ЛАБОРАТОРНАЯ РАБОТА КСАВ-03
РЕШЕНИЕ ЗАДАЧ С ИСПОЛЬЗОВАНИЕМ ВЕКТОРОВ И МАТРИЦ
4.1 Определение векторов и матриц в МС-документе
4.2 Математические операции над векторами и матрицами
4.3 Встроенные функции для обработки векторов и матриц
4.4 Решение систем линейных алгебраических уравнений в среде МС
4.1 Определение векторов и матриц в МС-документе
В среде МС вектором считается столбец
(но не строка) чисел (одномерный массив), а матрицей - прямоугольная таблица
чисел (двумерный массив). Кроме того, вектор можно рассматривать как матрицу, состоящую из одного столбца, а матрицу - как набор столбцов-векторов.

По умолчанию элементы вектора и строки матрицы нумеруются сверху вниз, а номера столбцов слева направо, начиная с 0.
Обработка матриц управляется кнопками палитры “Matrix”, которая вызывается при нажатии кнопки на главной палитре:
Matrix

Рисунок 8
1 – создание вектора или матрицы
2 - создание индекса элемента
3 – вычисление обратной матрицы
4 - модуль вектора или матрицы
5 – операция векторизации
6 – выделение столбца матрицы
|
7 – транспонирование матрицы
8 – шаблон диапазонной переменной
9 – скалярное произведение векторов
10 – векторное произведение векторов
11 – суммирование элементов вектора
12 – графическое отображение величины элементов матрицы
|
Определить вектор или матрицу явным
образом - значит указать место в документе, записать нужное имя матрицы, команду присваивания и вставить шаблон матрицы. Затем шаблон заполняется числами.
Имя:= Шаблон
Вставить шаблон матрицы можно несколькими способами:
-Или
выбрать в меню <Вставить>-<Матрица>
-Или
нажать клавиши [Ctrl]+[M]
-Или
щелкнуть по кнопке 1 палитры «Matrix»
На экране появится окно диалога, в котором нужно указать количество строк (Rows) и столбцов (Columns). Для вектора Rows обозначает количество элементов, а Columns=1.
 |
Шаблон

|
─┐[Tab]
<─┘
|
Переход к следующей ячейке выполняется при нажатии клавиши [Tab] или клавишами управления курсором.

Отдельный элемент
вектора или матрицы обозначается нижним индексом. Переход в режим набора индекса: или
клавиша “[“, или
кнопка 2 палитры «Matrix», возврат в основной уровень - клавиша «Пробел». Для элемента матрицы указывают в индексе номер строки и номер столбца через запятую. (Например, нажатие клавиш M[1,2 дает в документе M1,2
).
Отдельный элемент вектора или матрицы используется как обычная переменная: его значение можно вывести на экран, ему можно присвоить новое значение, его значение можно использовать в вычислениях. Например:
| набрать на клавиатуре: |
Res[1= W2a[2,2= z:Res[2 + 3*W2a[1,1 |
| вид на экране: |
 |
Неявный способ
определения вектора или матрицы состоит в определении отдельного элемента. Как только определяется хотя бы один элемент нового вектора или матрицы, то его номер автоматически считается максимальным, и все предыдущие элементы считаются равными 0. Таким способом можно изменить размер и существующих матриц.

Неявный способ можно использовать и для вычисления всех элементов, если задать выражение, в котором используется диапазонная переменная, логически соответствующая номеру элемента

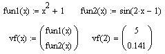
Зачастую бывает нужно вычислить вектор значений аргумента и вектор значений функции

при этом имена вектора и функции должны быть различными.
Еще один способ получения вектора - рекуррентные вычисления - когда новая компонента вектора вычисляется через предыдущие.
Пример: Последовательность чисел Фибоначчи

Новые векторы или матрицы можно определять также как результат выполнения математических действий над известными на данный момент матрицами и векторами, например:
w:=v1+v2 M:=m1*m2
Если указано только имя вектора, он обрабатывается как единый объект по правилам векторной алгебры.
После определения вектора или матрицы их можно обрабатывать как самостоятельные элементы, указывая только имя, или же изменять отдельные элементы (указывается индекс – номер элемента).
Примечания:
1) В физических задачах все элементы вектора или матрицы должны иметь одинаковую размерность или быть безразмерными.
2) Для изменения начального номера следует переопределить встроенную переменную ORIGIN.
3) Структуру вектора можно использовать для одновременного определения нескольких переменных.
 
4) Матричную структуру могут иметь и функции пользователя.


Результат вычислений можно сохранять как вектор

или как вектор отдельных переменных

В качестве параметра можно использовать число, вектор, матрицу или другую функцию.
4.2 Математические операции над векторами и матрицами.
Произвольный вектор будем обозначать именем V, а матрицу - именем M.
| Математическая операция и ее обозначение |
Кнопка палиты “Matrix”
|
Набрать на клавиатуре |
Шаб-лон |
Вид в
документе
(заполненный шаблон)
|
| Вставка шаблона матрицы в документ |
1
|
Ctrl+M |
| Отдельный элемент вектора, матрицы |
V[
M[
|


|


|
| Модуль вектора |V| |
|V |
 |
 |
| Скалярное произведение (V1∙V2) |
V1*V2 |
 |
V1∙V2 |
Векторное произведение

|
V1 Ctrl+* V2 |
 |
 |
| Определитель матрицы detM |
|M |
|▪| |
|M| |
| Степень квадратной матрицы |
M^n |
Mn
|
| Обратная матрица M-1
|
M^-1 |
 |
M-1
|
| Транспонированная матрица MT
|
M Ctrl+1 |
MT
|
| Выделение столбца матрицы |
M Ctrl+6 |
 |
 |
Примечание. Векторное произведение определено только для трехэлементных (трехмерных) векторов 3-мерного пространства.
Пример выполнения операций над векторами и матрицами:


При выводе на экран матриц большого размера выводится часть матрицы, причем остальные элементы можно просмотреть с помощью полос горизонтальной и вертикальной прокрутки. Изменяя размеры блока, можно получить нужное число строк и столбцов.

Операция векторизации.
Во многих случаях бывает необходимо вычислить функцию, параметром которой является числовая переменная, от каждого элемента вектора или матрицы, например: ; ; .
Последовательное перечисление всех элементов громоздко, поэтому в среде МС введено понятие векторизации функции, смысл которого заключается в вычислении функции от каждого элемента вектора или матрицы.
Для включения векторизации следует набрать имя и параметры функции, курсором подчеркнуть обозначение функции и нажать [CTRL - ] или выбрать кнопку палитры “Matrix” . Режим векторизации функции указывается стрелкой над обозначением функции.


При попытке вычислить алгебраическую функцию от вектора или матрицы без включения операции векторизации появляется сообщение об ошибке «non
-
scalar
value
».
4.3 Встроенные функции для обработки векторов и матриц
При описании встроенных функций обрабатываемый вектор обозначен именем V, обрабатываемая матрица – именем M. На практике пользователь при вызове функции указывает имя вектора или матрицы, которые необходимо обработать в данном месте документа. Конечно, вектор или матрица должны быть определены до выполнения функции.
| Параметры векторов и матриц
|
| Получение минимального элемента вектора или матрицы |
min(V)
min(M)
|
| Получение максимального элемента вектора или матрицы |
max(V)
max(M)
|
Количество элементов вектора
|
length(V) |
| Номер последнего элемента вектора (при нумерации с 0 равно length(V)-1 |
last(V) |
Количество строк матрицы
|
rows(M) |
Количество столбцов матрицы
|
cols(M) |
| Вычисление следа
квадратной матрицы (суммы диагональных элементов) |
tr(M) |
Примеры:

| Формирование новых матриц
|
| Формирование единичной квадратной матрицы размера n*n |
identity(n) |
| Формирование квадратной матрицы, на диагонали которой расположены элементы вектора V, остальные элементы =0 |
diag(V) |
| Объединение двух или более матриц, имеющих одинаковое число строк, в одну |
augment(M1,M2) |
| Объединение двух матриц, имеющих одинаковое число столбцов, в одну |
stack(M1,M2) |
| Выделение части матрицы в пределах r1,r2,c1,c2 |
submatrix(M,r1,r2,c1,c2) |
Примеры:

| Сортировка элементов векторов и матриц
|
| Упорядочение (сортировка) элементов вектора в порядке возрастания |
sort(V) |
| Расположение элементов вектора в обратном порядке |
reverse(V) |
| Упорядочение элементов k-го столбца матрицы по возрастанию перестановкой строк |
csort(M,k) |
| Упорядочение элементов k-й строки матрицы по возрастанию перестановкой столбцов |
rsort(M,k) |
Примеры:

 |
 |
- строки были переставлены так, чтобы элементы 2-го столбца расположились по возрастанию |
 |
- столбцы были переставлены так, чтобы элементы 1-й строки расположились по возрастанию |
4.4 Решение систем линейных алгебраических уравнений в среде МС
Для многих численных методов решение системы линейных уравнений является одним из этапов. Как известно, систему линейных уравнений можно представить в матричной форме
AX
=
B
,
где А – матрица коэффициентов системы, В - вектор правых частей уравнений.
Для решения системы линейных уравнений можно использовать метод обратной матрицы. Этот метод, являющийся достаточно громоздким, в МС реализуется одной строкой. В соответствии со свойством обратной матрицы A-1
A=I, где I-единичная матрица, получаем, что столбец неизвестных
X
:=
A
-1
B
.
Выполнив вычисление по этой формуле, далее в документе нужно вывести результат на экран и выполнить проверку (правая часть должна совпасть с вектором b).
Пример. Решение системы трех уравнений
Для решения системы уравнений можно использовать встроенную функцию lsolve
(
A
,
B
).
Матрицы A и B определяются так же, а затем находится вектор неизвестных .
Универсальный характер векторов и матриц в среде МС.
В МС реализован принцип вложенности структур данных различного типа. Это означает, что элементами вектора или матрицы могут быть другие векторы или матрицы, или функции. Функция, в свою очередь, может иметь матричную структуру, и так далее.
Это позволяет экономично описывать исходные данные, планировать вычисления и группировать результаты. Вложенность данных используется также при разработке программных блоков в среде МС.
При выводе на экран таких векторов или матриц МС показывает не численные значения, а структуру элемента (в фигурных скобках), например



СОДЕРЖАНИЕ ЗАДАНИЯ
Выполнить вычисления в задачах №1, №2, №3, №4 (по вариантам).
ЗАДАЧА 1.
Выполнить действия по обработке заданных векторов и матриц с выводом на экран всех промежуточных результатов.
1) ra3=(1.2,-2.3,6.05); cz4=(-0.4,3.1,8.2);
│ 2 3 -1│ │-1 0 5│
A = │ 9 5 2│ ; B = │35 1 3│ ;
│-1 0 7│ │-2 -2 4│
- вычислить скалярное произведение ra3 и cz4;
- вычислить модуль вектора a=2*ra3-3*cz4;
- вычислить векторное произведение векторов 2*cz4 и -3*ra3;
- вычислить определитель матрицы 2*A-3B
- вычислить произведение матриц A^(-1) и B^2
- вычислить новую матрицу A1 путем возведения элементов
исходной матрицы A в куб;
- вычислить след матрицы (А+5B)^(-1);
2) kq3=(3.6,-2.3,9.45); uv4=(-5.1,5.8,-8.4);
│ 2 4 7 │ │ 2 3 –5 │
T = │ 5 1 –4 │; S = │41 -4 3 │;
│ 9 3 –3 │ │ 3 -1 1 │
- вычислить векторное произведение kq3 и uv4;
- вычислить модуль вектора a=6*kq3-2.3*uv4;
- вычислить скалярное произведение векторов kq3 и uv4;
- транспонировать матрицу 5*T-3*S
- вычислить произведение матриц T^2 и S^4
- вычислить новую матрицу S1 путем деления всех элементов ис-
ходной матрицы S на минимальный;
- вычислить след матрицы T^(-1);
3) vx3=(6.6,-3.1,8.36); ca4=(-6.3,8.5,-3.3);
│ 9 5 –2 │ │ 4 3 –3 │
G = │13 -3 –3 │; H = │51 11 4 │;
│ 6 7 4 │ │ 5 -2 14 │
- вычислить модуль векторного произведения 4*vx3 и -ca4;
- вычислить максимальный элемент вектора b=3.4*vx3+2.3*ca4;
- вычислить скалярное произведение векторов b и vx3;
- вычислить определитель матрицы 3*G-4*H^3
- вычислить произведение матриц (G-H)^3 и (2G+H)^(-1)
- получить новую матрицу G1 путем вычисления функции Бесселя
J3 от модулей элементов исходной матрицы G;
- вычислить след матрицы (G+H)^4;
4) dy3=(4.6,-2.7,2.48); se4=(-8.1,5.4,-9.3);
│ 19 -4 2 │ │ 3 -1 5 │
W = │ 25 1 4 │; D = │11 -4 –8 │;
│ 9 4 –3 │ │ 2 5 13 │
- упорядочить элементы вектора c=6*dy3-4.3*se4;
- вычислить скалярное произведение (dy3+c) и se4;
- вычислить модуль векторного произведения векторов c и dy3;
- вычислить определитель матрицы -4*W+3*D;
- выполнить объединение матриц W^2 и D^3;
- получить матрицу D1 путем вычисления функции ch
от элементов матрицы W/9;
- вычислить след матрицы (W-D)^7;
5) qn3=(4.3,-7.3,7.21); um4=(-4.1,7.2,-7.9);
│ 31 5 –7 │ │ 6 5 5 │
R = │ -5 4 4 │; G = │61 -4 –3 │;
│ 1 3 –1 │ │ 4 -3 2 │
- вычислить модуль вектора d=2.9*qn3-5.3*um4;
- вычислить векторное произведение d и um4;
- вычислить скалярное произведение векторов qn3 и um4;
- упорядочить элементы второй строки матрицы 3*R-7*G;
- вычислить определитель произведения матриц R^4 и G^2;
- вычислить матрицу G1, обратную матрице G;
- вычислить след матрицы R1, элементы которой получены
вычислением квадратного корня из модулей соответствующих
элементов матрицы R;
6) fa3=(7.6,3.2,8.02); hi4=(-1.4,5.6,-6.4);
│ 24 7 8 │ │ 1 4 –6 │
V = │ 15 14 –9 │; B = │54 -3 5 │;
│ 4 3 –1 │ │ 5 -2 7 │
- вычислить минимальный элемент вектора w=3.6*fa3-1.3*hi4;
- вычислить векторное произведение hi4 и 2*w и его модуль;
- вычислить скалярное произведение векторов w и fa3;
- вычислить определитель матрицы V^2-3*B
- вычислить произведение матриц V^(-1) и B^2
- вычислить новую матрицу V1 путем вычисления функции sh от
элементов матрицы V/5;
- вычислить след матрицы (V+B)^4;
7) wa3=(3.6,-2.1,9.45); ek4=(-5.1,5.8,-8.4);
│ 11 4 7 │ │ 2 1 –5 │
P = │ 5 1 –4 │; R = │31 -4 3 │;
│ 15 3 –3 │ │ 3 -3 1 │
- упорядочить элементы векторного произведения wa3 и ek4;
- вычислить модуль вектора s=6*wa3-2.3*ek4;
- вычислить скалярное произведение векторов s и wa3;
- вычислить определитель и след матрицы 5*R-3*P;
- вычислить минимальный элемент объединения матриц R^2 и P^4;
- вычислить новую матрицу R1 путем деления всех элементов ис-
ходной матрицы R на ее определитель;
- упорядочить элементы 1-го столбца матрицы P^5;
8) bt3=(4.6,-3.1,4.45); up4=(-5.1,6.8,-7.8);
│ 3 5 17 │ │ 8 -3 5 │
A = │ 11 6 –9 │; K = │27 4 –3 │;
│ 4 7 –3 │ │ 3 13 8 │
- вычислить модуль вектора g=6*bt3-2.3*up4;
- вычислить векторное произведение bt3 и g;
- вычислить скалярное произведение векторов g и (bt3-up4);
- вычислить определитель матрицы 0.5*A-0.3*K
- вычислить произведение матриц A^3 и K^(-1)
- вычислить новую матрицу K1 путем возведения в куб матрицы,
обратной матрице K;
- вычислить след матрицы (4*А-K)^6;
9) jx3=(1.6,-2.4,3.35); rd4=(-4.4,5.5,-6.7);
│ 14 8 –7 │ │ 7 -1 –5 │
Q = │ 5 3 1 │; Z = │36 4 3 │;
│ -1 13 3 │ │ 3 -9 13 │
- вычислить минимальный элемент вектора h=6*jx3-2.3*rd4;
- вычислить модуль векторного произведения h и rd4;
- вычислить скалярное произведение векторов (h-jx3) и rd4;
- вычислить определитель матрицы 3.5*Q-2.3*Z
- вычислить след произведения матриц (2Q+Z^4)(Q-4Z)
- вычислить новую матрицу Q1 путем умножения всех элементов ис-
ходной матрицы Q на ее определитель;
- транспонировать матрицу Z^(-1);
10) es3=(3.6,-2.1,9.45); ya4=(-5.3,5.8,-8.4);
│ -2 4 7 │ │ 2 3 –5 │
C = │ 5 1 –4 │; D = │71 -4 3 │;
│ 16 3 –3 │ │ 3 -1 1 │
- вычислить векторное произведение es3 и ya4;
- вычислить модуль вектора r=5*es3-2.9*ya4;
- вычислить скалярное произведение векторов r и (ya4-es3);
- вычислить определитель матрицы 5*C-3*D^4;
- вычислить произведение матриц (D^2-C^4) и (2D+3C);
- вычислить новую матрицу D1 путем вычисления функции exp
от элементов исходной D/20;
- вычислить след матрицы C^3;
11) hx3=(9.8,-7.1,5.34); mc4=(-4.3,5.9,-7.3);
│ 9 13 7 │ │ 4 3 –5 │
A = │ -5 3 4 │; B = │81 -4 3 │;
│ 4 9 –1 │ │ 3 -1 1 │
- вычислить максимальный элемент вектора y=6*hx3-2.3*mc4;
- вычислить модуль векторного произведения 2*hx3 и y;
- вычислить скалярное произведение векторов y и (hx3+3*mc4);
- вычислить след и определитель матрицы 4.5*A-3.9*B;
- вычислить максимальный элемент произведение матриц (A-B)A+3B;
- получить новую матрицу A1 путем вычисления степени (1/3)
от элементов исходной матрицы A;
- транспонировать матрицу А^5;
12) yk3=(9.6,-7.3,1.45); vs4=(-8.1,4.4,-3.4);
│ 7 4 2 │ │ 3 -3 –2 │
W = │ -5 11 –4 │; F = │11 4 3 │;
│ 8 3 –3 │ │ 5 -1 4 │
- вычислить минимальный элемент вектора k=0.6*yk3-1.3*vs4;
- вычислить векторное произведение (yk3+vs4) и k;
- вычислить скалярное произведение векторов k и yk3;
- вычислить определитель матрицы 4*W-2*F+WF;
- транспонировать произведение матриц W^3 и F^4;
- получить матрицу W1 путем вычисления функции Бесселя J0
от элементов исходной матрицы W;
- упорядочить элементы 1-й строки матрицы (W+2F)^(-1);
13) nn3=(1.4,-2.3,6.05); mm4=(-0.4,3.3,8.4);
│ 2 -3 -1 │ │ -1 0 5 │
E = │ 4 5 2 │; G = │ 50 1 3 │;
│ -3 0 7 │ │ -2 -2 4 │
- вычислить скалярное произведение nn3 и mm4;
- вычислить модуль вектора a=2*nn3-3*mm4;
- вычислить векторное произведение векторов 4*nn3 и -3*mm4;
- вычислить определитель матрицы 2*E-G;
- вычислить след произведения матриц E и G^4;
- получить матрицу E1 путем вычисления функции Бесселя J4
от элементов исходной матрицы G;
- вычислить след матрицы (E+5G)^(-1);
14) av3=(3.6,-4.1,9.45); qq4=(-5.1,5.8,-8.4);
│ 6 4 7 │ │ 2 3 –5 │
Y = │-5 1 –4 │; H = │ 9 -4 3 │;
│ 1 3 –3 │ │ 3 -1 1 │
- вычислить векторное произведение av3 и qq4;
- упорядочить элементы вектора t=6*av3-2.3*qq4;
- вычислить скалярное произведение векторов t и qq4;
- вычислить определитель матрицы 5*Y-3*H;
- транспонировать произведение матриц Y^2 и H^2;
- получить матрицу H1 путем вычисления функции tg
от элементов исходной матрицы H;
- вычислить след матрицы Y^(-1);
15) st3=(6.6,-3.1,8.36); gg4=(-6.3,8.5,-1.3);
│ 4 5 –2 │ │ 4 3 –1 │
U = │17 -1 –3 │; L = │29 13 4 │;
│ 6 7 4 │ │ 5 -2 12 │
- вычислить модуль векторное произведение 2*st3 и -gg4;
- найти минимальный элемент вектора b=3.4*st3+4.3*gg4;
- вычислить скалярное произведение векторов b и gg4;
- вычислить определитель матрицы 3*U-2*L^3
- вычислить произведение матриц (U-L)^2 и (4U+L)^2
- вычислить след матрицы U1, элементы которой получены
вычислением функции Бесселя J1 от элементов матрицы U;
- вычислить след матрицы (U+L)^4;
16) tt3=(4.6,-2.7,2.48); hv4=(-8.3,5.4,-9.3);
│ 14 -4 2 │ │ 3 -1 5 │
B = │-11 3 4 │; M = │10 -4 –8 │;
│ 9 4 –3 │ │ 4 5 11 │
- вычислить модуль вектора c=6*tt3-2.3*hv4;
- вычислить векторное произведение (tt3+c) и hv4;
- вычислить скалярное произведение векторов c и hv3;
- вычислить определитель матрицы -2*B+3*M;
- вычислить след произведения матриц B^4 и M^3;
- вычислить новую матрицу M1 путем объединения матриц B и 2M;
- транспонировать матрицу (B-M)^7;
17) wr3=(4.3,-7.3,7.41); ac4=(-4.3,7.4,-7.9);
│ 19 5 –7 │ │ 6 5 5 │
S = │ -5 4 4 │; N = │20 4 –3 │;
│ 1 3 –1 │ │ 4 -3 2 │
- вычислить вектор d=4.9*wr3-5.3*ac4;
- вычислить модуль векторного произведения d и ac4;
- вычислить скалярное произведение векторов wr3 и ac4;
- вычислить след матрицы 3*S-7*N;
- вычислить определитель произведения матриц S^4 и N^(-1);
- вычислить матрицу N1, обратную матрице N;
- вычислить след матрицы (S-4N)^5;
18) dt3=(7.6,3.2,8.02); bs4=(-3.4,5.6,-6.4);
│ -6 7 8 │ │ 3 4 –6 │
D = │-15 4 –9 │; J = │30 -3 5 │;
│ 4 3 –1 │ │ 5 -2 7 │
- вычислить минимальный элемент вектора f=3.6*dt3-1.3*bs4;
- вычислить векторное произведение bs4 и 4*f;
- вычислить скалярное произведение векторов f и dt3;
- вычислить определитель матрицы D^4-3*J
- упорядочить элементы 2-й строки произведения матриц
D^(-1) и J^4;
- вычислить новую матрицу D1 путем вычисления функции arccos
от элементов матрицы D/10;
- вычислить след матрицы (D+J)^4;
19) uw3=(3.6,-4.1,9.45); po4=(-5.1,5.8,-8.4);
│ 12 4 7 │ │ 2 3 –5 │
P = │ -5 1 –4 │; R = │40 -4 3 │;
│ 11 3 –3 │ │ 3 -1 1 │
- вычислить модуль векторного произведения uw3 и po4;
- упорядочить элементы вектора a=6*uw3-2.3*po4;
- вычислить скалярное произведение векторов a и uw3;
- вычислить определитель и след матрицы 5*R-3*P;
- найти минимальный элемент произведения матриц R^4 и P^4;
- вычислить новую матрицу R1 путем вычисления степени (3/7)
от модулей элементов матрицы R;
- транспонировать матрицу P^6;
20) da3=(4.6,-3.1,4.45); te4=(-5.1,6.8,-7.8);
│ -3 5 17 │ │ 8 -3 5 │
T = │ 15 6 –9 │; W = │47 4 –3 │;
│ 24 7 –3 │ │ 3 11 8 │
- вычислить модуль вектора g=6*da3-2.3*te4;
- вычислить векторное произведение da3 и g;
- вычислить скалярное произведение векторов g и (da3-te4);
- вычислить определитель матрицы 0.5*T-0.3*W;
- найти максимальный элемент произведения матриц T^3 и W^(-1);
- получить матрицу T1 путем вычисления функции arctg
от элементов матрицы T;
- вычислить объединение матриц 3T и W^2;
21) uk3=(3.6,-2.4,3.35); vm4=(-4.4,5.5,-6.7);
│ -4 8 –7 │ │ 7 -3 –5 │
A = │ 5 1 1 │; Z = │-6 64 3 │;
│ 21 13 3 │ │ 3 -9 11 │
- упорядочить элементы вектора h=6*uk3-4.3*vm4;
- вычислить модуль векторного произведения h и vm4;
- вычислить скалярное произведение векторов (h-uk3) и vm4;
- вычислить определитель матрицы 3.5*A-2.3*Z;
- вычислить след произведения матриц (4A+Z^2)(A-4Z);
- вычислить новую матрицу A1 путем вычисления кубического
корня от модулей элементов матрицы A;
- транспонировать матрицу Z^(-1);
22) mw3=(3.6,-2.1,9.45); cv4=(-5.1,5.8,-8.4);
│ -2 4 7 │ │ 4 1 –5 │
C = │ 35 1 –4 │; D = │-1 54 3 │;
│ 11 3 –3 │ │ 3 -1 1 │
- вычислить векторное произведение mw3 и cv4;
- вычислить модуль вектора a=5*mw3-4.9*cv4;
- вычислить скалярное произведение векторов a и (cv4-mw3);
- вычислить определитель матрицы 5*C-3*D^4
- вычислить произведение матриц (D^2-C^4)(4D+3C)
- вычислить новую матрицу D1 путем деления всех элементов ис-
ходной матрицы D на минимальный;
- вычислить след матрицы C^3;
23) zx3=(9.8,-7.1,5.34); df4=(-2.3,5.9,-7.3);
│ 16 33 7 │ │ 2 7 –5 │
F = │ 5 3 4 │; Y = │-1 60 3 │;
│ -4 9 –1 │ │ 3 -1 1 │
- вычислить максимальный элемент вектора y=6*zx3-2.3*df4;
- вычислить векторное произведение 4*zx3 и y;
- вычислить скалярное произведение векторов y и (zx3+3*df4);
- вычислить определитель матрицы 4.5*F-1.9*Y
- транспонировать произведение матриц (F-J)F+3Y
- получить матрицу F1 путем вычисления функции Бесселя J1
от модуля элементов исходной матрицы F;
- вычислить след матрицы F^3;
24) sa3=(9.6,-7.1,3.45); ip4=(-8.1,4.4,-3.4);
│ 17 4 2 │ │ 3 11 –4 │
R = │ 5 31 –4 │; S = │11 20 3 │;
│ -1 3 –3 │ │ 5 -1 4 │
- вычислить модуль вектора k=0.6*sa3-1.3*ip4;
- вычислить векторное произведение (sa3+ip4) и k;
- вычислить скалярное произведение векторов k и sa3;
- вычислить определитель транспонированной матрицы 4*R-4*S+RS;
- упорядочить 2-й столбец произведения матриц R^3 и S^4;
- получить матрицу R1 путем вычисления функции ch
от элементов матрицы R/8;
- вычислить след матрицы (R+4S)^(-1);
25) gt3=(3.4,-4.3,6.05); yd4=(-0.4,3.3,8.4);
│ 12 3 -1 │ │ -3 22 5 │
U = │ 4 5 2 │; X = │ 40 -1 3 │;
│ -3 0 7 │ │ 2 -2 4 │
- вычислить скалярное произведение gt3 и yd4;
- упорядочить элементы вектора a=4*gt3-3*yd4;
- вычислить векторное произведение векторов 4*gt3 и -3*yd4;
- вычислить определитель транспонированной матрицы 4*U-X;
- вычислить след произведение матриц U и X^4;
- получить матрицу U1 путем вычисления квадратного корня
от модулей элементов исходной матрицы U;
- вычислить максимальный элемент матрицы (U+5X)^(-1);
ЗАДАЧА 2.
Выполнить указанные действия по решению заданных систем линейных уравнений и обработке матриц. Результаты вывести на экран с точностью 0.001.
- пример 1) - решить систему уравнений по формулам Крамера и методом обратной матрицы. Проверить результаты подстановкой;
- пример 2) - решить систему уравнений методом обратной матрицы. Проверить результаты подстановкой;
- пример 3) – вычислить матричное выражение;
- пример 4) – решить матричное уравнение. Проверить результат подстановкой;
Варианты
условия задачи берутся из книги:
║ Воробьева Г.Н., Данилова А.Н. Практикум по вычислительной ║
║ математике. М., 1990. - стр. 22-29. ║
ЗАДАЧА 3.
Решить систему линейных уравнений методом обратной матрицы. Результаты вывести на экран с точностью 0.0001. Проверить результаты подстановкой.
Варианты условия задачи берутся из книги:
║ Воробьева Г.Н., Данилова А.Н. Практикум по вычислительной ║
║ математике. М., 1990. - стр. 39-40. ║
ЗАДАЧА 4.
Решить систему линейных уравнений методом обратной матрицы. Результаты вывести на экран с точностью 0.0001. Проверить результаты подстановкой.
Варианты условия задачи берутся из книги:
║ Воробьева Г.Н., Данилова А.Н. Практикум по вычислительной ║
║ математике. М., 1990. - стр. 32-33. ║
Составил: Дей Е.А. v2.1 2008
|