2 * 50*10 6
= 60*10 6
Н/м 2
Расчетную ширину уплотнения определил по формуле (19.2) [3]:
в´ = 0,33 Др и
/ ( σ т
– 0,33 р и
– 1,1 q ) = 0,33*0,810*0,16*10 6
/ (220*10 6
– 0,33*0,16*10 6
– 1,1 * 60*10 6
) = 0,2 * 10 -3 М ;
Принимаем в = 5 мм; в э
= в = 5 мм [3] (таблица 19.17)

Рис. 8.6. Обтюрация тип IV – А
Диаметр прокладки:
Д п
= Д + в = 810 + 5 = 815 мм
Расчетная осевая сила сжатия прокладки (19.1) [3]
Р´ п
= 3Д п
в э
q = 3*0,815*5*10 -3
* 60*10 6
= 0,734 * 10 6
Н= 0,734 МН
5.1.7 Расчет растягивающего усилия в болтах, числа болтов для крепления крышки
Из расчета 8.1.6. имеем
Р´ п
= 0,734 * 10 6
Н
Д в
= 0,8 м
Д п
= 0,815 м
В = 0,0 05 м
Р б
= Р´ с
+ Р´ п
= 0,102 * 10 6
+ 0,734 * 10 6
= 0,836 * 10 6
Н,
где Р´ с
– расчетная сила от давления среды при К = 1, определяется по формуле (20.3) [3]:
Р´ с
= 0,96КД 2
п
р и
= 0,96 * 1*0,815 2
* (0,16*10 6
) = 0,102 МН
Расчетный диаметр болтов (20,5) [3]
d б
´= 0,25 ( ) = 0,25 ( )= 0,0076 м
Принимаем d б
= М10 из таб. 20.7 [3]
Рассчитаем число болтов при К = 1 определится по формуле (20.9) [3]
Z ´ = = 1,2*0,836*10 6
/ (1*78,5*10 -6
220*10 6
* 0,9) = 64,5
Принимаем Z = 68 (кратное 4 и четное)
Наружный диаметр болтовой окружности (20.10) [3]:
Д б
´ = Д вн
+ 2,2 d б
+ 0,01 = 0,8 + 2,2*0,010 + 0,01 = 0,832 м. принимаем Д б
= 840 мм
Шаг болтов t = Д б
/ Z = 3,14 * 840 / 68 = 38,8 мм
6. Безопасность жизнедеятельности
6.1 Введение
Химические волокна, наряду с другими полимерными материалами, приобрели исключительно важное значение в народном хозяйстве.
По темпам роста производство искусственных и синтетических волокон опередило ряд развивающихся новых отраслей химической промышленности. Применение химических волокон в чистом виде и в смеси с натуральными волокнами дает возможность не только расширить ассортимент, но и улучшить качество товаров народного потребления.
Производство химических волокон, и, в частности, вискозных, связано со значительными опасностями и вредностями для обслуживающего персонала, а также вероятностью нанесения ущерба окружающей среде.
Для предотвращения неблагоприятного воздействия производства на человека и окружающую среду разрабатываются мероприятия, которые закладываются в техническую документацию производств, различную нормативную документацию и законодательные акты.
В данном проекте рассматривается организационно-технические меры охраны труда, техники безопасности, промсанитарии и противопожарной безопасности для отделения кристаллизации сульфата натрия в производстве вискозной нити.
6.2
Производственная безопасность
Анализ условий труда на рабочем месте
| Вредный фактор, измеряемый параметр, единица измерения |
Источник выделения |
Значение параметра |
Ссылка |
| Фактическое |
Нормативное |
| Метеоусловия: |
| - температура, 0
С. |
20 |
18-21 |
[ 44 ] |
| - влажность, % |
50 |
40-60 |
[ 44 ] |
| - подвижность, м/с |
0,1 |
0,2 |
[ 44 ] |
| Тепловое излучение Вт/м 2
|
Отс. |
- |
- |
- |
| Вредные химические вещества, мг/м 3
|
Отс. |
- |
- |
- |
| Пыль, мг/м 3
|
Упаковка сульфата натрия |
8 |
10 |
[ 44 ] |
| Освещенность: |
| - естественная, % |
Окна |
10 |
40 |
| - искусственная, лк |
Лампы люминисцентные |
100 |
100 |
| Шум, дБ |
Насосы |
35 |
40 |
[ 45 ] |
| Вибрация, дБ |
Пароэжекторы |
30 |
40 |
[ 46 ] |
Таб. 9.2 Перечень возможных опасных факторов
| Группа и тип оборудования |
Опасные факторы |
Ссылка |
Кристаллизаторы паровые эжекторы плавильные котлы испарители – кристаллизаторы
Центрифуги
Емкости и резервуары
Топки и сушилки
Конвейеры винтовые
Насосы и трубопроводы
Др. оборудования
|
Повышенная температура наружной поверхности аппаратов;
Электрический ток;
Вращающиеся части;
Агрессивная среда
|
[ 4 7 ] |
Обоснование и выбор мероприятий и технических средств безопасности.
Табл. 9.3 Категорийность помещений участка
| Характерные показатели |
Выбор признаков |
Ссылка |
| По тяжести работ |
Размер рабочей зоны,
количество работающих
нормы площади, чел/м 2
по объему, чел/м 3
категория работ по тяжести
|
L*B*H = 42*24*17
N = 24
6
24
II
|
[ 4 8 ]
[ 4 8 ]
[ 4 8 ]
[ 4 8 ]
[ 4 8 ]
|
| По опасности поражения электрическим током |
Схема питания сети
Схема и режим нейтрали питающей сети
Применяемость напряжения, В
Категория помещения по опасности поражения электрическим током
|
3-х фазная 4-проводная
С заземленной нейтралью
220, 280, 24
С повышенной опасностью
|
[ 4 9 ]
[ 4 9 ]
[ 4 9 ]
[ 4 9 ]
|
| По пожарной и взрывной опасности |
Обращаемые в производстве огнеопасные вещества
Категория помещения по пожарной и взрывной опасности
Класс зоны в помещении по пожарной и взрывной опасности
|
Природный газ, мазут
Б, Г 1
В1 а
, П – I а
|
[ 50 ]
[ 49 ]
[ 49 ]
|
Основные требования к размещению производственного оборудования, складов:
· Расположение оборудования и коммуникации должно предусматривать их безопасное обслуживание и соответствовать требованиям действующих нормативных документов;
· Проходы и разрывы должны быть не менее:
- Основные проходы по общему фронту обслуживания ряда аппаратов – 1,0 м; [13]
- рабочие проходы между аппаратами – 0,8 м; [13]
- расстояние от машины и аппаратов до строительных колонн здания при наличии против колонн постоянных мест обслуживания оборудования – 0,5 м. [13]
- ширина основных проходов цеха должна соответствовать нормам строительного проектирования и увеличиваться на величину транспортного устройства в каждую сторону до выступающих частей ближайшего оборудования:
- колонн и стен должна быть 0,8 м; [13]
- рабочие места, проходы и проезды не должны загромождаться;
- чаны и баки для осадительной ванны, меточных растворов должны снабжаться крышками;
- складские помещения должны быть индивидуальны (для мазута, готовой продукции, запчастей и т.д.);
Основные требования к рабочему месту аппаратчиков отделения кристаллизации следующие:
- рабочее место должно быть хорошо освещено;
- Рабочее место должно быть оборудовано столом, стулом, письменными принадлежностями, рабочими инструкциями и др. нормативной документацией, необходимыми журналами, аптечкой с необходимыми медикаментами и нейтрализующими растворами, инструментом и приспособлениями, средствами индивидуальной защиты, средствами связи и сигнализации;
Таб. 9.4 Вентиляция и отопление
| Характерные показатели |
Выбор признаков |
Ссылка |
| Вентиляция |
Система вентиляции:
- естественная
- механическая
расход воздуха, м 3
/ч
|
Приточная,
Приточно – вытяжная
Расчет
|
[51]
[51]
|
| Отопление |
Система отопления:
-централищованное
тепл. нагрузка, кДж/ч
Расход теплоносителя, кг/ч
|
Воздушное
Расчет
Расчет
|
[51]
|
Таб.9.5 Производственное освещение
| Характерные показатели |
Выбор признаков |
Ссылка |
| Разряд и подразряд |
IV , г |
[52,49] |
| Вид освещения |
искусственное |
[52,49] |
| Нормы освещениости, лк |
Е н
= 100 |
[52,49] |
| Расчетная освещенность, лк |
Расчет: |
| Число светильников, шт |
Расчет |
| Мощность лампы, Вт |
Р = 200 |
Расчет |
Табл. 9.6 Производственный шум и вибрация
| Наименование показателей |
Оцениваемые показатели |
Ссылки |
| Среднегеометрическая частота шума, Гц |
1000 |
[41] |
| Допустимые уровни звукового давления, дБ |
L доп
= 40 |
[41] |
| Фактические уровни, дБ |
L факт.
= 30 |
[41] |
| Выбор методов снижения шума: центровка валов |
Расчет |
| Среднегеометрическая частота вибрации, Гц |
1000 |
[46] |
| Допустимые уровни виброскорости, дБ |
L доп
= 40 |
[46] |
| Фактические уровни, дБ |
L факт.
= 40 |
[50] |
| Выбор метода по снижению вибрации: вибропоглощение, изоляция, в источнике. |
Центровка валов
|
[46] |
Таб.9. 7 Электробезопасность
| Наименование показателей |
Оцениваемые показатели |
Ссылки |
| Исполнение электрооборудования |
Искробезопасное |
| Источники статического электричества |
Отсутствие |
[49] |
Выбор мер защиты: заземление
|
Расчет |
[49] |
| Меры защиты от статического электрического электричества |
Нет необходимости |
[49] |
Таб. 9.8 Санитарно – бытовое обслуживание
| Помещения |
Измеритель |
Норма, м 2
|
| Бытовое помещение |
1 чел |
0,90 |
| Гардеробная |
1 чел |
0,82 |
| Душевая |
1 чел |
0,20 |
| Помещение для личной гигиены женщин |
50 чел |
1,78 |
| Помещение для сушки одежды и обуви |
1 чел |
0,20 |
| Уборная для мужчин |
1 чел |
0,09 |
| Уборная для женщин |
1 чел |
0,14 |
| Помещение для приема пищи |
1 чел |
0,25 |
| Помещение для отдыха рабочих |
1 чел |
0,70 |
Требования техники безопасности к технологическим процессам:
· Вести постоянный контроль за состоянием воздушной среды;
· Строго соблюдать все технологические параметры процесса, правила обслуживания, ремонта , правила техники безопасности, промсанитарии и пожарной безопасности;
· Все движущиеся и вращающиеся части машин должны быть надежно ограждены кожухами;
· Все фланцевые соединения трубопроводов с агрессивными жидкостями и паропроводов должны быть защищены кожухами;
· Запрещен ремонт, наладка и чистка аппаратов и трубопроводов, арматуры под давлением, заполненных жидкостями;
· Запрещена эксплуатация КИП с просроченным сроком проверки;
· Все электрооборудование должно быть заземлено, заземление проверено приборами;
· На работах, связанных с опасностью поражения электротоком, необходимо применять защитные средства (изолирующие подставки, инструменты с изолированными ручками, диэлектрические боты, калоши, перчатки, коврики и др.), все защитные средства должны быть проверены;
· Перед ремонтом все аппараты и трубопроводы должны быть нейтрализованы, вычищены, просушены, продуты;
· Пуск в работу оборудования производить только после внутреннего и наружного осмотра;
· Разрешается пользование только исправными инструментом и лестницами.
Таб.9.9 Средства индивидуальной защиты
| Наименование СИЗ |
Обеспеченность |
Ссылка |
| СИЗ головы, рук, органов дыхания, зрения, слуха, лица |
Каска, головной убор, очки, рез. перчатки, респиратор, противогаз инд. пользования. |
[47] |
| Спецодежда, спецобувь |
Костюм шерстяной, рукавицы, резиновая обувь. |
[47] |
| Средства обеззараживания |
Крем силиконовый, водный раствор 3-4% питьевой соды или аммиачной воды |
[47] |
6.3 Безопасность в чрезвычайных ситуациях [53]
6.3.1 Введение
Устойчивость объекта в чрезвычайных ситуациях представляет собой способность в условиях чрезвычайной ситуации производить продукцию в запланированном объеме и номенклатуре, а при получении слабых и частично средних разрушений восстанавливать свое производство в минимальные сроки.
Цель оценки устойчивости заключается в выявлении слабых его элементов, чтобы в последующем провести инженерно-технические мероприятия, направленные на повышение устойчивости объекта в целом.
Оценка устойчивости работы объекта – это всестороннее изучение предприятия с точки зрения способности его противостоять воздействию поражающих факторов, продолжать работу и восстанавливать производство при получении слабых разрушений.
6.3.2 Анализ видов и условий возникновения чрезвычайных ситуаций на предприятии [53]
Возникновение чрезвычайных ситуаций возможно в случаях наводнения, землетрясения, урагана, ядерных и других взрывов и пожаров.
Эти ситуации могут привести к тем или иным разрушениям объекта, в связи с этим проводится оценка устойчивости объекта, в ходе, которой берутся на учет все здания и сооружения и оценивается их статическая устойчивость, обследуются материально-энергетические системы объекта, обеспечиваются работающие защитными сооружениями, изучается система управления и связи, исследуется подготовка объекта к восстановлению производства.
Оценка устойчивости объекта (производство вискозной нити) к воздействию ударной волны (см. таб.9.13)
Таб. 13. Оценка устойчивости объекта к воздействию давления
| Наименование зданий и сооружений |
Характеристика зданий и сооружений |
Величина избыточного давления – разрушения, КП а
|
| Среднее |
Слабое |
| Химический цех |
Каркасное железобетонное, 3-х – этажное, высота 24 м. |
30 |
20 |
| Кислотная станция |
Каркасное-железобетонное, 2-этажное, высота 18 м. |
30 |
20 |
| Главный корпус |
Бескаркасное, кирпичное одноэтажное, высота 10 м. |
20 |
10 |
Таб.9.14 Оценка устойчивости объекта к воздействию светового излучения
| Наименование зданий и сооружений |
Группа возгораемости стройматериалов (огнестойкость) |
Степень возгораемости здания и сооружения |
Категория пожарной опасности объекта |
Пожарная обстановка после ядерного взрыва через 30 мин |
Пожарная обстановка после ядерного взрыва через 1-2 часа |
| Химический цех |
Несгораемые |
I |
А |
Зона сплошных пожаров, взрывы аппаратов (ксантогенераторов) |
Сплошные пожары |
| Кислотная станция |
Несгораемость |
I |
Д |
Зоны отдельных пожаров |
Опасные районы в отношении распространения огня |
| Главный корпус |
Несгораемость |
I |
Д |
Зоны отдельных пожаров |
Опасные районы в отношении распространения огня. |
Таб. 9.15 Оценка устойчивости работы объекта к воздействию проникающей радиации
| Наименование зданий и сооружений |
Характеристика зданий и сооружений |
Коэффициент ослабления доз радиации К осл
|
| Химический цех |
Стены железобетонные толщиной 35 см, перекрытие 30 |
10 |
| Кислотная станция |
Стены железобетонные толщиной 35 см, перекрытие 30 |
10 |
| Главный корпус |
Стены кирпичные толщиной 25 см, перекрытие 20 см. |
7 |
Таб. 9.16 Оценка устойчивости объекта к воздействию химического и бактериологического оружия
| Наименование источника поражения |
Характеристика источника поражения |
Расстояние до источника поражения |
Характер поражения и радиус действия |
Продолжительность |
| Атомная станция |
4 блока ресекторов |
20 км до объекта |
Взрыв в радиусе 20 см. |
До 24 часов |
| ТЭЦ |
Хранилище 50 т. Мазуты |
1 км до объекта |
Пожар и взрыв в радиусе 0,8 км |
2-3 часа |
| Гидроузел |
Водохранилище |
5 км до объекта |
Затопление через 10 минут |
До 24 часа |
6.3.3 Обоснование и выбор мероприятий и технических средств, направленных на уменьшение масштабов развития чрезвычайных ситуаций
Обеспечение защиты рабочих и служащих от оружия массового поражения:
· Укрытие их в защитных сооружениях (убежища)
· Вывоз персонала в безопасные зоны.
Повышение устойчивости управления ГО объекта:
· Разработка схемы оповещения и связи;
· Создание двух групп управления (одна – на предприятии, другая – в загородной зоне);
Повышение устойчивости зданий и сооружений:
· Повышение их механической прочности и огнеопасности ( обмазка огнестойкими материалами, усиление металлическими стойками, балками);
· Обсыпка низких зданий грунтом;
· Усиление труб в траншеях
Защита ценного и уникального оборудования:
· устройство спец. защитных укрытий (шатры, зонты, кожуха)
Повышение устойчивости снабжения электроэнергией, газом, паром, водой:
· Базирование предприятия на двух источниках электроснабжения (ТЭЦ, ГЭС)
· Резервная линия электропередачи ( подземная, кабельная)
· Устройство систем автоматического переключения с одной линии на другую линию электроснабжения;
· Резерв газа (устройство газохранилища);
· Прокладка газовых сетей под землей;
· Строительство резервной котельной пароснабжения
· Создание резервных источников воды
Повышение устойчивости материально – технического снабжения:
· Создание резерва сырья и материалов;
· Хранение резерва рассредоточенного в различных местах.
6. 4 Расчетная часть
6.4.1 Расчет воздухообмена
Таблица 9.17 Исходные данные режимов
| Исходные данные: |
Летний режим |
Зимний режим |
| 1. Параметры наружного воздуха (для условий г.Балаково): |
| - температура, о
С |
23,4 |
-11,3 |
| - относительная влажность, % |
53 |
84 |
| 2. Объем помещения, м 3
|
25*10 3
|
| 3. Поступление тепла (от технологического оборудования, работающих моделей, освещения, соседних помещений, солнечной радиации) ккал/ч |
107438 |
76250 |
| 4. Потери тепла через строительные ограждения, ккал/ч |
40*10 3
|
| 5. Рараметры воздуха внутри помещения |
| - температура, о
С (по технологическим условиям) |
14-16 |
| - относительная влажность, % |
По санитарным нормам |
| 6. Температура охлажденной воды, о
С |
| - подаваемой к кондиционерам (начальная) |
5 |
| - возвращаемая из поддонов |
7,5 |
Летний период
При заданных параметрах охлажденной воды наружный воздух (см. точка 1) после камеры орошения кондиционера (точка 3) и нагрева в вентиляторе будет характеризоваться параметрами, соответствующими точке 4. С такими параметрами воздух поступает в помещение для ассимиляции избытков тепла, при этом нагревается до 14 о
С (точка2)
Ассимиляционная способность воздуха определяется по разности энтальпий в точках 2 и 4 и составляет 7,4 – 6,3 = 1,1 ккал/кг
Расход воздуха на ассимиляцию избытка тепла равен:
L = = 81342,4 м 3
/ч
где 1,2 – плотность воздуха, кг/м 3
В помещении кроме избытков тепла выделяются пары сероуглерода. Расход воздуха на доведение содержания шаров сероуглерода до предельно допустимой концентрации (10 мг/м 3
) составит:
L н
= = 38,25 * 10 3
м 3
/ч
Из этого видно, что расход воздуха для снижения концентрации сероуглерода ниже, чем на ассимиляцию избытков тепла летом и зимой.
Кратность обмена рассчитываем по расходу воздуха на ассимиляцию тепла летом и зимой.
Кратность обмена равна:
= 3,25
Расход холода на охлаждение воздуха составит:
Q х
= 81342,4 * 1,2(12,9 – 6,1) = 66,42 * 10 4
ккал/ч = 772,4 кВт
Где (12,9 – 6,1) – разность энтальпий в точках 1 и 3.
Хладагент – охлаждающая вода:
t нач
= + 5 о
С
t кон
= 7,5 о
С
Зимний период
Избытки тепла:
Q изб
= 76250 – 40000 = 36250 ккал/ч.
По санитарным нормам для работ средней тяжести в холодный период года оптимальная температура в рабочей зоне помещения равна + 16 о
С (точка 7)
Температура приточного воздуха (точка 6) равна
T пр
= 16 - = 14,45 о
С
0,24 – теплоемкость воздуха, ккал/кг*град;
81392,4 – расход приточного воздуха, который принимается по летнему периоду, м 3
/ч.
Расход тепла на нагрев приточного воздуха при расчетной зимней температуре составит:
Q = 81392,4 * 1,2 * 0,24[14.45 – (-11.3)] = 603606 ккал/ч = 7 * 10 3
кВт
6.4.2 Расчет освещенности
В помещении предусмотрено общее, местное и аварийное освещении.
Освещение должно обеспечивать нормальную освещенность рабочих мест, равномерное и правильное направление светового потока.
· Площадь освещаемого помещения S = 42 * 24 = 1008 м 2
;
· Коэффициент отражения Р н
= 50%; Р с
= 30%; Р р
= 10%
· Требуется освещенность на СНиП 23 – 05-95Е = 30 лм.
· Расчетная высота подвеса светильников h = 5,6 м;
· Светильники типа «Универсал»
Расчет ведет по методу коэффициента использования.
Вычисляем индекс помещения:
J = = = 6,08
А;В – ширина и высота помещения, м.
Для данного значения J коэффициент использования = 56%
Для освещения участка выбирается лампы накаливания общего назначения типа НТ 220 – 200 по ГОСТ 2939 – 79 с величиной светового потока F = 2700 лм.
Определяем потребное число светильников
N = = = 29,9
Где R = 1,3 – коэффициент минимальной освещенности;
n = 1 – количество ламп в одном светильнике.
Принимаем 30 светильников.
Потребная мощность на общее освещение 200*30 = 6000 Вт = 6 кВт
Аварийное освещение – 10 % от основного: 6*0,1 = 0,6 кВт.
Местное освещение у пульта управления : 200 Вт = 0,2 кВт.
Общая потребляемая на освещение мощность:
N = 6 + 0,6 + 0,2 = 6,8 кВт
6.4.3 Расчет заземления
Если сопротивление естественных заземлителей больше нормативного, то применяется искусственное заземление. Сопротивление искусственного заземления, состоящего из сопротивления вертикальных электродов R в
и горизонтальной полосы R г
рассчитывается из условия:
R H
 = = 1,5 Ом
R H
4 Ом – нормативное сопротивление заземляющего устройства.
|