Федеральное агентство по образованию
ГОУ ВПО
ВСЕРОССИЙСКИЙ ЗАОЧНЫЙ ФИНАНСОВО-ЭКОНОМИЧЕСКИЙ ИНСТИТУТ
Кафедра Экономики предприятий и предпринимательства
Факультет Менеджмента и Маркетинга
Специальность: Производственный менеджмент
КОНТРОЛЬНАЯ РАБОТА
по дисциплине «Инновационный менеджмент »
Вариант № 13
Студент:
Курс 5 №
Личное дело
Преподаватель:
Москва 2011
СОДЕРЖАНИЕ
Введение………………………………………………………………….…3
Теоретическая часть……………………..…………………………………4
1. Понятие интеллектуальной собственности..………………………..…4
1.1. Виды интеллектуальной собственности ………………….…....……7
Расчетная часть……………………..……………...…………………...…15
2. Задача………………………………………………………………...….15
3. Заключение……………………………………………………………..17
4. Список использованной литературы……………………...…………..18
Введение
Одним из главных показателей цивилизованного общества во все времена было и продолжает оставаться то, какое внимание уделяется в нем развитию науки, культуры и техники. От того, насколько значителен интеллектуальный потенциал общества и уровень его культурного развития, зависит и успех решения стоящих перед ним экономических проблем. В свою очередь наука, культура и техника могут динамично развиваться только при наличии соответствующих условий, включая необходимую правовую защиту и оценку интеллектуальной собственности.
В условиях современной рыночной экономики все более важным элементом становятся такие важные объекты собственности, как фирменные наименования, товарные знаки, знаки обслуживания и наименования мест происхождения товаров. Создание равных условий хозяйствования для различных типов товаровладельцев, внедрение конкурентных начал в их деятельность и повышение ответственности за ее результаты, необходимость насыщения рынка товарами и услугами обуславливает объективную потребность в оценке и защите объектов интеллектуальной собственности.
Теоретическая часть
1. Понятие интеллектуальной собственности
Интеллектуальная собственность (условный собирательный термин) включает права, относящиеся к литературным, художественным и научным произведениям, научным открытиям, изобретениям и т.д. Несколько упрощая, можно сказать, что к интеллектуальной собственности относится информация, которая может быть представлена на материальном носителе и распространена в неограниченном количестве копий по всему миру. Собственностью являются не эти копии, а отражаемая в них информация.
Интеллектуальная собственность обычно подразделяется на промышленную собственность и произведения, охраняемые авторским правом.
Конвенция об учреждении Всемирной организации интеллектуальной собственности (ВОИС), принятая в Стокгольме 14 июля 1967 г., предусматривает, что объектами права интеллектуальной собственности являются:
1) литературные, художественные произведения и научные труды;
2) исполнительская деятельность артистов, фонограммы и радиопередачи;
3) изобретения во всех областях человеческой деятельности;
4) научные открытия;
5) промышленные образцы;
6) товарные знаки, знаки обслуживания и коммерческие наименования и обозначения;
7) пресечение недобросовестной конкуренции.
Данный перечень конкретных видов интеллектуальной собственности не является исчерпывающим. Он может быть дополнен национальным законодательством.
Говоря об объектах интеллектуальной собственности, необходимо выделить их отличительные черты :
1) все объекты интеллектуальной собственности — результаты (или проявления) деятельности ума — это прямые и непосредственные проявления человеческого таланта в области науки, техники, литературы, искусства. Именно поэтому такого рода собственность обозначается как "интеллектуальная";
2) результаты интеллектуальной деятельности имеют стоимостные оценки, как и прочие продукты человеческого труда. Они могут быть предметом трудовых контрактов, договоров купли-продажи, передачи прав для использования другими субъектами, т. е. не авторами, изобретателями. Субъект осуществляет присвоение упомянутых нематериальных объектов своей властью и в своих интересах; содействие третьих лиц при этом не требуется;
3) продукты интеллектуальной деятельности выступают носителями определенной информации. Это — новые решения технических задач (изобретения, промышленные образцы) сведения о месте производства товара и т. д. Сама информация имеет нематериальный характер и, лишь будучи воплощенной в объективную форму (текст, символ, графический знак и т. д.), может быть включена в гражданско-правовой оборот в качестве интеллектуальной собственности;
4) большинство объектов интеллектуальной собственности как результаты творческого труда имеют авторов (изобретателей), чьи имена сопровождают данные объекты;
5) интеллектуальные продукты имеют нематериальный, невещественный, бестелесный характер в отличие от объектов вещных прав. Как всякие нематериальные объекты, не имеющие натуральной формы, результаты интеллектуальной деятельности не подвержены износу, амортизации, они могут устаревать лишь морально;
6) между объектами интеллектуальной собственности существует системная связь. Например, на этапе научно-технического прогресса формируются и развиваются интеллектуальные продукты, и последующие в известной мере зависят от предыдущих. Первоначально объективное выражение получают результаты научной деятельности — теории, гипотезы, уравнения, открытия и т. д. Воплощенные в рукописи, опубликованные статьи, монографии, научные отчеты, они нередко служат основанием перехода к опытно-конструкторским работам. Результатом этого являются изобретения, промышленные образцы, математические расчеты и т. д. — объекты интеллектуальной собственности.
1.1. Виды интеллектуальной собственности
Изобретение
Именно изобретение, т.е. оригинальное, творческое решение какой-либо проблемы, изначально стало объектом правовой охраны в разных странах. Осознание его значения как собственности дало толчок к принятию в разных странах законов, защищающих и охраняющих этот вид собственности.
Существуют два понятия «изобретение»: правовое (патентное) и техническое. Правовое понятие, различное в разных странах, призвано возможно точнее отразить границы, в которых на данный момент времени экономически целесообразна юридическая защита новых научно-технических знаний.
Как техническое понятие изобретение — это новое и обладающее существенными отличиями техническое решение задачи в любой отрасли народного хозяйства, социально-культурного строительства или обороны страны, дающее положительный эффект.
Изобретению предоставляется правовая охрана на основе патента, если оно считается новым, т.е. не известно из уровня техники и для специалистов явным образом не следует из этого уровня (так называемый изобретательский уровень).
Общепринятая система охраны технических новшеств базируется на следующих основных принципах:
- принцип признания за патентообладателем исключительного права на использование запатентованного объекта;
- принцип разумного баланса интересов патентообладателя и интересов общества: ограниченность срока действия патента, соблюдение требования внесения действительного вклада в уровень техники, возможность свободного использования объекта для научного эксперимента и т.п.;
- принцип предоставления охраны лишь объектам, отвечающим определенным требованиям, причем если заявка на них была подана в Патентное ведомство;
- принцип охраны прав и интересов не только патентообладателей, но и действительных создателей объектов.
Полезная модель
Полезная модель — это новое решение технической задачи, относящееся к устройству. Объект, защищаемый в качестве полезной модели, должен иметь явно выраженные пространственные формы (компоновку). Поэтому ни способы (технологические процессы), ни вещества в качестве полезных моделей не защищаются. В сущности, полезная модель — это название, применяемое к изобретениям в области механики.
В Патентном законе Российской Федерации полезная модель определена как «конструктивное выполнение средств производства и предметов потребления, а также их составных частей». Охрана полезных моделей обеспечивает для среднего и мелкого предпринимательства, отдельного изобретателя механизм быстрой и дешевой защиты их конструктивных разработок.
Полезные модели охраняются в России, Японии, Германии, Италии, Южной Корее и др. Критерии патентоспособности полезных моделей в основном такие же, как и изобретений: новизна, промышленная применимость, полезность, уровень изобретательского творчества.
Полезные модели отличаются от изобретений двумя аспектами:
во-первых, требуемый уровень технологического прогресса ниже;
во-вторых, срок охраны гораздо короче (5 лет).
Более короткий срок охраны полезных моделей по сравнению с изобретениями обусловлен достаточно быстрым обновлением потребительского рынка в условиях конкуренции и, в связи с этим, значительно более простым механизмом их защиты. Заявка на полезную модель подвергается только формальной экспертизе, и свидетельство на полезную модель может быть получено заявителем через полгода.
Негативным последствием данной системы является меньшая надежность выдаваемой охранной грамоты и, как следствие, возможность оспаривания правомерности выдачи свидетельства. Чтобы этого не допустить, заявитель вправе ходатайствовать о проведении информационного поиска по заявке для определения уровня техники и оценки новизны полезной модели.
Механизм охраны полезных моделей в России предусматривает следующую особенность. Если после проведения информационного поиска установлен высокий творческий уровень разработки, то в период до принятия решения о выдаче соответствующего свидетельства возможно преобразование заявки на полезную модель в заявку на изобретение. Кроме того, срок действия свидетельства на полезную модель в отличие от патента может быть продлен.
Промышленные образцы
В последние годы потребители все более заинтересованы в том, чтобы изделия, которые они покупают, были не только полезными, но и привлекательными в эстетическом плане. Это, с одной стороны, заставляет производителей вкладывать в дизайн все больше средств, а с другой — вызывает необходимость защиты результатов творческого труда дизайнеров посредством регистрации соответствующих образцов.
Промышленным образцом является художественно-конструкторское решение изделия, определяющее его внешний вид.
Промышленные образцы относятся к сфере дизайна, но в то же время служат в качестве моделей в промышленном или кустарном производстве. Промышленный образец представляет собой решение эстетической или декоративной стороны полезного изделия. Декоративная сторона выражается в форме, структуре, цвете изделия и должна воздействовать на зрительное восприятие. Образец должен быть воспроизводимым промышленными средствами, поэтому он и называется промышленным. Если этот момент отсутствует, изделие подпадает скорее под категорию произведений искусства, защита которых обеспечивается законодательством об авторском праве.
В мировой практике различают в основном две разновидности промышленных образцов:
1. Общеполезные (полезные) образцы, которые наряду с удовлетворением художественных, эстетических требований являются решением технической задачи.
2. Промышленные рисунки и модели, которые прежде всего охраняют эстетическую сущность рисунков изделий (например, этикетки на спичечные коробки, бутылки с безалкогольной и винно-водочной продукцией, расцветки тканей и т.д.).
Промышленные образцы могут быть объемными (модели), плоскостными (рисунки), комбинированными (табл. 1)
Наряду с эстетическими свойствами важными критериями промышленного образца являются его новизна (США, Япония и др.), оригинальность внешнего вида изделия (Франция) или сочетание этих условий (Англия, ФРГ).
Таблица 1. Виды промышленных образцов.
| Виды |
Характеристика |
Пример |
Объемные
|
Композиция, в основе которой лежит развитая трехмерная объемно-пространственная структура. |
Внешний вид кресла, автомобиля, телефонного аппарата. |
Плоскостные
|
Двухмерное линейно – цвето графическое соотношение элементов (конфигурация, орнамент, сочетание цветов).
|
Внешний вид ковра, косынки, галстука, ткани.
|
Комбинированные
|
Признаки, присущие объемными плоскостным промышленным образцам. |
Внешний вид посуды, на которой выполнен рисунок, обуви, упаковки, строительной отделочной плитки. |
Промышленные образцы защищаются против неправомочного копирования или имитации. Как правило, срок такой защиты определен в пять, десять или пятнадцать лет (в России — до 5 лет). Документ, удостоверяющий защиту промышленного образца, называют свидетельством о регистрации или патентом.
Патент защищает владельца, как от полного копирования промышленного образца, так и от имитации, т.е. попыток внести небольшие изменения, сохранив сущность (например, использование при производстве одежды более дешевой фурнитуры и тканей).
Заявитель, согласно отечественному законодательству, может выбирать форму юридической охраны нового и оригинального дизайна изделия — по нормам авторского права, или в соответствии с Патентным законом РФ, или одновременно по авторскому и патентному праву. Это позволит в случае нарушений определить наиболее эффективную форму преследования нарушителя. Авторское право, получаемое явочным порядком, защищает объект только от копирования и эффективно обеспечивает охрану образцов, являющихся прежде всего произведениями дизайна (мебель, высококлассная модная одежда), так как какие-либо незначительные изменения резко ухудшают эстетическую привлекательность образца. Патентное законодательство предоставляет владельцу исключительные права, т.е. право «исключать» из хозяйственной деятельности своих конкурентов, но при этом требуется проведение экспертизы. Патентное право эффективно для объектов долгосрочного использования, совмещающих оригинальный дизайн с научно-техническими решениями.
Товарные знаки и знаки обслуживания
Товарный знак и знак обслуживания — это обозначения, способные отличать товары и услуги одних юридических или физических лиц от однородных товаров и услуг других юридических и физических лиц.
Товарный знак — это символ, предназначенный в первую очередь для идентификации производителя, указывающий, кто несет ответственность за предлагаемые населению товары. Одинаковые товары могут изготавливаться разными производителями и распространяться разными продавцами и все они могут использовать свои товарные знаки. Конкурирующие товары будут различаться единственно по товарным знакам. Чтобы это работало на практике, товарные знаки должны быть не только разными, но и должны обладать высокими различительными свойствами.
История товарных знаков насчитывает тысячелетия. Примерно с 5000 года до нашей эры на глиняной посуде появляются обозначения, которые можно классифицировать как товарные знаки. Посуда, произведенная в Китае в период царствования императора Хонг - То, была маркирована обозначениями, которые указывали имя правящего императора и имя производителя или место производства. Практическое использование товарного знака широко началось в XIX в.
Первое практическое использование товарного знака связано с именами Уильяма Проктора и Джеймса Гембла.
До 1880 г. мыло производилось в домашних условиях или покупалось на вес, т.е. продавец отрезал кусок мыла подобно тому, как это делается с маслом. Технология производства мыла была крайне несовершенна, и качество продукта отличалось от партии к партии. Уильяму Проктору и Джеймсу Гемблу удалось создать технологию, обеспечивающую получение мыла постоянного качества. Американская компания «Procter & Gamble» выбрала для производимого ими мыла наименование «Ivory», которое и было зарегистрировано как товарный знак. Этот товарный знак не только идентифицировал производителя, но и использовался и используется до настоящего времени в рекламных целях как символ высокого качества и чистоты.
Товарные знаки могут быть самыми разнообразными: одна оригинально изображенная буква или цифра, целая фраза или лозунг, эмблема, виньетка (табл.2). Некоторые товарные знаки являются неотъемлемой частью товара, например, особый вид кромки ткани или особая форма горлышка бутылки. Этот последний пример важен, поскольку он показывает, что товарные знаки могут быть трехмерными.
Таблица 2. Виды товарных знаков.
| Слова |
“Apple”,”Волга”,”Microsoft” |
| Произвольные обозначения |
“Coca-cola”,”Xerox”,”Блиндональтс” |
| Имена |
“Ford”,”Mercedes” |
| Лозунги |
“Невозможное возможно”,”Есть идея .Есть Икея” |
| Конструкции |
Звезда на автомобилях “Mercedes-Benz” |
| Числа |
“777” для игровых автоматов |
| Сочетания букв |
BMW,KFC, |
| Рисунки и символы |
Символ компании MIchlen,микки-маус и т.д. |
| Объемные товарные знаки |
Оригинальные виды упаковки (бутылки, флаконы духов и т.д.) |
Товарный знак выполняет следующие функции:
• является ориентиром при выборе того или иного товара, так как выбор основывается на таких ожидаемых свойствах товара, как размер, цвет, аромат, вкус, долговечность, эффективность в эксплуатации, т.е. определенном его качестве;
• дает возможность изготовителям товаров распознать свои товары, когда они уже перешли в распоряжение других владельцев, например, магазинов, которые их продают;
• позволяет органам, отвечающим за контроль качества товаров, распознать их владельцев; в случае использования одинаковых или трудно различимых фирменных наименований товарный знак позволяет отличить товары одного производителя от похожих товаров другого производителя;
• выполняет рекламную функцию. Владелец товарного знака может ставить рядом с товарным знаком предупредительную маркировку, указывающую на то, что применяемое обозначение является товарным знаком, зарегистрированным в Российской Федерации. Закон не устанавливает в этом отношении каких-либо требований, предоставляя владельцу товарного знака свободу выбора, тем более, что применение предупредительной маркировки не является обязательным. Но любой выбор должен отвечать следующим условиям: предупредительная маркировка должна указывать на то, что обозначение является товарным знаком, и данный товарный знак зарегистрирован в России.
Закон устанавливает определенные требования к товарному знаку, основными из которых являются следующие:
- товарный знак должен состоять из обозначений, обладающих различительной способностью;
- он не может представлять собой герб, флаг и эмблемы, сокращенные или полные наименования международных и межправительственных организаций, официальные клейма, печати, награды и другие знаки отличия;
- не должен состоять из обозначений, являющихся общепринятыми символами и терминами;
- не может представлять собой обозначение, указывающее на вид, качество, свойства, назначение, ценность товара, а также на место и время его производства или сбыта;
- ни в целом, ни в своих элементах обозначение не должно вводить в заблуждение потребителя, противоречить общественным интересам, принципам гуманности и морали.
РАСЧЕТНАЯ ЧАСТЬ
2. Предприятие рассматривает целесообразность приобретения
новой технологической линии. На рынке имеются две модели предлагаемой линии со следующими параметрами.

Обоснуйте целесообразность инвестирования в модель 2, используя метод чистой приведенной стоимости (чистого дисконтированного дохода).
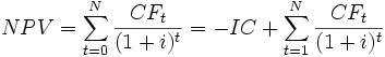
NPV рассчитывается по формуле:

,где CFt — платёж через t лет (t = 1,...,N),
i — ставка дисконтирования,
IC – начальная инвестиция.
Расчет NPV модели 1.
T0
= = = - 9000 долл.
T1
= = = 1891,89 долл.
T2
= = = 1693,54 долл.
T3
= = = 1544,11 долл.
T4
= = = 1390,72 долл.
T5
= = = 1250 долл.
T6
= = = 1122,99 долл.
T7
= = = 1014,49 долл.
T8
= = = 913,04 долл.
NPV модели 1 = 1820,78 долл.
Расчет NPV модели 2.
T0
= = = - 12200 долл.
T1
= = = 2027,02 долл.
T2
= = = 1814,51 долл.
T3
= = = 1654,41 долл.
T4
= = = 1490,06 долл.
T5
= = = 1339,28 долл.
T6
= = = 1203,20 долл.
T7
= = = 1086,95 долл.
T8
= = = 978,26 долл.
T9
= = = 882,35 долл.
T10
= = = 795,05 долл.
T11
= = = 714,28 долл.
T12
= = = 644,69 долл.
NPV модели 2 = 2430,06 долл.
Вывод: NPV модели 2 больше чем NPV модели 1 (2430,06 > 1820,78), следовательно целесообразнее использование модели 2.
3. Заключение
В современных экономических и политических условиях развития России все большую роль играют процессы, происходящие в ключевой сфере - интеллектуальной. Как известно, эта сфера относится к главнейшим ресурсам государства, его научно-техническому потенциалу, который, в конечном итоге, и определит судьбу и результат осуществляемых экономических преобразований.
Возможность определения и установления стоимости интеллектуального продукта, в том числе изобретения, условий его распространения, осуществления и реализации объективно позволяет приравнять такой продукт к товару и определить круг лиц, обладающих правами владения, распоряжения и использования этого изобретения.
Восприятие интеллектуального продукта (изобретения) как категории собственности, введение специального ее обозначения в мировой практике как промышленной собственности, понимание необходимости ее охраны и защиты стало значительным шагом в развитии общества, позволило законодательно регулировать правоотношения, связанные с созданием, правовой охраной и использованием изобретений и других интеллектуальных продуктов.
4. Список использованной литературы
1. А.П. Сергеев «Право интеллектуальной собственности в российской федерации», учебник, «Проспект», 1996г.
2. Полторак А., Лернер П. «Основы интеллектуальной собственности».- М.-Спб.:Диалектика , 2004год.
3. Бовин А.А., Чередников Л.Е. «Интеллектуальная собственность: экономический аспект».- М.:ИНФРА-М, 2001.
|