Банк рефератов содержит более 364 тысяч рефератов, курсовых и дипломных работ, шпаргалок и докладов по различным дисциплинам: истории, психологии, экономике, менеджменту, философии, праву, экологии. А также изложения, сочинения по литературе, отчеты по практике, топики по английскому.
Полнотекстовый поиск
Всего работ:
364139
Теги названий
Разделы
Авиация и космонавтика (304)
Административное право (123)
Арбитражный процесс (23)
Архитектура (113)
Астрология (4)
Астрономия (4814)
Банковское дело (5227)
Безопасность жизнедеятельности (2616)
Биографии (3423)
Биология (4214)
Биология и химия (1518)
Биржевое дело (68)
Ботаника и сельское хоз-во (2836)
Бухгалтерский учет и аудит (8269)
Валютные отношения (50)
Ветеринария (50)
Военная кафедра (762)
ГДЗ (2)
География (5275)
Геодезия (30)
Геология (1222)
Геополитика (43)
Государство и право (20403)
Гражданское право и процесс (465)
Делопроизводство (19)
Деньги и кредит (108)
ЕГЭ (173)
Естествознание (96)
Журналистика (899)
ЗНО (54)
Зоология (34)
Издательское дело и полиграфия (476)
Инвестиции (106)
Иностранный язык (62791)
Информатика (3562)
Информатика, программирование (6444)
Исторические личности (2165)
История (21319)
История техники (766)
Кибернетика (64)
Коммуникации и связь (3145)
Компьютерные науки (60)
Косметология (17)
Краеведение и этнография (588)
Краткое содержание произведений (1000)
Криминалистика (106)
Криминология (48)
Криптология (3)
Кулинария (1167)
Культура и искусство (8485)
Культурология (537)
Литература : зарубежная (2044)
Литература и русский язык (11657)
Логика (532)
Логистика (21)
Маркетинг (7985)
Математика (3721)
Медицина, здоровье (10549)
Медицинские науки (88)
Международное публичное право (58)
Международное частное право (36)
Международные отношения (2257)
Менеджмент (12491)
Металлургия (91)
Москвоведение (797)
Музыка (1338)
Муниципальное право (24)
Налоги, налогообложение (214)
Наука и техника (1141)
Начертательная геометрия (3)
Оккультизм и уфология (8)
Остальные рефераты (21692)
Педагогика (7850)
Политология (3801)
Право (682)
Право, юриспруденция (2881)
Предпринимательство (475)
Прикладные науки (1)
Промышленность, производство (7100)
Психология (8692)
психология, педагогика (4121)
Радиоэлектроника (443)
Реклама (952)
Религия и мифология (2967)
Риторика (23)
Сексология (748)
Социология (4876)
Статистика (95)
Страхование (107)
Строительные науки (7)
Строительство (2004)
Схемотехника (15)
Таможенная система (663)
Теория государства и права (240)
Теория организации (39)
Теплотехника (25)
Технология (624)
Товароведение (16)
Транспорт (2652)
Трудовое право (136)
Туризм (90)
Уголовное право и процесс (406)
Управление (95)
Управленческие науки (24)
Физика (3462)
Физкультура и спорт (4482)
Философия (7216)
Финансовые науки (4592)
Финансы (5386)
Фотография (3)
Химия (2244)
Хозяйственное право (23)
Цифровые устройства (29)
Экологическое право (35)
Экология (4517)
Экономика (20644)
Экономико-математическое моделирование (666)
Экономическая география (119)
Экономическая теория (2573)
Этика (889)
Юриспруденция (288)
Языковедение (148)
Языкознание, филология (1140)

Реферат: Дискретное преобразование Фурье 2

Название: Дискретное преобразование Фурье 2
Раздел: Рефераты по математике
Тип: реферат Добавлен 21:21:11 28 июня 2011 Похожие работы
Просмотров: 45 Комментариев: 13 Оценило: 1 человек Средний балл: 5 Оценка: неизвестно     Скачать

Санкт-Петербургский государственный университет информационных технологий, механики и оптики (Технический университет)

Гуманитарный факультет

Индивидуальная работа по дисциплине Эконометрика

на тему

Дискретное преобразование Фурье

Выполнил: студент

Рогов Ш.В., группа 4071
Руководитель: Коростелева Т.А.

Санкт – Петербург

2010

Дискретное преобразование Фурье

Существует две формы преобразования Фурье - интегральное преобразование (1)

и

(2),

которое определено на бесконечном интервале непрерывных значений времени и отображает непрерывную временную функцию в частотную область, и непрерывно-дискретное преобразование

(3),

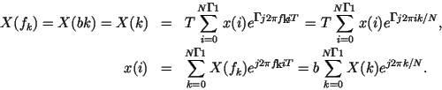
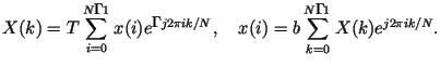
которое определено на бесконечном интервале дискретных значений времени и тем самым дает возможность определять частотный состав сигнала, заданного бесконечным временным рядом. Для вычислений на ЭВМ применяется третья форма записи - дискретное преобразование Фурье, в которой как X( f) , так и x( t) дискретны и пределы суммирования конечны:

(4)

Дискретные значения частот в преобразовании (4) обусловлены конечной длиной записи, т.е. конечностью временного ряда. Здесь для краткости, как и в случае непрерывно-дискретного преобразования, вместо x( iT) используется обозначение x( i) . Точно также вместо X( bk) записано X( k) . Величина b зависит от интервала дискретизации: b=( NT)Г1 .

К форме записи (4) можно перейти от непрерывно-дискретного преобразования Фурье (3), полагая x( i)=0 для i<0 и i>( N-1) , а также определяя дискретные значения частот следующим образом: fk = bk . Покажем это.

Укажем некоторые особенности дискретного преобразования Фурье, знание которых необходимо для правильного составления алгоритма вычисления на ЭВМ.

1. Согласно теореме Котельникова, максимально возможной частотой в спектре является частота Найквиста Fn =(2 T)Г1 , поэтому соответствующее значение k в формуле (4) определяется из условия fk = Fn :

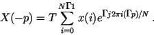
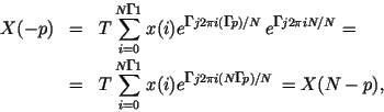
Отсюда следует, что частота Найквиста соответствует середине последовательности X( k) . Это означает, что значениям индексов k в промежутке 0,…, N/2 соответствуют частоты, непревосходящие частоту Найквиста. Какой же смысл имеют величины X( k) при k> N/2 ? Оказывается, что этим величинам соответствуют отрицательные частоты. Покажем это. В формуле (4) заменим индекс k на -p :

Далее умножим экспоненту на единицу, записанную в виде: :

т.е. X(-p)=X(N-p) . Таким образом, при вычислении дискретного преобразования Фурье, подобно случаю непрерывного преобразования, в спектре с необходимостью появятся отрицательные частоты, которые однако отсутствуют в реальном спектре и появление которых и в дискретном, и в непрерывном случаях обусловлено математической операцией преобразования Фурье. Поэтому для N значений данных получается примерно вдвое меньше значений спектральных составляющих.

2. Дискретное преобразование Фурье является периодическим. Покажем это. Предположим, например, что i= pN+ q ; p, q , - целые числа, причем 0 ≤ q≤ N-1 . Подставим новое значение i в выражение обратного преобразования Фурье:

Последнее в этом выражении равенство обусловлено тем, что множитель равен единице. Аналогичное доказательство можно провести для функции X( k) . Таким образом, если попытаться продолжить вычисления для индексов k> N , то полученные значения X( k) полностью повторят уже имеющиеся: X( k+ N) = X( k) . Поэтому для вычисления функций x( i) и X( k) вне множества 0,…,( N-1) следует брать значения их индексов по модулю N .

Оценить/Добавить комментарий
Имя
Оценка
Комментарии:
Хватит париться. На сайте FAST-REFERAT.RU вам сделают любой реферат, курсовую или дипломную. Сам пользуюсь, и вам советую!
Никита15:40:22 05 ноября 2021
.
.15:40:20 05 ноября 2021
.
.15:40:19 05 ноября 2021
.
.15:40:18 05 ноября 2021
.
.15:40:15 05 ноября 2021

Смотреть все комментарии (13)
Работы, похожие на Реферат: Дискретное преобразование Фурье 2

Назад
Меню
Главная
Рефераты
Благодарности
Опрос
Станете ли вы заказывать работу за деньги, если не найдете ее в Интернете?

Да, в любом случае.
Да, но только в случае крайней необходимости.
Возможно, в зависимости от цены.
Нет, напишу его сам.
Нет, забью.



Результаты(287352)
Комментарии (4158)
Copyright © 2005-2021 HEKIMA.RU [email protected] реклама на сайте