| Міністерство освіти і науки України
Українська інженерно-педагогічна академія
Гірничий факультет
Кафедра інформаційних технологій
ПОЯСНЮВАЛЬНА ЗАПИСКА
до курсової роботи
з дисципліни «Основи автоматизованого проектування складних систем»
на тему:
«АВТОМАТИЗАЦІЯ ГРАФІЧНИХ ТА РОЗРАХУНКОВИХ ЗАДАЧ ПРОЕКТУВАННЯ»
Виконаласт. гр. ДГ-К7-1
Тімофєєва О.Б.
Керівникас. кафедри ІТ
Чорна О.С.
Стаханов 2010
ЗМІСТ
Вступ
1. Графічне моделювання офісу Ремонт ЕОМ
1.1 Початкові дані для проектування офісу
1.2 Опис призначення офісу та його програмне забезпечення
1.3 Співробітники офісу
1.4 Альтернативне комп'ютерне устаткування. Критерії вибору однієї з альтернатив
1.5 Альтернативний вибір 2D планів офісу. Критерії вибору
1.6 План офісу і його об'ємне зображення
1.6.1 План офісу з указівкою розмірів
1.6.2 Об'ємне проектування будинку
1.6.3 Інтер'єр усіх кімнат
1.6.4 Територія проектованого будинку
1.7 Електропостачання офісу
1.7.1 Місце розміщення в офісі електротехнічної арматури
1.7.2 Схема електропостачання
1.7.3 Розрахунок кабельної продукції для електропостачання
1.7.4 Розрахунок струму в окремих частинах схеми електропостачання
1.7.5 Розрахунок споживаної електроенергії в середньому за день і за місяць. Оплата електроенергії
1.8 Висновки щодо проекту офісу
2. Математичне моделювання
2.1 Завдання 1.1
2.2 Завдання 1.2
2.3 Завдання 2.1
2.4 Завдання 2.2
Висновок
Список використовуваних джерел
Додаток – Презентація проектованого офісу
ВСТУП
Надійним інструментом і незамінним помічником в житті та діяльності людини став комп’ютер.Не дивлячись на велику кількість вирішуваних за допомогою комп’ютера задач, принцип його застосування в кожному випадку один й той самий - інформація, яка поступає в комп’ютер. Обробляється з ціллю отримання потрібних результатів (1).САПР - комплекс засобів автоматизації проектування, які пов’язані з підрозділами проектної організації та яка виконує автоматизоване проектування. Під автоматизацією проектування слід розуміти такий спосіб проектування, при якому всі проектні операції та процедури або їх частина здійснюється при взаємодії людини з ЕОМ. В результаті функціонування стадій – від технічного завдання, послідовно, проходячи ряд проектних стадій користувач отримує робочий проект об’єкту. САПР виконує ряд процедур логічно пов’язаних між собою, які служать для прийняття проектних рішень. Розробка та розвиток елементів та підсистем САПР в різних сферах являються однією з важливих задач з виводу отраслі на сучасний рівень всесвітнього промислового виробництва товарів широкого використання.В даному проекті треба побудувати офіс площею 36м2
. Офіс може виконувати:
o Створення учбової, учбово-методичної літератури, яка відповідає потребам державних стандартів освіти;o Створення книжок, використовуючи рукописи замовника;o Редактирования электронной информации;o Создание брошюр, методической и учебной литературы;o Робота з електронними книжками, їх редагування;o Створення книжок, журналів, брошур, використовуючи різні книжкові джерела;o Сканування книжкової інформації, її оцифрування.Вся інформація замовнику передається в електронному вигляді на заданому носії.Позитивні сторони проектування даного офісу:
· Отримання практичних навичок та вмінь створення й проектування споруд за заданими параметрами;· Розвиток творчого мислення та активізація творчих здібностей (винахідництво та раціоналізаторство);· Вміння формувати протиріччя та знаходити з багатьох варіантів рішення проблеми оптимального;· Попит даної роботи на ринку праці.Негативні сторони проектування офісу:
· Недостатня освідомлення про спрямованість діяльності офісу;· Недолік інформації та умов для створення подібних об’єктів;· Недостатньо досвіду роботи з даним програмним продуктом та досвіду в галузі проектування. 1
.
ГРАФІЧНЕ МОДЕЛЮВАННЯ ОФІСУ
1.1
Початкові дані для проектування офісу
| Діяльність офісу
|
Ремонт ЕОМ
|
| Кількість комп'ютерів
|
3
|
| Кількість принтерів
|
2
|
| Блоки безперебійного живлення
|
1
|
| Кількість сканерів
|
2
|
| Модем
|
+
|
| Телевізор (підключення до ЕОМ)
|
+
|
| Кондиціонер
|
-
|
| Музичний центр
|
-
|
| Осцилограф (підключення до ЕОМ)
|
+
|
| Корисна площа офісу (кв.м)
|
36
|
| Завдання 1.1
|
23
|
| Завдання 1.2
|
8
|
| Завдання 2.1 (А,Б, варіант) Ємність для поливу газона
|
7
|
| Завдання 2.2
|
27
|
1.2 Опис призначення офісу і його програмне забезпечення
Ця установа призначена для роботи в сфері видавництва, необхідні наступні кадри: головний редактор, 2 оператори ПК, секретар. Офіс може виконувати:
o Створення учбової, учбово-методичної літератури, яка відповідає потребам державних стандартів освіти;o Створення книжок, використовуючи рукописи замовника;o Редактирования электронной информации;o Создание брошюр, методической и учебной литературы;o Робота з електронними книжками, їх редагування;o Створення книжок, журналів, брошур, використовуючи різні книжкові джерела;o Сканування книжкової інформації, її оцифрування. Для використання в даній установі більш усього підійде Windows XP 2003, тому що це одна із найпоширеніших і надійних операційних систем. Вона працює з багатьма редакторами та має широкі можливості для роботи з тестами та комп’ютерною графікою, що являється найважливішим для видавницької справи. Підтримка декількох моніторів дозволяє переглядати більше даних або одночасно виводити вікна двох та більше різних програм, що дозволяє працювати з декількома програмами одночасно та виконувати різну обробку інформації та копіювання інформації з однієї програми в іншу.
Opera 10 –
веб-браузер і програмний пакет для роботи в Інтернеті, що випускається компанією Opera Software. Відмінними рисами Opera є багато сторінковий інтерфейс (система вкладок у вікні програми) та можливість масштабування відображуваних документів цілком, разом з графікою.
Adobe
Page
Maker
6.52
– настільна видавницька система.
Переваги Adobe Page Maker 6.52:
1. Використання шарів.
Одна з переваг Page Maker – це можливість використати шари, яка дозволить створювати декілька документів в одному (корисна можливість створювати багатомовні документи. Також можливість додавати робочі нотатки, прискорювати печать, розміщуючи графіку на окремому шарі).
2. Імпорт графіки
. Page Maker підтримує велику кількість ключових форматів графічних файлів. Page Maker дозволяє імпортувати такі формати: AutoCAD DXF, CGM, Corel Draw та фільми Quick Time.
3. Робота з текстом
. Page Maker має простий редактор має простий текстовий редактор, який дозволяє користувачам працювати з текстом в окремому вікні, де вони можуть настроювати розмір та шрифт тексту, щоб покращити його читаність без змін діючих атрибутів тексту макета. Пакет Page Maker володіє широкими можливостями редагування тексту, наприклад, дозволяє виконувати пошук та заміну кольору, відтінку, горизонтального масштабування та розміру крекінга тексту. Page Maker допускає імпорт електронних таблиць Microsoft Excel та вихідних текстів HTML, а також можна в нього без проблем помістити будь-який текст.
4. Сумісність з іншими програмами та публікація
Web
. В Page Maker 6.52 можливості програми з підготовки видання в мережі Web розширені, палітра гіпертекстових посилань добре продумана.
Page Maker містить просту команду експорту в формат PDF, яка дозволяє зберігати всі перехресні посилання у межах документа.
5. Простота
використання
. Сумісність з іншими додатками (Adobe Illustrator, Photoshop, Corel Draw и Word), які являються необхідними в процесі до печатної підготовки. Зручний інтерфейс, простота освоєння робочого простору.
Adobe
Photoshop
– це професійна програма дозволяє працювати з фотозображеннями та корегувати їх. Ця програма дуже проста у використанні та зрозуміла будь-якому користувачеві. Photoshop працює з багатьма графічними пакетами та сумісний з багатьма графічними розширеннями.
Векторний редактор
CorelDraw
історично вважається основним пакетом для створення та обробки векторної графіки на платформі Windows. До його переваг відносяться розвинена система управління та широкі засоби настроювання параметрів інструментів. З можливості створення найскладніших художніх композицій CorelDraw значно переважає конкурентів. Однак інтерфейс програми складний для освоєння.
Векторний
редактор
Adobe
Illustrator
являється одним з загальних лідерів серед програм цього класу. Його особлива перевага заклечається в добре відваженій взаємодії з іншими продуктами компанії Adobe, перед усім з пакетами Photoshop и PageMaker. Ці додатки виконані в єдиному стилі та створюють закінчений пакет.
MS
Word
– він дозволяє включити в документ графічні зображення, таблиця, звуковий супровід, фрагменти відеофільмів. Текстовий процесор прискорює створення документу за рахунок скорочення кількості дій, які виконують користувачі. Word автоматизує набір тексту, оформлення змісту та предметного вказівника, перевірку правопису. Можливість використовування різноманітних функцій, точного форматування приближають Word до настільних видавницьких систем. Word можна використовувати для створення та редагування документів електронної пошти, при колективної роботи над документами.
MS
Excel
- ця програма дозволяє просто й зручно проводити досить складні розрахунки, у тому числі практично всі фінансові й бухгалтерські розрахунки, за допомогою програми MS Excel ви зможете підготувати різноманітні бланки з використанням засобів форматування тексту й чисел і вставки зображень. Електронні таблиці дозволяють організувати, проаналізувати й представити дані у вигляді діаграм різних типів.
1.3 Співробітники офісу
Функції головного редактора
: він виконує контрольну перевірку створеної інформації, контролює роботу інформаційного відділу, заключає договори з замовниками, виясняє потреби замовника, домовляється про оплату послуг офісу, робить розрахунки згідно з роботи офісу, виплачує заробітну плату співробітникам.
Функції оператора ПК
полягають в наборі інформації, сканування зображень, оцифровка інформації, створення електронного вигляду інформації для передачі замовнику.
Функції секретаря
: приймає клієнтів, виясняє потреби клієнтів, відповідає на вхідні дзвінки, приносить каву або чай головному редактору, розкладає та розносить пошту робітникам офісу.
Час роботи офісу: з 9-00 до 17-00, перерва з 12-00 до 13-00 годин. Вихідний - субота, неділя.
1.4 Альтернативне комп’ютерне устаткування. Критерії вибору однієї з альтернатив
Склад комп’ютерного устаткування вироблявся, виходячи із заданого устаткування (3 комп’ютера, 2 принтера, 2 сканера, 1 блок безперебійного живлення, осцилограф, модем).
Таблиця 1.1. Комп’ютерне устаткування (варіант 1)
| Комплектуючі
|
Характеристики
|
Ціна, грн
|
| Материнська плата
|
ASUS K8V-MX; Socket 754; VIA K8M800+VT8237R; 2DDR; 3xP, 1xA; Video; Sound-6ch; Lan; 2xSATA; 2xATA133
|
266.56
|
| Процесор
|
Athlon 64 x2 5200+ AM2 box,ADA5200CSBOX
|
623.15
|
| Оперативна пам'ять
|
2 Gb DDR2 SDRAM PC5400 GOODRAM
|
198.28
|
| HDD
|
1000.0 Gb; WESTERN DIGITAL; WD.G1NC10000My Book World Edition
|
1863.79
|
| FDD
|
Дисковод 3,5" Mitsumi 1,44Mb,black
|
31.16
|
| Оптичний привід
|
DVD+RW/-RW & CDRW NEC ND-7173S Silver S-ATA (OEM)
|
181.28
|
| Корпус
|
DELUX DLC-SF473 silver/black; Midi Tower; ATX; 440W P4, 20+4 pin; 5.25"x3, 3.5"x1e+6i; ATX w/USB
|
278.36
|
| Клавіатура
|
Logitech Internet 350,USB,OEM
|
25.96
|
| Миша
|
A4TECH OP-3D-1 Red; 2x button; optical; PS/2; (RET)
|
28.99
|
| Акустика
|
Genius SP-I201U вихід на наушники, чорний лак, USB
|
111.24
|
| Монітор
|
20" SAMSUNG SM 2032BW; Black glossy; 16:10; 2 мс; 1680x1050; 300 кд/м2; у/о 170; 1000:1 (DC 3000:1);
|
1535.73
|
| Разом
|
|
5144,5
|
Вартість 3 комп’ютерів – 15433,5 грн
Таблиця 1.2. Додаткове комп’ютерне устаткування
| Устаткування
|
Характеристики
|
Ціна, грн
|
| Модем
|
Факс-модем D-Link DFM-562IS(зовнішній, PCI, до 56KB/s(V.90, k56flex),факс до 14.4KB/s,G3,голосовий, Conexant HSFi CX11252)
|
120
|
| Джерело безперебійного харчування
|
APC Back UPS ES 525 (BE525-RS)(525 VA / 300W) (AVR, Диап.раб.напряж.: 160-280V(47/53Гц);розетки Shuko: 3(живлення від батареї) и 1 (фільтр), USB порт, с кабелем, зах. Комун. устаткування; в комплекті ПО, підзарядка 3-5 годин)
|
321.2
|
| Принтер
|
Canon LBP-2900; A4; GDI; (2400) 600x600 dpi; 12 ppm; 2 Mb; USB 2.0; WinPrint; (cart.703)
|
685.47
|
| Сканер
|
Canon CanoScan LiDe 25
|
351.23
|
| Телевізор
|
Телевізор LG
|
1250
|
| Осцилограф
|
LG
|
960
|
| Разом
|
|
3687,9
|
Загальна вартість додаткового устаткування складає 4724,6 гривень.
Загальна вартість комп’ютерного обладнання складає 20158,1 гривень.
Таблиця 1.3. Комп’ютерне устаткування (варіант 2)
| Комплектуючі
|
Характеристики
|
Ціна, грн
|
| Материнська плата
|
ASUS K8V-MX; Socket 754; VIA K8M800+VT8237R; 2DDR; 3xP, 1xA; Video; Sound-6ch; Lan; 2xSATA; 2xATA133
|
39
0
|
| Процесор
|
Athlon 64 3000+ Trey Socket-939
|
499
|
| Оперативна пам'ять
|
DDR 512 Mb DDR 400 PC3200 BRAND HYNIX
|
200
|
| HDD
|
1000.0 Gb; WESTERN DIGITAL; WD.G1NC10000My Book World Edition
|
9
56
|
| FDD
|
Дисковод 3,5" Mitsumi 1,44Mb,black
|
65
|
| Оптичний привід
|
DVD+RW/-RW & CDRW NEC ND-7173S Silver S-ATA (OEM)
|
350
|
| Відео карта
|
125 Mb GeForce 9500GT; HDCP+DVI; Palit
|
5
60
|
| Вентилятори
|
COOLER GLACIALTECHIGLOO 7520 LIGHT/EB AMD
|
120
|
| Шлейф
|
SATA
|
20
|
| Корпус
|
DELUX DLC-SF473 silver/black; Midi Tower; ATX; 440W P4, 20+4 pin; 5.25"x3, 3.5"x1e+6i; ATX w/USB
|
500
|
| Клавіатура
|
Logitech Internet 350,USB,OEM
|
110
|
| Миша
|
A4TECH OP-3D-1 Red; 2x button; optical; PS/2; (RET)
|
9
5
|
| Акустика
|
Genius SP-I201U вихід на наушники, чорний лак, USB
|
200
|
| Монітор
|
19" SAMSUNG SM 2032BW; Black glossy; 16:10; 2 мс; 1680x1050; 300 кд/м2; у/о 170; 1000:1 (DC 3000:1);
|
1
699
|
| Коврік
|
POD MISHKU
|
15
|
| Разом
|
|
5779
|
Вартість 3 комп'ютерів – 17337 грн.
Таблиця1. 4. Додаткове устаткування
| Устаткування
|
Характеристики
|
Ціна, грн
|
| Модем
|
D-Link DSL-2540U/RU ADSL2+Ethernet 4 port switch (w/splitter)
|
390
|
| Джерело безперебійного харчування
|
APC Back UPS ES 525 (BE525-RS)(525 VA / 300W) (AVR, Диап.раб.напряж.: 160-280V(47/53Гц);розетки Shuko: 3(живлення від батареї) и 1 (фільтр), USB порт, с кабелем, зах. Комун. устаткування; в комплекті ПО, підзарядка 3-5 годин)
|
400
|
| Принтер
|
XEROX Phaser 3117; A4; 600 dpi ; 16 ppm; 8 Mb; USB 1.1; GDI; (картр.3000(1000 ст.) стр.; мес. ресурс
|
550
|
| Сканер
|
Canon CanoScan LiDe 25
|
500
|
| Телевізор
|
Samsung
|
1899
|
| Осцилограф
|
LG
|
1250
|
| Разом
|
|
6039
|
Загальна вартість устаткування сягає 23376 грн.
Для даної установи кращий варіант 1, тому що його ціна порівняно з якістю недорога та відповідає потребам замовника.
Якість комп’ютерного устаткування визначається фінансовими можливостями замовника. 1.5 Альтернативний вибір 2D планів офісу. Критерії вибору
Так як особистістю проектування є здійснення оптимального вибору з декількох варіантів 2D планів офісу, відповідно до критеріїв оптимальності. Рисунок 1.1 – План головного офісу в 2D Рисунок 1.2 – Альтернативний план офісу в 2D Критерії оптимальності:
o Економність розходу корисної площини;o Функціональне призначення згідно з потребами клієнтів та співробітників офісу. 1.6 Опис проектування офісу та його інтер’єрів
Створення інтер’єру споруди, у тому числі й офісу, потребує індивідуального підходу до потреб замовника й вмінь знаходити компромісні рішення. Дизайн офісів повинен бути витриманий у діловому стилі або стилі „бізнес-клас”. Менеджер проекту повинен вміти знаходити варіанти оформлення офісу, які відповідають „бізнес-класу”, вигідні самому менеджеру, але які не протирічать потребам замовника. Знання тенденцій моди та застосування оригінальності забезпечить 70% успіху.При оформлення окремих кімнат ми повинні врахувати звички та поведінку співробітників та клієнтів. Контингент відвідувачів визначає матеріали виготовлення меблів, будівельних матеріалів. Діловий стиль визначає строгими, витриманими кольорами, легкими м’якими переходами, функціональністю розміщення меблів. Розміщення меблів повинні бути „економними” та всі прилади та устаткування повинні бути „під рукою”. 1.6.1 План офісу з вказівкою розмірів
Для виставлення розмірів будівлі ми можемо скористуватися наступними командами: Інструменти – Розміри – Лінійні розміри/Приєднані розміри. Встановлення розмірів можна встановлювати декілька ми способами, та найкраще встановлювати вручну для виключення зайвих розмірів. Рисунок 1.3 – 2D план офісу з розмірами 1.6.2 Об’ємне проектування офісу
Об’ємне проектування офісу представляє собою графічну модель споруди, яка максимально наближається до реальності. Рисунок 1.4 – 3D вид створеного офісу Рисунок 1.5 – 2D вид встановлених меблів 1.6.3 Інтер’єр кімнат офісу
Оформлення кімнат створений у витриманих тонах та строгих контурів меблів, що характеризує діловий стиль. Встановлення меблів в 3D Home Architect виконується за допомогою вкладки Інтер’єр – Шафи(Внутрішні меблі). Для встановлення комп’ютерного устаткування та приладдя для повсякденного використання потрібно скористуватися наступними командами Інтер’єр – Електроніка. Рисунок 1.6 – Кімната головного редактора в 3D виді Рисунок 1.7 – Ванна кімната в 3D виді Рисунок 1.8 – Інформаційний відділ в 3D виді Рисунок 1.9 – Приймальня в 3D виді Рисунок 1.10 – Вбиральня в 3D виді Рисунок 1.11 – Хол в 3D виді 1.6.4 Територія проектованого офісу
Для оформлення території офісу треба користуватися вкладкою Ландшафт, на якій розташовані необхідні команди для створення затишку та зручності підлеглої території. Рисунок 1.12 – 2D план ландшафту Рисунок 1.13 – План офісу в аксонометрії Рисунок 1.14 – 3D вид створеного офісу 1.7 Електропостачання офісу
Для встановлення електротехнічної апаратури (світильників, вимикачів, розеток, електричних сполучних коробок та розподільчого щиту треба урахувати, що розподільчий щит треба розміщувати біля дверей для економії електропроводу та функціональності його використання.
1.7.1 Місце розміщення і офісі електротехнічних арматур
Електричні сполучні коробки треба встановлювати так, щоб максимально скоротити довжину кабелю та встановлювати на місцях розриву електропроводу.
 
Рис 1.17 – Розміщення електротехнічної арматури
1. Розподільчий щит.
2. З’єднувальні коробки.
3. Вимикачі.
4. Розетки.
5. Світильники.
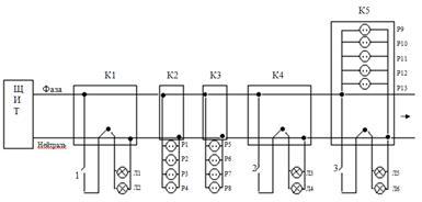
1.7.2 Схема електропостачання
Наступний етап, полягає в необхідності, показати на плані офісу електротехнічну арматуру (світильники, вимикачі, розетки, електричні сполучні коробки).
На рис.1.13 показана схема підключення світильників і розеток моделі офісу.

Рис 1.15 – Схема електропостачання офісу

Рис 1.16 – Схема електропостачання офісу (продовження)
Пояснення:
Л1 - Люстра 1 у холі, ставиться до коробки 1.
Л2 - Люстра 2 у холі, ставиться до коробки 1.
Л3, Л4 – Люстра 3, 4 у інформаційному відділі, ставиться в коробці 4.
Л5, Л6- Люстра 5,6 у кімнаті головного редактора, ставиться в коробці 5.
Л7 - Люстра у холі вбиральні, ставиться до коробки 6.
Л8, Л9 – Люстри 8, 9 у вбиральні, ставиться до коробки 7.
Л9 - Люстра 9 у приймальні, ставиться до коробки 8.
Р1, Р2, Р3, Р4 - Розетки 1 у інформаційному відділі для комп’ютерного устаткування (комп’ютера, сканера, принтера).
Р5, Р6, Р7, Р8 - Розетки 1 у інформаційному відділі для комп’ютерного устаткування (комп’ютера, сканера, принтера та осцилографа).
Р9, Р10, Р11, Р12, Р13 - Розетки 1 у інформаційному відділі для комп’ютерного устаткування (комп’ютера, сканера, принтера, блоку безперебійного живлення, модему).
Р14 – Розетка у приймальні для особистих потреб секретаря.
К1 - Коробка 1
К2 - Коробка 2
К3 - Коробка 3
К4 - Коробка 4
К5 - Коробка 5
К6 - Коробка 6
К7 - Коробка 7
К8 - Коробка 8
1.7.3 Розрахунок кабельної продукції для електропостачання
Для того щоб розрахувати кабельну продукцію, необхідно скористатися наступними формулами:
1. Визначення струму в кабелі
I (A) = P (Вт) / U (B)
2. Перший закон Кірхгофа
I = I1 + I2 + I3…In
3. Площа поперечного переріза кабелю
S = I / δ
Матеріал – мідь.
Для прокладання кабелю найкраще використовувати мідний кабель, тому що він володіє вищими якостями ніж алюмінієві.

Рисунок 1.18 – Елементи електроустаткування
1.7.4 Розрахунок струму в окремих частинах схеми електропостачання
Для того щоб розрахувати струм в окремих частинах схеми електропостачання, необхідно скористатися наступними формулами:
1. Визначення струму в кабелі
I (A) = P (Вт) / U (B)
2. Перший закон Кірхгофа
I = I1 + I2 + I3…In

Рисунок 1.19 – Розрахунок кабельної продукції
1.7.5 Розрахунок споживаної електроенергії в середньому за день й за місяць. Оплата електроенергії
Для того щоб розрахувати споживання електричної енергії (СЕЕ) за добу і за місяць, треба використати наступні формули:
СЕЕ за добу = середня добова потужність *24
СЕЕ за місяць = СЕЕ за добу*30
Для того щоб розрахувати добові витрати (ДВ), треба використати наступні формули:
ДВ = СЕЕ за добу * на коефіцієнт оплати за кіловат(0,244)
Для того щоб розрахувати місячні витрати (МВ), треба використати наступні формули:
МВ = СЕЕ за місяць * на коефіцієнт оплати за кіловат(0,244)
Добові і місячні витрати вимірюються в гривнях.

Рисунок 1.20 – Витрата електроенергії
На графіку видно, що максимальне споживання електроенергії о 9 та о 17 годині за рахунок роботи телевізора. В інший період максимальне споживання о 13 та о 14 годині за рахунок роботи осцилографа.

Рис 1.21 – Розміщення електротехнічної арматури
1.8 Висновки щодо проекту офісу
Графічне моделювання плану моделі офісу, напрямок діяльності якого – видавництво, здійснювалося в програмі 3D Home Architect 8. Офіс складається з наступних кімнат:
1. Хол.
2. Приймальня.
3. Вбиральня.
4. Ванна кімната.
5. Кімната головного редактора.
6. Інформаційний відділ.
Між вбиральнею та ванною кімнатою міститься вузький простір, де зберігається хозінвентар.
Комп’ютерне устаткування, яке складається з 2 сканерів, 2 принтерів, 3 комп’ютерів, осцилографа та телевізора, вийшло на загальну суму – 20158,1 гривень.
Для побудови офісу розрахували енергоспоживання та розробили схему електропроводки. Для прокладки електропроводки потрібно 94,93 м кабелю. Добове споживання електроенергії складає 19,78 кВт*година, та місячні витрати за споживання електроенергії буде складати – 142,89 гривень.
У звіті проекту також включений:
1. План офісу.
2. Альтернативний план офісу.
3. Скріншоти 3D-проектів офісів.
4. комп’ютерне устаткування.
5. Схема електропроводки.
6. Розрахунки енергоспоживання й навантаження на силові елемент
2. МАТЕМАТИЧНЕ МОДЕЛЮВАННЯ
2.1 Завдання 1.1
Варіант 23
Модель об'єкта представлена системою лінійних рівнянь:
Визначити невідомі змінні(Хі
)
1 . використовуючи функцію Find;
2. матричним способом і використовуючи функцію lsolve. Зрівняти результати.
Таблиця 2.1. Система лінійних рівнянь
| № варіанта
|
Система лінійних рівнянь
|
| 23
|

|
Рішення рівнянь за допомогою
MS Excel
Для рішення рівнянь необхідно заповнити таблицю з вихідними даними та розрахувати по формулам.

Рисунок 2.1 – Система рівнянь в MS Excel
Правильність рішення системи рівняння можна побачити за допомогою режиму відображення формул.

Рисунок 2.2 – Відображення формул
Для вирішення системи рівнянь треба скористуватися Сервіс – Пошук рішення та заповнити діалогове вікно „Пошук рішення”.
У діалоговому вікні „Пошук рішення” треба встановити:
1. Цільову комірку.
2. Критерій визначення результату пошуку (максимальне значення, мінімальне значення, по значенню).
3. Встановити змінні комірки.
4. Вказати обмеження. Для встановлення обмеження його потрібно заздалегідь прописати в програмі, у вікні „Пошук рішення” клацнути у вікні „Обмеження” та натиснути кнопку Додати (або Змінити чи Видалити).
5. Натиснути „Виконати”.

Рисунок 2.3 – Вікно «Пошук рішення»
При клацанні клавіші „Виконати” на екрані з’явиться вікно „Результати пошуку рішення”.

Рисунок 2.4 – Результат поиска решения
Тепер необхідно перевірити результати вирішення:

Рисунок 2.5 – Перевірка системи рівнянь
Рішення рівнянь за допомогою MathCad
Рішення системи рівнянь можна знайти за допомогою Given…Find.
Рисунок 2.6 – Рішення рівняння в MathCAD

Рисунок 2.7 – Перевірка рішення рівняння в MathCAD
Також дану систему рівнянь можна вирішити матричним способом, використовуючи функцію lsolve.

Рисунок 2.8 – Рішення рівняння в MathCAD
Рішення заданої системи рівнянь виконувалося двома способами, які дали однаковий результат. Це свідчить про правильність рішення системи.
Результат: х1=-1,3; х2=-2,3; х3=2,9; х4=1,3.
2.2 Завдання 1.2
Перетворити модель, задану у виді системи нелінійних рівнянь до виду f1(x) = y і f2 (y)= x. Побудувати їхні графіки і визначити початкове наближення рішення. Вирішити систему нелінійних рівнянь.
Таблиця 2.2. Варіант виконання роботи
| № Вар
|
Система нелінійних рівнянь
|
| 8
|

|
Рішення засобами Excel
Рішення системи нелінійних рівнянь виконується аналогічним способом задачі 1.1.

Рисунок 2.9 – Діалогове вікно «Пошук рішення»
Для виконання даного завдання треба побудувати графік функцій. Для цього треба виділити діапазон, для якого створюється графік, на вкладці Ряд треба встановити діапазон комірок, які вважатимуться функцією, та встановити діапазон комірок, які будуть вважатися відліковою прямою.

Рисунок 2.10 – Діалогове вікно «Вихідні дані»
При завданні всіх параметрів та побудови графіків функцій ми отримаємо відповідний вигляд робочої області Excel.
Рисунок 2.11 – Графіки функцій та значення змінних функцій
Рішення рівняння за допомогою MathCad
При рішенні системи нелінійних рівнянь ми повинні використовувати функцію Find, що дозволяє обчислювати тригонометричні функції та отримувати відповідь у вигляді матриці.

Рисунок 2.12 – Рішення системи нелінійних рівнянь
Для виконання перевірки результату треба підставити значення отриманих змінних у вихідне рівняння.

Рисунок 2.13 – Перевірка рішення системи нелінійних рівнянь
Результат: х=-0,139, у=0,538.
2.3 Завдання 2.1
Задача А.
Вирішити задачу проектування конусоподібного фільтра
.
З круглої заготівлі (r = 2
) фільтрованого паперу вирізають сектор з кутом , потім з іншого роблять фільтр у виді конуса. Необхідно розрахувати величину кута , при якій забезпечується максимальний обсяг конуса.
R – радіус основи конуса; h – висота конуса; r – радіус заготівлі фільтрованого папера.
 
Рисунок 2.14 – Окружність та конус
– довжина
– формула для куска дуги
Знаходимо різницю 

У конусі получили прямокутний трикутник АОВ, кут О = 90о
, h – катет у прямокутному трикутнику. Для знаходження катетів обчислимо корінь із різниці гіпотенузи r та катета R.



Цільова функція має вид:

Обмеження: 
Рішення рівняння за допомогою
Excel

Рисунок 2.15 – Пошук рішення

Рисунок 2.16 – Розв’язання в Excel
Рішення рівняння за допомогою MathCad

Рисунок 2.17 – Розв’язання в MathCAD
Результат
: кут θ дорівнює приблизно 66 градусів.
Для рішення задачі ми використовували різні засоби для вирішення, що дали нам однакові результати обчислення. Це говорить про те, що задача виконана вірно.
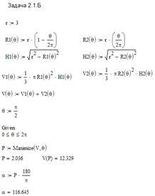
2.4 Завдання 2.1
Задача Б.
Проектування 2 -х конусоподібних (пожежних) ребер
.
З круглої заготівлі жерсті (r = 3
) вирізають сектор з кутом , потім з іншого роблять цебро у виді конуса і з вирізаного сектора теж (тобто 2-а цебра). Необхідно розрахувати величину кута , тобто як необхідно розкроїти заготівлю, щоб обсяг 2-х цебер був максимальним.
R – радіус основи конуса; h – висота конуса; r – радіус заготівлі.
  
Рисунок 2.18 – Окружність, велика заготівля, маленька заготівля
Формули для знаходження радіусу R, висоти h та обсягу V великої заготівлі:



Формули для знаходження радіусу R, висоти h та обсягу V маленької заготівлі:



Цільова функція має вид:

Обмеження: .
Рішення рівняння за допомогою
Excel

Рисунок 2.19 – Розв’язання в Excel
Рішення рівняння за допомогою MathCad

Рисунок 2.20 – Розв’язання в MathCAD
Результат
: кут θ дорівнює приблизно 117 градусів.
Для рішення задачі ми використовували різні засоби для вирішення, що дали нам однакові результати обчислення. Це говорить про те, що задача виконана вірно.
2.5 Завдання 2.1
Задача 7.
Ємність відстійника для відходів повинна становити 40000л. Виготовляється із залізобетону товщиною 10. Визначити геометричні параметри відстійника (L,H,W), при яких на його виготовлення піде мінімальна кількість бетону. (см рисунок 2.17). Вирішити завдання, коли відстійник має кришку.
Рисунок 2.21 – Ємність для поливу газону
Для рішення даної задачі за основу фігури для поливу газону будемо вважати трикутникову призму. Так як нам потрібно знайти кількість використання матеріалу для виготовлення ємності, яка має товщину 10 сантиметрів, то ми повинні знаходити об’єми заданих фігур.
Об’єм трикутникової призми дорівнює:

Для знаходження об’єму полої фігури треба із зовнішнього об’єму виділити внутрішній з урахуванням товщини:

Для вирішення задачі в MS Excel скористаємося функцією Пошук рішення, у якому встановимо обмеження для обчислення результатів пошуку, щоб скоротити діапазон пошуку.
Рисунок 2.22 – Діалогове вікно «Пошук рішення»
При виконанні Пошуку рішення ми отримаємо данні.
Рисунок 2.23 – Рішення задачі засобами
MS
Excel
Щоб удостовіритися в вірності рішення ми можемо прослідкувати у режимі Формули.
Рисунок 2.24 – Відображення формул
Також ми можемо підставити інші значення для прослідкування закономірності зміни результатів.

Рисунок 2.25 – Підстановка інших змінних
Рішення рівняння за допомогою MathCad
Так як наша задача полягає у знаходження мінімальної кількості матеріалу для виготовлення ємності, ми скористуємося функцією Minimize.

Рисунок 2.26 – Рішення задачі засобами MathCAD
Результат:
Н=20,3 м; W=2,79 м; L=1,73 м. Об’єм ємності, що має кришку сягає 1462 м3
.
2.6 Завдання 2.2
Функція об'єкта задана неявно рівнянням , , . Побудувати графік залежності функції на заданому відрізку та знайти її мінімум і максимум з точністю .
Таблиця 2.3 Варіант завдання
| 27
|

|
0
|
2
|
0
|
2
|
Для рішення даного завдання необхідно заповнити таблицю. Задаємо значення t=[0,2]. Задаємо функцію f(x), у якій початкове значення х буде дорівнює "0".
Далі скористаємося вікном підбор параметра.
Отримане значення х необхідно перенести в наступний осередок і на це значення х зробити підбор параметра.
Така дія необхідно виконувати доти доки t не буде дорівнює "2". Далі необхідно побудувати графік за значеннями x й t.

Рисунок 2.27 – Підбір параметру
При клацанні на ОК програма підбирає параметр для комірки зі змінною перемінною, щоб значення цільової функції дорівнювалося нулю.

Рисунок 2.28 – Результат підбору параметру
При здійсненні підбору параметрів до потрібного значення ми отримуємо вихідні данні для побудови графіку функції
Рисунок 2.28 – Вихідні дані
Тепер ми зможемо відтворити графік функції, де побачимо її максимум та мінімум.
Рисунок 2.28 – Графік функції
На цьому графіку можна чітко визначити крапку мінімуму й крапку максимуму, але для точності необхідно заповнити таблицю з вихідними даними й розрахунковими формулами. Задаємо початкові значення х и y рівні "1".
Потім встановлюємо екстремуми у відповідних комірках.

Рисунок 2.29 – Діалогове вікно «Пошук рішення» для знаходження мінімуму

Рисунок 2.30 – Діалогове вікно «Пошук рішення» для знаходження максимуму
Після виконання Пошуку рішення ми отримаємо потрібні дані. Значення максимуму та мінімуму ми отримали однакові, так як він не може містити значення змінних менше 0.
Рисунок 2.31 – Екстремуми функції
Рішення рівняння за допомогою MathCad
Рисунок 2.32 - Рішення рівняння за допомогою MathCad
Ми отримали однакові данні при рішення завдання різними програмними продуктами, що свідчить про правильність рішення.
Результат: точка максимуму дорівнює точці мінімуму – х=0, у=0.
ВИСНОВКИ
При виконання математичного моделювання ми використовували засоби MathCad та MS Excel. При правильного виконання завдання ми повинні отримати однаковий результат, в іншому випадку причину треба шукати або в підборі формул для виконання обчислення, або правопису назв, функцій та інше.
Правильне формулювання умови задачі забезпечує 50% правильного рішення, а вже «вбивання» умов та рівнянь в програму – це «діло техніки».
MathCad та MS Excel складає потужний математичний апарат для виконання найскладніших обчислень з використанням різноманітних функцій.
MathCad більш підходить для користування недосвідчених користувачів, тому що він дуже схожий за записом змінних на звичайний математичний запис, а MS Excel містить більш складніші функції та методи описання змінних, більш схоже на засоби програмування.
Математичне моделювання грає дуже велику роль в житті, а в особливості в техніці при описання різних процесів та явищ.
При проектуванні офісу нам знадобиться 94,93 м кабелю. Добове споживання електроенергії складає 19,78 кВт*година, та місячні витрати за споживання електроенергії буде складати – 142,89 гривень.
Проект офісу складається з 6 кімнат: хол, кімната головного редактора, інформаційний відділ, вбиральня, ванна кімната, приймальня.
Площина офісу 36 кв.м.
При виконання математичного моделювання ми отримали такі результати:
- Завдання 1.1 - х1=-1,3; х2=-2,3; х3=2,9; х4=1,3.
- Завдання 1.2 - х=-0,139, у=0,538.
- Завдання 2.1 А - кут θ дорівнює приблизно 66 градусів.
- Завдання 2.1 Б - кут θ дорівнює приблизно 117 градусів.
- Завдання 2.1 (Задача 7) - Н=20,3 м; W=2,79 м; L=1,73 м. Об’єм ємності, що має кришку сягає 1462 куб. м.
- Завдання 2.2 - точка максимуму дорівнює точці мінімуму – х=0, у=0.
СПИСОК ВИКОРИСТАНИХ ДЖЕРЕЛ
1. Інформатика: Навч. Посіб. Для 10-11 кл. середн. Загально освітн. шкіл/ І.Т. Зарецька, Б.Г. Колодязний, А.М. Гурій, О.Ю. Соколов. – Х.: Факт, 2001. – 496 с.: іл.
2. Глушаков С.В., Сурядный А.С. Microsoft Office2003 / Худож.-оформитель А.С. Юхтман. – Харьков: Фолио, 2005. – 511 с. – (Учебный курс).
3. Симонович С.В., Евсеїв Г.А., Алексеев А.Г. WINDOWS: Лаборатория мастерства: Практическое руководство по эффективным приемам работы с компьютером. – М.: АСТ-ПРЕСС КНИГА: 2003.- 656 с.
4. Логвиненко В.Ф. Оператор компьютерного набора. – Х. – ОЛМА-ПРЕСС: 2007. – 398 с.: ил.
5. Методичні вказівки до лабораторних робіт з дисципліни «Основи автоматизованого проектування складних систем» для студентів спеціальності 6.01010036 "Комп'ютерні технології в управлінні та навчанні"/ І.В.Ушакова, Стаханов: УІПА, 2010. - 83 с.
ДОДАТОК
Презентація проектованого офісу


|