Введение
Рыночная экономика в Российской Федерации набирает всё большую силу. В современных экономических условиях деятельность каждого хозяйственного субъекта является предметом внимания обширного круга участников рыночных отношений, заинтересованных в результатах его функционирования.
Чтобы обеспечивать выживаемость предприятия в современных условиях, управленческому персоналу необходимо, прежде всего, уметь реально оценивать финансовое состояние, как своего предприятия, так и существующих потенциальных конкурентов.
Финансовое состояние – важнейшая характеристика экономической деятельности предприятия Она определяет конкурентоспособность, потенциал в деловом сотрудничестве, оценивает, в какой степени гарантированы экономические интересы самого предприятия и его партнёров в финансовом и производственном отношении.
В настоящих условиях финансовый менеджер становится одним из ключевых фигур на предприятии. Он ответственен за постановку проблем финансового характера, анализ целесообразности использования того или иного способа решения принятого руководством предприятия, и предложения наиболее приемлемого варианта действия.
Цель
данной дипломной работы заключается в изучении методов финансового анализа, как инструментов принятия управленческого решения и выработки, на этой основе, практических рекомендаций и выводов.
Объектом
дипломного исследования является коммерческое предприятие ООО «Челябинскмазсервис», осуществляющее услуги по ремонту автомашин, продаже промышленной и сельскохозяйственной техники.
Предметом исследования
является сама методика анализа финансовой деятельности и практика применения её в управленческой деятельности.
Анализируемый период охватывает три года работы предприятия: с 2004 г. по 2006 г.
Основные задачи
, решаемые в ходе выполнения работы:
- обследование действующего предприятия и его финансовое положения, установление реального положения дел на предприятии; выявление изменений в финансовом состоянии и факторов, вызвавших эти изменения;
- предложить рекомендации, позволяющие оптимизировать финансово-экономическую деятельность рассматриваемого предприятия;
- предложить рекомендации, позволяющие повысить конкурентоспособность предприятия.
1. В процессе подготовки дипломной работы использовались материалы бухгалтерской отчётности и различные методические источники (бухгалтерский баланс с приложениями, статическая отчётность утверждённые Минфином и Госкомстатом Российской Федерации и другая литература, посвященная данной тематике авторства Балабанова И.Т., Васиной А.А., Грачева А.В. и др.), а также материалы официальных сайтов Минского автозавода и ООО «Челябинскмазсервис», разработчиков программного обеспечения для финансового анализа предприятия (http://www.expert-systems.com.
В соответствии с поставленными задачами дипломная работа разделена на 4 главы, которые посвящены решению поставленных выше задач, 136 страниц; использованы 36 источников литературы, 12 таблиц, 4 схемы, 1 диаграмма, 16 формул.
1. Теоретические и методологические основы финансового анализа деятельности предприятия
1.1
Экономическая сущность, цель и значение финансового анализа в современных условиях
Финансовый анализ в своем традиционном понимании представляет собой метод исследования путем расчленения сложных явлений на составные части. В широком научном понимании финансовый анализ – это метод научного исследования (познания) и оценки явлений и процессов, в основе которого лежит изучение составных частей, элементов изучаемой системы [10]. Экономическая сущность финансового анализа лучше всего отражается в следующем определении: «Финансовый анализ представляет собой оценку финансово - хозяйственной деятельности фирмы в прошлом, настоящем и предполагаемом будущем».
В экономике, составным элементом которой являются финансы, анализ применяется с целью выявления сущности, закономерностей, тенденций и оценки экономических и социальных процессов, изучения финансово-хозяйственной деятельности на всех уровнях и в разных сферах воспроизводства.
С этой точки зрения цель финансового анализа - определить состояние финансового здоровья предприятия, выявить слабые места, потенциальные источники возникновения проблем при дальнейшей ее работе и обнаружить сильные стороны, на которые предприятие может сделать ставку.
Цели финансового анализа достигаются в результате решения определенного взаимосвязанного набора аналитических задач. Аналитическая задача представляет собой конкретизацию целей анализа с учетом организационных и информационных возможностей проведения анализа.
Если рассматривать финансовый анализ как процесс оценки финансового состояния предприятия на основе изучения его бухгалтерской отчетности, то в качестве его основных целей мы можем выделить следующие:
1) Отслеживание текущего состояния предприятия;
2) Анализ способности предприятия финансировать инвестиционные проекты;
3) Анализ способности возврата кредитов;
4) Предупреждение банкротства;
5) Формирование прогнозов финансовой деятельности предприятия;
6) Оценка стоимости предприятия при его продаже или слиянии;
7) Отслеживание динамики финансового состояния.
При оценке финансового положения предприятия к помощи финансового анализа прибегают различные экономические субъекты, заинтересованные в получении наиболее полной информации о его деятельности. К ним относятся:
1) Внутренние – менеджмент, акционеры, учредители, ликвидационная или ревизионная комиссия.
2) Внешние – госорганы, кредиторы, инвесторы, аудиторы.
Целью финансового анализа, инициатива которого не принадлежит предприятию, могут быть определение и оценка кредитоспособности и инвестиционных возможностей предприятия. Так, представителя банка может заинтересовать вопрос о ликвидности или платежеспособности предприятия. Потенциальный инвестор хочет знать, насколько рентабельно предприятие и какова степень риска потери вклада при его инвестировании. Существует методика, позволяющая при помощи финансово-отчетной документации и анализа различных финансовых показателей спрогнозировать возможность банкротства предприятия или же убедиться в его стабильности.
Финансовый анализ является частью общего экономического анализа организации, а также частью общего, полного анализа хозяйственной деятельности, который состоит из двух тесно взаимосвязанных разделов: внешнего финансового анализа и внутрихозяйственного управленческого анализа. Приблизительная схема финансового анализа выглядит следующим образом (см. рисунок 1.1).

Рисунок 1.1 - Приблизительная схема финансового анализа [10]
Разделение анализа на финансовый и управленческий обусловлено сложившимся на практике разделением системы бухгалтерского учета в масштабе предприятия на финансовый учет и управленческий учет. Такое разделение несколько условно, потому что внутренний анализ может рассматриваться как продолжение внешнего анализа, и наоборот. В интересах дела оба вида анализа дополняют друг друга информацией.
Внутренний финансовый анализ - анализ, который необходим для удовлетворения собственных потребностей предприятия, направлен на определение ликвидности фирмы или на строгую оценку ее результатов в последнем отчетном периоде, в том случае, например, когда руководство фирмы и ее финансовый аналитик хотят знать, может ли предприятие позволить себе выделение средств на планируемую производственную экспансию (расширение производства), и как отразятся на нем дополнительные расходы.
Внешний финансовый анализ проводится аналитиками, являющимися посторонними лицами для предприятия и потому не имеющими доступа к внутренней информационной базе предприятия.
Основных различий между ними два:
1. Широта и доступность привлекаемого информационного обеспечения;
2. Степень формализованности аналитических процедур и алгоритмов.
В рамках внутреннего анализа возможно привлечение практически любой необходимой информации, в том числе не являющейся общедоступной, в частности для внешних аналитиков.
Методики внешнего анализа основаны на предположении об определенной информационной ограниченности анализа.
Независимо от того, чем вызвана необходимость анализа, его приемы, в сущности, всегда одни и те же. Его главный инструмент - выведение и интерпретация различных финансовых коэффициентов. Правильное применение данных приемов позволяет ответить на многие вопросы относительно финансового здоровья предприятия.
Приступая к анализу, следует иметь в виду три основных момента:
· Необходимо составить достаточно четкую программу анализа, включая проработку макетов аналитических таблиц, алгоритмов расчета основных показателей и требуемых для их расчета и сравнительной оценки информационного и нормативного обеспечения.
· Схема анализа должна быть построена по принципу "от общего к частному".
· Любые отклонения от нормативных или плановых значений показателей, даже если они имеют позитивный характер, должны тщательно анализироваться.
В процессе комплексного финансового анализа определяется потенциал коммерческой организации. Выделяют две стороны экономического потенциала: имущественное положение коммерческой организации и ее финансовое положение.
Имущественное положение характеризуется величиной, составом и состоянием долгосрочных активов, которыми владеет и распоряжается коммерческая организация для достижения своей цели.
Финансовое положение может быть охарактеризовано как на краткосрочную, так и на долгосрочную перспективу. В первом случае говорят о ликвидности и платежеспособности коммерческой организации, во втором случае - о ее финансовой устойчивости.
Обе стороны экономического потенциала коммерческой организации взаимосвязаны.
Аналитические расчеты выполняются либо в рамках экспресс-анализа, либо углубленного анализа.
Цель экспресс-анализа - наглядная и несложная по времени и трудоемкости реализации алгоритмов, оценка финансового благополучия и динамики развития коммерческой организации.
Углубленный анализ конкретизирует, расширяет или дополняет отдельные процедуры экспресс-анализа.
Подавляющая часть коэффициентов рассчитывается по данным баланса и отчета о прибылях и убытках; причем расчет может выполняться либо непосредственно по данным отчетности, либо при помощи уплотненного баланса.
Итак, финансовый анализ дает возможность оценить [35]:
- имущественное состояние предприятия;
- степень предпринимательского риска;
- достаточность капитала для текущей деятельности и долгосрочных инвестиций;
- потребность в дополнительных источниках финансирования;
- способность к наращиванию капитала;
- рациональность привлечения заемных средств;
- обоснованность политики распределения и использования прибыли.
Финансовый анализ деятельности предприятия включает [33]:
- анализ финансового состояния;
- анализ финансовой устойчивости;
- анализ финансовых коэффициентов:
- анализ ликвидности баланса;
- анализ финансовых результатов, коэффициентов рентабельности и деловой активности.
Жизнь предприятия составляют постоянно меняющиеся ситуации и сложные проблемы. Для организации надежного финансового управления необходимо разбираться в реальном движении дел на предприятии, знать, чем оно занимается, владеть информацией о его рынках, клиентах, поставщиках, конкурентах, качестве продуктов его деятельности, дальнейших целях и т.д. Одним из средств координации работы предприятия и контроля за его фондами является финансовый анализ. Он позволяет ответить на многие вопросы относительно движения средств в фирме, качества управления ими и положения на рынке, которое приобретает фирма в результате своей деятельности.
Таким образом, финансовый анализ для управленческого персонала предприятий, финансово-бухгалтерских работников и специалистов-аналитиков – это важнейший инструмент определения финансового состояния предприятия, выявления резервов роста рентабельности, улучшения всей финансово-хозяйственной деятельности и повышения ее эффективности. Он служит исходной отправной точкой прогнозирования, планирования и управления экономическими объектами.
1.2
Виды финансового анализа
По содержанию процесса управления выделяют:
- перспективный (прогнозный, предварительный) анализ,
- оперативный анализ,
- текущий (ретроспективный)
- анализ по итогам деятельности за тот или иной период.
Текущий (ретроспективный) анализ базируется на бухгалтерской и статической отчётности и позволяет оценить работу объединений, предприятий и их подразделений за месяц, квартал и год нарастающим итогом.
Главная задача текущего анализа – объективная оценка результатов коммерческой деятельности, комплексное выявление имеющихся резервов, мобилизация их, достижение полного соответствия материального и морального стимулирования по результатам труда и качеству работы.
Рисунок 1.2 - Классификация видов финансового анализа [4]
Текущий анализ осуществляется во время подведения итогов хозяйственной деятельности, результаты используются для решения проблем управления.
Особенность методики текущего анализа состоит в том, что фактические результаты деятельности оцениваются в сравнении с планом и данными предшествующего аналитического периода. В этом виде анализа имеется существенный недостаток – выявленные резервы навсегда потерянные возможности роста эффективности производства, т. к. относятся к прошлому периоду.
Текущий анализ – наиболее полный анализ финансовой деятельности, вбирающий в себя результаты оперативного анализа и служащий базой перспективного анализа.
Оперативный анализ приближён во времени к моменту совершения хозяйственных операций. Он основывается на данных первичного (бухгалтерского и статического) учёта.
Оперативный анализ представляет собой систему повседневного изучения выполнения плановых заданий с целью быстрого вмешательства в процесс производства и обеспечения эффективности функционирования предприятия.
Оперативный анализ проводят обычно по следующим группам показателей [4]:
- отгрузка и реализация продукции;
- использование рабочей силы,
- использование производственного оборудования и материальных ресурсов;
- себестоимость;
- прибыль и рентабельность;
- платёжеспособность.
При оперативном анализе производится исследование натуральных показателей, в расчётах допускается относительная неточность т. к. нет завершённого процесса.
Перспективным анализом называют анализ результатов хозяйственной деятельности с целью определения их возможных значений в будущем.
Раскрывая картину будущего, перспективный анализ обеспечивает управляющему решение задач стратегического управления.
В практических методиках и исследованиях задачи перспективного анализа конкретизируются по: объектам анализа; показателям деятельности; наилучшее обоснование перспективных планов.
Перспективный анализ как разведка будущего и научно-аналитическая основа перспективного плана тесно смыкается с прогнозированием, и такой анализ называют прогнозным.
1.3
Классификация методов и приемов финансового анализа
Основу любой науки составляют ее предмет и метод.
Под методом финансового анализа понимается диалектический способ подхода к изучению финансового состояния и финансовых процессов в их становлении и развитии [34].
К характерным особенностям метода относятся: использование системы показателей, выявление и изменение взаимосвязи между ними.
В процессе финансового анализа применяется ряд специальных способов, приемов и используется определенный инструментарий.
Способы применения методов финансового анализа можно условно подразделить на две группы: традиционные и математические (количественные).
Главенствующие способы, применяемые для финансово-экономического анализа – это применение количественных методов. Их классификация может быть представлена следующим образом [34]:
· статистические методы, включающие:
- метод статистического наблюдения – запись информации по определенным принципам и с определенными целями,
- метод абсолютных и относительных показателей (коэффициентов),
- метод расчета средних величин – средних арифметических простых, взвешенных, геометрических,
- метод рядов динамики – определение абсолютного прироста, относительного прироста, темпов роста, темпов прироста,
- метод сводки и группировки экономических показателей по определенным признакам,
- метод сравнения – с конкурентами, с нормативами, в динамике,
- метод индексов – влияние факторов на сравниваемые показатели,
- метод детализации,
- графические методы.
Наиболее простой метод - сравнение, когда финансовые показатели отчетного периода сравниваются либо с плановыми показателями, либо с показателями за предыдущий период (базисными). При сравнении показателей за разные периоды необходимо добиться их сопоставимости, т.е. показатели следует пересчитать с учетом однородности составных элементов, инфляционных процессов в экономике, методов оценки и др.
Следующий метод - группировки, когда показатели сгруппировываются и сводятся в таблицы. Это дает возможность для проведения аналитических расчетов, выявления тенденций развития отдельных явлений и их взаимосвязи, факторов, влияющих на изменение показателей.
Метод цепных подстановокили элиминированиязаключается в замене отдельного отчетного показателя базисным. При этом все остальные показатели остаются неизменными. Этот метод позволяет определить влияние отдельных факторов на совокупный финансовый показатель.
· Бухгалтерские методы, включающие:
- метод двойной записи,
- метод бухгалтерского баланса,
- прочие методы.
· Экономико-математические методы, включающие:
- методы элементарной математики,
- классические методы математического анализа – дифференцирование, интегрирование, вариационное исчисление,
- методы математической статистики – изучение одномерных и многомерных статистических совокупностей,
- эконометрические методы – статистическое оценивание параметров экономических зависимостей,
- методы математического программирования – оптимизация, линейное, квадратичное и нелинейное программирование, блочное и динамическое программирование,
- методы исследования операций – теория игр, теория расписания, методы экономической кибернетики,
- эвристические методы,
- методы экономико-математического моделирования и факторного анализа.
Наиболее часто при проведении финансового анализа применяют статистические и бухгалтерские методы. В последнее время широкое распространение получило проведение факторного анализа финансово-экономических показателей предприятия, основанного на применении экономико-математических методов.
Многие математические методы: корреляционный анализ, регрессивный анализ, и другие вошли в круг аналитических разработок значительно позже.
Методы экономической кибернетики и оптимального программирования, экономические методы, методы исследования операций и теории принятия решения могут найти непосредственное применение в рамках финансового анализа (см. рисунок 1.3).
К традиционным методам относятся основные методы анализа финансовой отчётности:
- горизонтальный анализ,
- вертикальный анализ,
- трендовый,
- метод финансовых коэффициентов,
- сравнительный анализ,
- факторный анализ.
Горизонтальный (временный) анализ – сравнение каждой позиции отчетности за текущий период с предыдущим периодом.
Вертикальный (структурный) анализ – определение структуры итоговых финансовых показателей с выявлением влияния каждой позиции отчётности на результат в целом.
Трендовый анализ – сравнение каждой позиции отчётности с рядом предшествующих периодов и определение тренда. С помощью тренда формируются возможные значения показателей в будущем, а, следовательно, ведется перспективный анализ.
Анализ относительных показателей (коэффициентов) - расчет отношений между отдельными позициями отчета или позициями разных форм отчетности, определение взаимосвязи показателей.
Сравнительный анализ - это и внутрихозяйственный анализ сводных показателей подразделений, цехов, дочерних фирм и т. п., и межхозяйственный анализ предприятия в сравнении с данными конкурентов, со среднеотраслевыми и средними общеэкономическими данными.
Факторный анализ - анализ влияния и отдельных факторов (причин) на результативный показатель с помощью детерминированных, и стохастических приёмов исследования. Факторный анализ может быть как прямым, так и обратным.
В качестве инструментария для финансового анализа широко используются финансовые коэффициенты - относительные показатели финансового состояния предприятия, которые выражают отношения одних абсолютных финансовых показателей к другим. Финансовые коэффициенты используются для сравнения показателей финансового состояния конкретного предприятия с аналогичными показателями других предприятий или среднеотраслевыми показателями; для выявления динамики развития показателей и тенденций изменения финансового состояния предприятия; для определения нормальных ограничений и критериев различных сторон финансового состояния. Такими критериями являются: коэффициент текущей ликвидности, коэффициент обеспеченности собственными средствами, коэффициент восстановления (утраты) платежеспособности. Определены их нормальные ограничения, т.е. предельные размеры. Финансовый анализ предприятия выполняется с использованием определенных алгоритмов и формул.
Все вышеперечисленные методы анализа относятся к формализованным методам анализа. Однако существуют и неформализованные методы: экспертных оценок, сценариев, психологические, морфологические и т. п., они основаны на описании аналитических процедур на логическом уровне. В настоящее время практически невозможно обособить приемы и методы какой-либо науки как присущие исключительно ей. Так и в финансовом анализе применяются различные методы и приёмы, ранее не используемые в нем.
Однако, несмотря на многообразие методов финансового анализа (см. рисунок 1.3), процесс финансового анализа осуществляется исходя из общих принципов, применение которых является важной предпосылкой обеспечения его высокого уровня.
| методы финансового анализа
|
|
 |
Рисунок 1.3 - Классификация методов финансового анализа
Общими принципами финансового анализа являются [7]:
- последовательность;
- комплексность;
- сравнение показателей;
- использование научного аппарата (инструментария);
- системность
Последовательность анализа предполагает использование двух приемов: дедуктивного и индуктивного.
Дедукция – один из принципов анализа, означающий последовательность его проведения от общего к частному. В процессе анализа последовательно выявляются сначала общие показатели, затем частные.
Индукция – принцип анализа, означающий последовательность его проведения от частного к общему, от причин к следствию.
Комплексность анализа предполагает выполнение финансового анализа во взаимосвязи всех финансовых процессов (комплексный анализ).
Сравнение показателей – способ изучения динамики финансовых показателей. Сравнение позволяет дать оценку любому финансовому показателю за фактический (отчетный) период по отношению к базисному периоду или другому предприятию, или совокупность предприятий.
Однако следует отметить, что не все из перечисленных методов экономического анализа могут найти применение во всех случаях финансового анализа, поскольку их применение во многом зависит от аналитика.
1.4
Система показателей, характеризующих финансовое состояние предприятия
Финансовая деятельность - это рабочий язык бизнеса, и практически невозможно анализировать операции или результаты работы предприятия иначе, чем через финансовые показатели.
Финансовые показатели характеризуют пропорции между различными статьями отчетности. Достоинствами финансовых коэффициентов являются простота расчетов и элиминирования влияния инфляции.
Считается, что если уровень фактических финансовых коэффициентов хуже базы сравнения, то это указывает на наиболее болезненные места в деятельности предприятия, нуждающиеся в дополнительном анализе. Правда, дополнительный анализ может не подтвердить негативную оценку в силу специфичности конкретных условий и особенностей деловой политики предприятия. Финансовые коэффициенты не улавливают различий в методах бухгалтерского учёта, не отражают качества составляющих компонентов. Наконец, они имеют статичный характер. Необходимо понимать ограничения, которые накладывают их использование, и относятся к ним как к инструменту анализа.
Для финансового менеджера финансовые коэффициенты имеют особое значение, поскольку являются основой для оценки его деятельности внешними пользователями отчётности, акционерами и кредиторами. Целевые ориентиры проводимого финансового анализа зависят от того, кто его проводит: управляющие, налоговые органы, владельцы (акционеры) предприятия или его кредиторы.
Налоговому органу важен ответ на вопрос способно ли предприятие к уплате налогов. Поэтому с точки зрения налоговых органов финансовое положение характеризируется следующими показателями:
– балансовая прибыль;
– рентабельность активов:
R
a = Пб/Аср, (1.1)
где Пб - = балансовая прибыль;
Аср стоимость активов;
– рентабельность реализации:
Rр
= Пб
/ В, (1.2)
где Пб - балансовая прибыль;
В – выручка от реализации;
– балансовая прибыль на 1 рубль средств на оплату труда.
Исходя из этих показателей, налоговые органы могут определить и поступление платежей в бюджет на перспективу.
Банки должны получить ответ на вопрос о платёжеспособности предприятия, то есть о его готовности возвращать заемные средства, ликвидации его активов.
Управляющие предприятием главным образом интересуются эффективностью использования ресурсов и прибыльностью предприятия.
Анализ финансово-хозяйственного состояния предприятия можно подразделить на три основные составляющие:
· Оценка имущественного положения организации
· Оценка финансового положения организации
· Оценка результативности финансово-хозяйственной деятельности организации.
Необходимо отметить, что эти составные части тесно взаимосвязаны межу собой и их дифференциация необходима лишь для более четкого разделения и понимания выводов по аналитическим процедурам анализа финансово-хозяйственной деятельности организации в целом.
Оценка имущественного положения складывается из следующих компонентов:
- Анализа интегрированного уплотненного баланса – нетто
- Оценки динамики имущества
- Анализа формализованных показателей имущественного положения
К показателям имущественного положения относятся [17]:
1. «Сумма хозяйственных средств, находящихся в распоряжении предприятий» – это показатель обобщенной стоимости оценки активов, числящихся на балансе предприятия.
2. «Доля активной части основных средств». Согласно нормативным документам под активной частью основных средств понимаются машины, оборудование и транспортные средства. Рост этого показателя оценивается положительно.
3. «Коэффициент износа» – обычно используется в анализе как характеристика состояния основных фондов. Дополнением этого показателя до 100% (или единицы) является «коэффициент годности».
4. «Коэффициент обновления» – показывает, какую часть от имеющихся на конец отчётного периода основных средств составляют новые основные средства.
5. «Коэффициент выбытия» – показывает, какая часть основных средств выбыла из-за ветхости и по другим причинам.
Анализ интегрированного уплотненного баланса – нетто основывается на построении упрощенной модели баланса, в которой интегрируются абсолютные и относительные (структурные) показатели статей. Этим достигается интеграция «горизонтального» и «вертикального» анализа баланса, что позволяет более полно проследить динамику по статьям баланса. Многие специалисты предлагают проводить «вертикальный» и «горизонтальный» анализ обособленно. Однако некоторые из них признают целесообразность проведения и такого интегрированного анализа статей баланса.
При оценке динамики имущества прослеживается состояние всего имущества в составе иммобилизованных активов (I раздел баланса) и мобильных активов (II раздел баланса - запасы, дебиторская задолженность, прочие оборотные активы) на начало и конец анализируемого периода, а также структура их прироста (снижения).
Оценка финансового положения состоит из двух основных составляющих:
· Анализ ликвидности и платежеспособности фирмы
· Анализ финансовой устойчивости.
Для оценки ликвидности и платежеспособности фирмы применяют следующие показатели [17]:
1. «Величина собственных оборотных средств» – характеризирует ту часть собственного капитала предприятия, которая является источником покрытия текущих активов. Величина собственных оборотных средств численно равна превышению текущих активов над текущими обязательствами.
2. «Манёвренность функционирующего капитала» – характеризирует ту часть собственных оборотных средств, которая находится в форме денежных средств. Для нормального функционирования предприятия этот показатель меняется в пределах от 0 до 1.
3. «Коэффициент покрытия» (общий) – даёт общую оценку ликвидности активов, показывая, сколько рублей текущих активов предприятия приходится на один рубль текущих обязательств, это рассматривается как успешно функционирующее.
4. «Коэффициент быстрой ликвидности» по смыслу аналогичен «коэффициенту покрытия», однако из расчёта исключены производственные запасы. В западной литературе он ориентировочно принимается ниже 1, но это условно.
5. «Коэффициент абсолютной ликвидности» (платёжеспособности) – показывает, какая часть краткосрочных заемных обязательств может быть погашена немедленно.
6. В международной практике считается, что значение его должно быть больше или равным 0,2 – 0,25
7. «Доля собственных оборотных средств в покрытии запасов» – характеризирует ту часть стоимости запасов, которая покрывается собственными оборотными средствами, рекомендуется нижняя граница 50%.
8. «Коэффициент покрытия запасов» – рассчитывается соотношением величин «нормальных» источников покрытия запасов, и суммы запасов. Если значение показателя < 1, то текущее финансовое состояние неустойчивое.
Для оценки финансовой устойчивости фирмы применяют следующие показатели [17]:
1. «Коэффициент концентрации собственного капитала» – характеризирует долю владельцев предприятия в общей сумме средств, авансированных в его деятельность. Чем выше значение этого коэффициента, тем более финансово устойчиво предприятие.
2. «Коэффициент финансовой зависимости» – является обратным к коэффициенту концентрации собственного капитала. Рост этого показателя в динамике означает заемных средств.
3. «Коэффициент манёвренности собственного капитала» – показывает, какая часть собственного капитала используется для финансирования текущей деятельности, т. е. вложена в оборотные средства.
4. «Коэффициент структуры долгосрочных вложений» – коэффициент показывает, какая часть основных средств и прочих вне оборотных активов профинансирована внешними инвесторами.
5. «Коэффициент долгосрочного привлечения заёмных средств» – характеризирует структуру капитала. Чем выше показатель в динамике, тем сильнее предприятие зависит от внешних инвесторов.
6. «Коэффициент отношения собственных и привлечённых средств» – он даёт общую оценку финансовой устойчивости предприятия. Рост показателя свидетельствует об усилении зависимости от внешних инвесторов.
Нужно сказать, что единых нормативных критериев для рассмотренных показателей не существует. Они зависят от многих факторов: отраслевой принадлежности, принципов кредитования, сложившейся структуры источников средств и др.
Поэтому приемлемость значений этих показателей лучше составлять по группам родственных предприятий. Единственное правило, которое «работает» - владельцы предприятия (инвесторы и другие лица, сделавшие взносы в уставной капитал) предпочитают разумный рост в динамике заемных средств, а кредиторы отдают предпочтение предприятиям с высокой долей собственного капитала, с большей финансовой автономностью.
Анализ деловой активностихарактеризует результаты и эффективность текущей основной производственной деятельности фирмы. К обобщающим показателям оценки эффективности использования ресурсов предприятия и динамичности его развития относятся следующие показатели:
- «Ресурсоотдача (коэффициент оборачиваемости авансированного капитала)» – характеризует объём реализованной продукции на рубль средств, вложенных в деятельность предприятия.
- «Коэффициент устойчивости экономического роста» – показывает, какими в среднем темпами может развиваться предприятие.
Качественными критериями для анализа деловой активности являются: широта рынков сбыта продукции, репутация предприятия и т. п. Количественная оценка даётся по двум направлениям:
- степень выполнения плана по основным показателям, обеспечение заданных темпов их роста;
- уровень эффективности использования ресурсов предприятия.
В частности, оптимально следующее соотношение [24]:
Тнб > Тр > Так > 100%, (1.3)
где Тнб, Тр, Так, – соответственно темп изменения финансовой прибыли, реализации, авансированного капитала.
Эта зависимость означает, что:
а) экономический потенциал возрастает;
б) объём реализации возрастает более высокими темпами;
в) прибыль возрастает опережающими темпами.
Это - «золотое правило экономики предприятия».
Важнейшей частью общего анализа финансово-хозяйственной деятельности предприятия является анализ рентабельности. К основным показателям этого блока, относятся рентабельность авансированного капитала и рентабельность собственного капитала. Могут быть рассчитаны и другие аналогичные показатели.
Анализ финансового состояния предприятий осуществляется в основном по данным годовой и квартальной бухгалтерской отчётности и в первую очередь по данным бухгалтерского баланса.
Анализ финансового состояния предприятия заканчивают комплексной его оценкой. При анализе финансового состояния своего предприятия после комплексной оценки разрабатывают мероприятия по улучшению финансового состояния, обращая особое внимание на разработку финансовой стратегии предприятия на перспективу и в ближайшие периоды.
Таким образом, в этой главе были рассмотрены теоретические основы финансового анализа, то есть виды, приёмы и методы финансового анализа, методика анализа финансового состояния, то есть основные показатели оценки финансового состояния, их структура и коэффициенты их определяющие, а также факторы, от которых зависят данные показатели.
2. Финансовый анализ деятельности предприятия
2.1 Характеристика предприятия ООО «ЧелябинскМАЗсервис»
Объектом исследования данного дипломного проекта является общество с ограниченной ответственностью «ЧелябинскМазсервис».
ООО «ЧелябинскМАЗсервис» - официальный дилер минского автозавода в Южно-Уральском регионе.
Товарооборот Белоруссии и Челябинской области растет ежегодно. Серьезной составляющей белорусского экспорта являются грузовые автомобили, тракторы, комплектующие и узлы крупнейших производителей республики ММЗ, МЗКТ, МТЗ, и, конечно, легендарного МАЗа. Поставку минских машин осуществляет одно из самых известных предприятий Челябинской области - совместное российско-белорусское предприятие "ЧелябинскМАЗсервис". Именно совместная работа государственных органов и деловой элиты позволяет достигать поистине впечатляющих результатов, и вносит свой немалый вклад в развитие торгово-экономического сотрудничества между Челябинском и Минском, а также России и Белоруссии в целом.
В ходе недавнего рабочего визита в Челябинск Правительственная делегация Республики Беларусь во главе с премьер-министром Сергеем Сидорским посетила выставочный павильон СП "ЧелябинскМАЗсервис", успешно торгующего всей номенклатурой минской техники.
Закрепленная территория ответственности совместного предприятия - Челябинская, Оренбургская, Курганская области. Но рынок челябинского дилера практически необъятен: напряженный трафик федеральной трассы, близость Казахстана позволили открыть на транспортных магистралях два магазина и производственные базы, создать филиалы в Магнитгорске и Екатеринбурге. Для оперативного реагирования и возможности комбинаторных поставок все филиалы объединены системой компьютерной связи. Работа в режиме он-лайн делает возможной незамедлительную доставку заказчику необходимого оборудования, запчастей, техники. Строя долгосрочные отношения с минскими партнерами, челябинцы значительные средства вкладывают в оборудование, оснастку, обучение персонала.
Кроме того, "ЧелябинскМАЗсервис" способен решать задачи любого уровня, работая с лизинговыми компаниями, банками, государственными структурами.
В результате проведенных официальной белорусской делегацией встреч, в том числе и на самом высоком областном уровне, намечены программы конкретных действий в интересах дальнейшего сотрудничества в сельском хозяйстве, в обеспечении технического сопровождения поставляемой техники, создании регионального склада запчастей, в развитии товаропроводящей сети для эффективного гарантийного и сервисного обслуживания белорусской техники в регионе.
Российско-белорусские отношения находятся сейчас на ответственном этапе создания крупных заделов для выхода на качественно новый уровень. Ведь история, настоящее, а главное будущее отношений между народами, - процесс непрерывного сближения. И подтверждением этого очевидного факта является активное и действенное участие в экономической интеграции двух стран крупнейших представителей деловых кругов, таких, как "ЧелябинскМАЗсервис".
Общество с ограниченной ответственностью «ЧелябинскМазсервис» (далее по тексту ООО «ЧелябинскМАЗсервис») является частным коммерческим предприятием и осуществляет свою деятельность в соответствии с Уставом предприятия, Конституцией РФ и действующим законодательством РФ.
Общество с ограниченной ответственностью «ЧелябинскМАЗсервис» (далее по тексту ООО «ЧелябинскМАЗсервис»), именуемое в дальнейшем «Общество», учреждено 30 января 2002 года на основании Гражданского кодекса Российской Федерации, Федерального закона «Об обществах с ограниченной ответственностью» и учредительного договора решением собрания учредителей, Федеральным Законом «Об иностранных инвестициях в Российской Федерации».
Общество является юридическим лицом и осуществляет свою деятельность на основании законодательства, действующего на территории Российской Федерации, учредительного договора и устава Общества.
Общество является хозяйственным обществом, уставный капитал которого разделен на доли определенных учредительными документами размеров.
Полное фирменное наименование Общества на русском языке - «Общество с ограниченной ответственностью «ЧелябинскМАЗсервис». Сокращенное фирменное наименование Общества на русском языке - ООО «ЧелябинскМАЗсервис». Общество имеет полное фирменное наименование на белорусском языке:
«Таварыства з абмежаванай адказнасццю «ЧалябинскМАЗсэрвю».
Сокращенное фирменное наименование на белорусском языке:
ТАА «ЧалябинскМАЗсэрвю».
Место нахождения Общества:
Российская Федерация,454010, г. Челябинск, ул. Енисейская, дом 37
Почтовый адрес Общества:
Российская Федерация, Челябинск, 454010, ул. Енисейская,37.
Общество обладает полной хозяйственной самостоятельностью, обособленным имуществом, имеет самостоятельный баланс, расчетный и иные, в том числе валютный, счета от своего имени самостоятельно выступает участником гражданского оборота, приобретает и осуществляет имущественные и личные неимущественные права, несет обязанности, может выступать в качестве истца или ответчика в суде, арбитражном или третейском суде.
Общество является коммерческой организацией, преследующей в качестве основной цели своей предпринимательской деятельности извлечение прибыли.
Основными видами деятельности общества являются:
• оптовая, комиссионная и розничная торговля транспортными средствами, а также всеми комплектующими к транспортным средствам, включая номерные агрегаты;
• оптовая, комиссионная и розничная торговля автотракторной техникой, узлами и агрегатами, в том числе номерными узлами, оформление справок-счетов к ним и ведение специальных журналов;
• автосервис, ремонт автотранспорта, дорожно-строительной и специальной техники;
• предпродажная подготовка, диагностирование, техническое и гарантийное обслуживание автомашин;
• производство запчастей к транспортным средствам;
• производство резинотехнических изделий;
• конструкторские работы;
• оптовая и розничная торговля горюче-смазочными материалами, нефтепродуктами, продуктами нефтепереработки.
ООО «ЧелябинскМАЗсервис» является официальным представителем Минского автозавода в Челябинске.
Производственное республиканское унитарное предприятие «Минский автомобильный завод» – это крупнейшее государственное предприятие Республики Беларусь по выпуску большегрузной автомобильной, а также автобусной, троллейбусной и прицепной техники.
2.2 Продукция компании ООО «ЧелябинскМАЗсервис
Торговая марка МАЗ вот уже почти 60 лет широко известна на просторах СНГ и за рубежом. Автомобили МАЗ хорошо зарекомендовали себя в работе в районах Крайнего Севера, пустынях Каракумов и Сахары, в тропиках Африки, Юго-Восточной Азии и Америки, на Ближнем и Среднем Востоке, горах Латинской Америки.
Гамма выпускаемых автомобилей включает седельные тягачи, бортовые, среднетоннажные низкорамные автомобили, самосвалы, лесовозы, автомобили повышенной проходимости, автомобили-шасси под комплектацию всевозможного спецоборудования и установок. Колесные формулы вышеперечисленной автотехники представлены вариантами: 4х2, 4х4, 6х4, 6х6. Всего МАЗ выпускает более 250 модификаций автомобилей, свыше 60 модификаций прицепной техники, более 50 модификаций автобусов. В автомобилях МАЗ воплотились современные конструкторские решения, передовые отечественные и зарубежные технологии, позволившие получить максимально возможные грузовместимость и грузоподъемность при минимальных значениях снаряженных масс транспортных средств, высокую среднетехническую скорость, удобство и низкую трудоемкость технического обслуживания, топливную экономичность, проходимость, надежность в сочетании с минимальными эксплуатационными затратами.
Минский автомобильный завод производит и прицепной состав. Это позволяет поставлять тягачи, полностью унифицированные с полуприцепами, а бортовые автомобили – с прицепами. Прицепная техника (одно-, двух-, трехосная) может быть оборудована тентованными, жесткими и изотермическими кузовами; прицепы-шасси применяются под установку различного спецоборудования. Налажено производство прицепов к самосвалам с двусторонней разгрузкой.
В настоящее время большегрузные автомобили МАЗ – это автомобили, соответствующие требованиям Евро-2 и Евро-3. Это новое поколение автомобилей, в которых воплотились наиболее современные, прогрессивные конструкторские решения, позволившие получить новые потребительские качества грузовиков.
Минский автозавод ежегодно поставляет потребителям более 16 000 автомобилей, 4 000 прицепов и полуприцепов, более 500 автобусов.
Продукция Минского автозавода представлена следующим товаром (рис. 2.1, 2.2, 2.3, 2.4, 2.5, 2.6, 2.7):

Рисунок 2.1 - Фронтальный погрузчик "Амкодор 333В" одноковшовый колесный ТО-18Б3. Двигатель Д-260.2 Минский. Грузоподъемность 3,4 т, ковш 1,9 м3
, высота погрузчик 2,9 м. Цена 1812 000 р.

Рисунок 2.2 - Автомобиль МАЗ-437040 с изотермическим фургоном; 30 м3

Рисунок 2.3 - Автокраны Ульяновец МКТ-25.8 на базе МАЗ-630303. Грузоподъемность 25 т, длина стрелы 21,7 м, 3-секционный, 6х4, радиус поворота 13 м

Рисунок 2.4 - Крано-манипуляторная установка Palfinger PK 10000A, на базе МАЗ-533603-220. Максимальный грузовой момент - 9,5 тм. Максимальный гидравлический вылет - 8,2 м. Собственная масса КМУ с аутриггерами - 1129 кг. Двигатель ЯМЗ-236БЕ2, 250 л.с., грузоподъемностью 9 т., длина платформы 5,5 м (с учетом установленной КМУ). Цена 2380 000 р.

Рисунок 2.5 - Бетоносмесители АБС-7 ДА на шасси МАЗ-630303-245. Полезный объем смесительного барабана 7 м3
, автономный привод. Редуктор Чехия, КОМЗ-Экспорт

Рисунок 2.6 - Уборно-погрузочная машина ПФС-075 БКУ. Фронтальный погрузчик ПФС-075, на базе МТЗ-82.1, двигатель Д-243, 81 л.с. Тип оборудования: щетка, поворотный уборочный отвал

Рисунок 2.7- Фронтальный погрузчик "Амкодор" одноковшовый колесный ТО-28А в наличии. Двигатель Д-260 Минский. Грузоподъемность 4 т, ковш 2,2 м3
, высота погрузчик 3,07 м, пневмотормоза. Цена 1 950 000 р.
Автобусы МАЗ
Начало производства автобусов МАЗ (МАЗ-103).
В 1992 году МАЗ приобрел лицензию на производство автобусов у германской фирмы Neoplan. Сравнение различных технологий доказали жизненность и перспективность конструкторско-технологических решений, применяемых фирмой Neoplan. После того, как минчане собрали 6 лицензионных машин, началась переработка конструкции. Надо отдать должное минчанам – сроки освоения производства автобусов на МАЗе удивили самих «неоплановцев».
Вылепливание «низкопалубника» МАЗ из низкопольного автобуса Neoplan оказалось делом нелегким. Первой моделью стал автобус МАЗ 101, отличавшийся компоновкой, имевший измененные свесы, планировку салона, панель приборов, облицовку передней части и еще кое-какие мелочи. Использовались двигатели ММЗ и Renault, однако ММЗ-Д260.5 вызывал нарекания частыми поломками. Кстати, силовой агрегат у этого автобуса находится сзади слева по ходу движения, в так называемой шахте моторного отсека. Такая схема является, пожалуй, оптимальной для низкопольных автобусов, в том числе и МАЗ. Кроме того, подобная компоновка позволяет использовать практически любой двигатель.
После того, как изготовили около четырех десятков автобусов МАЗ 101, пришла пора заменить его более совершенной машиной. Разрабатывая ее, переработали конструкцию ведущего моста, приблизив его по схеме к мосту грузового МАЗа, подняли на 80 мм пол – так появился автобус МАЗ 103, внешне являющийся двойником 101-го, вместе со своим «пригородным» братом 104-С.
Городские и пригородные автобусы МАЗ сегодня
В настоящее время филиал АМАЗ Минского автозавода производит автобусы в городском (МАЗ-103, МАЗ-104) и пригородном (МАЗ-103С, МАЗ-104С) исполнении. Различаются все они уровнем пола, расположением двигателя и планировкой салона. Из них низкопольным является лишь автобус МАЗ 103. Семейство городских автобусов пополнилось в прошлом году сочлененной машиной МАЗ 105. В модельном ряду нашлось место и для «высокопалубного» туристического автобуса МАЗ 152, происходящего от NEOPLAN 316 SHD. Выпускается он под заказ как в трех-, так и в четырехзвездочном исполнении.
Все автобусы МАЗ спроектированы в соответствии с современными требованиями директив ЕЭС и правил ЕЭК ООН. Это чуть ли не единственные автобусы, отвечающие всем жестким требованиям, действующим на территории России. Учтен лучший зарубежный опыт, в частности, машиностроителей Германии, Франции и Швеции.
Общая особенность всех автобусов МАЗ – гибкая бесштамповая технология производства кузовов. Такой подход позволяет быстро и с минимальными финансовыми затратами переходить от одной модели к другой, выпускать различные модификации в соответствии с требованиями заказчика.
Части каркаса устанавливаются на стапеле и свариваются в одну пространственную конструкцию (на «хелинге»), после чего следует рихтовка на стенде и совмещение контрольных точек. Далее следует антикоррозионная обработка – все внутренние полости труб прямоугольного сечения, из которых и сварен каркас, заполняются полимерным составом. Потом – наружный антикор, грунтовка, установка некоторых элементов. Затем каркас «надевается» на мосты. Готовый каркас обтягивается стальным листом с двусторонним цинковым покрытием и приваривается к нему точечной сваркой. Кузов автобуса дополнительно приобретает свойства напряженной конструкции, лучше противостоящей вибрациям и скручиванию.
После этого готовый кузов обрабатывается антикором, грунтуется и красится. Минчане утверждают, что технология покраски уникальна и не имеет аналогов в СНГ. Они используют полиуретановые двухкомпонентные краски, которые готовятся непосредственно перед нанесением. Процесс полимеризации происходит при нормальной температуре, то есть используется холодная сушка. Очень большая цветовая гамма автобусов.
После окраски монтируются силовой агрегат, системы управления, электрооборудование, вклеиваются окна. После проверки всего и вся готовый автобус отправляется потребителю.
Двигатели автобусов МАЗ
Автобусы МАЗ могут комплектоваться силовым агрегатом по выбору заказчика: избавившимся от детских болезней двигателем ММЗ Д260.5, ЯМЗ 236 М2/236Н, Renault MIDR 06.02.26Х/06.02.26.Y41 и MAN D 0826 LOH-07/LOH15. Все моторы – рядные шестерки, кроме ярославского двигателя – он V-образный. Он же самый большой по литражу, к тому же в безнаддувной версии проигрывает своим собратьям порядка 50 лошадиных сил.
Автобусы МАЗ могут комплектоваться шестью коробками передач, отечественными – МАЗ-306, КамАЗ-14, ЯМЗ-236П, все механические, и импортными – Renault G406.0 (механика), ZF4HP500 Ecomat и Voith Diwa2851.2 (гидромеханические автоматы). Автоматические коробки снабжены тормозом-замедлителем и работают только с импортными двигателями.
Укомплектованный минским силовым агрегатом автобус практически полностью состоит из деталей, производимых в Белоруссии и СНГ.
Низкопольные автобусы МАЗ
Одно из новых решений для городских маршрутов – длиннобазный низкопольный МАЗ-107, который относится к классу 15-метровых автобусов.Автобусы имеют интересные технические решения, ставшие нормой для Европы, но пока непривычные для России. Из всех отечественных производителей подобной техники МАЗ одним из первых начал изготовлять низкопольные машины для города. Их передняя подвеска – независимая, на поперечных рычагах с двумя пневмобаллонами.
Задний мост представляет собой жесткую балку с двойной разнесенной передачей. Она-то и не дает сделать пол абсолютно ровным, в задней части его пришлось немного поднять, из-за чего у третьей двери появилась небольшая ступенька. Кстати, конструкция пола весьма интересна – стальные соты, находящиеся между двумя слоями фанеры, пропитанной специальным составом. Это обеспечивает неплохую шумо- и виброизоляцию.Для упрощения контроля состояния тормозной системы все диагностические выводы и большая часть датчиков пневмосистемы собраны снаружи слева под панелью кузова. Блок реле и предохранителей находится на перегородке внутри пассажирского салона. Вентиляцию салона обеспечивают три люка в крыше и открывающиеся форточки.
Довольно благоприятное впечатление оставили салоны машин. Пригородный автобус МАЗ-103С внутри смотрится строже низкорамника из-за более удачного подбора цветов. Однако его двигатель прячется под полом в задней части, из-за чего пол пришлось поднимать, и наличие трех, пусть маленьких, но ступенек, портит все впечатление.
Самосвалы МАЗ
Современный модельный ряд самосвалов МАЗ состоит из двух линеек – двухосных и трехосных машин.
Двухосные самосвалы МАЗ используют шасси МАЗ-5551 с двигателем ЯМЗ-236НЕ2. Грузоподъемность стандартных двухосных самосвалов МАЗ – 10 тонн, однако они отличаются по объему кузова – малый МАЗ-555102-220 (5,4 куб.м.), большой МАЗ 555102-223 (8,2 куб.м.) и сельскохозяйственный МАЗ 555102 -225 с разгрузкой на три стороны.
Линейка трехосных самосвалов МАЗ базируется на шасси 5516 грузоподъемностью 20 тонн. Грузоподъемность ограничена не конструктивными особенностями шасси, и допустимыми для дорог общего пользования нагрузками на ось. В 2006 году МАЗ выпустил новые модели 551608 и 551605.
Самосвал МАЗ-551608 отличается повышенной мощностью двигателя ЯМЗ-7511 (400 л.с.) и объемом кузова в 22 куб.м.
Самосвал МАЗ-551605 выпускается с двумя модификациями кабины (МАЗ-551605-280 – со спальным местом, МАЗ-551605-271 – стандартная без спального места) и с кузовами объемом 10,5, 12,5 и 15,4 куб.м. Также есть сельскохозяйственный вариант с разгрузкой на 3 стороны (модификация МАЗ-551605-225)
Основным элементом рам автомобиля семейства МАЗ-6422 является лонжерон с толщиной стенки 8 мм. На автомобилях МАЗ-551605 и МАЗ-651705 применяется рама с двойным лонжероном, состоящим из основного лонжерона толщиной 8 мм и внутреннего вкладыша толщиной 6 мм, точно повторяющего профиль основного элемента. Наличие двойного лонжерона на новых самосвалах – основное отличие от серийных автомобилей, которые производились ранее. Это позволяет значительно увеличить прочность рамы и, следовательно, надежность автомобиля, особенно при его работе в плохих дорожных условиях и карьерах. Также в современных самосвалах применяются шпилечные колеса, что повышает скорость ремонта и надежность конструкции. Еще одна новинка в самосвалах МАЗ – КПП производства Китая. Надежность ее отвечает всем современным требованиям.
Самосвальные прицепы
С самосвалами МАЗ рекомендуется использовать самосвальные прицепы МАЗ-8561 (для линейки МАЗ-5516) и МАЗ-8571 (для линейки МАЗ-5551). Обычно прицепы используют для модификаций с трехсторонней разгрузкой (сельскохозяйственные самосвалы), однако их возможно использовать и с самосвалами с задней разгрузкой, но при этом разгрузка проводится в два этапа – сначала выгружается прицеп, потом он отцепляется и выгружается самосвал. Это снижает скорость разгрузки, поэтому может рекомендоваться только на дальних маршрутах.
Вся линейка самосвалов МАЗ доступна как на площадках «ЧелябинскМАЗсервис», так и под заказ. Возможно дооборудование самосвалов любым оборудованием на крупнейшем техцентре МАЗ.
Ремонт МАЗ
Техцентр «МАЗ» - станция технического обслуживания и ремонта автомобилей и автобусов МАЗ, оборудованная по последнему слову техники, не имеющая себе равных в России, странах СНГ и восточной Европы. При проектировании этой станции специалисты компании учли весь свой богатейший опыт по ремонту МАЗ, приобретенный за долгие годы работы. Очень важно и то, что своим опытом и технологиями при строительстве и проектировании техцентра МАЗ охотно делились партнеры – РУП «МАЗ» и ОАО «Автодизель».
На трех тысячах квадратных метров рабочей площади могут одновременно обслуживаться до 50 автомобилей МАЗ! Оборудование станции позволяет производить ремонт длинномерных сцепов и автобусов МАЗ. Высочайшая квалификация специалистов позволяет осуществлять не только все виды ТО и ремонта автомобилей МАЗ, но и использовать станцию как тестовый полигон, проводя доработку узлов и агрегатов.
Ремонт двигателей МАЗ станция проводит как официальная станция гарантийного обслуживания заводов РУП «МАЗ» и Ярославского ОАО «Автодизель». Все работы по ремонту двигателей МАЗ проводятся в соответствии с регламентами заводов-изготовителей и с использованием исключительно оригинальных запасных частей, что обеспечивает высокое качество и надежность ремонта. Постоянное наличие склада запасных частей для ремонта к двигателям и коробкам передач МАЗ существенно сокращает время ремонта.
Также техцентр проводит гарантийный и заявочный ремонт коробок передач для МАЗ - ЯМЗ-236, ЯМЗ-238 и ЯМЗ-239, включая полную переборку.
Обслуживание в техцентре МАЗ
Техцентр «МАЗ» – это станция европейского уровня обслуживания, где все просчитано до мелочей. Минимальные сроки ремонта автомобилей МАЗ позволяют заказчикам резко сократить время простоя автомобиля, а комнаты ожидания для водителей отличаются высоким комфортом. Уникальная система газового отопления позволяет производить ремонт любой сложности даже в самые лютые морозы, находясь в ремонтном ангаре в обыкновенной футболке. Основным критерием при проектировании станции являлось сочетание оптимального решения рабочего пространства и создание комфортабельных зон ожидания для клиентов.
Седельные тягачи МАЗ
Седельные тягачи МАЗ сейчас выпускаются в нескольких модификациях. Это «легкие» двухосные тягачи серий 5432 и 54408 и трехосные тягачи МАЗ серий 6422 и 643008. Все седельные тягачи МАЗ соответствуют экологическим нормам Евро-2, а модели МАЗ-544069-320 с двигателями MAN – экологическим нормам Евро-3.Вместе с тем в линейке седельных тягачей есть и полноприводные тягачи с колесной формулой 6х6 серии МАЗ-6425.
Седельные тягачи МАЗ с колесной формулой 4х2
Классические тягачи колесной формулы 4х2 серии 5432 с допустимой полной массой автопоезда до 44000 кг. оборудуются двигателями ЯМЗ-236НЕ2 (с кабиной без спального места) и ЯМЗ-238НЕ2 с кабиной со спальным местом. Основные используемые полуприцепы МАЗ-938020, МАЗ-975800 или МАЗ-975830, МАЗ-957100.
Новые модификации двухосных тягачей МАЗ-54408 укомплектованы современными дизельными двигателями ЯМЗ-7511 мощностью 400 л.с., КПП производства немецкой компании ZF, современной высокой кабиной с пневмоподвеской. Задняя подвеска также может быть пневматической.
Известные в мировом автомобилестроении своим высоким качеством коробки передач ZF специально адаптированы под двигатель ЯМЗ-7511.10 (Евро-2) мощностью 400 лошадиных сил. Полностью синхронизированные 16-ступенчатые коробки передач ZF 16S-1650 отличаются высокой надежностью и позволяют водителю выбрать оптимальный режим работы двигателя для конкретных дорожных условий. Это, в свою очередь, обеспечивает наиболее экономичный режим работы автомобиля. На предыдущих моделях седельных тягачей МАЗ-544008 и МАЗ-643008 устанавливалась 9-ступенчатая коробка передач МАЗ-543205 или ЯМЗ-239.
Седельные тягачи МАЗ с колесной формулой 6х4
.
Тяжелые тягачи МАЗ с колесной формулой 6х4 наиболее популярны среди автоперевозчиков для магистральных междугородних и международных перевозок.
Классическая серия тягачей МАЗ-6422 с полной массой автопоезда до 54000 кг представлена машинами с двигателями ЯМЗ-238ДЕ2 (330 л.с.) (МАЗ-642205) и ЯМЗ-7511.10 (400 л.с.) (МАЗ-642208). Вся линейка тягачей комплектуется кабиной со спальным местом. Без спального места доступна только модификация с двигателем ЯМЗ-236 без наддува.
Новый модельный ряд седельных тягачей МАЗ-643008 комплектуется шестнадцатиступенчатыми КПП фирмы ZF, мощными двигателями ЯМЗ-7511 (400 л.с.) и современными высокими кабинами с двумя спальными местами. Специальные модели седельных тягачей разрабатываются под конкретные заказы потребителей, например на МАЗ был разработан тягач для топливозаправщика ТЗА-40.
Дооборудование седельных тягачей МАЗ
Тягачи МАЗ могут быть дооборудованы автономными отопителями, топливными баками повышенной емкости, обтекателями и другим оборудованием в техцентре МАЗ. Также там проводится гарантийное обслуживание, капитальный ремонт и переоборудование седельных тягачей с заменой устаревших агрегатов.
2.3 Состав и структура предприятия
На данный момент, численность работников ООО «ЧелябинскМАЗсервис» составляет 31 человек. Состав и структура работников ООО «ЧелябинскМАЗсервис» представлена в таблице 2.1 и на схеме.
· директор – 1 человек;
· финансовый директор – 1 человек;
· бухгалтерия – 4 человека;
· главный инженер – 1 человек;
· отдел реализации автотехники – 7 человек;
· отдел реализации МТЗ (Минского тракторного завода) – 4 человека;
· участок предпродажной подготовки – 9 человек;
· заведующий складом – 1 человек;
· секретарь – 1 чел;
· водитель – 2 человека.
Таблица 2.1 - Состав и структура работников ООО «ЧелябинскМАЗсервис» в динамике с 2004 по 2006 гг.
| Категории работников |
2004 |
2005 |
2006 |
| чел. |
% |
чел. |
% |
чел. |
% |
| руководящие работники |
3 |
17,7 |
3 |
13,0 |
3 |
9,7 |
| административный персонал |
4 |
23,5 |
4 |
17,4 |
6 |
19,3 |
| производственный персонал |
5 |
29,4 |
8 |
34,8 |
11 |
35,5 |
| торговый персонал |
5 |
29,4 |
8 |
34,8 |
11 |
35,5 |
| Всего |
17 |
100 |
23 |
100 |
31 |
100 |
Управление предприятием осуществляется на основе централизованного руководства, объединяющего всех работников. Непосредственное управление предприятием осуществляет Директор, назначаемый и освобождаемый от занимаемой должности Советом Учредителей в соответствии с действующим законодательством.
Директор организует работу предприятия, управляет всей его деятельностью, осуществляет подбор, прием на работу и расстановку кадров. Отвечает за качество оказываемых услуг и осуществляемых работ. Действует от имени предприятия и представляет его во всех организациях и учреждениях. В пределах своей компетенции издает приказы и распоряжения.
Финансовые вопросы развития предприятия, касающиеся определения экономических перспектив и планирования деятельности, координации деятельности решает финансовый директор.
Главный инженер ответственен за решение технических вопросов предприятия.
Собрание учредителей устанавливает структуру управления, штатное расписание, распределение должностных обязанностей, размеры заработной платы, а также размеры надбавок и доплат к должностным окладам и порядок премирования.
Организационная структура ООО «ЧелябинскМАЗсервис» построена по линейно-функциональному принципу и отражена на рисунке 2.1.
Остановимся подробнее на характеристиках финансово-хозяйственной деятельности рассматриваемого предприятия.
Динамика основного показателя за весь период существования фирмы представлена в таблице 2.2 и на диаграмме (рисунок 2.8).
Таблица 2.2 - Динамика показателей реализации автотехники ООО «ЧелябинскМАЗсервис» за период с 2001 по 2006 гг.
| показатель |
2001 |
2002 |
2003 |
2004 |
2005 |
2006 |
Реализация
автотехники
МАЗ
|
Количество
проданных
единиц
|
160 |
175 |
190 |
240 |
292 |
603 |
сумма,
млн. р.
|
85,0 |
98,0 |
114,0 |
182,0 |
261,0 |
601,0 |

Рисунок 2.8 – Динамика продаж единиц автотехники с 2001 по 2006 гг.
Для расчета выручки от реализации в сопоставимых ценах пересчитаем полученные показатели с поправкой на коэффициент инфляции в 2004, 2005 и в 2006 году (см. Таблицу 2.3).
Таблица 2.3 - Динамика индекса-дефлятора по данным Госкомстата РФ за период с 2004 по 2007 гг. [36]
| Период |
Значение индекса дефлятора |
основание |
| 2004 |
1,133 |
Приказ Минэкономразвития РФ от 11.11.2003 № 337 |
| 2005 |
1,104 |
Приказ Минэкономразвития РФ от 09.11.2004 № 298 |
| 2006 |
1,132 |
Приказ Минэкономразвития РФ от 27.10.2005 № 277 |
| 2007 |
1,096 |
Приказ Минэкономразвития РФ от 03.11.2006 № 359 |
Выручка от реализации за 2004 год составила 182,0 млн. р., что в сопоставимых ценах с 2006 годом составит: 182000000 * 1,104 * 1,132 ≈ 227,5 млн. р.
Выручка от реализации за 2005 год составила 261,0 млн. р., что в сопоставимых ценах с 2006 годом составит: 261000000 * 1,132 ≈ 295,5 млн. р.
Выручка от реализации за 2006 год составила 601,0 млн. р.
Таким образом, динамика выручки от реализации продукции и услуг будет выглядеть следующим образом:
2004 г. – 227,5 млн. р.;
2005 г. – 295,5 млн. р.;
2006 г. – 601,0 млн. р.
Оценка и анализ экономического состояния организации
Финансовый анализ деятельности предприятия начинается с обзора основных показателей финансово-экономической деятельности. В ходе этого обзора необходимо рассмотреть следующие вопросы:
- имущественное положение предприятия на начало и конец отчетного периода;
- условия работы предприятия в отчетном периоде;
- результаты, достигнутые предприятием в отчетном периоде;
Имущественное положение предприятия характеризуется данными баланса. Сравнивая динамику итогов раздела актива баланса, можно выяснить тенденции изменения имущественного положения.
Информация об изменениях в организационной структуре управления, открытии новых видов деятельности предприятия, особенностях работы с контрагентами и т.д. обычно содержится в пояснительной записке к годовой бухгалтерской отчетности. Результативность и перспективность деятельности предприятия могут быть обобщенно оценены по данным анализа динамики прибыли, а также сравнительного анализа элементов роста средств предприятия, объемов его производственной деятельности и прибыли. Информация о недостатках в работе предприятия может непосредственно присутствовать в балансе в явном или завуалированном виде.
Экономический потенциал организации может быть охарактеризован двояко: с позиции имущественного положения предприятия и с позиции его финансового положения. Обе эти стороны финансово-хозяйственной деятельности взаимосвязаны – нерациональная структура имущества, его некачественный состав могут привести к ухудшению финансового положения и наоборот.
Уплотненный баланс ООО «ЧелябинскМАЗсервис» в динамике за три года представлен в таблице 2.4.
Таблица 2.4 - Уплотненный баланс ООО «ЧелябинскМАЗсервис» в динамике за период с 2004 по 2006 гг. (тыс. р.).
| Показатели |
Код
стр.
|
2004 год |
2005 год |
2006 год |
| начало |
конец |
начало |
конец |
начало |
конец |
| 1 |
2 |
3 |
4 |
5 |
6 |
7 |
8 |
| АКТИВ
|
| 1. Внеоборотные активы
|
| Нематериальные активы |
110 |
0 |
0 |
0 |
0 |
0 |
0 |
| Основные средства |
120 |
0 |
0 |
0 |
16683 |
16683 |
16683 |
| Незавершенное строительство |
130 |
0 |
0 |
0 |
0 |
0 |
0 |
| Долгосрочные финансовые вложения |
140 |
0 |
0 |
0 |
0 |
0 |
0 |
| Прочие внеоборотные активы |
150 |
0 |
0 |
0 |
0 |
0 |
0 |
| Итого по разделу 1 |
190 |
0 |
0 |
0 |
16683 |
16683 |
16683 |
| 2. Оборотные активы
|
| Запасы, в том числе |
210 |
0 |
16753 |
16753 |
18729 |
18729 |
24518 |
| сырье и материалы |
211 |
0 |
25 |
25 |
32 |
32 |
51 |
| готовая продукция |
214 |
0 |
16728 |
16728 |
18696 |
18696 |
24091 |
| товары отгруженные |
215 |
0 |
0 |
0 |
0 |
0 |
0 |
| расходы будущих периодов |
216 |
0 |
0 |
0 |
1 |
1 |
3 |
| прочие запасы и затраты |
373 |
| Налог на добавленную стоимость по приобретенным ценностям |
220 |
0 |
116 |
116 |
231 |
231 |
5704 |
| Дебиторская задолженность (платежи ожидаются в течение 12 месяцев) |
240 |
0 |
25453 |
25453 |
33856 |
33856 |
94195 |
| Краткосрочные финансовые вложения |
250 |
0 |
0 |
0 |
0 |
0 |
0 |
| Денежные средства |
260 |
0 |
4229 |
4229 |
20566 |
20566 |
54709 |
| Прочие оборотные активы |
270 |
0 |
0 |
0 |
175 |
175 |
1 |
| Итого по разделу 2
|
290
|
0
|
46551
|
46551
|
73557
|
73557
|
179127
|
| БАЛАНС (190+290)
|
300
|
0
|
46551
|
46551
|
73557
|
73557
|
179127
|
| ПАССИВ |
| 3. Капитал и резервы |
| Уставный капитал |
410 |
0 |
10 |
10 |
10 |
10 |
10 |
| Добавочный капитал |
420 |
0 |
0 |
0 |
0 |
0 |
0 |
| Резервный капитал |
430 |
0 |
0 |
0 |
0 |
0 |
0 |
| Нераспределенная прибыль |
470 |
0 |
18556 |
18556 |
21385 |
21385 |
28658 |
| Итого по разделу 3
|
490
|
0
|
18566
|
18566
|
21395
|
21395
|
28668
|
| 4. Долгосрочные обязательства |
| Займы и кредиты |
510 |
| Итого по разделу 4 |
590 |
| 5. Краткосрочные обязательства |
| Займы и кредиты |
610 |
0 |
15231 |
15231 |
26066 |
26066 |
22231 |
| Кредиторская задолженность |
620 |
0 |
12754 |
12754 |
26096 |
26096 |
128228 |
| Итого по разделу 5
|
690
|
0
|
27985
|
27985
|
52162
|
52162
|
150459
|
| БАЛАНС (490+590+690)
|
700
|
0
|
46551
|
46551
|
73557
|
73557
|
179127
|
Данные таблицы 2.4. свидетельствуют о положительной динамике валюты баланса за последние 3 года. Сравнивая эти показатели в сопоставимых ценах, получим следующую картину:
Валюта баланса 2004 года – 46551 тыс. р., что в сопоставимых с 2006 годом ценах равно 46551*1,104*1,132 = 58176 тыс. р.
Валюта баланса 2005 года – 73557 тыс.р., что в сопоставимых ценах с 2006 годом равно 73557 *1,132 = 83266 тыс. р.
Таким образом, динамика валюты баланса будет выглядеть следующим образом: 2004 г. – 58176 тыс. р.
2005 г. – 83266 тыс. р.
2006 г. – 179127 тыс.р.
Темп роста 2006/2005
= 179127 / 83266*100 % = 215 %
Темп роста 2005/2004
= 83266 / 58176*100 % = 143 %.
Как видно, даже в сопоставимых ценах темп роста валюты баланса существенно увеличивается. Для получения более объективной оценки баланса проведем его горизонтальный и вертикальный анализ.
Цель горизонтального и вертикального анализа финансовой отчетности, в том числе и баланса предприятия, состоит в том, чтобы наглядно представить изменения, произошедшие в основных статьях финансовой отчетности и помочь менеджерам компании принять решение в отношении того, каким образом продолжать свою деятельность.
Горизонтальный анализ заключается в построении одной или нескольких аналитических таблиц, в которых абсолютные показатели дополняются относительными темпами роста (снижения). Степень агрегированности показателей определяется аналитиком. Как правило, берутся базисные темпы роста за ряд лет (смежных периодов), что позволяет анализировать не только изменение отдельных показателей, но и прогнозировать их значения
Анализ бухгалтерского баланса производится дедуктивным методом – от общего к частному. Цель горизонтального анализа состоит в том, чтобы выявить изменения балансовых показателей за период по разделам баланса путем сопоставления данных на конец периода с началом периода и определить динамику в сумме и рассчитать процент отклонений.
Как показывает аналитическая таблица (таблица 2.5) все показатели структуры баланса за прошедший период значительно увеличились, исходя из полученной таблицы, можно сказать об увеличении валюты баланса на 23504 тыс.р. При этом внеоборотные активы не изменились, что является положительным фактором. Общая сумма оборотных активов увеличилась на 158 %, в основном за счет роста денежных средств на 486,3 %. При этом рост краткосрочных обязательств составил 186,4 % (см. Таблица 2.5).
По сравнению с предыдущей таблицей темпы роста основных статей баланса заметно увеличились. Валюта баланса увеличилась на 105570 тыс. р. Изменений в структуре внеоборотных активов не произошло, что можно расценивать как позитивную характеристику баланса. Общая сумма оборотных активов увеличилась на 243,5 %, опять же за счет прироста денежных средств на 266 %. При этом рост краткосрочных обязательств составил 288,4 %, что выше, чем показатель роста оборотных активов – на этот момент руководству фирмы следует обратить внимание. Отчасти это объясняется возросшим количеством реализованной продукции (см. табл. 2.2).
Вертикальный анализ
баланса дает представление о динамике структуры средств предприятия и их источников в виде относительных показателей. Вертикальный анализ позволяет перейти к относительным оценкам и проводить хозяйственные сравнения экономических показателей деятельности предприятий, различающихся по величине использованных ресурсов, сглаживать влияние инфляционных процессов, искажающих абсолютные показатели финансовой отчетности.
Таблица 2.5 - Аналитическая таблица горизонтального анализа баланса ООО «ЧелябинскМАЗсервис» за 2005 год, тыс. р.
| Показатели |
Код
стр.
|
2005 год |
отклонения |
| начало |
конец |
абсолют, тыс.р. |
% |
| 1 |
2 |
3 |
4 |
5 |
6 |
| АКТИВ
|
| 1. Внеоборотные активы
|
| Нематериальные активы |
110 |
0 |
0 |
0 |
0 |
| Основные средства |
120 |
0 |
16683 |
16683 |
16683 |
| Незавершенное строительство |
130 |
0 |
0 |
0 |
0 |
| Долгосрочные финансовые вложения |
140 |
0 |
0 |
0 |
0 |
| Прочие внеоборотные активы |
150 |
0 |
0 |
0 |
0 |
| Итого по разделу 1 |
190 |
0 |
16683 |
16683 |
16683 |
| 2. Оборотные активы
|
| Запасы, в том числе |
210 |
16753 |
18729 |
+1976 |
111,8 |
| сырье и материалы |
211 |
25 |
32 |
+7 |
128,0 |
| готовая продукция |
214 |
16728 |
18696 |
+1968 |
111,8 |
| товары отгруженные |
215 |
0 |
0 |
0 |
0 |
| расходы будущих периодов |
216 |
0 |
1 |
+1 |
- |
| Налог на добавленную стоимость по приобретенным ценностям |
220 |
116 |
231 |
+115 |
199,1 |
| Дебиторская задолженность (платежи ожидаются в течение 12 месяцев) |
240 |
25453 |
33856 |
+8403 |
133,0 |
| Краткосрочные финансовые вложения |
250 |
0 |
0 |
0 |
0 |
| Денежные средства |
260 |
4229 |
20566 |
+16337 |
486,3 |
| Прочие оборотные активы |
270 |
0 |
175 |
+175 |
- |
| Итого по разделу 2
|
290
|
46551
|
73557
|
+27006
|
158,0
|
| БАЛАНС (190+290)
|
300
|
46551
|
73557
|
+27006
|
158,0
|
| ПАССИВ |
| 3. Капитал и резервы |
| Уставный капитал |
410 |
10 |
10 |
0 |
100 |
| Добавочный капитал |
420 |
0 |
0 |
0 |
0 |
| Резервный капитал |
430 |
0 |
0 |
0 |
0 |
| Нераспределенная прибыль |
470 |
18556 |
21385 |
+2829 |
115,2 |
| Итого по разделу 3
|
490
|
18566
|
21395
|
+2829
|
115,2
|
| 4. Долгосрочные обязательства |
| Займы и кредиты |
510 |
| Итого по разделу 4 |
590 |
| 5. Краткосрочные обязательства |
| Займы и кредиты |
610 |
15231 |
26066 |
+10835 |
171,1 |
| Кредиторская задолженность |
620 |
12754 |
26096 |
+13342 |
204,6 |
| Итого по разделу 5
|
690
|
27985
|
52162
|
+24177
|
186,4
|
| БАЛАНС (490+590+690)
|
700
|
46551
|
73557
|
+27006
|
158,0
|
Таблица 2.6 - Аналитическая таблица горизонтального анализа баланса ООО «ЧелябинскМАЗсервис» за 2006 год, тыс. р.
| Показатели |
Код
стр.
|
2006 год |
отклонения |
| начало |
конец |
абсолют, тыс.р. |
% |
| 1 |
2 |
3 |
4 |
5 |
6 |
| АКТИВ
|
| 1. Внеоборотные активы
|
| Нематериальные активы |
110 |
0 |
0 |
| Основные средства |
120 |
16683 |
16683 |
| Незавершенное строительство |
130 |
0 |
0 |
| Долгосрочные финансовые вложения |
140 |
0 |
0 |
| Прочие внеоборотные активы |
150 |
0 |
0 |
| Итого по разделу 1 |
190 |
16683 |
16683 |
| 2. Оборотные активы
|
| Запасы, в том числе |
210 |
18729 |
24518 |
+5789 |
130,9 |
| сырье и материалы |
211 |
32 |
51 |
+19 |
159,4 |
| готовая продукция |
214 |
18696 |
24091 |
+5395 |
128,9 |
| товары отгруженные |
215 |
0 |
0 |
0 |
0 |
| расходы будущих периодов |
216 |
1 |
3 |
+2 |
300 |
| прочие запасы и затраты |
- |
373 |
+373 |
- |
| Налог на добавленную стоимость по приобретенным ценностям |
220 |
231 |
5704 |
+5473 |
2469,2 |
| Дебиторская задолженность (платежи ожидаются в течение 12 месяцев) |
240 |
33856 |
94195 |
+60339 |
278,2 |
| Краткосрочные финансовые вложения |
250 |
0 |
0 |
0 |
0 |
| Денежные средства |
260 |
20566 |
54709 |
+34143 |
266,0 |
| Прочие оборотные активы |
270 |
175 |
1 |
-174 |
0,6 |
| Итого по разделу 2
|
290
|
73557
|
179127
|
+105570
|
243,5
|
| БАЛАНС (190+290)
|
300
|
73557
|
179127
|
+105570
|
243,5
|
| ПАССИВ |
| 3. Капитал и резервы |
| Уставный капитал |
410 |
10 |
10 |
0 |
100 |
| Добавочный капитал |
420 |
0 |
0 |
0 |
0 |
| Резервный капитал |
430 |
0 |
0 |
0 |
0 |
| Нераспределенная прибыль |
470 |
21385 |
28658 |
+7273 |
134,0 |
| Итого по разделу 3
|
490
|
21395
|
28668
|
+7273
|
134,0
|
| 4. Долгосрочные обязательства |
| Займы и кредиты |
510 |
| Итого по разделу 4 |
590 |
| 5. Краткосрочные обязательства |
| Займы и кредиты |
610 |
26066 |
22231 |
-3835 |
85,3 |
| Кредиторская задолженность |
620 |
26096 |
128228 |
+102132 |
491,4 |
| Итого по разделу 5
|
690
|
52162
|
150459
|
+98297
|
288,4
|
| БАЛАНС (490+590+690)
|
700
|
73557
|
179127
|
+105570
|
243,5
|
Цель вертикального анализа – изучение структуры показателей баланса на основе расчета удельных весов отдельных статей в итоге баланса и оценке произошедших изменений в структуре баланса за отчетный период.
Для проведения вертикального анализа баланса предприятия также строятся аналитические таблицы. (См. таблицу 2.7 и 2.8).
Если взглянуть на структурные изменения, произошедшие внутри данного раздела баланса, мы увидим, что произошло снижение дебиторской задолженности (на 8,6%), а это фактор позитивный. Также позитивным моментом можно считать значительное увеличение – на 18,9 % - доли денежных средств в валюте баланса. Это свидетельствует об улучшении ликвидности баланса.
Таблица 2.7 - Аналитическая таблица вертикального анализа баланса ООО «ЧелябинскМАЗсервис» за 2005 год, тыс. р.
| Показатели |
Код
стр.
|
на начало 2005 года |
на конец 2005 года |
Отклонения в уд. весе, % |
| тыс. р. |
% к итогу |
тыс. р. |
% к итогу |
| 1 |
2 |
3 |
4 |
5 |
6 |
7 |
| АКТИВ |
| 1. Внеоборотные активы |
| Нематериальные активы |
110 |
- |
- |
- |
- |
- |
| Основные средства |
120 |
- |
- |
- |
- |
- |
| Незавершенное строительство |
130 |
- |
- |
- |
- |
- |
| Долгосрочные финансовые вложения |
140 |
- |
- |
- |
- |
- |
| Прочие внеоборотные активы |
150 |
| Итого по разделу 1 |
190 |
- |
- |
- |
- |
- |
| 2. Оборотные активы |
| Запасы, в том числе |
210 |
16753 |
36,0
|
18729 |
25,5
|
- 10,5 |
| сырье и материалы |
211 |
25 |
0,1
|
32 |
0,1
|
0 |
| готовая продукция |
214 |
16728 |
35,9
|
18696 |
25,4
|
-10,5 |
| товары отгруженные |
215 |
- |
-
|
- |
-
|
- |
| расходы будущих периодов |
216 |
- |
-
|
1 |
0,001
|
+ 0,001 |
| Налог на добавленную стоимость по приобретенным ценностям |
220 |
116 |
0,2
|
231 |
0,3
|
+0,2 |
| Дебиторская задолженность (платежи в течение года) |
240 |
25453 |
54,7
|
33856 |
46,0
|
-8,6 |
| Краткосрочные финансовые вложения |
250 |
- |
-
|
- |
-
|
- |
| Денежные средства |
260 |
4229 |
9,1
|
20566 |
28,0
|
+ 18,9 |
| Прочие оборотные активы |
270 |
- |
-
|
175 |
0,2 |
- |
| Итого по разделу 2
|
290
|
46551
|
100
|
73557
|
100
|
-
|
| БАЛАНС (190+290)
|
300
|
46551
|
100
|
73557
|
100
|
- |
| ПАССИВ |
| 3. Капитал и резервы |
1 |
| Уставный капитал |
410 |
10 |
0,02 |
10 |
0,02 |
-0,01 |
| Добавочный капитал |
420 |
- |
- |
- |
- |
- |
| Резервный капитал |
430 |
- |
- |
- |
- |
- |
| Нераспределенная прибыль |
470 |
18556 |
39,9 |
21385 |
29,1 |
-10,8 |
| Итого по разделу 3 |
490 |
18566 |
39,9 |
21395 |
29,1 |
-10,8 |
| 4. Долгосрочные обязательства |
| Займы и кредиты |
510 |
- |
- |
- |
- |
- |
| Итого по разделу 4 |
590 |
- |
- |
- |
- |
- |
| 5. Краткосрочные обязательства |
| Займы и кредиты |
610 |
15231 |
32,7 |
26066 |
35,4 |
+2,7 |
| Кредиторская задолженность |
620 |
12754 |
27,4 |
26096 |
35,5 |
+8,1 |
| Итого по разделу 5 |
690 |
27985 |
60,1 |
52162 |
70,9 |
+10,8 |
| БАЛАНС (490+590+690)
|
700
|
46551
|
100
|
73557
|
100
|
-
|
Анализируя изменения, произошедшие в структуре пассива баланса, можно отметить как отрицательный момент повышение доли кредиторской задолженности на 8,1 %. Снижение доли капитала и резервов также можно признать негативной тенденцией.
Изменения в структуре баланса, произошедшие в 2006 году представлены в аналитической таблице 2.8.
Как видно из таблицы сохраняется положительная тенденция к росту доли денежных средств в валюте баланса. По сравнению с 2005 годом доля денежных средств выросла на 2,6 %. Незначительно выросла и дебиторская задолженность (на 6,6 %). Но на фоне этих изменений итоговый показатель по оборотным активам остается на том же уровне, что свидетельствует о формировании более мобильной структуры активов, способствующей улучшению ее финансового положения.
Вертикальная структура пассива баланса выглядит ещё менее позитивно как в 2005 году. Происходит снижение доли капитала и резервов, что не является тенденцией положительной, также растет кредиторская задолженность.
Таблица 2.8 - Аналитическая таблица вертикального анализа баланса ООО «ЧелябинскМАЗсервис» за 2006 год, р.
| Показатели |
Код стр. |
На начало 2006 год |
На конец 2006 года |
Отклонения в уд. весе, % |
| тыс. р. |
% к итогу |
тыс. р. |
% к итогу |
% |
| 1 |
2 |
3 |
4 |
5 |
6 |
7 |
| АКТИВ
|
| 1. Внеоборотные активы
|
| Нематериальные активы |
110 |
| Основные средства |
120 |
16683 |
16683 |
| Незавершенное строительство |
130 |
0 |
0 |
| Долгосрочные финансовые вложения |
140 |
0 |
0 |
| Прочие внеоборотные активы |
150 |
0 |
0 |
| Итого по разделу 1 |
190 |
16683 |
16683 |
| 2. Оборотные активы
|
| Запасы, в том числе |
210 |
18729 |
25,5 |
24518 |
13,7 |
-11,8 |
| сырье и материалы |
211 |
32 |
0,1 |
51 |
0,03 |
-0,07 |
| готовая продукция |
214 |
18696 |
25,4 |
24091 |
13,5 |
-11,9 |
| товары отгруженные |
215 |
| расходы будущих периодов |
216 |
1 |
0,001 |
3 |
0,002 |
+0,001 |
| прочие запасы и затраты |
0 |
0 |
373 |
0,2 |
+0,2 |
| Налог на добавленную стоимость по приобретенным ценностям |
220 |
231 |
0,3 |
5704 |
3,2 |
+2,9 |
| Дебиторская задолженность (платежи ожидаются в течение 12 месяцев) |
240 |
33856 |
46,0 |
94195 |
52,6 |
+6,6 |
| Краткосрочные финансовые вложения |
250 |
| Денежные средства |
260 |
20566 |
28,0 |
54709 |
30,5 |
+2,5 |
| Прочие оборотные активы |
270 |
175 |
0,2 |
1 |
0,001 |
-0,199 |
| Итого по разделу 2
|
290
|
73557
|
100
|
179127
|
100
|
-
|
| БАЛАНС (190+290)
|
300
|
73557
|
100
|
179127
|
100
|
-
|
| ПАССИВ
|
| 3. Капитал и резервы |
| Уставный капитал |
410 |
10 |
0,02 |
10 |
0,01 |
-0,01 |
| Добавочный капитал |
420 |
| Резервный капитал |
430 |
| Нераспределенная прибыль |
470 |
21385 |
29,1 |
28658 |
16,0 |
-13,1 |
| Итого по разделу 3
|
490
|
21395
|
29,1 |
28668
|
16,0
|
-13,1
|
| 4. Долгосрочные обязательства |
| Займы и кредиты |
510 |
- |
| Итого по разделу 4 |
590 |
- |
| 5. Краткосрочные обязательства |
| Займы и кредиты |
610 |
26066 |
35,4 |
22231 |
12,4 |
-23,0 |
| Кредиторская задолженность |
620 |
26096 |
35,5 |
128228 |
71,6 |
+36,1 |
| Итого по разделу 5
|
690
|
52162
|
70,9 |
150459
|
84,0
|
+13,1
|
| БАЛАНС (490+590+690)
|
700
|
73557
|
100
|
179127
|
100
|
-
|
2.4
Финансовая устойчивость предприятия ООО «ЧелябинскМАЗсервис»
Финансовая устойчивость - одна из характеристик соответствия структуры источников финансирования в структуре активов. В отличие от платежеспособности, которая оценивает оборотные активы и краткосрочные обязательства предприятия, финансовая устойчивость определяется на основе соотношения разных видов источников финансирования и его соответствия составу активов.
Финансовая устойчивость - это стабильность финансового положения предприятия, обеспечиваемая достаточной долей собственного капитала в составе источников финансирования. Достаточная доля собственного капитала означает, что заемные источники финансирования используются предприятием лишь в тех пределах, в которых оно может обеспечить их полный и своевременный возврат. С этой точки зрения краткосрочные обязательства по сумме не должны превышать стоимости ликвидных активов. В данном случае ликвидные активы - не все оборотные активы, которые можно быстро превратить в деньги без ощутимых потерь стоимости по сравнению с балансовой, а только их часть. В составе ликвидных активов - запасы и незавершенное производство. Их превращение в деньги возможно, но его нарушит бесперебойную деятельность предприятия. Речь идет лишь о тех ликвидных активах, превращение которых в деньги является естественной стадией их движения. Кроме самих денежных средств и финансовых вложений сюда относятся дебиторская задолженность и запасы готовой продукции, предназначенной к продаже.
Для характеристики финансовой устойчивости принято рассчитывать ряд показателей. Основными показателями финансовой устойчивости являются:
1. наличие собственных средств предприятия в обороте;
2. коэффициент обеспеченности запасов и затрат собственными оборотными средствами;
3. коэффициент обеспеченности запасов и затрат собственными и заемными средствами;
4. коэффициент финансовой устойчивости;
5. коэффициент автономии.
1. Для того, чтобы оценить первый показатель необходимо из общей суммы источников собственных средств (раздел 3 пассива баланса) вычесть стоимость внеоборотных активов (раздел 1 актива баланса), а также убытков, отраженных в балансе, т.е. расчет вести по формуле 2.3.
СОС = Исс
– ВА – У, где (2.1)
СОС – оборотных средств собственных;
Исс
– источники собственных средств;
ВА – внеоборотные активы;
У – убыток.
Итак, СОС2005
= 21395- 0 = 21395 тыс. р.
СОС2006
= 28668 - 0 = 28668 тыс. р.
Так как у предприятия не разработаны нормативы собственных оборотных средств, придется воспользоваться коэффициентом обеспеченности собственными оборотными средствами.
2. Рассчитаем прочие коэффициенты обеспеченности собственными оборотными средствами. Для этого составим таблицу 2.9.
Расчеты, приведенные в таблице. Позволяют охарактеризовать финансовую устойчивость ООО «ЧелябинскМАЗсервис» по следующим показателям:
Таблица 2.9 - Оценка финансовой устойчивости ООО «ЧелябинскМАЗсервис» за 2006 г., тыс. р.
| № п/п |
Наименование показателей |
Код стр. |
На начало 2006 г. |
На конец 2006 г. |
Отклонения (5гр. – 4гр.) |
| 1 |
2 |
3 |
4 |
5 |
6 |
| 1 |
Капитал и резервы – источники формирования собственных средств |
490 |
21395 |
28668 |
+ 7273 |
| 2 |
Непокрытые убытки |
465,475 |
- |
- |
- |
| 3 |
Внеоборотные активы |
190 |
0 |
0 |
0 |
| 4 |
Наличие собственных оборотных средств (стр.1-стр.2-стр.3) |
- |
21395 |
28668 |
+ 7273 |
| 5 |
Долгосрочные обязательства |
590 |
- |
- |
- |
| 6 |
Краткосрочные обязательства |
690 |
52162 |
150459 |
+ 98297 |
| 7 |
Наличие собственных и заемных средств (стр.4+стр.5+стр.6) |
- |
73557 |
179127 |
+105570 |
| 8 |
Запасы и затраты |
290 |
73557 |
179127 |
+105570 |
| 9 |
Излишек, недостаток собственных средств (стр.4-стр.8) |
- |
-52162 |
-150459 |
-98297 |
| 10 |
Излишек, недостаток собственных средств (стр.7-стр.8) |
- |
0 |
0 |
0 |
| 11 |
Доля собственных средств в товарах и затратах, % (стр. 4 / стр. 8) |
29,09 |
16,00 |
-13,09 |
1. коэффициент обеспеченности запасов и затрат собственными оборотными средствами составил:
на конец 2005 года – 0,291
на конец 2006 года – 0,160
2. коэффициент обеспеченности запасов и затрат собственными и заемными средствами составил:
на конец 2005 года – 1 (73557 / 73557)
на конец 2006 года – 1 (179127 / 179127)
3. коэффициент финансовой устойчивости
Кф.у.
= (СОС+ДО)/ОК,(2.2)
где
ДО – долгосрочные обязательства,
ОК – оборотные активы.
Кф.у.2005
= (21395 + 0) / 73557 = 0,291
Кф.у.2006
= (28668 + 0) / 179127 = 0,160
4. коэффициент автономии (Кв
) определяется как отношение суммы собственных средств в виде капитала и резервов к стоимости всех активов.
Кв
= Исс
/ В, (2.3)
где В – валюта баланса.
Кв2005
= 21395 / 73557 = 0,291
Кв2006
= 28668 / 179127 = 0,160
Коэффициент автономии показывает долю собственных средств в общей сумме источников финансирования. Данный финансовый коэффициент позволяет оценить зависимость предприятия от внешних источников финансирования, т.е. возможность осуществления деятельности без дополнительного привлечения заемного капитала. С другой стороны, коэффициент автономии показывает, на сколько финансовые обязательства предприятия могут быть покрыты за счет собственного капитала. Коэффициент автономии рассчитывается как отношение собственного капитала ко всем активам. Расчет осуществляется по данным формы № 1 бухгалтерской отчетности.
Как видно из расчётов показатели соответствуют принятому нормативному значению коэффициента автономии – не менее 0,5. Понижение нормативного значения, как в нашем случае, означает снижение финансовой независимости организации, уменьшение риска финансовых затруднений в предстоящем периоде.
Коэффициент финансирования (Кф).
Формула для его расчета:
(2.4)
где Зк
- сумма привлеченных предприятием заемных источников финансирования;
Ск
- собственный капитал
Коэффициент показывает соотношение заемных и собственных источников финансирования без разделения заемных источников на долгосрочные и краткосрочные.
2005 г. K
ф
= 52162/ 21395 = 2,44
2006 г. K
ф
= 150459/ 28668 = 5,25
Этот показатель большую зависимость предприятия от внешних источников финансирования. И, несмотря на то, что объёмы продаж значительно возросли, проблему необходимо решать.
Таким образом, как для расчетов, так и для оценки достаточно любого из двух коэффициентов финансовой устойчивости. Каждый из них указывает на один и тот же аспект финансовой устойчивости предприятия: меру его зависимости от заемных источников финансирования.
Однако зависимость от долгосрочных заемных источников - это не то же самое, что зависимость от краткосрочных обязательств, необоснованно большие суммы которых могут привести к неплатежеспособности предприятия. Долгосрочные заемные средства по своей сути могут быть приравнены к собственному капиталу. Поэтому ни один из двух рассмотренных коэффициентов не может иметь самостоятельного значения без уточнения состава заемных источников, т.е. без деления их на долгосрочные и краткосрочные. Отсюда - следующий коэффициент финансовой устойчивости.
Коэффициент долгосрочной финансовой независимости. (Кдн
).
Он рассчитывается по формуле:

где Зкд
- долгосрочные заемные средства.
Коэффициент показывает, какая часть общей стоимости активов предприятия сформирована за счет наиболее надежных источников финансирования, т.е. не зависит от краткосрочных заемных средств. По существу, это уточненный коэффициент автономии.
Так как долгосрочных заемных средств в нашем случае не было, то и сам показатель, и его значение будут иметь тот же смысл, что и коэффициент автономии.
2005 г. К дн
= 0,291
2005 г. К дн
= 0,160
Обобщающим показателем финансовой устойчивости является излишек или недостаток источников средств для формирования запасов и затрат, который определяется в виде разницы величины источников средств и величины запасов и затрат. Для характеристики источников формирования запасов и затрат используется несколько показателей, которые отражают различные виды источников.
1. Общая величина запасов и затрат
ЗЗ2006
= 24518 тыс. р. + 5704 тыс. р. = 30222 тыс. р.
2. Наличие собственных оборотных средств:
СОС2003
= 28668 тыс.р.
3. Наличие собственных и долгосрочных заемных источников формирования запасов и затрат или функционирующий капитал (КФ):
КФ2003
= 28668 тыс. р.
4. Общая величина основных источников формирования запасов и затрат (ВИ):
ВИ2003
= 28668 тыс. р.
Трем показателям наличия источников формирования запасов и затрат соответствуют 3 показателя обеспеченности запасов и затрат источниками формирования:
1. Излишек или недостаток собственных оборотных средств:
Фс
= СОС – ЗЗ, (2.6)
В нашем случае, Фс
= 28668 тыс.руб. – 30222 тыс. р. = -1554 тыс. р.,
2. Излишек или недостаток собственных и долгосрочных заемных источников формирования запасов и затрат:
Фт
= КФ – ЗЗ, (2.7)
Показатель будет идентичным = -1554 тыс. р.
3. Излишек или недостаток общей величины основных источников для формирования запасов и затрат:
Фо
= ВИ – ЗЗ, (2.8)
Показатель будет идентичным = -1554 тыс. р.
В нашей ситуации мы наблюдаем явный тип финансовой неустойчивости.
Рентабельность активов определяется как отношение балансовой прибыли к среднегодовой стоимости активов предприятия.
Для оценки динамики прибыли составим и рассмотрим таблицу 2.10.
Данные таблицы 2.10 свидетельствуют о росте показателей прибыльности предприятия. Для более полной характеристики проведем анализ рентабельности (см. Таблицу 2.11).
Таблица 2.10 - Анализ прибыли ООО «ЧелябинскМАЗсервис», тыс. р.
| Наименование показателя |
Код строки |
За 2005 год |
За 2006 год |
% отклонения |
| 1 |
2 |
3 |
4 |
5 |
1.Доходы и расходы по обычным видам деятельности
Выручка (нетто) от продажи товаров, услуг (за минусом НДС, акцизов и прочих обязательных платежей)
|
010 |
199191 |
475898 |
239 |
| Себестоимость проданных товаров, услуг |
020 |
190849 |
465411 |
244 |
| Валовая прибыль |
030 |
8342 |
10487 |
126 |
| Коммерческие расходы |
040 |
0 |
0 |
- |
| Управленческие расходы |
050 |
0 |
0 |
- |
| Прибыль от продаж |
060 |
8342 |
10487 |
126 |
| 2. Операционные доходы и расходы
|
| Проценты к получению |
070 |
- |
- |
- |
| Проценты к уплате |
080 |
- |
856 |
- |
| Доходы от участия в других организациях |
090 |
- |
- |
- |
| Прочие операционные доходы |
100 |
23 |
- |
- |
| Прочие операционные расходы |
110 |
579 |
205 |
- |
| 3. Внереализационные доходы и расходы
|
| Внереализационные доходы |
120 |
- |
2030 |
- |
| Внереализационные расходы |
130 |
379 |
3320 |
876 |
| Прибыль (убыток) до налогообложения |
140 |
7407 |
8136 |
110 |
| Налог на прибыль |
170 |
269 |
863 |
321 |
| Прибыль (убыток) от обычной деятельности |
180 |
- |
- |
- |
| 4. Чрезвычайные доходы и расходы
|
| Чрезвычайные доходы |
- |
- |
- |
| Чрезвычайные расходы |
- |
- |
- |
| Чистая прибыль |
190 |
7138 |
7273 |
102 |
Таким образом, имеем следующие данные:
Прибыль от реализации продукции за год возросла на 37046 тыс. руб. Рентабельность продукции затратам в 2006 году составила 13,6 %. Имеет место рост по сравнению с предыдущим годом на 2,5 %.
Таблица 2.11 - Анализ рентабельности ООО «ЧелябинскМАЗсервис»
| Наименование показателя |
За 2005 год |
За 2006 год |
Отклонения |
| в сумме |
в % |
| 1 |
2 |
3 |
4 |
5 |
| Выручка от продажи товаров, услуг, тыс. р. |
199971 |
477857 |
+277886 |
239 |
| НДС, акцизы и прочие платежи, тыс. р. |
780 |
1959 |
+1179 |
251 |
| Выручка за минусом налога, тыс. р. |
199191 |
475898 |
+276707 |
239 |
| Затраты на производство и реализацию продукции, услуг, тыс. р. |
179281 |
418942 |
+239661 |
234 |
| Прибыль от реализации продукции (услуг), тыс. р. |
19910 |
56956 |
+37046 |
286 |
| Рентабельность продукции в % к затратам |
11,10 |
13,60 |
- |
2,5 |
В целом, показатели рентабельности достаточно позитивны. Имеется значительный рост прибыли от реализации продукции и рентабельности продукции по отношению к затратам.
Коэффициент валовой прибыли, или, по немецкой терминологии, коэффициент покрытия. Это отношение разности между объемом продаж товаров и услуг и их стоимостью, равной прямым переменным издержкам, к объему продаж:
Квп
= (Q – C)/Q, (2.9)
где Q – объем продаж;
С - стоимость продукции.
Квп
(2005 г) = (475898-465411)/475898 = 0,02 = 2 %
Этот коэффициент показывает долю валовой прибыли, валовой маржи, валового покрытия в объеме продаж и является одним из наиболее важных для менеджеров предприятия. Он позволяет определить величину, которая остается после вычета из себестоимости реализованной продукции переменных издержек на покрытие других видов издержек - операционных, т.е. постоянных издержек, налогов, процентов за кредит, и получение прибыли. Напомним, что деление расходов на переменные и постоянные лежит в основе определения запаса финансовой устойчивости предприятия и его порога рентабельности.
Проведенный финансовый анализ деятельности ООО «ЧелябинскМАЗсервис» свидетельствует о том, что:
- наблюдается улучшение основных показателей деятельности предприятия в динамики с 2004 по 2006 год;
- имеется положительная динамика валюты баланса за последние 3 года;
- общая сумма оборотных активов в 2006 году увеличилась на 243.5 %, в основном за счет прироста денежных средств на 266 %. При этом рост краткосрочных обязательств составил 288,4 %, что выше, чем показатель роста оборотных активов, что является негативным фактором;
- вертикальная структура пассива баланса 2006 года выглядит не столь позитивно как в 2005 году. Происходит снижение доли капитала и резервов, что не является тенденцией положительной, также растет кредиторская задолженность;
- предприятие на конец 2006 года имеет достаточно позитивные показатели рентабельности.
- в целом, имущественное состояние ООО «ЧелябинскМАЗсервис» не может быть охарактеризовано как стабильное;
- в нашей ситуации мы наблюдаем отсутствие финансовой устойчивости предприятия и явную зависимость от внешних источников.
На основании полученных данных, можно судить о недостаточно положительной финансово-экономической деятельности ООО «ЧелябинскМАЗсервис» за рассматриваемый период времени.
Также результаты, изложенного во второй главе работы финансового анализа позволяют предложить некоторые рекомендации по оптимизации и совершенствованию финансово-экономического положения предприятия.
3. Пути оптимизации финансовой деятельности предприятия ООО «ЧелябинскМАЗсервис»
3.1
Использование информационных технологий при анализе финансового состояния предприятия
Анализ организации финансовой деятельности ООО «ЧелябинскМАЗсервис»и оценка управления финансово-экономической деятельности изучаемого объекта во время прохождения преддипломной практики и написания дипломного проекта, позволяет сделать следующий выводы:
- на предприятии не осуществляется финансового планирования и финансовый анализ носит весьма поверхностный характер – просмотр бухгалтерской отчетности руководителями компании;
- для осуществления функции финансового планирования и управления финансовыми потоками не выделено штатной единицы, и в должностных инструкциях данная функция никому не вменена в обязанность.
На основании вышеперечисленных выводов руководству ООО «ЧелябинскМАЗсервис» можно было бы порекомендовать следующее:
- Рассматривая воображаемую "линию жизни" любого предприятия, можно обнаружить на ней чередование пологих отрезков с крутыми поворотами, изломами, ветвлениями. Каждый нелинейный участок пути отражает глубокие перемены в бизнесе, осуществляемые в моменты реформирования предприятия: обновление производства, отказ от каких-либо видов деятельности, выход на новые рынки. Каждый такой поворот связан со стратегическими решениями, которые принимают руководители предприятия в критические моменты его развития. Поэтому руководитель любой компании многое бы дал за то, чтобы предвидеть последствия своих стратегических решений. Во многом данную проблему может решить оперативный, регулярно проводимый, финансовый анализ деятельности предприятия. В последнее время появилось много программных продуктов, позволяющих осуществлять регулярный текущий анализ финансовой деятельности предприятия. Руководству ООО «ЧелябинскМАЗсервис» можно предложить следующие программные продукты:
- Персональный Финансовый Органайзер 2002 (ПФО 2002)
: предназначен для ведения финансового учета и анализа различного вида: управленческого финансового учета, <неформальной> бухгалтерии малых предприятий или домашней бухгалтерии частных лиц. ПФО 2002 прост в настройке и использовании, обладает гибкими возможностями создания отчетов и форм, а также мощной системой стандартных отчетов. Максимальная редакция продукта Pro editon содержит свыше 115 стандартных отчетов, диаграмм и графиков. Она лучшим образом подходит тем, кто занимается активной коммерческой деятельностью. Детальная аналитика финансовых потоков в любом временном разрезе, стандартные годовые и месячные отчеты, выборки и группировки финансовых операций за любой период позволяют получать полную картину Вашего бизнеса. ПФО 2002, Pro edition,
Персональный Финансовый Органайзер 2002 (ПФО 2002) предназначен для ведения финансового учета и анализа различного вида: от домашней бухгалтерии (персональных финансов) частных лиц в Freeware и Small edition до управленческого финансового учета и «неформальной» бухгалтерии малых предприятий в Standard и Pro edition. ПФО 2002 прост в настройке и использовании, обладает мощной системой стандартных отчетов, а также удобными средствами для создания и настройки форм, отчетов, диаграмм и графиков.
Программа ориентирована на максимально быстрый и простой ввод плановых и фактических финансовых операций и получение детальной аналитики по ним. Специальные отчеты позволяют оценить динамику и спрогнозировать будущие доходы и расходы. «Оперативные информаторы» позволяют всегда видеть текущие доходы, расходы и баланс задолженностей.
Дополнительные подсистемы позволяют эффективно планировать крупные покупки с анализом вариантов, распределением средств и расчетом требуемых ежемесячных взносов, а также хранить информацию обо всех контактах (друзьях, знакомых, организациях и т.д.) в удобном виде с возможностями быстрого поиска и фильтрации. Специальная подсистема «Деловой органайзер» позволяет вести свои проекты и дела в привычном виде. Древовидная организация папок и задач в них, наличие разветвленной системы фильтрации и стандартных быстрых фильтров, а также многих других возможностей делают эту подсистему достаточно удобной для практического применения.
- Audit Expertпозволит
· Сформировать сопоставимые финансовые данные для проведения финансового анализа. Система позволяет привести данные отечественной бухгалтерской отчетности за разные периоды времени к единому виду. Стандартные бухгалтерские формы отчетности при этом преобразуются в формы, соответствующие международным стандартам финансовой отчетности (IFRS) и являющиеся базисом для проведения финансового анализа.
· Быстро провести анализ финансового состояния предприятия по его финансовой отчетности. На основании данных бухгалтерских отчетов вы получаете аналитические баланс и отчет о прибылях и убытках, а также 20 основных финансовых показателей, характеризующих ликвидность, платежеспособность, рентабельность и деловую активность предприятия. Эти данные позволяют не только провести анализ текущего финансового состояния предприятия, но и оценить динамику его изменения, а также построить прогноз на ближайший период.
· Провести углубленное исследование финансово-хозяйственной деятельности предприятия на основе собственных методик финансового анализа. Базируясь на детализированной информации, имеющейся в распоряжении финансовой службы предприятия, и реализовав в системе ваши собственные методики финансового анализа, можно найти пути повышения эффективности использования производственных ресурсов, снижения себестоимости продукции и потребностей в оборотном капитале, улучшения показателей фондоотдачи. Audit Expert - единственная система для АФХД, позволяющая использовать для финансового анализа данные оборотно-сальдовой ведомости (ОСВ).
· Осуществлять бенчмаркинг. Для выработки стратегии успеха с помощью Audit Expert вы можете систематически проводить сравнительный финансовый анализ: сопоcтавлять ключевые финансовые и экономические показатели с данными компаний-конкурентов, лидеров отрасли. База отраслевых показателей в формате программы, организованная по отраслям экономики и содержащая данные стандартной бухгалтерской отчетности лидирующих компаний, находится на сайте http://www.expert-systems.com
· Оценить реальную стоимость имущества компании. Audit Expert позволяет провести переоценку различных статей активов и пассивов баланса для проведения финансового анализа по реальным данным.
Audit Expert отвечает международным стандартам и учитывает специфику российской экономики
Система позволяет обрабатывать российские бухгалтерские отчеты за различные периоды, начиная с 1994 г., но самое важное состоит в том, что в качестве аналитической базы она использует систему международных стандартов финансовой отчетности (International Accounting Standards, IAS), к которой исходные данные приводятся автоматически. Отчеты в системе могут формироваться как на русском языке, так и на английском, с учетом сложившейся в международной практике терминологии. Все это делает результаты финансового анализа понятными не только отечественным, но и иностранным экспертам.
Audit Expert одинаково хорошо работает как с российскими бухгалтерскими отчетами, так и с отчетами ряда других стран СНГ, предлагает широкие возможности настройки при помощи специального мастера задач и обеспечивает доступ ко всем методикам, сценариям и шаблонам.
Вместе с программой вы получаете богатый набор методик финансового анализа, включающий методики анализа ликвидности и платежеспособности, финансовой устойчивости и безубыточности, деловой активности и рентабельности деятельности предприятия, а также методики, применение которых регламентировано различными нормативными актами. Эти методики актуальны как для коммерческих компаний, так и для государственных предприятий, аудиторских компаний и банков. Помимо стандартных алгоритмов система позволяет использовать и ваши собственные методики преобразования и анализа финансовых отчетов.
Audit Expert обеспечивает комфортность работы. Система автоматически формирует экспертные заключения о финансовом состоянии предприятия, обновляя их при выполнении новых расчетов. Наряду с ручным вводом исходных данных Audit Expert позволяет автоматически импортировать информацию из большинства бухгалтерских программ, а аналитический баланс, полученный в процессе его работы, может экспортироваться в качестве стартового баланса компании в систему разработки бизнес-планов и анализа инвестиционных проектов Project Expert. Благодаря возможностям динамического обмена данными с Excel и передачи автоматически обновляемых отчетов с произвольной структурой в Word и HTML, Audit Expert может использоваться и как самостоятельная аналитическая система, и в качестве составной части информационно-аналитической системы предприятия. Audit Expert - это линейка продуктов. Система выпускается в версиях Standard и Professional, различающихся функциональными возможностями. Любая из них существует в локальном и сетевом вариантах.
Пользователи Audit Expert - свыше 1400 предприятий и организаций: Государственные учреждения: Минэкономразвития и Минимущества России, ФКЦБ РФ, Национальное агентство оценки, Счетная палата РФ, Администрация Калужской области и др.; Банки: Сбербанк РФ, Автобанк, Внешэкономбанк, "Менатеп Спб", Номос банк, Россельхозбанк, "Русский Банкирский дом", Казкоммерцбанк, Нурбанк, Внешторгбанк и др.; Аудиторские и консалтинговые компании: "Юникон-МС", "ФБК", "Союзаудит", "Аудит-Хаус", "2К-Аудит", "Марка-Аудит", "Мирр-Аудит", "Таис-Аудит" и др.; Предприятия: Аэрофлот, "Алмазы России-Саха", "Зарубежцветмет", МГТС, Межрегионгаз, "Ростекстиль", РАО ЕЭС России, ПФГ Росвагонмаш, ГМК Норильский никель, ЛУКойл, ТД Ру-савтопром, "Протек", АвтоВАЗ, Итера Холдинг, "ТИГИ-КНАУФ", завод "Кристалл", Клинский пивокомбинат и др.; образовательные учреждения: МГУ, Финансовая академия при Правительстве РФ, РЭА им. Г.В. Плеханова, Академия бюджета и казначейства, Академия народного хозяйства и др.
Технические характеристики:
Audit Expert работает в среде Windows 95/98/NT/2000/MЕ/ХР. Минимальные требования к компьютеру при использовании системы: процессор - не ниже i486 DX-66; объем ОЗУ - не менее 16 Мбайт.
Зарегистрированным пользователям компания предоставляет:
· консультации ведущих специалистов компании в режиме "горячей линии" по телефону и электронной почте;
· возможность сертификации по программному продукту;
· поставку новых версий по льготным ценам.
· регулярную информацию о новых разработках компании.
- Пакет программ ЭКОНОМИЧЕСКИЙ АНАЛИЗ
, предоставляя максимальные возможности, не требует настраивания предприятия под программу. Наоборот, в продукте реализовано все, чтобы упростить процесс работы с пакетом. В частности для получения 200 показателей достаточен ввод всего лишь трех форм бухгалтерской отчетности: Баланса (форма №1), Отчета о прибылях и убытках (форма №2) и Отчета о движении денежных средств (форма №4)! Причем, при работе Пользователя с такими бухгалтерскими программами как "1С", "Инфо-бухгалтер", "БЭСТ" и "Парус" ввод данных может осуществляться автоматически, с помощью импорта. Гибкость настраивания режимов представления программы заставит ломать голову не над тем, как осуществить ту или иную операцию в продукте, а над тем, что делать и как проанализировать тот объем итоговых данных, которые программа выдаст за несколько минут работы с ней. Пакет состоит из двух программ: программы "База Данных" и программы "Анализ". Первая предназначена для ввода данных, вторая для их обработки, получения необходимых показателей и работы с ними. Кроме того, в пакете программ реализован целый комплекс дополнительных особенностей, облегчающих, но в тоже время углубляющих и расширяющих финансово-экономический анализ, проводимый на предприятии. Заказать продукт можно на сайте http://
www.
scip.ru.
- "МАСТЕР ФИНАНСОВ"
включает более чем десятилетний опыт работы в сфере анализа финансово - хозяйственной деятельности и отвечает всем необходимым требованиям, предъявляемым сегодня к программному обеспечению данной направленности. Модель разработана в среде пакета электронных таблиц Microsoft Excel для Windows и является открытой, т.е. доступной для изменения и индивидуальной настройки пользователем. Функционально программа "МАСТЕР ФИНАНСОВ: Анализ и планирование" состоит из двух частей: модуль финансового анализа и модуль финансового планирования. Исходными данными для обоих модулей являются обычные формы бухгалтерской и статистической отчетности, такие как баланс и отчет о прибылях и убытках. Функциональные особенности компьютерной модели "МАСТЕР ФИНАНСОВ": более 80 автоматически рассчитываемых коэффициентов и показателей позволяют получить максимально объективную картину финансового положения организации. Группировка рассчитанных данных по таблицам обеспечивает наглядность и сопоставимость результатов анализа. 16 автоматически строящихся графиков и диаграмм описывают все ключевые моменты деятельности предприятия.
Функциональные возможности
· Работа со спецификациями (рецептптурами) номенклатурных позиций/ Система поддерживает одновременное использование нескольких рецептур (спецификаций) в плановом периоде;
· Возможность адаптации алгоритмов расчета под конкретное предприятие. Система позволяет учитывать специфические технологические особенности производства;
· Многовариантность плана, план-фактный контроль. Вся плановая информация хранится в, так называемом, варианте плана. Имеются процедуры копирования данных между вариантами плана. Фактический вариант плана обеспечивает возможность построения план-фактных отчетов;
· Индивидуальная настройка структуры бюджетов Формулы, по которым производится расчет бюджетной модели можно создавать как непосредственно в интерфейсе системы, так и импортировать из файла формата Microsoft Excel;
· Настройка базы распределения косвенных затрат Распределение косвенных переменных затрат в системе осуществляется по произвольным формулам, которые могут быть созданы конечным пользователем;
· Работа в многопользовательском режиме. Система позволяет настроить права доступа на уровне форм, отчетов, бюджетов, групп номенклатурных позиций, операций, как для индивидуальных пользователей, так и для созданных групп пользователей;
· Поддержка процесса подготовки бюджетов. Для отслеживания процесса подготовки бюджетов имеется специальный механизм работы со статусами бюджетов.
· Обмен данными с внешними системами Система позволяет вводить данные как непосредственно в интерфейсе системы, так и с использованием процедур импорта данных из внешних источников.
Особенности и оригинальные решения
· Блок планирования переменных затрат. Система поддерживает MRP-алгоритм расчета плановых показателей. Информация по планированию переменных затрат и платежей вводится и отображается в стандартных формах, что существенно упрощает описание типовых данных и ускоряет расчеты. Базы распределения косвенные затрат настраиваются через специальные формулы;
· Открытая структура бюджетной модели. Доступны для настройки: иерархия центров ответственности, структуры бюджетов, представления статей, ссылки на данные и сложные формулы для вычислений. Поддерживаются варианты плана, сравнительный анализ, план-фактный контроль;
· Измерения бюджетных таблиц. В отличие от плоских электронных таблиц Система позволяет работать с данными в различных измерениях, как предопределенных (вариант плана, период, центр ответственности, бюджет), так и настроенных пользователем при помощи механизма ссылок. Аналитические OLAP-отчеты поддерживают функциональность «виртуального куба» данных;
· Совместимость бюджетной модели с Excel на уровне формул. Структура, данные и расчеты бюджетной модели ведутся внутри Системы, независимо от внешних приложений. Имеется встроенный механизм отладки формул и поиска ошибок. Для ускорения процесса разработки и контроля бюджетов Система позволяет получить файл бюджетной модели в Microsoft Excel в любой момент времени. После внесения изменений в формулы или данные имеется возможность обратного импорта в Систему;
· Многопользовательский режим. В системе имеется специально разработанный механизм распределения доступа с возможностью настройки прав пользователей и групп на рабочие форм, отчеты, операции, номенклатурные позиции. Через использование операций и статусов бюджетов ведется контроль процесса разработки и заполнения данных.
Заказать продукт можно на сайте http://www.mfbudget.vmgroup.ru.
- Программный продукт “Альт-Финансы”
предназначен для выполнения комплексной оценки деятельности предприятия (организации), выявления тенденций его развития, определения причин ослабления финансового состояния организации, а также рычагов его оптимизации.
Проведение детального финансового анализа и управленческая интерпретация полученных результатов позволят найти оптимальный путь развития, разработать программу финансового оздоровления предприятия, находящегося на грани банкротства, обосновать инвестиционное решение.
Открытость и адаптивность программного продукта "Альт-Финансы" предоставляют пользователю возможность самостоятельно вносить изменения в программу, учитывая свои требования или конкретные условия.
С помощью программного продукта "Альт-Финансы", используя данные стандартной бухгалтерской отчетности, рассчитываются финансовые показатели, характеризующие:
· ликвидность;
· платежеспособность;
· оборачиваемость;
· финансовую устойчивость;
· рентабельность;
· эффективность использования финансовых ресурсов.
Пользователь также имеет возможность выполнять финансовый анализ, используя как старые, так и новые формы бухгалтерской отчетности. С помощью специально написанной макрокоманды бухгалтерская отчетность автоматический переводится из старого в новый формат.
Программный продукт "Альт-Финансы" использует основные методы проведения анализа:
· горизонтальный - анализ тенденций, при котором показатели сравниваются с аналогичными за другие периоды;
· вертикальный - анализ, при котором исследуется структура показателей путем постепенного углубления и детализации;
· сравнительный - анализ, при котором исследуемые показатели сравниваются с аналогичными среднеотраслевыми или показателями основных конкурентов.
Кроме того, пользователь располагает возможностью проведения факторного анализа изменения показателя общей ликвидности, рентабельности собственного капитала и других показателей.
В мае 2003 года семейство компьютерных моделей АЛЬТ пополнилось версиями "Альт-Финансы 1.6" и "Альт-Инвест-Прим 4.0", адаптированными к особенностям налогообложения и отчетности Республики Беларусь.
Программный продукт “Альт-Финансы” используют в работе крупнейшие предприятия, банки и коммерческие структуры России
С 2000 г. Сбербанк РФ оснастил свои региональные банки компьютерной моделью “Альт-Финансы” для оценки кредитоспособности заемщиков. Заказать продукт можно на сайте: http://www.alt-invest.ru.
Исходными данными для анализа являются стандартные формы бухгалтерской отчетности - Баланс и Отчет о финансовых результатах. Финансовое состояние предприятия описывается с помощью показателей и коэффициентов, а также в виде графиков и диаграмм. Показатели и коэффициенты выбраны и оформлены таким образом, чтобы учесть требования руководства организации, собрания акционеров, российских и зарубежных кредитующих организаций. В “Альт-Финансы” включены те показатели, которые имеют реальную экономическую интерпретацию и способствуют принятию корректных управленческих решений. В программе обобщены российские и международные подходы к анализу финансового состояния предприятия, а также отражены уникальные методики расчета показателей ликвидности и финансовой устойчивости, допустимых (нормальных) для данной конкретной организации. С помощью программного продукта “Альт-Финансы” возможно дать характеристику сложившихся на предприятии (организации) принципов управления оборотным капиталом; условий взаимоотношения организации с поставщиками и покупателями; - выбранных приоритетов инвестирования средств (характеристика самофинансирования); степени влияния различных факторов на изменение прибыльности и рентабельности деятельности. Управленческая интерпретация полученных результатов позволяет разработать эффективную программу финансового оздоровления организации. Анализ финансового состояния проводится по направлениям, характеризующим структуру баланса, ликвидность, финансовую устойчивость, прибыльность, рентабельность, оборачиваемость, движение денежных средств.
Помимо описанных программных продуктов существует ещё порядка 200-300 русифицированных программ оценки и анализа финансового состояния предприятия.
Очевидно, что затраты на программное обеспечение компании не окажутся непосильными, Зато каким же может оказаться эффект от потраченных на приобретение и установку программного обеспечения средств?
Из-за отсутствия функции финансового контроля на предприятии произошло увеличение как дебиторской , так и кредиторской задолженности, что повлекло за собой снижение коэффициентов оборачиваемости, характеризующих деловую активность предприятия и коэффициента финансовой устойчивости предприятия, что может серьезно повлиять на его дальнейшие финансовое состояние. При регулярном анализе финансового состояния предприятия, этого могло бы и не произойти.
3.2
Оптимизация показателей оборачиваемости оборотных средств ООО «ЧелябинскМАЗсервис»
При проведении анализа финансового состояния ООО «ЧелябинскМАЗсервис»во второй главе данного дипломного проекта была обнаружена тенденция к уменьшению показателей оборачиваемости, что является негативным моментом, характеризующим снижение деловой активности предприятия.
ООО «ЧелябинскМАЗсервис»в этом аспекте не является исключением, для многих предприятий при решении задач оперативного управления, планирования и перепланирования производства узким местом является дефицит оборотных средств. Основным внутрипроизводственным фактором дефицита оборотных средств является их низкая оборачиваемость. Возникает задача управления процессом оборачиваемости с целью увеличения скорости возврата вложенных в производство и оказание услуг средств.
Необходимость реализации систем управления оборачиваемостью в ритме с процессом оказания услуг для возможно большого класса предприятий и производственных объединений, обуславливает создание универсальной относительно структуры предприятия методологии разработки системы управления оборачиваемостью.
Предлагаемая методология состоит из следующих этапов:
1 этап - Для ООО «ЧелябинскМАЗсервис» выделяется перечень задач, решение которых позволит управлять оборачиваемостью.
2 этап - Проводится системный анализ характеристик ООО «ЧелябинскМАЗсервис».
3 этап - Разрабатываются математические модели производственной и финансовой деятельности объекта управления, прогноза показателей оборачиваемости.
4 этап - Проводится идентификация математических моделей.
5 этап - Производится постановка задач оптимального управления оборачиваемостью.
6 этап - Разрабатываются алгоритмы принятия решений.
7 этап - Производится синтез алгоритмов многоуровневой системы управления оборачиваемостью.
На первом этапе предлагаемой методологии для ООО «ЧелябинскМАЗсервис» выделяется перечень задач, решение которых позволит управлять оборачиваемостью. Известно, что на верхнем уровне управления предприятием (руководство) решаются следующие задачи:
- формирование портфеля заказов;
- технико-экономическое планирование;
- оперативное управление производством.
С целью управления оборачиваемостью оборотных средств предприятия необходимо выполнить следующие процедуры:
1. Прогноз показателей оборачиваемости производственных фондов предприятия при перспективном планировании. Для составленного варианта перспективного плана определяются натуральные показатели оборачиваемости групп материальных ресурсов по единицам оборудования; определяются интегральные стоимостные показатели оборачиваемости производственных фондов; на основании полученного прогноза показателей оборачиваемости вырабатывается качественная рекомендация на утверждение или доработку варианта перспективного плана для руководства.
2. Прогноз оборачиваемости фондов обращения предприятия при перспективном планировании. На основании анализа предшествующей финансовой деятельности предприятия (по периодам - год, месяц, декада, сутки) дается прогноз динамики оборотных фондов обращения в течение заданного периода времени и, соответственно, показателей оборачиваемости оборотных фондов обращения за тот же период; оценивается экономическая целесообразность стратегий использования оборотных фондов обращения (производство изделий повышенного спроса, инвестиционная деятельность, авансированная уплата налогов, налоговые кредиты, выпуск или приобретение ценных бумаг и т.д.) и на ее основе выработать качественную рекомендацию на утверждение или доработку варианта перспективного плана для руководства.
3. Оперативный прогноз и управление оборачиваемостью производственных фондов. Для варианта решения задачи оперативного управления определяются натуральные показатели оборачиваемости групп материальных ресурсов по единицам оборудования; определяются интегральные стоимостные показатели оборачиваемости производственных фондов; на основании полученного прогноза показателей оборачиваемости производственных фондов с учетом невязок «план-факт» прогноза задачи 1 и показателей реальной производственной деятельности, вырабатывается качественная рекомендация на утверждение или доработку управляющего решения задачи оперативного перепланирования для руководства предприятия.
4. Оперативное управление фондами обращения предприятия. На основании прогноза динамики оборотных фондов обращения на заданный период и реальных результатов финансовой и производственно-хозяйственной деятельности предприятия оценивается экономическая целесообразность стратегии использования оборотных фондов обращения; вырабатывается качественная рекомендация на утверждение или доработку соответствующего управляющего решения задачи оперативного перепланирования по использованию стратегии для руководства.
5. Управление размещением поступающих заказов. Для каждого поступившего незапланированного договорного заказа на производство готовой продукции и оказание услуг:
- дается прогноз натуральных показателей оборачиваемости групп материальных ресурсов по единицам оборудования, интегральных стоимостных показателей оборачиваемости производственных фондов и показателей оборачиваемости оборотных фондов обращения в течении периода времени начиная с момента начала до момента завершения выполнения заказа;
- на основании полученного прогноза показателей оборачиваемости вырабатывается качественная рекомендация на прием или отклонение заказа для руководства
Решения указанных задач 1-5 позволяют динамично управлять оборачиваемостью производственных фондов и фондов обращения, обеспечивая объекту управления финансовую стабильность и наивысшую прибыль в современных условиях дефицита оборотных средств.
3.3
Методика планирования дебиторской и кредиторской задолженности
Планирование дебиторской и кредиторской задолженности - важный этап формирования бюджета движения денежных средств и прогнозного баланса.
Неточности в планировании расчетов с контрагентами могут негативно повлиять на финансовую устойчивость компании. Планы погашения дебиторской и кредиторской задолженности являются частью маркетинговой и кредитной политики компании. К сожалению, на рассматриваемом предприятии не ведется планирование и анализ дебиторской и кредиторской задолженности, что отражается на динамике этих показателей. Не смотря на то, что существует множество распространенных методик. Можно порекомендовать наиболее простую.
Основой для планирования дебиторской и кредиторской задолженности служит организация системы оперативного и бухгалтерского учета на предприятии, отражающего полную информацию по клиентам, видам деятельности, конкретным продуктам, материалам или услугам в разрезе каждого заключенного контракта.
Для определения задолженности необходимо:
· оперативно отслеживать состояние расчетов с дебиторами и кредиторами;
· анализировать своевременность погашений и выплат, прогнозировать штрафные санкции.
Прогноз дебиторской и кредиторской задолженности включает:
· определение суммы погашения задолженности на начало прогнозного периода - задолженность прошлых лет;
· планирование состояния по расчетам с контрагентами на конец периода - текущая задолженность.
Сумма текущей дебиторской задолженности зависит от прогноза продаж, составляемого по контрактам на год с разбивкой по месяцам, с учетом условий оплаты (отсрочки платежа) и от укрупненного плана продаж и прогнозируемых коэффициентов инкассации, отражающих темпы погашения дебиторской задолженности в текущий период времени.
Коэффициент позволяет установить, когда и в какой сумме ожидается поступление денежных средств от продаж данного периода и рассчитывается по формуле:
Кинк = ∆ ДЗ / Q, (3.1)
где ∆ ДЗ - изменение дебиторской задолженности;
Q - объем продаж.
Коэффициенты инкассации выражают процент ожидаемых денежных поступлений от продаж в определенном интервале времени от момента реализации. Для их определения используются статистические методы, основанные на информации за прошлые годы и анализы реестра старения дебиторской задолженности. Планируя дебиторскую задолженность, необходимо также учитывать и безнадежные долги. При постоянных объемах отгрузки и равномерном поступлении денег увеличение дебиторской задолженности происходит за счет безнадежных к взысканию долгов.
Данные о состоянии дебиторской задолженности рассчитываются:
ДЗ на конец периода = ДЗ на начало периода + Объем отгрузки текущего периода - Объем денежных поступлений в текущем периоде - Сумма списания.
Для многих российских предприятий дебиторская задолженность составляет значительную часть в структуре оборотных активов и требует эффективного управления.
Планирование кредиторской задолженности можно проводить аналогично расчету дебиторской задолженности. В тоже время, необходимо учитывать, что бюджетные платежи и банковские кредиты, характеризующиеся большими штрафными санкциями, погашаются в первую очередь.
План погашения позволяет определить ежемесячное распределение платежей по погашению кредиторской задолженности.
КЗ на конец периода = КЗ на начало периода + Объем закупки текущего периода - Сумма оплаты в текущем периоде - Сумма списания.
Планируя и заключая контракты с контрагентами, организация определяет баланс дебиторской и кредиторской задолженности для обеспечения оптимальной платежеспособности компании.
Путем регулирования сроков оплаты в договорах о покупке и продаже, корректировки погашения дебиторской и кредиторской задолженности составляются варианты бюджета движения денежных средств, согласовываются платежи по обязательствам и денежные поступления от погашения дебиторской задолженности, прогнозируется необходимость привлечения заемных средств.
Для осуществления планирования и управления дебиторской и кредиторской задолженностью также существуют продукты программного обеспечения. Но можно и своими силами на базе Excel создать информационную систему «Оперативное управление дебиторской и кредиторской задолженностью предприятия».
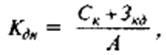
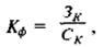
Информационная система «Оперативное управление дебиторской и кредиторской задолженностью предприятия предназначена для оперативного, структурированного учета договоров, контрактов, доходов, расходов и обязательств на предприятии, служит инструментом финансового планирования и анализа, реализует функции управленческого учета, использует наряду с информацией об уже свершившихся фактах, информацию, имеющую характер прогноза, плана или норматива.
Информационная система может состоять из следующих функциональных модулей:
· Управление дебиторской задолженностью;
· Управление кредиторской задолженностью;
· Управление заемными средствами;
· Финансовое планирование.
Функциональные возможности информационной системы:
· Ведение учета договоров, доходов, расходов, обязательств, планирование доходов и расходов в разрезе статей доходов/расходов, категорий получения/списания, источников финансирования, центров ответственности (подразделений – инициаторов);
· Формирование Бюджета предприятия на любой период с учетом корректировок контрольных цифр, контроль и анализ фактического исполнения бюджета, контроль соответствия лимитам вновь поступающих договоров, счетов, заявок на платежи и прочих финансовых документов;
· Сопоставление, оценка и прогнозирование движения финансовых потоков предприятия;
· Формирование прогнозного отчета о движении денежных средств:
- план поступлений денежных средств;
- план денежных выплат;
· Автоматизация процессов оперативного планирования и управления финансовыми средствами;
· Формирование аналитической и статистической отчетности.
3.4 Пути и методы обеспечения конкурентных преимуществ
Очевидно, что при всей тщательности анализа деятельности своего предприятия, ограничиваться только этим не стоит. Конкуренты тоже не дремлют. А потому не мене значимым, а может даже более, особенно с точки зрения адаптации к рынку, следует считать изучение имеющегося рынка, анализ деятельности конкурентов. Для этой цели хотелось бы предложить следующие решения: мониторинговый анализ рынка, мониторинг цен конкурентов, организация рекламной поддержки. Остановимся на каждом поподробнее.
1) Социально – экономический мониторинг
.
В каждом отдельном случае руководителю приходится анализировать большое количество объективных и субъективных факторов, учитывать многообразные специфические условия функционирования предприятия, определять критерии выбора решения. Чтобы облегчить эту задачу, ООО «ЧелябинскМАЗсервис» целесообразно создавать свой фонд методов управления, включающий те, что, с одной стороны, в наибольшей мере отвечают условиям и факторам ее функционирования и развития, а с другой – учитывают специфические проблемы, которые приходится решать.
Социально – экономический мониторинг – относительно новый метод научно – практической активности, цель которого состоит в получении и обработке упреждающей информации о состоянии системы и тенденциях ее развития. Эта цель достигается посредством использования некоторых групп явлений, параметров, факторов, входящих в понятийную форму “мониторинговые индикаторы”, формирующуюся по критериям комплексности, интегративности, отражения результирующего состояния основных причинных взаимодействий в их количественных и качественных взаимосвязях.
Методическая проблема разработанного социально – экономического мониторинга заключается, прежде всего, в специфике методической стратегии, основу которой составляют “жесткие”, формализованные методы: экономический анализ, анализ документов и статических показателей. Так же система дополняется “мягкими”, неформализованными методами: свободным интервью, наблюдением, самоанализом, опросом. В их основе лежит:
- наблюдение за объектом мониторинга, проводимое по стандартному числу наиболее значимых показателей, характеризующих его состояние;
- регулярные повторные “замеры”, проводимые с помощью стандартных процедур;
- оценки ситуаций и объектов, даваемые в стандартной форме.
Другой важной задачей решаемой в социально – экономическом мониторинге, является обеспечение непротиворечивости получаемой из разных источников информации. Показатели, взятые из опроса экспертов, и другие “мягкие” показатели сопоставляются, взаимодополняются и сравниваются с официально утвержденными формами отчетности. Это позволяет получать полное представление о социально – экономических процессах на предприятии и сравнивать их с уровнем решаемости в региональном и отраслевом аспекте.
Объектами наблюдения в мониторинге выступают социально экономические отношения на предприятии, их взаимосвязи и взаимодействия с внешней средой. Субъектами могут выступать авторитетные специалисты и руководители, способные судить о внутренних механизмах производства, приоритетах развития, о состоянии объекта, выступающие в роли экспертов в области социально – экономических процессов на предприятии.
Специфика предлагаемого социально – экономического мониторинга заключается в его опоре на компьютерную поддержку, которая помогает автоматизировать процесс сбора, обработки и хранения собранной в ходе мониторинга информации, а также представить ее в наглядной форме в виде диаграмм, таблиц, графиков.
Апробация результатов научных поисков показала, что данный способ организации управленческой деятельности обладает следующими преимуществами:
- дает возможность оперативно собирать, накапливать информацию и на этой основе постоянно накапливать информационные банки данных;
- позволяет в данные сроки анализировать полученные данные и оценивать состояние предприятия;
- обеспечивает интеграцию, координацию и взаимодействие в деятельности руководителя.
Предметное поле мониторингового наблюдения представляется как динамично функционирующая совокупность взаимоотношения субъектов и объектов управления, в чем проявляется его диалогичность. При этом его пространство охватывает различные уровни структурной организации управления и позволяет проследит влияние на складывающиеся взаимоотношения с потребителями, отношения внутри организации, а также многоуровневый подход к формированию методического инструментария мониторинга.
Это предметное поле описывается информативной и универсальной для обеспечения эффективности динамики (диагностика, контроль, прогноз) процесса управления системой социально – экономических показателей. Она обеспечивает целостное отражение совокупности факторов и конкретных ситуаций, под воздействием которых управляется предприятие.
2) Мониторинг цен конкурентов
Одним из наиболее эффективных инструментов бизнеса является управление ценой. Зачастую ценовая политика позволяет предприятию выжить в условиях жесткой борьбы за потребителя. Результаты маркетинговых исследований показывают, что среди тех предприятий, которые готовы сменить поставщика ГСМ, запасных частей, оборудования, одна треть называет низкие цены как решающий фактор выбора нового поставщика. Практика свидетельствует, что судьба многомилионного контракта может быть решена самым простым способом – снижением цены.
Чтобы застраховаться от неожиданностей многие ООО «ЧелябинскМАЗсервис» необходимо использовать мониторинг цен конкурентов. Мониторинг позволяет отслеживать ценовую ситуацию на рынке, определить тех его участников, которые стремятся к увеличению объема оказываемых услуг за счет снижения цен на услуги.
В список стандартных сведений ценового мониторинга входит следующая информация:
- варианты цены в зависимости от объема заказа;
- возможность выполнения данного объема перевозок;
- сроки выполнения поставок;
- условия получения дополнительных скидок.
Большой объем информации, изменение рыночной конъюнктуры, возможная недостоверность или вообще отсутствие прайс – листов создают сотрудникам предприятий проблемы по соблюдению актуальности и достоверности данных. Актуальность данных проверяется частотой проведения мониторингов. А достоверность зависит от техники сбора информации.
Нередко предприятия стараются сохранить свою коммерческую информацию в тайне от конкурентов. Ведется своего рода борьба за сохранение информации. Богатый опыт проведения мониторингов позволил выявить как возможные тактики “съема информации”, так и соответствующие защитные меры [20]
Ниже приведены три наиболее распространенных сценария проведения мониторинга специалистами предприятия, так называемыми “исследователями” (“клиентами”) и возможные меры по противодействию так называемыми “респондентами” (“специалистами”, “продавцами”):
- тактика “Босса”;
- тактика “Под дурачка”;
- тактика “Специалиста” (“Нахала”).
Тактика “Босса”
В целях достижения атмосферы доверия и заинтересованности со стороны респондента исследователь предлагает конкретную, но вымышленную ситуацию по необходимости выполнения объемного, дорогостоящего заказа, иногда выступая от лица фирмы с именем “на слуху”, например: “Мне необходимо вывезти большой объем песка из карьера. Вы можете выполнить такой заказ?”.
Далее сценарий разыгрывается следующим образом. Исследователь приглашает к разговору специалиста якобы для обсуждения и уточнения некоторых моментов заказа, при этом не обладаю глубокими профессиональными знаниями, может использовать специфическую терминологию и оперировать техническими параметрами, чтобы “разговорить” специалиста. Специалист обычно увлечен своей профессией и легко может увлечься содержанием беседы.
Респондент, конечно же, старается изложить как можно больше информации, продемонстрировать свою компетентность и удержать потенциального клиента. В связи с этим исследователь довольно часто сталкивается со следующими проблемами, непроизвольно созданными респондентом, но которые нужно взять на вооружение любому, кто желает сохранить коммерческую тайну и распознать “настоящего” клиента:
- устанавливаются взаимодействия клиента с возможными конкурентами: работали ли с кем – то раньше, обращались ли к кому – либо с этим предложением;
- предлагается встреча для более конкретного обсуждения задачи;
- запрашиваются контактные телефоны и лица, точное название фирмы;
- уточняется информация об адресах офисов фирмы;
- интересуются именем руководителя фирмы или называются имена кого – то из сотрудников, с кем ранее был установлен контакт.
В наиболее распространенных случаях, когда респондент интересуется контактными телефонами исследователь прибегает к следующим уловкам:
- ссылается на очень большой объем работы, нехватку телефонных номеров для сотрудников, “занятость” телефонных линий и невозможность дозвониться;
- создается атмосфера некоей таинственности, и респонденту дают понять, что таких желающих, как он, много, они “цепляются” постоянно и беспокоят;
- номер телефона оставлен, но оказывается, что он постоянно работает в режиме автофакса.
Перечисленные ситуации могут (но не обязательно) указывать на искусственность запроса, а соответственно, и факт проведения мониторинга. Признаком реально заинтересованного общения может служить готовность клиента к двухстороннему общению и реальному обсуждению сделанных предложений/
Тактика “Под дурачка”
Исследователь занимает позицию несведущего в данной области человека, извиняется за свою некомпетентность и просит помочь решить или разобраться со сложной для него задачей. После чего исследователь , в зависимости от сложности и специфики задачи, просит либо выслать прайс – лист на услуги, либо произвести расчет стоимости конкретной услуги.
Несмотря на то, что исследователь создал “конкретную” ситуацию, она, совершенно однозначно, является суррогатной. Предусмотреть же все нюансы заранее исследователь не может, тем более что он не является специалистом в обсуждаемой области. Поэтому факторами, усложняющими работу такого исследователя, могут быть следующие:
- предложение менеджера ознакомиться с ситуацией на территории заказчика;
- предложение выслать коммерческую заявку;
- ссылка на отсутствие прайс – листа и предложение обсуждения конкретных потребностей;
- а также все способы, указанные выше, в тактике “Босса”.
Исследователь противодействует следующим образом: “Я не компетентен решать эти вопросы, мне руководитель поручил узнать изначальную информацию и не более того”. Случается так, что респондент сообщил необходимую исследователю информацию, даже получил номер контактного телефона, но при попытке в дальнейшем выяснить ситуацию о намерениях клиента, как правило, слышит ответ: “Я все передал руководителю. Решение принимает только он, от меня ничего не зависит. Если нас что – то заинтересует, мы сами перезвоним”. Такое поведение свидетельствует об отсутствии серьезных намерений.
Нужно отметить, что использование вышеописанной тактики исследователем может привести к неблагоприятным результатам, так как он сам ограничивает себя рамками некомпетентности, а следовательно, уже не может самостоятельно влиять и изменять ситуацию. Отсутствием инициативности и мобильности как раз и надо воспользоваться респонденту, т.е. не снабжать в подобных обстоятельствах клиента полным объемом информации. Клиент же, заинтересованный по существу, обязательно сам проявит инициативу и постарается обсудить ряд дополнительных вопросов и возможных вариантов будущей сделки.
Тактика “Специалиста” (“Нахала”)
На настоящий момент это, пожалуй, самая продуктивная и легко применимая тактика проведения мониторингов, противодействие которой, на первый взгляд, затруднительно. Исследователь совершенно четко отдает себе отчет в том, что задача любого продавца – продать товар, и все равно кому. Это обстоятельство дает возможность исследователю действовать с максимальной уверенностью и с первых же слов “штурмовать” решение конкретного вопроса. Клиент ясно дает понять, что у него только одна цель – получить прайс – лист. Клиента не интересует мнение специалиста и его рекомендации, он не стремится к контакту. Также в данной ситуации респонденту обязательно стоит обратить внимание на полное отсутствие или конкретность поставленной задачи, расплывчатость желаний и потребностей клиента.
В таком случае лучшим способом будет приглашение его к более детальному разговору. Разговорить клиента можно с помощью уточнения некоторых деталей сделки, далее проверить его состоятельность можно с помощью вышеперечисленных методик.
В условиях, когда бюджет или время специалиста по маркетингу ограничены, мониторинг является практически единственным методом сбора и анализа маркетинговой информации.
3) Организация рекламной поддержки
Реклама – самый действенный инструмент в попытках предприятия модифицировать поведение потребителей, привлечь их внимание к услугам, в том числе новым, создать положительный образ самого предприятия, показать его общественную полезность.
Реклама, представляющая собой все возможные формы публичной платной деятельности, производимой конкретным юридическим лицом по представлению и продвижению на рынке идей, изделий и услуг, является мощным маркетинговым средством неценовой конкуренции. В ней особенно ярко и полно отражается соперничество между предприятиями в адаптации реально существующего спроса к уже произведенному товару.
Принято считать, что помимо реализации этой важной идеи, реклама представляет информацию, которая помогает сделать разумный выбор, она поддерживает средства массовой информации за счет их частичного финансирования, способствует расширению производства и, в результате, приводит к усилению конкуренции за счет ослабления монопольной власти некоторых предприятий.
Как утверждает статистика, наибольших результатов достигают предприятия, реклама которых обслуживает группы товаров с высокой степенью стандартизации и унификации, когда товары рассчитаны на емкий рынок, продаются по относительно низкой цене и являются новыми. Что касается самих предприятий, то реклама наиболее эффективна для компаний, работающих с высокой нормой прибыли, имеющих небольшую долю на рынке и свободные (незагруженные) производственные мощности.
Таким образом, более оправданным необходимо считать подход к рекламе как к инструменту неценовой конкуренции, который может быть более или менее эффективным в зависимости от состояния конкурентной среды предприятия, конкурентного статуса рекламодателя, особенностей производимой продукции и других рыночных факторов. Поэтому наиболее важными вопросами при проведении рекламных кампаний с точки зрения конкуренции необходимо считать целенаправленную рекламную деятельность в поддержку стратегических инициатив предприятия. В первую очередь это относится к планированию рекламы и организации рекламной деятельности.
Разрабатываемый план рекламы должен соответствовать выбранной базовой стратегии конкуренции. В противном случае реклама может не только превратиться в бесцельное расходование средств, но и в отдельных случаях ухудшить экономические показатели предприятия. Для того, чтобы правильно ориентировать плановый процесс, необходимо все разделы плана, а именно:
- состав целей и задач рекламной деятельности предприятия;
- схему распределения бюджета на рекламные фонды;
- используемые средства и графики проведения рекламы;
- главную рекламную идею (основная идея, проводимая во всех рекламах предприятия и способствующая ускоренной реализации продукции), ориентировать на реализацию основных стратегических задач в области конкуренции. С этой целью целесообразно разработать дополнительные документы, прилагаемые к плану рекламы:
1) Отчет о ходе рекламной деятельности в предшествующем году:
- состав использованных реклам и средств их подачи;
- динамика результативности каждой рекламы;
- основные рекламные идеи прошедшего года, которые необходимо сохранить в будущих рекламных кампаниях для последовательной и полной реализации преимуществ используемой стратегии конкуренции.
2) Задачи поставленные службой маркетинга:
- стратегия конкуренции предприятия и особенности ее реализации в плановом году;
- состав целевых рынков и их сегментов, наиболее привлекательных для предприятия;
- предполагаемые цели рекламной деятельности.
3) Операционный план:
- содержательная часть предполагаемых реклам, включая образцы готовых реклам, методы их тестирования и ожидаемые результаты;
- методы проведения рекламы с обоснованием условий их применения;
- стоимость рекламных кампаний;
- состав специальных операций и резервов.
4) Бюджет:
- утвержденные рекламные фонды;
- годовой бюджет с разбивкой по полугодиям и декадам;
- годовой бюджет в сравнении с предыдущим плановым годом.
Информационная работа предприятия
Маркетинговые коммуникации, являясь каналами распространения коммерчески важной информации о предприятии, его услугах, являясь средством формирования в сознании клиентов приобрести определенный продукт, приобретают в настоящее время все большее значение в связи со следующими аспектами развития рынка и его конъюнктуры:
- возрастает количество близких к насыщению рынков, спрос на которых сводится к замене потребленного товара;
- все более проблемным становится процесс создания новых услуг и товаров;
- внедрены в практику высокие стандарты в изготовлении, что затрудняет дифференциацию продуктов через их качество и реализационную цену;
- возникла проблема одновременного решения двух равнозначных экономических задач, а именно: необходимость экономического роста, как для отдельных предприятий, так и для производительного сектора государств в целом; необходимость преодоления у потребителей стремления к сбережениям и пессимистического отношения к развитию цивилизации.
Перечень факторов, определяющих имидж предприятия в глазах партнеров, конкурентов, органов государственной власти и клиентов:
- идеальные цели предприятия;
- господствующие идеи и ценности;
- выдающиеся деятели и ролевые модели;
- принятые стандарты и правила;
- неформальные каналы коммуникации;
- важность работы для достижения коммерческого успеха;
- склонность к риску, поощрения и наказания;
- энергия, стимулы, инициатива;
- информация и подготовка;
- уважение к человеку вообще и к служащим в частности;
- уважение к деловым партнерам;
- признание факта, что клиенты и их нужды являются центром, вокруг которого вращается вся деятельность фирмы.
Оценка работы предприятия, в том числе сравнительный анализ с другими фирмами, может производиться на основе четырех характеристик:
1 Индивидуализм (коллегиальность).
2 Зона власти, включающая внутри предприятия не только выплаты дивидендов и право собственности, но и атрибутику должности.
3 Устранение неопределенности как степень стремления людей избежать ситуаций, в которых они чувствуют себя неуверенно.
4 Мужественность/женственность как степень восприимчивости управленческой культуры к особенностям, присущим женской модели поведения (в “мужественных” культурах акцент делается на материальный успех и решительность с применением жестких управленческих структур, а в “женственных” приоритет отдается качеству жизни и заботе о слабом).
Цели проведения информационной работы предприятия:
- внедрение на рынок новых услуг (товаров);
- стимулирование сбыта товаров или увеличение объема реализации услуг;
- переключение спроса с одних услуг (товаров) на другие;
- обеспечение стабильности представлений у покупателей и партнеров о товаре или предприятии.
Все основные средства распространения рекламы имеют свои сравнительные преимущества и недостатки. Но именно их наличие позволяет рекламодателю осуществить предварительный выбор формы проведения коммуникационной работы, включая стоимостной аспект.
При этом речь может идти как о рекламе отдельной услуги (товара), так и формировании имиджевого образа предприятия в целом [12]. Сравнительная характеристика средств распространения рекламы приведена в таблице 3.1.
Таблица 3.1 – Сравнительная характеристика средств распространения рекламы
| Средство распространения рекламы |
Преимущества |
Недостатки |
| 1 |
2 |
3 |
| газеты |
гибкость, своевременность, большой охват местного рынка, широкое признание и принятие, высокая достоверность |
кратковременность существования, низкое качество воспроизведения, незначительная аудитория “вторичных” читателей |
| телевидение |
сочетание изображения, звука и движения, чувственное воздействие, высокая степень привлечения внимания, широта охвата |
высокая абсолютная стоимость, перегруженность рекламой, мимолетность рекламного контакта, меньшая избирательность аудитории |
| радио |
избирательность аудитории, массовость использования, высокая географическая и демографическая избирательность, доступность расценок |
представление только звуковым средствами, степень привлечения внимания ниже, чем у телевидения, мимолетность рекламного контакта |
| журналы |
высокая географическая и демографическая избирательность, достоверность, престижность, высокое качество воспроизведения, длительность существования, значительное число “вторичных” читателей |
длительный временной разрыв между покупкой места и появлением рекламы, наличие бесполезного тиража, отсутствие гарантии размещения объявления в предпочтительном месте |
| наружная реклама |
гибкость, высокая частота повторных контактов, невысокая стоимость, слабая конкуренция
|
отсутствие избирательности аудитории, ограничения творческого характера |
3.5 Экономическая эффективность рекламы
Экономическая эффективность рекламы чаще всего определяется путем измерения ее влияния на развитие товарооборота [12].
Дополнительный товарооборот под воздействием рекламы:
(3.2)
где Т Д
– дополнительный товарооборот по воздействием рекламы, руб.;
Т с
– среднедневной товарооборот до рекламного периода, руб.;
П – прирост среднедневного товарооборота за рекламный и послерекламный периоды, %;
Д – количество дней учета товарооборота в рекламном и послерекламном периоде.
Экономический эффект от проведения рекламной кампании:
, (3.3)
где Э – экономический эффект от проведения рекламной кампании, руб.;
Н т
– торговая надбавка на товар, в % к цене реализации;
И р
– расходы на рекламу, руб.;
И д
– дополнительные расходы по приросту товарооборота, руб.
Рентабельность рекламы:
(3.4)
где Р – рентабельность рекламы, %;
П р
– прибыль, полученная от рекламирования товара, руб.
С помощью вышеуказанных расчётов можно выявить эффективность рекламы, и исходя из этого решать, насколько и какая необходима рекламная деятельность в дальнейшем.
4.
Безопасность и экологичность проекта
Технические средства и методы защиты человека в производственной среде
В данном разделе мною будет рассмотрено влияние различных производственных вредностей на организм человека на предприятии ОАО «ЧелябинскМАЗсервис», а также основные пути создания необходимых условий для высокопроизводительного и безопасного труда.
Охрана труда играет важную роль в трудовой жизни человека. Правильная организация труда значительно повышает его производительность и резко снижает возможность производственных травм, увечий и пр. Это, в свою очередь, оказывает и непосредственное положительное влияние на экономическую сторону труда: происходит снижение на оплату больничных листов и лечения сотрудников, уменьшается количество и размер компенсаций за работу во вредных условиях и пр. По статистическим подсчетам, затраты на необходимые мероприятия и средства для охраны труда и безопасности жизнедеятельности обходятся в десять раз меньше, чем расходы из-за несчастных случаев и т.п.
Одной из важнейших составляющих охраны труда является защита от производственных вредностей – то есть факторов, которые негативно влияют на состояние здоровья работников (ГОСТ 12.0.003-74 ССБТ). Далее мы подробнее остановимся на каждом из факторов.
4.1 Определение и классификация производственных вредностей
Оценка условий труда на наличие производственных вредностей проводится на основании "Гигиенической классификации условий труда по показателям вредности и опасности факторов производственной среды, тяжести и напряженности трудового процесса".
Исходя из принципов Гигиенической классификации, условия труда распределяют на 4 класса:
1 класс - оптимальные условия труда
- такие условия, при которых сохраняется не только здоровье работающих, а создаются предпосылки для поддержания высокого уровня работоспособности.
2 класс - допустимые условия труда
- характеризуются такими уровнями факторов производственной среды и трудового процесса, которые не превышают установленных гигиенических нормативов для рабочих мест, а возможные изменения функционального состояния организма восстанавливаются за время регламентированного отдыха или до начала следующей смены и не оказывают неблагоприятного влияния на состояние здоровья работающих и их потомство в ближайшем и отдаленном периодах.
3 класс - вредные условия труда
- характеризуются наличием вредных производственных факторов, которые превышают гигиенические нормативы и способны вызвать неблагоприятное влияние на организм работающего и (или) его потомство.
4 класс - опасные (экстремальные)
- условия труда, которые характеризуются такими уровнями факторов производственной среды, влияние которых в течение рабочего времени (или же ее части) создает высокий риск возникновения тяжелых форм острых профессиональных поражений, отравлений, увечий, угрозу для жизни.
Определение общей оценки условий труда базируется на дифференцированном анализе определения условий труда для отдельных факторов производственной среды и трудового процесса. Факторы производственной среды включают: параметры микроклимата; содержание вредных веществ в воздухе рабочей зоны; уровень шума, вибрации, инфра- и ультразвука, освещенности и т. д. Трудовой процесс определяется показателями тяжести и напряженности труда.
4.2 Микроклимат производственных помещений
Влияние микроклимата на организм человека
Существенное влияние на состояние организма человека, его работоспособность оказывает микроклимат (метеорологические условия) в производственных помещениях - климат внутренней среды этих помещений, который определяется действующими на организм человека сочетаниями температуры, влажности, скорости движения воздуха и теплового излучения нагретых поверхностей.
Микроклимат производственных помещений, в основном, влияет на тепловое состояние организма человека и его теплообмен с окружающей средой.
Несмотря на то, что параметры микроклимата производственных помещений могут значительно колебаться, температура тела человека остается постоянной (36,6 °С). Свойство человеческого организма поддерживать тепловой баланс называется терморегуляцией. Нормальное протекание физиологических процессов в организме возможно лишь тогда, когда выделяемое организмом тепло непрерывно отводится в окружающую среду. Отдача теплоты организмом человека во внешнюю среду происходит тремя основными способами (путями): конвекцией, излучением и испарением.
·Снижение температуры при всех других одинаковых условиях приводит к росту теплоотдачи путем конвекции и излучения и может привести к переохлаждению организма.
·При высокой температуре практически все тепло, которое выделяется, отдается в окружающую среду испарением пота.
·Если микроклимат характеризуется не только высокой температурой, но и значительной влажностью воздуха, то пот не испаряется, а стекает каплями с поверхности кожи.
Недостаточная влажность приводит к интенсивному испарению влаги со слизистых оболочек, их пересыханию и эрозии, загрязнению болезнетворными микробами. Вода и соли, выделяемые из организма потом, должны замещаться, поскольку их потеря приводит к сгущиванию крови и нарушению деятельности сердечно-сосудистой системы.
Повышение скорости движения воздуха способствует усилению процесса теплоотдачи конвекцией и испарением пота.
Длительное влияние высокой температуры в сочетании со значительной влажностью может привести к накоплению тепла в организме и к гипертермии - состоянию, при котором температура тела повышается до 38...40 °С.
При низкой температуре, значительной скорости и влажности воздуха возникает переохлаждение организма (гипотермия). Вследствие воздействия низких температур могут возникнуть холодовые травмы.
Параметры микроклимата оказывают также существенное влияние на производительность труда и на травматизм.
Нормализация параметров микроклимата.
Основными нормативными документами, которые определяют параметры микроклимата производственных помещений, является СанПиН 2.2.4.548-96 и ГОСТ 12.1.005-88. Указанные параметры нормируются для рабочей зоны - пространства, ограниченного по высоте 2 м над уровнем пола или площадки, на которых находятся рабочие места постоянного или временного пребывания работников.
В основу принципов нормирования параметров микроклимата положена дифференциальная оценка оптимальных и допустимых метеорологических условий в рабочей зоне в зависимости от тепловой характеристики производственного помещения, категории работ по степени тяжести и периода года.
Оптимальными (комфортными) считаются такие условия, при которых имеют место наивысшая работоспособность и хорошее самочувствие. Допустимые микроклиматические условия предусматривают возможность напряженной работы механизма терморегуляции, которая не выходит за границы возможностей организма, а также дискомфортные ощущения.
Средства нормализации параметров микроклимата.
Создание оптимальных метеорологических условий в производственных помещениях является сложной задачей, решить которую можно и нужно за счет применения следующих мероприятий и средств:
· Усовершенствование технологических процессов и оборудования.Внедрение новых технологий и оборудования, не связанных с необходимостью проведения работ в условиях интенсивного нагрева даст возможность уменьшить выделение тепла в производственные помещения.
· Рациональное размещение технологического оборудования. Основные источники тепла желательно размещать непосредственно под аэрационным фонарем, около внешних стен здания и в один ряд на таком расстоянии друг от друга, чтобы тепловые потоки от них не перекрещивались на рабочих местах.
· Автоматизация и дистанционное управление технологическими процессами позволяют во многих случаях вывести человека из производственных зон, где действуют неблагоприятные факторы.
· Рациональная вентиляция, отопление и кондиционирование воздуха. Они являются наиболее распространенными способами нормализации микроклимата в производственных помещениях. Создание воздушных и водовоздушных душей широко используется в борьбе с перегревом рабочих в горячих цехах.
· Рационализация режимов труда и отдыха достигается сокращением длительности рабочего времени за счет дополнительных перерывов, созданием условий для эффективного отдыха в помещениях с нормальными метеорологическими условиями.
· Применение, теплоизоляции оборудования и защитных экранов.
В качестве теплоизоляционных материалов широко используют: асбест, асбоцемент, минеральную вату, стеклоткань, керамзит, пенопласт.
· Использование средств индивидуальной защиты. Важное значение для профилактики перегрева организма имеют индивидуальные средства защиты.
4.3 Промышленная пыль, вредные химические вещества и их воздействие на человека
Для создания нормальных условий труда необходимо обеспечить не только комфортные метеорологические условия, но и необходимую чистоту воздуха. Вследствие производственной деятельности в воздушную среду помещений могут поступать разнообразные вредные вещества, которые используются в технологических процессах. Вредными принято считать вещества, которые при контакте с организмом человека в случае нарушения требований безопасности могут вызвать производственные травмы, профессиональные заболевания или отклонения в состоянии здоровья, обнаруживаемые современными методами, как в процессе работы, так и в отдаленные сроки жизни настоящего и последующих поколений (ГОСТ 12.1.007-76).
Вредные вещества могут проникать в организм человека через органы дыхания, органы пищеварения, а также кожу и слизистые оболочки. Через дыхательные пути попадают пары, газо- и пылеобразные вещества, через кожу - преимущественно жидкие вещества. В желудочно-кишечный тракт вредные вещества попадают при заглатывании их, или при внесении в рот загрязненными руками.
В санитарно-гигиенической практике принято разделять вредные вещества на химические вещества и промышленную пыль.
Химические вещества
(вредные и опасные) в соответствии с ГОСТ 12.0.003-74 по характеру воздействия на организм человека подразделяются на:
· общетоксические, вызывающие отравление всего организма (ртуть, оксид углерода, толуол, анилин);
· раздражающие, вызывающие раздражение дыхательных путей и слизистых оболочек (хлор, аммиак, сероводород, озон);
· сенсибилизирующие, действующие как аллергены (альдегиды, растворители и лаки на основе нитросоединений);
· канцерогенные, вызывающие раковые заболевания (ароматические углеводороды, аминосоединения, асбест);
· мутагенные, приводящие к изменению наследственной информации (свинец, радиоактивные вещества, формальдегид);
· влияющие на репродуктивную (воссоздание потомства) функцию (бензол, свинец, марганец, никотин).
Производственная пыль
достаточно распространенный опасный и вредный производственный фактор. Пыль может оказывать на человека фиброгенное воздействие, при котором в легких происходит разрастание соединительных тканей, которое нарушает нормальное строение и функцию органа. Вредность производственной пыли обусловлена ее способностью вызывать профессиональные заболевания легких, в первую очередь пневмокониозы.
Существенное значение имеют также индивидуальные особенности организма человека. В связи с этим для работников, которые работают во вредных условиях проводятся обязательные предварительные (при поступлении на работу) и периодические (1 раз на 3, 6, 12 и 24 месяца, в зависимости от токсичности веществ) медицинские осмотры.
Защита от производственной пыли и вредных химических веществ.
Общие мероприятия и средства предупреждения загрязнения воздушной среды на производстве и защиты работающих включают:
· изъятие вредных веществ из технологических процессов, замена вредных веществ менее вредными и т. п.;
· усовершенствование технологических процессов и оборудования;
· автоматизация и дистанционное управление технологическими процессами и оборудованием, исключающие непосредственный контакт работающих с вредными веществами;
· герметизация производственного оборудования, работа технологического оборудования в вентилируемых укрытиях, локализация вредных выделений за счет местной вентиляции, аспирационных установок;
· нормальное функционирование систем отопления, вентиляции, кондиционирования воздуха, очистки выбросов в атмосферу;
· предварительные и периодические медицинские осмотры работающих, во вредных условиях, профилактическое питание, соблюдение правил личной гигиены;
· контроль за содержанием вредных веществ в воздухе рабочей зоны;
· использование средств индивидуальной защиты.
Вентиляция производственных помещений
Под вентиляцией (СНиП 2.04.05-91) понимают систему мероприятий и устройств, предназначенных для обеспечения на постоянных рабочих местах, в рабочей и обслуживаемой зонах помещений метеорологических условий и чистоты воздушной среды, соответствующих гигиеническим и техническим требованиям. Основная задача вентиляции - удалить с помещения загрязненный или нагретый воздух и подать свежий.
Вентиляция классифицируется по таким признакам:
· по способу перемещения воздуха: естественная, искусственная (механическая) и совмещенная (естественная и искусственная одновременно);
· по направлению потока воздуха: приточная, вытяжная, приточно-вытяжная;
· по месту действия: общеобменная, местная, комбинированная.
Естественная вентиляция
Естественная вентиляция в помещениях происходит в результате теплового и ветрового напоров. Тепловой напор обусловлен разницей температур, а значит и плотностей внутреннего и наружного воздуха. Ветровой напор обусловлен, тем, что при обдуве ветром здания, с ее наветренной стороны образовывается повышенное давление, а с подветренной - разрежение.
Естественная вентиляция может быть неорганизованной и "организованной. Организованная естественная вентиляция называется аэрацией. Для аэрации в стенах здания делают отверстия для поступления наружного воздуха, а на крыше или в верхней части здания устанавливают специальные устройства (фонари) для удаления отработанного воздуха.
Преимуществом естественной вентиляции является ее дешевизна и простота эксплуатации. Основной ее недостаток в том, что воздух поступает в помещение без предварительной очистки, а удаляемый отработанный воздух также не очищается и загрязняет окружающую среду.
Искусственная вентиляция
Искусственная (механическая) вентиляция, в отличие от естественной, предоставляет возможность очищать воздух перед его выбросом в атмосферу, улавливать вредные вещества непосредственно около мест их образования, обрабатывать приточный воздух (очищать, подогревать, увлажнять), более целенаправленно давать воздух в рабочую зону. Кроме того, механическая вентиляция позволяет организовать воздухозабор в наиболее чистой зоне территории предприятия и даже за ее пределами.
Местная вентиляция
Местная вентиляция может быть приточной и вытяжной.
Местная приточная вентиляция, при которой осуществляется концентрированная подача приточного воздуха заданных параметров (температуры, влажности, скорости движения), выполняется в виде воздушных душей, воздушных и воздушно-тепловых завес.
Воздушные души используются для предотвращения перегрева рабочих в горячих цехах, а также для образования так называемых воздушных оазисов (участков производственной зоны, которые резко отличаются своими физико-химическими характеристиками от остального помещения),
Воздушные и воздушно-тепловые завесы предназначены для предотвращения проникновения в помещения значительных масс холодного наружного воздуха при необходимости частого открывания дверей или ворот. Воздушная завеса создается струей воздуха, которая направляется из узкой длинной щели, под некоторым углом навстречу потока холодного воздуха.
Местная вытяжная вентиляция осуществляется при помощи местных вытяжных зонтов, всасывающих панелей, вытяжных шкафов, бортовых отсосов и других устройств.
Конструкция местного отсоса должна обеспечить максимальное улавливание вредных выделений при минимальном количестве удаляемого воздуха. Кроме того, она не должна быть громоздкой и мешать обслуживающему персоналу работать и следить за технологическим процессом. Основными факторами при выборе типа местного отсоса являются характеристика вредных выделений (температура, плотность паров, токсичность), положение рабочего при выполнении работы, особенности технологического процесса и оборудования.
Естественная и искусственная вентиляции должны отвечать следующим санитарно-гигиеническим требованиям
:
· создавать в рабочей зоне помещений соответствующие нормам метеорологические условия труда (температуру, влажность и скорость движения воздуха);
· полностью удалять из помещений вредные газы, пары, пыль и аэрозоли или растворять их до предельно допустимых концентраций;
· не вносить в помещение загрязненный воздух снаружи или путем засасывания из смежных помещений;
· не создавать на рабочих местах сквозняков или резкого охлаждения;
· быть доступными для управления и ремонта в процессе эксплуатации;
· не создавать в процессе эксплуатации дополнительных неудобств (например, шума, вибраций, попадания дождя, снега).
4.4 Системы отопления
Системы отопления (СНиП 2.04.05-91) представляют собой комплекс элементов, необходимых для обогрева помещений в холодный период года. Основными элементами систем отопления являются источники тепла, теплопроводы, нагревательные приборы (радиаторы). Теплоносителями могут быть нагретая вода, пар или воздух.
Системы отопления подразделяют на местные и центральные.
К местным относится печное и воздушное отопление, а также отопление местными газовыми и электрическими устройствами. Местное отопление применяется, как правило, в жилых и бытовых помещениях, а также в небольших производственных помещениях малых предприятий.
К системам центрального отопления относятся: водяное, паровое, панельное, воздушное, комбинированное.
Водяная и паровая системы отопления в зависимости от давления пара или температуры воды могут быть низкого давления (давление пара до 70 кПа или температура воды до 100 °С) и высокого давления (давление пара больше 70 кПа или температура воды более 100 °С).
Водяное отопление отвечает основным санитарно-гигиеническим требованиям и поэтому широко используется на многих предприятиях различных отраслей промышленности. Основные преимущества этой системы: равномерность нагрева помещения; возможность централизованного регулирования температуры теплоносителя (воды); отсутствие запаха гари, при оседании пыли на радиаторы; поддержание относительной влажности воздуха на соответствующем уровне (воздух не пересушивается); исключение ожогов от нагревательных приборов; пожарная безопасность.
Основной недостаток системы водяного отопления - возможность ее замерзания при отключении в зимний период, а также медленный нагрев больших помещений после длительного перерыва в отоплении.
Паровое отопление имеет ряд санитарно-гигиенических недостатков. В частности, вследствие перегрева воздуха снижается его относительная влажность, а органическая пыль, оседавшая на нагревательных приборах, подгорает, вызывая запах гари. С экономической точки зрения систему парового отопления эффективно устанавливать на больших предприятиях, где одна котельная обеспечивает необходимый нагрев помещений всех корпусов и зданий.
Панельное отопление целесообразно применять в административно-бытовых помещениях. Оно действует благодаря отдаче тепла строительными конструкциями, в которых вмонтированы специальные нагревательные приборы (трубы, по которым циркулирует вода) или электронагревательные элементы. Преимуществами этой системы отопления являются: равномерный нагрев и постоянство температуры и влажности воздуха в помещении; экономия производственной площади за счет отсутствия нагревательных приборов; возможность использования в летний период для охлаждения помещений, пропуская холодную воду через систему. Основные недостатки: относительно высокие первоначальные расходы на устройство и трудность ремонта при эксплуатации.
Воздушное отопление может быть центральным (с подачей нагретого воздуха от единого источника тепла) и местным (с подачей теплого воздуха от местных нагревательных приборов). Основные преимущества этой системы отопления: быстрый тепловой эффект в помещении при включении системы; отсутствие в помещении нагревательных приборов; возможность использования в летний период для охлаждения и вентиляции помещений; экономичность, особенно, если это отопление совмещено с общеобменной вентиляцией.
4.5 Вибрация. Защита от вибраций
Среди всех видов механических воздействий для технических объектов наиболее опасна вибрация. Знакопеременные напряжения, вызванные вибрацией, содействуют накоплению повреждений в материалах, появлению трещин и разрушению. Чаще всего и довольно быстро разрушение объекта наступает при вибрационных влияниях в условиях резонанса. Вибрация вызывает также и отказы машин, приборов.
По способу передачи на тело человека вибрацию разделяют на общую, которая передается через опорные поверхности на тело человека, и локальную, которая передается через руки человека. В производственных условиях часто встречаются случаи комбинированного влияния вибрации - общей и локальной.
Вибрация вызывает нарушения физиологического и функционального состояний человека. Стойкие вредные физиологические изменения называют вибрационной болезнью. Симптомы вибрационной болезни проявляются в виде головной боли, онемения пальцев рук, боли в кистях и предплечье, возникают судороги, повышается чувствительность к охлаждению, появляется бессонница. При вибрационной болезни возникают патологические изменения спинного мозга, сердечно-сосудистой системы, костных тканей и суставов, изменяется капиллярное кровообращение.
Функциональные изменения, связанные с действием вибрации на человека-оператора - ухудшение зрения, изменение реакции вестибулярного аппарата, возникновение галлюцинаций, быстрая утомляемость. Негативные ощущения от вибрации возникают при ускорении, которое составляет 5% ускорения силы веса, то есть при 0,5 м/с2
. Особенно вредны вибрации с частотами, близкими к частотам собственных колебаний тела человека, большинство которых находится в границах 6.. .30, Гц.
Резонансные частоты отдельных частей тела следующие, Гц:
- глаза - 22...27;
- горло - б...12;
- грудная клетка - 2...12;
- ноги, руки - 2...8:
- голова - 8...27;
- лицо и челюсти - 4...27;
- поясничная часть позвоночника - 4...14;
- живот - 4...12.
Общая вибрация классифицируется следующим образом:
- транспортная, которая возникает вследствие движения по дорогам;
- транспортно-технологическая, которая возникает при работе машин, которые выполняют технологические операции в стационарном положении или при перемещении по специально подготовленным частям производственных помещений, производственных площадок;
- технологическая, которая влияет на операторов стационарных машин или передается на рабочие места, которые не имеют источников вибрации.
Защита от вибраций
Общие методы борьбы с вибрацией (ГОСТ 12.1.012-90 CCБТ) базируются на анализе уравнений, которые описывают колебание машин в производственных условиях и классифицируются следующим образом:
· снижение вибраций в источнике возникновения путем снижения или устранения возбуждающих сил;
· регулировка резонансных режимов путем рационального выбора приведенной массы или жесткости системы, которая колеблется;
· вибродемпферование - снижение вибрации за счет силы трения демпферного устройства, то есть перевод колебательной энергии в тепловую;
· динамическое гашение - введение в колебательную систему дополнительной массы или увеличение жесткости системы;
· виброизоляция - введение в колебательную систему дополнительной упругой связи с целью ослабления передачи вибраций смежному элементу, конструкции или рабочему месту;
· использование индивидуальных средств защиты.
Снижение вибрации в источнике ее возникновения
достигается путем уменьшения силы, которая вызывает колебание. Поэтому еще на стадии проектирования машин и механических устройств следует выбирать кинематические схемы, в которых динамические процессы, вызванные ударами и ускорением, были бы исключены или снижены.
Регулировка режима резонанса.
Для ослабления вибраций существенное значение имеет предотвращение резонансных режимов работы с целью исключения резонанса с частотой принуждающей силы. Собственные частоты отдельных конструктивных элементов определяются расчетным методом по известным значениям массы и жесткости или же экспериментально на стендах.
Вибродемпферование.
Этот метод снижения вибрации реализуется путем превращения энергии механических колебаний колебательной системы в тепловую энергию. Увеличение расхода энергии в системе осуществляется за счет использования конструктивных материалов с большим внутренним трением: пластмасс, металлорезины, сплавов марганца и меди, никелетитанових сплавов, нанесения на вибрирующие поверхности слоя упруговязких материалов, которые имеют большие, потери на внутреннее трение. Наибольший эффект при использовании вибродемпферных покрытий достигается в области резонансных частот, поскольку при резонансе значение влияния сил трения на уменьшение амплитуды возрастает.
Виброгашение,
Для динамического гашения колебаний используются динамические виброгасители: пружинные, маятниковые, эксцентриковые гидравлические. Недостатком динамического гасителя является то, что он действует только при определенной частоте, которая отвечает его резонансному режиму колебаний.
Динамическое виброгашение
достигается также установлением агрегата на массивном фундаменте.
Виброизоляция состоит
в снижении передачи колебаний от источника возбуждения к объекту, который защищается, путем введения в колебательную систему дополнительной упругой связи. Эта связь предотвращает передачу энергии от колеблющегося агрегата к основе или от колебательной основы к человеку или к конструкциям, которые защищаются.
Средства индивидуальной зашиты
от вибрации применяют в случае, когда рассмотренные выше технические средства не позволяют снизить уровень вибрации до нормы. Для защиты рук используются рукавицы, вкладыши, прокладки. Для защиты ног - специальная обувь, подметки, наколенники. Для защиты тела - нагрудники, пояса, специальные костюмы.
4.6 Шум, ультразвук, инфразвук
Шум как гигиенический фактор - это совокупность звуков различной частоты и интенсивности, которые воспринимаются органами слуха человека и вызывают неприятное субъективное ощущение.
Шум как физический фактор представляет собой волнообразно распространяющееся механическое колебательное движение упругой среды, носящее обычно случайный характер.
Производственным шумом называется шум на рабочих местах, на участках или на территориях предприятий, который возникает во время производственного процесса.
Следствием вредного действия производственного шума могут быть профессиональные заболевания, повышение общей заболеваемости, снижение работоспособности, повышение степени риска травм и несчастных случаев, связанных с нарушением восприятия предупредительных сигналов, нарушение слухового контроля функционирования технологического оборудования, снижение производительности труда.
По характеру нарушения физиологических функций шум разделяется на такой, который мешает (препятствует языковой связи), раздражающий (вызывает нервное напряжение и вследствие этого - снижения работоспособности, общее переутомление), вредный (нарушает физиологические функции на длительный период и вызывает развитие хронических заболеваний, которые непосредственно связаны со слуховым восприятием: ухудшение слуха, гипертония, туберкулез, язва желудка), травмирующий (резко нарушает физиологические функции организма человека).
Характер производственного шума зависит от вида его источников. Механический шум возникает в результате работы различных механизмов с неуравновешенными массами вследствие их вибрации, а также одиночных или периодических ударов в сочленениях деталей сборочных единиц или конструкций в целом. Аэродинамический шум образуется при движении воздуха по трубопроводам, вентиляционным системам или вследствие стационарных или нестационарных процессов в газах. Шум электромагнитного происхождения возникает вследствие колебаний элементов электромеханических устройств (ротора, статора, сердечника, трансформатора и т. д.) под влиянием переменных магнитных полей. Гидродинамический шум возникает вследствие процессов, которые происходят в жидкостях (гидравлические удары, кавитация, турбулентность потока и т.д.).
Шум как физическое явление - это колебание упругой среды. Он характеризуется звуковым давлением как функцией частоты и времени. С физиологической точки зрения шум определяется как ощущение, которое воспринимается органами слуха во время действия на них звуковых волн в диапазоне частот 16-20 000 Гц.
Звук, который распространяется в воздушной среде, называется воздушным звуком, в твердых телах - структурным. Часть воздуха, охваченная колебательным процессом, называется звуковым полем. Свободным называется звуковое поле, в котором звуковые волны распространяются свободно, без препятствий (открытое пространство, акустические условия в специальной заглушенной камере, облицованной звукопоглощающим материалом).
Диффузным называется звуковое поле, в котором звуковые волны поступают в каждую точку пространства с одинаковой вероятностью со всех сторон (встречается в помещениях, внутренние поверхности которых имеют высокие коэффициенты отражения звука).
В реальных условиях (помещение или территория предприятия) структура звукового поля может быть качественно близкой (или промежуточной) к предельным значениям свободного или диффузного звукового поля.
Воздушный звук распространяется в виде продольных волн, то есть волн, в которых колебания частичек воздуха совпадают с направлением движения звуковой волны. Наиболее распространена форма продольных звуковых колебаний - сферическая волна. Ее излучает равномерно во все стороны источник звука, размеры которого малы по сравнению с длиной волны.
Структурный звук распространяется в виде продольных и поперечных волн. Поперечные волны отличаются от продольных тем, что колебания в них происходят в направлении, перпендикулярном направлению распространения волны.
Болевой порог - это максимальное звуковое давление, которое воспринимается ухом как звук. Давление свыше болевого порога может вызывать повреждение органов слуха. При частоте 1000 Гц в качестве болевого порога принято звуковое давление Р = 20 Н/м2
.
Для более полной характеристики источников шума введено понятие звуковой энергии, которая излучается источниками шума в окружающую среду за единицу времени.
Величина потока звуковой энергии, которая проходит в течение 1 с через площадь 1 м2
перпендикулярно к направлению распространения звуковой волны, является мерой интенсивности звука или силы звука.
Силой звука характеризуется громкость. Чем больше поток энергии, который излучается источником звука, тем выше громкость.
Шумовые характеристики источников шума определяются в соответствии с ГОСТ 12.1.003-86. ССБТ „Шум, общие требования безопасности".
Действие шума на организм человека
Область слышимых звуков ограничивается не только определенными частотами (20-20 000 Гц), но и определенными предельными значениями звуковых давлений и их уровней. Уместно напомнить, что логарифмическая шкала уровней звукового давления построена таким образом, что пороговое значение звукового давления рд
соответствует порогу слышимости (1 = 0 дБ) только на частоте 1000 Гц, принятой в качестве стандартной частоты сравнения в акустике. Порог слышимости различен для звуков разной частоты. Если в диапазоне частот 800- 4000 Гц величина порога слышимости минимальна, то по мере удаления от этой области вверх и вниз по частотной шкале его величина растет; особенно заметно увеличения порога слышимости на низких частотах. По этой причине высокочастотные звуки более неприятны для человека, чем низкочастотные (при одинаковых уровнях звукового давления).
В зависимости от уровня и характера шума, его продолжительности, а также от индивидуальных особенностей человека шум может оказывать на него различное действие.
Шум, даже когда он невелик (при уровне 50-60 дБА), создает значительную нагрузку на нервную систему человека, оказывая на него психологическое воздействие. Это особенно часто наблюдается у людей, занятых умственной деятельностью. Слабый шум различно влияет на людей. Причиной этого могут быть: возраст, состояние здоровья, вид труда, физическое и душевное состояние человека в момент действия шума и другие факторы. Степень вредности какого-либо шума зависит также от того, насколько он отличается от привычного шума. Неприятное воздействие шума зависит и от индивидуального отношения к нему. Так, шум, производимый самим человеком, не беспокоит его, в то время как небольшой посторонний шум может вызвать сильный раздражающий эффект.
Известно, что ряд таких серьезных заболеваний, как гипертоническая и язвенная болезни, неврозы, в ряде случаев желудочно-кишечные и кожные заболевания, связаны с перенапряжением нервной системы в процессе труда и отдыха. Отсутствие необходимой тишины, особенно в ночное время, приводит к преждевременной усталости, а часто и к заболеваниям. В этой связи необходимо отметить, что шум в 30-40 дБА в ночное время может явиться серьезным беспокоящим фактором. С увеличением уровней до 70 дБА и выше шум может оказывать определенное физиологическое воздействие на человека, приводя к видимым изменениям в его организме.
Под воздействием шума, превышающего 85-90 дБА, в первую очередь снижается слуховая чувствительность на высоких частотах.
Сильный шум вредно отражается на здоровье и работоспособности людей. Человек, работая при шуме, привыкает к нему, но продолжительное действие сильного шума вызывает общее утомление, может привести к ухудшению слуха, а иногда и к глухоте, нарушается процесс пищеварения, происходят изменения объема внутренних органов.
Воздействуя на кору головного мозга, шум оказывает раздражающее действие, ускоряет процесс утомления, ослабляет внимание и замедляет психические реакции. По этим причинам сильный шум в условиях производства может способствовать возникновению травматизма, так как на фоне этого шума не слышно сигналов транспорта, автопогрузчиков и других машин.
Эти вредные последствия шума выражены тем больше, чем сильнее шум и чем продолжительнее его действие.
Таким образом, шум вызывает нежелательную реакцию всего организма человека. Патологические изменения, возникшие под влиянием шума, рассматривают как шумовую болезнь.
Звуковые колебания могут восприниматься не только ухом, но и непосредственно через кости черепа (так называемая костная проводимость). Уровень шума, передаваемого этим путем, на 20-30 дБ меньше уровня, воспринимаемого ухом. Если при невысоких уровнях передача за счет костной проводимости мала, то при высоких уровнях она значительно возрастает и усугубляет вредное действие на человека.
При действии шума очень высоких уровней (более 145 дБ) возможен разрыв барабанной перепонки.
Методы и средства защиты от шума.
Средства защиты от шума подразделяют на средства коллективной и индивидуальной защиты.
Борьба с шумом в источнике его возникновения - наиболее действенный способ борьбы с шумом. Создаются малошумные механические передачи, разрабатываются способы снижения шума в подшипниковых узлах, вентиляторах.
Архитектурно-планировочный аспект коллективной защиты от шума связан с необходимостью учета требований шумозащиты в проектах планирования и застройки городов и микрорайонов. Предполагается снижение уровня шума путем использования экранов, территориальных разрывов, шумозащитных конструкций, зонирования и районирования источников и объектов защиты, защитных полос озеленения.
Организационно-технические средства защиты от шума связаны с изучением процессов шумообразования промышленных установок и агрегатов, транспортных машин, технологического и инженерного оборудования, а также с разработкой более совершенных малошумных конструкторских решений, норм предельно допустимых уровней шума станков, агрегатов, транспортных средств и т. д.
Акустические средства защиты от шума подразделяются на средства звукоизоляции, звукопоглощения и глушители шума.
Снижение шума звукоизоляцией. Суть этого метода заключается в том, что шумоизлучающий объект или несколько наиболее шумных объектов располагаются отдельно, изолировано от основного, менее шумного помещения звукоизолированной стеной или перегородкой.
Звукопоглощение достигается за счет перехода колебательной энергии в теплоту вследствие потерь на трение в звукопоглотителе. Звукопоглощающие материалы и конструкции предназначены для поглощения звука как в помещениях с источником, так и в соседних помещениях. Акустическая обработка помещения предусматривает покрытие потолка и верхней части стен звукопоглощающим материалом. Эффект акустической обработки больше в низких помещениях (где высота потолка не превышает 6 м) вытянутой формы. Акустическая обработка позволяет снизить шум на 8 дБА.
Глушители шума применяются в основном для снижения шума различных аэродинамических установок и устройств,
В практике борьбы с шумом используют глушители различных конструкций, выбор которых зависит от конкретных условий каждой установки, спектра шума и требуемой степени снижения шума.
Глушители разделяются на абсорбционные, реактивные и комбинированные. Абсорбционные глушители, содержащие звукопоглощающий материал, поглощают поступившую в них звуковую энергию, а реактивные отражают ее обратно к источнику. В комбинированных глушителях происходит как поглощение, так и отражение звука.
Предельные величины шума на рабочих местах регламентируются ГОСТ 12.1.003-86. В нем заложен принцип установления определенных параметров шума, исходя из классификации помещений по их использованию для трудовой деятельности различных видов.
Инфразвук
Инфразвук - это колебание в воздухе, в жидкой или твердой средах с частотой меньше 16 Гц.
Инфразвук человек не слышит, однако ощущает; он оказывает разрушительное действие на организм человека. Высокий уровень инфразвука вызывает нарушение функции вестибулярного аппарата, предопределяя головокружение, головную боль. Снижается внимание, работоспособность. Возникает чувство страха, общее недомогание. Существует мнение, что инфразвук сильно влияет на психику людей.
Все механизмы, которые работают при частотах вращения меньше 20 об/с, излучают инфразвук. При движении автомобиля со скоростью более 100 км/час он является источником инфразвука, который возникает за счет срыва воздушного потока с его поверхности. В машиностроительной отрасли инфразвук возникает при работе вентиляторов, компрессоров, двигателей внутреннего сгорания, дизельных двигателей.
Согласно действующим нормативным документам (СанПиН 2.2.4/2.1.8582-96) уровни звукового давления в октавных полосах со среднегеометрическими частотами 2, 4, 8, 16, Гц должен быть не больше 105 дБ, а для полос с частотой 32 Гц - не более 102 дБ. Благодаря большой длине инфразвук распространяется в
атмосфере на большие расстояния. Практически невозможно остановить инфразвук при помощи строительных конструкций на пути его распространения. Неэффективны также средства индивидуальной зашиты. Действенным средством защиты является снижение уровня инфразвука в источнике его образования. Среди таких мероприятий можно выделить следующие:
· увеличение частот вращения валов до 20 и больше оборотов в секунду;
· повышение жесткости колеблющихся конструкций больших размеров;
· устранение низкочастотных вибраций;
· внесение конструктивных изменений в строение источников, что позволяет перейти из области инфразвуковых колебаний в область звуковых; в этом случае их снижение может быть достигнуто применением звукоизоляции и звукопоглощения.
Ультразвук.
Ультразвук широко используется во многих отраслях промышленности. Источниками ультразвука являются генераторы, которые работают в диапазоне частот от 12 до 22 кГц для очистки отливок, в аппаратах для очистки газов. В гальванических цехах ультразвук возникает во время работы травильных и обезжиривающих ванн. Его влияние наблюдается на расстоянии 25-50 м от оборудования. При загрузке и выгрузке деталей имеет место контактное влияние ультразвука.
Ультразвуковые генераторы используются также при плазменной и диффузионной сварке, резке металлов, при напылении металлов.
Ультразвук высокой интенсивности возникает во время удаления загрязнений, при химическом травлении, обдувке струей сжатого воздуха при очистке деталей, при сборке.
Ультразвук вызывает функциональные нарушения нервной системы, головную боль, изменения кровяного давления, состава и свойств крови, предопределяет потерю слуховой чувствительности, повышает утомляемость.
Ультразвук влияет на человека через воздух, а также через жидкую и твердую среды.
Ультразвуковые колебания распространяются во всех упомянутых выше средах с частотой более -16 000 Гц.
Для защиты от ультразвука (ГОСТ 12.1.001-89 ССБТ), который передается через воздух, применяется метод звукоизоляции. Звукоизоляция эффективна в области высоких частот. Между оборудованием и работниками можно устанавливать экраны. Ультразвуковые установки можно располагать в специальных помещениях. Эффективным средством защиты является использование кабин с дистанционным управлением, расположение оборудования в звукоизолированных укрытиях. Для укрытий используют сталь, дюралюминий, оргстекло, текстолит, другие звукопоглощающие материалы.
Звукоизолирующие кожухи на ультразвуковом оборудовании должны иметь блокировочную систему, которая выключает преобразователи при нарушении герметичности кожуха.
4.7 Ионизирующие излучения
Источниками ионизирующих излучений (СП 2.6.1.758-99) в промышленности являются установки рентгеноструктурного анализа, высоковольтные электровакуумные системы, радиационные дефектоскопы, толщиномеры, плотномеры и др.
К ионизирующим относятся корпускулярные излучения, которые состоят из частичек с массой покоя, которая отличается от ноля (альфа-, бета-частички, нейтроны) и электромагнитные излучения (рентгеновское и гамма-излучение), которые при взаимодействии с веществами могут образовывать в них ионы.
Альфа-излучение - это поток ядер гелия, который излучается веществом при радиоактивном распаде ядер с энергией, которая не превышает нескольких мегаэлектровольт (МеВ). Эти частички имеют высокую ионизирующую и низкую проникающую способность.
Бета-частички - это поток электронов и протонов. Проникающая способность (2,5 см в живых тканях и в воздухе - до 18 м) бета-частичек выше, а ионизирующая - ниже, чем у альфа-частичек.
Нейтроны вызывают ионизацию веществ и вторичное излучение, которое состоит из заряженных частичек и гамма-квантов. Проникающая способность зависит от энергии и от состава веществ, которые взаимодействуют.
Гамма-излучение - это электромагнитное (фотонное) излучение с большой проникающей и малой ионизирующей способностью с энергией 0,001 3 МеВ.
Рентгеновское излучение - излучение, возникающее в среде, которая окружает источник бета-излучения, в ускорителях электронов и является совокупностью тормозного и характерного излучений, энергия фотонов которых не превышает 1 МеВ. Характерным называют фотонное излучение с дискретным спектром, который возникает при изменении энергетического состояния атома. Тормозное излучение - это фотонное излучение с непрерывным спектром, которое возникает при изменении кинетической энергии заряженных частичек. Активность А радиоактивного вещества - это количество спонтанных ядерных превращений в этом веществе за малый промежуток времени, разделенное на этот промежуток:
Влияние ионизирующих излучений на организм человека
Степень биологического влияния ионизирующего излучения зависит от поглощения живой тканью энергии и ионизации молекул, которая возникает при этом.
Во время ионизации в организме возникает возбуждение молекул клеток. Это предопределяет разрыв молекулярных связей и образование новых химических связей, несвойственных здоровой ткани. Под влиянием ионизирующего излучения в организме нарушаются функции кровотворних органов, растет хрупкость и проницаемость сосудов, нарушается деятельность желудочно-кишечного тракта, снижается сопротивляемость организма, он истощается. Нормальные клетки перерождаются в злокачественные, возникают лейкоз, лучевая болезнь.
Одноразовое облучение дозой 25-50 бер предопределяет необратимые изменения крови. При 80-120 бер появляются начальные признаки лучевой болезни. Острая лучевая болезнь возникает при дозе облучения 270-300 бер.
Облучение может быть внутренним, при проникновении радиоактивного изотопа внутрь организма, и внешним; общим (облучение всего организма) и местным; хроническим (при действии в течение длительного времени) и острым (одноразовое, кратковременное влияние).
Защита от ионизирующих излучений
Защита от ионизирующих излучений может осуществляться путем использования следующих принципов:
· использование источников с минимальным излучением путем перехода на менее активные источники, уменьшение количества изотопа;
· сокращение времени работы с источником ионизирующего излучения;
· отдаление рабочего места от источника ионизирующего излучения;
· экранирование источника ионизирующего излучения. Экраны могут быть передвижные или стационарные, предназначенные для поглощения или ослабления ионизирующего, излучения. Экранами могут служить стенки контейнеров для перевозки радиоактивных изотопов, стенки сейфов для их хранения.
4.8 Электромагнитные поля и излучения
Классификация электромагнитных полей и излучений (СанПиН 2.2.4.1191-03).
Биосфера на протяжении всей эволюции находилась под влиянием электромагнитных полей, так называемого фонового излучения, вызванного естественными причинами. В процессе индустриализации человечество прибавило к этому целый ряд факторов, усилив фоновое излучение. В связи с этим ЭМП антропогенного происхождения начали значительно превышать естественный фон и теперь превратились в опасный экологический фактор.
Применение радиотехнических приборов и систем, новых технологических процессов, использование которых приводит к излучению электромагнитной энергии в окружающую среду создает ряд трудностей, связанных с отрицательным воздействием электромагнитных излучений на организм человека. Под влиянием ЭМП происходит перегрев организма, наблюдается отрицательное влияние на центральную нервную систему, эндокринную, обмена веществ, сердечно-сосудистую, на зрение. Повышается утомляемость, артериальное давление, нарушается устойчивость влияния.
Влияние ЭМП на организм человека.
Под влиянием ЭМП и излучений наблюдаются: общая слабость, повышеная усталость, потливость, сонливость, а также расстройство сна, головная боль, боль сердца. Появляется раздражение, потеря внимания, растет длительность речедвигательной и зрительномоторной реакций, повышается граница обонятельной чувствительности. Возникает ряд симптомов, которые являются свидетельством нарушения работы отдельных органов - желудка, печени, селезенки, поджелудочной и других желез. Угнетаются пищевой и половой рефлексы.
Регистрируются изменения артериального давления, частота сердечного ритма, форма электрокардиограммы. Это свидетельствует о нарушении деятельности сердечно-сосудистой системы. Фиксируются изменения показателей белкового и углеводного обмена, увеличивается содержание азота в крови и моче, снижается концентрация альбумина и растет содержимое глобулина, увеличивается количество лейкоцитов, тромбоцитов, возникают и другие изменения состава крови.
Одним из серьезных эффектов, обусловленных СВЧ облучениям, есть повреждение органов зрения. На низких частотах такие эффекты не наблюдаются и поэтому их нужно считать специфическими для СВЧ диапазона.
Степень поражения зависит в основном от интенсивности и длительности облучения. С ростом частоты, напряженности ЕМП, которая вызывает повреждение зрения, степень поражения уменьшается.
Острое СВЧ облучение вызывает слезотечение, раздражение, сужение зрачков. Потом после короткого (1-2 суток) периода наблюдается ухудшение зрения, которое растет во время повторного облучения, что свидетельствует о кумулятивном характере поражения.
При влиянии излучения наблюдается повреждение роговицы глаз. Но среди всех тканей глаза наибольшей чувствительностью в диапазоне 1-10 ГГц обладает хрусталик.
Защита от электромагнитных излучений.
Для уменьшения влияния ЭМП на персонал и население, которое находится в зоне действия радиоэлектронных средств, следует применять ряд защитных мероприятий. В их число могут входить организационные, инженерно-технические и врачебно-профилактические.
Осуществление организационных и инженерно-технических мероприятий возложено прежде всего на органы санитарного надзора. Вместе с санитарными лабораториями предприятий и учреждений, которые используют источники электромагнитного излучения, они должны принимать меры по гигиенической оценке нового строительства и реконструкции объектов, которые производят и используют радиосредства, а также новых технологических процессов и оборудования с использованием ЭМП, проводить текущий санитарный надзор за объектами, которые используют источники излучения, осуществлять организационно-методическую работу по подготовке специалистов и инженерно-технический надзор.
Еще на стадии проектирования должно быть обеспечено такое взаимное расположение облучающих и облучаемых объектов, которое бы сводило к минимуму интенсивность облучения людей. Поскольку полностью избежать облучения невозможно, следует уменьшить вероятность проникновения людей в зоны с высокой интенсивностью ЭМП, сократить время их нахождения под облучением. Мощность источников излучения должна быть минимально необходимой.
Исключительно важное значение имеют инженерно-технические методы и средства защиты: коллективный (группа домов, район, населенный пункт), локальный (отдельные здания, помещения) и индивидуальный. Коллективная защита опирается на расчет распространения радиоволн в условиях конкретного рельефа местности. Экономически целесообразнее использовать естественные экраны - складки местности, лесонасаждения, нежилые здания. Установив антенну на горе, можно уменьшить интенсивность поля, которое облучает населенный пункт, во много раз. Аналогичный результат дает соответствующая ориентация диаграммы направленности путем увеличения высоты антенны. Но высокая антенна более сложная, более дорогая, менее стойкая. Кроме того, эффективность такой защиты уменьшается с расстоянием.
При защите от излучения с помощью экрана должно учитываться затухание волны при прохождении через экран (например, через лесную полосу). Для экранирования можно использовать растительность. Специальные экраны в виде отражающих и радиопоглощающих щитов дорогие, малоэффективны и используются очень редко.
Локальная защита более эффективна и используется часто. Она базируется на использовании радиозащитных материалов, которые обеспечивают высокое поглощение энергии излучения в материале и отражение от его поверхности. Для экранирования путем отражения используют металлические листы и сетки с хорошей проводимостью. Защиту помещений от внешних излучений можно осуществить путем оклейки стен металлизированными обоями; защиты окон сетками, металлизированными шторами. Облучение в таком помещении сводится к минимуму, а отраженное от экранов излучение перераспределяется в пространстве и попадает на другие объекты.
К инженерно-техническим средствам защиты также принадлежат:
· конструктивная возможность работать на сниженной мощности в процессе наладки, регулировки и ремонта;
· дистанционное, управление.
Персонал, который обслуживает радиосредства и находится на небольшом расстоянии, следует надежно защитить путем экранирования аппаратуры.
Для этого используют радиопоглощающие материалы как однородного состава, так и композиционные, которые состоят из разнообразных диэлектрических и магнитных веществ. С целью повышения эффективности поглощения поверхность экрана изготавливается шершавой, ребристой или в виде шипов.
Радиопоглощающие материалы могут использоваться для защиты окружающей среды от ЭМП, которая генерируется источником, находящимся в экранированном объекте. Кроме того, радиопоглотителями для защиты от отражения облицовываются стены безэховых камер помещений, где испытываются излучающие устройства.
Для защиты тела используется одежда из металлизированных тканей и радиопоглощающих материалов. Металлизированная ткань состоит из хлопковых или капроновых ниток, спирально обвитых металлической проволокой. Таким образом, эта ткань, как и металлическая сетка (при расстоянии между нитками до 0,5 мм) ослабляет излучение не менее, чем на 20-30 дБ. При сшивании деталей защитной одежды следует обеспечить контакт изолированных проводников. Поэтому электрогерметизация швов проводится электропроводными растворами или клеями.
Глаза защищают специальными очками со стекла с нанесенной на внутреннюю сторону проводящей пленкой двуокиси олова. Резиновая оправа очков имеет запресованную металлическую сетку или обклеена металлизированной тканью. Этими очками излучение НВЧ ослабляется на 20-30 дБ.
Коллективные и индивидуальные средства защиты могут обеспечить длительную безопасную работу персонала на радиообъектах.
Выводы
В данном разделе было рассмотрено определение, классификацию производственных вредностей, их влияние на организм работников, а также приведены основные пути защиты человека от производственных вредностей. Я считаю, что важность этой темы велика в настоящее время как никогда ранее и особенно остро стоит сейчас, в период развития малого и среднего бизнеса, т.н. рыночной экономики.
Если на крупных предприятиях (заводах-гигантах и т.п.) существуют целые отделы и службы, занимающиеся организацией охраны труда, то на предприятиях малого и среднего бизнеса ответственность за охрану труда, как правило, ложиться на первого лицо предприятия – директора, который обычно ограничиваются лишь прослушиванием курса лекций при получении свидетельства от региональной службы охраны труда и требования от сотрудников обязательного подписывания журнала по охране труда и техники безопасности.
Как показывает практика, там, где вопросам охраны труда и техники безопасности уделяется должное внимание, там производительность труда значительно выше, меньшие человеческие и временные потери, лучшее состояние здоровья работников, здоровый психологический климат в коллективе и, как итог, высокие финансовые результаты.
Заключение
Главная цель коммерческого предприятия в современных условиях - получение максимальной прибыли, что невозможно без эффективного управления капиталом. Поиски резервов для увеличения прибыльности предприятия составляют основную задачу управленца.
Очевидно, что от эффективности управления финансовыми ресурсами и предприятием целиком и полностью зависит результат деятельности предприятия в целом. Если дела на предприятии идут самотеком, а стиль управления в новых рыночных условиях не меняется, то борьба за выживание становится непрерывной.
В первой главе данной работы был показан механизм проведения финансового анализа деятельности предприятия и его значение в современных условиях хозяйствования. Рассмотрены основные теоретические методы проведения финансового анализа деятельности предприятия, раскрыта экономическая сущность коэффициентов, применяемых при проведении анализа финансового состояния предприятия.
В главе второй, занимающей большую часть работы, было обследовано действующее предприятие и его финансовое положение. В ходе работы было установлено реальное положение дел на предприятии; выявлены изменения в финансовом состоянии и факторы, вызвавшие эти изменения.
В третьей главе были предложены рекомендации, позволяющие оптимизировать финансово-экономическую деятельность рассматриваемого предприятия.
Исследования показали, что деятельность предприятия финансируется в основном за счет заёмных средств. Баланс предприятия можно вряд считать абсолютно ликвидным.
Произведенные расчеты оборачиваемости элементов текущих активов привели к выводу, что руководство предприятия не контролирует факторы, влияющие на показатели оборачиваемости, что приводит к снижению последних и отражается на деловой активности предприятия. Нужно сказать, что необоснованно высокий уровень производственных запасов, значительно влияющий на общую оборачиваемость активов предприятия; негибкая политика расчетов с заказчиком и клиентом на условиях взаимной выгоды, предполагающей в частности систему скидок - все это говорит о неумелом управлении капиталом. Проведенный анализ также показал, что доходность собственного капитала снизилась в отчетном году. Это вызвало уменьшение отдачи с каждого рубля вложенных средств за прошлый год.
Налицо тенденция к снижению финансовой устойчивости фирмы. Поэтому для стабилизации финансового состояния предприятия предлагается провести следующие мероприятия:
- необходимо в первую очередь изменить отношение к управлению производством,
- осваивать новые методы и технику управления,
- усовершенствовать структуру управления,
- самосовершенствоваться и обучать персонал,
- совершенствовать кадровую политику,
- продумывать и тщательно планировать политику ценообразования,
- изыскивать резервы по снижению затрат на производство,
- активно заниматься планированием и прогнозированием управления финансов предприятия.
И, в первую очередь, необходимо уделить больше внимания постановке на предприятии оперативного анализа финансового состояния. В целях чего, в третьей главе дипломного проекта предлагается:
1. автоматизировать существующую систему бухгалтерского учета предприятия;
2. вменить главному бухгалтеру в обязанность функции финансового планирования, анализа и контроля;
3. приобрести и установить программное обеспечение по организации финансового анализа;
4. внедрить в практику предложенную методику оптимизация показателей оборачиваемости оборотных средств;
5. внедрить в практику предложенную методику планирования дебиторской и кредиторской задолженности;
6. проводить активную рекламную политику на рынке;
7. проводить анализ рынка, конкурирующих предприятий с целью повышения собственной конкурентоспособности и др.
Список литературы
1. Налоговый кодекс Российской Федерации. Часть 1. – М., 1998.
2. Положение по ведению бухгалтерского учета и бухгалтерской отчетности в Российской Федерации, утвержденное приказом Министерства Финансов РФ № 91н от 16 октября 2000 г.
3. Абрютина М.С., Грачев А.В. Анализ финансово-экономической деятельности предприятия. – М.:ДИС, 1998. – 256 с.
4. Артеменко В.Г., Беллиндир М.В. Финансовый анализ: Учебное пособие. – М.: ДИС, НГАЭиУ, 1999. – 128 с.
5. Баканов М.И., Шеремет А.Д. Теория экономического анализа. – М.: ФиС, 1997. – 327 с.
6. Балабанов И.Т. Основы финансового менеджмента. Как управлять капиталом? - М.: Финансы и статистика, 1997 – 300 с..
7. Балабанов И.Т. Финансовый анализ и планирование хозяйствующего субъекта. – 2-е изд., доп. – М.: Финансы и статистика, 2001. – 208 с.
8. Бернстайн Л.А. Анализ финансовой отчетности: Теория, практика и интерпретация: Пер. с англ. – М.: ФиС, 1996. – 624 с.
9. Васина А.А. Анализ финансового состояния компании. – М, ИКФ «Альф», 2003 – 50 с.
10. Вахрин П.И. Финансовый анализ в коммерческих и некоммерческих организациях: Учебное пособие. – М.:ИКЦ «Маркетинг», 2001. – 320 с.
11. Воронов К.Е., Максимов О.А. Финансовый анализ. Некоторые положения и методики– М: ИКФ «Альф», 2003 – 25 с.
12. Голубков Е.П. Маркетинговые исследования. М.: - ИНФРА – М, 2001 – 524 с.
13. Грищенко О.В. Анализ и диагностика финансово-хозяйственной деятельности предприятия //Финансы, 2003., № 3.
14. Донцова А.В., Никифорова Н.А. Анализ финансовой отчетности // Финансовый менеджмент – 2003 № 1.
15. Ефимова О.В. Финансовый анализ. – М.: Бухгалтерский учет, 2001 – 526 с.
16. Ковалев В.В. Финансовый анализ. - М.: ФиС, 1996. – 432 с.
17. Ковалев В.В. Финансовый анализ: методы и процедуры. – М.: ФиС, 2002. – 560 с.
18. Крутик А.Б., Хайкин М.М. Основы финансовой деятельности предприятия – Спб: Бизнес-пресса, 1999. – 448 с.
19. Любушин Н.П., Лещева В.Б., Дьякова В.Г. Анализ финансово-экономической деятельности предприятия: Учеб. Пособие для вузов. – М.: ЮНИТИ-ДАНА, 2000. - 471 с.
20. Мескон М.Х. и др. Основы менеджмента. – М.: Дело 1992 – 254 с.
21. Никифорова Н.А. Анализ и мониторинг хозяйственной конъюнктуры. – М, 1998. – 144 с.
22. Попова Р.Г., Самонова И.Н., Доброседова И.И. Финансы предприятий, - СПб: Питер, 2002. – 224 с.
23. Савицкая Г.В. Анализ хозяйственной деятельности предприятия. – М.: ИНФРА-М, 2001 – 336 с.
24. Савчук В.П. Финансовый анализ деятельности предприятия (международные подходы), [email protected].
25. Селезнева Н.Н., Ионова А.Ф. Финансовый анализ. – М.: Юнити, 2002. – 479 с.
26. Справочник финансиста предприятия. Под ред. Уткина З.А. – М, 1998. – 268 с.
27. Тренев Н.Н. Управление финансами. – М.: ФиС, 2002. – 496 с.
28. Финансы. Под ред. Ковалевой А.М Учебное пособие. М.: Финансы и статистика,1998. – 654 с.
29. Хелферт Э. Техника финансового анализа. – М.: «Юнити»,1996. – 405 с.
30. Черногорский С.А. Основы финансового анализа, М., 2002. – 176 с.
31. Черненко А.В. Об использовании показателя объема продаж в финансовом анализе // Аудитор, 2002, № 11, с. 38-40
32. Четыркин Е.М. Методы финансовых и коммерческих расчетов, М.: Дело, 1995. – 320 с.
33. Шеремет А.Д., Сайфуллин Р.С. Финансы предприятий, М.: ИНФРА-М, 1998.
34. Шеремет А.Д., Сайфулин Р.С. Методика финансового анализа – М.: ИНФРА-М, 1998. – 328 с.
35. Шеремет А.Д., Сайфулин Р.С., Негалиев Е.В. Методика финансового анализа предприятий – М.:ИНФРА-М, 2001.
36. http://www.elcode.ru.
37. http://www.maz.com.by.
38. http://www.chelmaz.ru.
39. http://www.expert-systems.com
40. http://www.scip.ru..
41. http://www.mfbudget.vmgroup.ru.
42. http://www.alt-invest.ru.
|