Министерство образования Российской Федерации
Московский государственный университет печати
Факультет полиграфической технологии
Дисциплина: Математика
Курсовая работа по теме:
«Статистические методы обработки
Экспериментальных данных»
Выполнил: студент
Курс 2
Группа ЗТПМ
форма обучения заочная
Номер зачетной книжки Мз 023 н
Вариант № 13
Допущено к защите
Дата защиты
Результат защиты
Подпись преподавателя
Москва – 2010 год
| 0;3 |
3;6 |
6;9 |
9;12 |
12;15 |
15;18 |
18;21 |
| 4 |
6 |
9 |
11 |
14 |
18 |
13 |
| 21;24 |
24;27 |
27;30 |
30;33 |
| 11 |
7 |
4 |
3 |
1. Построение интервального и точечного статистических распределений результатов наблюдений. Построение полигона и гистограммы относительных частот.
i – порядковый номер;
Ii
– интервал разбиения;
xi
– середина интервала Ii
;
ni
– частота (количество результатов наблюдений, принадлежащих данному интервалу Ii
);
wi
= - относительная частота (n = - объём выборки);
Hi
= - плотность относительной частоты (h – шаг разбиения, т.е. длина интервала Ii
).
| i
|
Ii
|
xi
|
ni
|
wi
|
Hi
|
1
2
3
4
5
6
7
8
9
10
11
|
0;3
3;6
6;9
9;12
12;15
15;18
18;21
21;24
24;27
27;30
30;33
|
1,5
4,5
7,5
10,5
13,5
16,5
19,5
22,5
25,5
28,5
31,5
|
4
6
9
11
14
18
13
11
7
4
3
|
0,04
0,06
0,09
0,11
0,14
0,18
0,13
0,11
0,07
0,04
0,03
|
0,01
0,02
0,03
0,04
0,05
0,06
0,04
0,04
0,02
0,01
0,01
|
Объём выборки:
n = =100,
wi
= ni
/100;
контроль: =1
Длина интервала
разбиения (шаг):
h = 3 ,
Hi
= 
å
: 100 1,00
Статистическим распределением
называется соответствие между результатами наблюдений (измерений) и их частотами и относительными частотами. Интервальное распределение
– это наборы троек (Ii
; ni
; wi
) для всех номеров i, а точечное
– наборы троек (xi
; ni
;
wi
). Таким образом, в таблице имеются оба – и интервальное, и точечное - статистическое распределения.
Далее, строим полигон и гистограмму относительных частот.
Полигон.
Гистограмма.

Полигон относительных частот – ломаная, отрезки которой последовательно (в порядке возрастания xi
) соединяют точки (xi
; wi
). Гистограмма относительных частот – фигура, которая строится следующим образом: на каждом интервале Ii
, как на основании, строится прямоугольник, площадь которого равна относительной частоте wi
; отсюда следует, что высота этого прямоугольника равна Hi
= wi
/h– плотности относительной частоты. Полигон и гистограмма являются формами графического изображения статистического распределения.
2.
Нахождение точечных оценок математического ожидания и
дисперсии.
В качестве точечных оценок числовых характеристик изучаемой случайной величины используются:
- для математического ожидания
=  (выборочная средняя
),
- для дисперсии
s2
= (исправленная выборочная
),
где n – объём выборки, ni
– частота значения xi
.
Таким образом, в статистических расчетах используют приближенные равенства
MX» , DX»s2
.
Нахождение точечных оценок математического ожидания и дисперсии по данным варианта осуществим с помощью расчетной таблицы.
| i
|
xi
|
ni
|
xi
ni
|
(xi
- )2
ni
|
1
2
3
4
5
6
7
8
9
10
11
|
1,5
4.5
7,5
10,5
13,5
16,5
19,5
22,5
25,5
28,5
31,5
|
4
6
9
11
14
18
13
11
7
4
3
|
6
27
67,5
115,5
189
297
253,5
247,5
178,5
114
94,5
|
829,44
779,76
635,04
320,76
80,64
6,48
168,48
479,16
645,12
635,04
744,12
|
=  =
хi
ni
/100 = 1590/100= 15,9
s2
= =
= 5324,04/99=53,78
å
: 100 1590 5324,04
3.Выдвижение гипотезы о распределении случайной величины.
При выдвижении гипотезы (предположения) о законе распределения изучаемой случайной величины мы опираемся лишь на внешний вид статистического распределения. Т.е. будем руководствоваться тем, что профиль графика плотности теоретического распределения должен соответствовать профилю гистограммы: если середины верхних сторон прямоугольников, образующих гистограмму, соединить плавной кривой, то эта линия представляет в первом приближении график плотности распределения вероятностей.
Итак, изобразим график и выпишем формулу плотности нормального (или гауссовского) распределения с параметрами а и , - ¥< а <+¥, 
Сравнение построенной гистограммы и графика плотности распределения приводит к следующему заключению о предполагаемом (теоретическом) законе распределения в рассматриваемом варианте исходных данных:
Вариант 13 – нормальное (или гауссовское распределение)
4.Построение графика теоретической плотности распределения.
Чтобы выписать плотность теоретического (предполагаемого) распределения, нужно определить значения параметров и а и подставить их в соответствующую формулу. Все параметры тесно связаны с числовыми характеристиками случайной величины, т.е.
MX = а,
DX = σ2
Поскольку значения математического ожидания и дисперсии неизвестны, то их заменяют соответствующими точечными оценками, т.е. используют (уже упомянутые ранее) приближенные равенства MX» , DX»s2
, что позволяет найти значения параметров распределения.
По исходным данным была выдвинута гипотеза о нормальном распределении изучаемой случайной величины. Найдем параметры этого распределения:
_
  x = а, 15,9 = а, а=15,9
 s2
= σ2
53,78 = σ2
σ=7,33
Следовательно, плотность предполагаемого распределения задается формулой
F(x)= [1/(7,33*√2π)]*e[-(
x-15,9)2 / 2*(7,33)2)]
=0.054*e^(0,009/((x-15,9)^2))
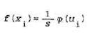
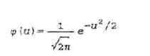
Теперь необходимо вычислить значения f(xi
)плотности f (x) при x=xi
(в серединах интервалов) Для этого воспользуемся следующей схемой:

значения фунцкии
при u=ui
находятся, например, с помощью таблицы, имеющейся в любом учебнике или задачнике по теории вероятностей и математической статистике.
=15,9; s = 7,33
x
i
|
ui
= xi
- x / s |
φ
(u
i
)
|
 |
1,5
4,5
7,5
10,5
13,5
16,5
19,5
22,5
25,5
28,5
31,5
|
-1,96
-1,56
-1.15
-0,74
-0.33
0.08
0.49
0,90
1.31
1,72
2.13
|
0,0584
0,1182
0,2059
0,3034
0,3778
0,3977
0,3538
0,2661
0,1691
0,0909
0,0413
|
0,008
0,016
0,028
0,041
0,052
0,054
0,048
0,036
0,023
0,012
0,006
|
Далее, на одном чертеже строим гистограмму и график теоретической плотности распределения: гистограмма была построена ранее, а для получения графика плотности наносим точки с координатами (xi
; f(xi
)) и соединяем их плавной кривой.

5.Проверка гипотезы о распределении с помощью критерия согласия Пирсона.
Ранее была выдвинута гипотеза о законе распределения рассматриваемой случайной величины. Сопоставление статистического распределения (гистограмма) и предполагаемого теоретического (графика плотности) показывает наличие некоторых расхождений между ними. Поэтому возникает естественный вопрос: чем объясняются эти несовпадения? Ответить на него можно двояко:
1) Указанные расхождения несущественны и вызваны ограниченным количеством наблюдений и случайными факторами – случайностью результата единичного наблюдения, способа группировки данных и т.п. В этом случае выдвинутая гипотеза о распределении считается правдоподобной и принимается как не противоречащая опытным данным.
2) Указанные расхождения являются существенными (неслучайными) и связаны с тем, что действительное распределение случайной величины отличается от предполагаемого. В этом случае выдвинутая гипотеза о распределении отвергается как плохо согласующаяся данными наблюдений.
Для выбора первого или второго варианта ответа и служат так называемые критерии согласия. Словари толкуют слово критерий (от греч. kriterion – средство для суждения) как признак, на основании которого производится оценка, определение и классификация чего-либо.
Существуют различные критерии согласия: К. Пирсона, А.Н. Колмогорова, Н.В. Смирнова, В.И. Романовского и другие. Мы рассмотрим лишь один из них – критерий Пирсона, называемый также критерием c2
(«хи - квадрат»). (К. Пирсон (1857 - 1936) – английский математик, биолог, философ – позитивист.)
Критерий Пирсона выгодно отличается от остальных, во – первых, применимостью к любым (дискретным, непрерывным) распределениям и, во – вторых, простотой вычислительного алгоритма.
Правило проверки статистических гипотез с помощью критерия Пирсона будет объяснено на примерах.
Группировка исходных данных.
Применяется критерий Пирсона к сгруппированным данным. Предположим, что произведено n независимых опытов, в каждом из которых изучаемая случайная величина приняла определенное значение. Предположим, что вся числовая ось разбита на несколько непересекающихся промежутков (интервалов и полуинтервалов). Обозначим через nI
количество результатов измерений (значений случайной величины), попавших в i-й промежуток. Очевидно, что ånI
= n.
Отметим, что критерий c2
будет давать удовлетворительный для практических приложений результат, если:
1) количество n опытов достаточно велико, по крайней мере n³100;
2) в каждом промежутке окажется не менее 5…10 результатов измерений, т.е. ni
³5 при любом i; если количество полученных значений в отдельных промежутках мало (меньше 5), то такие промежутки следует объединить с соседними, суммируя соответствующие частоты.
Пусть концами построенного разбиения являются точки zi
, где z1
<z2
< … <zi
– 1
, т.е. само разбиение имеет вид
(- ¥ºz0
; z1
) , [z1
; z2
) , [z2
; z3
) , … , [zi
– 1
; zi
º+¥).
После объединения соответствующих промежутков (последних двух) и замены самой левой границы разбиения на - ¥, а самой правой на + ¥ (поскольку на промежутки должна разбиваться вся числовая ось, а не только диапазон полученных в результате опыта значений), мы приходим к следующим интервальным распределениям, пригодным для непосредственного применения критерия Пирсона:
| zi –1
; zi
|
- ¥; 6 |
6;9 |
9;12 |
12;15 |
15;18 |
18;21 |
| n
i
|
10 |
9 |
11 |
14 |
18 |
13 |
| 21;24 |
24;27 |
27;30 |
30;+∞ |
| 11 |
7 |
4 |
3 |

Вычисление теоретических частот.
Критерий Пирсона основан на сравнении эмпирических (опытных) частот с теоретическими. Эмпирические частоты nI
определяются по фактическим результатам наблюдений. Теоретические частоты, обозначаемые далее , находятся с помощью равенства
= n×pi
,
где n – количество испытаний, а pi
ºR(zi
–1
<x<zi
) - теоретическая вероятность попадания значений случайной величины в i-й промежуток (1 £i£ 1).Теоретические вероятности вычисляются в условиях выдвинутой гипотезы о законе распределения изучаемой случайной величины.
Процедура отыскания теоретических вероятностей и частот показана в расчетной таблице: _
n = 1
0
0;
а=x
=
15,9
;
σ
=
s=7,33
| i
|
Концы промежутков
|
Аргументы фунцкции Ф0
|
Значения функции Ф0
|
Pi
= Ф0
(u
i
)- Ф0
(u
i-1
)
|
ν
1
’
=npi
|
| zi -1
|
zi
|
U
i-
1
=
(z
i-1
-x)/s
|
U
i
=
(z
i
-x)/s
|
Ф0
(u
i-1
)
|
Ф0
(u
i
)
|
1
2
3
4
5
6
7
8
9
10
|
-∞
6
9
12
15
18
21
24
27
30
|
6
9
12
15
18
21
24
27
30
+∞
|
-∞
-1,35
-0,94
-0,53
-0,12
0,29
0,70
1,11
1,51
1,92
|
-1,35
-0,94
-0,53
-0,12
0,29
0,70
1,11
1,51
1,92
+∞
|
-0,5000
-0,4115
-0,3264
-0,2019
-0,0478
0,1141
0,2580
0,3665
0,4345
0,4726
|
-0,4115
-0,3264
-0,2019
-0,0478
0,1141
0,2580
0,3665
0,4345
0,4726
0,5000
|
0,0885
0,0851
0,1245
0,1541
0,1619
0,1439
0,1085
0,0680
0,0381
0,0274
|
8,85
8,51
12,45
15,41
16,19
14,39
10,85
6,80
3,81
2,74
|
å:
1,0000
1
0
0
,00
Статистика
c2
и вычисление ее значения по опытным данным.
Для того чтобы принять или отвергнуть гипотезу о законе распределения изучаемой случайной величины, в каждом из критериев согласия рассматривается некоторая (специальным образом подбираемая) величина, характеризующая степень расхождения теоретического (предполагаемого) и статистического распределения.
В критерии Пирсона в качестве такой меры расхождения используется величина
,
называемая статистикой «хи - квадрат»
или статистикой Пирсона
(вообще, статистикой называют любую функцию от результатов наблюдений). Ясно, что всегда c2
³0, причем c2
= 0, тогда и только тогда, когда при каждом i , т.е. когда все соответствующие эмпирические и теоретические частоты совпадают. Во всех остальных случаях c2
¹0; при этом значение c2
тем больше, чем больше различаются эмпирические и теоретические частоты.
Прежде чем рассказать о применении статистики c2
к проверке гипотезы о закон е распределения , вычислим ее значение для данного варианта; это значение, найденное по данным наблюдений и в рамках выдвинутой гипотезы, будем обозначать через c2
набл.
.
| i
|
n
i
|
|
|
1
2
3
4
5
6
7
8
9
10
|
10
9
11
14
18
13
11
7
4
3
|
8,85
8,51
12,45
15,41
16,19
14,39
10,85
6,8
3,81
2,74
|
0,15
0,03
0,17
0,13
0,20
0,13
0,00
0,01
0,01
0,02
|
: 100 100 0,85
c
2
набл.
= 0,85
5.4. Распределение статистики
c2
.
Случайная величина имеет c2
– распределение
с r степенями свободы
(r = 1; 2; 3; …), если ее плотность имеет вид

где cr
– которая положительная постоянная ( cr
определяется из равенства ). Случайная величина, имеющая распределение c2
с r
степенями свободы, будет обозначаться .
Для дальнейшего изложения важно лишь отметить, что, во – первых, распределение определяется одним параметром – числом r степеней свободы и, во – вторых, существуют таблицы, позволяющие произвольно найти вероятность попадания значений случайной величины в любой промежуток.
Вернемся теперь к статистике . Отметим, что она является случайной величиной, поскольку зависит от результатов наблюдений и, следовательно, в различных сериях опытов принимает различные, заранее не известные значения. Понятно, кроме того, закон распределения статистики зависит: 1) от действительного (но неизвестного нам) закона распределения случайной величины, измерения которой осуществляются (им определяются эмпирические частоты ) ; 2) от количества произведенных наблюдений (от числа n) и от способа разбиения числовой оси на промежутки (в частности, от числа i ); 3) от теоретического (выдвинутого в качестве гипотезы) закона распределения изучаемой случайной величины (им определяются теоретические вероятности pi
и теоретические частоты = n×pi
)
 Если выдвинутая гипотеза верна, то очевидно, закон распределения статистики зависти только от закона распределения изучаемой случайной величины, от числа n и от выбора промежутков разбиения. Но на самом же деле, в этом случае (благодаря мастерски подобранному Пирсоном выражению для ) справедливо куда более серьезное утверждение. А именно, при достаточно больших n закон распределения статистики практически не зависит от закона распределения изучаемой случайной величины и ни от количества n произведенных опытов: при
распределение статистики стремится к - распределению с
r степенями свободы.
Эта теорема объясняет, почему статистика Пирсона обозначается через .
Если в качестве предполагаемого выбрано одно их трех основных непрерывных распределений (нормальное, показательное или равномерное), то r = i – 3, где i – количество промежутков, на которые разбита числовая ось (количество групп опытных данных). В общем случае

где - количество параметров предполагаемого (теоретического) распределения, которые заменены вычисленными по опытным данным оценками.
Т.е. в данном варианте после группировки исходных данных получаем количество промежутков разбиения i = 10, = 2, т.к. количество параметров предполагаемого (теоретического) распределения, которые заменены вычисленными по опытным данным оценками, = 2 – это а
и s для нормального распределения.
Следовательно
R=i-Nпар
-1=10-2-1=7
5.5.
Правило проверки гипотезы о законе распределения случайной величины.
Ранее отмечалось (и этот факт очевиден), что статистика принимает только не отрицательные значения (всегда c2
³0), причем в нуль она обращается в одном – единственном случае – при совпадении всех соответствующих эмпирических и теоретических частот (т.е. при для каждого i).
Если выдвинутая гипотеза о законе распределения изучаемой случайной величины соответствует действительности, то эмпирические и теоретические частоты должны быть примерно одинаковы, а значит, значения статистики будут группироваться около нуля. Если же выдвинутая гипотеза ложна, то эмпирические и соответствующие теоретические частоты будут существенно разниться, что приведет к достаточно большим отклонениям от нуля значений .
Поэтому хотелось бы найти тот рубеж – называемый критическим значением
(или критической точкой) и обозначаемый через , который разбил бы всю область возможных значений статистики на два непересекающихся подмножества: область принятия гипотезы,
характеризующаяся неравенством , и критическую область
(или область отвержения гипотезы), определяемую неравенством .
Область принятия Критическая область
гипотезы
0  
Как же найти критическое значение ?
Если выдвинутая гипотеза о законе распределения изучаемой случайной величины верна, то вероятность попадания значений статистики в критическую область должна быть мала, так что событие { } должно быть практически неосуществимым в единичном испытании. Эта вероятность, обозначим ее через :

называется уровнем значимости.
Чтобы определить критическое значение , поступим следующим образом. Зададим какое – либо малое значение уровня значимости (как правило = 0,05 или = 0,01) и найдем как уровень уравнения

с неизвестной x. Поскольку распределение статистики близко при
к - распределению с r степенями свободы, то
 
и приближенное значение можно найти из уравнения

Геометрические соображения показывают, что последнее уравнение имеет единственное решение: его корень – это такое число x>0, при котором площадь под графиком функции (плотности - распределения) над участком равна. На практике решение последнего уравнения находят с помощью специальных таблиц, имеющихся в любом руководстве по математической статистике; эти таблицы позволяют по двум входным параметрам – уровню значимости и числу степеней свободы r определить критическое значение . (Находимое таким образом критическое значение зависит, конечно, от и r,что при необходимости отражают и в обозначениях: ).
Зададим уровень значимости как = 0,05
(условие курсовой работы) .
Подводя итоги, сформулируем правило проверки гипотезы
о законе распределения случайной величины с помощью - критерия Пирсона:
1) Проводят n независимых наблюдений случайной величины (принято считать, что должно быть n³ 100).
2) Разбивают всю числовую ось на несколько (как правило, на 8…12) промежутков

так, чтобы количество измерений в каждом из них (называемое эмпирической
частотой
) оказалось не менее пяти (т.е.
³ 5 при каждом i).
3) Выдвигают (например, судя по профилю гистограммы) гипотезу о законе распределения изучаемой случайной величины и находят параметры этого закона (чаще всего, заменяя математическое ожидание и дисперсию их оценками).
4) С помощью предполагаемого (теоретического) распределения находят теоретические вероятности pi
и теоретические частоты = n×pi
попадания значений случайной величины в i-й промежуток.
5) По эмпирическим и теоретическим частотам вычисляют значения статистики , обозначаемое через c2
набл.
.
6) Определяют число r степеней свободы.
7) Используя заданное значение уровня значимости и найденное число степеней свободы r, по таблице находят (на пересечении строки, отвечающей r, и столбца, отвечающего ) критическое значение .
8) Формулируя вывод, опираясь на основной принцип проверки статистических гипотез
:
если наблюдаемое значение критерия принадлежит критической области, т.е. если , то гипотезу отвергают как плохо согласующуюся с результатами эксперимента;
если наблюдаемое значение критерия принадлежит области принятия гипотезы, т.е. , то гипотезу принимают как не противоречащую результатам эксперимента.
5.6.
Вывод о соответствии выдвинутой гипотезы и опытных данных в варианте.
Правило проверки выдвинутой гипотезы о законе распределения изучаемой случайной величины для данного варианта реализовано в таблице:
Замечания: 1. Заданное значение уровня значимости = 0,05 означает, что
,
т.е. вероятность события { } очень мала. Однако это событие, обладая ненулевой вероятностью, и тогда (при = 0,05 примерно в 5% случаев) будет отвергнута правильная гипотеза. Отвержение гипотезы, когда она верна, называется ошибкой первого рода.
Таким образом, уровень значимости - это вероятность ошибки первого рода. Отметим, что ошибкой второго рода
называется принятие гипотезы в случае, когда она неверна.
2. Иногда вместо уровня значимости задается надежность
:

т.е. - это вероятность попадания значений статистики в область принятия гипотезы. Поскольку события
{ } и 
противоположны, то

|