| 1. ТЕПЛОВАЯ СХЕМА КОТЛА
1.1. Основные определения.
Котельная установка
– это комплекс устройств, предназначенных для получения пара или горячей воды. Котельная установка может быть одной из составляющих тепловой электростанции или выполнять самостоятельные функции (отопление и горячее водоснабжение, технологическое водо- и пароснабжение).
В зависимости от назначения котельная установка состоит из парового или водогрейного котла и вспомогательного оборудования, обеспечивающего его работу. Последовательно включенные элементы котельной установки образуют тракты.
Топливный тракт
– комплекс оборудования для подготовки топлива к сжиганию и подачи в топку. При использовании твердого топлива в него могут входить бункера, питатели сырого топлива и пыли, углеразмольные мельницы, мельничные вентиляторы, сепараторы, транспортеры, пылепроводы и т.п. При сжигании газа и мазута - газопроводы и мазутопроводы, расходомеры, запорная и регулирующая арматура.
Пароводяной тракт
– представляет собой систему последовательно включенных элементов оборудования, в которых движется обогреваемый теплоноситель (поверхности нагрева котла, трубопроводы, барабаны, сепараторы, пароохладители и теплообменники в пределах котла, запорная и регулирующая арматура).
Газовоздушный тракт
состоит из последовательно расположенных воздушного и газового трактов. Первый из них включает в себя совокупность оборудования для забора воздуха из атмосферы, нагрева и подачи его в топку котла (дутьевые вентиляторы, воздушные короба, воздухоподогреватели и горелочные устройства), второй – комплекс элементов котельной установки, по которым осуществляется движение продуктов сгорания (топка и другие газоходы котла, устройства для очистки дымовых газов, дымососы).
Паровой (водогрейный) котел
– это устройство, в котором для получения пара (горячей воды) требуемых параметров используют теплоту, выделяющуюся при сгорании органического топлива. Основные элементы котла – топка и теплообменные поверхности.
Если в котле используют теплоту уходящих газов других технических устройств (ГТУ, технологических установок), его называют котлом-утилизатором
. Котел-утилизатор в некоторых случаях не имеет топки и воздухоподогревателя, а его основные элементы – поверхности нагрева.
1.2. Основные элементы паровых котлов.
Основными элементами котла являются: топка, испарительные поверхности нагрева, пароперегреватель, экономайзер, воздухоподогреватель, каркас, обмуровка, тепловая изоляция, обшивка.
Поверхности нагрева
(экранные трубы и котельный пучок) – элементы котла, в которых происходит передача тепла от факела и продуктов сгорания теплоносителю (воде или пару). Различают радиационную
поверхность, которая получает тепло преимущественно излучением, и конвективную
поверхность, которая получает тепло в основном конвекцией. Радиационными поверхностями являются экраны, размещенные на стенах топки. В зависимости от размещения в топке, различают фронтовые, боковые, задние и потолочные экраны. Существуют также двусветные экраны, которые размещаются в топочном пространстве и обогреваются с двух сторон.
Пароперегреватель
– устройство, предназначенное для повышения температуры пара выше температуры насыщения, соответствующей давлению в котле. По виду тепловосприятия пароперегреватели бывают радиационные, полурадиационные и конвективные. Радиационные пароперегреватели выполняют настенными, и обычно размещают в верхней части топки. Радиационный пароперегреватель барабанного парового котла обычно занимает потолок топки. Полурадиационные пароперегреватели выполняются в виде плоских ширм или лент, собранных из пароперегревательных труб, находящихся друг за другом в одной плоскости. Ширмовые пароперегреватели представляют собой систему из большого числа вертикальных труб, имеющих один гиб на 180º и образующих широкую плоскую ленту, которая имеет опускной и подъемный участки. Их размещают на выходе из топочной камеры на заметном удалении друг от друга. Конвективные пароперегреватели выполняют из гладких стальных труб в виде змеевиков. Конвективные пароперегреватели располагают в горизонтальном газоходе или в начале конвективной шахты.
Экономайзер
– устройство, предназначенное для подогрева или частичного испарения питательной воды, перед ее поступлением в испарительную часть котла за счет использования тепла уходящих газов. В зависимости от степени подогрева воды экономайзеры делят на некипящие и кипящие. В кипящих экономайзерах до 20% воды может превращаться в пар. Экономайзеры выполняются из гладких или оребренных (мембранное или поперечное оребрение) труб. В зависимости от металла, из которого изготовляются экономайзеры, их разделяют на чугунные и стальные. Чугунные экономайзеры состоят из ребристых чугунных труб и применяются при давлении в барабане котла до 2 МПа. Наиболее часто экономайзеры выполняют из стальных труб, согнутых в вертикальные змеевики и скомпонованных в пакеты. Экономайзеры размещают в конвективном газоходе.
Воздухоподогреватель
– устройство, предназначенное для подогрева воздуха, поступающего в топку на горение за счет использования тепла уходящих газов. Воздухоподогреватели выполняются рекуперативными (трубчатыми) или регенеративными вращающимися. Трубчатые воздухоподогреватели выполняются из отдельных кубов (секций). Куб состоит из вертикальных тонкостенных труб, закрепленных в трубных досках. Газы движутся в трубках сверху вниз, воздух – в межтрубном пространстве. В регенеративном воздухоподогревателе тепло передается металлической насадкой, которая периодически нагревается дымовыми газами, после чего переносится в поток воздуха и отдает ему аккумулированное тепло.
Каркас
– металлическая конструкция из колонн, балок и связей, которые установлены на фундаменте и предназначены для соединения и крепления элементов котла.
Обмуровка
– внешнее изоляционное защитное ограждение котла.
Паровой или водогрейный котел вместе с совокупностью оборудования, обеспечивающего его работу, называется котельной установкой
. В состав котельной установки, кроме котла, входят тягодутьевые машины, устройства очистки поверхностей нагрева, оборудование топливоприготовления и топливоподачи, шлако- и золоудаления, золоулавливающие и другие газоочистительные устройства, воздухопроводы, трубопроводы воды, пара и топлива, арматура, гарнитура, автоматика, приборы и устройства контроля и защиты, водоподготовительное оборудование и дымовая труба.
1.3. Принцип работы и тепловая схема парового барабанного котла с естественной циркуляцией.
По характеру движения воды, пароводяной смеси и пара паровые котлы подразделяются на барабанные с естественной циркуляцией, барабанные с многократной принудительной циркуляцией и прямоточные (рис. 1.1). В барабанных котлах с естественной циркуляцией движение пароводяной смеси в подъемных (обогреваемых) трубах и жидкости в опускных (необогреваемых) трубах происходит вследствие разности их плотностей. В котлах с многократной принудительной циркуляцией движение воды и пароводяной смеси осуществляется с помощью циркуляционного насоса. В прямоточных котлах нет циркуляционного контура, нет многократной циркуляции воды, отсутствует барабан, вода прокачивается питательным насосом через экономайзер, испарительные поверхности и пароперегреватель, включенные последовательно.
В общем случае технологический процесс получения пара в барабанном паровом котле осуществляется в следующей последовательности (рис. 1.2). Топливо при помощи горелочных устройств 1
вводится в топку, где и сгорает. Воздух, необходимый для сгорания топлива, подается в топку дутьевым вентилятором или подсасывается через колосниковую решетку – при естественной тяге.
Для улучшения процесса сгорания топлива и повышения экономичности работы котла воздух перед подачей в топку предварительно подогревается дымовыми газами в воздухоподогревателе 8
.
Дымовые газы, отдав часть своего тепла радиационным поверхностям нагрева, размещенным в топочной камере, поступают в конвективную поверхность нагрева, охлаждаются и дымососом удаляются через дымовую трубу в атмосферу.
| 
|
| Рис. 1.1. Схемы движения воды, пароводяной смеси и пара в котлах:
а
– барабанном с естественной циркуляцией; б
– барабанном с многократной принудительной циркуляцией; в
– прямоточном; 1 –
барабан; 2
– пароперегреватель; 3
– водяной экономайзер; 4
– питательный насос; 5
– обогреваемые трубы; 6
– опускные трубы; 7 – циркуляционный насос.
|
Сырая водопроводная вода проходит через катионитовые фильтры, умягчается и далее поступает в деаэратор, где из нее удаляются коррозионно-активные газы (O
2
и CO
2
) и стекает в бак деаэрированной воды. Из бака питательная вода забирается питательными насосами и подается в экономайзер 7
парового котла. Нагретая теплом дымовых газов вода из экономайзера поступает в верхний барабан 4
котла, откуда по опускным трубам 3
направляется в коллектора экранов 10–12
или в нижний барабан. Возвращаясь по подъемным трубам 2
в верхний барабан, часть воды испаряется. В верхнем барабане происходит отделение пара от воды. Пар направляется в пароперегреватель 5
(если это необходимо), где он перегревается до требуемой температуры. Затем перегретый пар поступает в общий паровой коллектор, откуда подается потребителям.
Регулирование температуры перегретого пара может осуществляться применением поверхностных пароохладителей, впрыскиванием воды в пар, пропусканием части продуктов сгорания мимо пароперегревателя, рециркуляцией продуктов сгорания в топку, изменением аэродинамики или химической структуры факела, изменением излучательной способности факела. Чаще всего для поддержания температуры перегретого пара на заданном уровне используются впрыскивающие или поверхностные пароохладители 6
, устанавливаемые обычно в рассечку между отдельными частями пароперегревателя.
| 
|
| Рис. 1.2. Принципиальная схема парового котла:
1 –
газомазутная горелка; 2 –
подъемные (экранные) трубы; 3 –
опускные трубы; 4 –
барабан; 5 –
пароперегреватель; 6 –
поверхностный пароохладитель; 7 –
водяной экономайзер; 8 –
трубчатый воздухоподогреватель; 9 –
линия рециркуляции воды; 10 –
коллектор заднего экрана; 11 –
коллектор бокового экрана; 12 –
коллектор фронтового экрана; 13
– фестон; п.в
– питательная вода; н.п
– насыщенный пар; п.п
– перегретый пар; х.в –
холодный воздух; г.в
– горячий воздух; т
– топливо; у.г
– уходящие газы
|
С целью не допустить уноса паром капелек воды, что значительно ухудшает качество пара, в верхнем барабане 4
парового котла устанавливают сепарационные устройства (погружной дырчатый щит, внутрибарабанные или выносные циклоны).
Для уменьшения содержания веществ, загрязняющих котловую воду, производится продувка, т.е. удаление части котловой воды и замена ее питательной водой. Различают продувку непрерывную и периодическую. Непрерывная продувка осуществляется из верхнего барабана 4
и производится без перерывов в течение всего времени работы котла. С непрерывной продувкой из парогенератора удаляются растворенные в котловой воде соли. Периодическая продувка применяется для удаления шлама, осевшего в элементах парового котла, и производится из нижних барабанов и коллекторов 10–12
парогенератора через каждые 12–16 часов.
Эффективным методом снижения потерь котловой воды с продувкой (и, соответственно, уменьшения потерь тепла с ней) является ступенчатое испарение. Сущность ступенчатого испарения состоит в том, что испарительная система парового котла разделяется на ряд отсеков, соединенных по пару и разделенных по воде. Питательная вода подается только в первый отсек. Для второго отсека питательной водой служит продувочная вода из первого отсека. Продувочная вода из второго отсека поступает в третий отсек и т. д. Продувку парогенератора осуществляют из последнего отсека. Так как концентрация солей в воде этого отсека значительно выше, чем в воде при одноступенчатом испарении, для вывода солей из котла требуется меньший процент продувки.
Для обеспечения в процессе растопки котла поступления воды, испаряющейся в барабане, в экономайзер 7
, что не допускает перегрева его труб, в паровых котлах обычно предусматривается линия рециркуляции 9
.
1.4. Составление и расчёт тепловой схемы котла.
При составлении и расчете тепловой схемы парового котла выявляются два аспекта: теплотехнический, связанный с распределени-ем тепловосприятий нагреваемой среды по отдельным поверхностям на-грева при соответствующем изменении энтальпии газов, и конструктив-ный, учитывающий взаимное расположение поверхностей нагрева. На рис. 1.3 приведена тепловая диаграмма и тепловая схема барабанного котла высокого давления.
При составлении и расчете тепловой схемы парового котла необхо-димо иметь выходные параметры: паропроизводительность D,
кг/с; давление р, МПа; температура перегретого пара tпп
о
С, а при наличии вто-ричного перегрева пара еще давление рвп
и температура tвп
,. Одновре-менно с установлением выходных параметров рабочей среды следует определить вид сжигаемого в котле топлива, ибо его технические харак-теристики необходимы для выбора некоторых температур тепловой схемы.
Оптимальная экономичность и надежность работы агрегата дости-гается за счет рационального выбора и поддержания при эксплуатации в определенных пределах температур соответствующих сред в ряде то-чек газового, водопарового и воздушного трактов. Для формирования тепловой схемы должны быть выбраны температуры уходящих газов θух
, питательной воды tпв
, горячего воздуха tгв
газов на выходе из топки θ”т
. Выбор указанных температур с учетом рекомендаций по температурному режиму металла отдельных поверхностей нагрева (вторичный пароперегреватель, выходные пакеты первичного паропере-гревателя, поверхности нагрева при СКД в зоне максимальной теплоем-кости), устойчивости протекания гидродинамических процессов создает систему граничных условий или опорных точек, в которую вписываются отдельные поверхности нагрева, что предопределяет распределение при-ращения энтальпий рабочей среды между поверхностями нагрева и рациональное их размещение вдоль потока продуктов сгорания. При этом необходимо стремиться обеспечить высокие температурные напоры и противоток рабочего тела и продуктов сгорания, что не всегда воз-можно.
Прежде всего на основании технико-экономических расчетов с уче-том стоимости сжигаемого топлива и поверхностей нагрева принимается оптимальная температура уходящих газов. В соответствии с нормами теплового расчета котлов для дешевых топлив с повышенной влажностью
Рис. 1.3. Тепловая диаграмма и тепловая схема барабанного котла высокого давления.
Wп
= (2…3%)*103
кг/кДж, например, Канско-Ачинского место-рождения с открытым способом добычи угля, для котлов высокого дав-ления θух
= 150…170 о
С. Здесь в значительной степени лимитирует точ-ка росы газов, когда на трубах воздухоподогревателя осаждается вла-га, способствующая коррозии металла, особенно для сернистых топлив. Для топлив с влажностью до Wп
= 0,5%*103
кг/кДж температура уходящих газов принимается более низкой 120…140 о
С. Чем более дорогое топливо, тем ниже должна быть принята температура θух
, но обычно не ниже 110 о
С во избежание слишком громоздких хвостовых поверхностей нагрева котла.
Температура питательной воды tпв
поступающей в экономайзер, устанавливается на основании технико-экономического расчета тепло-вой схемы турбинной установки. Чем выше параметры пара перед тур-биной, тем выше оказывается tпв
. Так, для котлов высокого давления tпв
= 230…240 о
С, а для котлов на СКД tпв
= 260…275 о
С.
Температура горячего воздуха увязана с температурой питательной воды. Ориентировочно температуру горячего воздуха (за первой сту-пенью) можно оценить по выражению

где Δt = 40…80 оС, при этом меньшая цифра относится к сухим топливам.
Выбор температуры горячего воздуха производят по условиям сушки или сжигания топлива. При сжигании каменных и бурых углей tгв
= 300…400 о
С (более высокая температура при Жидком шлакоудалении). При сушке бурых углей газами в замкнутой схеме пылеприготовления при твердом шлакоудалении рекомендуется принимать tгв
= 300…350 о
С, а при разомкнутой схеме пылеприготовления независимо от вида топлива tгв
≤ 350 о
С. При замкнутой схеме пылеприготовления и воздушной сушке бурых углей температура горячего воздуха принимается 350…400 о
С. При сжигании мазута и газа tгв
= 250…300 о
С.
При одноступенчатом подогреве воздуха конструкция воздухоподогревателя более компактна. Пределом его применения служит сближение температуры воздуха и газов, когда Δtвп
вых
сильно уменьшается почти до нуля. Для обеспечения компактности воздухоподогревателя разница температур на выходе Δtвп
вых
= θвп
’ – tвп
’’ принимается не менее 30 о
С. В этом случае наибольшая температура подогрева воздуха в одноступенчатом подогревателе будет около 270 о
С (при θух
≈ 130 о
С). Температура холодного воздуха tхв
обычно принимается равной 30 о
С.
Температура газов на выходе из топочной камеры θ”т
, перед ширмами зависит от сжигаемого топлива. Для нешлакующих топлив (газ, мазут) выбирается около 1250 о
С исходя из оптимального соотношения долей радиационного и конвективного теплообмена в поверхностях нагрева котла. Температура газов на выходе из топки принимается ниже температуры начала деформации золы t1
: для шлакующих (большинства твердых топлив) не выше 1200 о
С, а для сильношлакующих бурых углей не выше 1100 о
С.
Распределение теплоты на подогрев воды, испарение и перегрев пара зависит от параметров перегретого пара — давления и температуры. Для распределения теплоты газов по отдельным поверхностям нагрева рассчитывается тепловая схема котла.
Расчет тепловой схемы котла начинается с воздухоподогре-вателя. По балансу теплоты

определяется энтальпия газов на входе в поверхность нагрева I’вп
.
Qг
вп
— теплота, переданная газами; Qв
вп
— тепло-та, воспринятая воздухом (обе величины в расчете на 1 кг топлива); φ — коэффициент сохранения теплоты; по θ”
т
, определяется энтальпия газов на выходе из топки I’’т
. Затем рассчитывается лучистое тепловосприятие топки

где Qт
= Qр
р
* (100 — q3
— q4
—
q6
)/(100 — q4
) + Qв
— Qв.вн
+ r * Iотб
.
Qл
учитывает все количество теплоты, воспринятое поверхностями топочной камеры, включая и лучистое тепловосприятие ширм и потолоч-ного пароперегревателя, а также настенного, если последний имеется.
Дальнейший расчет тепловой схемы основывается на балансе тепло-ты Qг
б
, кДж/кг, переданной газами; и Qб
ср
, воспринятой нагреваемой средой (перегретым паром и водой в экономайзере):
где Qг
б
= φ * (I' — I" + ΔαI0
прс
); Qб
ср
= ΔiD/Вp
; ΔαI0
прс
— количество тепло-ты, вносимое присасываемым воздухом, кДж/кг.
Пароперегреватель докритических параметров имеет ширмовые и конвективные поверхности нагрева, последние обычно разделены на две части по ходу пара: первая — противоточная, вторая — прямоточная (выходной пакет) с примерно одинаковым тепловосприятием (в выходном пакете Δiпп
вых
= 160…200 кДж/кг).
Распределение теплоты между поверхностями нагрева обычно замы-кают на экономайзере, для которого из баланса определяют энтальпию воды на выходе i"эк
и проверяют ее допустимость по возможному па-рообразованию хэк
≤ 15%, при этом

где i' — энтальпия воды при насыщении, кДж/кг; r — теплота испаре-ния, кДж/кг.
Результаты расчетов оформляются графически, как показано на рис. 1.3. Масштабы для построения графика выбираются произвольно с учетом удобства расположения поверхностей нагрева.
После расчета схемы нормами теплового расчета котлов рекомендуется проверить невязку теплового баланса

где Qр
р
— располагаемая теплота сгорания топлива, обычно Qр
р
= Qp
н
, кроме сланцев; ηк
— коэффициент полезного действия котла. Допусти-мая невязка баланса (ΔQ/ Qр
р
) * 100 ≤ 0,5%.
Прямоточный котел имеет сложную гидравлическую схему. Поэтому целесообразно для него показать изменение состояния среды по пароводя-ному тракту, как это сделано применительно к агрегату с вторичным перегревом пара энергоблока 500 МВт (рис. 1 .4). Пароперегреватель вто-ричного пара полностью раз-мещен в конвективной шахте. В гидравлической схеме преду-смотрен паро-паровой теплооб-менник (ППТО), передающий теплоту радиационных поверх-ностей нагрева вторичному пару, имеющему только конвективный обогрев. Для упрощения тепловой схемы блока и для предохранения промежуточного пароперегревателя от пережога при растопке пакеты вторичного перегревателя размеща-ются в зоне умеренной температуры газов, не выше 800…840 о
С при но-минальной нагрузке агрегата.

Рис. 1. 4. Изменение состояния нагреваемой среды СКД по тракту прямоточного котла.
В прямоточных котлах типа Рамзина на высокое давление органи-зуется переходная зона, обычно вынесенная в конвективную шахту, ку-да поступает пароводяная смесь с паросодержанием х = 0,7…0,8. В переходной зоне осуществляется не только доиспарение воды, но и неко-торый перегрев пара на 80…160 кДж/кг. Переходную зону выносят в область пониженных тепловых потоков в связи с ухудшенным внутрен-ним теплооЬменом. Вбда, поступающая из экономайзера в НРЧ, недо-гревается до состояния закипания на 120…160 кДж/кг во избежание парообразования при переменных нагрузках.
В прямоточных котлах на СКД переходная зона необязательна. Не-которое своеобразие в распределении приращений энтальпии по отдельным поверхностям нагрева получается из-за отсутствия фиксированных точек. Однако наличие зоны максимальной теплоемкости (3МT) с ухудшенным теплообменом требует размещения ее в области умерен-ных тепловых потоков, обычно в экранах СРЧ. Приращение энтальпии в экономайзере выбирается с учетом достаточности температурного напора на входном участке вторичного пароперегревателя. Перегрев первичного пара осуществляется в ВРЧ, ширмах и двух конвективных пакетах. Выходной пакет часто имеет приращение энтальпии около 100…125 кДж/кг.
Для мощных прямоточных котлов на СКД (к блокам 300 — 800 МВт) целесообразно принимать два независимо регулируемых потока рабочей среды. Это значительно упрощает регулирование перегрева и обеспечи-вает требования для более полного применения автоматизированной системы управления (АСУ).
2. ТЕПЛООБМЕН В ЭЛЕМЕНТАХ КОТЛА
2.1. Теплообмен в топочной камере.
Сложные физико-химические процессы, происходящие в топочных камерах, требуют создания методов расчета, достаточно полно отве-чающих реальным условиям теплообмена с учетом аэродинамики и го-рения. В настоящее время методы расчета радиационного теплообмена в топочных камерах развиваются по различным направлениям: эмпири-ческому, аналитическому, а также основанному на приложении теории подобия к топочным процессам.
Эмпирический метод сводится к установлению связей между переменными величинами, полученными в результате экспериментальных исследований. Недостаток этого метода заключается в невозможно-сти применения полученных зависимостей для других условий опыта, в трудности учета значительного числа факторов.
Аналитический метод заключается в решении систем уравне-ний, описывающих исследуемые процессы. Из-за большой сложности математического описания решение этих уравнений до недавнего вре-мени было невозможно без существенного упрощения многих факторов. Однако в связи с внедрением современных математических методов и средств вычислительной техники появляется возможность осуществле-ния поставленной задачи.
Сущность метода теории подобия базируется на анализе систем уравнений, описывающих процесс, на основании чего можно получить безразмерные критерии подобия. Конкретный вид зависимо-стей между критериями устанавливается в результате обработки экс-периментальных данных. Этот метод является синтезом аналитического и эмпирического методов.
В настоящее время получили распространение метод ЦКТИ, основанный на применении теории подобия, и метод ВТИ-ЭНИН, основанный на аналитических зависимостях. Поми-мо этих двух методов, включенных в нормативный метод расчета паро-вых котлов, разрабатываются расчеты топочных процессов, основан-ные на применении ЭВМ:
метод позонного расчета топочных камер с учетом выгорания топ-лива (ЦКТИ-ТКЗ);
зональный метод расчета,
основанный на решении систем уравне-ний энергии для объемных и поверхностных зон в топочной камере (ВТИ);
метод математического моделирования комплексных процессов го-рения, аэродинамики и тепломассообмена в топочных камерах (МЭИ, ВТИ).
Существуют поверочный и конструкторский методы расчета топок. Для первого считаются известными геометрические характеристики то-почных камер и определяется температура продуктов сгорания на вы-ходе из топки. Для конструкторского метода расчета задается темпе-ратура на выходе из топки и определяются ее геометрические харак-теристики.
Рис. 2.1. Эскиз топочной камеры: Рис. 2.2. Угловые коэффициенты
a) —
при гранулированном шлакоудалении; для однорядного гладкотрубного экрана:
б) —
вариант пода топки для жидкого 1 — с
учетом излучения
шлакоудаления. обмуровки при е = 14d;
2
— то же при е = 0,8d;
3 —
то же при е=0,5d;
4
— то же при е=0;
5
— без учета излучения обмуровки при е ≥ 0,5d.
На рис. 2.1 показана схема открытой призматической топочной камеры с гранулированным шлакоудалением и холодной воронкой (рис. 2.1,а) и как вариант — с жидким шлакоудалением (рис. 2.1,б).
Полная поверхность стен топочной камеры Fст
определяется как сумма поверхностей, ограничивающих весь объем топки, причем все по-верхности, кроме боковой, определяются как

где li
; — расчетная длина соответствующей стены, м; а —
ширина топки, определяемая расстоянием между осями крайних экранных труб, м.
Объем топки определяется как

где Fб
— боковая поверхность стены топки, м2
.
Помимо полной поверхности стен топки, вводится понятие лучевос-принимающей поверхности топки Нл
м2
.

где Fпл
i
— площадь соответствующей стены, занятой экраном, м2
; xi
—
угловой коэффициент экрана, определяющий долю падающего на экран потока энергии от всего потока излучаемой энергии.
Площадь, занятая экраном, Fпл
i
равна площади стены Fст
i
за вычетом неэкранированной части стены Fнэ
i
, (за счет разводки экран-ных труб для горелок, гляделок, лазов и т. д.):

Угловой коэффициент экранов хi
; зависит от их конструктивных ха-рактеристик: относительных шагов труб экрана s/d, расстояния оси труб от обмуровки е,
числа рядов труб и т. д.
На рис. 2.2 показана зависимость коэффициента x от s/d и е для однорядного гладкотрубного экрана. Для холодной воронки и первого ряда труб в ширме (фестоне) принимается x = 1, так как вся падающая теплота полностью поглощается.
Отношение лучевоспринимающей поверхности стен к их полной поверхности называется степенью экранирования χ:

Помимо степени экранирования, вводится понятие тепловой эффек-тивности экрана и топки в целом.
Коэффициент тепловой эффективности экрана ψ, кроме углового коэффициента х, учитывает коэффициент загрязнения ζ, который определяет отношение тепловой эффективности загрязненно-го и чистого экранов

Средний коэффициент тепловой эффективности экранов для топки

Одной из важнейших характеристик радиационного теплообмена в топочной камере является степень черноты топки ат
завися-щая в свою очередь от степени черноты факела аф
.
Для камер-ных топок степень черноты определяется по формуле

Степень черноты факела аф
определяется видом топлива и условиями его сжигания и зависит от эмиссионных характеристик трехатомных газов СО2
и Н2
O и твердых частиц сажи, кокса и золы. В общем случае степень черноты факела определяется законом Бугера

где k — коэффициент ослабления лучей топочной средой, 1/(МПа м); р —
давление в топке, МПа. Для котлов, работающих без наддува, при-нимается р = 0,1 МПа; s — эффективная толщина излучающего слоя, м.
Для топочной камеры s вычисляется по формуле
 При сжигании твердых топлив коэффициент ослабления лучей за-висит от эмиссионных свойств и концентраций газовых,, золовых и кок-совых компонентов факела

где kг
, kзл
, kкокс
— соответственно коэффициенты ослабления лучей газа-ми, золой и коксовыми частицами, 1/(МПа м); rn
— суммарная объ-емная доля трехатомных газов; μзл
и х — безразмерные концентрации золы и кокса в дымовых газах.
При сжигании газообразного и жидкого топлива коэффициент ос-лабления лучей определяется степенью черноты светящейся aсв
и несветящейся (газовой) аг
частей факела. К первой относят суммарное излучение трехатомных газов и сажистых частиц, ко второй — только излучение газов.
Тогда
 где т —
коэффициент усреднения.
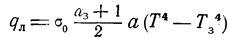
Количество теплоты, переданной излучением от топочной среды к поверхностям нагрева, Qл
т
, кДж/кг, может быть определено на основе закона Стефана — Больцмана
 где σ0
— коэффициент излучения абсолютно черного тела (σ0
= 5,67*10-11
кВт*м-2
*К-4
); ат
— эффективная степень черноты топочной ка-меры; Hл
— лучевоспринимающая поверхность нагрева, м2
; Вр
— расчетный расход топлива, кг/с; Тф
— эффективная температура топочной среды (факела), К; Тз
— температура наружного слоя загрязнений луч-евоспринимающей поверхности, К.
Трудность расчета излучения в топке объяс-няется тем, что температура факела Тф
переменна по длине, ширине и высоте топочной камеры и зависит от ряда факторов: вида топлива и способа его сжигания, расположения горелок, степени экранирования и т. д. Величина Тф
меняется также с изменением расхода топлива и других режимных параметров. Имеется также связь между температу-рами Tф
и Тз
.
В связи с этим при разработке аналитических методов поверочного расчета предложены различные зависимости, связывающие эффектив-ную температуру Тф
с максимальной адиабатической температурой сго-рания топлива Та
и температурой в конце топки Тт
".
По методу ВТИ-ЭНИН величина Тф
определяется для камер сгорания двухкамерных топок по формуле
для камер охлаждения
 для однокамерных топок
 где Δт
, Δφ
, Δχ
— поправки на род топлива, угол наклона горелок и сте-пень экранирования.
Адиабатическая температура Tа
определяется по полезному тепловыделению в топке, равному энтальпии продуктов сгорания при коэф-фициенте избытка воздуха в топке.
 Полезное тепловыделение в топке
где Qp
p
— располагаемая теплота топлива, кДж/кг; q3
, q4
и q6
— соот-ветственно потери теплоты от химической, механической неполноты го-рения и с теплом шлаков, %; Qв
— теплота, вносимая в топку возду-хом, кДж/кг; Qв.вн
— теплота, внесенная в топку воздухом при подогре-ве его вне агрегата, кДж/кг; Iотб
—
теплота рециркулирующих газов в месте их отбора, кДж/кг; r —
доля рециркуляции.
Количество теплоты, переданное излучением. Qл
т
будет равно количеству теплоты, определяемому тепловым балансом топочной камеры:

где Iт
" — энтальпия газов на выходе из топки, кДж/кг; φ — коэффици-ент сохранения теплоты; Vсср
— средняя суммарная теплоемкость про-дуктов сгорания в интервале температур (Та
— Тт
"), кДж/(кг К). Естественно, что разность абсолютных значений температур равна разности этих температур по стоградусной шкале (Та
— Тт
") = (θа
– θт
”).
Средняя суммарная теплоемкость Количество теплоты, переданной излучением, Qл
т
будет также равно количеству теплоты, воспринятой конвекцией от внешней загрязненной поверхности экранных труб к рабочей среде, протекающей внутри труб (пару, воде). Следовательно можно запи-сать
 причём
 где ε = δэл
/λэл
— термическое сопротивление слоя золовых загрязнений, равное отношению толщины слоя к
коэффициенту теплопроводности, м2*
К*кВт-1
; α2
— коэффициент теплоотдачи от внутренней стенки трубы к рабочей среде, кВт*м-2
*K-1
; Тср
— средняя температура пара (во-ды), К.
Расчет топочных камер по аналитическому методу ВТИ-ЭНИН со-стоит в совместном решении приведенных уравнений для Qл
т
, Qб
т
и Qк
т
для определения Тз
и Тт
".
Этот метод реко-мендуется в. качестве нормативного для расчета двухкамерных топок и в качестве дополнительного — для расчета однокамерных топок.
В качестве нормативного метода для расчета процесса излучения в однокамерных и полуоткрытых топках рекомендуется метод ЦКТИ, основанный на применении теории подобия. Определяющим является критерий Больцмана — Во, пропорциональный отношению коли-честв теплоты, выделенной в топке и отданной за счет радиационного теплообмена:
На основании обработки экспериментальных данных получена кри-териальная зависимость безразмерной температуры на выходе их топки θт
” = Tт
”/Та
: где ат
— степень черноты топки; М = А — Вх
, — параметр, учитывающий относительное положение максимальных температур (ядра факела) в топке в зависимости от топлива и способа сжигания; численные зна-чения А и В определяются видом сжигаемого топлива.
Приведенные методы расчета теплообмена излучением в топочной камере дают возможность определить температуру на выходе из топки по аналитическим зависимостям или по критериальной за-висимости. Однако при проектировании топочной камеры иногда определяют не только температуру на выходе из топки, но так -же и температуру газов в любой точке топочного пространства. Это необходимо в первую очередь для определения локальных тепловых нагрузок в топочной камере для выявления количеств теплоты, воспринимаемых различными панелями, радиационными перегревателями и т. д.
Задачу о распределении тепловых потоков по высоте топочной ка-меры решает позонный расчет топочной камеры.
Топка по высоте разбивается на ряд зон. Уравнения энергии записываются для каждой из зон. При этом учитывается, что изменение энтальпии в зоне равно разности между тепловыделением и радиационным теплообменом:
 где I" и I' —
соответственно энтальпии газов на выходе из зоны и входе в зону, кДж/кг; βсг
" и βсг
' — соответственно степень выгорания топлива в конце и начале зоны; (Fψ)эф
— эффективное значение лучевоспринимающих поверхностей нагрева, м2
; Tэф
— эффективная температура газов в зоне, К.
Степень выгорания βсг
пo относительной высоте топки h/hт
зависит от вида топ-лива и в среднем равна:
 В качестве первой зоны принимают зону максимального тепловыделения, ее высота для топок с гранулированным шлакоудалением считается от верхней плоскости холод-ной воронки до сечения, расположенного на 1,5 м выше верхних образующих горелок. Высота остальных зон принимается около 4 м. Величина (Fψ)эф
учитывает излучение факела на экраны, а также в вышерасположенную и нижерасположенную зоны.
Обычно до выполнения позонного расчета выполняют расчет топки в целом и определяют температуру газов в конце топки θ"т
. Затем, задаваясь значениями βсг
, на границах каждой зоны, выполняют позонный расчет. Если в результате позонного расчета температура на выходе из топки (последней зоны) будет отличаться от ранее полученной более чем на ±30о
, следует задаться другими степенями выгорания βсг
и повторить расчет.
Существенным допущением данного метода является предварительное принятие степени выгорания топлива βсг
, в то время как она должна определяться кинетикой процесса горения, зависящей' от многих факторов, в том числе от температуры газов.
Дальнейшим уточнением позонного расчета топок является метод ЦКТИ-ТК3, который позволяет более обоснованно учесть выгорание топлива на основе кинетики процесса горения. При этом приняты те же допущения, что и для позонного метода: одномерность характера движения топливовоздушной смеси в топке, равенство температур всех частиц топлива и газа.
Степень выгорания топлива по методу ЦКТИ-ТКЗ определяется в соответствии с формулой
где G — количество несгоревшего к данному времени кокса на 1 кг рабочей массы топлива, кг/кг; Qк
и Qн
р
— теплота сгорания кокса и рабочей массы топлива, кДж/кг.
 Величина G определяется по формуле
Здесь Wр
и Кр
— процентное содержание влаги и кокса на рабочую массу топлива; Wпл
— процентное содержание влаги на массу пыли; J1
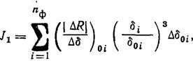
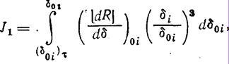
— относительная суммарная доля недожога частиц кокса различных размеров, находящихся в факеле.
Значение J1
вычисляется как сумма недожога частиц различных фракций:
 где δi
и δ0
i
— соответственно текущий и начальный диаметр частиц фракции i; Ф и nф
— соответственно массовая доля фракции и число фракций в пыли.
Учтя, что фракция Ф= |ΔR|, можно записать
 или точнее, заменяя сумму интегралом:
 где (δ0
i
)τ
— начальный размер частицы, полностью сгоревшей к моменту времени τ; δ01
— начальный размер наиболее крупной частицы.
Производная (dR/dδ)0
i
вычисляется на основе зерновой характеристики. С учетом связей между выгоранием частицы любой фракции и наиболее крупной частицы для кинетической и диффузионной областей горения можно вычислить значение интеграла J1
.
Позонный расчет топки методом ЦКТИ-ТКЗ выполняется с применением ЭВМ.
2.2. Теплообмен в полурадиационных и конвективных поверхностях нагрева.
Тепловой расчет поверхностей нагрева парового котла производится на основе применения аналитических методов и теории подобия к про-цессам теплообмена. При этом учитываются все сложности процессов: сочетание радиационной и конвективной теплоот-дачи от газового потока, присутствие твердых примесей в дымовых газах, сложный характер омывания поверхностей, наличие наружных и внутренних загрязнений, особенности формы по-верхностей нагрева — ребристых, плавниковых труб, волнистых набивок РВП и т. д.
В расчете поверхностей нагрева, расположен-ных непосредственно за топочной камерой, на-пример
Рис. 2.1.
ширмовых, необходимо учитывать излу-чение, проникающее из топочной камеры. Такие поверхности называют полурадаационными. За ними по ходу газов располагают конвективные поверхности.
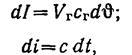
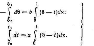
Для поверхности нагрева можно составить дифференциальные уравнения энергии по газам и рабочему телу. Изменение количества теплоты схема теплообменника в элементе теплообменника длиной dx (рис. 2.1), отданной газами и воспринятой рабочим телом, равно количеству тепло-ты, переданной за счет теплопередачи. Без учета дополнительных источ-ников теплоты за счет присосов и лучистой теплоотдачи из топки систе-му дифференциальных уравнений для газов и рабочего тела можно писать в виде
 где Вр
— расчетный расход топлива, кг/с; D —
расход рабочего тела (пара, воды), кг/с; φ — коэффициент сохранения теплоты; I —
энталь-пия газа, отнесенная к
1 кг топлива, кДж/кг; i — энтальпия рабочего тела, кДж/кг; k — текущее значение коэффициента теплопередачи, кВт*м-2
*К-1
; (θ — t) — текущее значение разности температур газа и рабочего тела (температурный напор), К; Н/Х —
отношение поверхно-сти к длине теплообменника, м2
/м; х — текущее значение длины тепло-обменника по ходу газов, м.
В первом уравнении системы знак минус показывает, что энтальпия газов уменьшается по длине теплообменника. Во втором уравнении системы знак плюс принимается для прямотока, знак минус — для противотока. Система является нелинейной вслед-ствие зависимости энтальпий и коэффициента теплопередачи от темпе-ратуры.
Покажем, как может быть решена эта система, если в первом приближении пре-небречь зависимостями теплоемкостей и коэффициента теплопередачи от температуры. Дифференциалы энтальпий можно представить как
  где Vг
— объем газов, отнесенный к 1 кг топлива, м3
/кг; сг
— теплоемкость газов, кДж/(м3
*К); с — теплоемкость рабочего тела, кДж/(кг*К).
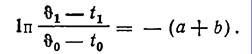
Систему удобно записать в виде
где

Способ решения новой системы, принятый в нормативном методе теплового расче-та котельных агрегатов, заключается в приведении двух дифференциальных уравнений для температур к одному уравнению для температурных напоров. Вычитая почленно уравнения системы, можно  получить
или
Обозначим температуры при х = 0 буквами θо
и to
и при х = 1 буквами θ1
и t1
. Проинтегрируем уравнение, считая а и b постоянными:
 Интеграл в правой части обозначим как среднеинтегральный температурный напор Δt
Тогда уравнение после интегрирования левой части запишется в виде
Запишем интеграл уравнения
В результате интегрирования получим
 Исключим из выражений –(a+b), тогда
Полученное выражение в теории теплопередачи получило название средне логарифмического температурного напора. Такой способ решения дифференциальных уравнений энергии для теплообменников удобен для ручного расчета. Для поверочных расчетов паровых котлов на ЭВМ применяются другие методы решений уравнений энергии .
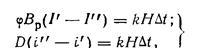
Интегралы уравнений системы так же можно представить в виде
 Обозначив θ0
= θ’; θ1
= θ’’, и кроме того t0
= t’; t1
= t’’ для прямотока, а t0
= t’’, t1
= t’
для противотока и раскрыв значения a и b, получим
 где левые части уравнений выражают соответственно количество теплоты, переданной газами и воспринятой рабочим телом по балансу, а правые — количество теплоты, пе-реданной за счет теплопередачи. Эти количества теплоты обычно относят к единице расхода топлива. Тогда баланс теплоты по газам, рабочему телу и теплопередаче вы-разится как
 При необходимости в первых двух формулах следует учесть дополнительные источники теплоты — присосы и излучение из топки:
где Δα — присосы в поверхности нагрева; I0
прс
, — знтальпия присасываемого воздуха; Qл
— теплота, полученная лучевоспринимающими поверхностями излучением из топки.
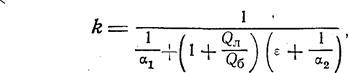
2.3. Коэффициент теплопередачи.
При расчете передачи теплового потока от газов к рабочему телу через стенки поверхностей нагрева котлов необходимо учитывать воз-можность появления наружных и внутренних загрязнений: наружные возникают из-за осаждения золы или сажи при омывании труб пото-ком дымовых газов; внутренние могут быть обусловлены появлением накипи. Как внутренние, так и наружные загрязнения уменьшают ко-личество передаваемой теплоты. Однако внутренние загрязнения, со-здавая термическое сопротивление оттоку теплоты к охлаждающей сре-де (воде, пару), могут вызвать недопустимый рост температуры стенки трубы. Поэтому их величина должна быть минимальной.
Расчет теплоотдачи из-за небольшой толщины стенки металличес-ких труб поверхностей нагрева ведут, как для многослойной плоской стенки. Коэффициент теплопередачи при этом от газов к ра-бочему телу будет выражаться следующей зависимостью:
 где α1
— коэффициент теплоотдачи от газов к стенке, кВт/(м2
*К); α2
– -коэффициент теплоотдачи от стенки к рабочему телу, кВт/(м2
*К); λз
, λм
, λн
— соответственно коэффициенты теплопроводности слоя золовых загрязнений, металлической стенки трубы и слоя внутренних загрязне-ний (накипи), кВт/(м*К); δз
, δм
, δн
— соответственно толщины слоя золовых загрязнений, металлической стенки трубы и слоя внутренних загрязнений, м.
Термическое сопротивление слоя золовых загрязнений δз
/ λз
назы-вают коэффициентом загрязнения ε:
 Термическим сопротивлением металлической стенки трубы δм
/λм
обычно пренебрегают из-за большого значения λм
. Однако в расчетах паро-паровых теплообменников, а также в расчетах температуры ме-таллической стенки эту величину следует учитывать.
Термическое сопротивление слоя внутренних отложений (накипи) δн
/λн
расчетах не учитывают, так как при нормальной эксплуатации толщина этого слоя должна быть весьма малой. Коэффициенты теплоот-дачи и теплопроводности, входящие в формулу коэффициента теплопередачи, зависят от боль-шого числа факторов, в том числе от температур газов и рабочего тела.
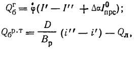
 Как упоминалось, при выводе уравнений теплообмена -коэффициент теплопередачи и все составляющие его коэф-фициенты подсчитываются по средним значениям температур на входе и выходе из поверхности нагрева. Для заданных поверхностей нагрева коэффициент теплопередачи приобретает конкретное значение в зависимости от особенностей теплообмена. Так, например, для шир-мовой поверхности нагрева вводится множитель Qл
/Qб
, учитывающий теплоту, воспринятую из топки. Тогда коэффициент теплопередачи
где Qб
— количество теплоты, отданной поверхности газами, кДж/кг; Qл
— количество теплоты, передаваемое ширмам излучением из топки, кДж/кг.
Величину Qл
учитывают при определении количества теплоты, вос-принятой паром по балансу. Коэффициент загрязнения ε зависит от сорта сжигаемого топлива и несколько увеличивается с ростом темпе-ратурь газов.
 Для конвективных перегревателей, имеющих шахматное располо-жение труб, и при сжигании твердого топлива коэффициент теплопере-дачи рассчитывается по формуле
Коэффициент, загрязнения ε для поперечно омываемых шахматных пучков уменьшается с увеличением скорости газов и крупности золовых частиц в газах, так как это способствует процессу самоочистки поверхностей нагрева. Коэффициент загрязнения будет уменьшаться при меньших значениях диаметров труб и продольных шагов между ними, что препятствует удержанию слоя загрязнений на трубах и в про-межутках между рядами труб.
В некоторых случаях из-за отсутствия данных о коэффициенте за-грязнения ε вводят коэффициент эффективности ψ, представляющий собой отношение коэффициентов теплопередачи загрязненных и чистых труб.
 Коэффициент ψ учитывают при сжигании газа и мазута, а также в коридорных пучках при сжигании твердого топлива. В этом случае для перегревателей
 Для экономайзеров, переходных зон, а также для перегревателей сверхкритического давления α2
>>α1
, поэтому для этих поверхностей на-грева предыдущие формулы принимают соответственно вид
 Трубчатые воздухоподогреватели рассчитываются с помощью коэф-фициента использования ξ, учитывающего влияние загрязнений труб, неполноты омывания и перетоков воздуха:
Коэффициент эффективности ψ принимается в пределах 0,6…0,7,
коэффициент использования ξ — в пределах 0,70…0,85.
 Коэффициент теплоотдачи от газов к стенке α1
определяют как сумму коэффициентов теплоотдачи за счет конвекции αк
и излу-чения αл
с учетом коэффициента использования ξ1
, учитывающего не-равномерность омывания поверхности нагрева газами:
Коэффициент ξ1
принимают равным 0,85 для ширмовых перегрева-телей при скорости газов ωг
≥ 4 м/с;. для конвективных поверхностей нагрева ξ1
= 1.
 Коэффициенты теплоотдачи конвекцией αк
могут быть найдены на основе теории подобия, устанавливающей связь между определяемым критерием Нуссельта и определяющими критериями Рейнольдса и Прандтля:
 Для поперечно омываемых коридорных пучков и ширм расчетная формула для коэффициента теплоотдачи конвекцией имеет вид
где Сz
и Сs
— соответственно поправки на число рядов труб по ходу газов и геометрическую компоновку пучков; λ — коэффициент теплопро-водности потока кВт*м-1
*К-1
. При z2
≥ 10 Сz
= 1. Для конвективных перегревателей Сs
≈ 1, для ширмовых — при s1
/d > 3 Сs
≈ 0,6.
 Для поперечно омываемых шахматных пучков
При z2
≥ 10 С’z
= 1. Величина С's
примерно равна 0,35.
Для продольного омывания поверхностей нагрева газовым, водяным
 и паровым потоками
где Ct
, Cd
, Cl
, А — соответственно поправки на температуру потока, эквивалентный диаметр для кольцевых каналов, длину трубы или ка-нала, тип набивки для РВП.
 Коэффициент теплоотдачи излучением продуктов сгорания определяют как количество теплоты, пере-данной от газов к стенке за счет радиационного теплообмена qл
и от-несенной к разности средних температур газов θ и загрязненных сте-нок лучевоспринимающих поверхностей tз
Для запыленного потока количество теплоты, переданной радиа-цией, в соответствии с законом Стефана — Больцмана пропорциональ-но разности четвертых степеней абсолютных температур газа и загряз-ненных стенок
 где σ0
— коэффициент излучения абсолютно черного тела, кВт*м-2
*К-4
; а3
— степень черноты загрязненных стенок (обычно принимают а3
= 0,8) а — степень черноты потока.
 Температура загрязненной стенки зависит от суммарного — конвек-тивного и лучистого теплового потока (Qк
+Qл
), коэффициента теплоотдачи от стенки к рабочему телу, протекающему в трубах α2
, коэффи-циента загрязнения ε, а также от средней температуры рабочего тела t:
Данная формула применяется ля расчетов температуры t3
, высоко-температурных поверхностей нагрева. Для экономайзеров и переход-ных зон при температурах газов θ > 400о
С разность между t3
и t мо-жет приниматься примерно равной 60о
С, при θ ≤ 400о
С разность при-мерно равна 25о
С.
БИБЛИОГРАФИЧЕСКИЙ СПИСОК
1. Парогенераторы: Учебник для вузов / А. П. Ковалев, Н. С. Лелеев, Т. В. Виленский – М.: Энергоатом издат, 1985. – 376 с., ил.
2. Теплогенерирующие установки. Часть 1: учебное пособие / А. В. Губарев, Ю. В. Васильченко; Под общ. ред. Ю. В. Васильченко. – Белгород: Изд-во БГТУ им. В.Г. Шухова, 2008. – 162 с.
3. Котельные установки и их эксплуатация: учебник для нач. проф. Образования / Б. А. Соколов. – М.: Изд. Центр «Академия», 2007. – 432 с.
4. Паровые котлы / Е. А. Бойко. – Красноярск 2005.
|