| Содержание
Введение
1. Географо-экономическая характеристика района работ
2.
Геологическая характеристика района и месторождения
2.1 Геологическое строение района месторождения
2.2 Геологическое строение месторождения
2.2.1 Геоморфологическая характеристика месторождения
2.2.2 Гидрогеологическая характеристика месторождения
2.2.3 Характеристика золота и запасы
3 Горноподготовительные работы
3.1. Очистка поверхности от леса, кустарника и пней
Ъ
.2 Расчет сечения руслоотводной канавы
3.3. Вскрышные работы
4. Специальная часть
Добычные работы
4.1 Выбор оборудования для выемки песков
4.1.1 Бульдозерный способ
4.1.2 Скреперный способ
4.1.3 Экскаваторный способ
4.1.4 Технико-экономическое сравнение вариантов
4.2 Выбор системы разработки
4.3 Выбор оборудования для примывки песков
4.3.1 Расчет параметров гидроэлеватора
4.3.2 Расчет параметров гидромонитора
4.3J Расчет параметров насосной станции и водовода
4.4Производительность предприятия и режим работы
5. Обогащение
6. Рекультивация
7. Организация и обслуживание оборудования
8. Охрана труда
9.
Экономическая часть
Заключение
Список используемой литературы
Патентные исследования
ВВЕДЕНИЕ
Золотоносность в Карийском районе установлена в 1837г. горным инженером Павлуцким А.И. в устьевой части р. Кары, где сразу же была начата добыча золота. В последние годы прошлого столетия все работы были направлены на поиски и разведку новых россыпных месторождений золота, которые и выявлены в долинах рек Богоча, Ивановка, Лужанки, Куларки и др. Россыпи во всех бассейнах этих рек в прошлом столетии интенсивно разрабатывались «мускульным» способом.
Добыча россыпного золота в Карийском золотоносном районе проводится Усть-Карским прииском, а с 1979г. артелью старателей «Южная».
В связи с низкой обеспеченностью запасами с 1983г. Карийская ГРП треста «Забайкалзолоторазведка» В незначительных объемах стала проводить геологоразведочные работы на россыпное золото. При проведении этих работ было установлено, что в ранее отработанных россыпях содержится остаточное золото в количествах обеспечивающих рентабельную их отработку.
Россыпь по речке Лужанки разведывалась Карийским золотоприисковым управлением в 1953-55 годах для дражной добычи. Разведка проведена шурфами. Запасы не утверждались. В 1996 году запасы пересчитаны для раздельной добычи ОАО «Прииск Усть-Кара». В основу подсчета запасов были приняты районные кондиции, утвержденные на заседании территориальной комиссии по запасам полезных ископаемых при Читагеолкоме 3 октября 1994 года. Запасы были утверждены в ТКЗ 8 декабря 1998 года.
1. Географо-экономическая характеристика района работ
Площадь работ находится в Сретенском районе Читинской области. Тайга в районе лиственничная с небольшим количеством сосны, березы, осины и в пойме рек ольхи, ивы.
Климат района - резкоконтнентальный, выражается в контрастности климатических показателей. Средняя температура в январе составляет -33°С, при абсолютном минимуме -57°С. В июле средняя температура равна +18.3°С, при абсолютном максимуме +38°С. Среднегодовая температура -4.5-6.4°С. Зима является наиболее продолжительным сезоном года. Зиму отличают большое количество солнечных дней, высокая сухость воздуха, малое количество осадков (10-15% годовых). Глубина снежного покрова составляет 15-30см. Перемещение воздушных масс в зимнее время происходит, в основном, в северо-восточном направлении. Глубина сезонного промерзания достигает Зм. Многолетняя мерзлота наблюдается в пределах долин, где носит основной характер.
Населенные пункты расположены вдоль реки Шилки (Сретенск, Мол-довск, Ерки, Фирсово, Магидай, Боты, Шилкинский Завод, Старо-Ланчаково, Усть-Карск, Большие Куларки, Малые Куларки, Усть-Черная, Горбица). Река Шилка судоходна и является основной транспортной магистралью района, как летом, так и зимой.
Ближайшая ж/д. станция Урюм расположена в 90км от района работ.
В орографическом отношении район расположен на юго-восточных склонах Шилкинсого хребта и характеризуется низко-среднегорным рельефом. Некоторые крупные возвышенности находятся на водоразделе рек Шилки и Чачи, абсолютные отметки их колеблются в пределах 750-900м. Минимальные отметки днищ речных долин составляют 400-600м.
Население "района занято добычей россыпного золота, а также заготовкой мяса, пушнины, леса.
Снабжение электроэнергией по линии ЛЭП.
Истбчником водоснабжения в летнее время служат поверхностные водотоки, в зимнее время - трещины.
Таблица 1.1 Основные климатические характеристики за многолетний период по ГМС
| Характеристики
|
1
|
Месяцы
|
| 1
|
2
|
3
|
4
|
5
|
6
|
7
|
8
|
9
|
10
|
11
|
12
|
Год
|
| 1 .Среднемесячная и годовая температуры
|
-32.8
|
-26.2
|
-14.9
|
-0.5
|
8.7
|
16.7
|
19.1
|
16.8
|
8.6
|
-1.4
|
-18
|
-31.1
|
-4.6
|
| 2. Абсолютное похолодание температур воздуха
|
-1
|
4
|
16
|
23
|
31
|
31
|
38
|
36
|
31
|
23
|
10
|
4
|
38
|
| 3. Абсолютная температура воздуха
|
-57
|
-52
|
-42
|
-33
|
-12
|
-7
|
2
|
-1
|
-10
|
-32
|
-43
|
-51
|
-57
|
| 4. Среднемесячная и годовая относительная влажность
|
79
|
74
|
68
|
59
|
55
|
67
|
76
|
80
|
75
|
70
|
80
|
81
|
72
|
| З.Среднеее количество осадков (мм)
|
3 •
|
3
|
5
|
14
|
22
|
60
|
98
|
92
|
44
|
17
|
8
|
6
|
372
|
| 6. Среднемесячная и годовая скорость ветра
|
0.5
|
0.7
|
1.2
|
2
|
2.4
|
1.6
|
1.3
|
1.2
|
1.4
|
1.4
|
1.1
|
0.7
|
1.3
|
| 7 . Среднемесячная высота снежного покрова
|
13
|
14.6
|
14.3
|
2
|
6
|
10.3
|
2. Геологическая характеристика района и месторождения
2.1 Геологическое строение района месторождения
В геологическом строении преобладают интрузивные породы, менее распространены метаморфические.
Нерасчлененные метаморфические образования раннепротерозойского возраста (PRi) представлены биотитовыми, амфибол биотитовыми гнейсами и кристаллическими сланцами с резкими прослоями мрамора. Они картируются в тектонически спущенных блоках, где кроме указанных выше встречаются мраморизованные доломиты и доломитизированные известняки с прослоями слюдисто-углистых сланцев быстринской свиты кембрийского возраста (EiBs).
Нижнеюрские отложения представлены двумя свитами Куйтунской (JiKt) и Чачинской (JiCc). Первая из них сложена андезитовыми, трахианде-зито-дацитовыми, порфитами, лавобрекчиями. Породы этой свиты картируются в виде узких тектонических блоков.
Чачинская свита сохранилась в небольших тектонических блоках и представлена валунно-галечными конгломератами с прослоями туфоконгло-мератов, поликлитовыми песчаниками, алевролитами, алевролито-глинистыми сланцами.
К нижнемеловым отложениям относятся породы Усть-Карской (KiUK) и Шилкинской (KiSl) свит, которые распространены в приустьевой части рч. Лужанки, вдоль р. Шилки.
Четвертичные образования (Q) представлены аллювиальными отложениями поймы русел рек Шилка, Кара и ее притоков, а также делювиальными и элювиальными отложениями водоразделов.
Аллювиальные отложения представлены галечниками, песками, реже суглинками и глинами. Мощность аллювия увеличивается от устья долины к ее верховьям и колеблется от 3.5 до 6.3 м. Делювиальные,и элювиальные отложения представлены супесью или суглинками и щебенкой с различной примесью крупнообломочного материала. Мощность делювия изменяется от 1 до 3.4 м, а элювия - от дециметров до 1м.
Интрузивные образования представлены нижнепротерозойскими пла-гиогранитами, лейкократовыми гранитами, гранодиоритами, диоритами, кварцевыми диоритами и габбро-диоритами. Юрские интрузивные образования представлены резкопорировидными роговообманково-биотитовыгли гранодиоритами и гранитами амуджикано-сретенского комплекса.
Довольно широко распространена дайковая серия порфировых пород.
2.2 Геологическое строение месторождения
Рыхлые отложения россыпи представлены аллювиальными отложениями. На всем протяжении россыпи характер отложений довольно однообразный. В составе аллювиальных отложений долины выделяются песчанно-глинистые и галечные породы с примесью глин. Мощность рыхлых отложений от 3.9 до 4.7м, в среднем составляет 4.2м.
Гранулометрический состав рыхлых отложений в среднем по россыпи характеризуется следующими данными, приведенными в таблице 2.1
Таблица 2.1 Гранулометрический состав песков россыпи
| Геологическая характеристика пород
|
Фрак1
<10мм
|
[ИИ ПО р
10-15 мм
|
азмера
16-20 мм
|
lm часта 21-50 мм
|
щ, %
51-100 мм
|
101-200 мм
|
>200мм
|
| 1 .Песчанно-галечные отложения с прослоями глины и суглинка
|
53.3
|
24.1
|
8.6
|
7.0
|
6.0
|
0.8
|
0.2
|
| 2. Дресва, щебень гранитов (элювий)
|
50.8
|
22.0
|
9.8
|
6.7
|
8.0
|
2.2
|
0.5
|
| 3. Итого:
'Л
|
52.0
|
23.0
|
9.2
|
6.9
|
7.0
|
1.5
|
0.4
|
Из приведенных данных видно, что фракции размером менее 15 мм занимают 75% объема породы. Валунистость по данным отработки в среднем по россыпи составляет 1%, увеличиваясь к левому борту долины до 5%.
Таблица 2.2
| № п/п
|
Содержание фракций в %
|
| <10мм
|
5-3 мм
|
3-2 мм
|
2-1 мм
|
1-0.5 мм
|
0.5-0.25 мм
|
0.25-0.1 мм
|
0.1-0.01 мм
|
<0.01 мм
|
| 1
|
100
|
8.00
|
5.66
|
6.00
|
16.33
|
8.66
|
6.66
|
28.51
|
20.18
|
| 2
|
100
|
9.33
|
7.00
|
16.33
|
14.33
|
9.33
|
5.66
|
28.43
|
9.59
|
| 3
|
100
|
4.66
|
3.33
|
4.66
|
8.00
|
7.33
|
7.33
|
39.92
|
24.77
|
| Сред.
|
100
|
7.33
|
5.33
|
8.99
|
12.89
|
8.44
|
6.55
|
32.29
|
18.18
|
Разрез аллювиальных отложений на участке долины незатронутых отработками следующий:
-почвенно-растительный слой;
-песчано-глинистые отложения буровато-желтого цвета с незначительным количеством дресвы и глины;
-отсортированный галечник с песком и глиной;
-золотоносный пласт - песчанно-галечные отложения с глиной;
-коренной плотик.
Почвенно-растительный слой с небольшим количеством песка и ила распространен, в основном, в бортах долины, где имеет мощность 0.1-О.Зм. В остальной части долины почвенно-растительный слой уничтожен при отработке песков «мускульным» способом.
Песчанно-глинистые отложения состоят из бурой глины с незначительным количеством песка, дресвы и гальки. Мощность слоя увеличивается к прибортовым частям долины. Слой галечника имеет повсеместное распространение. Галька разной степени окатанности, преимущественно овальной и круглой форм.
Петрографический состав обломочного материала представлен гранитами, гранодиоритами, гнейсами, сланцами с большим количеством гальки кварцевого состава.
Коренные породы представлены преимущественно разрушенными до дресвы и щебня гранитами, песчаниками, глинистыми сланцами.
В плане россыпь имеет линейно-вытянутую форму, прослеживается одна струя. Ширина продуктивного золотоносного пласта изменяется незначительно и составляет 113м.
2.2.1 Геоморфологическая характеристика месторождения
Современный рельеф в пределах района месторождения сформировался в результате проявлений тектонических движений и соответствующих им экзогенных процессов.
Речные долины северо-западного направления (речки Кара, Таратушиха, Лу-жанки и др.) заложены по крупным тектоническим зонам, рассекающим основные горстовые структуры в крест простирания. Притоки этих рек развиты по операющим трещинам.
В пределах Шилкинского хребта выделяется один эрозионный низкогорный резко расчлененный тип рельефа, который сформировался в сравнительно однородных условиях тектонического развития. Прерывистые дифференцированные поднятия с подновленными и образованными вдоль зонами тре-щиноватости, обусловили преобладание эрозионных процессов. Низкогорье характеризуется малыми абсолютными высотами 700-850м, интенсивным, но не глубоким расчленением. Мелкие распадки, чаще всего, короткие V-образные формы с крутым продольным профилем. Склоны водоразделов имеют самую разнообразную крутизну и форму.
'
Современный долинный комплекс создан в результате прерывистых тектонических восходящих движений и последующей эрозией и аккумуляцией.
Река Шилка в описываемом районе протекает с юго-запада на северо-восток. Долина реки криволинейна, но не образует резко врезанных меандр. Ширина долины 2-4км. Урез реки имеет абсолютные высотные отметки 390-400м. Продольный уклон русла 0.00025. Борта на всем протяжении террасированы. Крупные - реки Кара, Лужанки, Куларки, Черная развиты по крупным зонам нарушений северо-западного простирания. Эти долины протяженные, широкие (до 1-2км) и в нижнем течении с полным комплексом террас аналогичных по возрасту и уровню террасам реки Шилка.
Продольные профили рек плавные, выработанные и уклоны их приближаются к уклонам равнинных рек. Поперечный профиль асимметричный корытообразный. Террасы развиты, в большинстве случаев, на бортах северной экспозиции. Пойма рек высотой 0.5м почти не развита и протягивается вдоль русла в виде узкой (5-50м) полосы, расширяясь к устью. Террасы высотой 70-80м пользуются широким развитием. Все террасы цокольные. Уступы террас отчетливые, часто обрывистые. Аккумулятивный чехол редко превышает 10м. Террасы расчленены речной сетью на отдельные площадки. Поверхность их ровная, слабо наклонная (1-3°). В некоторых местах площадки террас заболочены. Поверхность цоколя, представленного коренными породами, неровная, к тыловому шву часто-покатая. Эти террасы, как правило, золотоносные и в настоящее время, большая их часть почти полностью отработанна.
Современный рельеф, в основном, создан в результате неоген-четвертичных тектонических движений. В течение этого периода происходили прерывистые быстрые восходящие движения незначительной амплитуды, сопровождающиеся трещинной разрывной тектоникой. Эрозия и денудация преобладали пи ослабленным зонам.
Максимальная мощность Кайзойских рыхлых отложений относится к плиоцен-нижнечетвертичному времени.
Все реки с плавным продольным профилем.
2.2.2 Гидрогеологическая характеристика месторождения
Выделяются два типа подземных вод: пластово-поровые воды четвертичных отложений и трещинные воды коренных пород (магматических, метаморфических) .
Пластово-поровые воды аллювиальных отложений развиты в пойменной части рч. Лужанки. Они делятся на подмерзлотные и надмерзлотные по отношению к многолетнемерзлым породам. В местах отсутствия последней подземные воды являются грунтовыми. Глубина залегания грунтовых вод зависит от их положения в днище долины и колеблется от 0.5 до 2.5м от дневной поверхности. Наименьшая глубина залегания вод отмечается всегда вблизи руслового водотока.
Мощность водоносного горизонта составляет 2-6м. Главным источником грунтовых вод являются атмосферные осадки.
Надмерзлотные воды в долине приурочены к верхним горизонтам рыхлых аллювиальных отложений. Водоупором для них служит многолетне-мерзлая зона, развита в тех же аллювиальных отложениях. Глубина распространения этих вод 0.5-3.5м. В дождливое время их уровень резко повышается, достигая поверхности долины. В зимний период водоносный горизонт надмерзлотных вод почти полностью перемерзает. Подмерзлотные воды имеют связь с водами таликовых участков, температура их +3,+5 градусов Цельсия.
Трещинные воды имеют повсеместное распространение и приурочены к зонам выветривания и трещиноватости пород. Питание горизонта трещинных вод происходит, в основном, за счет атмосферных осадков. Разгрузка
(источники) располагаются обычно у подножия склонов. Вода источников поступает в речку или подтаивает пластово-поровые воды.
Уровень воды рч. Лужанки находится в прямой зависимости от атмосферных осадков. Минимальный расход 0.3-0.5 м. Наиболее многоводной речка бывает в мае и конце августа. Во время весенних паводков и продолжительных дождей расход воды в русле увеличивается в 2 и более раз.
Рч. Лужанки является постоянным летним водотоком. Русло в нижней части имеет ширину до 2-4м. Глубина, обычно, 0.3м и зависит от количества выпадающих осадков.
С наступлением холодов питание речки атмосферными осадками прекращается, расход воды резко снижается, живой поток его постепенно перемерзает. В то же время происходит промерзание аллювиальных отложений, местами грунтовые воды аллювия приобретают напорный характер.
По физическим свойствам все воды чистые, прозрачные, без цвета, запаха, вкуса.
Одним из главных отрицательных факторов разработки Лужанкинской россыпи является глубокое сезонное промерзание рыхлых отложений 2-4м., которое при наличии многолетней мерзлоты приводит к продолжительности и неравномерности оттаивания и благоприятствует накоплению остаточной мерзлоты.
На участках развития многолетней мерзлоты граница сезонного промерзания сливается с многолетнемерзлыми породами, что сильно замедляет оттаивание грунтов, а это в свою очередь усложняет подготовительные работы по отношению полигонов.
Рыхлые отложения на 90% поражены старыми горными выработками, что способствует неравномерности протаивания и высокой фильтрации в старых галечных отвалах.
Многолетняя мерзлота охватывает аллювиальные отложения долин речек с глубины сезонного оттаивания 2.0-3.0 м и занимает 95.8% площади контуров проектируемых запасов к отработке.
2.2.3 Характеристика золота и запасы
Мощность золотоносного пласта изменяется от 1.2 до 2.3 м, составляя в среднем 1.4 м. Мощность торфов изменяется от 1.4 до 3.1 м, в среднем составляя 2.8 м. Среднее содержание химически чистого золота по блокам варьируется от 366 до 875мг/м3
при среднем по месторождению 518 мг/м3
.
Золото россыпи по классификации Петровской Н.В. относится к мелкому, класс -0.5+0.1, составляет 39-43%.
На месторождении преобладают уплотненные золотины (57.8%), в меньшем количестве отмечают комковидные золотины (37.2%). Удлиненные и амебовидные формы присутствуют в резко пониженном количестве (2.3 и 2.7%).
По степени окатанности доминируют полуокатанные золотины (83.58%) в значительно меньшем количестве отмечаются хорошо окатанные золотины (15.0%) и, наконец, совершенно окатанные формы наблюдаются в резко пониженном количестве.
Золото ярко-желтого цвета и около 1% - латунно-желтого цвета. Поверхность золотин, как правило, чистая, не более 5% покрыта в углублениях тонкой пленкой красновато-бурых гидроокислов железа.
Комковидные золотины имеют, в основном, изометричные, реже, несколько вытянутые формы. Поверхности их шероховатые, микроячеистые: в ячейках иногда фиксируются мелкие зернышки белого кварца и красновато-бурых гидроокислов железа.
В уплощенных золотинах соотношение толщины к поперечнику 1:15-1:25. Поверхность золотин шагреневая, на отдельных золотинах отмечаются тонкие борозды (следы волочения).
Таблица 2.3
| Разведка 1953-55гг
|
Эксплуатация
|
| Класс, мм
|
Выход, %
|
Класс, мм
|
Выход, %
|
| +1.0
|
5
|
+3.0
|
4
|
| +0.5
|
24
|
+2.0
|
1
|
| +0.25
|
27
|
+1.0
|
1
|
| +0.1
|
39
|
+0.5
|
37
|
| -0.1
|
5
|
+0.25
|
54
|
| +0.1
|
3
|
| Итого:
|
100
|
100
|
Золотоносный пласт месторождения сложен песчано-галечными отложениями с примесью глины. Из гранулометрического состава видно, что только 1.2% приходится на валуны. Доля илисто-глинистой фракции 9.2%, остальной объем приходится на песчаную форму.
Гранулометрический состав рыхлых отложений определяет хорошую промывистость песков.
На выбор способа отработки существенное влияние оказывают геоморфологические и горнотехнические условия.
Золото хорошо улавливается промывочными приборами.
Таблица 2.5 Поблочная ведомость запасов россыпного золота по россыпи р.Лужанки участок «Вершина»
| №№ блоков и категория запасов
|
Площадь блока, тыс. м2
|
Мощнс торфов
|
)СТЬ, М
песков
|
Объем, торфов
|
тыс. м песков
|
Среднее содержание,
мг/м3
|
Запас металла, кг
|
| 1 '
|
2
|
3
|
4
|
5
|
6
|
7
|
8
|
| Балансовые запасы
|
| В-38
|
17.4
|
2.6
|
1.3
|
45.2
|
22.6
|
503
|
11.4
|
| В-39
|
17.0
|
2.8
|
1.5
|
47.6
|
25.5
|
476
|
12.1
|
| В-40
|
13.7
|
2.8
|
1.5
|
38.4
|
20.6
|
491
|
ЮЛ
|
| В-41
|
23.9
|
2.8
|
1.9
|
66.9
|
45.4
|
560
|
25.4
|
| В-42
|
45.1
|
2.5
|
2.0
|
112.8
|
90.4
|
557
|
50.4
|
| В-43
|
33.0
|
2.6
|
1.45
|
85.8
|
47.9
|
479
|
22.9
|
| В-44
|
27.8
|
3.1
|
1.2
|
86.2
|
33.4
|
497
|
16.6
|
| В-45
|
18.0
|
2.4
|
1.5
|
43.2
|
27.0
|
506
|
13.7
|
| В-48
|
10.9
|
2.7
|
1.3
|
29.4
|
14.2
|
515
|
7.3
|
| В-49
|
9.1
|
2.6
|
1.5
|
23.7
|
13.7
|
775
|
10.6
|
| В-50
|
11.1
|
2.6
|
1.1
|
28.9
|
12.2
|
766
|
9.4
|
| В-51
|
23.5
|
3.3
|
1.0
|
77.6
|
23.5
|
470
|
11.0
|
| В-52
|
25.6
|
3.5
|
1.0
|
89.6
|
25.6
|
458
|
11.7
|
| В-53
|
34.8
|
2.9
|
1.3
|
100.9
|
45.2
|
487
|
22.0
|
| В.54
|
18.7
|
' 2.3
|
1.6
|
43.0
|
29.9
|
423
|
12.7 '
|
| Итого:
|
329.6
|
2.8
|
1.4
|
919.2
|
477.1
|
518
|
247.3
|
| Забалансовые запасы
|
| 1
|
2
|
3
|
4
|
5
|
6
|
7
|
8
|
| В-38 заб.
|
3.5
|
4.8
|
0.4
|
16.8
|
1.4
|
389
|
0.5
|
| В-39 заб.
|
3.8
|
3.2
|
1.2
|
12.2
|
4.6
|
216
|
1.0
|
| В-40 заб.
|
5.5
|
3.0
|
1.3
|
16.5
|
7.2
|
170
|
1.2
|
| В-41 заб. л.
|
4.2
|
2.9
|
1.4
|
12.2
|
5.9
|
116
|
0.7
|
| В-41 заб. п.
|
3.7
|
3.0
|
2.0
|
11.1
|
7.4
|
183
|
1.4
|
| В-42 заб.
|
1.9
|
3.9
|
1.1
|
7.4
|
2.1
|
159
|
0.3
|
| В-43 заб.
|
1.6
|
4.8
|
0.4
|
7.7
|
0.6
|
340
|
0.2
|
| В-44 заб.
|
5.5
|
3.0
|
1.0
|
16.5
|
5.5
|
180
|
1.0
|
| В-46 заб.
|
9.0
|
1.2
|
1.8
|
10.8
|
16.2
|
328
|
5.3
|
| В-47 заб.
|
7.6
|
2.3
|
1.3
|
17.9
|
9.9
|
248
|
2.4
|
| В-52 заб. л.
|
4.7
|
3.7
|
0.6
|
17.4
|
2.8
|
202
|
0.6
|
| В-52 заб. п.
|
4.6
|
2.8
|
1.1
|
12.9
|
5.1
|
178
|
0.9
|
| В-53 заб. л.
|
7.5
|
3.4
|
0.8
|
25.5
|
6.0
|
177
|
1.1
|
| В-53 заб. п.
|
5.5
|
2.8
|
1.1
|
15.4
|
6.1
|
194
|
1.2
|
| В-54 заб. л.
|
4.3
|
2.9
|
1.3
|
12.5
|
5.6
|
253
|
1.4
|
| В-54 заб. п.
|
2.6
|
3.2
|
1.3
|
8.3
|
3.4
|
215
|
0.7
|
| Итого:
|
75.5
|
2.9
|
1.2
|
221.1
|
89.8
|
222
|
19.9
|
3. ГОРНАЯ ЧАСТЬ
3.1 Горно-подготовительные работы
Началу добычных работ предшествует подготовительный период при котором производятся следующие работы:
• Завоз емкостей под ГСМ и их установка
• Строительство временных подъездных дорог
• Строительство временных мостов через протоки рек и руслоотводы
• Очистка поверхности от леса и кустарника
• Перевалка старых отвалов
• Монтаж подстанций 6 кВ
• Строительство ЛЭП в пределах полигона
• Устройство водонапорной плотины
• Строительство первичного пруда-отстойника
• Строительство резервного пруда-накоителя
• Вскрышные работы
• Монтаж промприбора, гидромонитора, установка насосной станции, монтаж водоотвода
• Наполнения пруда-отстойника водой
3.2 Очистка поверхности от леса, кустарника и пней
Площади, отведенные под разработку месторождений, размещение отвалов и проходку нагорной канавы и руслоотвод, должны быть очищены от леса. Вырубку леса предусматривается проводить в весенний период. Для этого предусматривается механизация этих работ с использованием бензороторных пил, трелевочного трактора, автокрана и лесовозных грузовых машин.
Мелкий лес диаметром Ю-15см предусматривается валить бульдозером Д-521 А. Корчевку пней предусматривается производить при помощи землеройной техники используемой на вскрыше.
3.3 Расчет сечения руслоотводной канавы
Максимальный мгновенный расход воды 10% обеспеченности
47,3м3
/с
Уклон руслоотвода 0,01
Угол откоса боковых стенок канавы 45°.
Протяженность руслоотвода 3450м
Рассчитаем наибольшую скорость воды

где К - коэффициент, учитывающий шероховатость боковых поверхностей и углы откоса стенок канавы |3, К = 8,62; I - уклон канавы Q - расход воды, м3
/с
c,d - коэффициенты, учитывающие шероховатость боковых поверхностей канавы,

Определим сечения водного потока:

Определим глубину потока:

где В - ширина руслоотвода по низу, В=4,92м т.е. ширине отвала бульдозера Д-521А плюс зазоры по 0.5м с каждой стороны Р - угол откоса стенок канавы, (3=45°

Определим поперечное сечение канавы:

Определим объем выемки руслоотвода:

3.4 Вскрышные работы
Для разработки этого месторождения предусмотрена бульдозерная вскрыша торфов с применением параллельной системы пологих выездов вдоль всего полигона на два борта с размещением отвалов за пределами контуров запасов. Такой способ выемки пород вскрыши широко применяют весной на мерзлых породах. Для наиболее производительной работы необходима следующая толщина талого слоя:
• для малольдистых пород не содержащих булыжников и валунов - 7 см;
• для пород с льдистостью 20-30% и с валунами размером до 20см - Юсм;
• для валунистых пород до 15 см.
Увеличение толщины талого слоя летом замедляет вскрышные работы. К осени целесообразно больше увеличить глубину оттаявших пород. При вскрышных работах предохранительный слой торфов над пластом „оставляют толщиной 20 см.
В связи с тем, что оттайка торфов в конце апреля, в начале мая не превышает 6см в сутки, что не может обеспечить наиболее производительную работу бульдозеров используемых на вскрыше. В связи с этим для удаления мерзлых пород вскыши будем . применять предварительное рыхление пород, что позволит облегчить загрузку отвала бульдозера, увеличит коэффициент наполнения отвала бульдозера, увеличит производительность бульдозеров. Для рыхления пород будем применять рыхлитель Д-575С на базе трактора Т-180.
Определим производительность рыхлителя,
I
где qcm - сменная производительность рыхлителя, м3
/смену,
Ртехн - техническая производительность рыхлителя, м3
/час, т|и
- коэффициент использования рыхлителя, т|и
= 0,7.

Для удаления пород вскыши будем применять бульдозер Д-521А на базе трактора Т-180.
Определим производительность бульдозера.

где q - объем доставляемого вала, м3
;

где Е - объем вала набираемого в борозде, м ;

где 1 - длина верхней площадки вала в направлении движения бульдозера;
l=L-arh,
где L - длина вала, м;

где со-коэффициентборозды, ю=1,17;
Ј,Ј - опытные коэффициенты для бульдозеров мощностью 108-180 л.с., ^=0,6, Ј=0,01.
5i - угол откоса в направлении движения, 5i=50°;
D - ширина вала, D=3,92 м;
х - степенной показатель, х=0,5.

ai=ctg8i - коэффициент заложения переднего откоса вала;
h - высота вала, h=B=l,35 м, т.к. порода не является переувлажненной; 1=1,5-0,84-1,35=0,366 м
U - длина верхнего гребня вдоль ножа, м U=D-2-(B-m)-c, где D - ширина вала, D=3,92 м;
В - высота ножа, В=1,35 м;
m - глубина борозды, т=0,4 м;
<r=ctg8 - коэффициент заложения бокового откоса вала;

г|н
- коэффициент наполнения ножа;

где v - коэффициент наклона пути;
v=l/Ke
,
где К - коэффициент конструкции ножа, К=10;
8 - коэффициент направления уклона, 8=0,16; v=l/10°'16
=0,7
1С
- расстояние доставки по горизонтам, 1=60м;
1У
- протяженность наклонного пути по горизонтам,1=45м;
С, -
коэффициент перемещения, Ј=1

Кв
- коэффициент использования рабочего времени, Кв=0,8;
Кукл - коэффициент, учитывающий уклон на участке работы, Кукл=0,7;
Кр
- коэффициент, учитывающий разрыхление пород, Кр=1,25;
Тц
- время цикла бульдозера, с.

где Тн
- время наполнения отвала бульдозера, Т„=30с,
Lr,Ln
- соответственно расстояние движения бульдозера в груженом и
порожнем состоянии, м;
Vr
, Vn
- соответственно скорость движения бульдозера в груженном и порожнем состоянии, м/с;
Тр - время разгрузки, Тр
=4с.
Тц
=2,15+80/60+80/84+0,4= 4,9 мин.
i
Определим сменную и суточную производительность бульдозера
QcM=
Q'TCM
QCM
=28,3-12=283 м3
/смену
Vcyr
~
VcM
'
f
>
Qcyi
=283.6-2= 566 м3
/сутки
Расчет вскрышного отвала Определим площадь отвала

где Кр - коэффициент разрыхления пород, Кр
=1,25;
тт
- мощность торфов, тт
=2,52;
ninp - мощность предохранительной рубашки, тпр=0,2;
bi - ширина россыпи, равная половине действительной ширины, т.к. вскрышу размещают на борта долины, В1=56,5м; 1 - ширина предохранительной бермы, 1=5м; Р - угол откоса борта отвала, Р=18°

Определяем высоту отвала. Принимаем способ отвалообразования -сбр;

где ао -
угол естественного откоса торфов, а0
=45°; а -
угол наклона поверхности увала, ее =0; ав
-
угол выезда бульдозера на отвал, ав
=12°.

Определяем ширину основания отвала

Учитывая производительность бульдозера Д-521А и рыхлителя Д-575С для производства вскрышных работ будем применять один рыхлитель и три бульдозера.
4. СПЕЦИАЛЬНАЯ ЧАСТЬ
«Выбор эффективной техники и технологии при гидромеханизированном способе разработки россыпи рч.Лужанки»
Добычные работы
К добычным работам относят:
• очистную выемку песков;
• вспомогательные работы;
• транспортирование и промывку на промывочной установке;
• укладку в отвалы эфелей и гальки.
При добыче песков бульдозерами нарезные работы отсутствуют. Поэтому технология очистных работ в основном предопределяется способом выемки песков и системой разработки.
Большое внимание на очистных работах необходимо уделять осушению песков при разработке мерзлых россыпей. Это объясняется тем, что,осушать пески до их оттайки сложно, а при естественном способе оттаивания работы по осушению пласта приходится проводить во время выемки песков с небольшим опережением. Для осушения песков на мерзлых россыпях после вскрышных работ проводят по пласту в местах с наиболее низкими отметками плотика водосборную канаву. Канаву по пласту проходят на полную глубину талого слоя; в мерзлых песках ее углубляют постепенно во время очистных работ по мере оттайки с таким расчетом, чтобы дно канавы было ниже поверхности забоя примерно на 0,5м. Выемку песков в будем проводить бульдозерами. Поскольку пески состоят из более крупнозернистых пород повышенной крепости, имеющих небольшую мощность, и залегают на скальном плотике, выемку их бульдозерами производят бороздовым способом, а в плотиковой части - с рыхлением и подгребкой. Большое внимание следует уделять поддержанию ровной поверхности забоя, чтобы обеспечить сток воды в канаву и наибольшую скорость движения машин.
4.1 Выбор оборудования для выемки песков
При выборе способа разработки часто руководствуются только инструкциями установленными ранее и отчасти завышенными нормативами минимального количества запасов песков, необходимых для применения того или иного способа разработки.
В последнее время в инструкциях и других нормативных источниках, горно-технической литературе утвердилось мнение, что выбор способа разработки россыпи с применением пром.приборов средней мощности, главным образом, на том, что пром.приборы должны быть обеспечены запасами горной массы на 5-6 лет.
Но такой подход к решению вопроса о выборе способа разработки не совсем правилен. При выборе способа разработки россыпи рациональным может быть принято только то техническое решение, которое соответствует задачам, стоящим перед народным хозяйством и способно обеспечить максимально возможный эффект в кратчайшие сроки. С экономической точки зрения не так важно сколько лет проработает прибор на данном месторождении и сколько он переработает за это время горной массы, как то, сколько при отработке россыпи будет получено металла и по какой себестоимости.
Экономический фактор должен являться главным при выборе способа разработки.
Для выявления наиболее выгодного способа отработки сравним три способа отработки и промывки песков:
1. Промывка песков осуществляется на пром.приборе ПГШ-И-50. Доставка песков к пром.прибору будет осуществляться бульдозерами.
2. Промывка песков осуществляется на пром.приборе ПГШ-И-50. Доставка песков к пром.прибору будет осуществляться скреперами. Для вспомогательных работ будем применять бульдозера.
3. Промывка песков осуществляется на пром.приборе ПКС-1-1200. Доставка пескЪв к пром.прибору будет осуществляться автосамосвалами с погрузкой экскаватором. Доставка песков к экскаватору осуществляется с помощью бульдозеров.
4.1.1 Бульдозерный способ
При выборе оборудования рассмотрим несколько видов бульдозеров и сравним их основные показатели. Для сравнения возьмем бульдозер ДЗ-27С на базе трактора Т-140 и бульдозер Д-521А на базе трактора Т-180.
Техническая характеристика бульдозеров Д-521А и ДЗ-27С
| Величина
|
Показатель Д-521А
|
ДЗ-27С
|
| Базовый трактор
|
Т-130А
|
Т-180Г
|
| Мощность двигателя, л.с.
|
140
|
180
|
| Лемех
|
Неповоротный
|
Универсальный
|
| Размеры лемеха:
|
| длина, мм
|
3200
|
3920
|
| высота, мм
|
1300
|
1350
|
| Угол резания, град.
|
50-60
|
45-55
|
| Максимальный подъем лемеха, мм
|
890
|
ИЗО
|
| Макс, заглубление лемеха, мм
|
335
|
430
|
| Максимальное тяговое усилие, тс
|
10,5
|
16
|
| Масса бульдозера, кг
|
1850
|
1956
|
| Масса бульдозера с трактором, кг
|
15400
|
19900
|
Определим производительность бульдозера Д-521А

где q - объем доставляемого вала, м3
;

где Е - объем вала набираемого в борозде, mj
;

где 1 - длина верхней площадки вала в направлении движения бульдозера;

где L - длина вала,м;

где со-коэффициент борозды, ю=1,17;
Ј,Ј - опытные коэффициенты для бульдозеров мощностью 108-180 л.с., Ј=0,6,

5; - угол откоса в направлении движения, 8;=50°;
D - ширина вала, D=3,92;
х - степенной показатель, х=0,5.

a/=ctg57 - коэффициент заложения переднего откоса вала; h - высота вала, h=B=l,35 м;
U - длина верхнего гребня вдоль ножа, м U=D-2-(B-m)-(j,
где D - ширина вала, D=3,92 м; В - высота ножа, В=1,35 м; m - глубина борозды, т=0,4 м; a=ctg8 - коэффициент заложения бокового откоса вала;

г|„ - коэффициент наполнения ножа;

где v - коэффициент наклона пути;
•*
где К - коэффициент конструкции ножа, К=10; Ј - коэффициент направления уклона, 8=0,16;

\с
-
расстояние доставки по горизонтам, 1=93м;
\у
-
протяженность наклонного пути по горизонтам,1=70
С, -
коэффициент перемещения, Ј=1

kb
-
коэффициент использования рабочего времени, К#=0,8;
Кую, -
коэффициент, учитывающий уклон на участке работы, Кр
-
коэффициент, учитывающий разрыхление пород, Кр=1,25; Тц
-
время цикла бульдозера, с.

где 1Ц
-
время наполнения отвала бульдозера, Т„=30с,
Ьг
,Ь„ - соответственно расстояние движения бульдозера в груженном и
порожнем состоянии, м;
V2
, У„ - соответственно скорость движения бульдозера в груженном и
порожнем состоянии, м/с;
Тр - время разгрузки, 1р
=4с.

Определим сменную и суточную производительность бульдозера Д-521А

Определим производительность бульдозера ДЗ-27С
где q - объем доставляемого вала, и3
;
я=е-т!н,
где Е - объем вала набираемого в борозде, м3
;

где 1 - длина верхней площадки вала в направлении движения бульдозера;

где L - длина вала,м;

где ю - коэффициент борозды, ю=1,17; Ј,Ј - опытные коэффициенты для бульдозеров мощностью 108-180 л.с.,
Ј=o,6,c=o,oi.
5/ - угол откоса в направлении движения, 8;=50°;
D - ширина вала, В=3,2м;
х - степенной показатель, х=0,5.

a;=ctg8; - коэффициент заложения переднего откоса вала;
h - высота вала, h=B=l,3 м, т.к. порода не является переувлажненной;

U - длина верхнего гребня вдоль ножа, м
U=D-2-(B-m)-a,
где D - ширина вала, D=3,2 м; В - высота ножа, В=1,3 м; m - глубина борозды, т=0,4 м; a=ctg5 - коэффициент заложения бокового откоса вала;

-
коэффициент наполнения ножа;

где v - коэффициент наклона пути;
v=l/Ke
,
где К - коэффициент конструкции ножа, К=10; s - коэффициент направления уклона, 8=0,16;
v=l/10°'M
=0,7
\с
-
расстояние доставки по горизонтам, 1с
=93м; \у
-
протяженность наклонного пути по горизонтам, 1у=70м; С, -
коэффициент перемещения, Ј=1

kb
-
коэффициент использования рабочего времени, Кв=0,8; Кукп
-
коэффициент, учитывающий уклон на участке работы, Кр
-
коэффициент, учитывающий разрыхление пород, Кр=1,25; Т ц -
время цикла бульдозера, с.

где Тц - время наполнения отвала бульдозера, Т„=3 Ос, Lz
,
Ln
-
соответственно расстояние движения бульдозера в груженом и порожнем состоянии, м;
Va
, Vn
- соответственно скорость движения бульдозера в груженном и порожнем состоянии, м/с;
Тр - время разгрузки, Тр=4с.
Т„=30+93/1,7+93/1,8+4=140 с. Q=3600-l,5-0,8-0,7/(140-l,25)=17,3 м^/час
Определим сменную и суточную производительность бульдозера ДЗ-
27С

0^=17,3-12=207,6 м
5
/смену
QcymKWN
Qow
=207,6-2=415,2 м5
/сутки
Определим необходимое количество бульдозеров для бесперебойной работы пром. прибора ПГШ-П-50.
nkwq^m, шт
где Qnn
-
суточная производительность пром. прибора, м5
/сутки; д„„=1000м5
/сутки для ПГШ-П-50
Qeyn
-
суточная производительность бульдозера, м3
/сутки.
Для Д-521А N=1000/605,6=1,65«2 шт.
Для ДЗ-27С N=1000/415,2=2,41-3 шт.
Исходя из стоимости и производительности бульдозеров для ведения добычных работ выгоднее применять бульдозера Д-521А на базе трактора Т-180.
4.1.2 Скреперный способ
Произведем выбор скрепера сравнив два скрепера: Д-523 на базе трактора Т-180 и Д-511 на базе трактора ДЭТ-250.
| Величина
|
Показатель Д-523
|
Д-511
|
| Тип тягача
|
Т-180
|
ДЭТ-250
|
| Емкость ковша, м3:
|
| геометрическая
|
10
|
15
|
| с шапкой
|
12
|
18
|
| Ширина ковша, м
|
2,62
|
2,85
|
| Управление
|
Гидравлическо
|
е
|
| Масса, т
|
8,0
|
16,28
|
Техническая характеристика скреперов Д-523 и Д-511
Определим сменную и суточную производительность скрепера Д-523

<\пм -
объем породы в плотной массе

где Е - емкость ковша скрепера, м5
;
Кр - коэффициент разрыхления породы, Кр=1,25; т|„ - коэффициент наполнения ковша скрепера, т|„ =0,63;

пц
-
число рабочих циклов совершаемых скрепером за смену

Тсм
-
продолжительность смены , Тем = 12час; т|„- коэффициент использования скрепера во времени, т|„ =0,8; i
4
-
время рабочего цикла скрепера.

LZ
,
LX
-
соответственно длина пути движения с грузом и без груза; V2
, Vx
-
средняя скорость движения с грузом и без груза, км/мин; 1„ - продолжительность наполнения ковша, мин; tp
-
продолжительность разгрузки ковша скрепера, мин;

Определим сменную и суточную производительность скрепера Д-5И

где Е - емкость ковша скрепера, mj
; Кр - коэффициент разрыхления породы, Кр=1,25;
t|h
- коэффициент наполнения ковша скрепера, т|„ =0,63;
с
пц
-
число рабочих циклов совершаемых скрепером за смену 1^=60Т^-цД, где
ТсдГ
продолжительность смены , Тем = 12час; т|„- коэффициент использования скрепера во времени, т|„ =0,8; \.ц
-
время рабочего цикла скрепера.

LZ
,
LX
-
соответственно длина пути движения с грузом и без груза, км; V2
, Vx
-
средняя скорость движения с грузом и без груза, км/мин; 1„ - продолжительность наполнения ковша, мин; tp
-
продолжительность разгрузки ковша скрепера, мин;

Определим необходимое количество скреперов Д-523 для бесперебойной работы пром. прибора ПГШ-П-50

где Кр-коэффициентрезерва, Кр
=
1,3
Определим необходимое количество скреперов Д-511 для бесперебойной работы пром. прибора ПГШ-П-50

где Кр - коэффициент резерва, Кр
=1,3

Исходя из затрат на приобретение оборудования для добычных работ будем применять 1 скрепер Д-523 для выемки и транспортировки песков и 1 бульдозер Д-521А для подачи песков на пром.прибор и уборки эфельного и галечного отвалов.
4.1.3 Экскаваторный способ
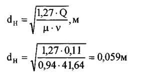
Определим суммарную емкость ковша.
где Аг
- годовая производительность карьера по пескам, м3
/год; 1Ц
-
время рабочего цикла экскаватора, t4
=30c; Кр -
коэффициент разрыхления, Ку=1,25; Тсм
-
продолжительность смены, ТСЛ1
=12ч; ПсМ
-
количество смен в сутки, 11^=2; Np
- количество рабочих дней в сезон, Np
=160; К„ - коэффициент наполнения ковша, К„=0,85; К„ - коэффициент использования экскаватора во времени, К„=0,7.

Выбираем экскаватор Э-1252Б Техническая характеристика универсального экскаватора Э-1252Б
| Показатель
|
Величина
|
| Емкость ковша, MJ
|
1,25
|
| Длина стрелы, м
|
6,8
|
| Наибольшая высота черпания, м
|
7,8
|
| Наибольшая высота разгрузки, м
|
5Д
|
| Наибольший радиус черпания, м
|
9,9
|
| Наибольшая глубина черпания, м
|
2,0
|
| Ширина ковша, м
|
1,39
|
| Удельное давление экскаватора на почву, кгс/см7
|
0,87
|
| Масса, т
|
40
|
| Мощность двигателей:
|
| дизеля, л. с.
|
130
|
| основных электродвигателей, кВт
|
85
|
| Общая установочная мощность, кВт
|
85
|
Для выбора автосамосвала воспользуемся соотношением емкости ковша и транспортного средства, которое равно V/E = 4... 8
Определим вместимость кузова автосамосвала

Выберем автосамосвал, сравнив КрАЗ-256Б и МоАЗ-6507
Техническая характеристика автосамосвалов КрАЗ-256Б и МоАЗ-6507
| Показатель
|
Величина КрАЗ-256Б
|
МоАЗ-6507
|
| Грузоподъемность, т
|
12
|
20
|
| Колесная формула
|
6x4
|
4x4
|
| База, мм
|
4080
|
3550
|
| Габариты, мм
|
| длина
|
8100
|
7540
|
| ширина
|
2640
|
3245
|
| высота
|
2830
|
3350
|
| Вместимость кузова, MJ
|
6
|
11,5
|
| Максимальная скорость, км/час
|
68
|
50
|
| Контрольный расход топлива при скоро-ти 50 км/час, л/1 00км
|
36
|
80
|
| Ресурс до первого капитального ремонта, тыс.км
|
160
|
100
|
Определим время рейса автосамосвала КрАЗ-256Б где \.П
огр -
время погрузки автосамосвала

где \.ц
-
время цикла экскаватора, \.ц
=30с п - количество ковшей, п =4.

tde
-
время движения автосамосвала

где L - длина транспортировки песков, 0,6км
Vn
-Уг ~
соответственно скорость движения в порожнем и груженном состоянии,
vn
=18км/час-0,3км/мин; уг
=13км/час=0,22км/мин.

1разг ~
ВреМЯ раЗГруЗКИ,
tpcaz
= 1,5 МИЩ
Ъад -
время задержки, \.за
д
=1 мин.

Определим количество рейсов совершаемых за смену

Определим объем песков, перемещаемый за один рейс
где Е - емкость кузова автосамосвала, Е = 6м^;
К„ - коэффициент наполнения кузова, К„ = 1,1; Кр -
коэффициент разрыхления, Кр
=1,25.

Определим сменную производительность автосамосвала КрАЗ-256Б

Определим годовую производительность автосамосвала КрАЗ-256Б

Определим необходимое количество автосамосвалов КрАЗ-256Б

Определим время рейса автосамосвала МоАЗ-6507

где tnozp
-
время погрузки автосамосвала

где 1Ц
-
время цикла экскаватора, t4
=30c п - количество ковшей, п =8.

tde
- время движения автосамосвала

где L - длина транспортировки песков, 0,6км vn
,v?
- соответственно скорость движения в порожнем и груженном состоянии,
vw
=16км/час=0,27км/мин; vz
=11 км/час=0,18км/мин.

t/квг -
время разгрузки, \разг
= 2
мин; Ъад -
время задержки, t
3
a
d
=1 мин.

Определим количество рейсов совершаемых за смену
г

Определим объем песков, перемещаемый за один рейс

где Е - емкость кузова автосамосвала, Е = 11,5м5
; К„ - коэффициент наполнения кузова, К„ =1; Кр
-
коэффициент разрыхления, Кр
=1,25.

Определим сменную производительность автосамосвала МоАЗ-6507

Определим годовую производительность автосамосвала МоАЗ-650?

Определим необходимое количество автосамосвалов МоАЗ-6507


Определим производительность бульдозера Д-521А

где q - объем доставляемого вала, м3
; где Е - объем вала набираемого в борозде, м3
;

где 1 - длина верхней площадки вала в направлении движения бульдо- зера; l=L-o;
-h, где L - длина вала,м;

где ю-коэффициент борозды, (0=1,17; Ј,Ј - опытные коэффициенты для бульдозеров мощностью 108-180 л.с., Ј=0,6,
Ј=0,01.
5; - угол откоса в направлении движения, 5;=50°;
D - ширина вала, D=3,92;
х - степенной показатель, х=0,5.

a;=ctgS; - коэффициент заложения переднего откоса вала; h - высота вала, h=B=l,35 м, т.к. порода не является переувлажненной;

U - длина верхнего гребня вдоль ножа, м

где D - ширина вала, D=3,92 м; В - высота ножа, В=1,35 м; m - глубина борозды, т=0,4 м; a=ctg5 - коэффициент заложения бокового откоса вала;

ц„ -
коэффициент наполнения ножа;

где v - коэффициент наклона пути;

где К - коэффициент конструкции ножа, К=10; е - коэффициент направления уклона, Е=0,16;

\с
-
расстояние доставки по горизонтам, 1=93м;
\у
-
протяженность наклонного пути по горизонтам,1=70 С, -
коэффициент перемещения, Ј=1

kb т коэффициент использования рабочего времени, K#=0,8; Кут
-
коэффициент, учитывающий уклон на участке работы, К>га
=0,7; Кр
-
коэффициент, учитывающий разрыхление пород, Кр=1,25; Тц
-
время цикла бульдозера, с.

где Тц - время наполнения отвала бульдозера, Т„=30с, Ьг
,Ь„ - соответственно расстояние движения бульдозера в груженном и порожнем состоянии, м;
Vz
,
Vn
-
соответственно скорость движения бульдозера в груженном и
порожнем состоянии, м/с;
Тр - время разгрузки, Ту=4с.

Определим сменную и суточную производительность бульдозера
Д-521А.

Определим производительность бульдозера ДЗ-27С где q - объем доставляемого вала, м3
;

где Е - объем вала набираемого в борозде, м5
;

где 1 - длина верхней площадки вала в направлении движения бульдозера;

где L - длина вала,м;

где со-коэффициент борозды, со=1,17;
4,С - опытные коэффициенты для бульдозеров мощностью 108-180 л.с.,

5; - угол откоса в направлении движения, 5/=50°; х - степенной показатель, х=0,5.

G;=ctg57 - коэффициент заложения переднего откоса вала; h - высота вала, h=B=l,3 м, т.к. порода не является переувлажненной;

U - длина верхнего гребня вдоль ножа, м

где D - ширина вала, D=3,2 м; В - высота ножа, В=1,3 м; m - глубина борозды, т=0,4 м;
a=ctg5 -
коэффициент заложения бокового откоса вала;
т|„ - коэффициент наполнения ножа;

где v - коэффициент наклона пути;
«
где К -коэффициентконструкции ножа, К=10; 8 - коэффициент направления уклона, 8=0,16;

\с
-
расстояние доставки по горизонтам, 1с
=93м;
\у
-
протяженность наклонного пути по горизонтам, 1у=70м; С, -
коэффициент перемещения, Ј=1

kb
-
коэффициент использования рабочего времени, Кв=0,8; Кукл
-
коэффициент, учитывающий уклон на участке работы, Кр
-
коэффициент, учитывающий разрыхление пород, Кр=1,25; Тц
-
время цикла бульдозера, с.

где Тц - время наполнения отвала бульдозера, Т„=30с,
Ьг
,Ь„ - соответственно расстояние движения бульдозера в груженом и
порожнем состоянии, м;
V2
, VM
- соответственно скорость движения бульдозера в груженном и порожнем состоянии, м/с;
Тр - время разгрузки, Тр=4с.

Определим сменную и суточную производительность бульдозера ДЗ-
27С

Определим необходимое количество бульдозеров Д-521А для бесперебойной работы пром. прибора ПКС-1-1200

где К^ - коэффициент резерва, K^l ,3

Определим необходимое количество бульдозеров ДЗ-27С для бесперебойной работы пром. прибора ПКС-1-1200

где Кр
-
коэффициент резерва, Ку=1,3

Для бесперебойной работы пром. прибора ПКС-1-1200 необходимо 5 бульдозеров Д-521А или 6 бульдозеров ДЗ-27С.
Для разработки россыпи экскаваторным способом будем применять один универсальный экскаватор Э-1252Б, четыре автосамосвала КрАЗ-256Б, пять бульдозеров Д-521А.
4.1.4 Технико-экономическое сравнение вариантов Бульдозерный способ разработки
На выемке и транспортировке песков применяются бульдозера Д-521А на базе трактора Т-180Г. Промывка ведется на пром.приборе ПГШ-П-50.
Капитальные затраты на принятое оборудование сведены в таблицу.
Таблица
| Наименование
|
Количество, шт
|
Оптовая цена ед. оборудования, руб
|
Балансовая стоимость ед. оборудования, руб
|
Всего, руб
|
| Бульдозер ДЗ-521А
|
3
|
965000
|
1109750
|
3329250
|
| Пром. прибор ПГШ-П-50
|
1
|
853802
|
981872
|
981872
|
| Итого:
|
4311122
|
Удельные производственные затраты на 1 маш-ч работы на выемку и обогащение песков сведены в таблицу .
Таблица . - Удельные производственные затраты на 1 маш-ч работы добычного оборудования
| Калькуляция себестоимости, руб.
|
Бульдозера Д-521А(Зед.)
|
Пром. Прибор ПГШ-П-50
|
Всего
|
| Основная заработная плата
|
264.12
|
72.23
|
336.35
|
| Допол. заработная плата
|
39.99
|
10.85
|
50.84
|
| Отчисления на соц. страхование
|
24.18
|
6.51
|
30.69
|
| Топливо
|
233.43
|
-
|
233.43
|
| Электроэнергия
|
-
|
292.02
|
292.02
|
| Вспом. материалы
|
33.48
|
49.91
|
83.39
|
| Текущий ремонт
|
375.72
|
19.84
|
395.56 '
|
| Амортизация
|
254.82
|
89.28
|
344.1
|
| Себестоимость по прямым затратам
|
1225.74
|
340.37
|
1566.11
|
| Цеховые расходы
|
115.32
|
37.82
|
153.14
|
| Итого цеховая себестоимость
|
1341.06
|
378.19
|
1719.25
|
| Цеховая себестоимость с учетом монтажа и демонтажа
|
-
|
400.82
|
•**
|
| Удельные кап. затраты
|
832.31
|
327.29
|
1159.6
|
| Удельные приведенные капитальные затраты
|
124.84
|
49.09
|
173.93
|
| Приведенные затраты
|
1465.9
|
449.91
|
1915.81
|
| Итого приведет
|
1ые затраты: - 6'
|
705335 руб/сезон
|
Удельные приведенные затраты на добычу и обогащение 1 mj
песков составили 41.87 руб/м5
.
Скреперный способ разработки
На выемке и транспортировке песков применяются прицепные скрепера Д-523. Промывка ведется на пром.приборе ПГШ-П-50.
Капитальные затраты на принятое оборудование сведены в таблицу .
Таблица . - Капитальные затраты на оборудование
| Наименование
|
Количество, шт
|
Оптовая цена ед. оборудования, руб
|
Балансовая стоимость ед.оборудова ния, руб
|
Всего, руб
|
| Бульдозер Д-521А
|
2
|
965000
|
1109750
|
2219500
|
| Скрепер Д-523
|
1
|
557000
|
640550
|
640550
|
| Промприбор ПГШ-П-50
|
1
|
853802
|
981872
|
981872
|
| Итого:
|
3841922
|
Удельные производственные затраты на 1 маш-ч работы на выемку и обогащение песков сведены в таблицу .
Удельные приведенные затраты на добычу и обогащение 1 mj
песков составили 41.97 руб/м5
.
Экскаваторный способ разработки
На выемке песков используются бульдозера Д-521А, на погрузке - одноковшовый экскаватор Э-1252Б и на транспортировке песков применяются автосамосвалы КрАЗ-256Б. Промывка ведется на пром.приборе ПКС-1-1200.
Капитальные затраты на принятое оборудование сведены в таблицу .
Таблица . - Капитальные затраты на оборудование
| Наименование
|
Количество, шт
|
Оптовая цена ед. оборудования, руб
|
Балансовая стоимость ед. оборудования, руб
|
Всего, руб
|
| Бульдозер ДЗ-521А
|
5
|
965000
|
1109750
|
5548750
|
| Экскаватор Э-1252Б
|
1
|
1100000
|
1265000
|
1265000
|
| Автосамосвалы КрАЗ-256Б
|
4
|
370000
|
425500
|
1702000
|
| Промприбор ПКС-1-1200
|
1
|
2010900
|
2312615
|
2312615
|
| Итого:
|
10828365
|
Удельные производственные затраты на 1 маш-ч работы на выемку и
обогащение песков сведены в таблицу .
Таблица . - Удельные производственные затраты на 1 маш-ч работы добычного оборудования
| Калькуляция себестоимости, руб
|
Бульдозер Д-521А (5 ед.)
|
Экскаватор Э-1252Б
|
Автосамосвалы КрАЗ-256Б (4 ед.)
|
Пром-прибор ПКС-1-1200
|
Всего
|
| Основная заработная плата
|
440.2
|
88.04
|
312.48
|
146.01
|
986.73
|
| Допол. заработная плата
|
66.65
|
13.33
|
47.12
|
22.01
|
149.11
|
| Отчисления на соц. страхование
|
40.3
|
8.06
|
28.52
|
13.33
|
90.21
|
| Топливо
|
389.05
|
55.18
|
179.8
|
-
|
620.07
|
| Электроэнергия
|
-
|
-
|
-
|
318.99
|
318.99
|
| Вспом. материалы
|
55.8
|
22.94
|
26.04
|
48.05
|
152.83
|
| Текущий ремонт
|
626.2
|
93.93
|
208.32
|
46.81
|
975.26
|
| Амортизация
|
424.7
|
45.88
|
141.36
|
204.6
|
816.54
|
| Износ шин
|
-
|
-
|
176.08
|
-
|
176.08
|
| Себестоимость по прямым затратам
|
2042.9
|
327.36
|
1119.72
|
799.8
|
3289.78
|
| Цеховые расходы
|
192.2
|
46.19
|
54.56
|
76.88
|
369.63
|
| Итого цеховая себестоимость
|
2235.1
|
373.55
|
1174.28
|
876.68
|
3659.41
|
| Цеховая себестоимость с учетом монтажа и демонтажа
|
-
|
-
|
-
|
927.83
|
-
|
| Удельные кап. затраты
|
1585.35
|
361.42
|
486.28
|
660.74
|
3093.79
|
| Удельные приведенные капитальные затраты
|
237.8
|
54.21
|
72.94
|
99.11
|
464.06
|
| Приведенные затраты
|
2472.9
|
427.76
|
1247.22
|
1026.94
|
4123.47
|
| Итого приведенные затраты: - 14432145 руб/сезон
|
Удельные приведенные затраты на добычу и обогащение 1 м3
песков составили 50.11 руб/м5
.
ВЫВОД:
Наименьшие удельные приведенные затраты на добычу и обогащение 1 м3
песков имеет гидромеханизированный бульдозерный способ ведения добычных работ.
4.2 Выбор системы разработки
Для добыче песков россыпи р.Лужанки будем использовать веерную систему разработки. При веерной системе бульдозерные заезды направляют по вееру, центром которого является бункер.
Для лучшего стока в водосборную канаву дождевых и подземных вод, выделяющихся при оттайке пород, выемку песков начинают с наиболее удаленных от бункера площадей. Выемку ведут так, чтобы поддерживать постоянный уклон поверхности забоя от бункера к канаве. Это ускоряет осушение песков, что способствует повышению производительности бульдозера. Определим длину бульдозерного заезда
Вз = 0.167 (л/4Ь2
+В2
+л/4В2
+Ь2
)+1д
, где
В - длина блока по ширине россыпи, м (В=113м)
L - протяженность площади в направлении падения россыпи выше или нижее бункера (длина крыла), м (Ь=130м)
1д - средневзвешенное расстояние, учитывающее заезд бульдозера вдоль борта при выемке песков на прибортовой полосе (Ь=
2м).
В3
=0.167(л/4*1302
+1132
+л/4*1132
+1302
) + 2=92.88*93м
Определим количество приборостоянок из условия оттайки песков с учетом предохранительной рубашки и задирки плотика.
B-hOT
П • т
где hom
-
толщина оттайки, hom
=0,08 м.
хт 130-0,08
N =------------- = 5шт
2.07
За один промывочный сезон пром.прибор типа ПГШ-И-50 нужно будет переставить пять раз.
| Показатель
|
Величина
|
| Производительность :
|
| суточная, тыс.м^
|
1,0-2,0
|
| часовая, MJ
|
50
|
| Высота гидравлического подъема, м
|
11-17
|
| Наибольший размер пропускаемого камня, мм
|
125
|
| Расход воды, л/с
|
140
|
| Потребляемая мощность, кВт/л.с.
|
190/350
|
| Общая масса, т
|
30
|
| Среднее число обслуживающих рабочих в смену, чел
|
2
|
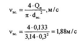
4.3 Выбор оборудования для промывки песков 4.3.1 Расчет параметров гидроэлеватора
Для транспортирования горной массы применяется гидроэлеватор. КПД гидроэлеватора редко превышает 20%, поэтому напорное гидротранспортирование при помощи гидроэлеватора менее эффективно, чем, например, при помощи землесоса.
Гидроэлеватор представляет собой струйный аппарат. Принцип работы гидроэлеватора: через насадку подается с большой скоростью струя воды, которая создает вакуум, обеспечивающий засасывание пульпы из зумпфа. В диффузоре кинетическая энергия потока от постепенного уменьшения скорости течения преобразуется в потенциальную. Диффузор соединяется с трубопроводом, по которому пульпа течет дальше.
Гидроэлеваторы находят широкое применение при разработке россыпных месторождений.
Достоинствами гидроэлеватора является простота конструкции, надежность в эксплуатации (в виду отсутствия вращающихся частей), возможность работы с подсосом воздуха через всасывающую трубу вплоть до засасывания сухого материала.
Недостатком является низкий КПД, из-за смешения двух потоков (рабочего и засасывающего), двигающихся с различной скоростью, для расчета гидроэлеватора должны быть известны высота подъема пульпы, расход воды, консистенция пульпы.
Потери воды на гидровашгерде составят 20%.
Определим ориентировочный напор гидроэлеватора:

где Н„ - глубина приема, Н„=1,5 м; Нв
- высота подъема песков, Hg=l 1,5м.

Определим напор рабочей жидкости у насадки гидроэлеватора:

где р - коэффициент отношения напоров, Р-ОД;
ф - скоростной коэффициент, ф=0,96; Н0
= 14,3/(0,1-0,96>155 м.водн.ст.
Определим удельный вес пульпы

где у - удельный вес породы, у=2
т/м5
; g - расход воды необходимый на размыв 1 м3
породы, 10 м5
; m - пористость гидросмеси, пг=0,2

Определим производительность гидроэлеватора по пульпе

где Q"^ - часовая производительность пром.прибора, м5
/час; 8г
- объемная консистенция гидросмеси, 8г
=0,3

Определим расход рабочей жидкости

где j
0
-
плотность воды;
а„ - коэффициент подсасывания, а„=3

Определим диаметр трубопровода рабочей жидкости

где v
0
-
скорость движения жидкости, v
0
=2,3
м/с

Принимаем диаметр трубы равный В=300мм
Определим скорость вылета струи из насадки

Определим диаметр насадки

Определим площадь сечения насадки

Определим площадь сечения горловины

Определим диаметр горловины

Определим фактическую скорость движения пульпы в горловине

Определим необходимую скорость движения пульпы

где 8 - степень восстановления давления пульпы в диффузоре, 5=0,774

Vr
>VHe
o6.
Определим диаметр первой части диффузора

где V; - скорость движения в первой части диффузора;

где v
3
-
скорость движения пульпы в третьей части диффузора

где dj - диаметр третьей части диффузора.
Выбирается методом подбора диаметра трубопровода.

Определим диаметр второй части диффузора

Определим длину первой части диффузора

Определим длину второй части диффузора

Определим длину третьей части диффузора

Определим общую длину диффузора

Определим расстояние от насадки до горловины

Определим скорость всасывающего трубопровода

Определим КПД гидроэлеваторной установки

Исходя из расчетов принимаем гидроэлеватор УГЭ-П-350
| Показатель
|
Величина
|
| Диаметр
|
| насадки, мм
|
85;90
|
| горловины, мм
|
170
|
| пульповода, мм
|
300;350
|
| Напор воды у насадки, м
|
60-65
|
| Расход напорной воды, л/сек
|
270 - 300
|
| Высота подъема, м
|
12-14
|
| Длина пульповода, м
|
23
|
| Масса, т
|
6,8
|
4.3.2 Расчет параметров гидромонитора
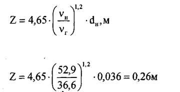
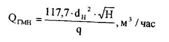
Определим скорость вылета струи из насадки

где ф - коэффициент скорости, ф=0,94;
g - ускорение свободного падения, §=9,81м/с2
Н - действительный рабочий напор у насадки гидромонитора, Н=100 м.води.ст.

Определим часовой расход воды за вычетом 20%удельного расхода воды на размыв и дезинтеграцию песков

Определим расход воды гидромонитором

где Q
4
np
-
часовая производительность, м5
/час

Определим диаметр насадки

Набор насадок: 50;70;90;100;150 мм.
Принимаем стандартный диаметр насадки гидромонитора ё„=50мм.
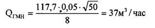
Производительность гидромонитора составит

где Н - рекомендуемый напор, Н=50м

Принимаем гидромонитор ГМН-250С
Техническая характеристика гидромонитора ГМН-250С
| Показатель
|
Величина
|
| Диаметр водного отверстия, мм
|
250
|
| Рабочее давление у насадки, Мпа
|
10
|
| Максимальный расход воды, м5/час
|
10
|
| Управление
|
Ручное
|
| Диаметр сменных насадок, мм
|
50;70;90;100
|
| Угол поворота ствола в горизонтальной плоскости, гр
|
360
|
| Допускаемый напор, KTC/CMJ
|
50
|
4.3.3 Расчет параметров насосной станции и водовода
Принимаем скорость движения воды по всей системе водоснабжения равной 1,75 м/с.
Определим диаметр отдельных участков водовода

где Q/ - расход воды на отдельных участках водовода, м3
/с
принимаем D/ = 0,35 м
принимаем D^ = 0,25 м принимаем dj = 0,2 м
Определим потери напора

где п - количество участков водовода h, - потери напора на i-ом участке
м.водн.ст.
где К - модуль расхода,
1, - длина 1-го участка водовода,м.


h = hj + h2
+ h3
= 0,71 + ОД 3+0,26 = 1,1м.воднст.
Определим напор насоса

где Ц*, - давление на выходном патрубке, Нм
=
3 м; Н« - вакуум на входном патрубке, Н = 1,5 м; Ьэ - приращение динамического напора

где VH
,Ve
- соответственно скорость в напорном и всасывающем патрубке, м\с.

Определим полезную площадь напора

Определим мощность, потребляемую насосом

Определим коэффициент быстроходности

Где п - частота вращения рабочего колеса, п = 1000

Определим необходимую мощность двигателя насоса

Исходя из расчетов выбираем насос Д500-36
Техническая характеристика центробежного насоса Д5 00-3 6
| Показатель
|
Величина
|
| Подача, м5/час
|
500
|
| Манометрический напор, м
|
38
|
| Частота вращения рабочего колеса, об/мин
|
1000
|
| Необходимая мощность двигателя, кВт
|
ПО
|
| Диаметр рабочего колеса, мм
|
525
|
| Масса (без двигателя), кг
|
725
|
4.4 Производительность предприятия и режим работ
Горногеологические и горнотехнические условия залегания месторождения, наличие запасов и учитывая что отработку месторождения будем вести бульдозерным способом, принимаем отработку месторождения одним пром. прибором ПГШ-П-50 в течении трех лет.
Учитывая производительность промывочной установки ПГШ-П-50, устанавливаем следующую производительность участка:

где: р - паспортная производительность, ПГШ-П-50; р = 50 м5
/час п - продолжительносгь промывочного сезона, для условий Забайкалья 160 суток
Т - количество часов работы пром.прибора в сутки.; Т = 20 часов, Q = 50-160-20 = 160000 м5
/сезон
Определим количество приборостоянок исходя из производительности при. прибора

где Vn
-
объем песков промываемый на одной приборостоянке

где Ь„ - длина полигона, Ь„ = 300 м; Вр - ширина россыпи, Ер
=
113 м;
П - мощность песков, учитывая предохранительную рубашку и задирку плотика, П = 2,07 м

Режим работы предприятия
Учитывая климатические условия, низкую среднегодовую температуру, в связи с которой в октябре происходит замерзание воды в пруду-отстойнике, что затрудняет промывку породы и делает ее экономически невыгодной принимаем:
• продолжительность промывочного сезона - 160 суток;
• рабочую неделю непрерывная;
• число рабочих смен в сутки - 2;
• число рабочих часов в сутки 24;
• число часов промывки - 20.
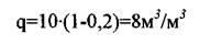
4.5 Расчет параметров ГПР при бульдозерном способе ведения добычных работ 4.5.1 Расчет объема отстойника
Составим уравнение баланса воды для схемы без сброса сточных вод
Цподз
' Цот '
QaniM
Цувл Чисп'Чфил?
где <\подзд -
приток в систему водоснабжения подземных вод;
qom
-
воды оттаивания мерзлых пород; Qamn - приток воды в систему водоснабжения от атмосферных осадков;
Цуел - расход воды на увлажнение отвалов;
<\исп -
расход воды на испарение;
<\ФШ
-
фильтрационные потери.
Приток подземных вод

где К^, - коэффициент фильтрации, Кф=
ЗОм/сут Н„ - мощность водоносного горизонта, Н„= 2м, 1К
- длина обводненного контура

Количество воды получаемой от оттаивания льда qom
=
У„-КЛ
где V
4
-
объем породы в целике, м
Кл
- коэффициент льдистости, К^= 0,2 t - продолжительность суток ; t =24 часа

V
4
"
- объем песков, mj
V4
m
- объем торфов, mj

Q4
- часовая производительность промприбора Q4
= 50 м^/час tpa6 - время промывки в сутки tp
a
6=
20 часов

где kb - коэффициент вскрыши К#= 1.5 ы3
/м3

Приток воды за счет атмосферных осадков

где h0
- слой осадков за теплый период

\1/ - относительная интенсивность осадков, \|/=0,6;
Ј - коэффициент стока, Ј=0,45;
Н;% - максимальный суточный сток с 1% - обеспеченности, Н?% = 150 мм;
'kp
%
-
переводной коэффициент, \»/=
1,45;

со - площадь участка работ, с которой дождевые воды попадают на участок работ;

Расход воды на увлажнение отвалов
i
где Уэ
ф,Угая
- объем складирования эфелей и гали в илоотстойник за час;
Р;,р2 ~ процент отвалов выше и ниже уреза воды соответственно, Рг= 0,2, р> 0,01.
Q4
- часовая производительность пром. прибора, Q4
= 50м5

Потери воды на испарения

где Евп
-
испарение с водной поверхности, Ет
=
50 мм; Sen
-
площадь водной поверхности, S= 50000 м ; Кгя - поправка на глубину водоема, K^= 1; Кзащ
-
коэффициент защищенности водоема, Кзащ
=О,8.
Т - безледоставный период, час Т = 160-24 = 3840 часов,

Расход воды на фильтрацию (через наращенную часть дамбы) принимаем q
<
pm
=
30 м/час

В связи с тем, что объем поступления воды в отстойники 29,12м5
/час меньше, чем расход из них,38,13 м5
/час необходима подпитка свежей водой в размере 9,01 м5
/час.
Определим вместимость илоотстойника:

где А - сезонная производительность участка, м ;

X - коэффициент, учитывающий условия складирования, Х=1;
Кр
- коэффициент разрыхления, Кр
= 1,25;
d,do,05 - количество фракций диаметром -1 и 0,05-0,01 мм, %;
К„ - коэффициент набухания, К„=1.2;
R- расход воды, R=16 mj
;

Определяем объем выработанного пространства:

Т.к. часть отвала в объеме Wdon
=
216000-72715,5 =143284,5 м5
мы должны складировать выше уровня воды с применением бульдозера, то нам придется увеличивать емкость илоотстойника за счет повышения высоты плотины.

При расчете технико-экономических показателей из ГПР будем учитывать:
- построение первичного руда-отстойника;
- отсыпку плотин;
- проходку руслоотводной канавы;
- проходку нагорной канавы.
4.5.2 Устройство плотины
Гидромеханизированный способ разработки месторождения россыпного золота требует подачу воды из прудов - отстойников по замкнутому циклу. Обеспечение потребного объема воды нормативной глубины отстоя производится при помощи графического построения технологических дамб и плотин, определяется их количество, высота статического уровня воды и расстояния между плотинами.
Строительство плотины первичного пруда - отстойника производится поэтапно:
1. уборка рыхлых отложений по всей длине плотины;
2. устройство зуба плотины;
3. отсылка плотины;
4. устройство водоспускных (аварийных) сбросов.
Превышение отметки гребня плотины над расчетным уровнем воды принимается не менее 0,5 м. Ширина гребня плотины определяется его ис-пользоанием в процессе строительства плотины. При этом ширина проезжей части устанавливается в соответствии с нормативными документами.
Отсыпка плотины и дамбы, а также зуба плотины производится послойно с уплотнением слоев через каждые 0,5 м по мере отсыпки при помощи землеройной техники, работающей на возведении плотин (холостой ход по гребню 3-4 раза).
Расчет объема плотины
Рассчитаем площадь поперечного сечения плотины

Рассчитаем объем плотины V = S-U,
где Ь„- длина плотины, Ln
= 113м;

Сечение плотины

5. Обогащение, выбор и обоснование схемы обогащения
Эксплуатационные запасы, потери и разубоживание
Определим потери песков в процессе эксплуатации. Для этого определим коэффициент извлечения на пром.приборе ПГШ-П-50

Для повышения коэффициента извлечения установим на пром. приборе шлюзы мелкого наполнения, что увеличит коэффициент извлечения до 91%, т.е. эксплуатационные потери составят 9%.
Определим эксплуатационные запасы песков

где Зб - балансовые запасы песков; П - эксплуатационные потери; R - разубоживание.

Выбор технологической схемы обогащения песков определяется, в первую очередь, степенью промывистости песков, гранулометрическим составом золота, формой его зерен, содержанием и составом шлиховых продуктов.
По количеству эфельной фракции пески относятся к среднеобогатимым и на основании классификации россыпного золота, по крупности, класс +0,25 мм улавливается при соблюдении нормальных режимов, при отработке данного месторождения основная масса золота (54%) составляет класс +0,25 мм, поэтому на участке принята шлюзовая схема обогащения.
Ввиду больших расходов воды режим работы гидравлических шлюзов трудно регулировать. Поэтому для дополнительного улавливания снесенных потоком мелких зерен золота вслед за шлюзом глубокого наполнения устанавливаются шлюзы мелкого наполнения, для этого с помощью грохота из хвостов выделяют фракцию -10 мм и направляют на обогащение в более тонком потоке, то есть с меньшими скоростями.
Расчет параметров шлюза глубокого наполнения (Ш.Г.Н.)
1. Определим технологическую производительность ШГН

где Qcym
"" -
производительность промприбора по породе, MJ
/cyr;
у - выход продукта по отношению к исходному с гидровашгерда (-80).

2. Определим технологический расход пульпы.

где R - отношение жидкого к твердому.
W =890-16 = 14240 м3
/суг
3. Определим минимальную высоту потока
h = a-d , м;
где а - коэффициент, зависящий от размеров кусков материала, а = 0,8;
d- наибольший размер куска, h = 0,8-0,08 = 0,064 м;
4. Определим ширину шлюза
а
где W - расход пульпы, л/с;
V - скорость потока, м/с.

5. Определим уклон шлюза

где R - гидравлический радиус;

я
Минимальная длина шлюзов глубокого наполнения для обогащения золотосодержащих песков равна 20 м.
Расчет параметров шлюза мелкого наполнения
1. Определим технологическую производительность ШМН

где Q
'
cym
"" -
производительность промприбора по породе, м5
/сут;
у' - выход продукта по отношению к исходному с гидровашгерда
(-10). -" П«шн=
1000-0,524 = 524 м3
/сут.
2. Определим технологический расход пульпы.

где R - отношение жидкого к твердому.
W = 524-25 = 13100 м5
/сут
3. Определим минимальную высоту потока h = a-d, м;
где а - коэффициент, зависящий от размеров кусков материала, а = 0,8;
d- наибольший размер куска. h = 2,1-0,01= 0,021м;
4. Определим ширину шлюза
ч
где W - расход пульпы, л/с; V - скорость потока, м/с.

Будем использовать 8 ШМН шириной по 0,5 м. 5. Определим уклон шлюза

где R - гидравлический радиус;


Расчет объема галечного отвала
W = Kp-Gie+lO'W,,, м3
где К^ - коэффициент разрыхления, К^ =1,25;
цг
- коэффициент недогрохачиваемости пород, ц = 0,02;
ц - коэффициент каменистости, ц =
0,3;
W - объем промываемых песков в целике, м3
.
W= 1,25-(0,02+0,3)-28860 = 11540 м3
Расчет объема эфельного отвала

где \
ie
-
коэффициент выноса пород ив отвалов, ц, = 0,14 W= 1,1-(1-0,3-0,02-0,18>28860= 15873 м3
Уборка эфельного и галечного отвала будет производиться одним бульдозером Д-521А на базе трактора Т-180.
6 РЕКУЛЬТИВАЦИЯ
При разработке россыпей, как правило, используется значительная площадь земельных угодий, на которой располагаются горные выработки, отвалы, подъездные пути, различные гидротехнические и производственные сооружения. Отчужденные приискам земельные отводы подразделяются на площади под активными промышленными сооружениями (подготовительные и вскрывающие выработки, плотины и канавы, действующие дороги и др.), под неактивными сооружениями (погашенные выработки, отвалы вскрышных пород, старые плотины, канавы, дороги и др.) и под производственными, жилыми и культурно-бытовыми застройками. Среди активных и неактивных площадей выделяются нарушенные, подлежащие восстановлению и ненарушенные (разрывы между зданиями и сооружениями и окружающая территория, входящая в состав земельного отвода).
Степень нарушений земной поверхности и природного ландшафта горными работами определяются площадью и глубиной нарушения. Нарушение ландшафта может быть полным и частичным. Полное нарушение сопряжено с уничтожением растительности и почвенного покрова на больших площадях пойм, склонов и террас, а частичное нарушение - с деградацией почв и разрушением растительного покрова. Частичное нарушение земной поверхности менее опасно, однако при длительном воздействии его на природный ландшафт может оказаться таким же опасным, как и полное нарушение. В связи с этим промышленное освоение новых россыпей и расширение действующих предприятий должны базироваться на соблюдении основных законов сохранения природного равновесия, чтобы не допустить возрастания роли антропогенного фактора до необратимых процессов, когда рекультивация нарушенных земель* практически становится малоперспективной. С этой целью при проектировании горных работ особое внимание необходимо уделять сохранению растительного покрова, который является главной частью биоценозов и важнейшим компонентом природной среды. Недооценка в проектах роли этого фактора создает предпосылки к прогрессирующему росту площадей антропогенных ландшафтов, покрытых, так называемыми стерилизованными породами (лишенными почвенного слоя) и отвалами промывки, и сокращению потенциальных возможностей сельского и лесного хозяйства.
Характерным для вовлекаемых в эксплуатацию россыпей является более сложные условия залегания. В связи с этим для обеспечения эффективности разработки россыпей возникает необходимость проведения комплекса подготовительных работ, которые, как правило, должны опережать очистную выемку и выполняться с учетом особенностей последующей рекультивации площадей земельного отвода. Особое внимание в этих условиях следует уделять выбору таких технологических схем и организации разработки, при которых обеспечивается рациональное сочетание очистных и вскрышных работ, а также возможность размещения отвалов в выработанном пространстве и создания технологического рельефа, позволяющего с минимальными затратами осуществлять рекультивацию земель, нарушенных горными работами.
Работы по рекультивации целесообразно выполнять в следующей последовательности: планировка отвалов, устройство русел рек (ключей), создание требуемых уклонов поверхности и при необходимости нанесение плодородного слоя на спланированную поверхность. Планировку отвалов и выпо-лаживание бортов горных выработок следует проводить с учетом заданных отметок и кратчайшего пути транспортирования пород в выемки и техногенные водоемы.
Наиболее рационально рекультивацию нарушенных земель осуществлять непосредственно в ходе разработки месторождения и заканчивать не позднее двух лет после завершения эксплуатационных работ на данной площади.
Процесс восстановления земель разделяется на два этапа. На первом этапе выполняется комплекс организационно-технических мероприятий, проводимых непосредственно горнодобывающим предприятием в процессе эксплуатации месторождения. Сюда относятся работы по выполаживанию откосов старых выработок, планировке отвалов, нанесению плодородного слоя, а также мелиоративные и другие работы, необходимые для приведения нарушенных земель в состояние, пригодное для использования их, но назначению.
На втором этапе выполняются агротехнические и мелиоративные работы по восстановлению плодородия нарушенных земель после завершения на них горнотехнической рекультивации (озеленение) и мероприятия по возвращению этих земель под сельско- и лесохозяйственное использование, а также по освоению в рыбохозяйственных целях водоемов, образовавшихся в горных выработках.
Определение объема планировочных работ.
Определим площадь поперечного сечения отвала, подлежащую планировке

где h - высота отвала, h=l 0,9м; а - угол рабочего откоса отвала, а=18°;
Р - естественный угол откоса отвала, Р=50°;
у - угол вершины отвала, у=110°.

Определим ширину основания отвала

Определим объем планировочных работ на площади 1га

Объемы рекультивации по выполаживанию бортов разрезов, засыпке канав, исправление русел рек расчетам не поддаются. Они (по данным практики рекультивации в объединении Забайкалзолото) равны 7-9% от общих объемов планировочных работ.
В данном проекте мы предусматриваем выполаживание откосов отвалов до 6, с дальнейшей их засадкой древесно-кустарниковой растительностью. Высаживать растения будем рядами перпендикулярно основному водотоку с расстоянием в междурядьях 2,5-3,Ом, в ряду 0,8-10м.
Мероприятия по снижению потерь и разубоживания
С целью снижения потерь и разубоживания выполняются следующие работы:
1. систематическое опробование бортов блоков, сравниваются полученные результаты с экономически целесообразным содержанием;
2. осуществляется контроль мощности предохранительного слоя торфов путем проходки проб-лунок по сетке 20x20 метров;
3. осуществляется контроль мощности обрабатываемых песков со стороны плотика;
4. проводится балансовое опробование при отработке каждого блока или группы блоков под руководством главного обогатителя;
5. выполняется оперативное опробование;
6. в технологию включено окучивание песков с целью снижения разубоживания оплывающими торфами;
7. осуществляется контроль за параметрами, установленными качественно- количественной схемой обогащения.
Мероприятия по снижению потерь металла при обогащении
Эффективность гравитационного метода извлечения золота при оборотом водоснабжении обогатительных комплексов в значительной степени зависит от повышенного содержания постоянно накопляемых глинистых тонкодисперсных частиц в технологической воде. Накапливание характерных классов глинистых частиц (<74мкм) в воде связано с показателями циркуляции замкнутых систем водоснабжения транспортно-обогатительных комплексов. Многократно используемая вода не должна оказывать отрицательного влияния на извлечение ценных компонентов в гравитационных аппаратах при оборотом водоснабжении. На полноту извлечения ценного компонента при промывке золотосодержащих песков наибольшее влияние оказывает содержание глины и крупность золота, сконцентрированного в золотосодержащих песках. Для данных песков с учетом реологических
свойств оборотных вод предельно допускаемое содержание илисто-глинистой фракции в воле составляет 93,5%. Необходимо не допускать повышение концентрации глинисто-илистых фракций выше этого значения, при повышении добавляют флокулянты.
Мероприятия по сохранности металла
1. Рабочие полигона должны быть ознакомлены под роспись с требованиями инструкций по сохранности металла.
2. Шлюз-обогатительная установка пром.прибора по всей длине накрывается прочными металлическими крышками, шарнирно соединенными с одной из стенок колод, крышки закрываются на замки и опечатываются.
3. Съемка концентрата со шлюзов пром.прибора производится ежесуточно комиссией, утвержденной приказом директора прииска.
4. На каждого члена комиссии должны быть оформлены спец. Допуска право съемки и обработки концентрата.
5. Съемщики-доводчики обеспечиваются спец. одеждой без карманов и клапанов, с плотно застегивающимися рукавами и соответствующей обувью.
6. Тщательно сокращенный и снятый со шлюзов концентрат оформляется актом и записывается в журнал, помещается в металлический контейнер с крышкой, пломбируемой двумя печатями.
7. Контейнеры с концентратом доставляются на ЗИФ уполномоченными людьми в сопровождении вооруженной охраны, сроки доставки согласовываются.
8. Временное хранение концентрата обеспечивается охраной с ведением журнального учета дежурных.
7. ОРГАНИЗАЦИЯ ОБСЛУЖИВАНИЯ ОБОРУДОВАНИЯ
В основу организации ремонта оборудования принимается система планово-предупредительных ремонтов, состоящая в том, что после отработки оборудованием определенного времени производится профилактический осмотр и. различные виды плановых ремонтов. Продолжительность и периодичность их зависит от конструктивных и ремонтных особенностей оборудования и условий его эксплуатации. Основным методом ремонта является агрегатно-узловой, при котором все узлы и агрегаты бульдозеров, насосов, требующих ремонтов, заменяются запасными. Наименование и количество запасных частей определяется графиком технического обслуживания оборудования, разработанным главным механиком. При эксплуатации оборудования и землеройной техники непосредственно на ноли гоне предусматривается:
1. внутреннее обслуживание;
2. текущие ремонты, выполняемые дежурным или эксплуатационным персоналом;
3. текущие ремонты, выполняемые при остановке оборудования; в зависимости от объема и характера работ может применяться ремонтный персонал.
В специализированных мастерских могут выполняться следующие виды ремонтов:
1.СО которое совмещается с ТО-1, ТО-2 или средним ремонтом.
2. Капитальный ремонт, является восстановительным ремонтом, к которому приурочены работы по модернизации и совершенствованию оборудования.
Перед производством ремонтов землеройной техники, она транспортируется на ремонтную площадку, где очищается от грязи и подтеков масла.
8. ОХРАНА ТРУДА, ТЕХНИКА БЕЗОПАСНОСТИ И ПРОМЫШЛЕННАЯ САНИТАРИЯ
При приеме на работу:
• к техническому руководству горными работами на открытых разработках допускаются лица, имеющие высшее или среднее горнотехническое образование, или право ответственного ведения горных работ;
• все рабочие и служащие, поступившие на предприятие, подлежат предварительному медицинскому освидетельствованию, а работающие непосредственно на открытых горных работах - периодическому освидетельствованию, в соответствии с инструкциями Минздрава РФ;
• к управлению горными и транспортными машинами допускаются лица прошедшие специальное обучение, сдавшие экзамены и получившие удостоверение на право управления соответствующей машиной.
При бульдозерных работах:
• оставлять бульдозер без присмотра разрешается лишь при условии, что двигатель бульдозера будет заглушен, а отвальное устройство отпущено на землю;
• запрещается работа поперек крутых склонов;
• при ремонте, смазке или регулировке, бульдозер должен быть установлен на горизонтальной площадке, двигатель отключен, а отвал опущен на землю;
• максимальные углы откоса забоя не должны превышать: на подъем -25°, на уклон - 30°.
При работе гидромонитора:
• установки гидромеханизации до пуска в эксплуатацию должны быть испытаны на давление, превышающие нормальное рабочее давление: для труб на 30%, для насосов 80%;
• перед началом работы гидромонитора из сферы действия его струи должны быть удалены все люди и механизмы;
• запрещается хождение по трубопроводам, необорудованным трапами и перилами;
• каждый гидромонитор должен быть оборудован ограничителем, предотвращающим от случайного поворота ствола;
• во время пуска выходное отверстие гидромонитора должно быть всегда направлено в безопасное для окружающих место.
При работе на электроустановках:
• при обслуживании электроустановок должны применяться необходимые защитные средства (диэлектрические перчатки, боты, коврики и др-);
• все лица, работающие на участке, должны быть обучены способам оказания первой помощи при поражении электрическим током;
• голые токоведущие части электрических устройств должны быть защищены наружными ограждениями;
• для защиты людей от поражения электрическим током в электроустановках напряжением до 1000В должны применятся аппараты (реле утечки), автоматически отключающие сеть при опасных утечках тока;
• электроустановки напряжением до 35 кВ должны иметь изолированную нейтраль.
При выполнении требований общих санитарных правил: Особое внимание обратить на:
• применение на участке работ автомобилей, бульдозеров и другой техники с двигателями внутреннего сгорания допускается только при использовании приспособлении, обезвреживающих ядовитые примеси выхлопных газов;
• на участке для обогрева рабочих в холодное время года и во время дождя должны устраиваться специальные помещения расположенные не далее 300 м от мест работы.
Противопожарные мероприятия:
• все рабочие места должны быть оборудованы средствами пожаротушения, особенно места заправки и хранения ГСМ;
• запрещается курение и пользование открытым огнем в помещениях и местах, где имеются горючесмазочные и обтирочные материалы;
• запрещается использование материалов находящихся на пожарных стендах на нужды, не связанные с тушением пожара;
• необходимо проведение контроля действия и неисправности электропроводок.
9. ЭКОНОМИЧЕСКАЯ ЧАСТЬ
Расчеты экономических показателей в проекте приведены для среднегодовых условий разработки месторождения.
Величина капитальных затрат на строительство карьера определяется сводной системой затрат, которая приведена в таблице
Таблица - Капитальные затраты на строительство карьера.
| № пп
|
Наименование затрат
|
Сумма затрат, руб
|
| Часть 1
|
| 1
|
Подготовка территории строительства
|
88547,5
|
| 2
|
Горнокапитальные затраты
|
1814396,2
|
| 3
|
Затраты на промышленные здания и сооружения
|
1349300
|
| 4
|
Затраты на оборудование, транспорт
|
14120587
|
| 5
|
Затраты на инструменты
|
88107,5
|
| 6
|
Прочие работы и затраты
|
1416776,2
|
| Итого по 1 части:
|
19215040
|
| Часть 2
|
| 1
|
Содержание дирекции строящегося предприятия
|
115290
|
| 2
|
Проектные работы
|
96075
|
| Итого по 2 части:
|
211365
|
| Всего по 1 и 2 частям
|
19426405
|
| Непредвиденные работы и затраты
|
971320
|
| Всего по смете
|
20397725
|
Затраты на подготовку территории строительства принимаются в размере 0.5-=-!% от суммы затрат по 2-г5 главам.
Расчет капитальных затрат на горно-капитальные работы
Расчет капитальных затрат, на горно-капитальные работы сведен в таблицу .
Таблица . - Капитальные затраты на горно-капитальные работы
| Наименование горных выработок
|
Ед.изм.
|
Объем работ, м3
|
Сметная стоимость
|
| Стоим, ед, руб
|
Общая стоимость, руб
|
| Строительство плотин
|
м^
|
121361,25
|
6,9
|
669913,8
|
| Строительство пионерного отстойника
|
м3
|
90893,75
|
6,7
|
488098,8
|
| Проходка руслоотводного канала
|
м3
|
89601,25
|
7,7
|
549255
|
| Проходка нагорного канала
|
и3
|
19372,5
|
6,9
|
107128,8
|
| Итого
|
1814396,2
|
Затраты на промышленные здания и сооружения
Ввиду того, что предприятие уже имеет все необходимые административные и производственные здания и сооружения для нового участка необходимы лишь основные сооружения вахтового поселка.
Затраты на строительно-монтажные работы рассчитаны по данным действующего предприятия-аналога и приведены в таблице .
Таблица . - Затраты на промышленные здания и сооружения.
| Наименование здания, сооружения
|
Сметная стоимость, тыс.руб
|
Общая сметная стоимость
|
| строит, раб.
|
монтаж
|
оборудование
|
| Столовая
|
89.0
|
15.6
|
54.6
|
159.2
|
| Общежитие
|
149.6
|
17.5
|
135.0
|
302.1
|
| Ремонтная мастерская
|
124.0
|
18.6
|
317.8
|
460:4
|
| Склад ГСМ
|
21.7
|
31.0
|
294.2
|
346.9
|
| Итого
|
1268.6
|
| Неучтенные здания и сооружения
|
80.7
|
| Всего
|
1349.3
|
Капитальные затраты на приобретение и монтаж оборудования
Виды и количество оборудования приняты на основе выполненных расчетов в соответствующих разделах проекта. Цены на оборудование определены по прайсам, опубликованным на официальных сайтах заводов-изготовителей (МоАЗ, ЧТЗ, и т.д.).
Расчет капитальных затрат на технологическое оборудование приведен в таблице .
| Виды работ и наименование оборудования
|
Кол -во еди ниц
|
Цена за един., тыс.ру б
|
Сумма затрат
5
тыс.ру
б
|
Достав кА и монта ж
|
Общая сумма затрат
|
Общая норма амортиз ации, %
|
Годовые амортиз ационные отчисле
НИЯ, тыс.руб
|
| Основное технологическое оборудование
|
| Бульдзер Д-521А
|
6
|
1109,75
|
6658,5
|
998,8
|
7657,3
|
11,1
|
849,957
|
| Рыхлитель
Д-575С
|
1
|
1322,5
|
1322,5
|
198,375
|
1520,9
|
15,1
|
229,652
|
| Пром. прибор ПГШ-П-50
|
1
|
981,9
|
981,9
|
147,3
|
1129,2
|
18,5
|
208,893
|
| Итого
|
1 0307 3
|
12885
|
| Вспомогательное оборудование
|
| ГАЗ-66
|
1
|
241,5
|
241,5
|
28,98
|
270,48
|
19,5
|
52,74
|
| Урал-4320
|
1
|
391
|
391
|
46,9
|
437,9
|
19,5
|
85,39
|
| Трактор Т-130
|
2
|
460
|
920
|
119,6
|
1039,6
|
ПЛ "
|
115,4
|
| Кран КС-4361
|
1
|
828
|
828
|
107,64
|
935,6
|
10,0
|
93,56
|
| Итого
|
2683,6
|
347,1
|
| Всего
|
12990,9
|
1635,6
|
Таблица . - Капитальные затраты на приобретение и монтаж оборудования
Затраты на приспособления, инструменты и производственный инвентарь принимаются в размере 0.5% от затрат 2ч-4 глав сводной сметы приведенной в таблице .
Затраты на прочие работы принимаются в размере 8% от затрат 2+5 глав сводной сметы приведенной в таблице
Содержание дирекции строящегося предприятия принимаются в размере 0.6% от затрат 1 части сводной сметы приведенной в таблице .
Стоимость проектных работ принимается в размере 0.5% от вышеизложенных затрат.
Затраты на непредвиденные работы принимаются в размере 5% сметной стоимости строительства.
Определим удельные капитальные затраты на 1 м3 годовой добычи песков

где: К - капитальные затраты на строительство, руб; Q - годовой объем добычи, м5;

Общая сумма основных производственных фондов участка принимается равной затратам, определенным в 1 части сводной сметы приведенной в таблице , т.е. она равна 15372032 руб.
Полная себестоимость добычи металла
Себестоимость - это есть эксплуатационные затраты на производство и реализацию единицы продукции т.е. в данном случае 1 грамма металла.
Эксплуатационные затраты необходимо группировать в соответствии с экономическим содержанием по следующим элементам:
материальные затраты;
затраты на оплату труда;
отчисления на социальные нужды;
• прочие затраты.
Определение численности трудящихся и годового фонда заработной платы
Прежде чем определить величину заработной платы необходимо определить численность явочного и списочного состава рабочих.
Численность основных и вспомогательных рабочих по всем переделам работ, необходимая для отработки месторождения, определяется в соответствии с объемами работ, действующими нормами выработки и времени на открытых горных работах.
Численность участкового персонала определена в соответствии с принятой организационной структурой предприятия и нормативами численности ИТР и служащих.
Определим явочную численность по формуле:
Ыя
=М-Н0
-пш
,чел;
где: М - количество машин;
Н0
- норма обслуживания машин, чел;
псм
-
количество смен в сутки. Списочное количество работников определяется следующим образом:
Мс
=Кя
-Кс
,чел;
где: Кс
- коэффициент списочного состава рабочих. Так как в проекте принят сезонный режим работы, отпуски во время работы не предусматриваются, отсюда Кс
=1. Результаты расчета приведены в таблице.
Таблица.- Определение численности трудящихся.
| Наименование машин, рабочих мест
|
Количество рабочих мест
|
Норма обслуживания
|
Количество рабочих смен
|
Явочное количество рабочих
|
| Рабочие
|
| Машинист бульдозера
Д-521А
|
6
|
1
|
2
|
12
|
| Машинист рыхлителя
Д-575С
|
1
|
1
|
2
|
2
|
| Машинист трактора Т-130
|
2
|
1
|
1
|
2
|
| Моторист промприбора
|
1
|
1
|
2
|
2
|
| Гидромониторщик
|
1
|
1
|
2
|
2
|
| Газоэлектросварщик
|
1
|
1
|
2
|
2
|
| Электрослесарь
|
1
|
1
|
2
|
2
|
| Промывалыщик проб
|
1
|
1
|
1
|
1
|
| Рабочий маркслужбы
|
1
|
1
|
1
|
1
|
| Водитель автомашины
|
2
|
1
|
1
|
2
|
| Крановщик
|
1
|
1
|
1
|
1
|
| Рабочий вахтового поселка
|
1
|
1
|
1
|
1
|
| Охранник
|
1
|
1
|
1
|
1
|
| Всего рабочих
|
31
|
| ИТР и служащие
|
| Начальник участка
|
1
|
1
|
1
|
1
|
| Участковый геолог
|
1
|
1
|
1
|
1
|
| Участковый л
маркшейдер
|
1
|
1
|
1
|
1
|
| Участковый электромеханик
|
1
|
1
|
1
|
1
|
| Инженер-обогатитель
|
1
|
1
|
1
|
1
|
| Кассир-золотоприем щик
|
1
|
1
|
1
|
1
|
| Горный мастер
|
1
|
1
|
2
|
2
|
| Всего ИТР и служащих
|
8
|
| Всего ППР
|
39
|
В расшифровке численности рабочих, ИТР и служащих участка перечислены только те профессии, которые непосредственно заняты на участке полный рабочий день. ИТР и служащие, которые обслуживают несколько участков, в расшифровку численности не включены и учитываются в целом по предприятию. Заработная плата для работников разреза принимается из расчета на один трудодень по фактическим данным в условиях Забайкалья для золотодобывающих предприятий.
Принимается размер заработной платы 270 рублей за трудодень, кроме того, учитывается КТУ.
Плановый фонд заработной платы разреза складывается из основной заработной платы и дополнительной.
Основная заработная плата определяется по формуле
Зосн
=3пр
+ Пр
+Дпроч
,руб;
где: Зпр
-
прямая заработная плата, руб;
3np
=T.N,py6;
где: Т - сменная тарифная ставка;
N - число рабочих дней в месяц;
up
-
премия за 100% выполнения плана, начисляется в размере 20 % от
прямой заработной платы;
Лпроч. -
прочие доплаты, принимаем в размере 4 % от прямой заработной платы.
Общая заработная плата определяется по формуле:
30
бщ = (З
осн + Д доп ) • Кр, руб;
где: Зосн - основная заработная плата;
Д,доп -
дополнительная заработная плата, принимаем в размере 12 % от
прямой заработной платы;
Кр -
районный коэффициент.
По вышеперечисленным формулам произведем расчет фонда заработной платы для каждого рабочего и расчеты сведем в таблицу .
Таблица . - Штат и фонд заработной платы работников разреза.
| Вид работы и категория
|
Числен ность, чел.
|
Месячный фонд заработной платы на чел, руб
|
Сезонный фонд з/пл с учетом районного коэф.
|
| прямая
|
премия
|
доплата
|
дополн.
|
Итого
|
| А. Основная группа
|
| Горноподготовительные работы
|
| Машинист бульдозера
Д-521А
|
6
|
9900
|
1980
|
396
|
1188
|
13464
|
437217
|
| Машинист рыхлителя Д-
575С
|
2
|
9900
|
1980
|
396
|
1188
|
13464
|
143795
|
| Добычные работы
|
| Машинист бульдозера Д-521А
|
6
|
9900
|
1980
|
396
|
1188
|
13464
|
437217
|
| Моторист
ТТППМТТПИ^ГУПЯ
|
2
|
9000
|
1800
|
360
|
1080
|
12240
|
130723
|
| Гидромониторщ
ИК '*
|
2
|
9000
|
1800
|
360
|
1080
|
12240
|
130723
|
| Итого основная
|
18
|
1279675
|
| группа
|
| Б. Вспомогательная группа
|
| Газоэлектросвар щик
|
2
|
9000
|
1800
|
360
|
1080
|
12240
|
130723
|
| Машинист трактора Т-130
|
2
|
9000
|
1800
|
360
|
1080
|
12240
|
130723
|
| Электрослесарь
|
2
|
8100
|
1620
|
324
|
972
|
11016
|
117650
|
| Промывальщик проб
|
1
|
8100
|
1620
|
324
|
972
|
11016
|
58825
|
| Рабочий маркслужбы
|
1
|
8100
|
1620
|
324
|
972
|
11016
|
58825
|
| Водитель автомашины
|
2
|
9000
|
1800
|
360
|
1080
|
12240
|
130723
|
| Крановщик
|
1
|
9000
|
1800
|
360
|
1080
|
12240
|
130723
|
| Охранник
|
1
|
8100
|
1620
|
324
|
972
|
11016
|
58825
|
| Рабочий вахтового поселка
|
1
|
8100
|
1620
|
324
|
972
|
11016
|
58825
|
| Итого вспомогательна я группа
|
13
|
•
|
875842
|
| В. ИТР и служащие
|
| Начальник участка
|
1
|
12150
|
2430
|
486
|
1458
|
16524
|
88238
|
| Участковый геолог
|
1
|
10530
|
2106
|
421
|
1263
|
14320
|
76468
|
| Участковый маркшейдер
|
1
|
10530
|
2106
|
421
|
1263
|
14320
|
76468
|
| Участковый электромеханик
|
1
|
10530
|
2106
|
421
|
1263
|
14320
|
76468
|
| Инженер-обогатитель
|
1
|
10530
|
2106
|
421
|
1263
|
14320
|
76468
|
| Кассир-золотоприем-щи к
|
1
|
10530
|
2106
|
421
|
1263
|
14320
|
76468
|
| Горный мастер
|
2
|
10530
|
2106
|
421
|
1263
|
14320
|
152937
|
| Итого ИТР и служащих
|
8
|
623514
|
| Итого по предприятию
|
39
|
2779031
|
Согласно установленным законодательством нормам необходимы отчисления на социальные нужды. В эти отчисления включают отчисления органам государственного социального страхования, пенсионного фонда и обязательного медицинского страхования. Норма отчисления на социальные нужды составляет 35.6% от оплаты труда. Сумма начислений составит 989335 руб.
Материальные затраты
Материальные затраты включают в себя затраты на авторезину, запчасти и материалы, дизельное топливо, смазочные и обтирочные материалы, износ малоценных предметов и спецодежды, электроэнергию.
Таблица . - Расчет расхода горючесмазочных материалов.
| Потребитель
|
Число потребителей
|
Норма расхода на ед., кг/ч
|
Количество потребляемого материала, тыс. кг
|
Цена 1 кг, руб.
|
•Сумма
затрат, тыс. руб.
|
| Бульдозер Д-521А
|
6
|
31
|
714.24
|
8.3
|
5928.2
|
| Рыхлитель Д-
575С
|
1
|
17
|
65.28
|
8.3
|
541.82
|
| Трактор Т-130
|
2
|
8.2
|
16.728
|
8.3
|
138.86
|
| Кран КС-4361
|
1
|
5.2
|
5.304
|
8.3
|
44.02
|
| ГАЗ-66
|
1
|
4.8
|
5.76
|
8.3
|
47.81
|
| Урал-4320
|
1
|
5.4
|
6.48
|
8.3
|
53.78
|
| Итого
|
6754.49
|
Затраты на инвентарь и спецодежду определяем из расчета 950 руб. на одного рабочего:
3„ = 950-39 = 37050 руб.
Расчет затрат на электроэнергию
Электроснабжение потребителей предусматривается от ПС 35/10 Унда по В Л-10 кВ №7 Унда-Усть-Ягье оп 200.
Расчет затрат на электроэнергию, получаемую со стороны производится по двухставочному тарифу.
Общая сумма затрат на электроэнергию:
C = (W.B
).(l±c),py6;
где: W - фактически потребленная электроэнергия за год, кВт-час; в - тариф за 1 кВт-час потребленной энергии, руб; с - надбавка или скидка к тарифу за электроэнергию.
Таблица . - Затраты на электроэнергию
| Потребитель
|
Количество потребителей
|
Установленная мощность, кВт
|
Суточный расход, кВт/час
|
Число дней работы
|
Родовой расход, кВт/час
|
| Насос Д-500-36
|
1
|
110
|
2200
|
160
|
352000
|
| Сверлильный станок
|
1
|
2.2
|
13.2
|
170
|
2240
|
| Заточной станок
|
1
|
2.2
|
13.2
|
170
|
2240
|
| Токарный станок
|
1
|
5.5
|
33.0
|
170
|
5610
|
| Сварочный тр-р ТД-300
|
1
|
19.4
|
97.0
|
170 ,
|
16490
|
| Прожекторы
|
2
|
2
|
20
|
170
|
3400
|
| Освещение (внутреннее)
|
-
|
6
|
. 60
|
170
|
10200
|
| Потребители активной энергии (освещение,эл плиты и т.д)
|
-
|
30
|
150
|
170
|
25500
|
| Освещение наружное
|
-
|
15
|
90
|
170
|
15300
|
| Всего
|
432980
|
Общая сумма затрат на электроэнергию составит:
С = (432980 • 1.5) • (1 ± 0) = 649470 руб
Амортизация основных фондов
В элементе «Амортизация основных фондов» отражается сумма амортизационных отчислений на полное восстановление всех основных производственных фондов. Величина амортизационных отчислений определяется по следующей формуле:
л <*-С6
А =--------------------------------------------- -; руб,
100 *У
где: а - годовая норма амортизационных отчислений, %; Сб - балансовая стоимость основных фондов, руб. Расчет амортизационных отчислений приведен в таблице .
Таблица . - Расчет амортизационных отчислений.
| Наименование основных фондов
|
Балансовая стоимость основных фондов,тыс. руб
|
Норма ежегодных амортизационны х отчислений, %
|
Сумма амортизацией ных отчислений, тыс. руб
|
| Бульдозер Д-521А
|
7657,3
|
11.1
|
849,957
|
| Рыхлитель
Д-575С
|
1520,9
|
15.1
|
229,652
|
| Промприбор ПГШ-П-50
|
1129,2
|
18.5
|
208,893
|
| Трактор Т- 130
|
10,39
|
11.1
|
115,4
|
| КранКС-4361
|
935,6
|
ю
|
93,56
|
| ГАЗ-66
|
270,48
|
19.5
|
52,74
|
| Урал-4320
|
437,9
|
19.5
|
85,39
|
| Амортизация зданий и сооружений
|
1349,3
|
5
|
67,475
|
| ВсЬго
|
1703,067
|
Прочие затраты можно определить в размере 30% общей суммы ранее учтенных затрат в себестоимости продукции.

Эксплуатационные затраты по элементам (включая затраты на 1 грамм металла добытого за год) сведены в таблице .
Таблица . - Сводная смета затрат и калькуляция себестоимости.
| Наименование
|
Значение
|
Затраты на 1 грамм металла, руб
|
| Заработная плата, тыс. руб.
|
2779.03
|
37.38
|
| Начисления на заработную плату, тыс. руб.
|
989.34
|
13.31
|
| ГСМ, тыс. руб.
|
6754.49
|
42.71
|
| Электроэнергия, тыс.руб.
|
649.47
|
8.74
|
| Амортизационные отчисления, тыс. руб.
|
1703,07
|
20.04
|
| Прочие расходы, тыс. руб.
|
3113.47
|
41.88
|
| Итого
|
15988,87
|
212.24
|
Для расчета объема товарной продукции используются прогнозные цены.
Прибыль от реализации продукции определяется по формуле
тп = (ц-с).дгод
,руб
где: Ц - закупочная цена 1 гр металла;
С - себестоимость добычи 1 гр металла; Q
20
d
-
годовой объем добычи.
ТП = (310-212.24)-74330 = 7266780 руб.
Годовой объем товарной продукции:
VT
=q-Qroa
,py6;
VT
=310-74330 = 23042300 руб.
Прибыль балансовая составит:
Пб
= VT
- Зэкотл
, руб;
где: Зжспл -
эксплуатационные затраты, руб.
Пб
=
23042300 -15988867 = 7053433 руб.
Налог на добычу принимаем в размере 6.0 % от объема товарной продукции:

Налог на прибыль берется в размере 24 % от балансовой прибыли

Налог на имущество берётся в размере 2 % от балансовой прибыли

Прочие налоги (плата за пользование водными объектами, земельный налог, плата за загрязнение окружающей природной среды) составят в сумме 7053433 руб.
Чистая прибыль разреза равна 3268201 руб/год. Рентабельность предприятия по чистой прибыли составит:
А
где: Нцист -
чистая прибыль от реализации золота, руб.

Основные сводные технико-экономические показатели разработки россыпного месторождения золота сведены в таблице . Таблица . - Основные технико-экономические показатели
| Наименование показателей
|
Ед.изм
|
Значение
|
| 1 . Балансовые запасы месторождения:
|
| пески
|
тыс.м
|
477,1
|
| среднее содержание
|
мг/м^
|
522
|
| золота в песках
|
кг
|
247,3
|
| 2.Экспуатационные запасы месторождения
|
| пески
|
тыс.м
|
461,87
|
| золота в песках
|
кг
|
241,1
|
| 2. Объем промывки песков
|
м^/сезон
|
J 60000
|
| 3. Срок отработки месторождения
|
лет
|
3
|
| 4. Нормативное число часов промывки в сутки
|
час
|
20
|
| 5. Среднечасовая расчетная производительность промприбора
|
м /час
|
50
|
| 6. Режим работы участка:
|
| число рабочих дней
|
дней
|
160
|
| число смен в сутки
|
смен
|
2
|
| продолжительность смены
|
часов
|
12
|
| 7. Годовая списочная численность рабочих и ИТР
|
чел
|
39
|
| 8. Годовой фонд заработной платы
|
руб
|
2779031
|
| 9. Удельные капитальные затраты
|
руб/гр
|
195,36
|
| 10. Объем товарной продукции
|
руб
|
18582500
|
| 1 1 . Годовые эксплуатационные затраты
|
руб
|
12195722
|
| 12. Себестоимость добычи
|
руб/гр
|
212,24
|
| 13. Прибыль балансовая
|
руб
|
7053433
|
| 14. Налоги с прибыли
|
руб
|
1744027
|
| 15. Рентабельность к чистой прибыли
|
%
|
20,44
|
Заключение
В данном проекте была рассмотрена разработка россыпного месторождения р.Лужанки с геологическими запасами песков 477,1 тыс.м3
золота 247,3 кг, со средним содержанием 522 мг/м3
.
Для отработки этого месторождения была выбрана бульдозерная вскрыша торфов, с применением параллельной системы пологих выездов вдоль всего полигона на два борта, с размещением отвалов за пределами контуров запасов. Вскрышные работы производятся тремя бульдозерами Д-521А, на базе трактора Т-180, и одним рыхлителем Д-575С на базе трактора Т-180.
Также в данном проекте, в специальной части, было рассмотрено несколько способов ведения добычных работ. На основании технико-экономических показателей был выбран бульдозерный способ выемки песков двумя бульдозерами Д-51А на базе трактора Т-180 с промывкой и обогащением песков на пром.приборе ПГШ-П-50.
В результате данного способа разработки были получены следующие технико-экономические показатели:
1. Себестоимость 212,24 руб/г
2. Балансовая прибыль 7053,433 тыс. руб.
3. Чистая прибыль 3268,2 тыс. руб.
4. Рентабельность 20,44 %
Список используемой литературы
1. Лешков В.Г. Разработка россыпных месторождений: Учебник для техникумов.2-е изд., перераб.и доп. М.,Недра,1985.-568с.
2. Шорохов С. М. Технология и комплексная механизация разработки россыпных месторождений.2-е изд., перераб.и доп. М.,Недра, 1973.-768 с.
3. Мельников Н.В. Краткий справочник по открытым горным работам.4-е изд., перераб.и доп. М.,Недра,1982.- 568с.
4. Ялтанец И.М. Проектирование открытых гидромеханизированных и дражных разработок месторождений. Учебное пособие для вузов. М.,Недра, 1985.- 568 с
5. ГетопановВ.Н. Гудилин Н.С. Чугреев Л.И. Горные и транспортные машины и комплексы. Учебник для вузов. М.,Недра, 1991 .-304 с: ил..
6. Шорохов С.М. Задачник по технологии разработки россыпных месторождений. М.,Недра, 1975.
7. Подэрни Р.Ю.Горные машины и комплекса для открытых горных пород.- М.,Недра, 1985.- 615 с.
8. Дипломное проектирование: Метод указ. Чита: ЧитПИ, 1987.- 42 с.
9. Ломоносов Г.Г. Горно-инженерная графика. М.,Недра, 1984.- 287 с.
10. Единые правила безопасности при разработке месторождений полезных ископаемых открытым способом. 3-е изд., перераб.и доп.- М.: НПО ОБТ 1992.-110 с.
11. Безопасность технологических процессов и производств.(Охрана труда). 2-е изд., перераб.и доп.-М.: высшая школа,2002.-319 с: ил.
12. Моссаковский Я.В. и. др. Экономика горной промышленности: Учебник для вузов. М.,Недра, 1988.-367 с: ил.
13. Лезгинцев Г.М. Гидромеханизация разработки россыпей и методы расчетов.
14. Мирзаев Г.Г. Экология горного производства. Учебник для вузов. М.,Недра, 1991.-320 с: ил.
15. Ржевский В.В. Открытые горные работы. М.,Недра 1985. 1,2 часть
16. Нурок Г.А. Процессы и технология гидромеханизации открытых горных работ М.,Недра 1985



Выводы по патентному поиску
Отобранный и изученный в результате поиска патентный и научно-технический маге риал позволяет установить следующее:
1. Показать какие интересные решения проблемы близки к выполняемой работе, для этого сравнить найденные технические решения друг с другом, т.е. провести 'опоставленный анализ по новизне и полезности.
2. На основе а нанизь полученной информации показать какие найденные решения могут быть использованы в дипломном (курсовом) проекте (работе) с целью повышения производительности объекта, качества, точности и т.д.
Обосновать вы'юр лучшего технического решения.
Примечание: В случае принятия решения об использовании в дипломной работе (проекта) выявленной разработки защищенной патентом, студент обязан сделать проверку в отношении СССР. Проверка производится путем просмотра "Указателя действующих патентов в СССР".
Подписи: Студент
Руководитель проекта (работы)______
I !атентовед_______________________
|