Задача № 13
«
РАСЧЕТ ПОЛУПРОВОДНИКОВОГО ВЫПРЯМИТЕЛЯ»
Для питания электронного термометра от однофазной сети частотой f= 50 Гц
используется однополупериодный выпрямитель, преобразующий переменное напряжение (АС) - в постоянное (DС). Он состоит (рис. 13, а)
из понижающего трансформатора Т;
полупроводникового диода VD
;
Г -образного сглаживающего RС-фильтра. Нагрузкой выпрямителя является активное сопротивление R
п
и

R
С-фильтр обрыв Сф
осциллограмма напряжении
U
В
а) 6) в)
Задание.
1) для любого промышленного адаптера к электронному устройству (калькулятор, радиоприемник, телефон, плеер, принтер и т.д.) нарисовать эскиз конструкции и кратко описать его работу;
2) построить для двух периодов (t
= 0,04 c) графики напряжения на выходе выпрямителя без сглаживающего фильтра, первых четырех членов ряда Фурье разложения функции напряжения (как принято в таких случаях, ось абсцисс разметить в градусах (x
= 180ωt
/π));
3) построить график суммы первых четырех членов ряда Фурье;
4) вычислить коэффициент пульсаций напряжений на выходе сглаживающего фильтра при обрыве проводов конденсатора (неисправный фильтр);
5) вычислить коэффициент пульсаций напряжений на выходе сглаживающего фильтра при подключенном конденсаторе (исправный фильтр).
Исходные данные: (9.0)
СФ
,мкФ=1, RФ,
Ом=1000, RП,
кОм=90, Uвх max,В= 45.
Решение.
Пункт 1.
Конструкция промышленного адаптера типа ХМ-318.
Параметры адаптера:
UВХ
= ~220В; f=50...60Г;
UВЫХ
= 3... 12В; IВЫХ МАХ
=0,5 А.
Внутри корпуса находится трансформатор, выпрямитель и
фильтр.
Снаружи - вилка для включения в сеть 220 В, переключатель UВЫХ
= -3-4,5-6-7,5-9-12 В, шнур с набором разъемов для подключения потребителей.
Пункт 2.
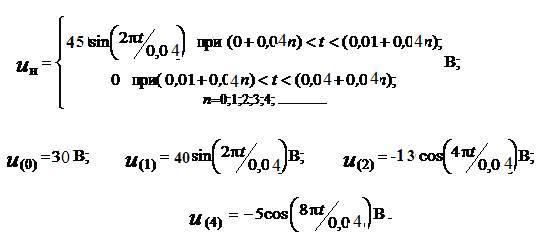
Формула разложение в ряд Фурье.
=45(5,31 + 0,5 *sin wt - 4 * соs2 wt – 1.5 * сos4 wt)
= (30 +40 sin wt –
13) • соs 2wt -
5 соs 4wt)B.
В прямоугольной системе координат (
y
=
u
;
x
= 180ωt
/π) строим графики (см. рис. п13.1.2) следующих функций:


Рис. п13.1.2 – Графики напряжения U
Н
и первых 4 членов ряда Фурье
Пункт 3.
Построение графика суммы первых четырех членов ряда Фурье разложения функции напряжения U
Н
выполняем графоаналитическим методом, для чего находим суммы ординат всех графиков разложения с шагом 0,001с. Полученные точки соединяем между собой с использованием лекала (рис. п13.2.1).

Рис. п13.2.1. График суммы первых 4 членов ряда Фурье
Пункт.4.

а – схема при обрыве цепи конденсатора С
ф
;
б – схема с исправным фильтром
Рис. п13.3.1. Выпрямитель с RC
-фильтром
u
= (30+40 sinωt
) = (30+40 sin(2πft
)) = (30+40 sin(314t
)) В.
pвх
= Uвх (1)
m
/Uвх (0)
= 40/30 = 1,3.
p
вых
= U
вых (1)
m
/U
вых (0)
.
p
вых. С=0
= U
вых (1)
m
/U
вых (0)
= 3.3/2.47=1.3
Пункт 5.





p
вых
= U
вых (1)
m
/U
вых (0)
= 8.52/2.47= 3.4
|