| Зміст
Вступ. ……………………………………………………………
2
Розділ 1.
Квантові ями
1.1 Технологія виготовлення квантових ям …………………..3
1.2 Особливості енергетичний рівнів………………………… 5
1.3 Застосування квантових наноструктур в електроніці ……5
Розділ 2.
Квантовий дріт, нитки
2.1 Квантовий дріт ……………………………………………...8
2.2 Особливості квантових дротів ……………………………..8
2.3 Квантові нитки. Виготовлення квантових ниток ………..10
Розділ 3.
Квантові точки
3.1 Технологія виготовлення квантових точок ……………...10
3.2 Особливості квантових точок …………………………….11
Розділ 4.
Надгратки
4.1 Види надграток …………………………………………….12
4.2 Фізичні властивості надграток …………………………...12
4.3 Технологія виготовлення надграток ……...……………...13
4.4 Енергетична структура напівпровідникових надграток ..16
4.5 Застосування надграток в електроніці …………………...17
Висновок
………………………………………………………19
Список літератури
…………………………………………...20
Вступ
У першій половині 50-х років XX ст перед Фізико-технічним інститутом ім. А.Ф. Іоффе було поставлено завдання створити вітчизняні напівпровідникові прилади для впровадження у вітчизняну промисловість. Перед лабораторією стояло завдання: отримання монокристалів чистого германію і створення на його основі площинних діодів і тріодів. За участю Алфьорова Жореса Івановича були розроблені перші вітчизняні транзистори і силові германієві прилади. Відкриття Ж.І. Алфьоровим ідеальних гетеропереходів і нових фізичних явищ - «суперінжекціі», електронного та оптичного обмеження в гетероструктурах - дозволило також кардинально поліпшити параметри більшості відомих напівпровідникових приладів і створити принципово нові, особливо перспективні для застосування в оптичній і квантової електроніки.
На початку 90-х років одним з основних напрямів робіт, що проводяться під керівництвом Ж.І. Алфьорова, стає отримання і дослідження властивостей наноструктур зниженої розмірності: квантових дротів і квантових точок.
У 1993-1994 роках вперше в світі реалізуються гетеролазери на основі структур з квантовими точками - «штучними атомами». У 1995 році Ж.І. Алфьоров зі своїми співробітниками вперше демонструє інжекційні гетеролазер на квантових точках, що працює в безперервному режимі при кімнатній температурі. Принципово важливим стало розширення спектрального діапазону лазерів з використанням квантових точок на підкладках GaAs. Таким чином, дослідження Ж.І. Алфьорова заклали основи принципово нової електроніки на основі гетероструктур з дуже широким діапазоном застосування, відомої сьогодні як "зонна інженерія».
Розділ 1
. Квантові ями
1.1 Технологія виготовлення квантових ям
Найпростіша квантова структура, в якій рух електрона обмежена в одному напрямку, - це тонка плівка або просто досить тонкий шар напівпровідника. Саме на тонких плівках металу вісмуту і напівпровідника InSb вперше спостерігалися ефекти розмірного квантування [2]. В даний час квантові структури виготовляють інакше. Розглянемо структуру енергетичного спектру напівпровідників. Цей спектр складається з дозволених і заборонених енергетичних зон, які сформовані з дискретних рівнів атомів, що утворюють кристал. Найвища енергетична зона називається зоною провідності. Нижче зони провідності розташована валентна зона, а між ними лежить заборонена зона енергій. В одних напівпровідників заборонені зони широкі, а в інших більш вузькі. Що станеться, якщо привести в контакт два напівпровідника з різними забороненими зонами (межа таких напівпровідників називається гетероструктурою). На рис. 1 зображена кордон вузькозонних і широкозонного напівпровідників. Для електронів, що рухаються в вузькозонних напівпровідників і мають енергію менше , Кордон буде грати роль потенційного бар'єру. Два гетеропереходи обмежують рух електрона з двох сторін і як би утворюють потенційну яму.
Таким способом і створюють квантові ями, поміщаючи тонкий шар напівпровідника з вузькою забороненою зоною між двома шарами матеріалу з ширшою забороненою зоною. У результаті електрон виявляється замкненим в одному напрямку, що і призводить до квантування енергії поперечного руху. У той же час у двох інших напрямках рух електронів буде вільним, тому можна сказати, що електронний газ у квантовій ямі стає двовимірним. Таким же чином можна приготувати і структуру, що містить квантовий бар'єр, для чого слід помістити тонкий шар напівпровідника з широкою забороненою зоною між двома напівпровідниками з вузькою забороненою зоною.
Електрон з енергією менше (рівень показаний червоним кольором) може знаходитися тільки праворуч від межі.
Коли рух електрона відбувається в обмеженій області, його енергія має строго визначені, дискретні значення. Кажуть, що спектр енергій квантований.

Рис. 1 Енергетичні зони на межі двох напівпровідників - гетероструктурі. і - межі зони провідності і валентної зони, Eg
- ширина забороненої зони.
У квантовій механіці електрон не бігає в обмеженій області, як класична частинка. Якщо він замкнаний в атомі, молекулі або будь-якої потенційної ямі, то хвильова функція представляє собою стоячу хвилю. Якщо мова йде про прямокутну потенційну яму, яка зображена на рис. 2, то за своєю формою хвиля буде такою ж, як і у випадку натягнутої струни, але дискретним в цьому випадку буде не спектр частот, а спектр енергій. Стоячі хвилі, що описують електронні стани в ямі, - це синусоїди, які обертаються в точках x = 0 і x = a в нуль.

Рис. 2. Хвильові функції та рівні енергії частки, що знаходиться в нескінченно глибокій потенційній ямі. Показані три нижніх енергетичних рівня (червоний колір) і три хвильові функції
, (1)
де n-номер квантового стану, a - розмір ями. На рис. 2 зображені три такі функції, відповідні n = 1, 2, 3, ... Електронна щільність у ямі розподіляється нерівномірно, є максимуми і мінімуми щільності ймовірності. З формули (1) випливає також, що довжини хвиль хвильових функцій, що описують електронні стани з різними n, задовольняють умовам , тобто в ямі укладається ціле число півхвиль.
1.2 Особливості енергетичних рівнів
Знайдемо дозволені рівні енергії електрона, що знаходиться в потенційній ямі. Скористаємося правилом квантування Н. Бора. Згідно постулату Бора, в потенційній ямі дозволені лише ті траєкторії, для яких імпульс частинки pn
і ширина ями a пов'язані співвідношенням (2)
Тут n - номер квантового стану. Визначивши звідси дозволені значення імпульсу, знайдемо і рівні енергії в ямі:
(3)
Мінімальна енергія частки, що знаходиться в ямі, не може бути рівною нулю. Завжди існує так звана енергія нульових коливань, яка, згідно з формулою (3), дорівнює n2
h2
/(2ma2
).. Обчислимо, який порядок має величина першого рівня в реальному квантовій ямі. Якщо ширина ями дорівнює 5 нм, то, згідно (3), маємо E 1
= 0,02 еВ. Потрібно, однак, мати на увазі, що електронна маса в кристалі може істотно відрізнятися від маси вільного електрона m = 10-27
г. У типовій ситуації ефективна маса в квантовій ямі в десять разів менше маси вільного електрона. Тоді при тій же ширині ями отримаємо E1
= 0,2 еВ. Ця величина і визначає характерний масштаб електронних енергій у квантових структурах.
1.3 Застосування квантових наноструктур в електроніці
Розглянемо принцип дії двох основних приладів сучасної квантової електроніки.
Резонансний тунельний діод.
У класичній фізиці якщо повна енергія частинки менше потенційної енергії в області бар'єру, то ця частка відбивається і потім рухається у зворотному напрямку. У тому випадку, коли повна енергія перевищує потенційну, бар'єр буде подолано. Квантова частинка поводиться інакше: вона долає бар'єр подібно хвилі. Навіть якщо повна енергія менше потенційної, є вірогідність подолати бар'єр. Це квантове явище отримало назву "тунельний ефект". Воно використовується в резонансному тунельному діоді.
Він складається з двох бар'єрів, розділених областю з малою потенціальною енергією. Область між бар'єрами - це ніби потенційна яма, в якій є один або кілька дискретних рівнів. Характерна ширина бар'єрів і відстань між ними становлять кілька нанометрів. Області ліворуч і праворуч від подвійного бар'єру грають роль резервуарів електронів провідності, до яких примикають контакти. Електрони займають тут досить вузький енергетичний інтервал. У приладі використовується наступна особливість подвійного бар'єру: його тунельна прозорість має яскраво виражений резонансний характер. У тому випадку, коли енергія електронів, що налітають на бар'єри, дорівнює енергії дискретного рівня, тунельна прозорість різко зростає. При резонансі завдяки інтерференції хвиль у внутрішній області гаситься хвиля, що відбивається від подвійного бар'єру. Отже, хвиля, що впала ліворуч, повністю проходить направо.
Розглянемо, як працює резонансний діод. Струм, що протікає через подвійний бар'єр, залежить від величини прикладеної напруги. Потенціал в приладі падає головним чином в області подвійного бар'єру, оскільки області ліворуч і праворуч від нього володіють високою провідністю. Якщо прикладена напруга мала і енергія електронів, що налітають на бар'єр зліва, менше енергії дискретного рівня, то прозорість бар'єру і, отже, що протікаючий струм будуть малі. Струм досягає максимального значення за таких напругах, коли енергія електронів дорівнює енергії дискретного рівня. При більш високих напругах енергія налітаючих електронів стане більшою за енергії дискретного рівня і тунельна прозорість бар'єру зменшиться. При цьому струм також зменшиться. На вольт-амперної характеристиці буде ділянка негативного диференціального опору. Завдяки цьому в електронних схемах резонансний діод може використовуватися не тільки як випрямляч, а й виконувати різноманітні функції. Якщо до центральної області резонансного діода підвести контакт, через який можна управляти положенням дискретного рівня, вийде новий прилад - транзистор.
Резонансний тунельний діод - це перше реальний пристрій з квантовою ямою і бар'єрами. Він був створений Лео Есакі і Чангом в 1974 році. Ідею приладу запропонував Л. Йогансен ще в 1963 році.
Лазери на квантових ямах.
Квантові структури використовуються для створення лазерів. Вже сьогодні ефективні лазерні пристрої на квантових ямах дійшли до ринку і застосовуються у волоконно-оптичних лініях зв'язку. Для роботи будь-якого лазера необхідно створити інверсну населеність енергетичних рівнів. Тобто, на більш високому рівні має перебувати більше електронів, ніж на низькому, у той час як у стані теплової рівноваги ситуація обернена. Кожному лазеру необхідний оптичний резонатор або система дзеркал, яка зосереджує електромагнітне випромінювання в робочому об'ємі.
Для того щоб квантову яму перетворити на лазер, потрібно її під'єднати до двох контактів, через які електрони можуть безперервно надходити в робочу область. Нехай через один контакт електрони надходять у зону провідності. Далі, роблячи стрибки із зони провідності у валентну зону, вони будуть випромінювати кванти, тобто порції електромагнітного випромінювання (рис. 3). Потім через валентну зону носії струму повинні йти на інший контакт.

Рис. 3 - Енергетична схема лазера на квантовій ямі
Частота випромінювання визначається умовою (4),
де і – енергії перших енергетичних рівнів відповідно в зоні провідності і валентної зоні, Eg
- ширина забороненої зони.
Електромагнітне випромінювання, що генерується лазером, потрібно сконцентрувати в центральній, робочої області приладу. Для цього показник заломлення внутрішніх шарів повинен бути більше, ніж зовнішніх. Внутрішня область відіграє роль хвилеводу. На кордонах цього хвилеводу нанесені дзеркала, які утворюють резонатор.
Лазери на квантових ямах мають переваги в порівнянні зі звичайними напівпровідниковими лазерами. Ці прилади можна перебудовувати, керуючи параметрами енергетичного спектру. Так, при зменшенні розмірів ями мінімальні енергії електронів в зоні провідності і у валентній зоні збільшуються і, відповідно до формул (3) і (4), частота, що генерується лазером, зростає. Підбираючи товщину квантової ями, можна домогтися, щоб згасання хвилі в оптичній лінії зв'язку, у яку надходить випромінювання, було мінімальним. Лазери на квантових структурах дуже економні, вони живляться меншим струмом, ніж інші напівпровідникові лазери, і дають більше світла на одиницю споживаної енергії - до 60% електричної потужності перетворюється на світло.
Розділ 2
. Квантовий дрот, нитки
2.1 Квантовий дріт
Квантовими дротами називають структури товщиною всього в один атом. Фахівці з дослідницького центру IBM Н.Д. Ланг і П. Авуріс виконали теоретичний розрахунок провідності квантового дроту, що складається з атомів вуглецю. Згідно з їх обчисленням, провідність квантового дроту при збільшенні її довжини змінюється не монотонно, а коливається. Вона досягає максимумів для дроту, що складається з парного числа атомів, оскільки в цьому випадку можливе більше число дозволених електронних станів. У Японії. Х. Оніші і його колеги з Токіо створили квантовий дріт з атомів золота між голкою скануючого тунельного мікроскопа і поверхнею золотого зразка. При збільшенні відстані між голкою і поверхнею дріт стає довшим і тоншим. Провідність дроту при його розтягуванні змінювалася стрибками на квантову одиницю провідності 2e2
/h. Така ж стрибкоподібна зміна провідності спостерігалося і в університеті Лейдена (Нідерланди). Створений там квантовий дріт являв собою мікроскопічний міст між двома кінцями надломленої золотої дротини.
2.2 Особливості квантових дротів
Одним з найбільш важливих наслідків отримання одновимірних балістичних каналів всередині гетероструктур GaAs-AGaAs і кремнієвих надграток стало виявлення квантування провідності в залежності від напруги на затворі, керуючого шириною квантового дроту, яке проявляється у вигляді серії одномірної провідності, розділених ступенями величиною gs
gv
e2
/h; де gs
і gv
- спіновий і частковий фактори відповідно. Зростання напруги на затворі призводить до збільшення ширини квантової дроту, тим самим стимулюючи заповнення більшої кількості підзон розмірного квантування. При цьому залежність G(Vg
) має яскраво виражений ступінчастий характер, так як кондактанс квантового дроту змінюється стрибком кожного разу, коли рівень Фермі співпадає з однією з підзон розмірного квантування:

де N-число заповнених підзон розмірного квантування, що відповідає номеру верхній заповненої одномірної підзони квантовий дроту.
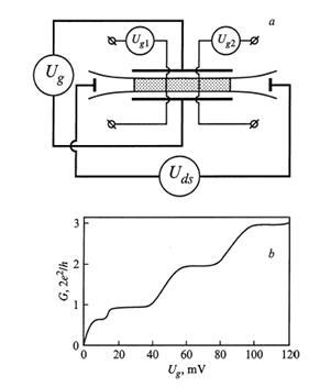
Рис. 4 . Схема розщепленого затвора (при напрузі Ug
), що використовується для одержання модульованих квантових дротів всередині квантових ям .
Спостерігається величина сходинок квантованной провідності, як правило, дещо менше, ніж , що може бути результатом впливу спінової поляризації носіїв в нульовому магнітному полі або порушення когерентності з причини як електрон-електронної взаємодії, так і розсіяння на домішкових центрах. Залишкові домішки, розподілені уздовж кордонів квантового дроту, є основою при створенні внутрішніх бар'єрів, які модулюють характеристики одновимірного транспорту. Потужність подібних бар'єрів регулюється шляхом зміни напруги на затворі, керуючого шириною квантового дроту, і особливо-за допомогою додаткових "пальчикових" затворів , що застосовуються для квантових точок між двома сусідніми бар'єрами.
Напруги Ug1 і Ug2 прикладаються до "пальчикових" затворам, що призначені для реалізації квантових точок. Положення рівня Фермі відповідає заповнення одновимірних підзон важких дірок .
2.3 Квантові нитки. Виготовлення квантових ниток
Технологи розробили декілька способів отримання квантових ниток. Цю структуру можна сформувати, наприклад, на межі поділу двох напівпровідників, де знаходиться двовимірний електронний газ. Це можна зробити, якщо нанести додаткові бар'єри, які обмежують рух електронів ще в одному або двох напрямках. Квантові нитки формуються в нижній точці V-подібною канавки, утвореної на напівпровідниковій підкладці. Якщо в основу цієї канавки осадити напівпровідник з меншою шириною забороненої зони, то електрони цього напівпровідника будуть замкнені у двох напрямках.
Розділ 3.
Квантові точки
3.1 Технологія виготовлення квантових точок
Технологи розробили декілька способів отримання квантових точок. Цю структуру можна сформувати також як і квантові нитки, на межі поділу двох напівпровідників, де знаходиться двовимірний електронний газ, або нанести додаткові бар'єри, які обмежують рух електронів ще в одному або двох напрямках.
На рис. 5 показані квантові точки, створені на межі розділу арсеніду галію і арсеніду алюмінію-галію. У процесі росту в напівпровідник AlGaAs були введені додаткові домішкові атоми. Електрони з цих атомів йдуть в напівпровідник GaAs, тобто в область з меншою енергією. Але вони не можуть піти дуже далеко, тому що притягуються до покинутих ними атомам домішки, які отримали позитивний заряд. Практично всі електрони зосереджуються у самої гетерограниці з боку GaAs і утворюють двовимірний газ. Процес формування квантових точок починається з нанесення на поверхню AlGaAs ряду масок, кожна з яких має форму кола. Після цього проводиться глибоке травлення, при якому видаляється весь шар AlGaAs і частково шар GaAs (це видно на рис. 5).

Рис. 5. Квантові точки, сформовані в двовимірному електронному газі на кордоні двох напівпровідників
У результаті електрони опиняються у утворених циліндрах (на рис. 5 область, де знаходяться електрони, пофарбована в червоний колір). Діаметри циліндрів мають порядок 500 нм.
3.2 Особливість квантових точок
У квантовій точці рух обмежено в трьох напрямках і енергетичний спектр повністю дискретний, як в атомі. Тому квантові точки називають ще штучними атомами, хоча кожна така точка складається з тисяч або навіть сотень тисяч справжніх атомів. Розміри квантових точок (можна говорити також про квантові ящиках) порядку декількох нанометрів. Подібно справжньому атому, квантова точка може містити один або кілька вільних електронів. Якщо один електрон, то це ніби штучний атом водню, якщо два - атом гелію і т.д.
Крім простого нанесення малюнка на поверхню напівпровідника і травлення для створення квантових точок можна використовувати природну властивість матеріалу утворювати маленькі острівці у процесі росту. Такі острівці можуть, наприклад, мимовільно утворитися на поверхні зростаючого кристалічного шару.
Останнім часом в багатьох лабораторіях світу ведуться роботи зі створення лазерів на квантових точках.
Розділ 4.
Надгратки
4.1 Види надграток
В останні роки зростає інтерес дослідників, інженерів, технологів до шаруватих структур, що складається з різних напівпровідникових (напівпровідникові надгратки) або магнітних (магнітні мультишари) матеріалів. Напівпровідникові надгратки і магнітні мультишари мають характерні розміри шарів 10 - 1000 нм і їх прийнято називати наноструктурами. Крім напівпровідникових надграток і магнітних мультишарів до наноструктур можна віднести і ряд інших матеріалів: фулерени, пористі кремнієві трубки, деякі біологічні об'єкти. Розрізняють напівпровідникові надгратки, композиційні і леговані надгратки.
Надграткою називається періодична структура, що складається з тонких чергуються в одному напрямку шарів напівпровідників. Період надгратки набагато перевищує постійну кристалічної решітки, але менший довжини вільного пробігу електронів. Така структура має, крім періодичного потенціалу кристалічної решітки, додатковим потенціалом, обумовлений шарами, що чергуються напівпровідників, і який називають потенціалом надгратки. Наявність потенціалу надгратки істотно змінює зонну енергетичну структуру вихідних напівпровідників.
4.2 Фізичні властивості надграток
Напівпровідникові надгратки володіють особливими фізичними властивостями, головні з яких наступні:
• суттєва зміна в порівнянні з вихідними напівпровідниками енергетичного спектру;
• наявність великої кількості енергетичних зон;
• дуже сильна анізотропія (двовимірна);
• придушення електронно-діркової рекомбінації;
• концентрація електронів і дірок у надгратках є перебудовуваною величиною, а не визначається легуванням;
• широкі можливості перебудови зонної структури.
Всі ці особливості напівпровідникових надграток дозволяють вважати ці штучні структури новим типом напівпровідників.
4.3 Технологія виготовлення надграток
Композиційні надгратки, являють собою почергово епітакісально вирощені шари різних за складом напівпровідників з близькими сталими решітки. Історично перші надгратки були отримані для системи напівпровідників GаАs - Аlx
Ga1-
x
Аs [1] Успіх у створенні цієї надгратки був обумовлений тим, що Аl, що має таку ж валентність і іонний радіус, що і Gа, не викликає помітних спотворень кристалічної структури вихідного матеріалу. У той же час Аl здатний створити достатню амплітуду надграткового потенціалу.
По розташуванню енергетичних зон напівпровідників композиційні надгратки поділяються на кілька типів. Напівпровідникова надгратка GаАs - АlxGa1-xАs відноситься до надграток I типу у яких мінімум зони провідності Еc1 і максимум валентної зони Еv1 одного напівпровідника по енергії розташовані всередині енергетичної щілини іншого (рис. 6, а). У надгратках цього типу виникає періодична система квантових ям для носіїв струму в першому напівпровіднику, які відокремлені один від одного потенційними бар'єрами, створюваними в другому напівпровіднику. Глибина квантових ям для електронів ΔЕС визначається різницею між мінімумами зон провідності двох напівпровідників, а глибина квантових ям для дірок - різницею між максимумами валентної зони ΔЕv (рис. 6, а).

Рис. 6 . Розташування країв енергетичних зон в напівпровідниках (зліва) і композиційних надгратках(справа)
У композиційних надгратках II типу (рис. 6, б) мінімум зони провідності одного напівпровідника розташований в енергетичній щілини другого, а максимум валентної зони другого - в енергетичній щілини першого [1]. Енергетичну діаграму надгратки цього типу ілюструє рис. 6, б справа. У цих надгратках модуляція країв зони провідності і валентної зони має один і той же знак. Прикладом надгратки з такою енергетичною структурою є система InxGa1‑xAs – GaSb1-yAsy. До цього ж типу відносяться і композиційні надгратки, у яких мінімум зони провідності одного напівпровідника розташований енергетично нижче, ніж максимум валентної зони іншого (композиційні надгратки II типу з забороненими зонами, що перекриваються). Прикладом такої надгратки може служити система InAs – GaSb.
У легованих надгратках періодичний потенціал утворений чергуванням шарів n-і p-типів одного і того ж напівпровідника. Ці шари можуть бути відокремлені один від одного нелегований шарами. Такі напівпровідникові надгратки називають часто nipi-кристалами. Для створення легованих надграток найчастіше використовують GaAs.
Потенціал надгратки в легованих надгратках створюється тільки просторовим розподілом заряду. Він обумовлений потенціалом іонізованних домішок у легованих шарах. Всі донорні центри в легованих надгратках є позитивно зарядженими, а всі акцепторні центри - негативно зарядженими. Потенціал об'ємного заряду в легованих надгратках модулює краї зон вихідного матеріалу таким чином, що електрони і дірки виявляються просторово розділеними. Відповідним вибором рівня легування і товщини шарів цей поділ можна зробити практично повним.
Важливою особливістю легованих надграток є те, що екстремуми хвильових функцій електронів і дірок зміщені один відносно одного на половину періоду надгратки. Вибором параметрів надгратки це перекриття можна зробити дуже малим, що робить виключно великим рекомбінаційний час життя носіїв струму. Ця обставина дозволяє легко змінювати концентрацію носіїв струму в цих надгратках [3].
Крім композиційних і легованих надграток можливі й інші типи цих матеріалів, що розрізняються споcобом створення модулюючого потенціалу. У спінових надгратках [3] легування вихідного напівпровідникового матеріалу здійснюється магнітними домішками. Періодичний потенціал у таких надгратках виникає при накладенні зовнішнього магнітного поля. Потенціал надгратки може створюватися також періодичної деформацією зразка в полі потужної ультразвукової хвилі або стоячій світлової хвилі [3].
4.4 Енергетична структура напівпровідникових надграток
Фізичні властивості напівпровідникових надграток визначаються їх електронним спектром. Для знаходження електронного спектра необхідно розвязати рівняння Шредінгера для хвильової функції електрона в надгратці (r) у одно електронному наближені, що містить як потенціал кристалічної решітки V (r), так і потенціал надгратки (z):
(5)
Тут z - напрям, перпендикулярний поверхні надгратки (вісь надгратки); - ефективна маса електрона; Е - повна енергія частинки.
Оскільки потенціал надгратки залежить тільки від координати z, що збігається з віссю надгратки, то енергетичний спектр електронів у надгратці різко анізотропний. На рух електронів в площині, перпендикулярної осі надгратки її потенціал не буде здійснювати помітного впливу. У той же час, рух електронів уздовж осі z буде відповідати руху в полі з періодом d.
У загальному вигляді дисперсійне співвідношення для електрона в надгратці (6), тут j - номер енергетичної мінізони.
Оскільки потенціал надгратки періодичний, то енергетичний спектр електрона в напрямку осі надгратки має зонний характер. Так як період надгратки d значно більше постійної кристалічної решітки а, то отримані при цьому надграткові зони (мінізони) являють собою більш дрібне дроблення енергетичних зон вихідних напівпровідників.
Густина електронних станів в напівпровідниковій надгратці істотно відрізняється від відповідної величини в тривимірній електронній системі. На рис. 7. показана залежність щільності електронних станів в надгратці від енергії Е [1]. Інтервал енергії містить три перші мінізони. Ширина кожної з цих мінізон позначена відповідно E1, E2 і E3. Для порівняння на цьому ж малюнку наведено залежності (7) для тривимірного електронного газу (крива 2) і (і-ціле) для двовимірного газу електронів (штрихова ступінчаста лінія 3).

Рис. 7 . Густина електронних станів в надгратці
Розщеплення енергетичної зони напівпровідника в напрямку осі надгратки на ряд мінізон, що не перекриваються, є загальним результатом для надграток різного типу. Дисперсійний закон для носіїв заряду в мінізонах, розташування і ширина мінізони визначається конкретним типом надгратки.
4.5 Застосування надграток в електроніці
Велику групу застосування становлять оптоелектронні прилади - фотоприймачі, світловипромінюючі прилади (інжекційні лазери і світлодіоди), пасивні оптичні елементи, хвилеводи, модулятори, спрямовані відгалужувачі та ін .
Інжекційні лазери на гетеропереходах мають переваги перед звичайними напівпровідниковими лазерами, оскільки інжектовані носії у лазерах на гетеропереходів зосереджуються у вузькій області. Тому стан інверсної населеності носіїв заряду досягається при значно менших густині струму, ніж у лазері на pn-переході. Застосування замість одиночних гетеропереходів багатошарових надгратокових структур дозволяє виготовити лазери, що працюють на декількох довжинах хвиль.
В якості прикладу на рис. 10 показано схематичне зображення структури многоволновой лазера [6]. У структурі є чотири активних шари AlxGa1-xAs різного складу (x = x1, x2, x3, x4), завдяки яким лазер одночасно працює на чотирьох довжинах хвиль 1, 2, 3 та 4. Активні шари відокремлені один від одного проміжними шарами AlyGa1-yAs (y > x1, x2, x3, x4). Для створення pn-переходів у структурі проводилася локальна дифузія Zn.

Рис. 10. Схематичне зображення багатохвильового лазера
Велику групу приладів на напівпровідникових надгратках становлять пристрої з негативним диференціальним електроопором. На основі напівпровідникових надграток виготовляють також різні транзистори. Досить велика частота квантових осциляцій електронів у надгратках значно розширює можливості виготовлених на їх основі приладів НВЧ.
Висновок
На основі запропонованих в 1970 році Ж. І. Алфьоровим і його співробітниками ідеальних переходів в багатокомпонентних сполуках InGaAsP створені напівпровідникові лазери, що працюють в істотно більш широкої спектральної області, ніж лазери в системі AIGaAs. Вони знайшли широке застосування в якості джерел випромінювання у волоконно-оптичних лініях зв'язку підвищеної дальності.
Минуло понад 30 років з тих пір, як почалося вивчення квантових ефектів у напівпровідникових структурах. Були зроблені відкриття в галузі фізики низькорозмірних електронного газу, досягнуті вражаючі успіхи в технології, побудовані нові електронні та оптоелектронні прилади. І сьогодні у фізичних лабораторіях активно тривають роботи, спрямовані на створення та дослідження нових квантових структур і приладів, які стануть елементами великих інтегральних схем, здатних з високою швидкістю переробляти і зберігати величезні обсяги інформації. Можливо, що вже через кілька років настане ера квантової напівпровідникової електроніки.
Література
1. Есакі Л. Молекулярно-променева епітаксії і розвиток технології напівпровідникових надграток і структур з квантовими ямами .- В кн: Молекулярно-променева епітаксії та гетероструктури.: Пер. з англ. / Под ред. Л. Ченга, До Плог .- М.: Світ, 1989 .- с. 7 - 36.
2. Херман М. Напівпровідникові надгратки.- М.: Світ, 1989 .- 240 с.
3. Сілін А.П. Напівпровідникові надгратки / / Успіхи фізичних наук. - 1985. - Т.147, вип. 3 .- C. 485 - 521.
4. Бастар Г.. Розрахунок зонної структури надграток методом обвідної функції .- В кн: Молекулярно-променева епітаксії та гетероструктури / Под ред. Л. Ченга, К. Плог .- М.: Світ, 1989 .- С. 312 -347.
5. Цанг В.Т. Напівпровідникові лазери і фотоприймачі, отримані методом молекулярно-променевої епітаксії .- В кн: Молекулярно-променева епітаксії та гетероструктури / Под ред. Л. Ченга, К. Плог .- М.: Світ, 1989 .- С. 463 -504.
|