|
2. 3. 5. Нейросетевые технологии (НСТ)
Нейрон –
элемент, имеющий множество входов, на которые поступают сигналы х1, х2, …, х
n
, суммирующий блок (c
умматор
), блок преобразования сигнала f (формирователь функции, он же функтор) и один выход y
 
| Искусств. нейрон
|
Биолог. нейрон
|
| Преобразование и передача сигнала
|
аксоны и синапсы
|
| Веса связей
|
синапсы
|
| Пороговая функция
|
сома
|
На нейронный элемент поступают входные сигналы q
1,
q
2,
…
q
i
.
Взвешенные веса сигналов c
i
q
i
поступают на сумматор, на его выходе появляется уровень возбуждения S
:
Уровень возбуждения S
проходит через формирователь функции
f
, получается выходной сигнал y
:

Функции преобразования
f
(
S
)
бывают разные:
1) пороговая (ступенчатая) -

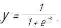
2) сигмоидная -
(е = 2,72 - число Эйлера)
Нейронные сети (НС) – параллельные вычислительные структуры, моделирующие биологические процессы обучения:
1) программно-аппаратные устройства;
2) в них используются алгоритмы живой нервной клетки;
3) их применяют для решения неформализуемых задач;
4) алгоритм предусматривает самообучение при работе;
5) Neural network technology (англ);
Нейрокомпьютер, используюший ИНС, способен оценивать состояние объекта наблюдения, а также, на основе опыта обучения в реальных ситуациях, принимать решения об управляющих воздействиях на систему.
Рисунок 2 - Нейросетевое ситуационное управление
Сигнал состояния наблюдаемого объекта (ситуация) поступает на вход ИНС
, которая принимает решение о вмешательстве в процесс. ИНС в данном случае распознает образы.
1.Если распознанный образ (набор свойств и признаков) явл-ся
разрешенным состоянием системы, БПН
передает текущую ситуацию на дальнейшую обработку.
2. Если не явл-ся
разрешенным состоянием, то описание текущей ситуации поступает на вход 2-ой ИНС, которая на основе заложенной в нее информации относит ситуацию к одному или нескольким классам. Эти классы в базе знаний соответствуют некоторым элементарным решениям (управляющим воздействиям).
3. Если ситуация все-таки не распознана и не классифицируется по имеющимся в памяти признакам то система формирует управляющее воздействие на основании опыта (знаний), а затем анализирует результат. Это ситуационное управление. Система обучается во время функционирования.
Преимущество
:
сталкиваясь в процессе работы с незнакомой ситуацией ИНС способна сопоставить ее с уже имеющимся образами, а затем отнести ее к определенному классу событий (сделать вывод
) и сформировать адекватное управление МС.
|