Министерство образования Российской Федерации
Иркутский Государственный Технический Университет
Физико-технический институт
Кафедра Квантовой физики и нанотехнологий
КУРСОВАЯ РАБОТА
Тема:
Полиномы.
Полиномы Лагерра в квантовой механике
Выполнил (а) студент (ка)
2 курса, группы НТ-08,
.
Научный руководитель
.,ДФМН, профессор кафедры квантовой физики
Иркутск
2010
Содержание
Введение
3
Глава
I
.
Ортогональные полиномы.
4
1.1. Понятие ортогональных полиномов 4
1.2. Классические ортогональные полиномы 5
1.3. Общие свойства ортогональных полиномов 7
Глава
II
. Полиномы Лагерра
8
Глава
III
. Применение полиномов Лагерра в квантовой механике
10
3.1. В радиальной части решения уравнения Шредингера для атома с одним электроном. 10
3.2. Переход в осцилляторе 12
Заключение 13
Используемая литература 14
Приложение 15
Введение
В представленной работе, я рассмотрела виды полиномов, в частности полиномы Лагерра, их основные свойства и применение в квантовой механике через математические выкладки решений уравнений Шредингера для атома водорода и гармонического осциллятора.
По своей сути полином - это алгебраическая сумма конечного числа одночленов, т.е. выражений вида Axk
yl
...wm
где x, y, ..., w -переменные, А (коэффициент многочлена) и k, l, ..., m (показатели степеней - целые неотрицательные числа)- постоянные. Многочлен от одного переменного x всегда можно записать в виде а0
хn
+ а1
хn
-1
+ ... + аn
-1
х + аn
.
К классическим ортогональным полиномам относятся полиномы Якоби , Эрмита , Лагерра 
Они часто встречаются в теоретической и математической физике. Классические ортогональные полиномы удовлетворяют уравнениям вида

где - полином степени не выше 2, - полином степени не выше 1, - постоянная.
В ходе работы использовала учебник Никифорова А.Ф.,Специальные функции математической физики; Фока. Начало квантовой механики.
Глава
I
. Ортогональные полиномы
1.1.Понятие ортогональных полиномов
Ортогональные полиномы
- системы полиномов , n = 0, 1, ..., ортогональных с весом на интервале (а, b)

где - квадрат нормы. Подобные системы возникают в различных задачах математики, физики: в теории представлений групп, в вычислит. математике, при решении задач на собственные значения в теории волн, квантовой механике и др.
Задание веса и интервала (а,b) определяет полином рn
(х), удовлетворяющий соотношению ортогональности (1) однозначно, с точностью до нормировочного множителя. Для полиномов рn
(х)справедливо след. явное выражение в виде определителя:

где Аn
- нормировочная постоянная , - момент весовой функции. Из соотношений ортогональности (1) можно получить свойства Ортогональных полиномов.
1.2.Классические ортогональные полиномы.
Полиномы Якоби, Лагерра и Эрмита
– полиномы типа yn
(z) являются решениями уравнения . Явные выражения для этих полиномов даются формулой Родрига , где Bn
– нормировочная постоянная, а функция p(z) удовлетворяет дифференциальному уравнению .
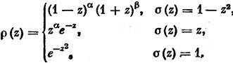
Решая эти уравнения, получим в зависимости от степени полинома следующие возможные виды функции p(z):
где – некоторые постоянные.
В зависимости от вида функции получаются следующие системы полиномов:
1.Пусть
Тогда
Соответствующие полиномы yn
(z) при называются полиномами Якоби и обозначаются 

2.Пусть Тогда
Полиномы yn
(z) при называются полиномами
Эрмита и обозначаются

3.Пусть Тогда
Полиномы yn
(z) при называются полиномами Лагерра и обозначаются :
1.3.Общие свойства ортогональных полиномов
Классические ортогональные*
полиномы обладают целым рядом свойств, которые вытекают непосредственно из свойств ортогональности полиномов. Таким свойствами обладают любые полиномы на интервале (a,b) с произвольным весом p(x)>0.
1.Разложение произвольных полиномов по ортогональным. (Произвольный полином n-й степени qn
(x) можно представить в виде линейной комбинации ортогональных полиномов pn
(x))
2.Единственность системы полиномов при заданном весе.
3.Рекуррентные соотношения (для произвольных ортогональных полиномов имеет место рекуррентная формула, связывающая три последовательных полинома 
где - некоторые постоянные
Глава
II
.
Полиномы Лагерра
В математике, многочлены Лагерра, названные в честь Эдмона Лагерра (1834—1886), являются каноническими решениями Уравнения Лагерра:

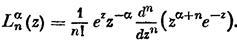
являющегося линейным дифференциальным уравнением второго порядка. Многочлены Лагерра, обычно обозначающиеся как , являются последовательностью полиномов, которая может быть найдена по Формуле Родрига

Эти полиномы ортогональны друг другу со скалярным произведением:

Многочлены Лагерра применяются в квантовой механике, в радиальной части решения уравнения Шредингера для атома с одним электроном. Имеются и другие применения многочленов Лагерра.
Полиномы Лагерра можно определить рекуррентной формулой:

предопределив первые два полинома как:


Обобщенные полиномы Лагерра.

где:
· **
— главное (радиальное) квантовое число;
· ***
— орбитальное (азимутальное) квантовое число.
Обобщённые полиномы Лагерра являются решениями уравнения:

так что .
Глава
III
. Применение полиномов Лагерра в квантовой
механике
.
Многочлены Лагерра нашли свое применение в квантовой механике:
3.1.В радиальной части решения уравнения Шредингера для атома с одним электроном (нормирование волновой функции).
Разложение волновой функции на множители, каждый из которых зависит либо от радиальной, либо от угловых координат, позволяет разбить общее условие нормировки
на два: по радиальной координате
и по угловым:
.
Для справочных целей выпишем полные выражения для нормированных волновых функций. Сумма может быть выражена через так называемую гипергеометрическую функцию. Радиальная часть волновой функции с учётом условия нормировки равна

Здесь F — вырожденная (конфлюэнтная) гипергеометрическая функция (функция Куммера):

которая сходится при всех конечных z; параметр α произволен, а β предполагается не равным нулю или целому отрицательному числу. Если α есть целое отрицательное число (или нуль), то F(α, β, z) сводится к полиному степени |α|. Радиальные волновые функции выражаются также через обобщённые полиномы Лагерра
:

3.2.Переход в осцилляторе
.
Расчет переходов в осцилляторе под действием внешней силы.
Под влиянием внешней силы квантовый осциллятор может переходить с одного уровня энергии ( ) на другой ( ). Вероятность этого перехода для осциллятора без затухания даётся формулой:
,
где функция определяется как:
,
а — полиномы Лагерра.
Заключение
В данной работе были рассмотрены полиномы - алгебраические многчлены Якоби, Эрмита и Лагерра, их форма записи, общие свойства. Более подробно рассматривались полиномы Лагерра, они нашли свое применение в квантовой механике - являются частью рассчетов вывода уравнения Шредингера и уравнения переходов в осцилляторе под действием внешней силы.
Используемая литература
1. Никифоров А. Ф., Уваров В. Б., Специальные функции математической физики, 2 изд., М., 1984
2. Суетин П. К., Классические ортогональные многочлены, 2 изд., М., 1979
3. Фок. Начало квантовой механики.
Приложение
*
Если скалярное произведение двух элементов пространства равно нулю, то они называются ортогональными друг другу
**
Главное (радиальное) квантовое число — целое число, обозначающее номер энергетического уровня. Характеризует энергию электронов, занимающих данный энергетический уровень. Является первым в ряду квантовых чисел, который включает в себя главное, орбитальное и магнитное квантовые числа, а также спин. Эти четыре квантовые числа определяют уникальное состояние электрона в атоме (его волновую функцию). Главное квантовое число характеризует энергию электрона. Оно обозначается как n. При увеличении главного квантового числа возрастают радиус орбиты и энергия электрона.
Наибольшее число электронов на энергетическом уровне, с учетом спина электрона определяется по формуле 
***
Орбитальное квантовое число (азимутальное) - определяет азимутальное распределение плотности вероятности локализации электрона в атоме, то есть форму электронного облака и определяет энергетический подуровень данного энергетического уровня.
Связано с n -главным (радиальным) квантовым числом соотношением:

*
см. приложение
**
см. приложение
|