Дніпропетровський національний університет залізничного транспорту
імені академіка В.Лазаряна
Андрющенко Вадим Олександрович
УДК 656.223.2.078.05(47+57):51.001.57
УДОСКОНАЛЕННЯ ПРОЦЕСІВ ЕКСПЛУАТАЦІЇ ВАГОННИХ ПАРКІВ З УРАХУВАННЯМ ОСОБЛИВОСТЕЙ ЇХ ОБЛІКУ І ВИКОРИСТАННЯ
05.22.20 – експлуатація та ремонт засобів транспорту
Автореферат дисертації на здобуття наукового ступеня
кандидата технічних наук
Дніпропетровськ – 2008
Дисертацією є рукопис
Робота виконана в Дніпропетровському національному університеті залізничного транспорту імені академіка В. Лазаряна Міністерства транспорту та зв’язку України.
Науковий керівник: доктор технічних наук, професор Скалозуб Владислав Васильович, завідувач кафедри комп’ютерних інформаційних технологій Дніпропетровського національного університету залізничного транспорту імені академіка В. Лазаряна.
Офіційні опоненти:
доктор технічних наук, професор Бобровський Володимир Ілліч,
завідувач кафедри станцій та вузлів Дніпропетровського національного університету залізничного транспорту імені академіка В. Лазаряна, Міністерство транспорту та зв’язку України.
кандидат технічних наук, доцент Яновський Петро Олександрович,
головний науковий співробітник відділу транспортних технологій Державного підприємства “Державний науково-дослідний центр залізничного транспорту України”, Міністерство транспорту та зв’язку України.
Захист відбудеться « 07 » травня 2008 р. о 14:30 на засіданні
спеціалізованої вченої ради Д 08.820.02 в Дніпропетровському національному університеті залізничного транспорту імені академіка В. Лазаряна за адресою: 49010, м. Дніпропетровськ, вул. Академіка Лазаряна, 2.
З дисертацією можна ознайомитися в бібліотеці Дніпропетровського національного
університету залізничного транспорту імені академіка В. Лазаряна
Автореферат розісланий « 04 » квітня 2008 р.
Вчений секретар спеціалізованої вченої ради Жуковицький І.В.
доктор технічних наук, професор
ЗАГАЛЬНА ХАРАКТЕРИСТИКА РОБОТИ
Актуальність роботи. Найважливішим завданням управління експлуатаційною роботою залізничного транспорту є підвищення ефективності використання вагонного парку. Удосконалення управління експлуатаційною роботою, зменшення вартості транспортної складової в ціні продукції передбачено концепцією Державної програми реформування залізничного транспорту. У зв'язку з тим, що експлуатація різних категорій вантажного вагонного парку регулюється окремими правилами і тарифами, резервом підвищення ефективності є урахування особливостей обліку і використання рухомого складу.
В теперішній час ефективне управління і експлуатація вагонних парків не можливі без застосування автоматизованих систем, зокрема системи керування вантажними перевезеннями АСК ВП УЗ. Універсальність концепції системи АСК ВП УЗ забезпечує можливість розв’язання не тільки технологічних, а й фінансово-економічних і інформаційних завдань забезпечення перевізного процесу. Одним із завдань подальшого розвитку системи АСК ВП УЗ являється побудова уніфікованої системи відповідних математичних моделей і методів інтелектуального аналізу, що забезпечить ухвалення більш обґрунтованих рішень з оперативного управління процесами перевезень. Актуальність задачі удосконалення оперативного управління експлуатацією вагонних парків, які мають особливості із обліку і використання, зокрема вагонів власності країн СНД і Балтії (іновагонів), обумовлена додатковими вимогами до управління і значним обсягом їх руху по полігону Укрзалізниці (УЗ). Розроблені при цьому інформаційні технології дозволяють по-новому вирішувати задачі експлуатації, пов'язані з оптимальним за економічними критеріями використанням вагонного парку.
Зв'язок роботи з науковими програмами, планами, темами. Робота виконана відповідно до Програми реструктуризації Укрзалізниці на 1998 -2003 рр. та концепції Державної програми реформування залізничного транспорту в рамках НДР за договором № 94/2000.852.00 ЦТЕХ «Розробка програмного забезпечення автоматизованого робочого місця працівників ЦД Укрзалізниці по управлінню вагонами іноземних власників”, НДР за договором № 347/02-1017.02-ЦТЕХ «Розробка АРМ для працівника служби Д для управління використанням іновагонів за показниками економічної ефективності», і НДР за договором № 66/06-ЦТЕХ - 190/06-ЦЮ «Розробка методології використання вагонів власників країн СНД і Балтії на полігоні залізниць України на засадах технолого-економічної моделі процесу перевезень” (номер державної реєстрації 0106U011751).
Мета і завдання дослідження. Метою дисертації є підвищення ефективності використання вантажного вагонного парку з урахуванням особливостей обліку і використання вагонів, удосконалення процедур експлуатації вантажних вагонів за рахунок створення засобів математичного моделювання і аналітичних компонентів інформаційно-управляючих систем оперативного керування вагонопотоками на полігоні залізниць України.
Для досягнення мети в дисертації поставлено і вирішено наступні задачі:
розробити методику і на основі даних моніторингу процесу вантажних перевезень виконати аналіз параметрів руху вагонного парку на полігоні УЗ. При дослідженнях встановити відмінності характеристик експлуатації іновагонів, суттєві для визначення потреби щодо розвитку методів їх ефективної експлуатації;
розробити математичну модель для планування вантажних перевезень з підведенням порожніх вагонів до пунктів навантаження з урахуванням технологічних і економічних особливостей експлуатації вагонних парків;
розробити систему математичних моделей і відповідних інформаційних технологій для прогнозування параметрів руху вагонопотоків, які ураховують статистичні і нечіткі властивості даних про процеси вантажних перевезень;
удосконалити метод графічної оцінки і аналізупотоків у мережах (ГЕРТ-метод) за рахунок використання як статистичних, так і нечітких представлень даних для оцінки параметрів вагонопотоків з урахуванням плану формування;
розробити методи побудови баз знань про процеси перевезень у формі нечітких правил продукцій для автоматизації системи управління вагонними парками;
розробити АРМ працівника служби перевезень для розв’язання задачі експлуатації іновагонів за економічними показниками.
Об'єктом дослідження є процеси експлуатації вагонних парків на полігоні Укрзалізниці.
Предметом дослідження є оперативне управління вагонопотоками за економічними критеріями з урахуванням особливостей їх обліку і використання.
Методи досліджень. Результати дисертації отримані за допомогою методів моніторингу процесу вантажних перевезень, методів аналізу і моделювання на основі часових рядів і імітаційного моделювання, методів теорії ймовірностей і математичної статистики, методів аналізу потоків в мережах, моделей і методів теорії нечітких множин і розпізнавання образів, лінійного програмування, а також методів штучного інтелекту.
Моніторинг процесу вантажних перевезень, методи теорії ймовірностей і математичної статистики використані для аналізу і ідентифікації параметрів моделей. Моделювання на основі часових рядів використано при побудові моделі із визначення часу переробки потоку вагонів. Методи аналізу потоків в мережах та методи теорії нечітких множин використані для моделювання процесів експлуатації вагонопотоків на полігоні залізничної мережі з метою прогнозування об'ємних і часових характеристик руху вагонів. Методи штучного інтелекту застосовувалися при побудові правил і рішень на нечітких потокових графах руху вагонів. Методи лінійного програмування використані для оптимального планування вантажних перевезень з підведенням порожніх вагонів до пунктів навантаження.
Наукова новизна одержаних результатів полягає в наступному:
1. Уперше з використанням повагонного моніторингу процесу вантажних перевезень досліджено характеристики вагонопотоків інвентарного парку і парку вагонів іноземних власників, які мають технологічні і економічні особливості використання. Встановлено істотну відмінність їх характеристик, що обумовило необхідність удосконалення методик і автоматизованих систем експлуатації вагонів.
2. Удосконалено модель і метод оптимального планування вантажних перевезень на мережі залізниць, що враховують обмеження на пропускну спроможність станцій, а також особливості використання різних вагонних парків. Це дозволило підвищити економічну ефективність використання парку порожніх іновагонів шляхом їх раціонального призначення під навантаження у попутному до країни-власника напрямку.
3. Отримав розвиток ГЕРТ-метод, який ураховує структурні властивості руху вагонопотоків за планом формування, а також використовує нечіткі моделі даних. Використання методу дозволяє підвищити точність прогнозів часових параметрів процесів перевезень.
4. Удосконалено метод автоматизованої побудови баз знань про часові та об’ємні характеристики експлуатації вагонних парків у формі непереривних нечітких величин, що дозволяє підвищити ефективність автоматизованих систем планування вантажних перевезень.
5. Вперше процес вантажних перевезень розглянуто як конвеєрну модель, яка для оцінки часу руху вагонів через заданий полігон використовує дані про вагонопотоки на границях полігонів, що дозволяє прогнозувати показники руху вагонів при мінімальній інформації. При цьому у якості полігону можуть бути залізниці, дирекції, інше.
Практичне значення отриманих результатів визначається наступним.
У Головному управлінні перевезень Укрзалізниці запроваджено у дослідну експлуатацію АРМ по управлінню експлуатацією іновагонів за економічними показниками, в якому використано розроблені математичні моделі і методи, що дозволяє більш ефективно використовувати вагонний парк іноземних власників.
Розроблені методи автоматизованої побудови баз нечітких правил про характеристики експлуатації вагонних парків на основі аналізу даних моніторингу процесу вантажних перевезень можуть бути використані для удосконалення аналітичних функцій системи АСК ВП УЗ.
Вперше для застосування ГЕРТ-методу при плануванні вагонопотоків розроблено алгоритм структурного перетворення графів процесів, які ураховують структуру плану формування поїздів.
Розроблено алгоритм розрахунку модифікованої ГЕРТ-мережі, яка використовує нечіткі дані.
Засоби із автоматизації управління експлуатацією іновагонів використано у навчальному процесі.
Особистий внесок здобувача. Всі результати теоретичних і експериментальних досліджень, наведені в роботі, отримані автором особисто або безпосередньо з його участю.
У статтях, опублікованих в спеціалізованих виданнях із співавторами [2, 4-8], здобувачу належить наступне:
- дослідження характеристик вагонопотоків інвентарного парку і парку іноземних власників [2,4];
- методи побудови нечітких характеристик руху вагонопотоків [4];
- метод прогнозування термінів руху вагонів на основі нечіткої класифікації даних про процеси перевезень [5];
- модель оптимального планування перевезень на мережі залізниць з урахуванням роботи іновагонів і вагонів інвентарного парку [2];
- розвиток структурного рівняння Мейсона для потокових графів перевезень з нечіткими характеристиками руху вагонопотоків [6];
- мережеві моделі баз знань з нечіткими множинами властивостей, які задані прецедентами [8];
- рішення задачі прогнозування параметрів вагонопотоків іноземних власників на основі розпізнавання нечітких образів [7].
Апробація результатів дисертації. Основні положення і результати дисертації доповідалися, обговорювалися і були схвалені на міжнародних конференціях "Комп'ютерне моделювання" (1998, 1999, 2000, 2001, 2002, 2004, 2005, 2006, 2007 рр., м. Дніпродзержинськ), на міжнародних конференціях "Проблеми економіки транспорту" (2001, 2002, 2003, 2005, 2006, 2007 рр., м. Дніпропетровськ); на міжнародній конференції “Predictionanddecisionmakingunderuncertainties” (2001 р., м. Київ), на міжнародній конференції “Математичне та програмне забезпечення інтелектуальних систем” (2004 р., м. Дніпропетровськ), на конференції “Контроль і управління в складних системах” (2001 р., м. Вінниця); на конференції “Проблеми та перспективи розвитку транспортних систем: техніка, технологія, економіка і управління” (2005 р., м. Київ), на міжнародній конференції «Сучасні інформаційні технології на транспорті, в промисловості і освіті” (2007 р., м. Дніпропетровськ); на науковому семінарі кафедри Комп'ютерних інформаційних технологій ДІІТу (2000, 2001, 2005, 2006, 2007 рр., м. Дніпропетровськ).
Публікації. Результати дисертаційної роботи опубліковано в 27 наукових працях, зокрема 8 статей - в наукових збірках, що входять до переліку фахових видань, 19 - в тезах доповідей міжнародних конференцій.
Дисертація складається зі вступу, чотирьох розділів, висновків,містить 185 сторінок друкованого тексту, має 45 рисунків, 19 таблиць, список використаних літературних джерел зі 124 найменувань, має 4 додатки.
ОСНОВНИЙ ЗМІСТ РОБОТИ
В першому розділі виконано аналіз процесів експлуатації вагонів на полігоні залізниць України, зокрема вагонів інвентарного парку УЗ і вагонів власності країн СНД і Балтії, а також обґрунтовано актуальність проблеми підвищення їх ефективності, проведено огляд літератури, сформовано цілі і задачі дослідження.
Показано, що експлуатація вагонів, які мають особливості обліку і використання, пов'язана з необхідністю залучення додаткових економічних, експлуатаційних і управлінських ресурсів. Так, відповідно до існуючої технології управління іновагонами рішення стосовно можливості використання кожного вагону приймає фахівець служби стеження за іновагонами Головного управління перевезень УЗ. Для цього потрібно урахувати комплекс факторів, які суттєвим чином впливають на економічну ефективність використання вагону: станція дислокації порожнього вагону, станція навантаження, напрямок перевезення, адміністрація-власник вагону, термін знаходження вагону на УЗ. Урахувати зазначені фактори в їх взаємозв’язку можливо тільки з використанням інформаційної системи із застосуванням оптимізаційної математичної моделі. При цьому виникають потреби прогнозування часових характеристик руху вагонопотоків на різних полігонах залізниць, а також визначення порівняльної ефективності перевезень вантажів вагонами інвентарного парку і інших категорій.
В розробку задачі управління вагонопотоками значний вклад внесли вчені: Акулінічев В.М., Балч В.І., Бутько Т.В., Диканюк М.М., Д’яков Ю.В., Кудрявцев В.О., Негрей В.Я., Ратін Г.С., Угрюмов А.К.. Тулупов Л.П., Шаров В.А. Для розв’язання задач щодо удосконалення систем оперативного правління вагонопотоками важливими є роботи Гусятинера О.М., Жуковського Є.М., Петрова О.П., Попсуєва А.В., Смєхова О.А.,. Тулупова Л.П., Харлановича І.В. Відмінна від вагонів інвентарного парку структура витрат на експлуатацію такої категорії вагонного парку, як іновагони, вимагає використання окремих методів і моделей. Рішенню задач ефективного управління вагонопотоками іноземних власників присвячені роботи Ковальова В.І., Осьмініна О.Т., Скалозуба В.В., Тишкина Є.М., Феофілова А.Н. та ін.
Ефективна експлуатація вагонних парків, які мають особливості обліку і використання, зокрема іновагонів, представляє самостійну задачу, рішення якої приведе до істотного збільшення надходжень додаткових коштів при раціонально організованих перевезеннях. Актуальною є проблема оптимальної за технологічними і економічними показниками сумісної експлуатації вантажних вагонів інвентарного парку і іновагонів на полігоні залізниць України.
У другому розділі виконані дослідження параметрів вагонопотоків, виділені і вивчені закономірності процесів експлуатації вагонів інвентарного парку і іновагонів на території України. Результати аналізу параметрів вагонопотоків використані при розробці математичних моделей процесів експлуатації вагонів, призначених для планування і оптимального управління вагонопотоками. Аналіз показав, що у використанні вагонного парку різних власників є істотні відмінності, що приводять до кількісно і якісно різних математичних моделей описання процесів. Досліджено часові параметри вагонопотоків, зокрема час обробки вагону на станції, час руху, час простою під вантажною операцією.
Структура і характеристики вагонопотоків визначаються з урахуванням специфіки експлуатації різного роду вагонів, а також з урахуванням технологічних і економічних характеристик транспортних підсистем (мереж). Порівняльний аналіз даних моніторингу показує, що для кожного роду вагонів характерні свої особливості в об'ємах і термінах перевезень і обробки вагонів на станції (табл.1).
Аналіз характеристик руху вагонопотоків на основі даних інформаційних систем УЗ показує, що часові характеристики руху і обробки вагонів іноземних власників відрізняються від характеристик руху і обробки вагонів УЗ того ж роду. Відмінності можуть досягати 30-35% (табл. 2).
Таблиця 1.
Середній час руху та обробки іновагонів за період з 01.01.2002 по 15.05.2002
| Ділянка |
Криті |
Платформи |
Піввагони |
Цистерни |
| Синельникове 1 - Запоріжжя Ліве |
139,2 |
132,2 |
113,1 |
129,2 |
| Синельникове 1 - Мелітополь |
– |
215 |
279 |
279,4 |
| Синельникове 1 - Синельникове 1 |
75,9 |
65,0 |
49,4 |
62,0 |
| Запоріжжя Ліве - Запоріжжя Ліве |
1687,6 |
1073,4 |
972,7 |
849,6 |
Таблиця 2.
Середній час обробки вагонів на станціях за серпень - вересень 2006 р.
| Рід вагону |
Станція |
Інвентарний парк |
Іновагони |
| піввагони |
Новомосковськ |
38,32 |
41,61 |
| піввагони |
Правда |
44,58 |
30,51 |
| цистерни |
НД-Вузол |
38,77 |
46,38 |
| інші |
Роковата |
46,00 |
24,58 |
Для кожної категорії вагонів (в результаті впливу технологічних і економічних характеристик транспортних підсистем) характерні свої особливості в об'ємах і термінах перевезень. Причому, різнорідні вагонопотоки відрізняються не тільки часовими характеристиками руху і обробки на станціях, але і мають різні маршрути руху по транспортній мережі. Дослідження показали залежність параметрів руху від таких характеристик, як власник,
тип вагонного парку, рід рухомого складу, дислокація вагонів.
Для проведення аналізу характеристик руху і переробки іновагонів використовувалися дані моніторингу процесів експлуатації рухомого складу за період з травня 2004 року по серпень 2006 року на Придніпровській залізниці.
На рис. 2 представлено два ряди значень – середній час знаходження вагонів на станції за день (тонка лінія) і середній час знаходження на станції накопичуючим підсумком з початку місяця (жирна лінія). Аналіз показав, що:
- термін знаходження вагонів на станції не є постійною в часі величиною і може змінюватися в значних межах - в 10 і більше разів;
- термін знаходження вагонів на станції істотно розрізняється для різного роду вагонів;
- середній час на станції в загальному випадку не є стаціонарною величиною, наприклад перша і друга половина місяця для цистерн на ст. Синельникове 1 (рис.2). При цьому різниця досягає 25 - 30 %;
- не відповідає умовам стаціонарності також і час руху на ділянці (рис. 1).

Рис. 1. Середній час руху піввагонів на ділянці Лозова - Павлоград накопичуючим підсумком.

Рис. 2. Середній час знаходження цистерн на станції Синельникове 1.
У роботі також досліджена залежність показників простою під вантажною операцією від таких характеристик, як власник вагонного парку, рід вагону, рід вантажу, стан готовності вагону. На рис. 3, 4 різниця середнього часу для інвентарного парку і парку операторів досягає 15-20%. На рис. 5, 6 різниця середнього часу для інвентарного парку і іновагонів досягає 70-80%.
Аналіз даних номерного обліку вагонів виявив наступні особливості експлуатації іновагонів:
- середні значення таких параметрів руху, як час знаходження вагону на станції і час переміщення вагону по ділянці істотно міняються як з часом, так і залежно від роду вагонів;
- процентний розподіл вагонопотоку по напрямах також залежить від роду вагонів і є змінною в часі величиною;
- іновагони мають відмінні від вагонів інвентарного парку часові характеристики і повинні бути виділені в окремий об'єкт управління;
- для ділянок з незначним обсягом руху недостатньо даних спостережень для отримання статистично значущих оцінок руху окремо по кожному роду рухомого складу.

Рис.3. Нікополь, середній час простою під вантажною операцією накопичуючим підсумком для піввагонів інвентарного парку

Рис. 4. Нікополь, середній час простою під вантажною операцією накопичуючим підсумком для піввагонів операторів

Рис. 5. Ростуща, середній час простою під вантажною операцією накопичуючим підсумком для інших вагонів (90) інвентарного парку

Рис. 6. Ростуща, середній час простою під вантажною операцією накопичуючим підсумком для іновагонів категорії інші (РПС=90)
У зв'язку зі встановленими властивостями нестаціонарності експлуатаційних характеристик вагонопотоків, часто недостатнім об'ємом даних спостережень і умовами процесу перевезень, що змінюються, в дисертації розроблено нечіткі моделі і методи управління вагонопотоками.
В розділі 3 представлено розроблені моделі і методи, які дозволяють вирішувати задачу ефективної експлуатації вагонних парків.
Для оптимального планування перевезення вантажів інвентарним вагонним парком і іновагонами розроблена модель (1)-(9), яка враховує:
- різну ефективність перевезення вагонами інвентарного парку і іновагонами;
- економію експлуатаційних витрат при перевезенні іновагонами в попутному напрямі (поєднання експлуатаційних витрат на просування іновагону до міждержавного стику з експлуатаційними витратами на перевезення вантажів);
- витрати, пов'язані із здачею звільненого іновагону на міждержавний стик;
- різний як нормативний, так і розрахунковий час операцій з вагонами різного роду;
- прогресивну шкалу платні адміністрації-власнику іновагону за наднормативне його використання;
- обмеження на пропускну спроможність станцій;
- істотне підвищення платні за використання іновагону при введенні режиму термінового повернення;
- різницю в часі між моментом планування і моментом вантаження при введенні і знятті заборони на використання деяких категорій іновагонів.
У моделі під перевезенням розуміється маршрут руху вагону від станції навантаження до станції вивантаження, а для іновагону також подальшого руху в порожньому стані до міждержавного стику. Перевезення характеризується станціями навантаження та вивантаження, маршрутом перевезення, що включає множину станцій, родом вагонів та родом вантажу. Позначимо через множину станцій полігону. Матриця задає відношення між перевезенням і станціями маршруту: , якщо належить маршруту , , якщо не належить маршруту . Матриця задає відношення між перевезенням і станціями з вантажними операціями: , якщо належить маршруту , , якщо не належить маршруту .
На кожній станції дислокації для зниження розмірності задачі вагони з «близькими властивостями» об'єднані в групи . До властивостей віднесені ті характеристики, які впливають на ефективність використання вагону: станція дислокації, стан готовності вагону, рід вагону, а також для іновагонів адміністрація-власник та фактичний час перебування на УЗ. Множина станцій дислокації порожніх вагонів розширюється за рахунок штучного створення станцій для кожної групи .
На ефективність рішення задачі впливають також характеристики, значення яких підлягають оцінці: час руху від станції дислокації порожнього вагону до станції вивантаження, час руху до міждержавного стику, час виконання митних операцій, стан заборони на рід вагонів у момент навантаження, які визначають величину платні власнику за використання іновагону.
Сумарні витрати на перевезення маршрутом дляодного вагону роду з пункту складають для вагону інвентарного парку УЗ (ІнП) і для іновагону. Сумарні витрати враховують витрати по переміщенню порожнього вагону до станції навантаження, витрати по навантаженню і вивантаженню, витрати по переміщенню навантаженого вагону до станції вивантаження, а також додаткові витрати для іновагонів. Позначимо через - кількість вагонів власності УЗ роду r для ( , ); - кількість вагонів роду r в групі ; - потреба у вагонах роду r для перевезення ; - кількість іновагонів роду r для ( , ) з урахуванням часу дислокації на УЗ; - сумарні експлуатаційні витрати на один іновагон роду r для ( , ) з урахуванням часу дислокації на УЗ; - кількість груп іновагонів з однаковим тарифом адміністрації-власнику для ( , ).
Задача оптимального планування формулюється таким чином: знайти такий розподіл порожніх вагонів ІнП і іновагонів по перевезенням , при якому досягається
(1)
за умов
 ; (2)
 ; (3)
. (4)
Розрахунок експлуатаційних витрат виконується по формулі
, (5)
де і - експлуатаційні витрати по переміщенню порожнього вагону з пункту до станції навантаження перевезення і навантаженого вагону від станції вантаження до станції вивантаження перевезення ; і - експлуатаційні витрати по навантаженню і вивантаженню вантажу для перевезення ; - додаткові експлуатаційні витрати для іновагонів; - штрафні санкції за використання іновагону забороненого роду не в попутному напрямі. Станція дислокації може співпадати із станцією навантаження (складова =0).
Розрахунок додаткових експлуатаційних витрат для іновагонів виконується по формулі
, (6)
де або - експлуатаційні витрати по просуванню порожнього вагону із станції вивантаження або з початкової станції дислокації до відповідного міждержавного стику; або - коефіцієнти збільшення платні за іновагон, залежно від часу знаходження на УЗ у разі його використання під перевезення або здачу на відповідний міждержавний стик порожнім; - час руху іновагону по маршруту (станція дислокації) -(станція навантаження) -(станція вивантаження) -(міждержавний стик); - час руху іновагону по маршруту (станція дислокації) - (міждержавний стик); - платня адміністрації-власнику за одну вагоно-добу перебування іновагону на УЗ.
Розрахунок штрафу за використання іновагону в режимі термінового повернення виконується по формулі
, (7)
де - час планування; - час руху вагону від станції дислокації до станції навантаження, включаючи час навантаження; - час початку заборони; - час закінчення заборони; - ознака напряму вантажу в країну-власницю вагону. =1, якщо напрям перевезення припустимий, =0, якщо напрям перевезення не припустимий; - величина штрафу за навантаження при терміновому поверненні.
Можливість розв’язання задачі планування з урахуванням пропускної спроможності станцій визначається умовами
, (8)
, (9)
де - пропускна спроможність станції ; - обмеження станцій щодо можливостей виконання вантажних операцій.
Для часових характеристик (  ) модель оптимального планування перевезення вантажів (1) - (9) дозволяє використовувати як нормативні значення, так і прогнозовані величини, одержані в результаті обробки результатів моніторингу фактичних характеристик руху вагонопотоків.
В результаті розв’язання транспортної задачі визначаються способи оптимального використання кожного з вагонів, як інвентарного парку, так і іновагонів, які забезпечують мінімум експлуатаційних витрат на реалізацію задачі по перевезенню вантажів. Ті іновагони, які не увійшли до оптимального плану навантаження, необхідно терміново повернути адміністрації-власнику в порожньому стані. Послідовність формування і рішення задачі дозволяє одержати оптимальне управління спільно інвентарним парком і іновагонами в цілому на полігоні залізниць.

Рис. 7. Схема планування експлуатації іновагонів.
Аналіз повних витрат для контрольного прикладу (станція навантаження – Новомосковськ-Дніпровський, станції дислокації порожніх вагонів – Запоріжжя-Ліве і Кривий Ріг-Головний, станції призначення – Дарниця і Луганськ) (рис. 7) показує, що використання іновагонів в попутному напрямі дає економію витрат приблизно в 2 рази, навіть при перевищенні 15-денного терміну перебування. Якщо напрям використання іновагонів не є попутним, витрати для іновагонів не відрізняються, або навіть перевищують витрати для вагонів інвентарного парку. Використання запропонованої моделі і рішення оптимізаційної задачі спільно для двох заявок в порівнянні з послідовним розглядом заявок дає економічний ефект 8,8%.
Для вирішення задачі прогнозування часових характеристик використання вагонів запропоновані різні постановки задач, обумовлені доступною інформацією і моделями процесів переробки вагонопотоків в транспортних вузлах залізниць. В якості інформаційної бази прогнозування можуть виступати як дані повагонного моніторингу, так і узагальнені статистичні показники з добових звітів. Даними для оцінки термінів перевезень по УЗ служать кількість вагонів на залізницях і станціях, кількість прийнятих і відправлених вагонів за добу з залізниці і станції, середній термін знаходження вагонів на залізниці з розділенням по власниках, родам вагонів, станам вагонів, по напрямах проходження вагонів.
Для аналізу і прогнозування термінів руху вагонів різного роду через транспортні вузли на основі даних на границях запропоновано об'єктно-орієнтовану конвеєрну модель. Вузли (УЗ, залізниця, станція) , , для кожного роду вагонів характеризуються параметрами: - кількість вагонів на етапі , - число вагонів, що надійшли до вузла на етапі моделювання через стик , - число вагонів, що залишили вузол, змінні позначають входи / виходи вузлів. Для реалізації розрахунків на основі даних про значення вагонопотоків на входах - виходах вузлів сформульовані правила переробки вагонопотоків (аксіоми моделі), які в загальному випадку можуть розрізнятися для вузлів різного рівня (УЗ, залізниця, дирекція, станція). Аксіоми визначають наступне:
1) відсутність петель
(10)
2) відсутність переупорядковування вагонів в часі t
(11)
3) пропорційний розподіл елементів конвеєра по напрямах
 . (12)
У (12) вагони роду що надійшли до конвеєру на етапі ( ).
Оцінки терміну просування вагонів роду через вузол мають значення
, (13)
де термін перебування вагонів в конвеєрі вузла; кількість вагонів роду . Кількість вагонів, яка є у вузлі на новому етапі моделювання, визначається з наступних рівнянь:
 . (14)
Конвеєрна модель дозволяє: по-перше, в об'єктній формі, одноманітно, визначити вузли різних рівнів на полігоні залізниць, змінюючи у разі потреби умови (10) - (12); по-друге, оцінювати прогнозовану кількість вагонів роду , що виходять з - , яка дорівнює числу вагонів з терміном знаходження у вузлі, розрахованому згідно (13).
Для задачі прогнозування терміну проходження вагону на вихідну станцію в роботі також запропоновано рішення на основі теорії розпізнавання образів. Перший етап рішення задачі полягає в навчанні, тобто в узагальненні інформації про вагони, термін перебування яких на території залізниці відомий. Описи цих вагонів формують повчальну вибірку. Другий етап полягає в застосуванні до вагону, термін перебування якого на дорозі нам необхідно оцінити, вирішальних правил, вироблених на основі узагальненої інформації.
Як встановлено у розділі 2, статистичне описання процесів експлуатації вагонів для визначення часу знаходження на станціях та руху вагонів не відповідає властивостям процесів. У роботі розроблено нечіткі моделі процесів експлуатації іновагонів, які враховують структуру залізничної мережі.
Для ідентифікації структури графів, що характеризують рух вагонів різного роду, і розрахунку оцінок їх параметрів використані результати повагонного моніторингу транспортних потоків. Множини вузлів, дуг графу і ваги дуг залежать від роду рухомого складу і від характеристик руху за узятий період. Зміна місцеположення вагону означає його переміщення по дузі графу, що сполучає різні станції. Виконання операції на одній станції без переміщення вагону відповідає петлі графу. Вага дуги є узагальненою для масиву спостережень характеристикою і має дві складових – об'ємну і часову. Об'ємна відображає відносну частину вагонопотоку, яка переміщається по дузі, часова – час переходу по дузі в хвилинах.
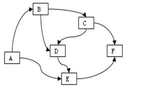
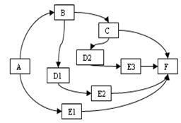
В багатьох випадках структура руху вагонопотоків не відповідає обмеженням застосування методів ГЕРТ-систем. У роботі запропонований метод перетворення мережевого графу, що описує структуру руху вагонопотоків, в еквівалентну послідовно-паралельну форму (рис 8, 9), що дозволяє для їх оцінки і аналізу застосовувати ГЕРТ-методи. Для оцінки значень часових характеристик вагонопотоку розроблено аналог топологічного рівняння Мейсона для нечітких величин. Рівняння використовується для визначення часу виконання всього нечіткого потокового графу.

Рис. 8. Потоковий граф до перетворення

Рис. 9. Аналог потокового графу після перетворення до послідовно-паралельного вигляду
Виконання дуг графу у моделі характеризується аналогом твірної функції ГЕРТ-систем у формі пари двох нечітких величин , де величина встановлює, що операція дуги (i, j) матиме місце, якщо має місце вузол “i”, а - часова характеристика цієї операції. Величина характеризує об'ємну складову дуги. Визначені еквівалентні перетворення нечіткої мережі при її “стягуванні” в один вузол для наступних випадків:
1) заміна послідовності дуг ;
2) паралельні дуги ;
3) композиція елементів мережі петля - дуга ;
4) дві вкладені петлі у вузлі - дуга .
Твірна функція структури з вкладеними петлями рівна добутку рядів, породжених петлями. У табл. 4 приведені правила розрахунку еквівалентних параметрів перетворень нечіткої мережі. У табл. 4 знаками позначені операції нечіткого складання і множення відповідно, а є операціями побудови зображення і інверсії нечітких трикутних величин. Знаком позначена операція суперпозиції нечітких величин. Формули розрахунку еквівалентних величин (4-й стовпець з таблиці 4) призначені для обчислення як часових, так і об'ємних характеристик вагонопотоків.
Таблиця 4
Розрахунок нечітких характеристик еквівалентних підмереж
| № |
ГЕРТ-операції перетворення мереж |
Аналоги операцій над нечіткими дугами |
Розрахунок еквівалентних величин |
| 1 |
 |
 |
 |
| 2 |
 |
 |
 |
| 3 |
 |
 |
 |
| 4 |
не визначена |
 |
 |
Для урахування відповідності ситуації (вагонного положення на полігоні), що склалася на поточний момент, відомим ситуаціям, що спостерігались раніше, у роботі запропоновано метод побудови правил і виведення висновків на нечітких потокових графах.Розробка систем нечітких величин (НВ) , з вибором значення Х і відповідного ступеня приналежності , представляє основний етап моделювання. Для побудови баз знань продукційних експертних систем (ЕС) формують пари з нечітких величин вигляду , Процедура пошуку рішень на основі моделей і з урахуванням ступеня відповідності змінних-посилок поточній ситуації, нечіткий висновок, складається з наступних етапів:
1) розрахунок рівня відповідності всіх змінних-посилок поточній ситуації;
2) модифікації НВ висновків з використанням : ;
3) суперпозиція модифікованих змінних-висновків всіх правил;
4) скаляризація (дефазіфікація) - визначення значення, яке приймається як результуюче для висновку. В роботі для скаляризації використаний принцип максимуму функції приналежності.
Особливістю запропонованого в дисертаційній роботі методу нечіткого виводу є заміна операції суперпозиції розрахунком інтегральних характеристик нечітких потокових графів, в якому правила бази знань містять нечіткі потокові графи як посилки, висновки, посилки і висновки. Етап суперпозиції правил представлений як одночасне виконання паралельних гілок, що навантажені модифікованими нечіткими величинами .
Дослідження запропонованих моделей дозволили встановити їх адекватність і можливість використання в компонентах автоматизованих систем.
У четвертому розділі описана розроблена на основі результатів розділів 2 та 3 автоматизована система для ефективного за економічними критеріями використання вагонів власників країн СНД і Балтії. При цьому визначено і автоматизовано рішення ключової технологічної задачі: оцінки економічної доцільності використання іновагонів у попутному напрямку з урахуванням індивідуальних властивостей вагонів.
Основними функціями системи є:
- розрахунок часу руху від станції дислокації до станції навантаження;
- прогнозування терміну виходу іновагону з території України у випадках використання вагону під навантаження або здачі порожнім;
- розрахунок економічної ефективності від використання іновагону по даному маршруту;
- оптимальне планування під навантаження вагонів інвентарного парку і іновагонів, що знаходяться на полігоні залізниці.
Автоматизована система використовується для забезпечення автоматизованого контролю за термінами перебування та дислокацією іновагонів на полігоні залізниці і своєчасним поверненням цих вагонів з території України державам власникам.
ВИСНОВКИ
У дисертаційній роботі запропоновано вирішення проблеми економічно ефективного використання вантажного вагонного парку з урахуванням особливостей обліку і використання вагонів, запропоновано удосконалення процедур експлуатації вантажних вагонів за рахунок створення засобів математичного моделювання і аналітичних компонентів інформаційно-управляючих систем оперативного керування вагонопотоками на полігоні залізниць України.
Розроблені математичні моделі дозволяють вирішувати задачу оптимального розподілу під навантаження порожніх вагонів інвентарного парку та парку іновагонів з урахуванням специфічних для іновагонів витрат. При цьому для прогнозування необхідних для вирішення задачі часових характеристик запропонований комплекс моделей, кожна з яких орієнтована на різний ступінь деталізації інформації про виконання процесу перевезень.
Основні наукові результати полягають в наступному:
1. Виконані з використанням даних повагонного моніторингу процесу перевезень дослідження стохастичних властивостей вагонопотоків довели суттєві відмінності характеристик вагонопотоків для різних категорій вагонного парку. Різниця для таких параметрів експлуатації, як час обробки, для окремих станцій досягає 20-35%. Встановлена також нестаціонарність часових параметрів експлуатації вагонів іноземних власників на полігоні УЗ. Зазначені особливості визначили необхідність подальшого удосконалення методик і автоматизованих систем експлуатації вагонних парків.
2. Удосконалено модель і метод оптимального планування вантажних перевезень на мережі залізниць, застосування якого дозволяє підвищити економічну ефективність використання парку порожніх іновагонів шляхом їх раціонального призначення під навантаження та отримати для окремих варіантів перевезень економічний ефект до 10%. Розроблений метод дозволяє врахувати пропускну спроможність станцій та підвищити ефективність автоматизованого планування за рахунок виключення циклічного характеру розв’язання задачі планування і істотного скорочення розмірності транспортної задачі.
3. Для прогнозування параметрів руху вагонопотоків з урахуванням структурних властивостей планів формування отримав розвиток ГЕРТ-метод, який використовує нечіткі моделі характеристик руху вагонопотоків. Застосування методу дозволило підвищити точність прогнозу і розширити сферу застосування ГЕРТ-планування.
4. У зв’язку із значною складністю побудови моделі процесів перевезень на полігоні запропоновано метод управління на основі нечітких продукцій. Для формування бази знань удосконалено метод автоматизованої побудови нечітких часових параметрів моделей процесу перевезень, що дозволяє при плануванні ураховувати поточну ситуацію на полігоні.
5. Для визначення термінів економічно ефективної експлуатації іновагонів розроблено об’єктно-орієнтовану конвеєрну модель, яка використовує дані про вагонопотоки на границях полігонів і дозволяє прогнозувати показники руху вагонів при мінімальній інформації. Універсальність моделі дозволяє в якості полігона розглядати залізниці, дирекції, інше.
6. Розроблено і упроваджено в дослідну експлуатацію АРМ працівників служби стеження за іновагонами Головного управління перевезень Укрзалізниці, який використовує запропоновані математичні моделі аналізу і прогнозування параметрів вагонопотоків. АРМ дозволяє використовувати вагонний парк іноземних власників за показниками економічної ефективності. Розроблені моделі і методи планування перевезень та прогнозування об'ємних і часових характеристик вагонопотоків можуть бути використані і для вирішення задач управління вагонопотоками інвентарного парку, операторів перевезень та інших категорій вагонного парку, які мають особливості використання.
СПИСОК ОПУБЛІКОВАНИХ ПРАЦЬ ПО ТЕМІ ДИСЕРТАЦІЇ
1. Андрющенко В.А. Автоматизированное управление эксплуатацией вагонов собственников стран СНГ и Балтии на полигоне дороги // Вісник Дніпропетровського національного університету залізничного транспорту імені академіка В.Лазаряна. – Вип.. 17, Дніпропетровськ, 2007, с. 7-9.
2. Скалозуб В.В., Андрющенко В.О., Солтисюк О.В. Моделювання процесів оптимального планування вантажних перевезень вагонними парками різних форм власності // Системні технології, №1 – Дніпропетровськ, 2007, с.138-150.
3. Андрющенко В.А. Иерархическая кластеризация расплывчатых множеств в задачах математического моделирования систем // Математичне моделювання, №1 – Дніпродзержинськ, ДДТУ, 2000, с.54-57.
4. В. А. Андрющенко, В. В. Великодный, В. В. Скалозуб, С. Ю. Цейтлин. Прогнозирование показателей движения вагонов иностранных собственников на основе нечетких моделей исходных данных.// Вестник Днепропетровского национального университета железнодорожного транспорта имени академика В. Лазаряна. – Вып. 1, 2003, с.84-90.
5. Скалозуб В.В., Андрющенко В.А., Долженков А.А. Моделирование процесса перевозок для экономической оценки эффективности использования иновагонов на полигоне железных дорог Украины // Транспорт: Збірник наукових праць, вып. 8, – Дніпропетровськ, 2001, с.145-149.
6. Скалозуб В.В., Цейтлин С.Ю., Великодный В.В., Андрющенко В.А., Доманская Г.А., Зеленский Ю.В. Объектно-ориентированные модели стохастических нестационарных потоков в транспортных сетях // Системні технології, №3 – Дніпропетровськ, 2001, с.141-150.
7. Долженков А.А., Скалозуб В.В., Цейтлин С.Ю., Андрющенко В.А. Прогнозирование сроков доставки грузов на основе анализа данных о процессах железнодорожных перевозок методами искусственного интеллекта // Транспорт: Збірник наукових праць, вып. 5, – Дніпропетровськ, Наука і освіта, 2000, с. 66-71.
8. Андрющенко В.А., Землянов В.Б., Михайлова В.А., Скалозуб В.В. Экспертно-имитационное моделирование в информационных системах управления инженерными и технологическими объектами // Математичне моделювання, №3 – Дніпродзержинськ, ДДТУ, 1998, с.22-26.
АНОТАЦІЯ
Андрющенко В.О. Удосконалення процесів експлуатації вагонних парків з урахуванням особливостей їх обліку і використання. – Рукопис.
Дисертація на здобуття наукового ступеня кандидата технічних наук за спеціальністю 05.22.20 – експлуатація та ремонт засобів транспорту; Дніпропетровський національний університет залізничного транспорту імені акад. В.Лазаряна; Дніпропетровськ, 2008 р.
Дисертація присвячена підвищенню економічної ефективності використання вантажного вагонного парку з урахуванням особливостей обліку і використання вагонів, зокрема вагонів власності країн СНД і Балтії. З цією метою запропонований метод оптимального планування перевезень з використанням іновагонів і вагонів інвентарного парку, що ураховує технологічні і економічні особливості експлуатації вагонних парків. Для прогнозування параметрів руху вагонопотоків з урахуванням плану формування удосконалено ГЕРТ-метод аналізу потоків у мережах за рахунок використання як статистичних, так і нечітких представлень даних. Для автоматизації системи управління вагонними парками розроблено методи побудови баз знань про процеси перевезень у формі нечітких правил продукцій. Запропоновані моделі і методи використані в автоматизованій системі оперативного прийняття рішень про попутне навантаження іновагонів.
Ключові слова: стохастичні властивості вагонопотоків, прогнозування часових параметрів перевезень, оптимальне планування перевезень, нечітке представлення даних, база знань.
АННОТАЦИЯ
Андрющенко В.А. Усовершенствование процессов эксплуатации вагонных парков с учетом особенностей их учета и использования. – Рукопись.
Диссертация на соискание ученой степени кандидата технических наук по специальности 05.22.20 – эксплуатация и ремонт средств транспорта; Днепропетровский национальный университет железнодорожного транспорта имени акад. В.Лазаряна; Днепропетровск, 2008 г.
Диссертация посвящена повышению экономической эффективности использования грузового вагонного парка с учетом особенностей использования вагонов, в том числе вагонов собственности стран СНГ и Балтии. Целью работы является усовершенствование процедур эксплуатации грузовых вагонов за счет создания средств математического моделирования и аналитических компонентов информационно-управляющих систем оперативного управления вагонопотоками на полигоне Укрзализныци. Для этого на основании данных мониторинга процесса грузовых перевозок выполнен анализ особенностей параметров движения вагонопотоков для различных категорий вагонного парка. В процессе анализа установлены существенные отличия характеристик вагонопотоков для различных категорий вагонного парка, а также нестационарность временных параметров эксплуатации вагонов иностранных собственников на полигоне Укрзализныци, что обусловило необходимость дальнейшего усовершенствования методик и автоматизированных систем эксплуатации вагонных парков. Предложен метод оптимального распределения под погрузку порожних вагонов инвентарного парка и парка иновагонов, который учитывает технологические и экономические особенности эксплуатации вагонных парков разных категорий. Разработанный метод позволяет учесть пропускную способность станций и повысить эффективность автоматизированного планирования за счет исключения циклического характера решения задачи планирования и сокращения размерности транспортной задачи. При этом для прогнозирования необходимых для решения задачи временных характеристик предложен комплекс моделей, каждая их которых ориентирована на различную степень детализации информации о выполнении процесса перевозок. Для прогнозирования временных параметров движения вагонопотоков с учетом плана формирования получил развитие ГЕРТ-метод, использующий нечеткие модели характеристик движения вагонопотоков. Применение метода позволило повысить точность прогноза и расширить сферу применения ГЕРТ-планирования. Для определения сроков экономически эффективной эксплуатации иновагонов на полигоне Укрзализныци предложена конвейерная модель, которая использует данные наблюдений на границах полигонов и позволяет прогнозировать показатели движения при минимальной информации. Универсальность модели позволяет в качестве полигона рассматривать дороги, дирекции и т.п. Для адаптации модели к меняющимся условиям перевозок предложен метод управления на основе нечетких продукций. Для автоматизации формирования базы знаний усовершенствован метод автоматического построения нечетких временных параметров моделей процесса перевозок, что позволяет при планировании учитывать текущую ситуацию на полигоне. Предложенные модели и методы использованы в автоматизированной системе оперативного принятия решений о попутной погрузке иновагонов для использования вагонного парка в соответствии с показателями экономической эффективности. Разработанные модели и методы планирования перевозок и прогнозирования объемных и временных характеристик вагонопотоков могут быть использованы и для решения задач управления вагонопотоками инвентарного парка, операторов перевозок и прочих категорий вагонного парка, которые имеют особенности учета и использования.
Ключевые слова: стохастические свойства вагонопотоков, прогнозирование временных параметров перевозок, оптимальное планирование перевозок, нечеткое представление данных, база знаний.
SUMMARY
AndryuschenkoW.A. Improvement of the processes of operating the rolling stock taking into account the special features of their calculation and use. – Manuscript.
The dissertation on competition of a scientific degree of candidate of engineering science on a speciality 05.22.20 – exploitation and repair of transport means; The National University of Railway Transport; Dnipropetrovs’k, 2008
Thesis is dedicated to an increase in the effectiveness in the use of freight railroad cars. Is for this purpose proposed the method for the optimum planning of transportation with the use of foreign owners cars and railroad cars of inventory park, which considers the technological and economic special features of the rolling stockoperation. For predicting the time parameters of motion the model of flow graphs with the fuzzy arcs is developed and the method of convoluting the graph in the equivalent arc is proposed. For the adaptation of model to the changing conditions of transportation the methods of constructing the knowledge base and search for the solution, when messages and conclusions of deduction rules are both the scalar or fuzzy values and fuzzy graphs are developed. The models and the methods are used in the automated system of operational making of decisions about the following loading of foreign owners cars.
Key words:predicting the time parameters of motion, optimum planning of transportation, fuzzy presentation of data, knowledge base.
|