Содержание
Введение..................................................................................................... 3
1. Модель межотраслевого баланса............................................ 4
1. 1. Динамическая модель Леонтьева.................................................... 7
1. 2. Построение динамической модели Леонтьева............................. 12
2. Модель Неймана............................................................................... 16
Заключение............................................................................................. 20
Cписок литературы............................................................................. 21
Введение
Динамические модели экономики — модели, описывающие экономику в развитии (в отличие от статических, характеризующих ее состояние в определенный момент). Модель является динамической, если, как минимум, одна ее переменная относится к периоду времени, отличному от времени, к которому отнесены другие переменные.
В общем виде динамические модели экономики сводятся к описанию следующих экономических явлений: начального состояния экономики, технологических способов производства (каждый “способ” говорит о том, что из набора ресурсов x можно в течение единицы времени произвести набор продуктов y), а также критерия оптимальности.
Математическое описание динамических моделей экономики производится с помощью систем дифференциальных уравнений (в моделях с непрерывным временем), разностных уравнений (в моделях с дискретным временем), а также систем обыкновенных алгебраических уравнений.
С помощью динамических моделей решаются, в частности, следующие задачи планирования и прогнозирования экономических процессов: определение траектории экономической системы, ее состояний в заданные моменты времени, анализ системы на устойчивость, анализ структурных сдвигов.
С точки зрения теоретического анализа большое значение приобрела динамическая модель фон Неймана. Что же касается практического применения динамических моделей экономики, то оно находится еще в начальной стадии: расчеты по модели, хотя бы сколько-нибудь приближающейся к реальности, чрезвычайно сложны. Но развитие в этом направлении продолжается. Используются, в частности, многоотраслевые (многосекторные) динамические модели развития экономики, к которым относятся динамические модели межотраслевого баланса, а также производственная функция, теория экономического роста.
1. Модель межотраслевого баланса
Межотраслевое моделирование является частью макроэкономического
моделирования и служит для анализа и оценки состояния общего экономического равновесия национальной экономики. Национальная
экономика в межотраслевом балансе представлена рядом чистых отраслей,
связанных между собой финансовыми потоками от реализации продукции,
работ и услуг. Чистые отрасли – это условные отрасли, представляющие
производство одного или нескольких однородных продуктов.
Динамические модели межотраслевого баланса — частный случай динамических моделей экономики; основаны на принципе межотраслевого баланса, в который дополнительно вводятся уравнения, характеризующие изменения межотраслевых связей во времени на основе отдельных показателей: напр., капитальных вложений и основных фондов (что позволяет создать преемственность между балансами отдельных периодов).
Основные предположения модели межотраслевого баланса:
· каждая отрасль выпускает ровно один продукт
· каждый продукт выпускается ровно одной отраслью
-число продуктов равно числу отраслей
-измерять интенсивность работы отрасли можно объёмом выпуска соответствующего продукта
· затраты любого продукта в каждой отрасли прямо пропорциональны её интенсивности
Межотраслевой баланс представляет собой экономико-математическую модель, образуемую перекрестным наложением строк и колонок таблицы, то есть балансов распределения продукции и затрат на ее производство, увязанных по итогам. Главные показатели здесь – коэффициенты полных и прямых затрат.
Динамическая модель межотраслевого баланса характеризует производственные связи народного хозяйства на ряд лет, отражает процесс воспроизводства в динамике. По модели межотраслевого баланса выполняются два типа расчетов: первый тип, когда по заданному уровню конечного потребления рассчитывается сбалансированный объем производства и распределения продукции; второй тип, включающий смешанные расчеты, когда по заданным объемам производства по одним отраслям (продуктам) и заданному конечному потреблению в других отраслях рассчитывается баланс производства и распределения продукции в полном объеме.
Наибольшее распространение получила матричная экономико-математическая модель межотраслевого баланса. Она представляет собой прямоугольную таблицу (матрицу), элементы которой отражают связи экономических объектов. Количественные значения этих объектов вычисляются по установленным в теории матриц правилам. В матричной модели отражается структура затрат на производство и распределение продукции и вновь созданной стоимости.
Таблица межотраслевого баланса производства и распределения
продукции,работ и услуг

В первом квадранте отражены данные о взаимных поставках продукции,
работ, услуг между отраслями. Первый квадрант называется квадрантом
промежуточного потребления и характеризует промежуточное потребление
(затраты) или промежуточный спрос отраслей при производстве продукции,
работ, услуг:
X
ij
– стоимость продукции i
-й отрасли, поставленной в j
-ю отрасль в
течение года, или стоимость продукции i
-й отрасли, потребленной j
-й
отраслью в течение года;
i
-я строка – промежуточное потребление продукции i
-й отрасли всеми
отраслями;
j
-й столбец – потребление (затраты) в j
-й отрасли продукции всех
отраслей при производстве своей продукции;
X
i
– стоимость валового продукта, произведенного i
-й отраслью в
течение года.
Второй квадрант называется квадрантом конечного использования
(потребления) или конечного спроса. В нем представлено конечное использование продукции отраслей, распределенное на конечное потребление (С
i
), инвестиции (I
i
), экспорт (E
i
) и импорт (M
i
), сальдо во внешней торговле (E
i
– M
i
). Конечное потребление включает потребление домашних хозяйств (населения), государства и некоммерческих организаций.
Третий квадрант называется квадрантом добавленной стоимости.
В нем
представлена добавленная стоимость, присоединенная в отраслях к затратам
продукции других отраслей при производстве продукции, работ, услуг.
Добавленная стоимость, произведенная в отраслях народного хозяйства,
включает: оплату труда (V
j
), амортизацию (потребление основного капитала)
(C
j
), чистый доход (m
j
). Четвертый квадрант не заполняется.
В состав отраслей в МОБ входят отрасли материального производства:
промышленность (энергетика, машиностроение, легкая и пищевая
промышленность, строительство, сельское хозяйство) и отрасли
нематериальных услуг (жилищно-коммунальное хозяйство, банковская сфера, здравоохранение, образование, наука и др.). В реальный межотраслевой баланс входит около 30 отраслей. Межотраслевой баланс за прошедший год называется отчетным межотраслевым балансом.
1. 1. Динамическая модель Леонтьева
Межотраслевой баланс известен в науке и практике как метод “затраты – выпуск”, разработанный В.В. Леонтьевым. Этот метод сводится к решению системы линейных уравнений, где параметрами являются коэффициенты затрат на производство продукции. Коэффициенты выражают отношения между секторами экономики (коэффициенты текущих материальных затрат), они устойчивы и поддаются прогнозированию. Решение системы уравнений позволяет определить, какими должны быть выпуск и затраты в каждой отрасли, чтобы обеспечить производство конечного продукта заданного объема и структуры. Для этого составляется таблица межотраслевых потоков товаров. Неизвестными выступают выпуск и затраты товаров, произведенных и использованных в каждой отрасли. Их исчисление с помощью коэффициентов и означает объемы производства, обеспечивающие общее равновесие. В случае выявления диспропорции с учетом заказов потребителей, в том числе и государственных, составляется план-матрица выпуска всех видов материальных благ и затрат на их производство.
Метод “затраты – выпуск” стал универсальным способом прогнозирования и планирования в условиях, как рыночной, так и директивной экономики. Он применяется в системе ООН, в США и других странах для прогнозирования и планирования экономики, структуры производства, межотраслевых связей.
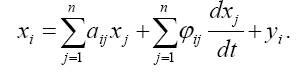
В динамических моделях отражается процесс развития экономики. В них
производственные капитальные вложения выделяются из состава конечной
продукции, исследуется их структура и влияние на рост объема производства.
Схема динамического межотраслевого баланса представлена в таблице

Таблица содержит две матрицы. Элементы второй матрицы показывают, какое количество продукции i
-й отрасли направлено в текущем периоде в j
-ю отрасль в качестве производственных капитальных вложений в основные и оборотные средства.
В динамической схеме конечный продукт у
i
включает продукцию i-
й отрасли, идущую в личное и общественное потребление, накопление
непроизводственной сферы, незавершенное строительство, на экспорт. Все
показатели даны в стоимостной форме.
В таблице выполняются следующие балансовые соотношения:
(1)
Межотраслевые потоки капитальных вложений относятся к периоду
(t-
1,t
). Динамика задается дополнительными соотношениями:
(2)
Экономический смысл коэффициентов ϕ
ij = Кij /ΔХj
следующий: они
показывают, какое количество продукции i
-й отрасли должно быть вложено в
j
-ю отрасль для увеличения выпуска ее продукции на единицу в
рассматриваемых единицах измерения. Коэффициенты ϕ
ij
называются
коэффициентами капитальных вложений или коэффициентами приростной
фондоемкости. Систему уравнений (1) с учетом (2) можно записать как:
(3)
Представим (3) в матричном виде:
(4)
Из (4) следует, что
(5)
Модель (3) называется дискретной динамической моделью межотраслевого баланса Леонтьева. Система уравнений (3) представляет собой систему линейных разностных уравнений 1-го порядка. Для исследования данной модели надо задать в начальный момент времени векторы X
(0
) и Y
(t
) для t
= 1, 2, …, T.
Решением модели будут значения векторов X
(t
), K
(t
), t
= 1, 2, …, T.
Условием разрешимости системы (3) относительно вектора Х
(t
) является требование det (E
− A
− Ф
) ≠ 0
В данной модели предполагается, что прирост продукции в периоде
(t
– 1, t
) обусловлен капиталовложениями, произведенными в том же периоде.
Для коротких периодов это предположение нереально, т.к. существуют
отставания во времени (временные лаги) между вложением средств в
производственные фонды и приростом выпуска продукции. Модели,
учитывающие лаги капитальных вложений, образуют особую группу
динамических моделей межотраслевого баланса.
Если перейти к непрерывному времени, то уравнения (3) перепишутся в виде системы дифференциальных уравнений 1-го порядка с постоянными коэффициентами:
(6)
Для ее решения помимо матриц коэффициентов текущих прямых
материальных затрат A =
(a
ij
) и коэффициентов капитальных затрат Ф
= (ϕij
)
необходимо знать уровни валового выпуска в начальный момент времени
t
= 0 (x
(0)) и закон изменения величин конечного продукта y
(t
) на отрезке [0,T
].
Решением системы уравнений (6) будут значения вектор-функции x
(t
)
на отрезке [0, T
].
Условием разрешимости системы (6) является det Ф
≠ 0 .
Более общей динамической межотраслевой моделью является модель,
учитывающая производственные мощности отраслей. Она представлена ниже в виде следующих соотношений:
(7)
(8)
(9)
(10)

Состояние экономики в году t
характеризуется в динамике следующими
переменными:
Х
t
– вектор-столбец валовых выпусков отраслей;
v
t
–вектор ввода отраслевых мощностей;
γ − диагональная матрица выбытия мощностей;
x
t
– вектор-столбец отраслевых мощностей (максимально возможных выпусков);
l
t
=
(l1
, l2
,..., l
n
)t
вектор трудоемкости отраслевых производств, может зависеть от времени;
L
t
–
объем трудовых ресурсов в экономике.
Время в модели дискретно и изменяется через промежутки, равные году
(t
= 1, 2, …, T
).
Коэффициенты матрицы прямых затрат А = ║аij║
и матрицы
капиталоемкости прироста производственных мощностей Ф = ║фij║
могут
зависеть от времени. Экзогенно заданы вектор-функция Y
t
и числовая функция L
t
.
Решением модели являются векторы Х
t
и x
t
, удовлетворяющие системе неравенств (7)-(10).
Неравенства (7) показывают, что вектор валового продукта X
t
должен
обеспечивать текущие производственные затраты AХ
t
, затраты продукции на
ввод производственных мощностей ФV
t
и на непроизводственное потребление Y
t. Неравенства (8) ограничивают валовые выпуски отраслей наличными мощностями, неравенства (9) представляют собой отраслевые балансы изменения производственных мощностей с учетом их выбытия и ввода, неравенства (10) показывают, что общая занятость ограничена имеющимися трудовыми ресурсами.
1. 2. Построение динамической модели Леонтьева
Определим величины, характеризующие изменения валового выпуска 5 отраслей по 7 временным интервалам.
| Рыбная |
-25056 |
-46023 |
-27579 |
-9222 |
18357 |
-22098 |
-79866 |
| Логистика |
101607 |
-1499 |
56461 |
8932 |
226650 |
-181033 |
-583399 |
| Судоремонтная |
-7076 |
29510 |
9728 |
55934 |
-35028 |
15280 |
-432869 |
| Пищевая |
10100 |
11822 |
39809 |
-54373 |
12350 |
35889 |
-532456 |
| Машино и приборо-строение |
11706 |
2156 |
16085 |
-97206 |
36989 |
9201 |
-543768 |
Теперь воспроизведем матрицу D. Коэффициент dij
матрицы D равен количеству продукции отрасли i, необходимой для увеличения на единицу (в стоимостном выражении) фонда отрасли j. Коэффициенты dij
именуются коэффициентами капиталоемкости приростов ОПФ.
| Производство продукции, B |
Потребление продукции |
Конечная продукция Y
|
Валовой выпуск
|
| Рыбная |
Логистика |
Судоремонтная |
Пищевая |
Машино и приборо-строение |
| Рыбная |
1 |
5,5 |
1,5 |
5 |
6 |
56700 |
101964 |
| Логистика |
6 |
1 |
5 |
4,5 |
3 |
56430 |
204324 |
| Судоремонтная |
4,5 |
5 |
1 |
6 |
6 |
390860 |
508326 |
| Пищевая |
5 |
5 |
5 |
1 |
6 |
787890 |
1289754 |
| Машино и приборо-строение |
4 |
4 |
5 |
4 |
1 |
323630 |
734563 |

| Отрасль |
при t=1 |
| Рыбная |
-25056 |
| Логистика |
101607 |
| Судоремонтная |
-7076 |
| Пищевая |
10100 |
| Машино и приборо-строение |
11706 |

Построим матрицу К коэффициентов капитальных затрат или капитальных коэффициентов.
| Производство продукции, B |
Потребление продукции |
Конечная продукция Y |
Валовый выпуск |
| Рыбная |
Логистика |
Судоремонтная |
Пищевая |
Машино и приборо-строение |
| Рыбная |
0,8 |
4,4 |
1,2 |
4 |
4,8 |
56700 |
101964 |
| Логистика |
4,8 |
0,8 |
4 |
3,6 |
2,4 |
56430 |
204324 |
| Судоремонтная |
3,6 |
4 |
0,8 |
4,8 |
4,8 |
390860 |
508326 |
| Пищевая |
4 |
4 |
4 |
0,8 |
4,8 |
787890 |
1289754 |
| Машино и приборо-строение |
3,2 |
3,2 |
4 |
3,2 |
0,8 |
323630 |
734563 |
Теперь определим 
| Отрасль |
при t=1 |
| Рыбная |
5,151*10^5 |
| Логистика |
-2,833*10^3 |
| Судоремонтная |
4,152*10^5 |
| Пищевая |
3,422*10^5 |
| Машино и приборо-строение |
2,583*10^5 |
Пусть Ф0
=0, 
| Отрасль |
Ф при t=1 |
| Рыбная |
-20044,8 |
| Логистика |
81285,6 |
| Судоремонтная |
-5660,8 |
| Пищевая |
8080 |
| Машино и приборо-строение |
9364,8 |
(Матрица А — матрица прямых затрат)
| Отрасль |
y при t=1 |
| Рыбная |
-3,601*10^4 |
| Логистика |
7,575*10^4 |
| Судоремонтная |
2,697*10^3 |
| Пищевая |
1,824*10^4 |
| Машино и приборо-строение |
-8,428*10^3 |
Итак, мы имеем первый вектор 
| Отрасль |
x при t=1 |
Ф при t=1 |
y при t=1 |
| Рыбная |
191487 |
-20044,8 |
-3,601*10^4 |
| Логистика |
372281 |
81285,6 |
7,575*10^4 |
| Судоремонтная |
364521 |
-5660,8 |
2,697*10^3 |
| Пищевая |
476859 |
8080 |
1,824*10^4 |
| Машино и приборо-строение |
564837 |
9364,8 |
-8,428*10^3 |
Аналогичным образом получаются таблицы для t = 2, 3, 4, 5, 6.
| Отрасль |
x при t=2 |
Ф при t=2 |
y при t=2 |
| Рыбная |
166431 |
-56863,2 |
-6,808*10^4 |
| Логистика |
473888 |
80086,4 |
-6,632*10^3 |
| Судоремонтная |
357445 |
17947,2 |
2,495*10^4 |
| Пищевая |
486959 |
17537,6 |
2,816*10^4 |
| Машино и приборо-строение |
576543 |
11089,6 |
5,698*10^3 |
| Отрасль |
x при t=3 |
Ф при t=3 |
y при t=3 |
| Рыбная |
120408 |
-78926,4 |
-4,702*10^4 |
| Логистика |
472389 |
125255,2 |
2,757*10^4 |
| Судоремонтная |
386955 |
25729,6 |
8,966*10^3 |
| Пищевая |
498781 |
49384,8 |
3,867*10^4 |
| Машино и приборо-строение |
578699 |
23957,6 |
-3,451*10^3 |
| Отрасль |
x при t=4 |
Ф при t=4 |
y при t=4 |
| Рыбная |
92829 |
-86304 |
-4,489*10^4 |
| Логистика |
528850 |
132400,8 |
5,323*10^4 |
| Судоремонтная |
396683 |
70476,8 |
3,166*10^4 |
| Пищевая |
538590 |
5886,4 |
-3,038*10^4 |
| Машино и приборо-строение |
594784 |
-53807,2 |
-6,271*10^4 |
| Отрасль |
x при t=5 |
Ф при t=5 |
y при t=5 |
| Рыбная |
83607 |
-71618,4 |
8,141*10^3 |
| Логистика |
537782 |
313720,8 |
1,671*10^5 |
| Судоремонтная |
452617 |
42454,4 |
-2,388*10^4 |
| Пищевая |
484217 |
15766,4 |
-2,626*10^3 |
| Машино и приборо-строение |
497578 |
-24216 |
-2,208*10^4 |
| Отрасль |
x при t=6 |
Ф при t=6 |
y при t=6 |
| Рыбная |
101964 |
-89296,8 |
-9,557*10^3 |
| Логистика |
764432 |
168894,4 |
-1,595*10^5 |
| Судоремонтная |
417589 |
54678,4 |
1,239*10^4 |
| Пищевая |
496567 |
44477,6 |
3,563*10^4 |
| Машино и приборо-строение |
534567 |
-16855,2 |
3,836*10^4 |
2. Модель Неймана
В модели Неймана представлены n
продуктов и m
способов их
производства. Каждый j-
й способ задается вектор-столбцом затрат продуктов
a
j
и вектор-столбцом выпусков продуктов b
j
в расчете на единицу
интенсивности процесса:
(1)
Это означает, что при единичных интенсивностях j
-го производственного процесса потребляется вектор продуктов a
j
и производится продуктов b
j
. Векторы (1) рассматриваются в натуральных единицах или в постоянных ценах.
Из векторов затрат и выпуска образуются матрицы затрат А
и выпусков
В
с неотрицательными коэффициентами затрат a
ij
и выпусков b
ij
:

Матрицы А
и В
обладают следующими свойствами:
1) a
ij
≥0 ,b
ij
≥0,т.е. все элементы матриц неотрицательны;
2) что означает: в каждом из m
способов
производства потребляется хотя бы один продукт;
3) что означает: каждый продукт
производится хотя бы одним способом производства;
Таким образом, каждый столбец матрицы А
и каждая строка матрицы В
должны иметь по крайней мере один положительный элемент.
Через Х
(t
) обозначим вектор-столбец интенсивностей

Тогда AX
(t
) – вектор затрат, BX
(t
) – вектор выпусков при заданном
векторе Х
(t
) интенсивностей процессов.
Модель Неймана является обобщением динамической модели
межотраслевого баланса Леонтьева, поскольку допускает производство одного продукта несколькими способами производства, и совпадает с ней, если В = Е.
В модели Неймана имеют место следующие соотношения:
(2)
Соотношения (2) означают, что при производстве продукции в году
(t
+ 1) расходуется продукция, произведенная в году t.
Вектор p
( t
)=( p
1 ( t
), p
2 ( t
),..., p
n
( t
))≥0 называется вектором цен
продуктов, произведенных в году t
, если он удовлетворяет следующим соотношениям:
(3)
Если коэффициенты матриц А
и В
– стоимостные величины в постоянных ценах, то р
(t
) будет вектором индексов цен.
Первое векторное неравенство в (3) означает, что стоимость выпуска
продукции для каждого технологического способа производства в году t
+ 1 не может быть больше стоимости затрат в ценах года t.
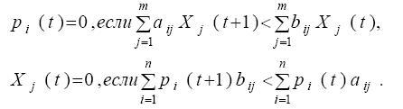
Из (2) и (3) следует, что имеют место следующие соотношения:
(4)
Первое соотношение в (4) означает, что цена i
-го продукта в году t
равна нулю, если его выпуск в году t
будет больше его затрат в году (t
+ 1).
Второе соотношение (4) означает, что j
-й технологический процесс в году t
не будет применяться (интенсивность равна нулю), если стоимость затрат по нему в году t
больше стоимости его выпуска в году (t
+ 1).
Определение.
Векторы Х
(t
) и p
(t
), t
= 1, 2, …, T
называются траекторией
сбалансированного роста в модели Неймана, если они удовлетворяют
условиям:
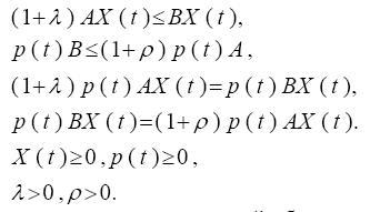
(5)
Здесь λ − темп, ρ − норма процента сбалансированного роста.
Из (5) следует, что в состоянии сбалансированного роста значения компонент вектора Х
(t
) пропорционально возрастают, а вектора p
(t
) снижаются. При этом имеют место соотношения:
(6)
где Х
(0) и р
(0) – начальные значения векторов в году t
= 0.
Из (5), (6) следует, что на траектории сбалансированного роста должны выполняться соотношения.
(7)
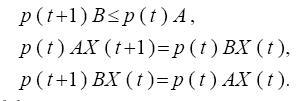
Вопрос о существовании траекторий сбалансированного роста решается
следующими теоремами.
Первая теорема Неймана
. Если матрицы А и В удовлетворяют
свойствам 1-3, то система неравенств (7) имеет решение X ( t ), p ( t ),λ ,ρ ,
т.е. в модели Неймана существуют траектории сбалансированного роста.
Вторая теорема Неймана.
Существует решение X
* ( t
), p
* ( t
),λ * ,ρ *
системы (7), у которого будет максимальный темп роста λ * ≥λ и
минимальная норма процента ρ * ≤ ρ по сравнению с другими решениями.
При этом выполняется соотношение:
(8)
Данное решение называется магистралью
, или траекторией
максимального сбалансированного роста в модели Неймана.
Модель Неймана является невычислимой, чисто теоретической моделью. Выход к практическим результатам осуществляется через динамическую модель В. Леонтьева, являющуюся частным случаем модели Неймана. Цены, полученные на основе динамического баланса, обладают свойствами цен модели Неймана. Модель Леонтьева использует данные динамического межотраслевого баланса. На основе динамического баланса также возможно построение неймановского луча максимального сбалансированного роста экономики и вычисление цен, соответствующих этому лучу, которые отражают альтернативную стоимость. Отличие динамической межотраслевой модели от модели Неймана состоит в том, что она базируется на предположении, что в каждой отрасли возможен один и только один производственный процесс. Таким образом, выбор решения по каждой отрасли сводится лишь к определению интенсивности производственного способа.
Заключение
В заключение отметим, что с помощью межотраслевого баланса решают
следующие задачи:
1. По таблице межотраслевого баланса найти матрицу прямых и полных затрат.
2. Задав вектор конечной продукции, определить вектор валовой продукции.
3. Задав вектор валовой продукции, определить вектор конечной продукции.
4. При новых значениях добавленной стоимости найти индексы цен и построить новую таблицу межотраслевого баланса.
5. Найти векторы валового выпуска, добавленной стоимости, затрат,
доли затрат и добавленной стоимости в валовом продукте, межотраслевые
поставки продукции, составить таблицу межотраслевого баланса.
Аналитический метод «затраты-выпуск» наполнил практическим содержанием теорию общего экономического равновесия, он способствовал усовершенствованию математического аппарата. Метод Леонтьева отличает ясность и простота, универсальность и глобальность, другими словами пригодность для экономики отдельных стран и регионов, для мирового хозяйства в целом.
Модель Леонтьева "Затраты-выпуск" строится на основе схемы межотраслевого баланса в предположении о том, что каждая отрасль выпускает один и только свой продукт с использованием продуктов остальных отраслей и посредством линейной технологии. Она помогает анализировать перетоки товаров между отраслями и отвечает на вопрос: можно ли в условиях данной технологии удовлетворить конечный спрос населения на товары?
Магистральная траектория - это луч Неймана. Основным вопросом магистральной теории является анализ близости траекторий оптимизационных моделей к соответствующим магистралям. Оптимальные траектории в динамических моделях Леонтьева и Неймана обладают такими свойствами при выполнении некоторых дополнительных условий.
Cписок литературы
1. Колемаев В.А. "Экономико-математическое моделирование" ЮНИТИ-ДАНА, 2005 295 с.
2. Поттосина С. А., ЖуравлевВ. А. " Экономико-математические модели и методы" Учебное пособие для студентов экономических специальностей, 2003. – 94 с.
3. Экономико-математические модели и методы / Под общей ред. А.В. Кузнецова. – Мн.: БГЭУ, 2000.
4. http://slovari.yandex.ru/dict/lopatnikov/article/lop/lop-0879.htm
5. http://www.sseu.ru/edumat/v_mat/course2/razd10_2/par10_4k2.htm
|