| Задание №1
Отделить корни уравнения

графически и уточнить один из них:
· методом половинного деления;
· методом хорд;
· методом касательных;
· методом секущих;
· методом простой итерации;
с точностью ε=0,001.
Создать функции, реализующие указанные методы, построить графическую иллюстрацию методов, результаты проверить с помощью встроенных функций, оценить точность полученных значений.

1.
Метод бисекции (деления отрезка пополам)
Метод бисекции или метод деления отрезка пополам — простейший численный метод для решения нелинейных уравнений вида F(x)=0. Предполагается только непрерывность функции F(x).
Графическое представление метода бисекций

Решим задание в пакете Маткад:

2. Метод хорд (метод линейной интерполяции)
Идея метода состоит в том, что по двум точкам и построить прямую (то есть хорду, соединяющую две точки графика ) и взять в качестве следующего приближения абсциссу точки пересечения этой прямой с осью Ox
.
Графическое представление метода хорд

Решим задание в пакете Маткад:

3. Метод касательных (Ньютона)
Графическое представление метода касательных

Решим задание в пакете Маткад:

4. Метод секущих
Графическое представление метода секущих

Решим задание в пакете Маткад:

5. Метод простой итерации
Введем функцию:

Графическое представление метода простой итерации

Решим задание в пакете Маткад:

Задание №2
Решить задачу Коши для дифференциального уравнения на отрезке [a,b] при начальном заданном условии и шаге интегрирования h:
1. методом Эйлера;
2. методом Рунге – Кутта 4 – го порядка точности.
3. проверить решение с помощью встроенных функций пакета MathCAD.
В решении оставлять 5 цифр после запятой.
| № вари-анта
|
Функция
|
Интервал
|
y0
|
Шаг
|
| 23
|

|
[0;0,5]
|
y(0)=0,3
|
0,05
|
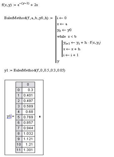
1. Метод Эйлера
Решим задание в пакете Маткад:
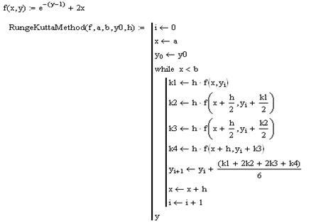
2. Метод Рунге – Кутта 4 – го порядка точности
Проверим решение с помощью встроенных функций пакета
MathCAD


|