Содержание:
| Введение |
3 |
| 1.1 Общие сведения о районе работ |
3 |
| 2.Геологическая часть |
4 |
| 2.1 Геологическое строение месторождения. |
4 |
| 2.2 Гидрогеологическая характеристика |
6 |
| 2.3. Горно-геологические условия разработки месторождения |
6 |
| 2.4. Подсчет объемов |
7 |
| 3.Горная часть |
9 |
| 3.1. Выбор способа отработки россыпи |
9 |
| 3.2. Режим работы предприятия и выбор оборудования |
9 |
| 3.3. Порядок отработки россыпи |
13 |
| 3.4. Вскрытие месторождения |
13 |
| 3.5. Горно-подготовительные работы |
14 |
| 3.6. Осушение россыпи |
15 |
| 3.7. Конструкция и расчет дамб |
16 |
| 4. Добычные работы |
17 |
| 5. Обогащение песков |
20 |
| 6. Механическая часть |
22 |
| 6.1. Электроснабжение |
24 |
| 7. Охрана труда, техника безопасности и промышленная санитария |
24 |
| 8. Рекультивация |
26 |
| Заключение |
29 |

Введение
1.1 Общие сведения о районе работ
Месторождение россыпного золота Большой Сыпчугур разведано 1985-1989г. Западной гидрогеологической экспедицией ПГО «Читагеология». В административном отношении месторождение находится на территории Карымского района Читинской области. Географически район месторождения приурочено к отрогам Даурского и Моготуйского хребтов, служащими водоразделами рек Туры и Оленгуя. Климат района резко континентальный с колебаниями температур от +30ºС до – 45ºС суровые условия климата привели к образованию многолетней мерзлоты. Глубина сезонного промерзания до 3 м. Месторождение расположено на удалении 124 км от г.Читы. Основная база находится в поселке Кумахта, где имеются все необходимые подсобные и вспомогательные цеха, жилые помещения. Территория покрыта густой сетью грунтовых дорог. Вдоль реки Туры в непосредственной близости от месторождения Б.Сыпчугур проходит дорога с асфальтовым покрытием сообщением Чита –Дарасун –Хапчеранга. От ближайшей железнодорожной станции Дарасун месторождение удалено на 52км.
В экономическом отношении район работ относится к хорошо освоенному. Население занимающееся сельским хозяйством, лесозаготовкой сосредоточено в селах Оленгуй, Сыпсугур, Кумахта, Тыргетуй, курорт Дарасун. В селах имеются отделения связи, фельдшерские пункты, магазины, начальные школы.
Район в достаточной степени обеспечен строительным лесом, дровами, щебнем и гравием для строительства дорог. В с.Кумахта действует завод по изготовлению асфальтобетонной смеси. Воды рек могут использоваться для хозяйственно-технических средств, технических нужд. Питьевое водоснабжение может осуществляться за счет подземных и частично поверхностных вод.
2. Геологическая часть
2.1 Геологическое строение месторождения и его характеристика
Сыпчугурская россыпь относится к группе техногенных остаточных целиковых, по генетическому типу является аллювиальной долинной.
В плане россыпь по участку Сыпчугур прослежена на 6,5 км, в виде одной струи, приуроченной к русловой части реки
Рыхлые образования россыпи представлены четвертичными отложениями аллювиального, реже озерного, озерно-дельтового, солифлюкционного генезиса. Наиболее древние отложения – нижнесреднечетвертичные и среднечетвертичные залегают на коренном цоколе террасоувала, верхнечетвертичные – на цоколе террасы, современные отложения слагают осадки поймы.
Верхнечетвертичные и современные отложения первой террасы и поймы представлены нормальным аллювием с четкой дифференциацией на русловую и пойменную фации. Пойменная фация сложена алевролитами (илами), торфяно-илистыми отложениями, мелкозернистым песком; русловая – галечником с мелкими и средними валунами и гравийно-песчанным заполнителем.
Верхнечетвертичные – современные солифлюкционные отложения распространены на террасоувалах и представлены супесями и суглинками с крупно-среднезернистым песком, дресвой, гравием иногда щебенкой и галькой.
ален-среднечетвертичные отложения представлены; средне и слабо скатанными галечниками с мелкими валунами и гравийно-песчанным заполнителем.
Генезис среднечетвертичных отложений озерный и озерно-дельтовый. Озерные отложения представлены хорошо сортированными алевролитами (илами) и супесями и суглинками с крупно-среднезернистым песком и гравием.
В целом состав продуктивного пласта классический. В верхней части разреза – это галечник с гравийно-песчанным заполнителем, в нижней части –элювиальный щебень с суглинком и галькой, сильно трещиноватые или выветрелые гранитоиды, Встречаются в основном мелкие валуны (до 5-20%).
Окатанность гальки довольно различная с резким преобладанием низких классов: 0,1,2. Петросостав гальки порфирогластовые граниты, гранитогнейсы, реже порфириты, амфиболиты и кристаллические сланцы. В шлихе преобладают палевой шпат, обломки пород, кварц, реже встречаются амфиболы, биотит, магнезит, пирит, ильменит, гранат, сфен. По количеству глинистой фракции (5-10.) пески относятся к категории среднепромывистых.
Плотик россыпи представлен гидротермально измененными, трещиноватыми, преимущественно каолинизированными и пиритизированными гранитоидами. Отмечается «проваливание» золота на глубину до 2 м в коренные породы.
Гранулометрический состав рыхлых отложений в среднем по россыпи следующий:
| Размер фракции, мм |
Торфа, %. |
| >200 |
1,8 |
| 200 – 100 |
3,2 |
| 100-50 |
4,2 |
| 50-20 |
5,2 |
| 20-10 |
7,4 |
| 10-5 |
9,5 |
| < 5 |
68,7 |
Гранулометрический состав пласта следующий:
| Размер фракции, мм |
Пески, % |
| >200 |
4,4 |
| 200-100 |
6,2 |
| 100-50 |
7,1 |
| 50 – 20 |
8,5 |
| 20-10 |
0,8 |
| 10-5 |
13,8 |
| < 5 |
59,2 |
Золото в россыпи в основном хорошо скатанное, ярко-желтого цвета, реже с серебристым оттенкам. Средняя пробность золота – 830.
2.2 Гидрогеологическая характеристика
Основным поверхностным водным источникам является ключ Б.Сыпчугур. Водный режим ключа непостоянный и во многом зависит от времени года и количества выпадающих атмосферных осадков. Ширина русла Б.Сыпчугур. – 50 м, глубина – 0.8м. Наличие грунтовых подмерзлотных вод на участке месторождения не обнаружено.
Надмерзлотный водоносный горизонт приурочен к пойме реки. Водовмещающие породы – пески с гравием, дресвой, галькой и супесью. Надмерзлотные воды имеют спорадическое распространение и существуют только в теплый период года в слое сезонного оттаивания, мощность которого редко более 2 м. Режим подземных вод безнапорный.
На всей площади месторождения развита многолетняя мерзлота. Русла всех поверхностных водотоков зимой перемерзают полностью, вода подо льдом сохраняется только на отдельных участках (в ямах).
Интенсивное таяние льда начинается с середины мая, ледостав в начале октября.
2.3 Горно-геологические и горнотехнические условия разработки месторождения.
Горнотехнические условия разработки Сыпчгурской россыпи
| №№ п. п. |
Горнотехнические условия |
Сыпчугурская россыпь |
| 1. |
Мощность торфов, средняя, м |
2,0 |
| 2. |
Мощность песков, средняя, м |
1,3 |
| 3. |
Коэффициент вскрыши, мЗ/м |
1,5 |
| 4. |
Охваченность многолетней
мерзлотой
торфов, %
песков, %
|
80
80
|
| 5 |
Уклон плотика |
0,00025 |
| 6 |
Ширина пласта, средняя, м |
33 |
| 7 |
Угол естественного откоса, гр. |
45 |
| 8 |
Глубина открытой разработки, м
Минимальная
Максимальная
Средняя
|
0,0
3,6
1,3
|
| 9 |
Валунистость, % |
5-20 |
Многолетнемерзлые породы имеют повсеместное распространение. Глубина летнего оттаивания верхнего горизонта рыхлых отложений до 2.0 м. Улавливаем ость золота промывочными приборами средняя. Неблагоприятными факторами, затрудняющими отработку месторождения, являются; наличие повсеместной многолетней мерзлоты, волнистость плотика, неравномерное распределение золота в россыпи, значительный дренаж воды из русла ключа Сыпчугур при отработке прирусловых запасов.
2.4 Подсчет объемов.
| Категория запасов и номер блока |
Площадь, м2
|
Мощность, м |
Объём, мЗ
|
Среднее содержание,
мг/м
|
Запас золота,
кг
|
| Торфов |
песков |
торфов |
песков |
| С1
-37 |
7085 |
4,1 |
1,5 |
28907 |
10486 |
667 |
7,00 |
| С1
-38 |
23354 |
2,5 |
1,5 |
59163 |
34564 |
670 |
23,16 |
| С1
-39 |
42162 |
1,3 |
1,3 |
54610 |
56618 |
674 |
38,16 |
| С2
-40 |
4915 |
0,4 |
1,7 |
1966 |
8356 |
783 |
6,55 |
| С2
-41 |
21413 |
0,5 |
1,3 |
10707 |
27837 |
1208 |
33,62 |
| С2
-42 |
13532 |
5,2 |
0,9 |
70366 |
12179 |
840 |
10,23 |
| С2
-43 |
5022 |
1,5 |
1,0 |
7533 |
5022 |
600 |
3,01 |
| Итого |
117483 |
2,0 |
1,3 |
233252 |
155060 |
785 |
121,71 |
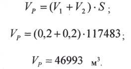
Разубоживание песков происходит в вскрышных пород(предохранительная рубашка Разубоживание рассчитывается по формуле: следствии примешивания) и задирки плотика.

где Vп
– объём песков,
Vp
– объём задирки и предохранительной рубашки, м3
.

Тогда разубоживание составит:

Общий объем промываемых песков составит:

3. Горная часть
3.1 Выбор способа отработки россыпи.
Выбор способа отработки месторождения определяют следующие факторы:
Длина россыпи в плане – 6500 метров, средняя ширина – 30 м., средняя мощность торфов 2 м., средняя мощность песков – 1,3 м., наличие повсеместной многолетней мерзлоты (80% песков и торфов), запасы полезного ископаемого -121,71 кг.
Дражный способ не целесообразно использовать вследствие небольших запасов золота, неглубокого залегания пласта и наличием вечной мерзлоты. Гидравлический способ неприемлем так же из-за наличия вечной мерзлоты, малого уклона плотика (0,00025) и возможного большого притока воды, особенно в паводковый период. Наиболее подходит гиромеханизированый способ отработки с применением бульдозеров, при этом способе возможна
отработка россыпей с не большими запасами золота, расстояние транспортирования торфов (30 м.) и песков ( < 100 м.) допустимы при использовании бульдозеров, так же этот способ эффективен для отработки россыпей охваченных многолетней мерзлотой с её послойной оттайкой.
3.2 Режим работы предприятия и выбор оборудования
Промывочный сезон в данном районе начинается в мае, а заканчивается в сентябре. Продолжительность промывочного сезона составит 150 суток. Предприятия будет работать в 2 смены, продолжительность смены – 12 часов. Вскрышные и горно-подготовительные работы планируется начать на месяц раньше, чтобы обеспечить к началу промывочного сезона достаточное количество готовых запасов полезного ископаемого.
Для промывки песков будет использоваться промывочный прибор ПГШ-II-50.
Шлюзовые установки типа ПГШ целесообразно применять на месторождениях с крупным золотом, когда мелочи очень мало, а пески содержат мало камня и много ила и льда, кроме того, наклон поверхности соответствует благоприятному самотёчному размещению хвостов. Особенно целесообразно применять их для разработки небольших площадей, при частых перестановках, а также для россыпей расположенных в узких долинах, когда для лучшего размещения хвостов целесообразно производить подъем песков почти вертикально. Данный тип промывных установок лучше работает во время заморозков, прост и более безопасен в обслуживании, дешев в изготовлении, требует мало материалов. По отчетным данным, золота извлекается в среднем 88-94%.
Техническая характеристика ПГШ-II-50
| Показатели |
Величина |
| Часовая производительность, м3
/ч |
50 |
| Расход воды, л/сек |
300 |
| Потребляемая мощность, кВт |
190 |
| Высота гидровлического подъема, м |
11-17 |
| Наибольший размер пропускаемого камня, мм |
125 |
Рассчитываем сезонную производительность промприбора:

где Qn
.т
– техническая производительность промприбора, м3
/ч
Т – число часов промывки в сутки, (Т=20ч),
N – количество дней промывки, (N=150)
Ки
– коэффициент использования промприбора во времени, (Ки
=0,7)

Запасы песков по месторождению вместе с предохранительной рубашкой и задиркой составляют 202053 м3
. И срок разработки россыпи составит:

Для водоснабжения промприбора будет использоваться насос 12 НДС, для заполнения и подпитки водой технологических водоемов – 6НДС с приводом от ДВС.
Техническая характеристика центробежного насоса 12НЛС
| Параметр |
Величина |
| Подача, м3
/ч |
1250 |
| Манометрический напор, м |
65 |
| Частота вращения рабочего колеса, об/мин |
1450 |
| Необходимая мощность двигателя, кВт |
380 |
| Диаметр рабочего колеса, мм |
460 |
| Масса, кг |
1157 |
Для выемки и транспортировки горной массы будут использоваться бульдозеры марок Д-275А на базе трактора Т-140 и Д-385А на базе трактора ДЭТ-250. Более мощные бульдозеры будут использоваться для вскрышных работ и рыхления мерзлых пород, а менее мощные (Д-275А) для добычных работ, подачи песков в бункер промывочной установки и отвалообразования.
Техническая характеристика бульдозера Д-275А
| Параметр |
Величина |
| Базовый трактор или тягач |
Т-140 |
| Мощность двигателя, л.с. |
140 |
Размеры лемеха, мм:
Длина
Высота
|
3350
1400
|
| Максимальное заглубление лемеха, мм |
1000 |
| Лемех |
Неповоротный |
| Максимальное тяговое усилие, тс |
13,3 |
| Масса бульдозера с трактором, кг |
17700 |
| Сменная производительность бульдозеров(при дальности транспортировки 30 м), м3
|
290 |
Техническая характеристика бульдозера Д-385А
|
| Параметр |
Величина |
| Базовый трактор или тягач |
ДЭТ-250 |
| Мощность двигателя, л.с. |
300 |
Размеры лемеха, мм:
Длина
Высота
|
5000
1550
|
| Максимальное заглубление лемеха, мм |
350 |
| Лемех |
Неповоротный |
| Максимальное тяговое усилие, тс |
22 |
| Масса бульдозера с трактором, кг |
29500 |
| Сменная производительность бульдозеров(при дальности транспортировки 30 м), м3
|
570 |
Расчет сезонной производительности бульдозеров:

где qБ.
c
– сменная производительность бульдозера, при средней дальности транспортировки 30 метров,
п
– количество смен в сутки,
N – количество рабочих суток,
Кд – коэффициент использования во времени, (Кд=0,75).

Срок отработки месторождения составляет 2 года следовательно годовая производительность предприятия по пескам равна 101027 м3
. Исходя из этого определяем необходимое количество бульдозеров для подачи песков в бункер.

Для вскрышных работ при годовом объеме вскрыши 116626 м3
необходимо бульдозеров типа Д-385А:

3.3
Порядок отработки россыпи
Отработка россыпи будет происходить с мая по октябрь. В начале мая планируется начать производство горно-подготовительных работ которые включают строительство плотины руслоотводной и нагорной канавы; вскрышу торфов и промывку песков. Отработка начнется с блока С1
-38, и далее по простиранию россыпи будут отрабатываться следующие блоки. Торфа складируются на оба борта разреза, отработанное пространство будет в последующем использоваться как отстойники. Среднее расстояние транспортировки пород составит 30 метров. Частично торфа будут использоваться для строительства дорог и дамб. Промывка песков будет осуществляться в летнее время,
3.4
Вскрытие месторождения
Под вскрытием россыпи понимается проведение горных выработок, создающих доступ с поверхности земли к залежи или ее части и обеспечивающих возможность размещения оборудования, а так же проведения подготовительных и добычных работ.
При гидромеханизированой разработке россыпей применяется вскрытие с помощью бульдозеров. Вскрытие можно осуществлять сплошным выездом, косым выездом, отдельными выездами, канавами, котлованами. Для нашего месторождения выбираем вскрытие сплошным выездом, так как россыпь будет вскрываться одним уступом, а ширина не превышает 50 метров.
При вскрытии россыпи сплошным выездом по мере углубления разреза его откосы попутно с выемкой породы выполаживаются до уклона 0,2-0,38, позволяющего бульдозерам выезжать из разреза в любом месте. Для бульдозеров принимается подъем 10-22°. Вскрытие сплошным выездом позволяет сократить расстояния перемещения пород, но вызывает необходимость выемке пород при разносе бортов за контуром разреза, объем которых существенно возрастает с увеличением глубины разработки. Если разнос бортов осуществлять на вскрышном горизонте, то возрастает объем вскрыши. В случае разноса бортов на добычном горизонте увеличивается объем разубоживания. С целью уменьшения разубоживания полезного ископаемого и объемов вскрыши применяется выезды с половинным разносом борта, когда часть его располагается в пределах разреза в виде целика, который в последующем отрабатывается угловыми (перекрестным) заездом. При этом несколько усложняется процесс выемки, но расстояние перемещения основного объема пород сокращается примерно в 2 раза. На 60 – 70% уменьшается также дополнительный объем работ по разносу бортов, в результате чего производительность оборудования возрастает примерно на 10%.
Вскрышные породы будут располагаться на обоих бортах разреза
3.5
Горно-подготовительные работы
Подготовительные работы осуществляются с целью подготовки россыпи к разработке. Они включают очистку поверхности полигона от кустарника и леса, удаления вскрышных пород, проходку канав, обвалование отвалов промывки и водоотстойников, строительство плотин и дамб, подъездных путей, оттаивание мерзлых пород.
Подготовительные работы начинаются с очистки территории будущего разреза от всех естественных и искусственных препятствий, то есть с рубки и корчевки леса, уборки валунов, переноса всех имеющихся сооружений. Лес и кустарники удаляются в первую очередь на участках, предназначенных для расположения эксплуатационных сооружений и нагорной, руслоотводной канав. В дальнейшем очищают площади в пределах конечных контуров разреза. Лес на данном участке не представляет строительной ценности, поэтому его валят бульдозером. Кустарники и заросли также удаляются бульдозером.
На подготавливаемом участке россыпи сооружаются дороги. Обязательным элементом подготовки россыпи к эксплуатации является предварительное оттаивание многолетней мерзлоты. На данном месторождении будет применятся естественный способ оттайки мерзлоты, под действием солнечной энергии. Этот способ не требует особенного оборудования, отличается простотой организации работ и характеризуется достаточной эффективностью.
3.6 Осушение россыпи
.
При разработке россыпей обводненность пород вызывает снижение производительности оборудования и приводит к разубоживанию песков и потерям полезного ископаемого. Поэтому для эффективного ведения горных работ на обводненных россыпях предварительно производятся работы по осушению россыпи, посредствам отвода русла, строительством нагорных и водосточных канав.
На данной россыпи будем производить отвод русла, так как основная часть месторождения находиться в русле реки.
Руслоотводную канаву стремятся проходить вне площади полигона, который должен отрабатываться в течении 1-3 лет. Водоотводным канавам придается устойчивая трапециевидная форма, а откосы должны быть такими, чтобы порода с них не сползала в водоток (для наших пород принимаем угол откоса 35°). Уклон руслоотводной канавы соответствует уклону долины. Скорость потока зависит от расхода воды, уклона и шероховатости стенок канавы. Скорость потока воды не должна размывать стенки канавы.
Руслоотводная канавы обычно имеют большую площадь поперечного сечения (10 – 50 м2
). Проходка канав бульдозерами используется при глубине канавы до 3 м. При проходке канав бульдозерами ширина дна канавы получается около 3,5 м. Для перемещения пород от проходки на ее борта устраиваются выезды через каждые 20 -25 м. В мерзлых породах канавы стремятся проходить послойно, по мере оттаивания пород.
Площадь поперечного сечения канавы рассчитывается по формуле:

где Q– расход воды в источнике, (Q = 10 м3
/с);
v
нер
– неразмывочная скорость потока (для пород данного месторождения v
нер
-1,6 м/с);

Глубина потока при заданной ширине канавы равна:

Длину руслоотводной канавы определяем графически и она составит 5 км.
3.7
Конструкция и расчет дамб.
При принятом способе разработки, с оборотным водоснабжением, подача технологической воды производится с отстойника, который обеспечивает замкнутый цикл осветления воды и полную изолированную работу по промывке песков от внешних водотоков.
Для обеспечения потребного объема технологической воды, осаждения илистой фракции, в выработанном пространстве строятся предохранительные дамбы. Превышение отметки гребня дамбы над уровнем воды принимается по правилам безопасности -1.5 м. Для зашиты верхового откоса предохранительных дамб от разрушающего воздействия ветровых волн, атмосферных осадков и других факторов предусматривается каменная наброска d=0,3м по верхней площадке дамбы и верховому откосу на 1/3 высоты.
Высота и длина дамб определена графическим путем по каждой приборостоянке. Согласно расчетам, высота дамб достигает 6м. Сооружение предохранительных дамб предусмотрено с устройством трубчатых сливов осветлённой воды и аварийных переливов, устроенных в борту россыпи по целику. Для предотвращения размыва входная и выходная часть аварийного перелива укрепляется каменной набросной.
Дамбы отсыпаются торфами вскрыши послойно с неоднократным механическим уплотнением, для отсыпки служат материалы –гравийно-талечниковые с алено-глинистым заполнителем.
4. Добычные работы.
К добычным работам относят: очистную выемку песков, вспомогательные работы, транспортирование промывку песков на промывной установке укладку в отвалы. Очистные работы состоят из очистной выемке песков и доставке их к транспортирующим устройствам, а вспомогательные работы – из работ по уборке валунов, зачистке плотика и осушению полигона.
Большое внимание на очистных работах необходимо уделять осушению песков при разработке мерзлых россыпей. При естественном способе оттайки, работы по осушению пласта проводятся во время выемки песков с небольшим опережением. Для осушения песков на мерзлых россыпях после вскрышных работ проводят по пласту в местах с наиболее низкими отметками плотика водосборную канаву. Канаву по пласту проходят на полную глубину талого слоя, в мерзлых песках ее углубляют постепенно во время очистных работ по мере оттайки с таким расчетом, чтобы дно канавы было ниже поверхностного забоя примерно на 0,5 метра.
Выемка породы будет производится бороздовым способом. Предплотиковая часть вынимается с механическим рыхлением и с подгребкой. Мерзлые пески вынимаются тонкими слоями по мере их оттаивания и транспортируются к приемным бункерам промывочных установок веерными заездами по траншеям, образуемых из валиков породы. Осушенные пески, залегающие на скальном плотике, вынимаются бульдозером бороздовым способом. При зачистке плотика используется подгребка с рыхлением. Пески содержащие значительный объем ила, глины льда вынимаются радиальными, диагональными или параллельными заездами и складируются в траншеи. Затем разжиженная масса перемещается одним или двумя спаренными бульдозерами по траншеи к приемному бункеру промывочной установки.
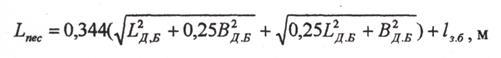
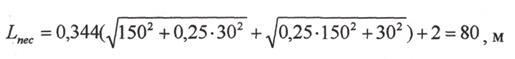
При веерной системе производства добычных работ пески вынимаются и транспортируются к приемному бункеру начиная от наиболее удаленных участков блока. Размеры выемочных блоков при бульдозерной разработке составляют 100 200 метров. При прямоугольной форме блока, относительной постоянной мощности пласта и горизонтальном его залегании среднее расстояние перемещения песков составит:

где Lд.Б
. – длина добычного блока в сторону падения россыпи ниже и выше приемного бункера, м
в д.б
– ширина добычного блока, м
lз.б
– среднее расстояние, учитывающее заезд бульдозера вдоль борта при выемке песков на прибортовой полосе, (lз.б
=2 – 3 м).

Около бункеров скапливаются валуны и крупная але, которая отделяется на грохоте. Особенно много выделяется камня при гидравлическом подъеме песков, поскольку на водометном грохоте отделяются валуны и булыжники размерами более 80-100 мм. Эти отвалы камня убирают бульдозером. Частота и продолжительность уборки зависит от их количества, накапливаемого в течение суток.
Промывка песков заключается в следующем: пески доставляются бульдозером к металлическому бункеру. Над ним установлен водометный грохот решетка которого имеет отверстия диаметром 9-13 см. Гидромонитором размывают доставленные к решетке пески, валуны поднимают напорной струей по наклонной колоде, обмывают и сбрасывают во временный отвал, откуда бульдозером камни убирают в сторону. К водоструйному насосу воду подводят по водопроводу под напором 5-7 кгс/см2
. Насос засасывает размытые пески из приямка и по песководу, установленному под углом 50-60°, подает на шлюз.
На дно шлюза укладывают маты и трафарет, водный поток по шлюзу перемещается с большой скоростью, чтобы удалять валуны диаметром до 12 см. Раз в сутки осевшие шлихи смывают и по отводной трубе или вспомогательным водоструйным насосом попадают на доводочный станок или направляют в контейнер для отправки на шлиходоводочную установку «ШОУ».
Технология подъема песков, промывки их и укладки хвостов в отвал на шлюзовых установках наиболее проста. Обслуживает ее один рабочий на гидромониторе, который одновременно управляет насосной установкой.
В отвалы самотеком размещается весь объем хвостов как мелкозернистые так и але, поэтому часть хвостов приходится убирать бульдозером.
Мелкозернистые хвосты эфеля перемещают в отвал самотеком совместно с отработанной водой. Наиболее тонкозернистые глинистые частицы при этом оседают не все, а частично выносятся за пределы отвала. Место для расположения для гидроотвала должно обеспечивать размещение хвостов в необходимом объеме и исключать возможность завалки эфелями прилегающих участков россыпи и заиливания водоотстойников и зумпфа насосной станции.
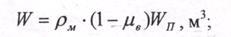
Необходимый объем отвала для размещения мелкозернистых хвостов определяется по уравнению:

где рм
– коэффициент разрыхления, (рм
=1,07) Wn
– объем промываемых песков, μв
– коэффициент выноса пород из отвалов, ( =0,3)

5.
Обогащение песков
Собранные шлихи затериваются в контейнеры, пломбируются и на специальной машине-шлиховозе доставляются в золотоприемный пункт участка, где производится обогащение и доводка черного шлиха. Обогащение производится по технологической карте.
Привезенные шлихи поступают на обогащение в магнитный сепаратор, после этого концентрат поступает на грохочение по классам крупности и на обогащение в отсадочные машины и на концентрационные столы СКО-7.5 и СКО-2. Концентрат столов собирается в специальную емкость и после накоплений разделяется на дуговом грохоте на два класса: +2мм и -2мм. Класс +2мм доводят вручную на лотке, класс -2мм на вашгерде. Принципиальная схема доводки шлихов приведена на рисунке.

Рис. 2. Технологическая схема обогащения промывочного прибора ПГШ-50-1

6. Механическая часть
Планирование и подготовка ремонтов.
В основу организации ремонта оборудования принимаем систему планово-предупредительных ремонтов (ППР), состоящую в том, что после отработки оборудованием определенного времени производится профилактический осмотр и различные виды плановых ремонтов.
Периодичность и продолжительность их зависит от конструктивных и ремонтных особенностей оборудования и условий его эксплуатации.
Основным содержанием системы ППР является:
а) внутрисистемное обслуживание (уход и надзор) и проведение профилактических осмотров и обслуживания оборудования;
б) выполнение плановых ремонтов оборудования.
Основным методам ремонта проектом принимается агрегатно-узловой метод, при котором все основные узлы и агрегаты бульдозеров, гидромониторов и насосов, требующих ремонта, заменяют запасными.
По обогатительному оборудованию на промывочных полигонах и землеройной технике предусматривается:
внутрисистемное обслуживание (ВСО), выполняемое дежурным и эксплуатационным персоналам;
- текущие ремонты, выполняемые при остановках оборудования. В зависимости от характера и объема работ, кроме эксплуатационного персонала, привлекается ремонтный персонал;
- капитальный ремонт (К), являющейся восстановительным ремонтом, к которому приурочены работы по модернизации и совершенствованию оборудования. Текущий ремонт (ТР) выполняется непосредственно на россыпи на специально спланированной и отсыпанной площадке под навесом.
Сезонное техническое обслуживание землеройной техники и обогатительного оборудования проводится в начале и по окончании промывочного сезона. Оно как правило, совмещается с техническим обслуживанием или средним ремонтом.
Все виды ремонтов (кроме текущего), проводятся согласно графику, составленному главным механиком и утвержденным гл. инженером предприятия. Перед началом ремонта составляется дефектный акт, где указывается перечень узлов и агрегатов, подлежащих ремонту. Ремонт агрегатов бульдозеров, насосов, дизельных двигателей производится в ремонтных мастерских.
РММ оборудованы ремонтным боксом с электроталью грузоподъемностью 5 тс, моторным цехом, стендом для ремонта и регулировки топливной аппаратуры.
Капитальный ремонт промприборов производится непосредственно на полигоне. Доставка агрегатов в капремонт осуществляется автомобильным транспортом.
Ремонт оборудования и замена узлов и агрегатов производится в ремонтной зоне участка. Ремонтная зона включает в себя площадку и навес для ремонтов, кузнецу, навес для сварки и мастерские. Все объекты временного пользования выполняются по типовым проектам, указанным в экспликации зданий, согласно генплану временного поселка.
Перед производством ремонтов землеройной техники она транспортируется на ремонтную площадку, где очищается от грязи. Во избежание загрязнения нефтепродуктами окружающей среды, ремонтная площадка оборудуется нефтеуловителями.
Внутрисистемное обслуживание землеройной техники осуществляется на специально отведенной спланированной и отсыпанной гравием площадке. Заправка тракторов горючим и маслами производится на временных складах, оборудованных нефтеуловителями.
Текущие ремонты обогатительного оборудования и землеройной техники осуществляет бригада ремонтного персонала, которая имеет в своем распоряжении автомашину передвижной ремонтной мастерской (ПРМ). ПРМ имеет необходимый запас часто выходящих из строя деталей.
6.1 Электроснабжение
Потребителями электроэнергии на горных работах при отработке россыпи Б.Сыпчугур являются объекты производственного назначения временного поселка. Ввиду того, что насосные агрегаты промывочного прибора оборудованы дизельным приводам, электроснабжение промывочных полигонов проектом не предусматривается. Ввиду незначительных электрических нагрузок потребителей рем площадки и жилой зоны и небольшой продолжительности отработки россыпи, электроснабжение предусматривается от передвижной ДЭС.
7.
Охрана труда, техника безопасности и промышленная санитария
При эксплуатации месторождения россыпного золота особое внимание уделить следующему.
При бульдозерных работах:
- не разрешается оставлять без присмотра бульдозер с работающим двигателем и поднятым ножом, а при работе – становиться на подвесную раму и нож;
- запрещается работа на бульдозере без блокировки, исключающей запуск двигателя при включенной коробке передач или при отсутствии устройства для запуска двигателя из кабины, а также работа поперек крутых склонов;
- для ремонта, смазки и регулировки бульдозера он должен быть установлен на горизонтальной площадке, двигатель выключен, а нож опущен на землю;
- запрещается находиться под поднятым ножом;
- максимальные углы откоса забоя при работе бульдозера не должны превышать: на подъем 25° и под уклон (спуск с грузом) 30°.
При работе гидромонитора:
- до пуска в эксплуатацию установки гидромеханизации должны быть испытаны на давление, превышающее рабочее; для труб на 30%, для насосов и землесосов на 50%;
- все гидромониторы должны иметь ограничители случайных разворотов ствола, управление гидромониторами должно быть дистанционным;
- перед началом работы гидромонитора из сферы действия его струи должны быть удалены все люди, а с места работы гидромонитора – лица, не имеющие отношения к его работе;
- от высоковольтной линии электропередачи гидромонитор должен быть расположен на расстоянии не менее двукратной дальности полета струи;
- запрещается работа гидромонитора во время грозы;
- запрещается хождение по трубопроводам, не оборудованным трапами с перилами;
- режим работы гидромонитора и бульдозера должны быть заранее увязаны между собой и строго выполняться рабочими.
При работе с электроустановками:
- при разработке месторождений открытым способом к электроустановкам предъявляются требования действующих «Правил устройства электроустановок», «Правил техники безопасности при эксплуатации электроустановок, станций и подстанций», «Правил технической эксплуатации электроустановок потребителей»;
- при обслуживании электроустановок должны применятся необходимые защитные средства (диэлектрические перчатки, боты, коврики, изолирующие подставки и др.);
- защитные средства, применяемые при обслуживании электроустановок, должны подвергаться обязательным периодическим электрическим испытаниям в установленные сроки;
- все лица, работающие в карьере, должны быть обучены способам оказания первой помощи при поражении электрическим током;
- голые токоведущие части электрических устройств, доступные случайным прикосновениям, должны быть защищены надежными ограждениями;
- для защиты людей от поражения электрическим током в электроустановках напряжением до 1000 В должны применятся аппараты (реле-учетчики), автоматически отключающие сеть при опасных токах утечки. При выполнении требований общих санитарных норм:
- на каждом участке, а также на основных горных и транспортных агрегатах должны быть аптечки первой помощи;
- на каждом участке для обогрева рабочих в карьере зимой, укрытия от дождя и приема пищи должны устраиваться специальные помещения, расположенные не далее 300 м от места работы. В них должны находиться столы, скамьи для сидения, умывальник с мылом, бачок с кипяченой питьевой водой, вешалка для верхней одежды;
- сосуды для питьевой воды должны быть снабжены кранами фонтанного типа, защищаться от загрязнении крышками, запертыми на замок и не реже одного раза в неделю промываться горячей водой или дезинфицироваться.
Противопожарные мероприятия:
- все рабочие места должны быть оборудованы средствами пожаротушения, особенно в местах заправки и хранения ГСМ;
- запрещение курения и пользования открытым огнем в помещениях и местах, в которых имеются смазочные и обтирочные материалы;
- запрещается использование материалов, находящихся на противопожарном стенде, на нужды, не связанные с тушением пожара;
- необходимо проведение контроля действия и исправности средств таковой защиты (от перегрузок, т.к.з., реле утечки и др. ).
8.
Рекультивация
Горнотехническая характеристика рекультивируемых земель Подлежащие рекультивации земли представлены техногенным рельефом, образовавшимся в результате производства горных работ, при разработке россыпного месторождения золота ключа Б.Сыпчугур. Преобладающими элементами рельефа, после отработки, являются карьерные выемки, откосы дамб, галечные и вскрышные отвалы, отвалы от проходки руслоотводной и нагорной канав. Карьерные выемки достигают глубины 5.0 м, в среднем до 4.0 м, углы откосов бортов по торфам – 45°. Высота вскрышных отвалов достигает 6.0 м, в среднем до 5.0 м.
Технические условия рекультивации
Технические условия устанавливают следующие требования по приведению земель, нарушенных при разработке месторождения, в состояние, пригодное для дальнейшего их использования:
- уклон рекультивируемого участка не должен превышать уклон речной долины более чем на 2° ;
- выравнивание откосов должно производится в сторону отработанного пространства, планировка отвалов не должна увеличивать площадь нарушенных земель;
- засыпку карьерных выемок выполнить але-эфелънымм и торфяными грунтами до проектных отметок;
- почвенно – растительный слой складировать в отдельные отвалы, покрытые сверху отвалами торфов, с целью последующего нанесения его на спланированную поверхность рекультивируемых земель;
- предельные уклоны спланированной поверхности не должны превышать 12°.
Технический этап рекультивации рассчитан под самозаростание.
Основной принцип рекультивационных работ на Сыпчугурском месторождении заключается в том, чтобы вернуть первоначальную планировку дна ключа Сыпчугур пространства с естественным руслом выполняется так, как показано на рисунке
В последнею очередь производится рекультивация отстойников, нагорных канав.

Заключение.
В данном курсовом проекте мы выполнили план разработки россыпного месторождения ключ Сыпчугур. Россыпь разрабатывается гидромеханизированным способом. С применением бульдозеров типа Д-275А и Д-385А, промывка песков будет производится промывочным прибором ПГШ-50. Срок отработки месторождения 2 года.
|