Негосударственное образовательное учреждение
«ИНСТИТУТ МЕЖДУНАРОДНОГО ПРАВА
И ЭКОНОМИКИ имени А.С. Грибоедова»
Экономический факультет
Кафедра экономики
Курсовая работа
по дисциплине «Экономическая теория»
на тему: «Ценообразование на факторы производства»
Выполнила: студентка
Заочного отделения группы Э-13
Видякина В.В.
Проверила:
Романова О.Я.
Петрозаводск 2011
Оглавление.
Введение…………………………………………………………………………3
Глава 1. Теоретическая постановка проблемы ценообразования на факторы производства.
………………………………………………………..5
1.1. Ценообразование на факторы производства по А. Смиту…………....….5
1.2. Теория распределения доходов по собственности на
факторы производства……………………………………………………….….8
Глава 2. Структура классического рынка факторов производства
и особенности его возрождения в российской экономике
……….………11
2.2. Рынок капитала. Ссудный капитал и его источники.
Норма процента………………………………………………………………...15
2.3. Особенности сельскохозяйственного производства. Земельная рента
и ее виды. Рента и арендная плата. Цена земли……………………………..18
2.4. Закон взаимозамещения и цена экономических ресурсов.
Условие равновесия фирмы……..…………………………………………….21
2.5. Функциональное распределение результатов производства..………….23
2.6. Рынок труда. Его современное состояние……………………………….27
Заключение……………………………………………………………………..32
Список используемой литературы……………………………………………34
Введение.
Рынки факторов производства являются особым видом рынков в системе рыночной экономики. В отличие от рынков готовых товаров и услуг, где фирмы являются продавцами, а потребители товаров и услуг - покупателями, на этих рынках фирмы являются покупателями рабочей силы, природных ресурсов, земли, капитала в его различных формах: денежного, производительного, ссудного или фиктивного капитала (капитала, представленного в форме ценных бумаг).
Производство товаров зависит от издержек, которые в свою очередь определяются ценами на факторы производства. Эти факторы имеют свой рынок, на котором они продаются и покупаются, а цена на них устанавливается в соответствии с законами спроса и предложения. Определение цен на факторы производства, а именно ренты на землю и другие ресурсы, заработной платы, нормы процента на капитальные активы и прибыли, связано с решением проблемы «для кого должны производиться товары». В то же время механизм образования цен на экономические ресурсы дает нам возможность ответить, каким путем должно быть организовано производство, чтобы оно было эффективным. Отсюда становится ясным, что ключ для понимания механизмов установления цен на факторы производства дает экономическая теория производства.
Изучая данную проблему, я ставлю перед собой следующие задачи: усвоить, что представляют собой рынки факторов производства; дать оценку им; рассмотреть закон взаимозамещения ресурсов; определить, как связаны минимизация издержек и максимизация прибыли фирм с ценообразованием на рынках экономических ресурсов.
В литературе вопрос раскрыт достаточно полно. В учебнике Видяпина В.И., Добрыниной А.И. выделяются элементы рыночного механизма: спрос, предложение, цена; отмечается, что каждый элемент рыночного механизма связан ценой, которая служит основным инструментом, воздействующим на спрос и предложение; раскрывается теория цены товара; анализируются равновесные цены.
Камаев В.Д. сосредоточивает свое внимание на особенностях рыночного товарооборота факторов производства; отмечает, что здесь действуют законы спроса и предложения и механизм конкурентного равновесия цен; дает понятия ссудному проценту, ренты, прибыли; раскрывает специфику рынков земли, труда, капитала, а так же содержание производственной функции, закона взаимозамещения ресурсов.
В учебном пособии Муталимова М.Г. используется такой термин как экономические ресурсы; раскрывается вопрос об особенностях ценообразования на рынках ресурсов, раскрываются вопросы эластичности спроса на ресурсы, ценные бумаги, рынок природных ресурсов и др.
Глава 1.
Теоретическая постановка проблемы
ценообразования на факторы производства.
1.1.
Ценообразование на факторы производства по А. Смиту.
Проблема ценообразования на факторы производства по-разному трактуется различными экономическими школами. Рассмотрим, например, ценообразование на факторы производства по А. Смиту. Методология и логика подходов к анализу проблем ценообразования на факторы производства содержится в «Исследовании о природе и причинах богатства народов» А. Смита. Исходной предпосылкой выступает деление первичных экономических ресурсов на такие факторы производства, как труд, земля и капитал. Любой предмет конечного потребления людей - это товар, цена которого определяется затратами труда на его производство, выраженными в рабочем времени, мастерстве и таланте Работника. При обмене готового товара на деньги, труд или другие продукты, отмечает А. Смит, помимо оплаты цены материалов и заработной платы работников, должна быть учтена еще некоторая сумма прибыли для предпринимателя, рискующего своим капиталом в этом деле.[1]
Согласно А. Смиту, цена каждого товара конечного потребления людей прежде всего сводится к трем составным частям затрат: труда, капитала и земли. Если какой-либо товар конечного потребления нуждается в более глубокой обработке, то большей становится та часть цены, которая приходится на заработную плату и промышленную прибыль, сравнительно с той частью, которая приходится на земельную ренту. Обрабатывающая промышленность увеличивает последовательный ряд прибылей, и каждая последующая из них становится больше предыдущей, соответствуя размерам привлекаемого капитала.
Первый вывод из сказанного заключается в том, что ценообразование на факторы производства, в частности первичные ресурсы, такие как труд, земля и капитал, определяется ценой конечных продуктов потребления, производимых с помощью этих факторов.
Именно этой особенностью объясняется производный характер спроса фирм на факторы производства, зависимость цен на все виды ресурсов от цен на потребительские товары.
Второй вывод: ценообразование на факторы производства следует связывать с доходами собственников, владеющих этими факторами.
Любой человек получает свой доход от одного из перечисленных, принадлежащих ему лично факторов производства: либо от своего труда, либо от своего капитала, либо от своей земли.
Логика доводов, относящихся к вопросу о взаимосвязи доходов различных групп общества и цен на рынках факторов производства, также прослеживается через движение цен на потребительские товары. Так как цена любого из этих товаров, заключает А. Смит, сводится к той или другой или ко всем трем составным частям первичных факторов производства (труда, земли и капитала), к таким же трем составным частям должна сводиться цена всего годового продукта общества. Стоимость его должна распределяться также в соответствующих трех формах первичных и вторичных доходов, получаемых путем перераспределения через налоговую систему. Если доходы общества растут, то спрос на факторы производства и их цена также будут повышаться. И наоборот, снижение этих доходов вызовет снижение цен на рынках факторов.
Отмеченные выше взаимосвязи между ценой потребительских товаров, а также доходов общества и движением цен на рынках факторов производства не столь просты и однолинейны. Обосновывая положения о рыночной цене товаров, А. Смит отмечал, что в каждом обществе или каждой местности существует обычная, или средняя, норма как заработной
платы, так и прибыли для каждого из различных приложений труда и капитала. Эта норма регулируется общими условиями общества, уровнем его богатства или бедности, застоя или упадка, а также особой природой того или иного приложения труда и капитала. То же самое относится и к средней норме ренты. Эти обычные, или средние, нормы А. Смит называет «естественными нормами» заработной платы, прибыли и ренты для каждого конкретного времени и места. Следовательно, естественная цена товара - это цена не выше и не ниже того, что необходимо для оплаты в соответствии с естественными нормами земельной ренты, зарплаты и прибыли на капитал, затраченных для производства (добычи), обработки и доставки его на рынок. Фактическая цена может отклоняться от естественной, может и совпадать с нею в момент продажи на рынке. Рыночная цена, по Смиту, определяется отношением между количеством товара, фактически доставленным на рынок, и спросом на него со стороны тех, кто готов уплатить его естественную цену или полную стоимость ренты, заработной платы и прибыли. Оплата товара необходима, чтобы товар доставлялся на рынок.
В приведенных доводах А. Смита представлено его понимание действия закона спроса и предложения, «управляющих» не только рынками потребительских товаров и услуг, но и рынком экономических ресурсов, факторов производства.[2]
1.2. Теория распределения доходов по собственности
на факторы производства.
Теорию распределения доходов по собственности на факторы производства и цен этих факторов на конкурентных рынках можно было бы считать достаточно абстрактной, тем более, что чисто технический закон «затраты-выпуск» она не рассматривает. Этот закон составляет основу теории производства или, как иногда ее называют в науке, основу «функции производства». Но именно теория распределения доходов по собственности на факторы производства и цен этих факторов на конкурентных рынках дает ответ на вопросы о том, каковы специфика и проблемы определения ренты на землю, размеров оплаты труда» уровня процента за капитальные активы.
Доходы от факторов производства и рыночные цены каждого фактора определяются их предельной производительностью.
Начало теории предельного продукта любого фактора производства рассмотрены Д. Рикардо при разработке вопросов дифференциальной ренты. В 80-х годах XIX столетия такие авторы, как Кларк, Викселль, распространили выводы Риккардо о ренте на другие факторы производства. По их утверждению, доход и цена любого переменного фактора определяются предельным продуктом этого фактора. В этом смысле теория предельного продукта стала осью теории ценообразования на факторы производства, точнее той стороны процесса ценообразования, которая определяется спросом фирм на каждый конкретный фактор.
Выводы Дж.Б. Кларка сводились к тому, что рыночный механизм ценообразования на факторы производства обеспечивает распределение доходов «по справедливости», так как каждый фактор вознаграждается в зависимости от его предельной производительности. Однако при дефицитности большинства факторов и их неэластичном предложении на рынках спрос и цена на них растут, нарушая принцип «справедливого» распределения. Кроме того, в реальной экономике обнаруживаются и другие причины, например технический прогресс. В его условиях предельная производительность труда возрастает вследствие применения более совершенных машин. Очевидно, что блюсти гармонию справедливого вознаграждения предельного продукта труда работника без учета такого фактора производства, как техника, также достаточно проблематично. Идея Кларка об эффективности применяемых факторов означала необходимость вознаграждения, возмещения не только труда, но и применяемого капитала.
Главная идея состояла в том, что нужно исчислять производительность и предельный продукт не каждого в отдельности фактора производства, а во взаимодействии всех факторов.
Комплементарность факторов производства остается ведущей идеей представителей австрийской экономической школы, трактующих предельный продукт фактора производства как прирост удовлетворения потребителя продукцией, произведенной в результате конечного приращения одного из факторов производства. Это не строго определенный предельный продукт фактора в физическом выражении, умноженный на предельную полезность, доставляемую потребителю дополнительной продукцией. Приращение фактора должно выражаться в конечных единицах блага и предполагает существование своего рода «общественной предельной полезности», а также то, что предприниматели вменяют степень удовлетворения потребителей средствам производства.Этой неуклюжей формулировки, комментирует М. Блауг[3]
, можно избежать с помощью простого допущения о взаимном детерминировании цен конечного продукта и цен факторов производства.
В настоящее время теория предельной производительности, с одной стороны, приблизилась к социальным аспектам критерия оценки «общественной предельной полезности» факторов производства. Но эти доходы еще далеки от того, чтобы классическую схему распределения (теорию долей трех факторов: труда, земли и капитала) привести в соответствие с требованиями современной практики. С другой стороны, теория предельной полезности, затронувшая микроэкономические аспекты анализа проблем ценообразования факторов производства, определила критерий оптимизации спроса на факторы производства конкурентной фирмы. В основу этого критерия положено условие максимизации прибыли, достигаемое фирмой при равенстве ее предельных издержек и цены готового продукта.
Вознаграждение факторов производства и их цена на рынке, по этой теории, определяются предельной производительностью каждого фактора, полученной в точке минимизации издержек фирмы. Например, заработная плата работника должна соответствовать предельному продукту его труда, выраженному в денежной форме.[4]
Глава 2. Структура классического рынка факторов производства и особенности его возрождения в российской экономике.
Некоторые особенности рынка факторов производства в современной России.
Административно-командная система хозяйствования имела деформированный рынок факторов производства. Все вопросы ценообразования решались централизованно и являлись прерогативой планирующих органов. Земля не продавалась и не покупалась. Производственные фонды выделялись в размерах, порой превышающих потребности заводов, с запасом, который потом гнил и ржавел на складах, а то и просто под открытым небом. Хозяйствование предпринимателя было сведено на нет. Рабочие не чувствовали себя реальными хозяевами предприятия, заработная плата фиксированной и не стимулировала выпуск дополнительной продукции. Новая экономическая стратегия современного, рыночного развития России предполагает ориентирование на свободу предпринимательства, способного не только оценить, какие ресурсы необходимы, но и просчитать, какое их сочетание обеспечит фирме наименьшие издержки и наибольший доход.
Но пока такая в России только формируется. Минимизация издержек в условиях инфляции крайне затруднена. Закон замещения факторов более дешевыми должен опираться на передовые технологии, а их внедрение идет очень вяло.
Дефицитность товаров и ресурсов на фоне общего роста цен ведет к еще большему застою в производстве. «Челночная» торговля становиться куда более выгодным делом, чем восстановление и обновление производства. Положение также усугубляется дефицитом государственного бюджета. Всё это говорит о том, что в России пока не сложились условия для равновесия на рынке факторов производства, но это задача - одна из самых насущных для выхода России из глубокого экономического кризиса.
2.1.Спрос и предложение на рынках ресурсов
В отличии от спроса на обычные потребительские товары индивидуального назначения, т.е. продукты конечного потребления, спрос на факторы производства имеет свою специфику. Особенностью, специфической чертой спроса на любые факторы производства является то, что он имеет производственный, вторичный характер по сравнению со спросом на конечные потребительские блага. Производственный характер спроса на факторы производства объясняется тем, что потребность в них возникает лишь в том случае, если с их помощью могут быть произведены пользующие спросом конечные потребительские блага, т.е. товары или услуги обычного потребительского назначения. В рыночной экономике ценообразованию подвержены не только готовые товары или услуги, но и ресурсы (факторы производства). Любое производство для своего осуществления требует приобретения определенного вида и количества ресурсов. Здесь следует отметить, что формирование спроса на ресурсы и предложения ресурсов имеет свою специфику.
Кроме сказанного, следует учитывать, что ресурсы подвержены общей концепции соотношения спроса и предложения. Ресурсы — это товар и ничто как товару им не чуждо. Здесь действуют те же факторы, которые свойственны спросу на товар вообще. Вместе с тем имеется и особенность, но она в большей степени касается предложения на ресурсы: они часто бывают ограниченными и производству приходится действовать в условиях выбора с учетом ограниченности ресурсов. Вовлечение в производство ресурсов зависит от производительной их отдачи, которая подвержена действию закона убывающей отдачи факторов производства, вследствие чего ресурсы будут вовлекаться до тех пор, пока каждый дополнительный ресурс будет обеспечивать увеличение дохода в большей степени, чем будут возрастать издержки.
Факторы, определяющие спрос на ресурсы
. Спрос на ресурсы определяется рядом факторов. Поскольку ресурсы входят в издержки производства, фирма стремится максимизировать прибыль с учетом оптимального их сочетания или взаимозамены. Если технология известна, величина ресурсов и их сочетание определяются уровнем цен. В качестве основных видов ресурсов при этом выступают труд, капитал и предпринимательские способности. В ряде отраслей экономики (сельское хозяйство, добывающая промышленность) очень важным ресурсом является земля.
К числу факторов, определяющих спрос на ресурсы, относятся денежные доходы, характер их распределения по отраслям, социальные и этические подходы к использованию. Расходы на ресурсы производятся за счет доходов домохозяйств. Поэтому последние выступают основным фактором формирования спроса на ресурсы. Что касается распределения ресурсов, характер этого процесса во многом определяется уровнем цен на них. И, наконец, социальные и этические подходы к использованию ресурсов. Здесь на передний план выходит проблема долевого распределения доходов между различными социальными группами населения, этические нормы бизнеса, проблемы регулирования заработной платы и т.д.
С точки зрения производства важное значение имеет устойчивость спроса на тот или иной ресурс, которая зависит от производительной силы ресурса и от величины спроса на товар, произведенный с помощью этого ресурса. Если речь вести о труде, то спрос на него будет тем выше, чем производительнее он функционирует в производстве. Этот показатель выводится на основе определения таких характеристик, как предельный продукт в денежном выражении (МRР) и предельные издержки на ресурсы (МRС). Предельный продукт — это прирост общего дохода в результате применения каждой дополнительной единицы переменного фактора производства (возьмем для анализа — труд). Предельными издержками на ресурсы называется прирост издержек (издержек на ресурсы) за счет каждой дополнительной единицы ресурса. Для фирмы прибыльно применять дополнительные единицы ресурса до той поры, пока предельный продукт не уравняется с предельными издержками. Если число рабочих, нанимаемых фирмой таково, что предельный продукт последнего нанятого рабочего превышает ее предельные издержки, фирма получит прибыль от найма дополнительных рабочих. Но если количество нанятых работников таково, что предельный продукт последнего рабочего меньше предельных издержек, фирма начнет функционировать убыточно и для обеспечения прибыльности надо уволить излишек нанятых рабочих. Равенство МRР = МRС — тот предел, за которым не следует вести наем дополнительных работников.На конкурентных рынках цены факторов производства формируются под влиянием как спроса, так и предложения. Предложение – это то их количество, которое может быть представлено на рынках по существующим на данном момент ценам.
Предложение во многом зависит от специфики каждого конкретного фактора производства как экономического блага для осуществления производственной деятельности с целью получения дохода. В целом же особенности предложения обусловлены редкостью, ограниченностью экономических ресурсов, прежде всего таких, как земля, труд, природные ископаемые ресурсы сырья и продукты их переработки.
Если бы ресурсы не были ограничены, они были бы бесплатными, как, например, воздух, а разнообразные потребности людей были бы полностью удовлетворены. Отпала бы потребность в рынках факторов производства.
В действительности же предложение факторов производства испытывает на себе действие закона редкости, ограниченности ресурсов. Люди неустанно и заинтересованно отслеживают показатели количества пригодных к использованию земель цены этого использования; количество трудовых ресурсов, уровня их занятости и оплаты труда; количества добываемого сырья и цен в этой области.
2.2. Рынок капитала. Ссудный капитал и его источники. Норма процента.
Рынок капиталов представляет собой сферу формирования спроса и предложения на капитал. При этом происходят аккумуляция, сосредоточение временно свободных денежных капиталов и части личных сбережений населения и превращение их в ссудный капитал. В качестве продавцов капитала выступают коммерческие и инвестиционные банки, страховые компании и пенсионные фонды, ссудосберегательные ассоциации и другие специализированные учреждения, в качестве покупателей — промышленные и торговые компании, государство и отдельные граждане.
Рынок капиталов делится на рынок ценных бумаг и рынок кредита. На рынке ценных бумаг покупаются и продаются акции. Рынок кредита - это рынок заемного капитала. Он в свою очередь подразделяется на рынки краткосрочных (денежных) средств и долгосрочных (облигаций) средств.
С переходом к многообразным формам собственности становится возможным выкуп отдельных производственных объектов, находящихся в общественной собственности, как и целых предприятий их трудовыми коллективами, кооперативами и частными лицами. Рыночные по своему характеру отношения складываются и при аренде. Движение ресурсов (фондов) становится более разнообразным. Затем нужно перейти к характеристике рынка ссудных капиталов. Составной частью рынка капиталов является рынок ссудных капиталов.
Ссудный капитал — это денежный капитал, предоставляемый его собственниками в ссуду предпринимателям за определенное вознаграждение. Источником ссудного капитала является, во-первых, временно свободный денежный капитал, образовавшийся в процессе кругооборота капитала. Сюда входят: амортизационный фонд; часть оборотного капитала из-за несовпадения времени реализации продукции и покупки сырья; средства, предназначенные на выплату заработной платы; прибыль, накапливаемая для осуществления расширения производства.
Вторым источником ссудного капитала выступают денежные средства рантье, т.е. лиц, живущих за счет ссудного процента. Третий источник - денежные доходы различных слоев населения.
Ссудный капитал передается функционирующему предпринимателю во временное пользование за определенное вознаграждение - ссудный процент, который выплачивается из прибыли. В силу этого прибыль, получаемая от использования ссудного капитала, делится на две части: 1) процент, присваиваемый собственником ссудного капитала; 2) предпринимательский доход, присваиваемый функционирующим предпринимателем. Размеры части прибыли, которую в виде процента присваивает собственник ссудного капитала, зависят от нормы процента. Норма процента есть отношение суммы годового дохода ссудного капитала к величине капитала, отданного в ссуду, выраженное в процентах. Его величина регулируется спросом на ссудный капитал и его предложением. При анализе категории процента важно различать номинальную и реальную ставки ссудного процента. Номинальная — это процентная ставка без учета инфляции (выражается в денежных единицах по текущему курсу). Реальная ставка процента — это номинальная ставка процента за вычетом уровня инфляции.
Рынок ссудных капиталов - это сфера формирования спроса и предложения на ссудный капитал. «Продавцами», выступают кредитные учреждения; «покупателями» — государство, организации, кооперативы, общества, отдельные лица. Источники и сфера приложения ссудного капитала могут находиться в данной стране и за рубежом. Поэтому различаются национальные и международные рынки ссудных капиталов.
Рынок ссудных капиталов делится на рынок краткосрочного кредита (капитала) и рынок долгосрочного кредита. Первый — денежный рынок, на котором покупаются и продаются коммерческие и казначейские векселя. Второй включает рынок долгосрочного капитала и рынок фиктивного капитала, в рамках, которых продаются и покупаются акции и облигации частных компаний и облигаций центрального и местных органов власти.
Капитал пользуется спросом, потому что он производителен. Субъектом спроса на капитал являются бизнесмены, предприниматели. Спрос на капитал — это спрос на инвестиционные средства, а не просто на деньги. Бизнес предъявляет спрос на инвестиционные средства, т.е. ему требуется определенная денежная сумма для покупки производственных фондов (капитала в физической форме). Домашние хозяйства (население) тоже предъявляют спрос на деньги, но природа этого спроса иная, она не связана с предпринимательской деятельностью. Спрос на ссудный капитал постоянно растет ввиду развития акционерных обществ, процесса концентрации и централизации производства, создания новых отраслей на базе научно-технических открытий, усиления роли государственного регулирования экономических процессов.
Субъектами предложения капитала как фактора производства являются и домашние хозяйства, которые предлагают инвестиционные средства, т.е. денежные суммы, используемые бизнесменами для приобретения производственных фондов. Предлагая свои денежные средства предпринимателю, люди, в сущности, отказываются от широкого круга возможностей: открыть собственное дело и получить доход; поехать отдыхать на престижный курорт, купить участок земли и получить арендную плату и т.д. Другими словами, чем большую сумму капитала они отдают в ссуду, тем больше его предельная альтернативная стоимость, или предельные издержки упущенных возможностей. Если предельная доходность капитала и предельные издержки упущенных возможностей совпадают, тогда спрос на ссудный капитал совпадает с его предложением, т.е. происходит их равновесие.[5]
2.3.Особенности сельскохозяйственного производства. Земельная рента и ее виды. Рента и арендная плата. Цена земли
.
Сельскохозяйственное производство ведется в определенных экономических условиях и подчиняется экономическим законам. Вместе с тем оно обладает рядом специфических черт, характеризующих его как специфическую отрасль экономики. Это приводит к тому, что в сельском хозяйстве тесно переплетаются и взаимодействуют экономические законы и законы природы. Обе эти группы законов роднит то, что они носят объективный характер, т.е. действуют независимо от воли и желания людей.
Взаимодействуя с природой, люди не только творят экономические законы, но и вмешиваются в естественный ход протекания законов природы, видоизменяя их, ускоряя или замедляя протекание последних. Весьма разумно поэтому надо направлять процесс сельскохозяйственного производства, чтобы не нарушать естественно сложившийся баланс соотношения экономических законов и законов природы.
Земельная рента и ее виды.
Земельная рента представляет собою плату за предоставляемое собственником земли право пользования земельным участком. Земельная рента бывает двух видов — абсолютная и дифференциальная. Это обусловлено существованием двух видов монополии на землю. Прежде всего существует монополия на землю как на объект собственности, этой монополией обладает собственник земли и она порождает абсолютную ренту. Ее присваивает земельный собственник. Выплачивает ренту арендатор, взявший землю в аренду.
Монополия на землю как объект хозяйства позволяет арендаторам лучших и средних участков земли получать добавочную прибыль, выступающую в виде дифференциальной ренты. Источником дифференциальной ренты является не земля сама по себе, а более производительный труд сельскохозяйственных рабочих, используемый на лучших и средних участках земли. Дифференциальная рента проявляется в виде ренты I по естественному плодородию, по местоположению и дифференциальной ренты II — ренты по экономическому плодородию.
Дифференциальная рента I по естественному плодородию представляет собой разницу между общественной ценой производства, определяемой худшими условиями производства, и индивидуальной ценой производства продукции, производимой на лучших и средних участках земли. Эту ренту присваивает собственник земли. По местоположению эта рента представляет собой разницу между общественной ценой производства сельскохозяйственной продукции и индивидуальной ценой производства аналогичной продукции на землях одинакового плодородия, но ближе расположенных к рынкам сбыта.
Дифференциальная рента II возникает вследствие лучшего хозяйствования на земле: дополнительного внесения органических и минеральных удобрений, использования новейшей технологии возделывания сельскохозяйственных культур и т.д. Благодаря этому создается экономическое плодородие почв. Экономическое плодородие — это способность почвы обеспечивать повышенную урожайность благодаря интенсификации сельскохозяйственного производства. Если естественное плодородие почвы создается природой, то экономическое — людьми.
Абсолютная рента взимается со всех участков, независимо от их плодородия и местоположения. Дифференциальная же рента изымается со средних и лучших участков земли сельскохозяйственного назначения.
В условиях рыночных отношений существует также монопольная рента. Причиной ее образования выступает, как и при абсолютной ренте, монополия частной собственности на землю. В качестве условия ее возникновения служит возможность реализации определенных видов сельскохозяйственной продукции не по общественной цене, определяемой условиями производства на худших землях, а по монопольной цене, которая превышает как общественную цену производства, так и стоимость данной продукции. Монопольная рента представляет собой вычет из доходов той категории населения, которая покупает эту продукцию по монопольной цене.
Земля не имеет стоимости, но поскольку приносит доход определенной категории населения, она приобретает свойство цены. Цена земли зависит от величины получаемой ренты и уровня ссудного процента. Если, например, земельный собственник получает ренту в объеме 10000 дол, а норма ссудного процента составляет 5 %, тогда цена земли (Цз) будет равна:

Земельный собственник продаст свой земельный участок именно за эту цену, но не ниже, потому что, будучи положенной в банк, эта сумма денег из расчета 5 % годовых по вкладам, принесет ему доход, равный 10 000 долл. Собственнику денег приходится только гадать, что выгоднее: положить деньги в банк и получать по ним проценты или же оставаться собственником участка и получать арендную плату. Поскольку ставки ссудного процента относительно стабильны, а спрос на землю и цена земли возрастают, владельцы денег предпочитают вкладывать свои средства в земельные участки.[6]
2.4. Закон взаимозамещения и цена экономических ресурсов. Условие равновесия фирмы.
Цены факторов производства устанавливаются на рынках под воздействием спроса и предложения.
Проблема ценообразования на экономические ресурсы исключительно важна. Это определятся следующими обстоятельствами:
1) цена на ресурсы - основной фактор, влияющий на денежные доходы их владельцев (зарплату, процент, ренту, предпринимательскую прибыль);
2) цена на ресурсы опосредует их распределение между различными отраслями и фирмами;
3) от цен на ресурсы зависят издержки производства фирмы- покупателя, поэтому в стремлении к максимальной прибыли фирмы постоянно должны стараться сокращать свои издержки;
4) В прямой зависимости от цен на все четыре группы факторов производства находятся распределение богатства в обществе между наёмными работниками, владельцами земли, собственниками капитала предпринимателями.
Всё это свидетельствует о том, что ценообразование на ресурсы играет важную роль в определении поведения фирмы на рынке.
Фирма может использовать различные комбинации факторов производства. Возникает вопрос, каким же принципом нужно руководствоваться? Критерий отбора комбинирования факторов производства - наименьшие издержки производства. Практически задача выбора наилучшего сочетания факторов производства решается путём сравнения:
1) рыночной цены факторов производства;
2) предельного, дополнительного продукта, который производиться с помощью дополнительной единицы этого фактора производства.
Предельный продукт фактора производства - это прирост физического объёма продукта при том, что затраченный на его производства дополнительный фактор производства возрос на какую-то минимальную величину (одну единицу).
Почему для сравнения берётся не весь произведённый продукт, а только его прирост (предельный продукт)? Это связано с тем, что для определения стратегии и тактики поведения фирмы на рынке факторов производства важно знать изменяющуюся часть (прирост) продукта, а также за счёт чего этот прирост можно обеспечивать, на, чём можно сэкономить деньги.
Тем самым сравнение величины предельных продуктов, полученных для использования дополнительных единиц различных факторов производства, позволяет предпринимателям добиваться оптимальной организации производства.
Если один фактор дороже, его заменяют другим, происходит как бы конкуренция между дополнительными факторами производства за предельный продукт.
В результате такой конкуренции образуется равновесие факторов производства, т.е. их более или менее устойчивое сочетание.
Процесс замещения одного фактора другим прекращается по достижении состояния равновесия, когда на 1 рубль любого фактора производства получается равный предельный продукт и равный доход после его продажи. Спрос на факторы производства (землю, труд, капитал) в основном зависит: 1)от объема производства;
2)от соотношения цен на факторы производства.
При приобретении объёма производства фирма исходит из: 1) спроса на товар;
2) необходимости достижения равенства предельного дохода предельным издержкам. При этом у предприятия появляются устойчивые доходы при определённых издержках производства. Эта величина определяет совокупный спрос на все факторы производства. Кроме того, спрос на факторы производства - производный, для которого исходным всегда является спрос на конечную продукцию фирмы. Иначе говоря, чем выше спрос на тот товар, который выпускает фирма, тем выше спрос предприятия на определённую комбинацию факторов производства по ценам, которые могут свести к минимуму издержки.
Купив факторы производства, предприниматель обеспечивает себе возможность получения доходов, поскольку купленный фактор производства становить капиталом предприятия.
2.5. Функциональное распределение результатов производства.
Доходы участников рыночного хозяйства возникают в результате платы за использование принадлежащих им факторов производства и перераспределительной деятельности государства. В связи с этим различают функциональное и персональное распределение совокупных результатов производства (национального дохода). Функциональное распределение определяет долю каждого из факторов производства в национальном доходе и осуществляется через ценообразование на их рынке. Персональное распределение формирует долю отдельного индивида в национальном доходе, которая зависит от распределения собственности на факторы производства и системы перераспределения национального дохода.
Функциональное распределение результатов производства осуществляется, в результате функционального распределения национального дохода. На долю труда приходится величина rL
L
, а на долю капитала - rK
K
. Ценность всей продукции, произведенной за некоторый период, равна PQ
. Для упрощения примем, что в стране производится лишь один вид продукции. Тогда весь национальный доход распределяется между факторами без остатка, если rL
L
+ rK
K
= PQ
. Выполнение этого равенства зависит, с одной стороны, от условий обмена (типа рынка), с другой - от технологии производства. Допустим, что технология при отсутствии технического прогресса характеризуется неизменным эффектом масштаба, т.е. линейно-однородной производственной функцией. Тогда в соответствии с теоремой Эйлера выполняется следующее равенство:

т.е. при совершенной конкуренции в длинном периоде национальный доход без остатка распределяется между трудом и капиталом, если технология отображается однородной производственной функцией. Это означает, что функциональное распределение определяется только технологией производства.
Рассмотрим, как влияет на функциональное распределение национального дохода изменение прокатных цен факторов производства. На изменение относительных цен факторов производства конкурентная фирма изменяет технологию (капиталовооруженность труда): если труд становится относительно дороже, то K
/L
растет, и наоборот. Это объясняется тем, что при повышении цены труда для восстановления равенства rL
= P
·MPL
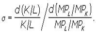
, отражающего условие максимизации прибыли, нужно повысить предельную производительность труда, т.е. сократить количество применяемого труда. Поэтому при исследовании того, как влияет изменение цены фактора на его долю в национальном доходе, используется понятие эластичность замены факторов производства ( ). Она показывает, на сколько процентов изменится капиталовооруженность труда при изменении предельной нормы технической замены капитала трудом (отношения предельных производительностей труда и капитала) на 1%:

Поскольку в состоянии равновесия конкурентных фирм соблюдается равенство:
,
то в условиях совершенной конкуренции эластичность замены факторов можно рассчитать по формуле:

Это выражение дает ответ на вопрос, как изменится соотношение используемых количеств труда и капитала, а следовательно, и доля факторов производства в национальном доходе, при изменении их относительных цен.
Если = 1, как это имеет место при технологии, характеризующейся производственной функцией Кобба - Дугласа, то изменение цен факторов производства не влияет на долю труда и капитала в национальном доходе. В случае относительного подорожания труда на 1% при = 1 капиталовооруженность труда вследствие замены труда капиталом тоже возрастет на 1% и в результате, несмотря на повышение ставки заработной платы, доля фонда оплаты труда в национальном доходе не изменится. Когда технология такова, что < 1, тогда с повышением цены труда его доля в национальном доходе возрастает, а при > 1 - наоборот.
В условиях несовершенной конкуренции на функциональное распределение результатов производства, кроме технологии и цен его факторов, влияет монопольная власть участников рыночных сделок.
Рынок труда. Его современное состояние.
Рынок труда, как и рынки капиталов, товаров, ценных бумаг и т.д., является составной частью рыночной экономики. На нем предприниматели и трудящиеся совместно ведут переговоры, коллективные или индивидуальные, по поводу трудоустройства, условий труда и заработной платы.
На современном этапе развития экономики рынок труда представляет собой систему общественных отношений, отражающих уровень развития и достигнутый на данный период баланс интересов между присутствующими на рынке силами: предпринимателями, трудящимися и государством. Другими словами, рынок труда – это механизм или институт, сводящий вместе покупателей (работодателей) и продавцов (работников) труда.
Просто говоря, на рынке труда существуют три основных агента предприниматели, профсоюзы и государство. Государство же выступает в качестве работодателя на государственных предприятиях и инвестора, финансируя крупные проекты и программы развития. Однако главная его функция заключается в определении правил регулирования интересов партнеров и противостоящих сил. В результате определяется та равнодействующая, которая служит базой решений и основой механизма регулирования рынка труда, куда включается и система социальной защиты, и система стимулирования развития производительных сил.
Механизм регулирования рынка труда охватывает весь спектр экономических, юридических, социальных и психологических факторов, определяющих функционирования рынка труда. Оно осуществляется через систему трудоустройства, включая широкую сеть бюро по занятости, банки данных о рабочих местах, государственные программы помощи в приобретении профессиональных знаний и трудоустройстве незанятому, но желающему работать населению, целевые программы предприятий, предусматривающие переподготовку кадров в связи с планируемой модернизацией производства, проведение на предприятии политики стабилизации кадров и т.п. Все эти составные части рыночного механизма регулирования занятости в разных отраслях находятся в разном соотношении в зависимости от экономических и исторических условий развития данной отрасли.
Формирование в России рынка труда диктует необходимость разработки политики занятости, учитывающей специфику и национальные особенности, менталитет населения. Это не исключает использование некоторых принципов и подходов, характерных для стратегий занятости в странах с рыночным хозяйством, что, однако, возможно лишь при условии их адаптации к российским реалиям.
Сейчас рынок труда постепенно оправляется после тяжелого кризиса 2008 года. Происходит медленное восстановление экономики страны, растет спрос на рабочую силу, который будет увеличиваться и в следующем году.
На совещании Правительства РФ в Белом доме в конце сентября прошлого года, посвященном итогам реализации региональных программ по снижению напряженности на рынке труда в 2010 году, министр здравоохранения и социального развития РФ Татьяна Голикова сообщила, что ситуация в области занятости населения по России в целом позитивная. По ее словам, пик уровня безработицы следует ожидать в январе 2011 года. При этом нынешняя волна сокращений будет носить преимущественно сезонный характер, который обычно приходится на осенние и зимние месяцы. Такая безработица вызвана особенностью работы в некоторых отраслях экономики: туристическом бизнесе, аграрном комплексе и др. Так, по прогнозам Минздравсоцразвития России, в январе 2011 года общая безработица может составить 6,4 млн человек, но к марту ожидается ее снижение до 6,2 млн.
В ноябре 2010 года Правительство РФ опубликовало перечень из 14 регионов, отнесенных к территориям с напряженной ситуацией на рынке труда. Среди них: Республика Алтай и Алтайский край, Республика Бурятия, Брянская и Курганская области. Учитывались данные за 2008–2009 годы по таким показателям, как: уровень занятости населения; уровень общей безработицы; уровень регистрируемой безработицы; доля безработных, ищущих работу 12 и более месяцев; доля работающих неполное рабочее время и находящихся в административных отпусках по инициативе администрации; коэффициент напряженности на рынке труда (отношение общей численности безработных к количеству вакансий в крупных и средних организациях). Полученные результаты будут учтены правительством при определении объема выделяемых бюджетных средств на программы мероприятий, направленных на содействие занятости населения в данном конкретном регионе в 2011 году.
К концу 2010 года количество безработных, которые официально были зарегистрированы в службах занятости, составило чуть больше 1,5 млн россиян.
По данным портала по трудоустройству www.hh.ru, в ноябре 2010 года число открытых вакансий превысило даже докризисные показатели – рост составил 93 процента. По сравнению с ноябрем 2009 года количество предложений от работодателей выросло почти в два раза, в то время как число активных соискателей практически не изменилось. Эксперты рекрутингового портала отмечают положительную динамику по всем профессиональным областям.
Правительство РФ считает целесообразным продолжить финансирование программ, направленных на стабилизацию рынка труда. Однако количество участников таких программ сократится с 1,5 млн человек, как это было в 2010 году, до 900 000 в 2011-м. Объясняется это тем, что важнейшим направлением в программах станет продолжение содействия самозанятости безработных и стимулирование создания дополнительных рабочих мест, то есть субсидирование лиц, желающих организовать собственное дело. Субсидия предоставляется безвозмездно под представляемый в службу занятости бизнес-план.
Последние данные, опубликованные на сайте Минздравсоцразвития России, говорят о том, что за восемь месяцев 2010 года (данные на сентябрь 2010 года) создали собственный бизнес на госсубсидию размером 58 800 рублей 121 500 безработных.
На второй план в этом году отойдет поддержка организации общественных работ для безработных, а финансирование опережающего обучения работников, находящихся под риском увольнения, теперь будет увязываться с планами модернизации и развития предприятий.
Позицию руководства страны озвучил вице-премьер Александр Жуков на выездном совещании в столице Бурятии правительственной комиссии по ситуации на рынке труда 17 ноября 2010 года.
Вице-премьер отметил эффективность стажировки выпускников образовательных учреждений, имеющих риск нетрудоустройства. Молодые люди и в 2011 году смогут пройти стажировку на реальных рабочих местах под руководством наставников и тем самым приобрести необходимый опыт. Планируется создание новых рабочих мест для инвалидов, при этом работодателю будут платить не 30 000 рублей, как в 2010 году, а 50 000 за одно специализированное место. Еще одна перспективная мера регулирования рынка труда – поддержка маятниковой миграции* трудовых ресурсов. Государство продолжит компенсировать расходы тем, кто пожелает переехать в другой регион с целью трудоустройства.
Согласно данным сайта Минздравсоцразвития, в 2011 году новой мерой поддержки россиян будет возмещение работодателю затрат на оснащение рабочего места для развития надомной и дистанционной занятости для многодетных родителей и родителей, воспитывающих детей-инвалидов. Работодатель сможет получить компенсацию в 50 000 рублей за каждое рабочее место.
Запланировано обучение женщин, находящихся в отпуске по уходу за ребенком в возрасте до трех лет и планирующих возвращение к трудовой деятельности. Центры занятости населения организуют профессиональную переподготовку для молодых матерей, где они смогут повысить свою квалификацию или получить новую профессию.
А так же одной из мер по борьбе с растущей безработицей стала профессиональная переподготовка. Только в 2010 году опережающее профессиональное обучение прошли почти 138 тысяч граждан. Кто-то из них получил новую или смежную специальность, кто-то воспользовался переподготовкой, чтобы войти в государственную программу самозанятости и с помощью госсубсидии открыть собственный бизнес.
Глава государства смог побывать на защите трех бизнес-проектов, представленных "выпускниками" краснознаменского центра - по промышленному цветоводству, созданию фотосалона и студии WEB-дизайна. "Вы личным примером будите в других желание заниматься делом", - уверен президент. Государство же получает новых предпринимателей, что совпадает с одним из стратегических приоритетов. Ведь планы развития страны предполагают, что к 2020 году в России половина трудоспособного населения должна будет заниматься малым и средним бизнесом.
Пока успехи не столь существенные. В 2010 году собственное дело открыли 199 тысяч безработных, попутно создав почти 68 тысяч новых рабочих мест. Антикризисные меры дали свои плоды, но снижение безработицы на пару процентов для Дмитрия Медведева, видимо, не столь значимое достижение. "Ситуация на рынке труда все равно сложная, и мы должны ее контролировать, предпринимая все от нас зависящее, чтобы люди, которые потеряли работу, могли ее получить", - подчеркнул глава государства на встрече с сотрудниками центров занятости разных регионов.
Проблемы на рынке труда вызваны пробелами в других сферах. В России государство давно никак не контролирует вузы, которые выпускают в огромном количестве специалистов престижных, но уже много лет не столь нужных стране профессий
Заключение
Дав оценку и сопоставив факторы влияющие на производство можно сделать следующие выводы: условием максимизации прибыли является равенство предельной доходности и предельных издержек ресурса.
Эластичность спроса на ресурсы выражает зависимость уровня потребления ресурса от изменения фактора, определяющего спрос. Ценовая эластичность спроса на ресурсы — это отношение процентного изменения потребления ресурса к процентному изменению его цены.
Формирование и распределение доходов в условиях рынка строятся на том, что каждый собственник факторов производства получает свой доход в зависимости от спроса на предлагаемый ресурс и предложения этого ресурса на рынке.
На рынке труда происходит взаимодействие спроса на труд и предложения труда. Кривые спроса на труд аналогичны кривым спроса на любой другой ресурс и представляют собой кривые предельной доходности труда. Кривая рыночного предложения труда обычно имеет положительный наклон. Он может смениться отрицательным наклоном по мере увеличения оплаты труда, когда возрастает цена досуга.
Сейчас рынок труда постепенно оправляется после тяжелого кризиса 2008 года. Происходит медленное восстановление экономики страны, растет спрос на рабочую силу, который будет увеличиваться и в следующем году
Заработная плата представляет цену за использование единицы труда. На конкурентном рынке труда равновесный уровень заработной платы и занятости определяется точкой пересечения кривых спроса и предложения данного вида труда.
Монополией на рынке труда обладают профсоюзы, которые добиваются повышения ставки заработной платы различными путями: стимулированием повышения спроса на труд, сокращением предложения труда, с помощью квалифицированного лицензирования профессий и прямого давления на предпринимателей.
Основными функциями заработной платы являются: воспроизводственная, стимулирующая, компенсирующая, а основными формами организации — повременная и сдельная.
Капитал представляет собой ресурс длительного пользования. Различают физический, человеческий и финансовый капиталы. Рынок финансового капитала состоит из рынков ценных бумаг и ссудных капиталов.
Ставка процента — это цена, уплачиваемая собственнику капитала за использование его средств. Равновесная ставка процента определяется пересечением кривых спроса на деньги и предложения денег. Различают номинальную и реальную ставку процента.
Решения об инвестировании принимаются в том случае, если дисконтированная сумма будущих доходов больше издержек на инвестирование.
Природные ресурсы строго ограничены, в связи с этим предложение земли абсолютно неэластично. Плата за пользование такими ресурсами называется экономической рентой. Размер земельной ренты определяется спросом на земельные участки и зависит от их плодородия, месторасположения, ранее вложенного капитала, особых свойств участков.
Любое предприятие на рынке выступает в двух ролях: как продавец созданного товара и как покупатель факторов производства (земли, труда, капитала).
Факторы производства представляют собой совокупность, взаимосвязанную систему использования экономических ресурсов в производственном процессе. Как продавец своей продукции фирма выходит на рынок товаров; как покупатель ресурсов - на рынок факторов производства.
Список используемой литературы
1. Камаев В.Д. и колл. Авт. Учебник по основам экономической теории (экономика). – Москва 2010
2. Муталимов М.Г. Основы экономической теории: Учеб.-метод, пособие. -Мн.: Интерпрессервис, Экоперспектива, 2009.
3. Экономическая теория (политэкономия) : Учебник /Под общ. Ред. Видяпина В.И., Журавлевой Г.П. – Москва.: ИНФРА, 2010
4. Яковлевой. Москва.: 2008. И.Базылева, С.П.Гурко. Мн.: БГЭУ, 2008.
5. Экономическая теория: Учебник /Под ред. Н.Микроэкономика. Учебник /Под ред. Е.Б., 2009
6. Курс экономической теории /Под ред. М.Чепурина, Е.Е.Киселевой. Киров, 2007. С. 148—157, 162—2011.
7. Борисов Е.Ф. Экономическая теория: Курс лекций для студентов вузов.- Москва, 2010
8. Статья, Российская газета, 2011 год
[1]
Смит, А.
Исследование о природе и причинах богатства народов // Антология экономической классики. В 2-х т. - М., 1993. Т. 1. С. 1-19.
[2]
Экономическая теория: Учеб. для студ. высш. учеб.заведений / Под ред. В.Д. К а м а е в а . — 2010 г.
[3]
Блауг М.
Экономическая мысль в ретроспективе / Пер. с англ. - М.>
[4]
Камаев В.Д. и колл. Авт. Учебник по основам экономической теории (экономика). – Москва 2010
[5]
Муталимов М.Г. Основы экономической теории: Учеб.-метод, пособие. -Мн.: Интерпрессервис, Экоперспектива, 2009.
[6]
Экономическая теория. Под ред. Видяпина В.И, Добрынина А.И, и др.
М.: ИНФРА-М, 2010. — 714 с
|