|
Дипломна робота
На тему
Поліпшення фінансових показників функціонування розвитку ВАТ ПБК «Славутич»в місті Запоріжжя
ЗМІСТ
ВСТУП
1. ТЕОРЕТИЧНІ АСПЕКТИ ДОСЛІДЖЕННЯ ФІНАНСОВИХ ПОКАЗНИКІВ ПРОМИСЛОВОГО ПІДПРИЄМСТВА
1.1 Сутність і роль фінансових показників та їх аналізу в діяльності підприємства
1.2 Теоретична база та проблеми аналізу фінансових показників промислового підприємства в сучасних умовах господарювання
1.3 Особливості аналізу фінансових показників на промисловому підприємстві та напрямки його вдосконалення
1.4 Фінансові ризики в діяльності промислових підприємств
1.5 Нормативно-правове забезпечення діяльності промислових підприємств.
2. ДОСЛІДЖЕННЯ ФІНАНСОВИХ ПОКАЗНИКІВ ДІЯЛЬНОСТІ ВАТ ПБК «Славутич» в м. Запоріжжя
2.1 Техніко-економічні показники діяльності підприємства
2.2 Експрес - аналіз фінансового стану підприємства
2.3 Деталізований аналіз фінансового стану ВАТ ПБК «Славутич»
2.3.1 Аналіз фінансової стійкості
2.3.2 Аналіз ліквідності і платоспроможності
2.3.3 Аналіз ділової активності
2.3.4 Аналіз прибутку і рентабельності
2.4 Інтегральна оцінка та визначення основних проблем та оцінка ризиків діяльності ВАТ ПБК «Славутич»
3. ПІДВИЩЕННЯ ЕФЕКТИВНОСТІ ФУНКЦІОНУВАННЯ ВАТ ПБК «Славутич»
3.1 Напрямки поліпшення фінансових показників ВАТ "Запорізький пивзавод "Славутич"
3.2 Проектування заходів, спрямованих на поліпшення фінансових показників діяльності підприємства
3.3 Фінансово-економічна оцінка запропонованих заходів з урахуванням ризиків
ВИСНОВКИ
ПЕРЕЛІК ПОСИЛАНЬ
ДОДАТКИ
РЕФЕРАТ
Дипломна робота на тему Поліпшення фінансових показників функціонування розвитку ВАТ ПБК «Славутич» в місті Запоріжжі »: 134 с., 11 рис., 17 табл., 43 джерела.
Об’єкт дослідження – фінансові показники ВАТ ПБК «Славутич» в місті Запоріжжі.
Мета роботи – проведення загальної оцінки фінансових показників стану, визначення шляхів підвищення стійкості ВАТ Запорізький пивзавод "Славутич".
Однієї з особливостей існування підприємства в перехідній економіці є те, що повинні бути вирішені проблеми забезпечення задовільного поточного фінансового стану, а також вжиті заходів по забезпеченню економічного росту в перспективі. Для цього необхідно ефективне керування. У цей час керування підприємством є проміжним, перехідним, тому що воно є вже не командно-адміністративним, але ще й не ринковим.
Аналіз господарської діяльності є елементом у системі керування виробництвом, діючим засобом виявлення внутрішньогосподарських резервів, основою розробки науково обґрунтованих планів й управлінських рішень.
Виходячи з цього, було досліджено весь комплекс заходів щодо зміцнення фінансового стану підприємства. В результаті чого була розроблена система заходів в контексті маркетингової політики ВАТ ПБК «Славутич» в місті Запоріжжі..
ПІДПРИЄМСТВО, АНАЛІЗ, ФІНАНСОВІ ПОКАЗНИКИ, ФІНАНСОВІ РИЗИКИ, ЕКСПРЕС – АНАЛІЗ, ІНТЕГРАЛЬНА ОЦІНКА.
ВСТУП
Перехід до ринкової економіки жадає від підприємства підвищення ефективності виробництва, конкурентноздатності продукції й послуг на основі впровадження досягнень науково-технічного прогресу, ефективних форм господарювання й керування виробництвом, активізації підприємництва й т.д. Важлива роль у реалізації цього завдання приділяється аналізу господарської діяльності підприємств. З його допомогою виробляються стратегія й тактика розвитку підприємства, обґрунтовуються плани й управлінські рішення, здійснюються контроль за їхнім виконанням, виявляються резерви підвищення ефективності виробництва, оцінюються результати діяльності підприємства, його підрозділів і працівників.
Аналізом фінансових показників підприємства, організації займаються керівники й відповідні служби, так само засновники, інвестори з метою вивчення ефективного використання ресурсів, банки для оцінки умов надання кредиту й визначення ступеня ризику, постачальники для своєчасного одержання платежів, податкові інспекції для виконання плану надходжень засобів у бюджет і т.д. Фінансовий аналіз є гнучким інструментом у руках керівників підприємства. Фінансові показники підприємства характеризується розміщенням і використанням засобів підприємства. Ці відомості представляються в балансі підприємства. Основними факторами, що визначають фінансові показники підприємства, є, по-перше, виконання фінансового плану й поповнення в міру виникнення потреби власного обороту капіталу за рахунок прибутку й, по-друге, швидкість оборотності оборотних коштів (активів). Сигнальним показником, у якому проявляється фінансовий стан, виступає платоспроможність підприємства, під якою мають на увазі його здатність вчасно задовольняти платіжні вимоги, повертати кредити, робити оплату праці персоналу, вносити платежі в бюджет. В аналіз фінансових показників підприємства входить аналіз бухгалтерського балансу, пасиву й активу, їхній взаємозв'язок і структура; аналіз використання капіталу й оцінка фінансової стійкості; аналіз платоспроможності й кредитоспроможності підприємства й т.д.
Зміст аналізу випливає з функцій. Однієї з таких функцій є - вивчення характеру дії економічних законів, установлення закономірностей і тенденцій економічних явищ і процесів у конкретних умовах підприємства. Наступна функція аналізу - контроль за виконанням планів й управлінських рішень, за ощадливим використанням ресурсів. Центральна функція аналізу - пошук резервів підвищення ефективності виробництва на основі вивчення передового досвіду й досягнень науки й практики. Інша функція аналізу - оцінка результатів діяльності підприємства по виконанню планів, досягнутому рівню розвитку економіки, використанню наявних можливостей. І, нарешті, - розробка заходів щодо використання виявлених резервів у процесі господарської діяльності.
Таким чином, видно, яку значимість має оцінка фінансового стану підприємства, і що дана проблема є найбільш актуальною в нашій країні, при переході до розвиненої ринкової економіки.
Тому в цей час можна спостерігати таку ситуацію: з'явилася досить велика кількість перекладної й вітчизняної літератури на цю тему, що містить рекомендації з розрахунку фінансових коефіцієнтів, але виникає проблема вибору певної методики, що відповідала б підприємству конкретної галузі й умовам, у яких воно перебуває.
У зв'язку з актуальністю теми метою роботи є проведення загальної оцінки фінансових показників стану, визначення шляхів підвищення стійкості ВАТ Запорізький пивзавод "Славутич". Оцінка буде дана не тільки з кількісної сторони, але й з аналітичної точки зору.
Для досягнення зазначеної мети, необхідно вирішити наступні завдання:
- виявлення зміни показників фінансового стану підприємства;
- виявлення фактів, що впливають на фінансовий стан підприємства;
- оцінка кількісних й якісних змін у фінансовому становищі підприємства;
- оцінка фінансового становища;
- визначення тенденцій зміни фінансового стану підприємства;
- виявлення шляхів фінансового оздоровлення ВАТ "Запорізького пивзаводу "Славутич".
Методи досліджень, застосовувані при виконанні даної роботи: статистико-економічний, монографічний, розрахунково-конструктивний, балансовий, абстрактно-логічний, економіко-математичний.
1. ТЕОРЕТИЧНІ АСПЕКТИ ДОСЛІДЖЕННЯ ФІНАНСОВИХ ПОКАЗНИКІВ ПРОМИСЛОВОГО ПІДПРИЄМСТВА
1.1 Сутність і роль фінансових показників та їх аналізу в діяльності підприємства
Фінансові показники (англ. fіnancіal іndіcators) - величини, що характеризують яку-небудь сторону діяльності господарюючих суб'єктів, держави, населення, пов'язану з формуванням і використанням грошових доходів і нагромаджень, або ступінь виконання певного завдання [23, с. 67].
Фінансові показники відбивають розміри, складову динаміку й взаємозв'язок суспільних явищ і процесів, що відбуваються в області фінансів, у їх кількісному і якісному стані. Багатоплановість фінансових відносин обумовлює різноманіття фінансових показників.
Розрізняють об'ємні і якісні показники. Об'ємні фінансові показники свідчать про розмір і виражаються числовими значеннями (обсяг витрат на виробництво продукції, розмір бюджетного дефіциту); якісні фінансові показники характеризують рівні й кількісні співвідношення аналізованих величин (норми, нормативи, ставки оподатковування, індекси цін, інфляції).
За ступенями агрегування явищ фінансові показники можуть бути: індивідуальними, стосовно до окремого об'єкта (фонд заробітної плати в школі, рентабельність конкретного виду виробленої продукції); груповими, якщо поширюються на групу об'єктів того самого виду (норми витрат на харчування на один ліжко-день у лікувальній установі); загальними і синтетичними, які одночасно є зведеними показниками й виходять у результаті узагальнення індивідуальних показників (обсяг доходів та витрат консолідованого бюджету).
Залежно від досліджуваного явища розрізняють фінансові показники: інтервальні, що виражають розвиток явища в часі (наприклад, доходи бюджету підприємства за квартал, півріччя, 9 місяців, рік); моментні, що відбивають стан явища на певну дату. Показники стану галузі фінансів, території називаються галузевими, територіальними, а економіки в цілому - загальноекономічними (прибуток машинобудівної галузі, фонд фінансової підтримки конкретного регіону, обсяг фінансових ресурсів держави).
За формою вираження фінансові показники бувають: абсолютними (обсяг доходів бюджету підприємства), відносними (обсяг доходів бюджету у відсотках до ВВП), середніми (середня душова забезпеченість доходами). При законодавчому оформленні фінансові показники діляться на затверджувані (державний мінімальний соціальний стандарт, мінімальний розмір оплати праці, граничний розмір дефіциту бюджету) і розрахункові (норматив мінімальної бюджетної забезпеченості, мінімальний місцевий бюджет).
Використання фінансових показників у плануванні обумовлює наявність планових і звітних показників. Виходячи з вимог ринкової економіки фінансові показники можна підрозділити на оцінні, що характеризують досягнутий або можливий рівень розвитку або результатів діяльності (обсяг продажів підприємства, валова прибуток, ліквідність), і витратні, що відбивають рівень витрат по здійсненню різних видів діяльності (витрати виробництва, всі види витрат бюджетних установ). Більшість фінансових показників мають наскрізний характер і можуть застосовуватися одночасно для оцінки конкретних сторін фінансової діяльності як окремих господарюючих суб'єктів, так і держави в цілому (прибуток підприємства, галузі, економіки в цілому). Фінансові показники, використовувані для оцінки окремих сторін фінансової діяльності й процесів, містять кількісну, якісну, просторову й тимчасову визначеності (частка конкретного регіону у фонді фінансової підтримки регіонів у певному році, де частка - якісний показник, її розмір - кількісний, конкретний регіон - просторова визначеність, рік - тимчасова). Відсутність хоча б двох наведених параметрів свідчить про те, що дана величина не є показником. При всьому різноманітті фінансових показників жоден з них не відіграє роль універсального показника, по якому однозначно можна було б судити про досліджуване явище або процес, тому на практиці користуються системою фінансових показників, зв'язаних між собою, що дають всебічну комплексну характеристику досліджуваного явища або процесу. З огляду на галузеві особливості сфер і ланок фінансової системи, розрізняють системи фінансових показників державного бюджету, страхування, окремих галузей економіки.
На основі системи фінансових показників проводять фінансовий аналіз, прогнозування/планування, оперативне керування в усіх напрямках фінансової діяльності. З переходом до ринкових відносин, економічні й територіальні відособленості регіонів, з розвитком різних форм власності з'явилися нові фінансові показники: у процесі фінансового аналізу діяльності підприємств замість таких показників, як обсяг виробництва валової, товарної продукції, почали застосовуватися обсяг продажів, прибуток, рентабельність, рівень оподатковування, ліквідність; при оцінці кон'юнктури фінансового ринку види основних котируємих фінансових інструментів (акції, облігації), ціни й обсяги угод, індекси динаміки цін, інфляції і ін. Виникла необхідність створення системи фінансових показників, що характеризує формування й використання фінансових ресурсів територій, стан міжтериторіальних зв'язків [23, с. 99-100].
Щоб вижити в умовах ринкової економіки й не допустити банкрутства підприємства, потрібно добре знати, як управляти фінансами, який повинна бути структура капіталу по складу й джерелам утворення, яку частку повинні займати власні й позикові засоби. Треба знать і такі поняття ринкової економіки як ділова активність, ліквідність, платоспроможність, кредитоспроможність підприємства, поріг рентабельності, запас фінансової стійкості (зона безпеки), ступінь ризику, ефект фінансового важеля й інші, а також методику їхнього аналізу.
Тому фінансовий аналіз є істотним елементом фінансового менеджменту й аудита. Практично всі користувачі фінансових звітів підприємств використають методи фінансового аналізу для прийняття рішень з оптимізації своїх інтересів.
Найбільш повне визначення поняття фінансового аналізу наведено в Фінансово-кредитному енциклопедичному словнику: "Фінансовий аналіз - сукупність методів визначення майнового й фінансового становища господарюючого суб'єкта в минулому періоді, а також його можливостей на найближчу й довгострокову перспективу" [29, с. 77]. Метою фінансового аналізу є визначення найбільш ефективних шляхів досягнення прибутковості компанії, основним завданням - аналіз прибутковості й оцінка ризиків підприємства.
Аналіз фінансових показників і коефіцієнтів дозволяє менеджерові розуміти конкурентну позицію компанії на сучасний момент часу. Звіти й рахунки компаній містять у собі безліч цифр, уміння читати цю інформацію дозволяє аналітикам знати, наскільки ефективно й результативно працює їхня компанія й компанії – конкуренти [34, с. 421].
Рисунок 1.1 – Структура фінансових показників компанії
Коефіцієнти дозволяють побачити взаємозв'язок між прибутком від продажів і витратами, між основними активами й пасивами. Існує безліч типів коефіцієнтів. Звичайно їх використовують для аналізу п'яти основних аспектів діяльності компанії: ліквідності, співвідношення власних і позикових засобів, оборотності активів, прибутковості й ринкової цінності.
Аналіз фінансових коефіцієнтів і показників - це прекрасний інструмент, що забезпечує подання про фінансовий стан компанії, конкурентних переваг та перспективах її розвитку [23, с. 307].
Аналізуючи фінансовій стан підприємств, не обминаємо наступні коефіцієнти та показники:
1. Аналіз продуктивності. Коефіцієнти дозволяють проаналізувати зміну продуктивності компанії за показниками чистого прибутку, використання капіталу й контроль рівня витрат. Фінансові коефіцієнти дозволяють аналізувати фінансову ліквідність і стабільність підприємства за рахунок ефективного використання системи активів і пасивів.
2. Оцінка ринку й бізнес-тенденції. Аналізуючи динаміку фінансових показників і коефіцієнтів за період у кілька років, можливо, вивчити результативність тенденцій у контексті існуючої бізнес-стратегії.
3. Аналіз альтернативних бізнес-стратегій. Змінюючи показники коефіцієнтів у бізнес-плані, можна проаналізувати альтернативні варіанти розвитку компанії.
4. Спостереження за прогресом компанії. Вибравши оптимальну бізнес - стратегію, менеджери компанії, продовжуючи вивчати й аналізувати основні поточні коефіцієнти, можуть бачити відхилення від планових показників реалізованої стратегії розвитку [23, с. 307-308].
Аналіз коефіцієнтів - це мистецтво взаємозв'язку двох і більше показників фінансової діяльності компанії. Більш повну картину результатів діяльності аналітики можуть побачити в динаміці за кілька років і додатково порівнюючи показники діяльності компанії із середніми галузевими показниками.
Варто відзначити, що система фінансових показників - це не кришталева куля, у якому можна побачити все, що було й що буде. Це просто зручний спосіб узагальнити велику кількість фінансових даних та порівняти результати діяльності різних компаній. Самі по собі фінансові коефіцієнти допомагають менеджменту компанії сфокусувати увага на слабких і сильних сторонах діяльності компанії, правильно сформулювати питання, на які ці коефіцієнти рідко можуть відповісти. Важливо розуміти, що фінансовий аналіз не закінчується розрахунком фінансових показників і коефіцієнтів - він тільки починається, коли аналітик провів їхній повний розрахунок.
Реальна корисність коефіцієнтів, що розраховуються, визначається поставленими завданнями. Насамперед, коефіцієнти дають можливість побачити зміни у фінансовому становищі або результати виробничої діяльності, допомагають визначити тенденції й структуру планованих змін, що допомагає керівництву побачити загрози й можливості властиві саме даному підприємству.
Фінансові звіти компанії є джерелом інформації про компанії не тільки для аналітиків, але й для менеджменту компанії й широкого кола зацікавлених осіб. Користувачам інформації про фінансові коефіцієнти для ефективного коефіцієнтного аналізу важливо знати основні характеристики головних фінансових звітів і концепції аналізу показників. Однак при проведенні фінансового аналізу важливо розуміти, що головне - це не розрахунок показників, а вміння трактувати отримані результати.
Аналізуючи фінансові показники, завжди варто мати на увазі те, що оцінка результатів діяльності виробляється на підставі даних минулих періодів, і на цій основі може виявитися некоректною екстраполяція майбутнього розвитку копанні. Фінансовий аналіз повинен бути спрямований на майбутнє.
Концепції, що лежать в основі аналізу фінансових показників.
Фінансовий аналіз використається при побудові бюджетів, для виявлення причин відхилень фактичних показників від планових та корекції планів, а також при розрахунку окремих проектів. Як основні інструменти застосовуються горизонтальний (динаміка показників) і вертикальний (структурний аналіз статей) аналіз звітних документів управлінського обліку, а також розрахунок коефіцієнтів. Такий аналіз проводиться по всіх основних бюджетах: балансу, бюджетам продажів, закупівель, товарних запасів.
Основними особливостями фінансового аналізу є наступне [14, с. 167-168]:
1. Переважна більшість фінансових показників носить характер відносних величин, що дозволяє порівнювати підприємства різного масштабу діяльності.
2. При проведенні фінансового аналізу важливо застосовувати фактор порівняння:
¾ порівнювати показники діяльності компанії в тенденції за різні періоди часу;
¾ порівнювати показники даної компанії із середньостатистичними показниками з аналогічними підприємствами усередині даної галузі.
3. Для проведення фінансового аналізу важливо мати повний фінансовий опис компанії за обрані періоди часу (звичайно за кілька років). Якщо в розпорядженні аналітика є дані тільки за один період, то повинні бути дані балансу підприємства на початок і кінець періоду й звіт про прибуток за розглянутий період. Важливо пам'ятати, що кількість балансів для аналізу повинне бути на одиницю більше, ніж кількість звітів про прибуток [14, с. 169].
Балансовий звіт і звіт про результати господарської діяльності є основними джерелами інформації для розрахунку фінансових показників, використовуваними компаніями. Деякі аналітики називають балансовий звіт "фотографією фінансового здоров'я компанії" на конкретний момент часу [26, с. 88].
Балансовий звіт - це звіт, що показує майно, яким володіє компанія (активи) і джерела його утворення (власний капітал і позиковий капітал) на певну дату.
Показники, звичайно розглянуті аналітиками, містять у собі звіт про результати господарської діяльності, балансовий звіт, показники змін у фінансовому становищі й показники змін у власному капіталі.
Звіт про результати господарської діяльності компанії, також розглянутий як звіт про прибутки й збитки або звіт про доходи, узагальнює результати опціонної діяльності компанії за певний, звітний період часу. Чистий доход розраховується методом періодичної бухгалтерської звітності, застосовуваний при обчисленні прибутків і витрат. Звичайно він уважається найважливішим фінансовим показником. Звіт показує, скоротилися або зросли відсотки доходів по акціях компанії за звітний період після призначення дивідендів або після висновку інших угод із власниками. Звіт про результати господарської діяльності допомагає власникам оцінити суму, тимчасові параметри й невизначеність майбутніх потоків готівки.
Система фінансових показників і коефіцієнтів. Загальна кількість фінансових коефіцієнтів, які можуть бути застосовані для аналізу діяльності компанії, порядку двохсот. Звичайно використається лише невелике число основних коефіцієнтів і показників й, відповідно, основні висновки, які на їхній основі можна зробити. З метою більш впорядкованого розгляду й аналізу, фінансові показники прийнято підрозділяти на групи, які найчастіше відбивають інтереси певних зацікавлених осіб (стейкхолдерів). До основних груп стейкхолдерів відносяться власники, керівництво підприємства, кредитори. Важливо розуміти, що цей розподіл умовний, показники для кожної групи можуть використатися різними зацікавленими сторонами [15, с. 368].
Як варіант, можливі впорядкування й аналіз фінансових показників за групами, що характеризує основні властивості діяльності компанії: ліквідність і платоспроможність, ефективність менеджменту компанії, прибутковість (рентабельність) діяльності.
Групи фінансових показників.
Показники операційних витрат. Аналіз операційних витрат дозволяє розглянути відносну динаміку часток різних видів витрат у структурі сукупних витрат підприємства і є доповненням операційного аналізу. Ці показники дозволяють з'ясувати причину зміни показників прибутковості компанії.
Показники ефективного керування активами. Ці показники дозволяють визначити, наскільки ефективно менеджмент компанії управляє активами, довіреними йому власниками компанії. За балансом можна судити про характер використовуваних компанією активів. При цьому важливо пам'ятати, що дані показники досить приблизні, тому що в балансах більшості компаній самі різні активи, придбані в різний час, вказуються за первісною вартістю. Отже, балансова вартість таких активів часто не має нічого спільного з їхньою ринковою вартістю. Це умова ще збільшується в умовах інфляції й при підвищенні вартості таких активів.
Ще одне перекручування поточного положення може бути пов'язано з диверсифікованістю видів діяльності компанії, коли конкретні види діяльності вимагають залучення певного обсягу активів для отримання обсягу прибутку. Тому при аналізі бажано прагнути до поділу фінансових показників за певними видами діяльності компанії або за видами продукції.
Показники ліквідності. Ці показники дозволяють оцінити ступінь платоспроможності компанії за короткостроковими боргами. Суть цих показників складається в порівнянні величини поточних заборгованостей компанії та її оборотних коштів, які дозволять забезпечити погашення цих заборгованостей.
Показники прибутковості (рентабельності). Дозволяють оцінити ефективність використання менеджментом компанії його активів. Ефективність роботи визначається співвідношенням чистого прибутку, обумовленої різними способами, із сумою активів, використовуваних для одержання цього прибутку. Дана група показників формується залежно від акценту дослідження ефективності. Додержуючись мети аналізу, формуються компоненти показника: величина прибутку (чистий, операційний, прибуток до виплати податку) і величина активу або капіталу, які утворять цей прибуток.
Показники структури капіталу. За допомогою цих показників можливо проаналізувати ступінь ризику банкрутства компанії у зв'язку з використання позикових фінансових ресурсів. При збільшенні частки позикового капіталу збільшується ризик банкрутства, тому що зростає обсяг зобов'язань компанії. Керівництво й власники оцінюють компанію як безперервно діючий господарюючий об'єкт, але в кредиторів двоякий підхід. З одного боку, кредитори зацікавлені у фінансуванні діяльності успішно працюючої компанії, розвиток якої буде відповідати очікуванням; з іншого боку, кредитори оцінюють, наскільки вагомою буде вимога про відшкодування боргу, якщо компанія буде зазнавати значних труднощів при поверненні довгострокової позики.
Окрему групу утворюють фінансові показники, що характеризують можливість компанії з обслуговування боргу за рахунок засобів, одержуваних від поточних операцій.
Позитивний або негативний вплив фінансового важеля зростає пропорційно сумі позикового капіталу, використовуваного компанією. Ризик кредитора зростає разом з ростом ризику власників.
Показники обслуговування боргу. Фінансовий аналіз ґрунтується на даних балансу, що відбиває фінансового стану, на певний момент часу. Який би коефіцієнт, що характеризує структуру капіталу, не розглядався, аналіз частки позикового капіталу, по суті, залишається статистичним і не бере до уваги динаміку операційної діяльності компанії й зміни її економічної вартості. Тому показники обслуговування боргу не дають повного уявлення про платоспроможність компанії, а лише показують можливість компанії оплачувати відсотки й суму основного боргу в обговорений термін.
Ринкові показники. Ці показники одні з найцікавіших для власників компаній. В акціонерній компанії власника - власника акцій - цікавить прибутковість компанії. Мається на увазі прибуток, отриманий завдяки зусиллям менеджменту компанії на засоби, інвестовані власниками. Власників цікавить розподіл належного їм прибутку: яка її частка знову інвестується в компанію, а яка частина виплачується їм як дивіденди.
Головна аналітична мета проведення аналізу фінансових коефіцієнтів і показників полягає в придбанні навичок прийняття управлінських рішень і розуміння результативності її роботи.
1.2 Теоретична база й проблеми аналізу фінансових показників промислового підприємства в сучасних умовах господарювання
Проблемам сутності фінансового стану підприємства, прийомам, моделям і методам його аналізу й оцінки присвячено багато робіт закордонних і вітчизняних учених. Ці проблеми знайшли своє багатогранне відбиття в роботах Шеремета А.Д. і Сайфуліна Р.Д. [41], [42], Ковальова В.В.[15], Поддерегіна О.Н. [23], Савицького Г.В. [26], [27], Філімоненкова О.С. [36], Буряки Л.Д., Куліша О.П.[38], інших учених й економістів-практиків. Ці автори визначили сутність фінансового стану підприємства, сформували групи первинних оціночних показників фінансового стану підприємства, розробили підходи до формування комплексної його оцінки.
"Фінансовий стан - це рівень збалансованості окремих структурних елементів активів і капіталу підприємства, а також рівень ефективності їхнього використання" - так визначає сутність фінансового з підприємства Павловска Е.В., Притуляк Н. Н. і Невмержицька Н.Ю. [21, с. 225]. У цьому ж першоджерелі дається й трохи інше визначення сутності фінансового стану підприємства: "...Фінансовий стан підприємства - це комплексне поняття, є результатом взаємодії всіх елементів системи фінансових відносин, визначається сукупністю виробничо-господарських факторів і характеризується системою показників, що відбивають наявність, розміщення й використання фінансових ресурсів підприємства" [21, с. 28]. Зовсім ідентичне визначення сутності фінансового стану підприємства дається в колективній монографії "Фінанси підприємств" під керівництвом професора Поддерегіна О.Н. [23, с. 329].
Автор навчального посібника "Фінанси підприємств" Філімоненков А.С. дає наступне визначення сутності цієї фінансово-економічної категорії: "Фінансовий стан підприємства - це рівень забезпечення підприємства відповідним обсягом фінансових ресурсів, необхідних для здійснення ефективної господарської діяльності й своєчасних розрахунків за своїми обов'язками" [36, с. 392]. Тут сутність даної категорії в більшій мері конкретизована, представлений кількісно як певний рівень забезпечення фінансовими ресурсами.
Метою оцінки фінансового стану підприємства є пошук резервів підвищення рентабельності виробництва й зміцнення комерційного розрахунку як основи стабільної роботи підприємства й виконання їм зобов'язань перед бюджетом, позабюджетними державними цільовими фондами, банками й іншими контрагентами.
Основними завданнями аналізу й оцінки фінансового стану підприємства є:
¾ дослідження рентабельності й фінансової стійкості підприємства;
¾ дослідження ефективності використання майна (капіталу) підприємства, забезпечення підприємства власними оборотними коштами;
¾ об'єктивна оцінка динаміки й стану ліквідності, платоспроможності;
¾ оцінка положення суб'єкта господарювання на фінансовому ринку;
¾ аналіз ділової активності підприємства, його положення на ринку цінних паперів;
¾ визначення ефективності залучення й використання фінансових ресурсів [23, с. 329-330].
Аналіз фінансового стану підприємства є необхідним етапом для розробки планів і прогнозів фінансового оздоровлення підприємства.
Кредитори й інвестори аналізують фінансовий стан підприємства, щоб мінімізувати свої ризики по позиках і внескам, а також для необхідності диференціювання процентних ставок.
Всі інші контрагенти підприємства бажають мати своїм партнером фінансово - успішне підприємство (постачальники сировини, матеріалів і т.д., страховики й ін.).
Фінансово-стійким бажає бачити підприємство й держава, щоб мати можливість стягувати стабільно податки й обов'язкові платежі.
Залежно від широти кола розв'язуваних проблем, характеру використовуваної інформації й часу проведення, кількості використовуваних для аналізу показників аналіз фінансового стану підприємства може бути деталізованим, комплексним, експрес-аналізом [21, с.338].
Деталізований аналіз фінансового стану підприємства здійснюється працівниками підприємства з метою виявлення внутрівиробничих резервів росту виторгу, прибутку, підвищення рентабельності й платоспроможності підприємства. Він проводиться, як правило, наприкінці календарного року перед розробкою бізнес-плану підприємства на наступний плановий рік. Він дозволяє оцінити кількісно всі виявлені внутрішні резерви підвищення ефективності діяльності підприємства й урахувати їх на перспективу (у бізнес-плані на наступний плановий період). Деталізований аналіз фінансового стану підприємства проводиться протягом однієї двох тижнів.
Комплексний аналіз фінансового стану підприємства використається власниками підприємства для обґрунтування рішень стратегічного характеру, для інформаційного забезпечення потреб оперативного фінансового планування, розробки інвестиційних проектів з метою залучення інвесторів. Такий аналіз є складовою частиною інструментарію антикризового керування підприємством і методологічною базою порушення справи про банкрутство. Методологічна база проведення комплексного аналізу фінансового стану підприємства повинна давати можливість у відносно обмежений термін оцінити фінансовий стан суб'єкта господарювання. Комплексний аналіз фінансового стану підприємства повинен протягом двох-трьох тижнів оцінити фінансовий стан підприємства, ідентифікувати проблемні питання, розробити обґрунтовані напрямки зміцнення фінансового стану підприємства в цілому.
Експрес-аналіз фінансового стану підприємства дозволяє в дуже стислий термін (один два дні) на підставі даних фінансової звітності виявити й ідентифікувати проблемні напрямки фінансово-господарської діяльності підприємства. Залежно від виду проведеного аналізу фінансового стану буде мінятися перелік і кількість первинних оціночних показників.
Стійкий фінансовий стан підприємства формується в процесі всієї його виробничо-господарської діяльності. Тому оцінку фінансового становища можна об'єктивно здійснити за допомогою комплексу, системи показників, які детально й всебічно характеризують господарський стан підприємства.
Показники оцінки фінансового становища господарюючого суб'єкта повинні бути такими, щоб всі ті, хто пов'язаний з підприємством економічними відносинами, могли одержати відповідь на питання, наскільки надійне підприємство як партнер у фінансовому відношенні, а також прийняти рішення про економічну доцільність установлення таких відносин з підприємством. У кожного з партнерів підприємства - акціонерів, банків, податкових адміністрацій - свій критерій економічної доцільності. Тому й показники оцінки фінансового стану повинні бути такими, щоб кожен партнер міг зробити вибір, виходячи із власних інтересів. У гарному фінансовому становищі зацікавлений, насамперед , сам суб'єкт господарювання. Однак гарний фінансовий стан якого-небудь підприємства формується в процесі його взаємин з постачальниками, покупцями, акціонерами, банками й іншими юридичними й фізичними особами. З іншого боку, безпосередньо від підприємства залежить міра його економічної привабливості для всіх цих осіб, які постійно мають можливість вибору між різними підприємствами, здатними задовольнити цей економічний інтерес. Тому необхідно систематично, детально й у динаміку аналізувати фінанси підприємств, оскільки від поліпшення фінансового стану господарюючого суб'єкта залежить його економічна перспектива.
У підручнику "Фінанси підприємств" за редакцією професора А. Н. Поддерегіна наведена одна із численних класифікацій основних показників оцінки фінансового стану підприємства на групи [23, с.367]. Тут у сукупності аналізується більше ста різних показників фінансового стану підприємства.
Позитивними сторонами такої інтерпретації первинних оціночних показників фінансового стану підприємства є їх найбільш повний, у порівнянні з методичними підходами інших авторів, перелік, а також наявність чітких моделей (схем) їхнього розрахунку.
Негативними моментами цього підходу до аналізу й оцінки фінансового стану підприємства є більша трудомісткість виконуваних розрахунків, віднесення тих самих первинних показників до різних груп оціночних показників.
Л. Кулиш й ін. пропонують проводити аналіз фінансового стану підприємства по 42 показникам [38, с.104].
О. Кононенко звузила цей перелік первинних оціночних показників до 29 [18,с.109].
Позитивними сторонами цих методичних підходів оцінки фінансового стану підприємства є чіткими й обмежений основними показниками перелік первинних оціночних показників, наявність чітких схем їхнього розрахунку, невелика трудомісткість роботи через меншу кількість первинних оціночних показників.
Негативною стороною всіх цих методичних підходів оцінки фінансового стану підприємства є менша значеннєва наповненість кінцевого результату аналізу фінансового стану підприємства (через зниження переліку аналізованих показників і часто зустрічаємої малої заповнюваності форм річної фінансової звітності підприємств).
Негативним моментом всіх існуючих методичних підходів до оцінки фінансового стану підприємства є різночитання (тобто різні формули розрахунку) однакових показників, а також логічна незакінченість всіх методик оцінки фінансового стану підприємства, тобто неможливість формування однозначного висновку про напрямок динамічного розвитку фінансового стану аналізованого підприємства.
При комплексній оцінці фінансового стану підприємства доцільно проведений попередній аналіз первинних оціночних показників доповнити оцінкою ймовірності банкрутства аналізованого підприємства.
У закордонних країнах при оцінці ймовірності банкрутства підприємства користуються наступними моделями й показниками: факторні моделі відомих західних учених: Альтмана, Лисиця, Таф-флера, Спрингейта, коефіцієнт Бивера, дискримінантна факторна модель діагностики ризику банкрутства сільськогосподарських підприємств.
1. Модель Альтмана (п’ятифакторна модель) [26, с.620]. Вона має такий вигляд:
Z = 0,717 Х1 + 0,847 Х2 + 3,107 Х3 + 0,42 Х4 + 0,995 Х5 (1.1)
де: Х1, Х2, ..., Х5 - це певні відносні показники, а коефіцієнти при них отримані емпіричним шляхом.
Х1 - відношення власного оборотного капіталу до суми активів;
Х2 - відношення нерозподіленого прибутку до суми активів;
Х3 - відношення прибутку до оподатковування до суми активів;
Х4 - відношення вартості власного капіталу до вартості позикового капіталу;
Х5 - відношення виторгу від реалізації продукції до суми активів.
Критичне значення Z-рахунку дорівнює 1,23. Якщо Z - рахунок менше 1.23, то ймовірність банкрутства підприємства велика. Якщо Z - рахунок більше 1,23, то ймовірність банкрутства мала.
Модель Альтмана зазнавала критики західних і вітчизняних економістів. Відзначалися такі її недоліки як обмеженість масштабів застосування, використання в якості незалежних змінних величин показників, важко ідентифікуємих у вітчизняній ринковій економіці (наприклад, ринкова капіталізація підприємства - модель Альтмана). Однак, незважаючи на всі висловлені недоліки, модель Альтмана все-таки продовжує широко використовуватися в практиці діагностики оцінки ризику банкрутства.
2. Модель Лиса (чотирьохфакторна модель) [26, с.621]. Вона має такий вигляд:
Z = 0,063 Х1 + 0,092 Х2 +0,057 Х3 + 0,001 Х4 (1.2)
де: Х1 - відношення оборотного капіталу до суми активів;
Х2 - відношення прибутку від реалізації продукції до суми активів;
Х3 - відношення нерозподіленого прибутку до суми активів;
Х4 - відношення вартості власного капіталу до вартості позикового капіталу;
Критичне значення Z - рахунки дорівнює 0,037.
3. Модель Таффлера [27, с.621], [21, с. 361]. Вона має такий вигляд:
Z = 0,53 Х1 + 0,13 Х2 + 0,18 Х3 + 0,18 Х4 (1.3)
де: Х1 - відношення прибутку від реалізації продукції до короткострокових зобов'язань;
Х2 - відношення оборотних активів до суми зобов'язань;
Х3 - відношення короткострокових зобов'язань до суми активів;
Х4 - відношення виторгу від реалізації продукції до суми активів.
Критичне значення - рахунку дорівнює 0,3.
4. Модель Спрингейта [21, с.360]. Вона має такий вигляд:
Z =1,03 х Х1 + 3,07 х Х2 + 0,66 х Х3 +0,4 х Х4 (1.4)
де: Х1 - відношення робочого капіталу до суми активів;
Х2 - відношення прибутку до сплати податків до суми активів;
Х3 - відношення прибутку до сплати податків до короткострокової заборгованості;
Х4 - відношення обсягу продажів (виторгу) до суми активів.
Критичне значення Z - рахунку дорівнює 0,862.
5. Коефіцієнт Бівера [21, с.361]. Використається для аналізу структури балансу підприємства.
Розрахунок коефіцієнта Бівера ведеться по наступній формулі:
Кб = (Чистий прибуток + Амортизація) : Зобов'язання (1.5)
Значення коефіцієнта, що рекомендує, Бівер за міжнародними стандартами перебуває в інтервалі 0,17 - 0,4. Однак, якщо значення цього показника протягом тривалого періоду часу (1,5 - 2 роки) не перевищує 0,2, те це свідчить про формування незадовільної структури балансу підприємства.
Коефіцієнт Бівера - показник дискусійний, насамперед через неоднозначність трактування складу показника. Однак практики вважають, що точність моделі Бівера перевищує точність моделі Альтмана [38, с.361].
Основним обмеженням всіх перерахованих моделей прогнозування ризику банкрутства є, насамперед, відсутність обліку специфіки й реалій економічного життя окремих країн і факторів, що враховують вплив галузевої приналежності конкретних аналізованих підприємств [38, с.361].
6. Модель діагностики ризику банкрутства сільськогосподарських підприємств [27, с.623]. Вона має такий вигляд:
Z = 0,111 х Х1 + 13,239 Х2 + 1,676 Х3 + 0,515 Х4 + 3,80 Х5 (1.6)
де: Х1 - частка власного оборотного капіталу у формуванні оборотних активів;
Х2 - доводиться оборотного капіталу на рубль основного;
Х3 - коефіцієнт оборотності сукупного капіталу;
Х4 - рентабельність активів підприємства;
Х5 - коефіцієнт фінансової незалежності (частка власного капіталу у валюті балансу).
Константа порівняння дорівнює 8. Якщо величина Z-рахунку більше 8, то ризик банкрутства малий або відсутній. При значенні Z-рахунку менше 8 ризик банкрутства присутнє: від 8 до 5 - невеликої; від 5 до 3 - середній; нижче 3 - великий; нижче 1 - наступає повна (стовідсоткова) неспроможність.
Тестування даної моделі по досліджуваній вибірці суб'єктів господарювання показало, що вона дозволяє досить швидко провести експрес-аналіз фінансового стану сільськогосподарських підприємств і досить точно оцінити ступінь імовірності їхнього банкрутства.
Такі показники й моделі в основному використовуються для всебічної оцінки фінансового стану підприємства. Однак це не означає, що систематичний аналіз фінансового стану повинен здійснюватися по всіх цих показниках. Вибір показників залежить від мети й завдання аналізу в кожному конкретному випадку.
Із усього вищевикладеного доцільно сформувати наступні напрямки вдосконалювання методики оцінки фінансового стану підприємства:
¾ перелік первинних показників оцінки фінансового стану підприємства повинен бути оптимальним (невелика кількість найважливіших показників);
¾ однойменні показники повинні розраховуватися за однаковими схемами (формулами) розрахунку;
¾ оцінка фінансового стану підприємства повинна доповнюватися оцінкою ризику його банкрутства;
¾ результати оцінки фінансового стану підприємства повинні бути однозначно трактованими [38, с.451].
1.3 Особливості аналізу фінансових показників на промисловому підприємстві й напрямку його вдосконалення
На сьогоднішній день в економічній літературі існує безліч методик поглибленого аналізу та експрес-аналізу фінансового стану підприємства, в основі яких покладено співставлення абсолютних та відносних показників. Тому в практичній діяльності перед фінансовими аналітиками промислових підприємств постає складна задача вибору методики проведення оцінки фінансового стану підприємства, яка б об’єктивно відображала його господарську діяльність.
Вирішенням вказаної проблеми може стати розробка єдиної методологічної основи інтегральної оцінки фінансового стану підприємства, яка б дозволила всебічно оцінити фінансово-господарську діяльність підприємства, визначити недоліки в його роботі та відшукати шляхи поліпшення фінансового стану підприємства. Інтегральна оцінка є ефективним механізмом аналізу фінансово-господарської діяльності підприємств [4, с.196]. Це зумовлює важливість визначення інтегральної оцінки фінансового стану підприємства і актуальність питань, пов'язаних з розробкою нових і поліпшенням існуючих методик її проведення.
Фінансовий стан підприємства, характеризується множиною певних фінансових показників, тому для співставлення та упорядкування окремих підприємств виникає необхідність агрегування усіх ознак множини до одного кількісного показника, яким є інтегральна оцінка. Одним із різновидів інтегральної оцінки є рейтингова оцінка, яка по суті є порівняльним аналізом одиниць досліджуваної сукупності.
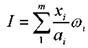
Оскільки показники, що характеризують фінансовий стан мають різний вплив, тобто вони різновагові, то для побудови рейтингу необхідно використовувати формулу середньоарифметичної зваженої, яка передбачає надання кожному показнику певного рівня значимості [4, с.207]:
(1.7)
Де m – кількість фінансових показників рейтингової оцінки;
si – стандартизоване значення фінансового показника;
wi - вага (значимості) фінансового коефіцієнта.
Фінансовий стан підприємства насамперед характеризується показниками фінансової стійкості, ліквідності і платоспроможності, та ефективності використання капіталу, тому інтегральна оцінка представляє собою сумарне значення стандартизованих показників, що характеризують ці складові.
Стандартизація вибраних показників здійснюється шляхом ділення фактичних показників на стандартне значення, тобто [4,с.209]:
(1.8)
де xi – фактичне значення фінансового показника;
ai – стандартне значення фінансового показника.
Таким чином, виходячи із визначеного механізму стандартизації (1.8), формула (1.7) буде мати наступний вигляд :
(1.9)
На основі отриманого інтегрального показника робиться висновок про рейтинг підприємства за шкалою, наведеною в табл. 1.
Слід зазначити, що даний підхід в основному розглядається російськими вченими та фінансовими аналітиками [15, с.31–35], тому даний підхід потребує певної адаптації для українських підприємств.
Таблиця 1
Інвестиційний рейтинг підприємства
| Рейтинг
|
Зона діяльності
|
Значення І
|
Фінансовий стан
|
| А ++
А +
А
|
Зона інвестицій
|
Більше 100
від 91 до 100 від 81 до 90
|
Дуже добрий стан
Стабільний стан
Безпечний стан
|
| Б +
Б
|
Зона спекуляцій
|
від 71 до 80
від 61 до 70
|
Невпевнений стан
Нестабільний стан
|
| В +
В
|
Зона благодійності
|
від 51 до 60 нижче 50
|
Потенційне банкрутство
Банкрутство
|
Експертним методом були визначені стандартні значення фінансових показників та їх вагові коефіцієнти, які відображені в табл. 2.
Таблиця 2
Стандартні значення фінансових показників та їх вагові коефіцієнти
| Показник
|
Wi
|
Ai
|
| Показники ефективності використання капіталу
|
| Рентабельність вкладень
|
8
|
0,2
|
| Ефективність використання власного капіталу
|
6
|
0,2
|
| Загальна рентабельність продукції
|
9
|
0,4
|
| Коефіцієнт оборотності оборотних коштів.
|
10
|
0,8
|
| Коефіцієнт оборотності матеріальних активів
|
4
|
6
|
| Коефіцієнт оборотності власного капіталу
|
4
|
6
|
| Коефіцієнт оборотності кредиторської заборгованості
|
6,5
|
3,5
|
| Коефіцієнт оборотності дебіторської заборгованості
|
6,5
|
3,5
|
| Показники платоспроможності та ліквідності
|
| Коефіцієнт абсолютної ліквідності
|
6
|
0,3
|
| Загальний коефіцієнт ліквідності
|
6
|
2
|
| Коефіцієнт покриття
|
9
|
1
|
| Показники фінансової стійкості
|
| Коефіцієнт забезпеченості запасів власними оборотними коштами
|
7
|
0,5
|
| Коефіцієнт незалежності
|
7
|
0,5
|
| Коефіцієнт співвідношення власних і позикових коштів.
|
7
|
1
|
| Коефіцієнт довгострокового залучення позикових коштів
|
7
|
0,1
|
Вирішення першої проблеми передбачає державне втручання для законодавчого вдосконалення національних стандартів бухгалтерського обліку.
Для надання інтегральній оцінці більш динамічного характеру необхідна побудова моделі, яка дозволить визначити інтегральну оцінку фінансового стану підприємства в майбутньому.
Уникнути суб’єктивізму можливо за рахунок формалізації думок експертів. В даному дослідженні більш детально зупинимося на формалізації думок експертів.
В якості вхідних даних пропонується розглядати показники (фактори), що характеризують фінансовий стан промислового підприємства (для зручності при переліку одночасно введемо ряд умовних позначень): Z1 – рентабельність вкладень по чистому прибутку; Z2 – прибутковість поточних активів; Z3 – рентабельність перманентного капіталу; Z4 – рентабельність вкладень; Z5 – рентабельність власного капіталу; Z6 – рентабельність продукції; Z7 – рентабельність реалізації; Z8 – рентабельність продажу за чистим прибутком; Z9 – оборотність оборотних коштів; Z10 – оборотність матеріальних коштів; Z11 – оборотність власного капіталу; Z12 – оборотність кредиторської заборгованості; Z13 – оборотність дебіторської заборгованості; Y14 – абсолютна ліквідність; Y15 – загальна ліквідність; Y16 – покриття зобов’язань дебіторською заборгованістю; Y17 – поточна ліквідність; Х18 – забезпеченість власними оборотними коштами; Х19 – співвідношення власних і залучених коштів; Х20 – фінансова незалежність; Х21 – довгострокове залучення позикових коштів; Х22 – маневреність власних коштів; Х23 – концентрацію залученого капіталу.
За допомогою кореляційного аналізу були визначені показники, які створюють мультиколінеарність та несуттєво впливають на інтегральний показник. Після елімінування вищезазначених показників, система факторів, які впливають на інтегральну оцінку фінансового стану промислового підприємства набула вигляду: Z2 – прибутковість поточних активів; Z5 – рентабельність власного капіталу; Z6 – рентабельність продукції; Z8 – рентабельність продажу по чистому прибутку; Z9 – оборотність оборотних коштів; Z12 – оборотність кредиторської заборгованості; Y14 – абсолютна ліквідність; Y16 – покриття зобов’язань дебіторською заборгованістю, коефіцієнт покриття; Х18 – забезпеченість власними оборотними коштами; Х20– фінансова незалежність.
Наступним кроком формалізації інтегральної оцінки фінансового стану підприємства є визначення стандартних значень фінансових показників.
За стандартні значення були прийняти нормативні значення фінансових показників або розрахункові, які визначалися на основі статистичних даних промислових підприємств України.
Визначати вагу кожного показника пропонується на основі інтервальної оцінки, виходячи з фактичного рівня вибіркового коефіцієнту кореляції. Оскільки загальна сума значимості всіх показників не може бути більшою за 100, то і вага кожного показника буде змінюватися в інтервалі від 0 до 10 [38, с.551].
Результати визначення ваги кожного із показників наведено в таблиці 3.
Таблиця 3 - Визначення ваги фінансових показників на основі інтервальної оцінки
| Показник кореляції
|
Значення ваги в інтегральній оцінці
|
| 0,05 – 0,14
|
1
|
| 0,15 – 0,25
|
2
|
| 0,26 – 0,35
|
3
|
| 0,36 – 0,45
|
4
|
| 0,46 – 0,56
|
5
|
| 0,57 – 0,66
|
6
|
| 0,67 – 0,79
|
7
|
| 0,77 – 0,86
|
8
|
| 0,87 – 0,97
|
9
|
| 0,98 и вище
|
10
|
Таким чином, після формалізації, практично всіх етапів побудови інтегральної оцінки, система показників, що покладені в її основу та їх вага буде мати наступний вигляд (табл. 4).
Таким чином, із раніше розглянутої методики рейтингової оцінки, залишився тільки спосіб стандартизації показників.
В цілому отримана модель має більшу достовірність оскільки всі етапи, які носили суб’єктивний характер, пройшли процес математичної обробки, а математичні моделі носять більш точний і достовірний характер.
Таблиця 4 - Стандартні значення фінансових показників та їх вагові коефіцієнти після формалізації процесу формування інтегральної оцінки
| Показник
|
Wi
|
Ai
|
| Показники ефективності використання капіталу, Z
|
| Прибутковість поточних активів
|
6
|
0,1
|
| Ефективність використання власного капіталу
|
2
|
0,06
|
| Загальна рентабельність продукції
|
10
|
0,1
|
| Рентабельність продажу за чистим прибутком
|
4
|
0,05
|
| Коефіцієнт оборотності оборотних коштів.
|
3
|
2,4
|
| Коефіцієнт оборотності кредиторської заборгованості
|
3
|
5
|
| Показники платоспроможності та ліквідності, Y
|
| Коефіцієнт абсолютної ліквідності
|
2
|
0,2
|
| Коефіцієнт покриття
|
2
|
0,7
|
| Показники фінансової стійкості, X
|
| Коефіцієнт забезпеченості запасів власними оборотними коштами
|
2
|
0,1
|
| Коефіцієнт фінансової незалежності
|
2
|
0,5
|
Взагалі, тепер перед нами постає проблема доцільності побудови самих рейтингів, тобто присвоювання кількості балів інтегральної оцінки певного буквеного значення (А, Б, В). На нашу думку, більш доцільним є розширення типів фінансового стану підприємства на основі аналізу основних складових інтегральної оцінки, а саме: ефективності використання капіталу (Z), фінансової стійкості (X), ліквідності та платоспроможності (Y).
В результаті аналізу даних промислових підприємств Запорізької області було виділено 12 типів фінансового стану промислового підприємства, параметри визначення та коротка характеристика яких наведена в табл. 5.
Для укрупненого визначення типу фінансового стану підприємств пропонується застосовувати значення інтегрального показника фінансового стану. Градація вказаних типів фінансового стану промислових підприємств в залежності від значення інтегрального показника наведена в табл. 6.
Таблиця 5 - Класифікація типів фінансового стану промислового підприємства
| Значення Z
|
Значення Y
|
Значення X
|
Тип фінансового стану
|
Пояснення до типу
|
| 1
|
2
|
3
|
4
|
5
|
| Z<0
|
Y< 2
|
X<0
|
1 тип фінансового стану
|
Даний фінансовий стан який можна охарактеризувати, як близький до банкрутства. Даний тип характеризується збитковою діяльністю, низькою оборотністю активів та недоліком власних коштів для фінансування поточної діяльності підприємства
|
| Z<0
|
2< Y< 4
|
X<0
|
2 тип фінансового стану
|
Стабільність цього типу залежить від зовнішніх джерел фінансування. Даному типу характерний низький рівень ефективності використання капіталу, ліквідності і платоспроможності
|
| Z<0
|
Y< 4
|
0<X <4
|
3 тип фінансового стану
|
Даному типу характерний низький рівень ліквідності та фінансової стійкості, зумовлений неефективним використанням капіталу промислового підприємства
|
| Z<0
|
Y> 4
|
X>4
|
4 тип фінансового стану
|
Підприємство, рівень ліквідності якого знаходиться на нормативному рівні, але неефективне використання капіталу призводить до втрати фінансової незалежності
|
| 0<Z <75
|
2< Y< 4
|
X<0
|
5 тип фінансового стану
|
Підприємства, які ефективно використовують каптал, але диспропорція в структурі майна та/або капіталу призводить до втрати фінансової незалежності.
|
| 0<Z <75
|
Y< 4
|
0<X <4
|
6 тип фінансового стану
|
Прибуткові підприємства, які залежать від зовнішніх джерел фінансування з низьким рівнем ліквідності та платоспроможності
|
| 0<Z <75
|
2< Y< 4
|
X>4
|
7 тип фінансового стану
|
Підприємства, які ефективно використовують капітал та мають достатній рівень фінансової стійкості, але не приділяють достатньої уваги рівню платоспроможності та ліквідності підприємства1
|
| 0<Z <75
|
Y> 4
|
X>4
|
8 тип фінансового стану
|
Успішні підприємства з достатньо високим рівнем ефективності використання капіталу, оптимальною структурою фінансування поточної діяльності та високим рівнем ліквідності і платоспроможності.
|
Z> 75
|
Y< 4
|
X<0
|
9 тип фінансового стану
|
Амбіціозні підприємства, основною метою яких є збільшення прибутковості капіталу, за рахунок цього вони можуть фактично безпроблемно отримувати кредити, але це призводить до виникнення залежності підприємства від зовнішніх джерел фінансування. При цьому рівень платоспроможності вказаних підприємств знаходиться за межами рекомендованого рівня.
|
| Z>7 5
|
Y< 4
|
0<X <4
|
10 тип фінансового стану
|
Підприємства з високим рівнем ефективності використання капіталу та недостатнім рівнем платоспроможності та фінансової стійкості.
|
| Z>7 5
|
Y< 4
|
X>4
|
11 тип фінансового стану
|
Стабільність фінансового стану забезпечується за рахунок високого рівня ефективності використання капіталу та оптимальною структурою капіталу, при цьому спостерігається недолік найбільш ліквідних коштів для забезпечення достатнього рівня ліквідності
|
| Z>7 5
|
Y> 4
|
X>4
|
12 тип фінансового стану
|
Надвисокий рівень прибутковості підприємства, оптимальна структура капіталу і майна підприємства, але отримання надприбутків може носити тимчасовий характер
|
| Z<0
|
2< Y< 4
|
X<0
|
2 тип фінансового стану
|
Стабільність цього типу залежить від зовнішніх джерел фінансування. Даному типу характерний низький рівень ефективності використання капіталу, ліквідності і платоспроможності
|
| Z<0
|
Y< 4
|
0<X <4
|
3 тип фінансового стану
|
Даному типу характерний низький рівень ліквідності та фінансової стійкості, зумовлений неефективним використанням капіталу промислового підприємства
|
| Z<0
|
Y> 4
|
X>4
|
4 тип фінансового стану
|
Підприємство, рівень ліквідності якого знаходиться на нормативному рівні, але неефективне використання капіталу призводить до втрати фінансової незалежності
|
| 0<Z <75
|
2< Y< 4
|
X<0
|
5 тип фінансового стану
|
Підприємства, які ефективно використовують каптал, але диспропорція в структурі майна та/або капіталу призводить до втрати фінансової незалежності.
|
| 0<Z <75
|
Y< 4
|
0<X <4
|
6 тип фінансового стану
|
Прибуткові підприємства, які залежать від зовнішніх джерел фінансування з низьким рівнем ліквідності та платоспроможності
|
| 0<Z <75
|
2< Y< 4
|
X>4
|
7 тип фінансового стану
|
Підприємства, які ефективно використовують капітал та мають достатній рівень фінансової стійкості, але не приділяють достатньої уваги рівню платоспроможності та ліквідності підприємства1
|
| 0<Z <75
|
Y> 4
|
X>4
|
8 тип фінансового стану
|
Успішні підприємства з достатньо високим рівнем ефективності використання капіталу, оптимальною структурою фінансування поточної діяльності та високим рівнем ліквідності і платоспроможності.
|
| Z>7 5
|
Y< 4
|
X<0
|
9 тип фінансового стану
|
Амбіціозні підприємства, основною метою яких є збільшення прибутковості капіталу, за рахунок цього вони можуть фактично безпроблемно отримувати кредити, але це призводить до виникнення залежності підприємства від зовнішніх джерел фінансування. При цьому рівень платоспроможності вказаних підприємств знаходиться за межами рекомендованого рівня.
|
| Z>7 5
|
Y< 4
|
0<X <4
|
10 тип фінансового стану
|
Підприємства з високим рівнем ефективності використання капіталу та недостатнім рівнем платоспроможності та фінансової стійкості.
|
| Z>7 5
|
Y< 4
|
X>4
|
11 тип фінансового стану
|
Стабільність фінансового стану забезпечується за рахунок високого рівня ефективності використання капіталу та оптимальною структурою капіталу, при цьому спостерігається недолік найбільш ліквідних коштів для забезпечення достатнього рівня ліквідності
|
| Z>7 5
|
Y> 4
|
X>4
|
12 тип фінансового стану
|
Надвисокий рівень прибутковості підприємства, оптимальна структура капіталу і майна підприємства, але отримання надприбутків може носити тимчасовий характер
|
Таблиця 6 - Класифікація видів фінансового стану підприємства в залежності від значення інтегрального показника фінансового стану
| Значення І
|
Фінансовий стан
|
Характеристика
|
| 1
|
2
|
3
|
| Менш 0
|
Незадовільний фінансовий стан
|
Характеризується збитковою діяльністю, низьким рівнем ліквідності та залежністю від зовнішніх джерел фінансування
|
| 0 -38
|
Задовільний фінансовий стан
|
Низький рівень ефективності використання капіталу, характерна нестабільна структура капіталу та недостатній рівень ліквідності
|
| 39-60
|
Нестабільний фінансовий стан
|
Високий рівень прибутковості та оборотності активів при низькій платоспроможності та фінансовій стійкості.
|
| 61-99
|
Впевнений фінансовий стан
|
Показники, що характеризують фінансовий стан, знаходяться на оптимальному рівні.
|
| Більш 99
|
Куражний фінансовий стан
|
Характеризується надвисоким рівнем прибутковості та платоспроможності. Частіш за все підприємства недовгий проміжок часу перебувають в такому стані, оскільки такий стан є виснажливим і ресурсномістким.
|
Слід зазначити, що вибір деталізації лінгвістичного визначення типу фінансового стану залежить від цілей аналізу та прогнозування. На думку автора, доцільно давати оцінку як на основі складових інтегральної оцінки, так і на основі інтегрального показника, оскільки ці лінгвістичні характеристики доповнюють одна одну.
Таким чином, можна стверджувати, що універсальність та адекватність запропонованої моделі дозволяє покласти її в основу прогнозування фінансового стану підприємства, тому подальшої розробки потребує модель прогнозування фінансового стану промислового підприємства.
1.4
Фінансові ризики в діяльності промислових підприємств
У будь-якій господарській діяльності завжди існує небезпека грошових втрат, що випливає зі специфіки тих або інших господарських операцій. Небезпека таких втрат являють собою фінансові ризики.
Фінансові ризики - це комерційні ризики. Ризики бувають чисті й спекулятивні. Чисті ризики означають можливість одержання збитку або нульового результату. Спекулятивні ризики виражаються в можливості одержання як позитивного, так і негативного результату. Фінансові ризики - це спекулятивні ризики. Інвестор, здійснюючи венчурне вкладення капіталу, заздалегідь знає, що для нього можливі тільки два види результатів - доход або збиток. Особливістю фінансового ризику є ймовірність настання збитку в результаті проведення яких-небудь операцій у фінансово-кредитній і біржовій сферах, здійснення операцій з фондовими цінними паперами, тобто ризику, що випливає із природи цих операцій. До фінансових ризиків ставляться кредитний ризик, процентний ризик - валютний ризик: ризик упущеної фінансової вигоди [19, с.47].
Кредитні ризики - небезпека несплати позичальником основного боргу й відсотків, що належать кредиторові. Процентний ризик - небезпека втрат комерційними банками, кредитними установами, інвестиційними фондами селенговими компаніями в результаті перевищення процентних ставок, виплачуваних ними по притягнутих засобах, над ставками по наданих кредитах.
Валютні ризики являють собою небезпеку валютних втрат, пов'язаних зі зміною курсу однієї іноземної валюти стосовно іншої, у тому числі національній валюті при проведенні зовнішньоекономічних, кредитних й інших валютних операцій.
Ризик упущеної фінансової вигоди - це ризик настання непрямого (побічного) фінансового збитку (неодержаний прибуток) у результаті нездійснення якого-небудь заходу (наприклад, страхування) або зупинки господарської діяльності [19, с.48].
Підприємництва без ризику не буває. Найбільший прибуток, як правило, приносять ринкові операції з підвищеним ризиком. Однак у всьому потрібна міра. Ризик обов'язково повинен бути розрахований до максимально припустимої межі. Як відомо, всі ринкові оцінки носять різноманітний характер. Важливо не боятися помилок у своїй ринковій діяльності, оскільки від них ніхто не застрахований, а головне - помилок не повторювати, постійно коректувати систему дій з позицій максимуму прибутку. Менеджер покликаний передбачати додаткові можливості для зм'якшення крутих поворотів на ринку. Особлива увага приділяється постійному вдосконалюванню керування ризиком - ризику-менеджменту.
Підприємець у процесі своїх дій на ринку зобов'язаний вибрати стратегію, яка б дозволила йому зменшити ступінь ризику. Математичний апарат для вибору стратегії в конфліктних ситуаціях дає теорія ігор, що дозволяє підприємцеві або менеджерові краще розуміти конкурентну обстановку й звести до мінімуму ступінь ризику. Аналіз за допомогою прийомів теорії ігор спонукує підприємця розглядати всі можливі альтернативи як своїх дій, так і стратегії партнерів, конкурентів. Теорія ігор допомагає вирішувати багато економічних проблем, пов'язані з вибором, визначенням найкращого положення, підлеглого тільки деяким обмеженням, що випливають із умов самої проблеми. Отже, ризик має математично виражену ймовірність настання втрати, що опирається на статистичні дані й може бути розрахована з досить високим ступенем точності.
Центральне місце в оцінці підприємницького ризику з аналіз і прогнозування можливих втрат ресурсів при здійсненні підприємницької діяльності. Мається на увазі не витрата ресурсів, об'єктивно обумовлений характером і масштабом підприємницьких дій, а випадкові, непередбачені, але потенційно можливі втрати, що виникають внаслідок відхилення реального ходу підприємництва від задуманого сценарію.
Щоб оцінити ймовірність тих або інших втрат, обумовлених розвитком подій по непередбаченому варіанті, треба насамперед знати всі види втрат, пов'язаних з підприємництвом, і вміти заздалегідь обчислити їх або виміряти як імовірні прогнозні величини. При цьому природно бажання оцінити кожний з видів втрат у кількісному вимірі й уміти звести їх воєдино, що, на жаль, далеко не завжди вдається з. Тут треба мати на увазі одну важливу обставину. Випадковий розвиток подій, що робить вплив на хід і результати підприємництва, здатен не тільки до втрат у вигляді підвищених витрат ресурсів і зниження кінцевого результату. Воно може викликати збільшення витрат одного виду ресурсів і зниження витрат іншого виду, тобто поряд з підвищеними витратами одних ресурсів може спостерігатися економія інших.
Якщо випадкова подія впливає на кінцеві результати підприємництва, має несприятливі й сприятливі наслідки, то при оцінці ризику треба рівною мірою враховувати й ті, і інших. Інакше кажучи, при визначенні сумарних можливих втрат варто віднімати з розрахункових утрат супровідний їхній виграш.
Втрати, які можуть бути в підприємницькій діяльності, доцільно розділяти на матеріальної, трудової, фінансові, втрати часу, спеціальні види втрат. Матеріальні види втрат проявляються в непередбачуваних підприємницьким проектом додаткових витратах або прямих утратах устаткування, майна, продукції, сировини, енергії й т.д. Стосовно кожному окремого з перерахованих видів втрат використаються свої одиниці виміру. Найбільше природно вимірювати матеріальні втрати в тих же одиницях, у яких виміряється кількість даного виду матеріальних ресурсів, тобто у фізичних одиницях ваги, обсягу, площі й ін. [19, с.49]
Трудові втрати представляють втрати робочого часу, викликані випадковими, непередбаченими обставинами. У безпосередньому вимірі трудові втрати виражаються в людино-годинах, людино-днях або просто годинниках робочого часу. Переклад трудових втрат у вартісне, грошове вираження здійснюється шляхом множення трудочасов на вартість (ціну) однієї години.
Фінансові втрати - це прямий грошовий збиток, пов'язаний з непередбачуваними платежами, виплатою штрафів, сплатою додаткових податків, втратою коштів і цінних паперів. Крім того, фінансові втрати можуть бути при недоодержанні або неотриманні грошей з передбачених джерел, при неповерненні боргів, несплаті покупцем поставленої йому продукції, зменшенні виторгу внаслідок зниження цін на реалізовані продукцію й послуги. Особливі види грошового збитку пов'язані з інфляцією, зміною валютного курсу рубля, додатковим до узаконеного вилученням засобів підприємств у державний (республіканський, місцевий) бюджет. Поряд з безповоротними можуть бути й тимчасові фінансові втрати, обумовлені заморожуванням рахунків, несвоєчасною видачею засобів, відстрочкою виплати боргів [19, с.54].
Втрати часу існують тоді, коли процес підприємницької діяльності йде повільніше, ніж було намічено. Пряма оцінка таких втрат здійснюється в годинниках, днях, тижнях, місяцях запізнювання в одержанні наміченого результату. Щоб перевести оцінку втрат часу у вартісний вимір, необхідно встановити, до яких втрат доходу, прибутку від підприємництва здатні приводити випадкові втрати часу.
Спеціальні види втрат мають місце у вигляді завдання збитків здоров'ю й життю людей, навколишньому середовищу, престижу підприємця, а також внаслідок інших несприятливих соціальних і морально-психологічних наслідків. Найчастіше спеціальні види втрат украй важко визначити в кількісному, тим більше у вартісному вираженні. Для кожного з видів втрат вихідну оцінку можливості їхнього виникнення й величини роблять за певний час, що охоплює місяць, рік, строк функціонування бізнесу. При проведенні комплексного аналізу ймовірних втрат для оцінки ризику важливо не тільки встановити всі джерела ризику, але й виявити, які джерела переважають.
Необхідно далі розділити ймовірні втрати на визначальні й побічні. При оцінці підприємницького ризику побічні втрати можуть бути виключені в кількісній оцінці з ризику. Якщо в числі розглянутих втрат виділяється один вид, що або по величині, або по ймовірності виникнення свідомо більше інших, то при кількісній оцінці рівня ризику в розрахунок можна приймати тільки його.
У принципі треба враховувати тільки випадкові втрати, що не піддаються прямому розрахунку, безпосередньому прогнозуванню й тому не враховані в підприємницькому проекті. Якщо втрати можна заздалегідь передбачати, то вони повинні розглядатися не як втрати, а як неминучі витрати й входити в розрахункову калькуляцію. Так, що передбачає рух цін, податків, їхня зміна в ході здійснення господарської діяльності підприємець зобов'язаний урахувати в бізнес-плані.
Тільки в силу недосконалості використовуваних методів розрахунку підприємницької діяльності або недостатньо глибокого пророблення бізнес-плану систематичні помилки можуть розглядатися як втрати в тому розумінні, що вони здатні змінити очікуваний результат у гіршу сторону. Отже, перш ніж оцінювати ризик, обумовлений дією сугубо випадкових факторів, украй бажано відокремити систематичну складову втрати від випадкових.
Повністю уникнути ризику практично неможливо, але, знаючи джерело втрат, бізнесмен здатний знизити їхню погрозу, з дію несприятливих факторів.
З погляду фінансиста ризик означає ймовірність того, що прибуток на зроблену інвестицію буде відрізнятися від очікуваного. Таким чином, ризик містить у собі не тільки несприятливі (прибутки нижче очікуваних), але й сприятливі (прибутки вище очікуваних) результати. На практиці, перший вид ризику можна назвати "ризик зниження", а другий вид - "ризик підвищення", і при вимірі ризику ми будемо враховувати обоє цих виду [15, с.408].
Під фінансовим ризиком підприємства розуміється ймовірність виникнення несприятливих фінансових наслідків у формі втрати доходу й капіталу в ситуації невизначеності умов здійснення його фінансової діяльності.
Вимір ризику й очікуваного доходу виявляється складним завданням тому, що його зміст міняється залежно від обраної точки зору. Наприклад, при аналізі ризику фірми ми можемо вимірювати його з позицій менеджерів цієї фірми. З іншого боку, можна заявити, що власний капітал фірми належить акціонерам, і їхню точку зору на ризик також варто брати до уваги. Акціонери фірми, багато хто з яких тримають її акції у своїх портфелях серед цінних паперів інших компаній, імовірно, сприймали б ризик фірми зовсім по-іншому, чим менеджери фірми, які вклали в неї значні капітальні, фінансові й людські ресурси.
Інвестори, що купують активи, за час свого володіння ними очікують одержати певну віддачу. Фактичні доходи, отримані протягом даного проміжку часу, можуть сильно відрізнятися від очікуваних, і саме це розходження між очікуваними й фактичними доходами є джерелом ризику. Розкид фактичних доходів щодо очікуваних виміряється за допомогою дисперсії (або стандартного відхилення) розподілу. Чим вище відхилення фактичних доходів від очікуваних, тим вище дисперсія.
Очікувані доходи й дисперсія, використовувані на практиці, майже завжди оцінюються на основі минулих, а не майбутніх доходів. Припущення, що лежить в основі використання дисперсії минулих періодів, полягає в тім, що розподіл доходів, отриманих у минулому, є гарним показником майбутнього розподілу доходів. При порушенні даного припущення, наприклад у тому випадку, коли характеристики активів значно змінилися згодом, історичні оцінки не можуть служити гарною мірою ризику.
Компоненти ризику.
Коли інвестор купує акцію або частку у власному капіталі фірми, він піддає себе безлічі ризиків. Деякі види ризику можуть стосуватися тільки однієї або декількох фірм, і цей вид ризику класифікується як "ризик на рівні фірми", тобто так званий специфічний ризик фірм, що є ризиком інвестування в певну компанію. У межах цієї категорії можна побачити широкий спектр ризиків, починаючи з ризику того, що фірма неправильно оцінить попит на свою продукцію з боку споживачів. Ми називаємо цей вид ризику "проектним ризиком" [16, с.188].
Існує й інший вид ризику, з куди більше великим охопленням, що впливає на багато хто, якщо не на всі інвестиції. Наприклад, підвищення процентних ставок негативним образом позначиться на всіх інвестиціях, хоча й у різному ступені. Аналогічно, при ослабленні економіки всі фірми відчують вплив спаду, хоча циклічні фірми (такі, як автомобільні, сталеливарні й будівельні), можливо, будуть порушені більшою мірою. Ми називаємо даний вид ризику ринковим ризиком.
Нарешті, існують ризики, що займають проміжне положення, залежно від того, на яку кількість активів вони впливають. Наприклад, коли долар підсилюється щодо інших валют, це вплине на прибуток і цінність фірм, що працюють на міжнародному рівні. Якщо більшість фірм на ринку має значний обсяг міжнародних операцій, то ризик посилення долара можна віднести до ринкового ризику. Якщо ж міжнародними операціями зайняті лише деякі фірми, то цей ризик скоріше ближче до ризику на рівні фірми.
Метод запобігання фінансового ризику полягає в розробці таких заходів внутрішнього характеру, які повністю виключають конкретний вид фінансового ризику.
До числа основних заходів щодо запобігання фінансових ризиків відносяться:
¾ відмова від здійснення фінансових операцій, рівень ризику по яких надмірно високий. Незважаючи на високу ефективність цього заходу, його використання носить обмежений характер, тому що більшість фінансових операцій пов'язана зі здійсненням основної виробничо-комерційної діяльності підприємства, що забезпечує регулярне надходження доходів і формування його прибутку;
¾ відмова від використання у високих обсягах позикового капіталу. Зниження частки позикових фінансових засобів у господарському обороті дозволяє уникнути одного з найбільш істотних фінансових ризиків - втрати фінансової стійкості підприємства. Разом з тим, таке запобігання ризику спричиняє зниження ефекту фінансового левериджу, тобто можливості одержання додаткової суми прибутку на вкладений капітал;
¾ відмова від надмірного використання оборотних активів у низьколіквідних формах. Підвищення рівня ліквідності активів дозволяє уникнути ризику неплатоспроможності підприємства в майбутньому періоді. Однак таке запобігання ризику позбавляє підприємство додаткових доходів від розширення обсягів продажу продукції в кредит і частково породжує нові ризики, пов'язані з порушенням ритмічності операційного процесу через зниження розміру страхових запасів сировини, матеріалів, готової продукції;
¾ відмова від використання тимчасово вільних грошових активів у короткострокових фінансових вкладеннях. Ця міра дозволяє уникнути депозитного й процентного ризику, однак породжує інфляційний ризик, а також ризик упущеної вигоди [25, с.226].
Перерахованої й іншої міри запобігання фінансового ризику незважаючи на свій радикалізм у відкиданні окремих їхніх видів позбавляє підприємство додаткових джерел формування прибутку, а відповідно негативно впливає на темпи його економічного розвитку й ефективність використання власного капіталу.
Метод розподілу фінансового ризику заснований на частковій його передачі партнерам за окремими фінансовими операціями. При цьому господарським партнерам передається та частина фінансових ризиків підприємства, за якими вони мають більше можливостей нейтралізації їхніх негативних наслідків і мають у своєму розпорядженні більш ефективні способи внутрішнього страхового захисту.
У сучасній практиці ризик менеджменту одержали широке поширення наступні основні напрямки розподілу фінансових ризиків:
¾ розподіл ризику між учасниками інвестиційного проекту. У процесі такого розподілу підприємство може здійснити передачу своїм підрядникам фінансових ризиків, пов'язаних з невиконанням календарного плану будівельно-монтажних робіт, низькою якістю цих робіт, розкраданням переданих їм будівельних матеріалів деяких інших. Для підприємства, що здійснює передачу таких ризиків, їхня нейтралізація полягає в переробці робіт за рахунок підрядника, виплати їм сум неустойок і штрафів й в інших формах відшкодування понесених втрат.
¾ розподіл ризику між підприємством і постачальниками сировини й матеріалів. Предметом такого розподілу є насамперед фінансові ризики, зв'язні із втратою (псуванням) майна (активів) у процесі їхнього транспортування й здійснення завантажувально-розвантажувальних робіт. Форми такого розподілу ризиків регулюються відповідними міжнародними правилами.
¾ розподіл ризику між учасниками лізингової операції. Так, при оперативному лізингу підприємство передає орендодавцеві ризик морального старіння використовуваного (лізінгуємого) активу, ризик втрати їм технічної продуктивності (при дотриманні встановлених правил експлуатації) і ряд інших видів ризиків, що передбачають відповідними спеціальними застереженнями, що міститься в контракті.
¾ розподіл ризику між учасниками факторингової операції. Предметом такого розподілу є насамперед кредитний ризик підприємства, що у переважній його частці передається відповідному фінансовому інституту - комерційному банку або факторинговій компанії. Ця форма розподілу ризику носить для підприємства платний характер, однак дозволяє в істотному ступені нейтралізувати негативні фінансові наслідки його кредитного ризику [25, с.230-231].
Ступінь нейтралізації ризиків, а отже, і рівень нейтралізації їх негативних фінансових наслідків для підприємства є предметом його контрактних переговорів з партнерами, відбиваних погодженими з ними умовами у відповідних договорах.
1.5 Недоліки у нормативно – правовому забезпеченні діяльності промислових підприємств
Для регулювання фінансової діяльності підприємства існує багато нормативних актів.
Не секрет, що становлення, розвиток і подальше стабільне функціонування підприємства поряд з багатьма складовими зв'язується й з інформаційною підтримкою виробничої діяльності підприємства. Як правило, всім підприємцям украй необхідні економічна, юридична, галузева література й нормативна документація.
Навіть досконалий фінансовий механізм не може успішно функціонувати без правового поля, нормативного та інформаційного забезпечення. Останні формують відповідне фінансове середовище. Складовими успішної діяльності підприємства є політика податкова, бюджетна, грошово-кредитна і валютна.
Інформаційною базою є законодавчі та нормативні акти, наукові праці і методичні розробки вітчизняних і зарубіжних вчених – економістів, періодичні видання, статистична інформація, практичні дані, а також результати аналітичних розрахунків і аудиторських процедур.
Стан законодавчого забезпечення промисловості за напрямками наступний:
а) Нормативно-правове забезпечення функціонування податкової системи як в межах всієї економіки України, так і в межах промисловості, стоїть на порозі докорінного реформування, пов’язаного з необхідністю прийняття Податкового кодексу, що зумовлено невідповідністю наявної системи оподаткування суспільним потребам.
До джерел правового регулювання промисловості, відносяться наступні нормативно-правові акти:
Закони України: “Про систему оподаткування”, “Про податок на додану вартість”, “Про оподаткування прибутку підприємств”, “Про збір на обов’язкове державне пенсійне страхування”, “Про розмір внесків на деякі види загальнообов’язкового державного соціального страхування”, “Про страхові тарифи на загальнообов’язкове державне соціальне страхування від нещасного випадку на виробництві та професійного захворювання, які спричинили втрату працездатності”, “Про плату за землю”, “Про податок з власників транспортних засобів та інших самохідних машин і механізмів”, “Про джерела фінансування дорожнього господарства України”, “Про порядок погашення зобов’язань платників податків перед бюджетами та державними цільовими фондами”, тощо. Декрети Кабінету Міністрів: “Про акцизний збір”, “Про місцеві податки і збори”, “Про державне мито ”, постанови Кабінету Міністрів України щодо справляння податків, надання пільг, а також нормативно-правові акти Державної податкової адміністрації України, інших центральних органів виконавчої влади.
До основних недоліків регулювання суспільних відносин в межах існуючого нормативно-правового поля, що регулює порядок оподаткування підприємств і установ промисловості, необхідно віднести:
¾ постійну зміну основних положень базових законів з оподаткування і неможливість, внаслідок цього, стратегічного планування і прогнозування господарської діяльності;
¾ невизначеність механізму надання пільг та джерел їх фінансування і, як наслідок, багаточисельність зловживань в цій сфері;
¾ неадекватну амортизаційну політику, що призводить до повного матеріального і морального зношення основних фондів і, як наслідок, неможливість проведення їх модернізації;
¾ наявність подвійного оподаткування інвестицій в корпоративні права;
¾ відсутність дієвих стимулів до інвестування і розширення виробництва, в тому числі недостатність заходів з пільгового оподаткування коштів, які направляються на фінансування проектів будівництва та реконструкції стратегічних об’єктів промисловості або використовуються для забезпечення окупності цих проектів;
¾ недостатню визначеність і неоднаковість застосування податкового кредиту та бюджетного відшкодування податку на додану вартість;
¾ перевищення компетенції місцевими органами влади при встановленні ставок місцевих податків і зборів;
¾ неоднозначність визначення і розуміння юрисдикційної компетенції органів державної податкової служби, законодавчі протиріччя у визначенні порядку проведення перевірок цими органами;
¾ недосконалість механізму оскарження рішень податкових органів, в тому числі і при зверненні до господарського суду;
¾ неоднозначність трактування деяких норм податкового законодавства стосовно довгострокового будівництва об’єктів промисловості;
б) Регулювання правовідносин з корпоративного управління в промисловості здійснюється на загальних підставах шляхом застосування Законів України: “Про власність”, “Про підприємництво” (Втратив дію у зв`язку з набранням чинності та врегулюванням цих взаємовідносин Господарським кодексом України від 16 січня 2003 року №436, крім статті 4), “Про господарські товариства” , “Про цінні папери і фондову біржу” , Декретів Кабінету Міністрів України, Указів Президента України, Постанов Кабінету Міністрів України, наказів Фонду державного майна України, Державної комісії з цінних паперів і фондового ринку, інших центральних органів виконавчої влади.
До основних недоліків регулювання суспільних відносин в межах існуючого нормативно-правового поля, що регулює процеси корпоративного управління підприємств, в тому числі промисловості, можна віднести:
¾ суперечливість та невідповідність Конституції України законодавства про власність;
¾ відсутність окремих законодавчих актів щодо діяльності відкритих акціонерних товариств, 100 відсотків акцій яких знаходиться у державній власності;
¾ суперечливість законодавства щодо управління державною власністю;
¾ суперечливість законодавства про корпоратизацію з розпорядчими повноваженнями власників та органів, уповноважених управляти відповідним державним майном, зокрема, у вирішенні питань оренди (лізингу);
¾ відсутність законодавчих вимог щодо ефективної діяльності корпоратизованих підприємств промисловості та дієвого механізму притягнення до відповідальності осіб, уповноважених управляти державними корпоративними правами;
¾ недостатня забезпеченість чіткого контролю за виконанням поставлених перед уповноваженими особами завдань;
¾ проблеми введення мораторію на примусову реалізацію майна державних підприємств, запроваджених Законом України “Про введення мораторію на примусову реалізацію майна”. По-перше, скасовано основний принцип цивільного права щодо можливості і необхідності юридичним особам відповідати власним майном за результатами діяльності. По-друге, дія цього Закону України при провадженні в процедурі банкрутства розповсюджується лише на стадію ліквідації, обминаючи процедури санації та мирової угоди. По-третє, мораторій діє до законодавчого унормування процедур примусової реалізації у відповідних видах проваджень, яке, з огляду на нинішній темп законотворчої діяльності, може тривати досить довгий та невизначений період часу. По-четверте, введення мораторію дозволить безкарно та безвідповідально накопичувати кредиторську та податкову заборгованість державними підприємствами, що негативно вплине на наповнення державного бюджету та майбутню приватизацію цих об’єктів;
¾ незахищеність прав акціонерів підприємств промисловості, які володіють невеликою кількістю акцій в їх статутних фондах.
в) Регулювання правовідносин в процесі інвестиційної діяльності в промисловості здійснюється на основі законів України: “Про інвестиційну діяльність” , “Про режим іноземного інвестування” , “Про власність” , “Про підприємництво” (Втратило дію у зв`язку з набранням чинності та врегулюванням цих взаємовідносин Господарським кодексом України від 16 січня 2003 року №436, крім статті 4), “Про господарські товариства”, “Про загальні засади створення та функціонування спеціальних (вільних) економічних зон”, “Про угоди про розподіл продукції”, “Про оподаткування прибутку підприємств”, “Про усунення дискримінації в оподаткуванні суб’єктів підприємницької діяльності, створених з використанням майна та коштів вітчизняного походження”, указів Президента України, постанов Кабінету Міністрів України щодо забезпечення фінансування стратегічних об’єктів промисловості, нормативно-правових актів, що приймаються як заходи оперативного реагування на ті чи інші проблеми, які виникають в процесі функціонування інвестицій в галузі промисловості.
До основних недоліків регулювання суспільних відносин щодо здійснення інвестиційних процесів в промисловості в межах існуючого нормативно-правового поля, зокрема, належать:
¾ заборона формування статутних фондів будь-яких товариств за рахунок коштів, отриманих в кредит;
¾ недостатня визначеність положень Закону “Про інвестиційну діяльність” і, як наслідок, відсутність його прямої дії як основного елементу механізму правового регулювання;
¾ подвійне оподаткування прибутку від інвестицій в цінні папери;
¾ відсутність визначення такого виду інвестицій як сукупність технічних, технологічних та інших знань, тобто інтелектуальна власність;
¾ недостатня врегульованість питань щодо бюджетних інвестиційних асигнувань;
¾ відсутність конкретизації на законодавчому рівні питань особливостей інноваційної діяльності в промисловості;
¾ відсутність привабливих умов для здійснення інвестицій в промисловості, насамперед, в напрямку пріоритетних проектів;
¾ недостатня врегульованість питань щодо залучення грошових коштів шляхом проведення додаткових емісій цінних паперів акціонерних товариств, які мають у статутних фондах державну частку.
г) До джерел правового регулювання в сфері приватизації об’єктів промисловості належать наступні нормативно-правові акти:
¾ закони України: “Про приватизацію державного майна”, “Про державну програму приватизації”, “Про особливості приватизації об’єктів незавершеного будівництва”, “Про приватизаційні папери”, “Про перелік об’єктів права державної власності, що не підлягають приватизації”, “Про відновлення платоспроможності боржника або визнання його банкрутом”, “Про виконавче провадження”;
¾ постанова Верховної Ради “Про Тимчасове положення про Фонд державного майна України”;
¾ рішення Конституційного Суду України від 01.07.1998 №9 (щодо приватизації державного майна);
¾ укази Президента України: “Про єдину систему органів приватизації в Україні”, “Про холдингові компанії, які створюються в процесі корпоратизації та приватизації”, постанови Кабінету Міністрів та нормативно-правові акти Фонду державного майна, які приймаються як заходи оперативного регулювання тактичних питань, що виникають в процесі приватизації державних об’єктів.
До основних недоліків регулювання відносин в межах існуючого нормативно-правового забезпечення процесів приватизації в промисловості можна віднести:
¾ невизначеність механізму взаємовідносин держави та приватизованих підприємств при виникненні форс-мажорних обставин;
¾ невпорядкованість питань щодо використання державного майна, яке знаходиться на балансах підприємств, що приватизуються, але не увійшло до статутних фондів;
¾ суперечливість окремих норм Державної програми приватизації щодо реструктуризації підприємств, в тому числі відокремлення майна, які знаходяться в процесі приватизації, але потребують реструктуризації;
¾ відсутність конкретизації на законодавчому рівні специфічних питань приватизації об’єктів промисловості;
¾ законодавча та правозастосовча невпорядкованість у питаннях виконання післяприватизаційних зобов’язань покупцями пакетів акцій акціонерних товариств, що виставлялися на конкурсний продаж;
¾ потенційне існування механізму “тіньової” приватизації (відчуження) об’єктів промисловості через механізм банкрутства, звернення стягнення на майно підприємств за виконавчими документами, що може бути знову задіяний після скасування Закону “Про введення мораторію на примусову реалізацію майна”;
¾ недосконалість механізму перевірки платоспроможності майбутнього покупця об’єктів приватизації щодо спроможності виконання умов конкурсів.
д) Джерелами правового регулювання в сфері соціального захисту та охорони праці в промисловості є:
¾ закони України: “Про пенсійне забезпечення”, “Про загальнообов’язкове соціальне страхування на випадок безробіття”, “Про загальнообов’язкове державне соціальне страхування у зв’язку з тимчасовою втратою працездатності та витратами, зумовленими народженням і похованням”, “Про розмір внесків на деякі види загальнообов’язкового державного соціального страхування”, “Про загальнообов’язкове державне соціальне страхування від нещасного випадку на виробництві та професійного захворювання, які спричинили втрату працездатності”, “Про страхові тарифи на загальнообов’язкове державне соціальне страхування від нещасних випадків на виробництві та професійних захворювань, які спричинили втрату працездатності”, “Про охорону праці”;
¾ постанови Кабінету Міністрів України щодо соціального захисту та охорони праці в промисловості.
До основних недоліків регулювання суспільних відносин в межах існуючого нормативно-правового поля щодо соціального захисту та охорони праці в промисловості можна віднести:
¾ невідповідність чинного законодавства України конвенціям та рекомендаціям Міжнародної організації праці;
¾ законодавче обмеження умов добровільного пенсійного забезпечення підприємствами своїх працівників;
¾ непомірне навантаження нарахувань на фонд оплати праці і, як наслідок, недосконала соціальна політика підприємств;
¾ високі тарифи на страхування від нещасних випадків на виробництві;
¾ відсутність механізмів рефінансування боргів за регресними виплатами;
¾ неефективність державного нагляду в галузі охорони праці;
¾ недостатнє використання превентивного потенціалу адміністративної та кримінальної відповідальності за правопорушення в сфері охорони праці.
е) Джерелами правового регулювання питань екології, охорони навколишнього природного середовища та енергозбереження в сфері діяльності підприємств промисловості є наступні нормативно-правові акти:
¾ закони України “Про охорону навколишнього природного середовища”, “Про охорону атмосферного повітря ”, “Про екологічну експертизу”, “Про відходи”, “Про електроенергетику”, “Про використання ядерної енергії та радіаційну безпромисловостіу”, Лісовий кодекс України, Водний кодекс України, Земельний кодекс України, відповідні міжнародні договори і зобов’язання України, які згідно з Конституцією є частиною національного законодавства;
¾ постанови Кабінету Міністрів: “Про затвердження Порядку встановлення нормативів збору за забруднення навколишнього природного середовища і стягнення цього збору”, “Про Державну програму “Екологічно чиста геотермальна енергетика України” тощо.
До основних недоліків нормативно-правового забезпечення питань екології, охорони навколишнього природного середовища та енергозбереження в діяльності підприємств промисловості можна віднести наступні:
¾ невідповідність національного законодавства взятим Україною міжнародно-правовим зобов’язанням;
¾ недостатня законодавча забезпеченість питань державного обліку об’єктів, що негативно впливають на стан навколишнього природного середовища;
¾ відсутність єдиного підходу до правового регулювання екологічних проблем;
¾ відсутність спеціальних нормативно-правових актів, які б компетентно регулювали питання екологічних проблем в промисловості;
¾ розпорошеність регулювання питань проведення державної екологічної експертизи;
¾ відсутність уніфікованості нормативів платежів за забруднення навколишнього середовища, за розміщення відходів, тощо;
¾ локальність та недостатність законодавчих умов і відсутність стимулів фінансування екологічної реконструкції діючих потужностей в промисловості;
¾ недієвість державного екологічного контролю і нагляду, недостатнє та неповне визначення компетенції відповідних державних органів;
¾ недостатнє застосування превентивного потенціалу адміністративної та кримінальної відповідальності за правопорушення в сфері забруднення навколишнього природного середовища;
¾ відсутність механізмів стимулювання енергозбереження в промисловості.
У сучасних умовах, одним із шляхів створення успішного підприємства раціональних розмірів є оренда з наданням пільг в оподаткуванні та кредитуванні, а також цільової допомоги з боку держави при одночасному поширенні інформації про результати наукових досліджень щодо даного питання серед зацікавленої аудиторії.
Розвиток промисловості потребує вдосконалення нормативно-правового забезпечення її функціонування, гармонізації вiдповiдних нормативно-правових актів з міжнародними стандартами, розроблення ряду програм, спрямованих на реалізацію цієї Концепції, та проектів законів з питань функціонування i розвитку промисловості.
Беручи до уваги, що нормативні акти постійно змінюються та доповнюються, керівництву підприємства потрібно постійно цікавитися змінами у законодавстві.
РОЗДІЛ 2. ДОСЛІДЖЕННЯ ФІНАНСОВИХ ПОКАЗНИКІВ ДІЯЛЬНОСТІ ВАТ ПБК «СЛАВУТИЧ» В МІСТІ ЗАПОРІЖЖЯ
2.1 Техніко-економічні показники діяльності підприємства
ВАТ «Пивобезалкогольний комбінат «Славутич» було утворено на базі побудованого в 1974 році Запорізького пивзаводу №2. Співпраця ВАТ ПБК «Славутич» і Славутич, Carlsberg Group почалась у 1996 році. Саме тоді ці підприємства з давніми традиціями пивоваріння об'єднали свої зусилля для вирішення завдання по виробництву в Україні пива, яке відповідало б світовим стандартам. За цей час на комбінаті було встановлено нове обладнання, закуплене у передових компаній пивоварної промисловості світу. Завдяки масштабним інвестиціям, проектну потужність підприємства було збільшено більш ніж утричі і вона склала близько 240 млн. літрів на рік. Завдяки цьому «Славутич» перетворився на передове підприємством європейського типу з ефективним виробництвом та високим ступенем автоматизації технологічних процесів.
Власником компанії "Славутич" є Carlsberg Group. Carlsberg — одна з провідних пивоварених груп в світі, яка володіє значним портфелем пивних брендів та брендів безалкогольних напоїв. В Carlsberg Breweries працює більше 40 000 людей в 50 країнах світу. Продукція компанії продається більш ніж на 150 ринках.
ВАТ "Пивобезалкогольний комбінат "Славутич" є юридичною особою, має самостійний баланс, розрахунковий й інший рахунки в установах банку, круглу печатку, штамп і бланки зі своїм найменуванням, власний товарний знак, знак обслуговування й інші символи юридичної особи. Воно може від свого імені здобувати майнові й особисті немайнові права й виконувати обов'язку, виступати як позивач або відповідача в суді, арбітражному або третейському суді несучи при цьому відповідальність своїм майном.
Для ведення господарської діяльності підприємство має необхідні будинки, спорудженнями, механізмами (варильний, бродильний цех, цех розливу пива, тарний цех, заводська котельня, компресорний цех, механічний цех, автогосподарство, адміністративне будинок), а так само земельною ділянкою площею 3,127 га.
Водопостачання, електропостачання й газопостачання - централізоване.
ВАТ "Пивобезалкогольний комбінат "Славутич" спеціалізується на виробництві й випуску пива. Однак, щоб знайти джерело фінансування капітальних вкладень для продовження технічного переозброєння заводу, освоєно виробництво безалкогольних напоїв. Для їхнього виробництва побудовані промисловий будинок і встановлений уперше в республіці німецька ексклюзивна лінія по розливі напоїв у стерильному виробництві.
Таким чином, основними видами діяльності ВАТ "Пивобезалкогольний комбінат "Славутич" є виробництво й реалізація різних сортів пива й безалкогольних напоїв. З покоління в покоління передається майстерство пивоварства, у результаті протягом багатьох років смакові якості пива, виготовленого на пивоварному заводі, скоряють самих вимогливих шанувальників пива.
2.2 Експрес-аналіз фінансового стану ВАТ ПБК «Славутич» в м. Запоріжжя
Мета експрес-аналізу - ухвалити рішення щодо доцільності аналізу фінансової звітності й переконатися в її готовності до читання. Робота починається з перевірки вірогідності бухгалтерської звітності. Вірогідність звітних даних може бути підтверджена аудиторським висновком. Існують два основних типи аудиторських висновків: стандартне й нестандартне. Перше являє собою підготовлений у досить уніфікованому й короткому викладі документ, що містить позитивну оцінку аудитора про вірогідність представленої у звіті інформації і її відповідності діючим нормативним документам. Нестандартний аудиторський висновок звичайно більш об'ємно й може містити або беззастережну позитивну оцінку представленої звітності й фінансового становища, підтверджуваного нею; або позитивну оцінку, але із застереженнями.
Перевірка готовності звітності до читання носить менш відповідальний і деякою мірою технічний характер. На цьому етапі проводиться візуальна й найпростіша рахункова перевірка звітності по формальних ознаках і власне кажучи:
¾ визначається наявність всіх необхідних форм і додатків, реквізитів і підписів;
¾ перевіряється валюта балансу й всі проміжні підсумки;
¾ проводиться звірення контрольних цифр і співвідношень.
Звітним формам властива як логічна, так й інформаційний взаємозв'язок. Суть логічного зв'язку складається у взаємодоповненні й взаємної кореспонденції звітних форм, їхніх розділів і статей. Найбільш важливі балансові статті розшифровуються в супутніх формах, розшифровку інших можна знайти в аналітичному обліку (при проведенні управлінського аналізу).
Логічні зв'язки доповнюються інформаційними, які знаходять вираження в прямих і непрямих контрольних співвідношеннях між окремими показниками звітних форм. Пряме контрольне співвідношення означає, що той самий показник наведений одночасно в кількох формах. Непряме контрольне співвідношення означає, що кілька показників однієї або ряду звітних форм пов'язані між собою нескладними арифметичними розрахунками. Знання контрольних співвідношень важливо й з позиції аналізу, і з позиції контролю й дозволяє перевірити правильність складання звітності.
Таким чином, на першому етапі економічного читання звітності виявляють:
¾ невідповідність контрольних цифр по формах звітності;
¾ фіксують наявність "сигнальних" статей фінансової звітності.
¾ Побічно на фінансові проблеми можуть вказувати такі статті, як:
¾ неоплачений капітал (у тому випадку, якщо це залишок установчих внесків, не внесених при формуванні статутного капіталу);
¾ непокритий збиток.
Наявність залишків у балансі по зазначених статтях, а також їхнє підвищення дозволяє зробити попередній висновок про фінансові проблеми підприємства, які потім виявляються на етапах деталізованого аналізу.
Ціль другого етапу експрес-аналізу - ознайомлення з пояснювальною запискою до фінансової звітності. Це необхідно для того, щоб оцінити умови роботи у звітному періоді, визначити тенденції основних показників діяльності і якісних змін у майновому й фінансовому становищі фірми. Варто звернути увагу на алгоритми розрахунку основних показників. Оскільки розрахунок деяких аналітичних показників (частка власних оборотних коштів, доход на акцію) може супроводжуватися різночитанням, багато іноземних фірм приводять у річному звіті алгоритми для розрахунку показників, що є доцільним і для господарюючих суб'єктів України. Аналізуючи тенденції основних показників, варто врахувати вплив факторів, що спотворюють (наприклад, інфляцію), а також пам'ятати, що баланс, як основна звітна й аналітична форма, не вільна від деяких обмежень.
Третій етап є основним в експрес-аналізі, оскільки його ціль - сформувати узагальнюючу оцінку результатів господарської діяльності й фінансового стану об'єкта. Такий аналіз проводиться з тим або іншим ступенем деталізації в інтересах різних користувачів.
Одним з основних елементів експрес-аналізу є вміння працювати з річним звітом і фінансовою звітністю. Фінансовий менеджер повинен чітко представляти структуру об'єкта, зміст основних його розділів.
Економічне читання формул і підготовка до проведення фінансового аналізу:
¾ зроблена перевірка готовності до читання форми № 1 й № 2 - формальні ознаки дотримані: валюта балансу по роках іде, що становлять валюти балансу відповідають, при звіренні контрольних цифр по формах звітності властив логічний взаємозв'язок;
¾ зростаючі дебіторські й кредиторські заборгованості й заборгованість перед бюджетом і позабюджетними фондами, зменшення статутного капіталу, а також зростаючі збитки у звітному періоді показують на наявність серйозних проблем у підприємства.
Експрес-аналіз фінансового стану підприємства передбачає розрахунок показників, що допомагає дослідити головні тенденції в зміні фінансового стану підприємства.
Порівняльний аналітичний баланс ВАТ ПБК «Славутич» представлений в таблиці 2.1.
Таблиця 2.1 - Порівняльний аналітичний баланс ВАТ ПБК «Славутич»
| Показники
|
Код
рядка
|
2007 рік
|
2008 рік
|
Зміни
|
| Абс. вел.,
тис. грн.
|
Відн.
вел., %
|
Абс. вел.,
тис. грн.
|
Відн.
вел.,
%
|
В абс.вел
тис.грн.
|
В структ.
%
|
Темпи
росту,
%
|
| 1
|
2
|
3
|
4
|
5
|
6
|
7
|
8
|
9
|
| АКТИВ
|
| 1.Необоротні активи
|
| Нематеріальні активи:
|
| залишкова вартість
|
010
|
1,30
|
0,01
|
1,30
|
0,01
|
0,00
|
0,00
|
100,00
|
| первісна вартість
|
011
|
1,30
|
0,01
|
1,30
|
0,01
|
0,00
|
0,00
|
100,00
|
| Незавершене будівництво
|
020
|
2985,10
|
25,00
|
3222,80
|
23,26
|
237,70
|
-1,74
|
107,96
|
| Основні засоби:
|
| залишкова вартість
|
030
|
2671,00
|
22,37
|
2504,80
|
18,08
|
-166,20
|
-4,29
|
97,82
|
| первісна вартість
|
031
|
4206,90
|
35,24
|
4534,70
|
32,73
|
327,80
|
-2,51
|
107,79
|
| знос
|
032
|
1535,90
|
12,86
|
2029,90
|
14,65
|
494,00
|
1,79
|
132,16
|
| Довгострок фін інв:
|
| в кап ін підприємств
|
040
|
16,00
|
0,13
|
16,00
|
0,12
|
0,00
|
-0,01
|
100,00
|
| ін фін інвестиціі
|
045
|
-
|
-
|
5,70
|
0,04
|
5,70
|
0,04
|
-
|
| Усього за розділом 1
|
080
|
5673,40
|
47,52
|
5750,60
|
41,50
|
77,20
|
-6,02
|
101,36
|
| 2. Оборотні активи
|
| Запаси:
|
| виробничі запаси
|
100
|
1338,60
|
11,21
|
1111,30
|
8,02
|
-227,30
|
-3,19
|
83,02
|
| твар на відгодівлі
|
110
|
259,50
|
2,17
|
496,0
|
3,58
|
236,50
|
1,41
|
191,14
|
| незавершене виробн
|
120
|
440,30
|
3,69
|
96,80
|
0,70
|
-343,50
|
-2,99
|
21,99
|
| готова продукція
|
130
|
873,80
|
7,32
|
2603,00
|
18,79
|
1729,2
|
11,47
|
297,89
|
| товари
|
140
|
35,40
|
0,30
|
-
|
-
|
-35,40
|
-0,30
|
-
|
| Дебітор. заборг.
|
| чиста реалізац варт
|
160
|
1488,50
|
12,47
|
1883,70
|
13,59
|
395,20
|
1,12
|
126,55
|
| первісна вартість
|
161
|
1488,50
|
12,47
|
1883,70
|
13,59
|
395,20
|
1,12
|
126,55
|
| Дебіт. заборг. розрах
|
| з бюджетом
|
170
|
-
|
-
|
587,70
|
4,24
|
587,70
|
4,24
|
-
|
| за видан авансами
|
180
|
56,40
|
0,47
|
-
|
-
|
-56,40
|
-0,47
|
-
|
| Інша дебітор. заборг.
|
210
|
1667,90
|
13,97
|
1205,50
|
8,70
|
-462,40
|
-5,23
|
72,28
|
| Гр.кошти
|
| в нац валюті
|
230
|
104,10
|
0,87
|
120,50
|
0,87
|
16,40
|
0,00
|
115,75
|
| в іноз валюті
|
240
|
1,00
|
0,01
|
1,20
|
0,01
|
0,20
|
0,00
|
120,00
|
| Усього за розділом 2
|
260
|
6265,50
|
52,48
|
8105,70
|
58,50
|
1840,20
|
6,02
|
129,37
|
| 3.Витрати майбутніх періодів
|
| Баланс
|
280
|
11938,9
|
100
|
13856,3
|
100
|
1917,40
|
0,00
|
116,06
|
| ПАСИВ
|
| 1.Власний капітал
|
| Статутний капітал
|
300
|
20,00
|
0,17
|
20,00
|
0,14
|
0,00
|
-0,03
|
100,00
|
| резервний капітал
|
340
|
4325,40
|
36,23
|
5481,00
|
39,56
|
1155,60
|
3,33
|
126,72
|
| Нерозп прибуток
|
350
|
1155,50
|
9,68
|
1989,00
|
14,35
|
833,50
|
4,67
|
172,13
|
| Усього за розділом 1
|
380
|
5500,90
|
46,08
|
7490,00
|
54,05
|
1989,10
|
7,97
|
136,16
|
| 2.Забезпечення наступних витрат і платежів
|
| Цільове фінансув
|
420
|
-
|
-
|
243,80
|
1,76
|
243,80
|
1,76
|
-
|
| Усього за розділом 2
|
430
|
-
|
-
|
243,80
|
1,76
|
243,80
|
1,76
|
-
|
| 3.Довгострокові зобовязання
|
| Довгостр кред банк
|
440
|
278,00
|
2,33
|
278,00
|
2,01
|
0,00
|
-0,32
|
100,00
|
| Довгостр фін зобов
|
450
|
2495,60
|
20,90
|
2397,40
|
17,30
|
-98,2
|
-3,60
|
96,07
|
| Усього за розділом 3
|
480
|
2773,60
|
23,23
|
2675,40
|
19,31
|
-98,20
|
-3,92
|
96,46
|
| 4.Поточні зобов’язання
|
| Короткострок кр банків
|
500
|
1090,20
|
9,13
|
1291,60
|
9,32
|
201,40
|
0,00
|
118,47
|
| кред заборг за т.р.п.
|
530
|
1932,10
|
16,18
|
1756,50
|
12,68
|
-175,60
|
-0,03
|
90,91
|
| з бюджетом
|
550
|
359,00
|
3,01
|
96,90
|
0,70
|
-262,10
|
-0,02
|
26,99
|
| зі страхування
|
570
|
0,90
|
0,008
|
-
|
-
|
-0,90
|
-,00001
|
-
|
| з оплати праці
|
580
|
60,40
|
0,51
|
60,00
|
0,43
|
-0,40
|
-0,006
|
99,34
|
| Інш поточні зобов’язання
|
610
|
221,80
|
1,86
|
242,10
|
1,75
|
20,30
|
0,00
|
109,34
|
| Усього за розділом 4
|
620
|
3664,40
|
30,69
|
3447,10
|
24,88
|
-217,30
|
-5,81
|
94,07
|
| 5.Доходт майбутніх періодів
|
Баланс
|
640
|
11938,9
|
100
|
13856,3
|
100,00
|
1917,40
|
0,00
|
116,06
|
Складемо порівняльний аналітичний баланс з урахуванням особливостей складу кожного розділу активу і пасиву балансу для більш повного та точного аналізу фінансового стану підприємства (таблиця 2.2).
Таблиця 2.2 - Аналіз змін статей пасиву і активу балансу
| Показники
|
Код
рядка
|
2007 рік
|
2008 рік
|
Зміни
|
| Абс. вел.,
тис.грн.
|
Відн.
вел., %
|
Абс. вел.,
тис.грн.
|
Відн.
вел.,%
|
В абс.вел
тис.грн.
|
В структ.
%
|
Темпи
росту, %
|
| 1
|
2
|
3
|
4
|
5
|
6
|
7
|
8
|
9
|
| Необоротні активи
|
| Нематеріальні активи:
|
| залишкова вартість
|
010
|
1,30
|
0,02
|
1,30
|
0,02
|
0,00
|
0,00
|
100,00
|
| первісна вартість
|
011
|
1,30
|
0,02
|
1,30
|
0,02
|
0,00
|
0,00
|
100,00
|
| Незавершене будівництво
|
020
|
2985,10
|
52,60
|
3222,80
|
56,04
|
237,70
|
3,44
|
107,96
|
| Основні засоби:
|
| залишкова вартість
|
030
|
2671,00
|
47,08
|
2504,80
|
43,56
|
-166,20
|
-3,52
|
97,82
|
| первісна вартість
|
031
|
4206,90
|
74,15
|
4534,70
|
78,86
|
327,80
|
4,71
|
107,79
|
| знос
|
032
|
1535,90
|
1535,9
|
2029,90
|
35,30
|
494,00
|
8,23
|
132,16
|
| Довгострок фін інв:
|
| в кап ін підприємств
|
040
|
16,00
|
0,28
|
16,00
|
0,28
|
0,00
|
0,00
|
100,00
|
| ін фін інвестиціі
|
045
|
-
|
-
|
5,70
|
0,10
|
5,70
|
0,10
|
-
|
| Усього необоротних активів
|
080
|
5673,40
|
100,00
|
5750,60
|
100,00
|
77,20
|
0,00
|
101,36
|
| Оборотні активи
|
| Запаси:
|
| виробничі запаси
|
100
|
1338,60
|
21,36
|
1111,30
|
13,71
|
-227,30
|
-7,69
|
83,02
|
| твар на відгодівлі
|
110
|
259,50
|
4,14
|
496,0
|
6,12
|
236,50
|
1,98
|
191,14
|
| незавершене виробн
|
120
|
440,30
|
7,03
|
96,80
|
1,19
|
-343,50
|
-5,84
|
21,99
|
| готова продукція
|
130
|
873,80
|
13,95
|
2603,00
|
32,11
|
1729,2
|
18,16
|
297,89
|
| товари
|
140
|
35,40
|
0,56
|
-
|
-
|
-35,40
|
-0,56
|
-
|
| Дебітор. заборг.
|
| чиста реалізац варт
|
160
|
1488,50
|
23,75
|
1883,70
|
23,24
|
395,20
|
-0,5
|
126,55
|
| первісна вартість
|
161
|
1488,50
|
23,75
|
1883,70
|
23,24
|
395,20
|
-0,5
|
126,55
|
| Дебіт. заборг. розрах
|
| з бюджетом
|
170
|
-
|
-
|
587,70
|
7,25
|
587,70
|
6,35
|
-
|
| за видан авансами
|
180
|
56,40
|
0,90
|
-
|
-
|
-56,40
|
-0,90
|
-
|
| Інша дебітор. заборг.
|
210
|
1667,90
|
26,62
|
1205,50
|
14,87
|
-462,40
|
-11,75
|
72,28
|
| Гр.кошти
|
| в нац валюті
|
230
|
104,10
|
1,66
|
120,50
|
1,49
|
16,40
|
0,17
|
115,75
|
| в іноз валюті
|
240
|
1,00
|
0,12
|
1,20
|
0,01
|
0,20
|
0,11
|
120,00
|
| Усього оборотних активів
|
260
|
6265,50
|
100,0
|
8105,70
|
100,0
|
1840,20
|
0,00
|
129,37
|
| Власний капітал
|
| Статутний капітал
|
300
|
20,00
|
0,36
|
20,00
|
0,27
|
0,00
|
-0,09
|
100,00
|
| резервний капітал
|
340
|
4325,40
|
78,63
|
5481,00
|
73,18
|
1155,60
|
-5,45
|
126,72
|
| Нерозп прибуток
|
350
|
1155,50
|
21,01
|
1989,00
|
26,56
|
833,50
|
5,55
|
172,13
|
| Усього власного капіталу
|
380
|
5500,90
|
100,00
|
7490,00
|
100,00
|
1989,10
|
0,00
|
136,16
|
| Забезпечення наступних витрат і платежів
|
| Цільове фінансув
|
420
|
-
|
-
|
243,80
|
100,00
|
243,80
|
243,80
|
-
|
| Усього
|
430
|
-
|
-
|
243,80
|
100,00
|
243,80
|
243,80
|
-
|
| Довгострокові зобовязання
|
| Довгостр кред банк
|
440
|
278,00
|
10,21
|
278,00
|
10,39
|
0,00
|
0,18
|
100,00
|
| Довгостр фін зобов
|
450
|
2495,60
|
89,70
|
2397,40
|
89,61
|
-98,2
|
-0,09
|
96,07
|
| Ус довгостр зобов
|
480
|
2773,60
|
100,00
|
2675,40
|
100,00
|
-98,20
|
0,00
|
96,46
|
| Поточні зобов’язання
|
| Короткострок кр банків
|
500
|
1090,20
|
29,75
|
1291,60
|
37,50
|
201,40
|
7,75
|
118,47
|
| кред заборг за т.р.п.
|
530
|
1932,10
|
52,73
|
1756,50
|
50,96
|
-175,60
|
-1,77
|
90,91
|
| Поточні з-ння за розрахунками:
|
| з бюджетом
|
550
|
359,00
|
9,80
|
96,90
|
2,81
|
-262,10
|
-6,99
|
26,99
|
| зі страхування
|
570
|
0,90
|
0,02
|
-
|
-
|
-0,90
|
-0,02
|
-
|
| з оплати праці
|
580
|
60,40
|
1,65
|
60,00
|
1,74
|
-0,40
|
0,09
|
99,34
|
| Інш поточні зобов’язання
|
610
|
221,80
|
6,05
|
242,10
|
7,02
|
20,30
|
0,97
|
109,34
|
| Усього поточних зобовязань
|
620
|
3664,40
|
100,00
|
3447,10
|
100,00
|
-217,30
|
0,00
|
94,07
|
За даними таблиці 2.1 видно, що вартість майна підприємства збільшилась на 16,06% або на 1917,40 тис. грн., що може свідчити про збільшення підприємством господарського обороту – що є позитивним для підприємства.
В структурі сукупних активів підприємства питому вагу займають майже порівну необоротні активи (41,50%) та оборотні активи (58,50%). Підприємство має важку структуру активів, що свідчить про значні накладні витрати та про високу чутливість до зміни виручки. При цьому треба зазначити, що в порівнянні з попереднім звітним періодом питома вага необоротних активів в майні підприємства знизилась на 6,02 %. Вартість оборотних активів виросла на 1840,20 тис. грн. (темп росту склав 129,37 %). При цьому доля їх в структурі активів підприємства збільшилась на 6,02 %. Такі зміни можуть бути наслідком сповільнення оборотності оборотних засобів, що є негативною тенденцією.
Як видно з таблиці 2.2, на початок звітного періоду найбільший вклад в формування оборотних активів внесла дебіторська заборгованість за послуги (51,27 %). На кінець року при збільшенні абсолютного значення заборгованості на 464,1 тис. грн. темп росту склав 114,45 %. Взагалі її доля в складі оборотних активів зменшилась на 5,92 % і складає 45,36 %. Питома вага грошових коштів та їх еквівалентів в структурі оборотних активів на початок року – 1,68 %, а на кінець звітного періоду дещо зменшилась і складає 1,50 %.
Структура активів з високою долею заборгованості та низькою долею грошових коштів може свідчити про проблеми, пов’язані з маркетинговою політикою підприємства, а також про переважно не грошовий характер розрахунків.
Досить значна частка в структурі оборотних активів належить виробничим запасам на початок періоду – 47,04 %. Це свідчить про спад активності підприємства , сповільнення оборотності оборотного капіталу, а на кінець року спостерігається їх збільшення: питома вага запасів зросла на 6,10 % і склала – 53,14 %, що не є позитивним.
Зобов’язання підприємства як на початок, так і на кінець звітного періоду майже на 30 % складались із поточних зобов’язань, що свідчить про нераціональну структуру балансу та про існування ризику втрати фінансової стабільності. Протягом звітного періоду сума зобов’язань зменшилась на 5,81 %. Поточні зобов’язання підприємства на початок періоду складалися в основному з кредиторської заборгованості за надані послуги (52,73 %), а на кінець року бачимо зменшення питомої ваги кредиторської заборгованості до 50,96 %. Довгострокові зобов’язання на початок року складали 23,23%, а вже на кінець зменшились до 19,31%.
Власний капітал на початок року в структурі пасивів складав 46,08 %. На кінець звітного періоду питома вага власного капіталу зросла на 7,97 % і склала 54,05 %.
Для повного аналізу майнового стану підприємства необхідно побудувати діаграми фінансового стану. Графічне зображення діаграми по балансу наведено на рисунку 2.1 та 2.2.

Рисунок 2.1 – Діаграма фінансового стану підприємства за 2007 рік

Рисунок 2.2 – Діаграма фінансового стану підприємства за 2008 рік
На рисунку 2.1 та 2.2 зображені діаграми фінансового стану підприємства по балансу. Найбільш суму в активах займають необоротні активи, а в пасиві –власний капітал.
Загальний стан запасів і витрат, протягом двох періодів дещо змінився (11938,9 тис. грн. та 13856,3 тис. грн.).
Для більш повного аналізу майна необхідно також оцінити стан основних засобів, що використовується, за допомогою наступних показників:
Коефіцієнт зношування основних засобів (Кз.н.):
(2.1)
2007 р. - К з.н = 1535,9/4206,9=0,37%;
2008 р.- К з.н =2029,9/4534,7=0,45 %.
Після розрахунку даного показника можна сказати, що знос основних засобів зріс 0,08 %. В 2008 році, у порівнянні з 2007 роком, зросли коефіцієнти зношування та вибуття основних засобів, що свідчить про старіння основних засобів. Проаналізувавши коефіцієнт можна зробити наступний висновок, що в 2007 та 2008 роках підприємство придбало дуже незначну частину нових основних засобів.
Підводячи підсумок можемо стверджувати, що протягом розглянутого періоду для ВАТ ПБК «Славутич» є характерним: зростання активності, збільшення оборотності оборотного капіталу, порівняно нормальний господарський оборот, старіння основних засобів, доволі раціональна структура балансу.
2.3 Деталізований аналіз фінансового стану
ВАТ ПБК «Славутич»
2.3.1 Аналіз фінансової стійкості
Фінансова стійкість підприємства – одна з найважливіших характеристик фінансового стану підприємства, яка характеризує ступінь захищеності інтересів кредиторів та інвесторів, які довгостроково вкладають кошти в діяльність підприємства.
Фінансова стійкість пов’язана із загальною фінансовою структурою підприємства, зі ступенем його залежності від кредиторів і інвесторів. Вона характеризує стабільність діяльності підприємства в довгостроковій перспективі.
Для оцінки оптимальності співвідношення власного і залученого капіталу можна використовувати наступні показники.
1. Коефіцієнт автономії (фінансової незалежності) (Ка) – характеризує частку власного капіталу в загальній сумі капіталу, авансованого в діяльність підприємства:
(2.2)
2007 р.- К а. = 5500,9 /11938,9 = 0,46;
2008 р.- К а. =7490,0 /13856,3 = 0,54.
Значення 0,54 говорить про досить стійке, стабільне і незалежне від зовнішніх кредиторів підприємство. Критичне значення коефіцієнта – 0,5. Чим вище значення, тим більш фінансово стійке, стабільне і незалежне від зовнішніх кредиторів підприємство.
2. Коефіцієнт фінансової залежності (Кф.з
) – характеризує рівень фінансової залежності підприємства від зовнішніх джерел:
(2.3)
2007 р.- К ф.з. = 11938,9 /5500,9 = 2,17;
2008 р.- К ф.з. = 13856,3 /7490,0 = 1,85.
Зменшення цього показника в динаміці свідчить про зростання фінансової залежності.
3. Коефіцієнт фінансового ризику (Кф.р
) – характеризує співвідношення залучених коштів і власного капіталу:
(2.4)
2007 р.- К ф.р. = 6438,0 / 5500,9 = 1,17;
2008 р.- К ф.р. = 6366,3 / 7490,0 = 0,85.
Критичне значення коефіцієнта фінансового ризику – 1, тому значення 0,85 говорить про зменшення фінансового ризику підприємства.
4. Коефіцієнт маневреності власного капіталу (Км
) – показує, яка частка власного капіталу знаходиться в мобільній формі, а яка капіталізована:
(2.5)
2007 р.- Км. = (-172,5) / 5500,9 = -0,03;
2008 р.- Км. = 1739,4 / 7490,0 = 0,23.
Таким чином підприємство має низьку маневреність власного капіталу. Коефіцієнт має бути досить високим (не менше 0,5) для забезпечення гнучкості при використанні власних коштів підприємства; позитивною тенденцією вважається невелике зростання його в динаміці.
5.Чистий робочий капітал (Рк
) – характеризує співвідношення між обіговими активами і короткостроковими зобов’язаннями.
Рк = обігові активи – короткострокові зобов’язання (2.6)
2007 р.- Рк = 6265,5;
2008 р.- Рк = 8105,4 – 243,8 = 7864,9
Збільшення робочого капіталу є позитивним для підприємства. Наявність чистого робочого капіталу свідчить про те, що підприємство здатне не тільки сплатити короткострокові зобов’язання, але й має фінансові ресурси для розширення діяльності і здійснення інвестицій. Рівень достатності чистого робочого капіталу визначається шляхом порівняння з аналогічним показником інших підприємств.
Для оцінки фінансової стійкості підприємства використовуються багато взаємопов’язаних показників. На практиці неможливо досягти покращення одразу всіх показників, так як покращення одного призводить до погіршення іншого. Розрахунок показників наведено в таблиці 2.3
Виходячи із результатів таблиці 2.3 можемо говорити про зростання коефіцієнта автономії на початок періоду - 0,46, а вже на кінець періоду 0,54. Тобто загальна сума капіталу на 54 % сформована за рахунок власник коштів.
Таблиця 2.3 - Показники фінансової стійкості
| Показники
|
Роки
|
Норма
|
Зміни
|
| 2007
|
2008
|
| Коефіцієнт автономії
|
0,46
|
0,54
|
≥0,5
|
0,08
|
| Коефіцієнт фінансової залежності
|
2,17
|
1,85
|
≤2
|
-1,15
|
| Коефіцієнт ризику
|
1,17
|
0,85
|
≤0,5
|
-0,32
|
| Коефіцієнт маневреності власного капіталу
|
-0,03
|
0,23
|
>0
|
0,26
|
| Робочий капітал, тис. грн.
|
6265,5
|
7861,9
|
> 0, ріст
|
1596,4
|
Коефіцієнт фінансової залежності за рік дещо зменшився і становить 1,85 що є досить позитивним. Підприємство є доволі ризиковим, адже на гривню власних коштів припадає лише 1,17 грн. у 2007 р. та 0,85 грн. у 2008 р. запозичених, але зменшення даного коефіцієнта вже є позитивним. Отже, ВАТ ПБК «Славутич» є певним чином залежним від кредиторів, але є фінансово досить стійким з позиції забезпечення власними коштами.
ВАТ ПБК «Славутич» має довгострокові зобов’язання, користується короткостроковими кредитами банків. З одного боку, підприємство має певну залежність від зовнішніх інвесторів та кредиторів, проте водночас це є свідченням досить продуманої та доволі ефективної стратегії, адже підприємство розвивається.
Дане підприємство відрізняється низьким рівнем маневреності власного капіталу у 2007р - <0. Так у 2007 році коефіцієнт маневреності склав -0,03. Це свідчить про недостатність оборотних коштів на підприємстві, що обумовлено високою часткою власних коштів у структурі пасивів підприємства та не досить гнучкою політикою щодо використання власних коштів. В 2008 році покращився на 0,26 пунктів та склав 0,23.
Для більш глибшого і точнішого аналізу фінансового стану підприємства проаналізуємо тип фінансової стійкості підприємства, за допомогою трьохкомпонентного показника фінансової стійкості.
Важливим показником фінансової стійкості підприємства є вид джерел фінансування запасів і витрат (Z). Для його характеристики використовуються наступні показники:
1) Власні обігові кошти:
(2.7)
2007 р. = 5500,9 - 5673,4 = - 172,5
2008 р. = 7490,0 - 5750,6 = 1739,4
2) Власні обігові кошти і довгострокові залучені джерела (функціонуючий капітал):
(2.8)
2007 р. = 5500,9 – 5673,4 +2773,6 =2601,1
2008 р. = 7490,0 - 5750,6 +2675,4 = 4418,4
3) Загальна величина основних джерел формування запасів і витрат:
(2.9)
2007 р. = 5500,9 + 2773,6 +1090,2 – 5673,4 = 3691,3;
2008 р. = 7490,0 + 2675,4 +1291,6 – 5750,6 = 506,4;
Трьом показникам наявності джерел формування запасів і витрат відповідають три показники забезпеченості запасів і витрат джерелам їх формування:
1. надлишок (+) або нестача (–) власних обігових коштів
(2.10)
2. надлишок (+) або нестача (–) власних обігових коштів і довгострокових залучених джерел:
(2.11)
3. надлишок (+) або нестача (–) загальної величини основних джерел:
(2.12)
За допомогою цих показників визначимо трьохкомпонентний тип фінансової стійкості підприємства:
(2.13)
Результати занесемо в таблицю 2.4
Таблиця 2.4 - Визначення типу фінансової стійкості підприємства
| Показники
|
2007 р
|
2008 р
|
| 1
|
2
|
3
|
| 1. Загальна величина запасів і витрат (Z)
|
2947,6
|
4307,1
|
| 2. Наявність власних обігових коштів (Ec
)
|
-172,5
|
1739,4
|
| 3. Розмір функціонуючого капіталу (ET
)
|
2601,1
|
4418,4
|
| 4. Загальна величина основних джерел фінансування запасів і витрат (E∑
)
|
3691,3
|
5706,4
|
| 5.
|
-3120,1
|
-2567,7
|
| 6.
|
-346,5
|
111,3
|
| 7.
|
743,7
|
1399,3
|
| 8. Трьох компонентний показник фінансової стійкості:
|
{0,0,1}
|
{0,1,1}
|
Виходячи із результатів таблиці 3.2, можемо зробити висновок, що визначений трьохкомпонентний показник фінансової стійкості в 2007 році відповідає нестійкому фінансовому стану підприємства (S={0,0,1}), тобто підприємство характеризується недостатністю у підприємства “нормальних” джерел для фінансування запасів. В цій ситуації ще існує можливість відновлення рівноваги за рахунок поповнення джерел власних коштів, скорочення дебіторської заборгованості, прискорення обіговості запасів. А вже в 2008 році для підприємства характерна нормальна фінансова стійкість (S={0,1,1}). В цій ситуації підприємство використовує для покриття запасів крім власних оборотних коштів довгострокові залучені кошти. Цей тип фінансової стійкості є бажаним для підприємства з точки зору фінансового менеджменту.
2.3.2 Оцінка ліквідності та платоспроможності
Фінансовий стан підприємства в короткостроковій перспективі оцінюється показниками ліквідності та платоспроможності, які характеризують можливість своєчасних та повних розрахунків по короткостроковим зобов’язанням перед контрагентами.
Для характеристики ліквідності ВАТ ПБК «Славутич» необхідно провести аналіз ліквідності балансу шляхом групування активів та пасивів по ступеню їх ліквідності (таблиця 2.5).
Таблиця 2.5 – Аналіз ліквідності балансу ВАТ ПБК «Славутич»
| Актив
|
2007 р
|
2008 р
|
Пасив
|
2007 р
|
2008 р
|
Платіжні засоби
|
| 2007 р
|
2007 р
|
| 1
|
2
|
3
|
4
|
5
|
6
|
7
|
8
|
| Л 1
|
105,1
|
121,7
|
П 1
|
1932,1
|
1756,5
|
-1827,0
|
-1827,0
|
| Л 2
|
4121,1
|
6279,9
|
П 2
|
1732,3
|
1934,4
|
2388,8
|
2388,8
|
| Л 3
|
2038,4
|
1704,1
|
П 3
|
2773,6
|
2675,4
|
-735,2
|
-735,2
|
| Л 4
|
5673,4
|
5750,6
|
П 4
|
5500,9
|
7490,0
|
172,5
|
172,5
|
| Баланс
|
11938,9
|
13856,3
|
Баланс
|
11938,9
|
13856,9
|
0
|
0
|
Результати розрахунків показують, що на підприємстві співставлення підсумків груп по активам та пасивам має наступний вигляд:
2007 рік Л1<П1, Л2>П2, Л3<П3, Л4>П4
2008 рік Л1<П1, Л2>П2, Л3<П3, Л4<П4
Як бачимо, протягом розглянутих періодів підприємство має недостачу найбільш ліквідних активів для покриття найбільш термінових зобов’язань. Така нестача коштів складала у 2007 р. 1827 тис. грн. Дефіцит коштів має тенденцію до спадання, так вже у 2008 році він склав 1634,8 тис. грн. Щодо швидкореалізуємих активів, то ситуація значно краща, адже немає нестачі коштів, а також спостерігається зростання, з 2388,8 тис. грн. у 2007 р. до 4345,5 тис. грн. у 2008 р.
Активів, які повільно реалізуються, у підприємства не вистачає і спостерігається тенденція зростання. Щодо активів, які важко реалізуються, то в 2007 р. вони складали 172,5 тис. грн., а вже в 2008 р. спостерігається їх нестача. Таким чином ВАТ ПБК «Славутич» має певні проблеми та нестачу коштів, що призводить до суттєвого погіршення фінансового стану підприємства.
Розрахуємо показники ліквідності і результат занесемо до таблиці 2.6.
Коефіцієнт абсолютної ліквідності:
(2.14)
2007 р. Кабс.л = 105,1 / 3664,4 = 0,029
2008 р. Кабс.л = 121,7 /3690,9 = 0,033
Коефіцієнт швидкої ліквідності:
(2.15)
2007 р. Кшв.л = 4226,2 / 3664,4 = 0,80
2008 р. Кшв.л = 6401,6 / 3690,9 = 1,15
Коефіцієнт загальної ліквідності:
(2.16)
2007 р. Кпок = 6264,6 / 3664,4 = 1,71
2008 р. Кпок = 8105,7 / 3690,9 = 2,20
Таблиця 2.6 - Розрахунок коефіцієнтів ліквідності
| Показники
|
Роки
|
Норма
|
Зміни
|
| 2007
|
2008
|
| 1
|
2
|
3
|
4
|
5
|
| Коефіцієнт абсолютної ліквідності
|
0,029
|
0,033
|
0,2 - 0,35
|
0,004
|
| Коефіцієнт швидкої ліквідності
|
0,80
|
1,15
|
0,7 - 0,8
|
0,58
|
| Коефіцієнт загальної ліквідності
|
1,71
|
2,20
|
1 - 2
|
0,49
|
Як видно із наведеного розрахунку коефіцієнт загальної ліквідності склав у 2007 році 1,71. Спостерігаємо тенденцію до його росту і на кінець аналізуємого періоду він досяг значення 2,20. Дане значення є високим, що є позитивним. Тобто у підприємства вистачає оборотних коштів для погашення короткострокових зобов’язань, що водночас свідчить про нормальну структуру капіталу. Щодо коефіцієнту швидкої ліквідності , то у 2007 році він склав 0,80 а у 2008 році збільшився на 0,35 пунктів і становить 1,15. Бачимо, що він відповідає нормальному рівню, навіть вище. Отже, ВАТ ПБК «Славутич» має можливість погасити короткострокові зобов’язання за рахунок поточних активів за відрахування запасів лише на 115 % при необхідній мінімальній нормі 70 %. Це є доказом раціонального використання фінансових ресурсів. Коефіцієнт абсолютної ліквідності у 2007 році майже у 10 разів нижче рекомендованого оптимального значення, хоч на кінець 2008 року він виріс до 0,033; він значно менший рекомендованої норми, це свідчить про те, що на початок періоду підприємство лише на 2,9 % могло погасити всі свої борги, а на кінець року його платоспроможність збільшилась до 3,3 %. Графічне відображення показників ліквідності – рисунок 2.3

Рисунок 2.3 – Графічне відображення показників ліквідності
Таким чином, бачимо, що ВАТ ПБК «Славутич» має задовільну платоспроможність майже з усіх позицій її аналізу. За проведеним аналізом бачимо що підприємство може лише на 30% погасити свої борги. Так як коефіцієнт абсолютної ліквідності менше норми (0,2). Коефіцієнт швидкої ліквідності відповідає нормальному значенню, крім того у ВАТ нормальна структура балансу, структура капіталу, спостерігається досить раціональне та ефективне використання своїх ресурсів. Можемо говорити про те, що ВАТ має нормальну платоспроможність.
2.3.3 Оцінка ділової активності ВАТ ПБК «Славутич»
В широкому розумінні ділова активність означає всю сукупність зусиль, спрямованих на просування підприємства на ринках продукції, праці та капіталу. Ділова активність проявляється в досягненні поставлених цілей, ефективному використанні економічного потенціалу, розширенні ринків збуту. Для оцінки рівня ділової активності використовують різні показники оборотності. Ці показники мають важливе значення для оцінки фінансового положення підприємства, оскільки швидкість обігу засобів спричиняє безпосередній вплив на платоспроможність фірми, а також може відображати підвищення виробничо-технічного потенціалу фірми.
1. Ресурсовіддача або коефіцієнт обіговості активів:
(2.17)
2007 р. К об. а = 1404,4 / 6265,5 = 0,22
2008 р. К об. а = 1989,0 / 8105,7 = 0,25
2. Коефіцієнт оборотності дебіторської заборгованості:
(2.18)
2007 р. К об дз = 11462,4 / 178,63 = 57,72
2008 р. К об дз = 17010,6 / 198,65 = 85,63
3. Коефіцієнт оборотності кредиторської заборгованості:
(2.19)
2007 р. К об кз = 9596,6 / 1736,8 = 5,21
2008 р. К об кз = 15330,8 / 1844,3 = 8,31
4. Коефіцієнт оборотності запасів:
(2.20)
2007 р. К об з = 9596,6 / 36 47,41 = 2,68
2008 р. К об з = 1533,08 / 3667,35 = 4,25
5. Коефіцієнт оборотності основних засобів або фондовіддача:
(2.21)
2007 р. К осн з = 9596,6 / 2476,8 = 3,87
2008 р. К осн з = 15330,8 / 2587,9 = 5,92
Доцільно також провести розрахунки тривалості обороту дебіторської та кредиторської заборгованості, активів та запасів, що дасть можливість більш повно розкрити стан ділової активності підприємства. Розраховуються ці показники шляхом відношення кількості днів в періоді (360 днів) до відповідного коефіцієнта оборотності.
Розраховані показники ділової активності ВАТ ПБК «Славутич» зведені в таблиці 2.7.
За результатами розрахунків бачимо, що кожна грошова одиниця активів принесла 0,22 грн. реалізованих послуг у 2007 р. при тривалості обороту активів 1636,36 днів, та 0,25 грн. у 2008 р. при тривалості обороту 1440,0 днів, що є дуже позитивним значеннями. Позитивним моментом є зростання оборотності активів та відповідне зменшення періоду обороту на 196,4 дні. Настільки низьке значення коефіцієнту оборотності активів пояснюється важкою структурою активів.
Таблиця 2.7 - Оцінка ділової активності підприємства
| Показники
|
Роки
|
Зміни
|
Темп росту, %
|
| 2007
|
2008
|
| 1
|
2
|
3
|
4
|
5
|
| Коефіцієнт оборотності активів
|
0,22
|
0,25
|
0,03
|
1,13
|
| Коефіцієнт оборотності дебіторської заборгованості
|
57,72
|
85,63
|
27,91
|
1,48
|
| Коефіцієнт оборотності кредиторської заборгованості
|
5,21
|
8,31
|
3,10
|
1,59
|
| Коефіцієнт оборотності запасів
|
2,68
|
4,25
|
1,57
|
1,58
|
| Фондовіддача
|
3,87
|
5,92
|
2,05
|
1,52
|
| Період обороту дебіторської заборгованості
|
6,23
|
4,20
|
-2,03
|
0,67
|
| Період обороту активів
|
1636,36
|
1440,0
|
-196,4
|
0,88
|
| Період обороту кредиторської заборгованості
|
69,23
|
43,32
|
-25,91
|
0,62
|
| Період обороту запасів
|
135,34
|
84,71
|
-50,63
|
0,62
|
Коефіцієнт оборотності дебіторської заборгованості на початок періоду склав 57,72 і до кінця періоду зріс на 1,48%, коефіцієнт оборотності кредиторської заборгованості має тенденцію зростання. Він склав у 2007 році 5,21 та 8,31 у 2008 році. Темп росту склав 159 %. Слід відмітити, що кредиторська заборгованість обертається дещо повільніше за дебіторську заборгованість. Збереження такої тенденції є негативним.
Запаси підприємства за 84 дні перетворюються в реалізовану продукцію Коефіцієнт оборотності запасів складав 2,68 у 2007 році, і до кінця 2008 року збільшився до 4,25. В цілому ділову активність ЗАТ можна охарактеризувати як задовільну, і таку, що позитивно впливає на платоспроможність підприємства.
2.3.4 Аналіз прибутку та рентабельності
Важливим узагальнюючим показником, який характеризує кінцевий результат діяльності підприємства є прибуток. Саме від розміру прибутку, отриманого підприємством, залежить формування оборотних коштів, виконання зобов’язань перед бюджетом, платоспроможність підприємства, доходи акціонерів тощо.
Показники діяльності підприємства групуються в розрізі видів діяльності (рисунок 2.4)
Рисунок 2.4 – Види діяльності підприємства
Аналіз прибутку проводиться методом порівняння фактичних даних за звітний період з фактичними даними за попередній період. Для цього заповнюється таблиця 2.8 і розраховуються показники питомої ваги та змін, що відбулися.
Факторний аналіз являє собою методику комплексного системного вивчення і виміру впливу факторів на величину результативних показників.
Одним з прийомів проведення факторного аналізу є прийом елімінування.
Таблиця 2.8 - Звіт про фінансові результати
| Показники
|
Код
рядка
|
2007 рік
|
2008 рік
|
Зміни
|
| Абс. вел.,
тис.грн.
|
Відн.
вел., %
|
Абс. вел.,
тис.грн.
|
Відн.
вел., %
|
В абс.вел
тис.грн.
|
В структ. %
|
Темпи
росту, %
|
| 1
|
2
|
3
|
4
|
5
|
6
|
7
|
8
|
9
|
| Фінансові результати
|
| Дох від реаліз прод
|
010
|
13719,6
|
20311,8
|
100,00
|
100,00
|
6592,2
|
0,00
|
148,05
|
| Податок на додану вартість
|
015
|
2257,2
|
3301,2
|
16,45
|
16,26
|
1044,0
|
-0,19
|
146,25
|
| Чистий дохід від реалізації продукції
|
035
|
11462,4
|
17010,6
|
83,45
|
83,75
|
5548,2
|
0,30
|
148,40
|
| Собіварт реаліз прод
|
040
|
9596,6
|
15330,8
|
69,95
|
75,48
|
5734,2
|
5,53
|
159,75
|
| Валовий Прибуток
|
050
|
1865,8
|
1679,8
|
13,60
|
8,27
|
-186,0
|
-5,33
|
90,03
|
| Ін операц доходи
|
060
|
1371,3
|
2874,2
|
10,00
|
14,15
|
1502,9
|
4,15
|
209,60
|
| Адмін витрати
|
070
|
890,2
|
635,8
|
6,49
|
3,13
|
-254,4
|
-3,36
|
71,42
|
| Витрати на збут
|
080
|
132,4
|
-
|
0,97
|
-
|
-132,4
|
-0,97
|
-
|
| Ін операц витрати
|
090
|
337,3
|
1012,2
|
2,46
|
4,98
|
674,9
|
2,52
|
300,09
|
| Фін результати від операц діяльності Прибуток
|
100
|
1877,2
|
2906,0
|
13,68
|
14,31
|
1028,8
|
0,63
|
154,81
|
| Інші фін доходи
|
120
|
-
|
78,9
|
-
|
0,39
|
78,9
|
0,39
|
-
|
| Інші доходи
|
130
|
31,3
|
-
|
0,23
|
-
|
-31,3
|
-0,23
|
-
|
| Фін витрати
|
140
|
472,8
|
469,2
|
3,45
|
2,31
|
-3,6
|
-1,14
|
99,24
|
| Ін витрати
|
160
|
31,3
|
366,0
|
0,23
|
1,80
|
334,7
|
1,57
|
1169,33
|
| Фін рез від звич діяльн до оподатк прибуток
|
170
|
1404,4
|
2149,7
|
10,24
|
10,58
|
745,3
|
0,34
|
153,07
|
| Фін рез від звич діяльності Прибуток
|
190
|
1404,4
|
2149,7
|
10,24
|
10,56
|
745,3
|
0,34
|
153,07
|
| Надзвичайні Витрати
|
205
|
-
|
160,7
|
-
|
0,79
|
160,7
|
6,79
|
-
|
| Чистий Прибуток
|
220
|
1404,4
|
1989,0
|
10,24
|
9,79
|
584,6
|
-0,45
|
141,63
|
| Елементи операційних витрат
|
| Матеріальні затрати
|
230
|
8822,2
|
13160,4
|
74,79
|
80,67
|
4338,2
|
5,88
|
149,17
|
| Витр. на оплату праці
|
240
|
1147,6
|
1641,9
|
9,73
|
10,19
|
494,3
|
0,46
|
143,07
|
| Відрах на соц.. заходи
|
250
|
26,4
|
34,5
|
0,23
|
2,14
|
8,10
|
1,91
|
130,68
|
| Амортизація
|
260
|
1059,1
|
494,0
|
8,98
|
3,01
|
-565,1
|
-5,97
|
46,64
|
| Інші операц. витрати
|
270
|
740,0
|
782,6
|
6,27
|
4,53
|
42,6
|
-1,74
|
105,76
|
| Разом
|
280
|
11795,3
|
16113,4
|
100,00
|
100,00
|
4318,1
|
0,00
|
136,61
|
Елімінувати означає усунути, виключити вплив всіх факторів на величину результативного показника, крім одного.
Використовуючи цей прийом, на базі даних таблиці 2.9 визначимо вплив кожного фактора на прибуток від реалізації.
Таблиця 2.9 - Факторний аналіз прибутку
| Показники
|
Код строки
|
Попередній (базовий) рік (Хо)
|
Звітний рік (Х1)
|
Зміна
(∆Х)
|
| 1
|
2
|
3
|
4
|
5
|
| 1. Виручка від реалізації продукції без урахування ПДВ, акцизного збору і інших відрахувань з доходів (В)
|
035
|
11462,4
|
17010,6
|
5548,2
|
| 2 Собівартість реалізованої продукції (С)
|
040
|
9596,6
|
15330,8
|
5734,2
|
| 3. Адміністративні витрати (АВ)
|
070
|
890,2
|
635,8
|
-254,4
|
| 4. Витрати на збут (ЗВ)
|
080
|
132,4
|
-
|
-132,4
|
| 5. Інші оперативні витрати (ІОВ)
|
090
|
337,3
|
1012,2
|
674,9
|
| 6. Фінансові доходи (ФД)
|
130
|
31,3
|
-
|
-31,3
|
| 7. Фінансові витрати (ФД)
|
140
|
472,8
|
469,2
|
-3,6
|
| 8. Податок на прибуток (ПНП)
|
180
|
-
|
-
|
-
|
| 9.Чистий прибуток (ЧП)
|
220
|
1404,4
|
1989,0
|
584,6
|
Вплив факторних показників можна надати у вигляді адаптивної моделі:
ЧП = В-С-АВ-ЗВ-ІОВ+ФД-ФВ-ПНП (2.22)
Розмір виручки від реалізації залежить від ряду факторів (від ціни реалізованої продукції, питомої ваги кожного виду продукції в загальному обсязі реалізації, кількості реалізованої продукції):
(2.23)
Пв – показник структури реалізованої продукції;
N – обсяг реалізації продукції;
Ц – ціна продукції.
Факторну модель собівартості можна надати у вигляді:
(2.24)
Де N – обсяг виробництва продукції;
Пв
– показник структури виробленої продукції;
Ззм
– змінні витрати на виробництво одиниці продукції (собівартість одиниці).
Вплив на розмір чистого прибутку змін цін, обсягу реалізованої продукції і обсягу виготовленої продукції можна визначити і з допомогою індексу цін (Іц).
Визначимо вплив факторів на зміну виручки від реалізації. Загальна зміна виручки від реалізації:
(2.25)
Зміна виручки є результатом впливу двох факторів: ціни реалізації і обсягу реалізованої продукції (з урахуванням структури).
Розрахунок впливу цих факторів можна провести таким чином:
(2.26)
(2.27)
Аналогічно можна розрахувати вплив факторів на зміну собівартості реалізованої продукції:
(2.28)
Якщо собівартість одиниці продукції змінилась тільки лише за рахунок зовнішніх факторів (а саме за рахунок загальної зміни цін), то:
(2.29)
(2.30)
Вплив зміни цін на розмір чистого прибутку можна визначити:
(2.31)
Дослідимо вплив зміни розмірів адміністративних витрат на збут і інших операційних витрат на величину чистого прибутку. Зауважимо, що це фактор зворотного впливу по відношенню до прибутку. В зв’язку з цим у формулу розрахунку додається знак “–“. Зміна чистого прибутку за рахунок зміни величини адміністративних витрат:
(2.32)
Вплив зміни величини фінансових доходів можна визначити:
(2.33)
Вплив зміни величини фінансових витрат визначається:
(2.35)
Вплив величини сплаченого податку на прибуток:
(2.36)
Рентабельність – це показник, що характеризує економічну ефективність.
Існує багато коефіцієнтів рентабельності, які використовуються в залежності від характеру оцінки ефективності фінансово-господарської діяльності підприємства, що в свою чергу, визначає вибір оціночного показника (прибутку). Це може бути чотири різних показники:
¾ валовий прибуток (стр. 050. ф.№2);
¾ операційний прибуток (стр.100 ф.№2);
¾ прибуток до оподаткування (стр.170. ф.№2);
¾ чистий прибуток (стр.220 ф.№2).
В залежності від того, з чим порівнюється обраний показник прибутку, розрізняють дві групи коефіцієнтів рентабельності:
1) рентабельність капіталу;
2) рентабельність продаж.
До першої групи відносять:
1. Рентабельність активів (Ra
) – характеризує, наскільки ефективно підприємство використовує свої активи для отримання прибутку.
(2.37)
Цей показник важливий насамперед для інвесторів.
2. Рентабельність власного капіталу (RE
) – характеризує, наскільки ефективно підприємство використовує власний капітал.
(2.38)
Цей показник важливий насамперед для власників.
До другої групи входять:
1. Валова рентабельність реалізованої продукції (RG
) – характеризує ефективність виробничої діяльності, а також ефективність політики ціноутворення.
(2.39)
2. Операційна рентабельність реалізованої продукції (Rо
) – показує рентабельність підприємства після відрахування витрат на виробництво та збут товарів, тобто затрат, які не відносяться до операційної діяльності.
Якщо, наприклад, валова рентабельність не змінюється, а операційна в динаміці – зменшується, то це може свідчити про збільшення адміністративних та збутових видатків.
(2.40)
3. Чиста рентабельність реалізованої продукції (RN
) – характеризує повний вплив структури капіталу і фінансування підприємства на його рентабельність.
Якщо операційна рентабельність не змінюється, а чиста рентабельність зменшується, це може свідчити про збільшення фінансових видатків, отримання збитків від участі в капіталі інших підприємств або про підвищення суми податкових платежів, що сплачує підприємство.
(2.41)
Для оцінки рентабельності не існує абсолютних загальноприйнятих значень тому, що ці показники різко коливаються за галузями. Але ріст показників рентабельності в динаміці є позитивною тенденцією.
Розрахунок показників рентабельності наведено в таблиці 2.10
Відповідно до результатів таблиці 2.10 можемо зробити наступні висновки: підприємство є досить рентабельним, тобто порівняно ефективно працює та використовує свої ресурси. Всі показники рентабельності позитивні, що є дуже добре. Спостерігається незначна тенденція їх покращення. Збільшення показника операційної рентабельності свідчить про збільшення доходів від операційної діяльності. Ріст показника валової рентабельності свідчить про покращення ефективності виробничої діяльності, а також про ефективність політики ціноутворення в 2007 році. Чиста рентабельність продажу є задовільною, тобто товариство отримує прибуток від продажу. Рентабельність власного капіталу зростає, тобто дохід від кожної інвестованої власниками капіталу гривні зростає.
Таблиця 2.10 - Аналіз показників рентабельності
| № п/п
|
Назва показника
|
2007 рік
|
2008 рік
|
| 1
|
2
|
3
|
4
|
| 1
|
Рентабельність активів, %
|
0,11
|
0,15
|
| 2
|
Рентабельність власного капіталу, %
|
0,22
|
0,31
|
| 3
|
Валова рентабельність реалізованої продукції, %
|
0,14
|
0,08
|
| 4
|
Операційна рентабельність реалізованої продукції, %
|
0,14
|
0,15
|
| 5
|
Чиста рентабельність реалізованої продукції, %
|
0,10
|
0,11
|
При аналізі коефіцієнтів рентабельності найбільше поширення набула факторна модель, основною задачею якої було визначити фактори, які впливають на ефективність роботи підприємства і оцінити цей вплив.

Рисунок 2.5 – Схема факторного аналізу фірми
В основу наданої схеми аналізу лягла наступна модель:
(2.42)
де RN
– чиста рентабельність реалізованої продукції;
RO
– ресурсовіддача;
FD
– коефіцієнт фінансової залежності.
(2.43)
(2.44)
= 0,11*1,57*1,85 = 0,29
= 0,10*1,06*2,17 = 0,23
Загальну зміну рентабельності власного капіталу можна визначити за формулою:
(2.45)
= 0,29 – 0,23 = 0,06
Вплив на зміну коефіцієнта рентабельності власного капіталу зміни показника чистої рентабельності продаж:
(2.46)
= 0,11*1,06*2,17 – 0,10*1,06*2,17 = 0,12
Зміну коефіцієнта рентабельності власного капіталу за рахунок зміни показника ресурсовіддачі:
(2.47)
= 0,11*1,57*2,17 – 0,11*1,06*2,17 = 0,11
Зміну коефіцієнта рентабельності власного капіталу за рахунок зміни коефіцієнта фінансової залежності:
(2.48)
= 0,11*0,15*1,85 – 0,11*0,15*2,17 = -0,004
Таким чином, загальна зміна рентабельності власного капіталу за рахунок факторів:
(2.49)
= 0,12 + 0,11 + (-0,004) = 0,226.
За рахунок збільшення чистої рентабельності реалізованої продукції, показників ресурсовіддачі та фінансової залежності відбулося підвищення рентабельності власного капіталу на 0,06 пункти. Таким чином, ми бачимо, що протягом аналізуємого періоду відбулася позитивна зміна рентабельності власного капіталу – збільшення на 0,226 пункти.
2.4 Інтегральна оцінка та визначення основних проблем та оцінка ризиків діяльності ВАТ ПБК „Славутич”
Ефективне функціонування підприємства передбачає необхідність оцінки ефективного використання всіх ресурсів підприємства. Для кожного суб’єкту господарювання серед багатьох питань виділяють найголовніші для тієї чи іншої галузі. Аналіз ефективності діяльності підприємства передбачає, насамперед, дослідження ефективного використання саме трудових ресурсів як найголовнішого фактору виробництва, що прямо впливає на кінцевий результат діяльності підприємства – одержання прибутку. Виходячи з того, що трудові ресурси є найважливішою складовою ресурсів та чинником розвитку підприємства, їх можна визначити як головний об’єкт економічного управління на підприємстві.
Кількісну оцінку використання трудових ресурсів на підприємстві за збалансованою системою показників можна отримати за допомогою інтегральної оцінки продуктивності праці, заснованої на теорії і методиці аналізу в умовах ринкових відносин. Така підсумкова інтегральна оцінка ураховує всі важливі параметри (показники) виробничої діяльності підприємства, тобто господарської активності за певним напрямком дослідження. Вибір та обґрунтування вихідних показників для оцінки трудових ресурсів підприємства здійснені нами на основі теорії аналізу діяльності підприємства, виходячи з потреб суб’єктів управління в аналітичній оцінці.
Розробка алгоритму проведення інтегральної оцінки ефективності використання трудових ресурсів була проведена нами шляхом здійснення декількох наступних етапів.
На першому етапі було встановлено рівень відповідності між фактичним і еталонним значеннями показників, при цьому було встановлено ступінь значимості досягнення запланованого результату кожного з показників для досліджуваного підприємства.
На другому етапі проведено окремий розрахунок інтегральної оцінки показників, що характеризують кожну із запропонованих нами складових збалансованої системи: фінансову складову, внутрішні бізнес-процеси, трудовий потенціал і складову маркетингу.
На третьому етапі оцінки збалансованої системи показників використання трудових ресурсів запропоновано розрахунок загального інтегрального показника.
На заключному етапі була здійснена оцінка отриманого результату інтегральної оцінки, а також розробка заходів щодо покращення ефективності діяльності підприємства і їх постійний моніторинг за умов динамічності сучасної економіки.
Проведене дослідження на основі отриманого загального інтегрального показника дозволило сформувати шкалу оцінки рейтингу підприємства в галузі:
| Значення інтегрального коефіцієнту
|
Оцінка діяльності підприємства
|
| 0,01 - 0,21
|
Діяльність підприємства характеризується негативно, ресурси використовуються неефективно, керівництво повинне негайно внести координальні стратегічні зміни.
|
| 0,22 - 0,50
|
Підприємство вразливе у конкурентному середовищі галузі, для більш успішної діяльності необхідно внести зміни в бізнес-процесси діяльності.
|
| 0,51 - 0,64
|
Діяльність підприємства цілком ефективна. Підприємство займає стабільно посереднє місце у галузі, для більш ефективної діяльності необхідно внести корективи на оперативному рівні управління.
|
| 0,65 - 0,89
|
Діяльність підприємства цілком ефективна, воно має конкурентні привілеї, може стати лідером.
|
Проведені дослідження свідчать, що інтегральний показник ефективності використання трудових ресурсів на вітчизняних сільськогосподарських підприємствах за розробленою шкалою коливається у діапазоні 0,51 - 0,64. Це вказує на відносно високу ефективність трудових ресурсів. Детальний аналіз кожної сфери збалансованої системи окремо дозволив виявити причини отримання такого показника діяльності досліджуваних підприємств. На рис. 1 бачимо, розвиток важливих сфер діяльності підприємств: фінанси – 30%, маркетинг – 18%.

Рис. 1 Квадрат трудового потенціалу підприємств промислового сектору економіки згідно збалансованої системи показників
Виявлені позитивні тенденції розвитку ефективності трудових ресурсів значною мірою обумовлені високим рівнем та досконалою системою оплати праці. Вони спонукають не тільки спроможність підприємств залучати до роботи висококваліфікованих, креативних спеціалістів. Висока ефективність трудових ресурсів призводить до спроможності підприємств швидко та своєчасно реагувати на зміни у ринковому середовищі, а також робить підприємство привабливим для інвестицій.
Критерій це головна відрізнювальна ознака і визначальна міра вірогідності пізнання сутіефективності виробництва, у відповідності з якими здійснюють кількісну оцінку її рівня. Суть проблеми підвищення ефективності виробництва (продуктивності виробничо-економічної системи) полягає у тому, що на кожну одиницю витрат – трудових, матеріальних, фінансових – досягати максимально можливого збільшення обсягу виробництва або доходу. Виходячи з цього єдиним економічним критерієм ефективності виробництва можна вважати зростання продуктивності суспільної (живої і уречевленої) праці. У загальному вигляді критерій ефективності виробництва відображає постійно здійснюваний процес максимізації обсягу чистої продукції (національного доходу) по відношенню до витрат живої і уречевленої праці (персоналу і виробничих фондів підприємства). На рівні госпрозрахункового підприємства модифікованою формою єдиного критерію ефективності (продуктивності) його діяльності може слугувати максимізація прибутку за умови економічно обґрунтованої побудови систем цін на вироблювану продукцію та оплату праці залежно від кінцевих результатів виробництва. Між народногосподарським і госпрозрахунковим (комерційним) критеріями принципової розбіжності не існує, оскільки при правильно побудованих цінах на засоби виробництва і кінцеву продукцію збільшення обсягу чистої продукції підприємства справляє адекватний вплив і на величину одержуваного ним прибутку. Кількісна визначеність і зміст критерію знаходить найбільш повне відображення в конкретних показниках ефективності виробництва.
Конкретні види ефективності можуть відокремлюватись не лише за різноманітністю одержуваних результатів (ефектів) діяльності підприємства, про що уже мовилось вище, але й залежно від того, які ресурси (застосовувані чи споживані) беруть для розрахунків. Застосовані ресурси – це сукупність живої і уречевленої праці, а споживані ресурси являють собою поточні витрати на виробництво продукції. В зв’язку з цим у практиці господарювання варто виділяти також ефективність застосовуваних ресурсів і ефективності споживаних ресурсів як специфічні форми прояву загальної ефективності виробництва, тобто мова йде про так звані ресурсний і витратний підходи до визначення її рівня з застосуванням відповідних типів показників.
Узагальнюючим показником ефективності споживчих ресурсів може слугувати показник витрат на одиницю товарної продукції, що характеризує рівень поточних витрат на виробництво (собівартості виготовлення певних виробів). Як відомо, до собівартості продукції споживані ресурси включаються у формі оплати праці (персоналу), амортизаційних відрахувань (основні фонди) і вартості матеріальних ресурсів (оборотні фонди).
До найважливіших узагальнюючих показників ефективності виробництва відноситься частка приросту обсягу вироблюваної продукції за рахунок інтенсивних чинників (інтенсифікація виробництва). Це зумовлюється тим, що в сучасних умовах господарювання економічно і соціально вигіднішим є не екстенсивний (шляхом збільшення обсягу застосованих ресурсів), а саме інтенсивний (за рахунок кращого використання наявних ресурсів) розвиток виробництва.
Визначення частки приросту обсягу продукції за рахунок інтенсифікації виробництва наведено у таблиці 2.14.
У процесі вимірювання ефективності виробництва не слід ігнорувати визначення народногосподарського ефекту використання продукції як практично важливого узагальнюючого показника, оскільки при оцінці усіх видів діяльності підприємства обов’язково треба врахувати ступінь задоволення різноманітних потреб споживачів його виробів. Народногосподарській ефект використання продукції того чи іншого підприєм-ства у сфері її споживання обчислюється у вигляді приросту чистого прибутку (доходу), тобто загального ефекту (збільшення прибутку в наслідок зростання обсягу виробництва і продуктивності праці, економії експлуатаційних витрат і інвестиційних ресурсів тощо) за вирахуванням вартості придбання продукції виробничо-технічного призначення.
Таблиця 2.14 - Визначення частки приросту обсягу продукції за рахунок інтенсифікації виробництва
| Показники
|
Періоди
|
| базисний
|
розрахунковий
|
| 1. Обсяг виробництва продукції, тис. одиниць.
|
32000
|
50000
|
| 2. Приріст обсягу продукції, %.
|
-
|
56,25
|
| 3. Чисельність працюючих у сфері матеріального ви-робництва, тис. чол.
|
15000
|
-
|
| 4. Утворений національний доход, тис. од.
|
125000
|
-
|
| 5. Коефіцієнт повних витрат праці (15000:125000)
|
0,12
|
-
|
| 6. Чисельність працюючих на підприємстві, чол.
|
4000
|
4800
|
| 7. Основні фонди за відновною вартістю, тис. од.
|
28000
|
34000
|
| 8. Оборотні фонди (запаси товарно-матеріальних цін-ностей), тис. одиниць.
|
8000
|
9000
|
| 9. Сума основних і оборотніх фондів, тис. одиниць.
|
36000
|
43000
|
| 10. Ресурси уречевленої праці у перерахуванні на се-редньорічну кількість працівників, тис. чол. (36000*0,12; 43000*0,12)
|
4320
|
5160
|
| 11. Сума застосовуваних ресурсів, тис. чол. (4000 + 4320; 4800+5160)
|
8320
|
9960
|
| 12. Приріст застосовуваних ресурсів у розрахунково-му періоді, %.
|
-
|
19,8
|
| 13. Частка приросту обсягу у продукції за рахунок інтенсифікації виробництва, %. [100(1-19,8/56,25)]
|
-
|
64,8
|
Сферою визначення і постійного контролю повинен бути охоплений також показник загальної рентабельності виробництва, що визначається шляхом розрахунку відношення одержаного прибутку до обсягу застосовуваних виробничих фондів.
Щодо решти системи показників, диференційованої за видами ресурсів і окресленої вище, то вони використовуються у відповідності з наперед визначеними метою вимірювання ефективності і напрямками застосування його результатів. Існує бодай дві загальні і постійно діючі мети: 1) виявлення, оцінка і узагальнення відносної ефективності виробничих підрозділів і діяльності функціональних ланок з наступним вишукуванням пріоритетних напрямків мотивізації та реальних механізмів впливу на її позитивну динаміку в майбутньому; 2) порівняння ступеня ефективності, досягнутого даним підприємством і його конкурентами на ринку, щоб не допустити зниження престижу і конкурентоспроможності у сфері бізнесу.
Перш за все необхідно зазначити, що неухильне зростання соціальної ефективності є кінцевою метою сукупної виробничо-господарської і комерційної діяльності підприємств. З огляду на це економічна ефективність відносно соціальної слід вважати проміжною. Саме рівень економічної результативності функціонування підприємств слугує матеріальною і фінансовою базою розв’язання будь-яких соціальних проблем. З урахуванням цієї можливої обставини треба оцінювати соціальну ефективність. Проте об’єктивна оцінка соціальної ефективності зараз наражується на істотні труднощі, пов’язані з відсутністю науково-обгрунтованої і загально визнаної методики визначення її рівня. Вочевидь, таке явище зумовлене не лише браком уваги відповідних галузей науки до розв’язання цієї вкрай актуальної проблеми, але й надзвичайною складністю самих соціальних процесів. Тому за цих умов можна старатися на дещо інтуїтивне і імперичне уявлення про принципові підходи до оцінки соціальної ефективності.
По-перше, треба виходити з того, що соціальна ефективність повинна визначатись на двох рівнях: локальному (на тому чи іншому підприємстві її що до ступеня задоволення певної сукупності соціальних потреб своїх робітників) та муніципальному і загальнодержавному (ступінь соціального захисту людей і рівня забезпечення соціальних потреб різних верств населення з боку місцевих органів та держави в цілому).
По-друге, дуже важливим є визначення абсолютних масштабів і відносного рівня задоволення різноманітних соціальних потреб працівників того чи іншого підприємства за рахунок власних матеріальних і фінансових коштів, нагромаджених ним внаслідок виробничо-господарської і комерційної діяльності, застосування нових форм господарювання. До соціальних потреб робітників, які можуть бути задоволені підприємством у певній мірі (залежно від наявних можливостей), зокрема відносяться: збільшення розміру оплати праці понад встановлений державою мінімальний рівень заробітної плати; оплата значної частини вартості або надання безкоштовних путівок до лікувально-оздоровчих закладів; дотації закладам громадського харчування підприємств; надання безповоротної позички на придбання кооперативного житла і зведення дачних будинків; будівництво і утримання власного житлового фонду, баз відпочинку, будинків культури, поліклінік, дитячих дошкільних закладів, спортивних споруд; забезпечення нормальних (не шкідливих до здоров’я) умов праці і належної охорони навколишнього природного середовища; направлення на навчання до середніх спеціальних і вищих навчальних закладів молодих працівників з виплатою стипендій, підготовка необхідних для ринково-комерційних структур підприємства спеціалістів у спеціальних навчальних центрах (інститутах менеджменту, школах бізнесу і підприємництва), стажування керівників і спеціалістів у зарубіжних фірмах; створення підсобних сільськогосподарських підприємств тощо.
По-третє, при загальній оцінці соціальної ефективності треба врахувати також ряд соціально важливих заходів, постійно здійснюваних за рахунок муніципальних (місцевих) і загальнодержавного бюджетів, що формуються, як відомо, під безпосереднім впливом існуючої системи оподаткування виробничих та інших прибуткових підприємств, а також їх спонсорської і благодійницької діяльності. Основними з таких заходів є: встановлення і регулювання мінімальної заробітної плати по всім категоріям працюючих на підприємствах і організаціях різних видів та сфер народного господарства; встановлення і виплата пенсій, стипендії, фінансової допомогу багатодітним сім’ям; індексація заробітної плати і пенсій у відповідності з динамікою роздрібних цін на товари споживання; регулювання продажних цін на певні види товари для населення і вартості комунальних послуг; бюджетне фінансування організацій і підприємств невиробничої сфери; реалізація загальнодержавних соціальних програм тощо.
По-четверте, конкретне визначення рівня соціальної ефективності повинно охоплювати кількісне вимірювання і оцінки ефекту та витрат по усій сукупності заходів, зміст і характер яких дозволяє це зробити, а також якісну характеристику і виявлення впливу на ефективність таких груп заходів, по яких кількісне вимірювання прямого ефекту є неможливим. Кількісне вимірювання соціальної ефективності окремих груп здійснюваних заходів зводиться до обчислення непрямого економічного ефекту і витрат на його досягнення з наступним його порівнянням. При чому єдиною методикою розрахунку такого ефекту не існує. Тому в кожному окремому випадку слід застосовувати специфічний спосіб його визначення, який став уже відомим з оприлюднених наукових розробок або ще невідомий, але рекомендується консультантами попередницько-впроваджувальної організації чи спеціалістами у цій галузі відповідної управлінської структури підприємства (міністерства, комітету, чи іншого державного органа влади). Якісна характеристика ефективності певних груп соціальних заходів повинна передбачати більш-менш детальний опис її реального (можливого) впливу на результативність виробництва і життєдіяльність населення (його окремих верств). За інших різних умов результати кількісного вимірювання соціальної ефективності треба доповнювати якісними характеристиками заходів, що впливають на неї, і на цій підставі формулювати загальні висновки щодо її рівня і динаміки.
Аналіз фінансового стану підприємства є необхідним етапом для розробки планів і прогнозів фінансового оздоровлення, а також зниження ризиків діяльності підприємств.
Оцінка ризиків дозволяє компанії усвідомити й урахувати, у якому ступені потенційні події можуть вплинути на досягнення її цілей. Ці події оцінюються із двох точок зору - імовірності виникнення й ступені впливу. Природним бажанням власника є одержання якоїсь інтегральної оцінки, однак це не дозволяє зробити широкий розкид видів ризиків, а також самі мети власника стосовно контрольованому їм бізнесу.
Задум і випуск нової продукції характеризуються певним ризиком, вимагають певною часу. В середньому лише одна з п’ятдесяти ідей забезпечує комерційний успіх.
Оцінка ризиків дозволяє компанії усвідомити й урахувати, у якому ступені потенційні події можуть вплинути на досягнення її цілей. Ці події оцінюються із двох точок зору - імовірності виникнення й ступені впливу. Природним бажанням власника є одержання якоїсь інтегральної оцінки, однак це не дозволяє зробити широкий розкид видів ризиків, а також самі цілі власника стосовно контрольованому їм бізнесу.
За різними оцінками, порядку 70%-75% ринкової вартості бізнесу великих компаній складають їхні нематеріальні активи, які зосереджені в правах на розробку родовищ корисних копалин, різних патентних розробках, а також кадровому й брендовом потенціалах компаній.
Ризики компаній розподілені нерівномірно й знаходяться у деякій залежності від їхньої галузевої приналежності. Для експортно-орієнтоваиих підприємств високі політичні ризики, у той час як для компаній з переважною орієнтацією на внутрішні ринки характерні соціально-трудові ризики.
Ризики корпоративного управління є найбільш вагомими внутрішніми нефінансовими ризиками в компанії. Основними учасниками в управлінні акціонерною компанією виступають її власники, менеджмент, а також сторонні зацікавленої особи (стейкхолдери).
Ризики реалізації прав акціонерів виражаються в здатності менеджерів або мажоритарних акціонерів компанії впливати на процес реєстрації прав власності. Компанії із чисельністю акціонерів більше 50 зобов'язані виконувати облік прав власності за допомогою реєстратора. При аналізі реєстратора істотне значення має його незалежність від акціонерів і менеджменту компанії.
У складі акціонерів компанії присутні особи, у руках яких концентрація власності становить понад 75%, тому необхідність у колегіальності прийняття управлінських рішень різко падає. Також знижується можливість миноритарных акціонерів брати участь у прийнятті рішень і керуванні компанією, що дестимуює розвиток системи корпоративного управління в акціонерному товаристві.
Показником захищеності прав акціонерів служить поріг угоди (в % від балансової вартості активів), на проведення якої потрібне згода ради директорів. У компанії поріг установлений у розмірі 25%, його зниження, наприклад, до 10%, демонструє небажання власників відійти від керування, продиктоване слабким рівнем менеджменту.
Основним джерелом оцінки компанії із зовнішньої сторони є інформація, що розкриває акціонерним товариством про себе. Її якість багато в чому визначається внутрішнім становищем про інформаційну політику підприємства, що вказує принципи, обсяг і порядок надання інформації зовнішнім користувачам, що дозволяє стейкхолдерам сформувати якісь очікування стосовно компанії. При цьому в українській практиці корпоративного керування якість розкритої інформації багато в чому залежить від того, чи обертаються акції на фондовому ринку, чи готовиться компанія до проведення IPO.
Першим і найбільш доступним джерелом інформації про компанії є її Інтернет-сайт, на якому на російській, англійській й іншій мовах містяться основні документи, а також відображається інформація про основних акціонерів, менеджмент компанії, результатах діяльності. Основним каналом одержання інформації про компанії є її річний звіт, і, мабуть, єдиний, де топ-менеджмент підприємства може опосередковано позначити стратегічні плани розвитку й оцінити досягнуті результати.
Репутаційний ризик супроводжує компанію на всьому її життєвому циклі. Його виникнення обумовлюється впливом внутрішніх і зовнішніх факторів.
Репутационный ризик тісно пов'язаний з реалізацією подій, що входять до складу операційних, ринкових і фінансових ризиків компанії. Таким чином, його оцінка прямо пов'язана з оцінкою пов'язаних фінансових ризиків (наприклад: зниження доходів від продажів, відкликання банківських депозитів вкладниками й т.п.). Управління репутаційними ризиками на аналізованому підприємстві зводиться до формування комунікацій з основними зацікавленими сторонам: органи державної влади хочуть бачити, що компанія чітко виконує норми законів, є гарним платником податків; суспільство хоче бачити в ній високий рівень соціальної відповідальності; акціонери й інвестори зацікавлені у фінансовій успішності й високій прибутковості діяльності; галузеві експерти й ЗМІ бажають максимальній передбачуваності й відкритості компанії. Часом ці потоки суперечать один одному: так витрати на соціальну підтримку співробітників і добродійність прямо впливають на розмір прибутку й дивідендів.
Аналізуючи фінансовий стан підприємства, з урахуванням особливостей складу кожного розділу активу і пасиву балансу для більш повного та точного аналізу, можемо зробити аналіз фінансових ризиків підприємства.
Структура активів з високою долею заборгованості та низькою долею грошових коштів може свідчити про проблеми, пов’язані з маркетинговою політикою підприємства, а також про переважно не грошовий характер розрахунків.
Досить значна частка в структурі оборотних активів належить виробничим запасам на початок періоду – 47,04 %. Це свідчить про спад активності підприємства , сповільнення оборотності оборотного капіталу, а на кінець року спостерігається їх збільшення: питома вага запасів зросла на 6,10 % і склала – 53,14 %, що не є позитивним.
Зобов’язання підприємства як на початок, так і на кінець звітного періоду майже на 30 % складались із поточних зобов’язань, що свідчить про нераціональну структуру балансу та про існування ризику втрати фінансової стабільності. Протягом звітного періоду сума зобов’язань зменшилась на 5,81 %. Поточні зобов’язання підприємства на початок періоду складалися в основному з кредиторської заборгованості за надані послуги (52,73 %), а на кінець року бачимо зменшення питомої ваги кредиторської заборгованості до 50,96 %. Довгострокові зобов’язання на початок року складали 23,23%, а вже на кінець зменшились до 19,31%.
Коефіцієнт фінансового ризику, що характеризує співвідношення залучених коштів і власного капіталу, у 2007 р. становить 1,17, а у 2008 р. дорівнює 0,85.
Критичне значення коефіцієнта фінансового ризику – 1, тому значення 0,85 говорить про зменшення фінансового ризику підприємства за аналізований період.
3. ПІДВИЩЕННЯ ЕФЕКТИВНОСТІ ФУНКЦІОНУВАННЯ
ВАТ "ЗАПОРІЗЬКИЙ ПИВЗАВОД "СЛАВУТИЧ"
3.1
Напрямки поліпшення фінансових показників ВАТ ПБК «Славутич»
Виходячи із завдань, які стоять перед ВАТ ПБК "Славутич" у цей час, весь комплекс заходів щодо зміцнення фінансового стану підприємства можна об'єднати в шість більших груп:
¾ удосконалювання фінансування діяльності підприємства;
¾ підвищення ефективності використання поточних активів;
¾ удосконалювання стратегії фінансової політики на підприємстві;
¾ удосконалювання тактики фінансової політики на підприємстві;
¾ удосконалювання фінансового планування й прогнозування на підприємстві;
¾ удосконалювання внутрішнього фінансового контролю.
Під вищезгаданими напрямками варто розуміти наступне.
Удосконалювання фінансування діяльності підприємства припускає:
¾ визначення раціональної структури пасивів підприємства (співвідношення між позиковими, притягнутими й власними засобами) з урахуванням припустимого рівня фінансового ризику.
¾ розробку дивідендної політики, роблячи розрахунки по розподілі чистого прибутку на винагороду інвесторів, з одного боку, і самофінансування розвитку й нарощування власних засобів, з іншої сторони;
¾ формування найкращої структури позикових засобів за формою (кредиторська заборгованість, кредит, облігаційна позика), по строках (короткострокові, довгострокові) і вартості.
Удосконалювання фінансової сторони експлуатації активів припускає:
¾ визначення основних напрямків витрати засобів, що відповідають стратегічним і тактичним цілям підприємства;
¾ формування найкращої структури активів;
¾ регулювання маси й динаміки фінансових результатів з урахуванням прийнятного рівня підприємницького ризику.
Удосконалювання стратегії фінансової політики припускає проведення інвестиційної політики, здійснюючи аналіз інвестиційних проектів господарського й фінансового характеру, відбір найкращих з них і наступний фінансовий моніторинг перетворення проектів у життя.
Удосконалювання тактики фінансової політики припускає:
¾ здійснення комплексного оперативного керування оборотними активами й короткостроковими зобов'язаннями підприємства (коштами, дебіторською заборгованістю, запасами сировини й готової продукції, з одного боку, і кредиторською заборгованістю й короткостроковими кредитами, з іншої сторони);
¾ осмислення цінових й інших маркетингові рішення з погляду їхнього впливу на фінансові результати.
Удосконалювання фінансового планування й прогнозування розвитку підприємства припускає визначення фінансових перспектив розвитку підприємства, а також тактичних кроків по забезпеченню своєчасного проведення розрахунків між постачальниками й покупцями з метою попередження нарощування величин дебіторської й кредиторської заборгованостей.
Удосконалювання внутрішнього фінансового контролю припускає аналіз даних бухгалтерського й операційного обліку, а також звітність підприємства, користуючись ними:
а) як матеріалом для оцінки результатів діяльності підприємства, всіх його підрозділів і самого себе;
б) як інформаційною базою для прийняття фінансових рішень.
Виходячи зі специфіки проведеного аналізу фінансової діяльності об'єкта дослідження й теоретичних основ фінансової політики підприємства в умовах втрати платоспроможності, пропонуються наступні напрямки вдосконалювання методів керування оборотними коштами підприємства у ВАТ ПБК "Славутич".
По вдосконалюванню фінансування діяльності підприємства можна запропонувати додати структурі пасивів більш раціональну основу. З іншими кредиторами необхідно провести переговори про продовження строків погашення кредиторської заборгованості. При цьому повинен бути складений план погашення кредиторської заборгованості на наступний рік, що є складовою частиною загального фінансового плану підприємства. Резерви для погашення кредиторської заборгованості в підприємства є. Це, насамперед скорочення дебіторської заборгованості, можливість більше раціонального використання основних засобів (продаж і здача в оренду невикористовуваних автотранспортних засобів, тобто мобілізація необоротних активів), і прискорення оборотності оборотних коштів.
Тому, як основна пропозиція по вдосконалюванню фінансової сторони експлуатації активів пропонується збільшення суми грошових активів у поточному періоді досягається за рахунок наступних основних заходів:
¾ ліквідації портфеля короткострокових фінансових вкладень, по непрофілюючих сферах діяльності;
¾ прискорення обороту дебіторської заборгованості, особливо по товарних операціях за рахунок скорочення строків надаваного комерційного кредиту;
¾ нормалізації розміру поточних запасів товарно-матеріальних цінностей.
У табл. 3.1 представлена динаміка структури оборотних коштів підприємства за 2006-2008 рр.
Рис. 3.1. Основні напрямки вдосконалювання методів керування оборотними коштами ВАТ ПБК "Славутич"
Таблиця 3.1 - Динаміка структури оборотних коштів підприємства за 2006-2008 рр., %
| Показник
|
2006 г.
|
2007 г.
|
2008 г.
|
| в оборотних активах
|
у майні
|
в оборотних активах
|
у майні
|
в оборотних активах
|
у майні
|
| Запаси
|
31,71
|
29,95
|
62,53
|
56,01
|
53,74
|
49,74
|
| у тому числі готова продукція
|
1,54
|
1,45
|
26,26
|
23,52
|
24,90
|
23,05
|
| Дебіторська заборгованість
|
12,50
|
11,81
|
21,25
|
19,03
|
25,49
|
23,60
|
| Кошти
|
5,46
|
5,16
|
4,04
|
3,62
|
1,21
|
1,12
|
За даними табл. 3.1 варто говорити про дуже високу частку запасів, причому її питома вага росте не тільки у вартості оборотних активів ВАТ ПБК "Славутич" (з 31,71 % до 53,74 %), але й у вартості його всього майна (з 29,95 % до 49,74 %).
Запаси в частині готової продукції, створеної на підприємстві ВАТ ПБК "Славутич" так само мають істотну динаміку до росту: у вартості оборотних активів (з 1,54 % до 24,90 %), але й у вартості його всього майна (з 11,81 % до 23,60 %).
Кошти ВАТ ПБК "Славутич" мають істотну динаміку до скорочення: у вартості оборотних активів (з 5,46 % до 1,21 %), але й у вартості його всього майна (з 5,16 % до 1,12 %).
Тому для поліпшення платіжної дисципліни підприємства необхідно контролювати рівень запасів і витрат, тому що основним джерелом виникнення коштів є надходження від покупців, а також посилити вимоги до споживачів продукції підприємства з метою своєчасного виконання платежів за виконані роботи й послуги й відвантаження готової продукції ВАТ ПБК "Славутич".
Зробимо розрахунок нормативу запасів готової продукції ВАТ ПБК "Славутич" з наступних умов:
¾ випуск продукції по виробничій собівартості за 2008 р. 44976 тис. грн.;
¾ кількість днів у періоді 360 дн.;
¾ норма оборотних коштів на готову продукцію - 52 дн. розрахована з умов: час, необхідне на комплектування й нагромадження продукції до необхідних розмірів (37 дн.), на зберігання продукції на складі до відвантаження (3 дн.), на впакування й маркування продукції (4 дн.), на доставку її до станції відправлення й навантаження (8 дн.) 44876/360*52=6482 тис. грн. (округлено до 6500 грн.)
Таким чином, нормування запасів готової продукції дозволило виявити, що для оптимізації структури оборотного капіталу підприємства без шкоди для виробничого й збутового процесу, необхідно скоротити величину запасів і витрат у частині готової продукції з 11586 тис. грн. в 2008 р. до 6500 тис. грн. Даний показник дозволить здійснювати збутовий процес без яких або труднощів з боку підприємства.
Таким чином, підприємству необхідно здійснити реалізацію готової продукції покупцям і замовникам у розмірі 5086 тис. грн.
Даний захід потребує витрат у розмірі 120 тис. грн. за рахунок активізації рекламної компанії підприємства з метою найбільшого залучення споживачів й їхньому інформуванні про діяльності ВАТ ПБК "Славутич" як в Запоріжжі, так і за його межами. Дані витрати будуть віднесені на собівартість.
У цілому це забезпечить вивільнення коштів і дозволить направити їх на погашення кредиторської заборгованості підприємства.
Також запропоновано вивести з обороту короткострокові фінансові вкладення (короткотермінові вклади в банку, що не приносять істотного доходу) у розмірі, рівної 5086 тис. грн. і направити їх на поповнення коштів ВАТ ПБК "Славутич".
У цей час короткострокові фінансові вкладення практично не приносять доходів ВАТ ПБК "Славутич" за рахунок інфляційних процесів, які хоча й не можуть бути розцінені як стагфляція, але і їхня наявність знижує платоспроможність вкладених грошових коштів, тобто засобів, витягнутих з обороту підприємства.
Треба активну увагу приділити розрахункам по дебіторській заборгованості.
Повинна проводитися активна робота з відсилання письмових попереджень, повинні братися й простежуватися виконання гарантійних листів від підприємств й організацій, у яких вони зобов'язуються погасити свою заборгованість за послуги з наданням графіка погашення, на злісних неплатників повинні подаватися справи в арбітражний суд.
Увага повинна бути приділена й бартерним операціям, що забезпечують власні потреби, а так само потреби інших підрозділів ВАТ ПБК "Славутич" у матеріалах, що комплектують й ін.
Робота з невиправданою дебіторською заборгованістю ВАТ ПБК "Славутич" повинна стати стратегічним напрямком фінансової діяльності, і повинна проводитися щодня.
З юридичними особами фахівцям ВАТ ПБК "Славутич" рекомендується проводити:
¾ автопрозвонку (щодня);
¾ прозвін фахівцями групи по роботі з дебіторською заборгованістю великих боржників (більше 100 тис. грн.);
¾ виставляння претензій юридичною службою підприємства;
¾ проведення взаємозаліку й бартеру;
¾ необхідно доробити, відповідно до вимог сьогоднішнього дня програми "санкцій" з метою гнучкого застосування до боржників;
¾ розроблятися положення про проведення взаємозаліків, бартерних й інших операцій, пов'язаних з відшкодуванням боргу;
¾ розроблятися, відділом комп'ютерних технологій, нові форми й програми аналізу по різних напрямках дебіторської заборгованості;
¾ вестися робота із проведення вексельних заліків.
Пропонується за рахунок активізації роботи з дебіторами скоротити величину дебіторської заборгованості до 5274 тис. грн., тобто скоротити на 6586 тис. грн.
За рахунок вивільнених коштів пропонується здійснити розрахунки по кредиторській заборгованості підприємства.
Щоб підтвердити ефективність здійснення даних операцій було зроблено їхнє економічне обґрунтування. По зроблених розрахунках цей напрямок забезпечить зміцнення фінансового стану підприємства й дозволить досягти стійкості.
При цьому коефіцієнти, що характеризують фінансовий стан, приймуть значення, наведені в табл. 3.2.
Показано вплив пропонованих заходів щодо керування оборотними коштами ВАТ ПБК "Славутич" на його фінансову стійкість, ліквідність і платоспроможність.
Пропонується за рахунок активізації роботи з дебіторами скоротити величину дебіторської заборгованості до 5274 тис. грн., тобто скоротити на 6586 тис. грн.
За рахунок вивільнених коштів пропонується здійснити розрахунки по кредиторській заборгованості підприємства.
Щоб підтвердити ефективність здійснення даних операцій було зроблено їхнє економічне обґрунтування. По зроблених розрахунках цей напрямок забезпечить зміцнення фінансового стану підприємства й дозволить досягти стійкості.
При цьому коефіцієнти, що характеризують фінансовий стан, приймуть значення, наведені в табл. 3.2.
Таблиця 3.2 - Коефіцієнти, що характеризують фінансовий стан
| №
|
Найменування показника
|
Умовна позначка
|
На 01.01.09 р.
|
За станом на 01.01.09 р. з урахуванням зроблених заходів
|
| 1
|
2
|
3
|
4
|
5
|
| 1
|
Матеріальні запаси
|
ЗЗ
|
26573
|
21487
|
| 2
|
Короткострокові фінансові вкладення
|
КФВ
|
6000
|
914
|
| 3
|
Дебіторська заборгованість
|
ДЗ
|
11860
|
5274
|
| 4
|
Кошти
|
ДС
|
563
|
5649
|
| 5
|
Оборотні активи всього
|
ОА
|
46523
|
34851
|
| 6
|
Кредиторська заборгованість
|
КЗ
|
25869
|
14197
|
| 7
|
Вартість майна
|
ВБ
|
50623
|
38951
|
| 8
|
Коэф. незалежності
|
0,5 – 0,6 и більше - високе позитивне
|
0,24
|
0,31
|
| 9
|
Питома вага позикових засобів у вартості майна
|
не більше 0,4
|
0,76
|
0,68
|
| 10
|
Коеф. заборгованості
|
не більше1
|
3,12
|
2,17
|
| 11
|
Питома вага дебіторської заборг. у вартості. майна
|
не більше 0,4
|
0,24
|
0,14
|
| 12
|
Частка дебіторської заборгованості в поточних активах
|
не більше 0,7
|
0,25
|
0,16
|
| 13
|
Коеф. забезпеченості мат. запасів власними оборотними коштами
|
близьким к 1
|
0,28
|
0,48
|
| 14
|
Коефіцієнт забезпеченості власними оборотними коштами
|
не менш 0,1
|
0,18
|
0,24
|
| 15
|
Сума власних оборотних коштів підприємства
|
СОС
|
8449
|
8449
|
| 16
|
Сума власних оборотних коштів підприємства
|
И
|
30443
|
23857
|
| 17
|
СОС – МЗ
|
-
|
-18124
|
-13038
|
| 18
|
КФ – МЗ
|
-
|
-16346
|
-11260
|
| 19
|
И – МЗ
|
-
|
3870
|
2370
|
| 20
|
Коефф. поточної ліквідності
|
більше 2,0
|
1,06
|
1,34
|
| 21
|
Коефф. абсолютної ліквідності
|
0,2 – 0,25
|
0,02
|
0,27
|
| 22
|
Коефф. загальної платоспроможності
|
не менш 1
|
0,32
|
0,46
|
Показано вплив пропонованих заходів щодо керування оборотними коштами ВАТ ПБК "Славутич" на його фінансову стійкість, ліквідність і платоспроможність.
Таким чином, ВАТ ПБК "Славутич" буде мати більше високий ступінь фінансової стійкості, але усе ще буде зберігатися недостатність вільних засобів для маневрування, оскільки процес поліпшення фінансового стану на основі керування оборотними коштами - процес не щохвилинний, а створюваний протягом усього звітного періоду.
Після пропонованих заходів буде отриманий більше високий ступінь платоспроможності й ліквідності підприємства.
Таким чином, пропоновані заходи щодо керування оборотними коштами ВАТ ПБК "Славутич" економічно доцільні.
Аналіз господарської діяльності є елементом у системі керування виробництвом, діючим засобом виявлення внутрішньогосподарських резервів, основою розробки науково обґрунтованих планів й управлінських рішень.
ВАТ ПБК "Славутич" можна запропонувати наступні шляхи зміцнення фінансового стану.
На стадії створення виробничих запасів:
¾ впровадження економічно обґрунтованих норм запасу;
¾ проведення маркетингових досліджень по виявленню близько розташованих постачальників;
¾ механізація й автоматизація вантажно-розвантажувальних робіт на складах;
¾ розширення складської системи;
¾ використання тривалих зв'язків між підприємствами.
На стадії незавершеного виробництва:
¾ прискорення науково-технічного прогресу, тобто використання нової техніки й безвідхідних технологій;
¾ розвиток стандартизації;
¾ удосконалювання форм організації виробництва;
¾ використання більше дешевих конструкційних матеріалів;
¾ збільшення частки продукції, що користується попитом у загальному обсязі випуску продукції.
На стадії обігу:
¾ проведення маркетингових досліджень по виявленню близько розташованих споживачів;
¾ удосконалювання системи розрахунків;
¾ збільшення обсягу реалізованої продукції;
¾ ретельна й своєчасна добірка відвантажує продукції, що, по партіях;
¾ своєчасне відвантаження продукції відповідно до контракту.
Так, наприклад, пропонується за рахунок активізації роботи з дебіторами скоротити величину дебіторської заборгованості до 5274 тис. грн., тобто скоротити на 6586 тис. грн.
За рахунок вивільнених коштів пропонується здійснити розрахунки по кредиторській заборгованості підприємства.
По зробленому економічному обґрунтуванню пропонованого треба, щоб цей напрямок забезпечить зміцнення фінансового стану підприємства й дозволить досягти стійкості: ВАТ ПБК "Славутич" буде мати більше високий ступінь фінансової стійкості, але усе ще буде зберігатися недостатність вільних засобів для маневрування, оскільки процес поліпшення фінансового стану на основі керування оборотними коштами - процес не щохвилинний, а створюваний протягом усього звітного періоду. Після пропонованих заходів буде отриманий більше високий ступінь платоспроможності й ліквідності підприємства.
3.2 Проектування заходів, спрямованих на поліпшення фінансових показників діяльності підприємства
В стратегічному плануванні виділяються такі основні напрямки дальшого розвитку підприємства:
1. розроблення (створення) нових видів продукції, тобто розробка, виробництво і продаж нових товарів на вже існуючих для підприємства ринках;
2. розширення ринків збуту, тобто продаж товарів на нових ринках;
3. диверсифікація виробничо-збутової діяльності, тобто розробка і виробництво нових товарів з послідуючим продажем їх на нових ринках.
Якщо, наприклад, підприємство поставило перед собою завданих дальшого росту, а виготовлена ним продукція добре себе зарекомендувала серед споживачів і користується достатньо гнучким попитом, то таке підприємство може вибрати для себе стратегію - дальше просування на ринок і тактику - зниження ціни. Завдання дальшого розвитку підприємства може бути також вирішене шляхом розроблення (створення) нових видів продукції, що потребує витрат на технологічні дослідження, або розширення ринків збуту, що потребує витрат на маркетинг цих ринків. Якщо оточення даного підприємства представлено порівняно невеликими фірмами, які відрізняються за своїм орієнтуванням на ринок і технологічними можливостями, то можна вибрати стратегію диверсифікації, намагаючись придбати або контролювати інші фірми. Треба також мати на увазі ще такі особливості поведінки підприємств. Щоб вижити, вони застосовують різні варіанти стратегії, які передбачають:
¾ розпорошення ризику, тобто здійснення своїх операцій не на одному, а на кількох ринках, а також виробництво цілого ряду товарів широкого асортименту;
¾ адаптацію до умов, що змінюються, тобто інвестування в маркетинг, пошук можливостей випуску нових товарів для того, щоб оперативно реагувати на зміну зовнішнього середовища;
¾ пасивний маркетинг, тобто відмова від наступу на позиції конкурента, а звідси - відсутність ризику зустрічного удару;
¾ цільові відрахування з прибутку, тобто створення відповідних резервів в результаті успішної комерційної діяльності на "чорний день".
Після того, як стратегія подальшого розвитку підприємства остаточно вибрана, вона мас бути перетворена в конкретний оперативний план по маркетингу, виробництву, інвестиціям, прибутку. Якщо фінансово-господарський стан підприємства визнано поганим, розробляються пропозиції стосовно його санації. Санація підприємства може здійснюватись шляхом: погашення боргів підприємства;
¾ злиття збиткового підприємства з фінансове міцним підприємством;
¾ переоформлення короткотермінових кредитів у довготермінові;
¾ випуску і розміщення цінних паперів для мобілізації фінансових ресурсів;
¾ продажу майна підприємства-боржника іншому підприємству.
При цьому враховуються соціальні наслідки можливого припинення діяльності підприємства або його окремого виробництва.
Заходи щодо поліпшення фінансового стану ВАТ ПБК «Славутич» .
Так само, як аналіз фінансової підсистеми підприємства припускає комплексну оцінку діяльності всіх аспектів його діяльності, заходи щодо поліпшення фінансового стану припускають вироблення рекомендацій, що стосуються всіх сторін виробничо-господарської діяльності підприємства, включаючи виробничу, маркетингову, і власне фінансову підсистему.
Реорганізація всіх сторін діяльності ВАТ ПБК «Славутич» припускає:
1. Серйозну постановку маркетингової діяльності підприємства по глибокому і всебічному дослідженню ринків збуту по видах продукції, просування зазначених товарів на ринку.
2. Постановку фінансової функції як в операційної, інвестиційної, так і власне фінансової діяльності з використання сучасних методик керування фінансами.
3. Ліквідації всіх технологічних недоліків. ( придбання оптимальної кількості необхідного устаткування).
4. Упровадження максимально гнучкої системи ціноутворення на ВАТ ПБК «Славутич».
5. Пристосованої до потреб ринків.
Керування оборотними активами і поточними зобов'язаннями підприємства. З проведеного в роботі аналізу можна зробити висновок про те, що однієї із самих гострих проблем підприємства є стан поточних активів і пасивів - дефіцит власних оборотних коштів, надзвичайно низькі показники ліквідності й оборотності, високий розмір дебіторської і кредиторської заборгованості, що погіршується ситуація в сфері взаємних розрахунків фірми й ін. Це свідчить як про несприятливість умов зовнішнього економічного, правового фінансового середовища (дефіцит оборотних коштів у покупців і постачальників, дорожнеча і важкоприступність довгострокових кредитів для інвестування виробничої діяльності підприємства, модернізації його технологій і відновлення застарілих основних фондів і ін.). Однак крім об'єктивних проблем функціонування виробничо-господарської діяльності підприємства, очевидні недоліки і прорахунки в керуванні оборотними активами і поточними зобов'язаннями, що, у сполученні з несприятливістю зовнішнього середовища, привели підприємство до досить хитливого фінансового стану. Виходячи з вищевикладеного, одним з основних заходів щодо поліпшення фінансового положення підприємства є оптимізація керування його оборотними активами. При оптимальному керуванні поточні активи і поточні пасиви можуть змінюватися щодня і вимагають ретельного моніторингу. При дефіциті засобів керування поточними активами погіршується і їхнє використання в іншім місці може виявитися найбільш ефективним (наприклад, зменшення витрат на обслуговування кредитів, проведення довгострокових перспективних фінансових вкладень і ін.). В даний час компанія користається кредитами на поповнення оборотних коштів в основному з місцевих джерел. Цьому сприяє наявність на складі величезних запасів готової продукції і товарів, що не призначені під конкретні замовлення.
Можна намітити основні напрямки реформування організації.
Таблиця 3.3 - Форми організаційного поводження
| Характеристики системи
|
Поводження
|
| Прирістне
|
Підприємницьке
|
| Цілі
|
Оптимізація прибутку
|
Оптимізація потенціалу одержання прибутку
|
| Шляхи досягнення цілей
|
Екстраполяція минулих підходів
|
Вироблення якісно нової взаємодії із приводу одержання прибутку
|
| Обмеження
|
Облік факторів зовнішнього середовища
Облік факторів внутрішнього середовища
|
Здатність нейтралізувати вплив зовнішнього середовища
Здатність створити необхідне внутрішнє середовище
Здатність виробити альтернативи розвитку
|
У процесі проведення заходів, спрямованих на забезпечення прибутковості організації необхідно створити надійну соціально-економічну систему. Створити такого роду систему можливо тільки на основі поетапних перетворень; на кожному етапі необхідно одержати результати, що забезпечують подальший економічний ріст. Створюючи образ майбутньої організації необхідно визначити, чи буде їй властиве прирістне або підприємницьке поводження. Не у всіх випадках приріст поводження варто вважати консервативним. Підприємство, що випускає споживчі товари, у початковий період свого становлення в нових економічних умовах може ставити завдання збереження робочих місць й орієнтуватися на ріст продажів по тим товарам, які традиційно випускалися. При цьому елементи підприємницького поводження будуть з'являтися поступово з витисненням прирістного поводження. Стосовно до підприємства це не відповідає вимогам ринкових перетворень і будівельні організації можуть вибрати тільки підприємницьке поводження. Обґрунтування неминучості такого роду перетворень опирається на наступне:
¾ обмеженість ресурсів у підприємств, що вимагає більше ефективного їхнього освоєння, і в цьому зв'язку забезпечити собі пріоритети в одержанні замовлень можливо лише за рахунок прогресивних технологій, ефективних проектних рішень;
¾ наявність істотних розривів у часі між окремими возводимими будівельними об'єктами, що вимагає нового підходу до виконання чергового замовлення при зовнішніх умовах, що змінилися;
¾ обмеження можливості росту обсягів робіт без постійної диверсифікованості в результаті падіння рівня життя, несприятливої демографічної ситуації;
¾ наявність кризової ситуації у виробництві і соціальній сфері.
У відповідність із умовами, які висуваються організації при участі в торгах, конкурентні переваги має організація, що володіє двома головними властивостями. По-перше, сама організація повинна бути конкурентноздатна. Це виражається в її майновому комплексі, накопиченому ринковому досвіді, стійкому фінансовому становищі. Організація активно розвивається й здатна забезпечити низькі витрати будівництва. По-друге, організація робить конкурентноздатну продукцію, що виражається в характеристиках майбутніх виробництв, ефективних конструктивних й об'ємно-планувальних рішеннях, оптимальній вартості будівництва.
Рис 3.2 - Основні напрямки перетворень будівельної організації для забезпечення конкурентних переваг
Створення конкурентних переваг у процесі перетворень можливо шляхом реалізації комплексу мер, що перебувають у нерозривній єдності.
Реалізація кожного з названих заходів вимагають зміни системи керування, іншої якості управлінських рішень по кожному із зазначених заходів.
Організаційні зміни в організації вимагають швидких, сконцентрованих, але в той же час зважених мір. У результаті повинна бути створена організаційна структура, що забезпечує ефективне керування господарською діяльністю.
Таблиця 3.4 - Систематизація організаційних заходів
| Складового механізму керування
|
Організаційні заходи
|
| Поточні
|
Довгострокові
|
| Базисні організаційні елементи
|
Скорочення рівнів ієрархії.
Створення нових структурних одиниць.
Скорочення структурних одиниць, неадекватних ринку.
Створення проектних команд.
Впровадження нових інформаційних технологій.
Система мотивації праці.
Система делегування повноважень.
|
Маркетинг.
Оптимізація виробничих процесів.
Керування кінцевими результатами.
Керування взаємодією з партнерами.
|
| Базисні організаційні елементи
|
Маркетинг.
Оптимізація виробничих процесів.
Керування кінцевими результатами.
Керування взаємодією з партнерами.
|
Створення нової організованої культури.
|
Організаційна структура повинна сприяти створенню такої сукупності управлінських впливів, що здатна забезпечувати надійність організації на тривалий період часу. Ефективної варто вважати структуру, що, не дивлячись на управлінські витрати й число рівнів ієрархії, забезпечує можливість приймати неї в рамках ефективні управлінські рішення. Для успіху проведених заходів необхідно виділити базисні організаційні елементи й інтегровані організаційні змінні й забезпечити ефективні заходи впливу на них. Стосовно до промислової організації це можна представити в такий спосіб.
Таблиця 3.5 - Фази й основні напрямки організаційних змін
Основною метою проведених заходів є зміна господарської діяльності організації й перетворення її в надійну систему, при цьому повинна бути забезпечена фінансова стійкість й економічний ріст організації. Схема заходів щодо збільшення прибутковості роботи організації наведена на мал. 3.5.
При проведенні заходів варто враховувати, що організаційно-економічний механізм досягнення поставлених цілей здатний ефективно функціонувати, якщо будуть враховані не тільки явні цілі. Ідентифікація неявних цілей, переслідуваних працівниками різних рівнів ієрархії свідчить про те, що вони не збігаються у виді різноманіття економічних інтересів, небажання, або невміння пристосуватися до нової економічної ситуації.
Керування процесами перетворень у напрямку підвищення конкурентно здатності продукції вимагає керування витратами, їхньої оптимізації, з метою створення конкурентних переваг на ринку.
Дана будівельна організація, як і багато інших організацій, зберегла внутрівиробничі норми витрати матеріалів, норми запасів, однак у практичній діяльності вони не використаються.
Формування системи керування витратами необхідно будувати на основі нормування всіх витрат з подальшим моніторингом відхилень від норм. Керуючий вплив доцільно направляти на ліквідацію відхилень. У таких випадках керування витратами здобувають цільові настанови, дозволяє концентрувати зусилля на найбільш значних напрямках, що дають істотну економію витрат. У будівництві центри виникнення витрат збігаються з кожною створюваною одиницею продукції - об'єктом будівництва. Однак це не повною мірою ставитися до накладних витрат, які нормуються у відсотках до прямих витрат по об'єктах будівництва, але реально значна частина цих витрат виникає за межами об'єкта й управляють цими витратами керівники організації.
Рис.3.5 - Заходу щодо збільшення прибутковості організації
Рис. 3.6 - Заходу щодо оптимізації витрат
З огляду на взаємозв'язок і взаємозалежність між показниками фінансово-економічного стану, структурою основних засобів, системою керування підприємством можна виділити ряд загальних напрямків діяльності для створення надійної організації й збільшення прибутковості:
¾ розширення сфери діяльності, розвиток і збільшення обсягів робіт, освоєння нових видів послуг;
¾ удосконалювання організаційно-технічного рівня будівництва, забезпечення;
¾ ефективне використання гнучкої цінової політики, активна участь у підрядних торгах і конкурсах інвестиційних проектів і постійне вдосконалювання розрахунків із замовниками за виконані обсяги робіт;
¾ удосконалювання технології виробництва, застосування прогресивних ресурсо- і енергозберігаючих технологій, корінне поліпшення якості продукції з урахуванням вимог ринку й підвищення конкурентної здатності;
¾ впровадження різноманітних форм матеріального й морального стимулювання і відповідальності за результати праці, рішення соціальних проблем колективу.
3.3 Фінансово-економічна оцінка запропонованих заходів
з урахуванням ризиків
В залежності від змісту запропонованих заходів, спрямованих на поліпшення фінансово-господарського стану підприємства, можливі різні кінцеві результати від їх впровадження:
¾ зростання продуктивності праці, обсягів виробництва і прибутку внаслідок повнішого завантаження виробничих потужностей;
¾ збільшення обсягів реалізації і прибутку внаслідок прискоренні обертання оборотних коштів, кращого їх використання;
¾ збільшення випуску традиційної продукції і прибутку внаслідок розширення виробничих потужностей, додаткових капітальних вкладень, залучення позикових коштів;
¾ збільшення прибутку від впровадження заходів, спрямованих н. зниження собівартості продукції;
¾ збільшення прибутку внаслідок зростання випуску вже освоєно конкурентоспроможної продукції;
¾ збільшення прибутку шляхом освоєння виробництва нових конкурентоспроможних виробів;
¾ покращення результатів діяльності внаслідок поліпшення структури власних і позичених коштів, підвищення ліквідності, більш раціонального використання коштів і т. ін.
З урахуванням реалізації запропонованих заходів, спрямованих на поліпшення фінансового стану припустимо основні доходи і витрати в 2008 році. Як наслідок активної діяльності відділу маркетингу, реалізації заходів підвищувальних якість, зовнішній вигляд, асортимент продукції планується підвищити обсяг реалізації продукції, при цьому недоліку чи потужностей недостачі оборотних коштів для виконання плану не відбудеться.
Оскільки збільшення реалізації продукції вимагає незначних додаткових витрат, то збільшення собівартості реалізованої продукції буде прямо пропорційно збільшенню обсягу реалізації.
Прибуток від реалізації розраховується виходячи з обсягів реалізації і собівартості реалізованої продукції.
Таблиця 3.6 - Оцінка ефективності прийнятих рішень
| № п/п
|
Запропонований захід
|
Опис ефекту від запропонованих заходів
|
| 1
|
Організація раціональної системи керування збутом
|
Поліпшення роботи відділу маркетингу, розширення ринків збуту продукції
|
| 2
|
Диверсифікованість виробничої діяльності
|
Збільшення обсягу реалізації продукції Збільшення виторгу від реалізації продукції
Балансового прибутку
|
| 3
|
Зменшення дебіторської заборгованості
|
Поповнення оборотних коштів
Тривалість обороту дебіторської заборгованості - зменшується;
Коефіцієнт абсолютної ліквідності - збільшується.
|
Відповідно до цього застосовуються різні показники для розрахунків і фінансово-економічної оцінки очікуваних результатів: валові доход, валовий прибуток, балансовий прибуток, чистий прибуток, чистий доход тощо.
З урахуванням реалізації запропонованих заходів, спрямованих на поліпшення фінансового стану ВАТ ПБК «Славутич» припустимо основні доходи і витрати в 2009 році. Як наслідок активної діяльності відділу маркетингу, реалізації заходів підвищувальних якість, зовнішній вигляд, асортимент продукції, планується підвищити обсяг реалізації продукції, при цьому недоліку чи потужностей недостачі оборотних коштів для виконання плану не відбудеться. Оскільки збільшення реалізації продукції вимагає незначних додаткових витрат, то збільшення собівартості реалізованої продукції буде прямо пропорційно збільшенню обсягу реалізації.
Установлено, що забезпечення ефективності функціонування підприємства вимагає створення системи керування, спрямованої не тільки на одержання доходу, але й на підтримку високого рівня стійкості, що можливо за допомогою обліку факторів ризику при прийнятті управлінських рішень.
Ризик як економічна категорія являє собою результуючу впливу прийнятих рішень, зовнішніх і внутрішніх умов виробництва на цільові показники в умовах невизначеності, імовірність якої піддається оцінці з деяким ступенем точності.
Для мінімізації несприятливих наслідків ризикових подій пропонується використати в практиці керування виробництвом алгоритми обліку й мінімізації ризиків при розробці й реалізації рішень. Вони, відповідно до принципу прийнятності ризику, передбачають методику відбору й застосування прийомів керуючого впливу, оцінку їхньої ефективності.
При оцінці ринкового ризику підприємств установлено, що на варіацію вартості реалізованої продукції впливають зміна обсягу виробництва, тенденція розвитку й випадкова колеблемость реалізаційних цін. Отримані параметри трендів і коефіцієнти цін доцільно використати при розробці заходів щодо зниження ринкових ризиків.
Найбільш тісний зв'язок з рівнем фінансового ризику підприємств мають коефіцієнти фінансової незалежності, що тече ліквідності, критичної оцінки, динаміка коефіцієнта рентабельності. Отримані за допомогою кореляційного аналізу оцінки рекомендується використати для порівняльного аналізу сили впливу факторів на фінансовий ризик і для прогнозування фінансової стійкості підприємств.
Для зниження ризиків виробництва рекомендуються наступні методи й прийоми:
¾ диверсифікованість видів діяльності, галузей, ринків, партнерів, інвестицій;
¾ страхування; самострахування; дотримання технологій; застосування якісної сировини;
¾ збір і використання інформації; використання виробничих і ринкових контрактів;
¾ організація фінансового менеджменту;
¾ забезпечення наукової організації праці працівників підприємства;
¾ підбор і грамотне розміщення персоналу; навчання й підвищення кваліфікації працівників.
Диверсифікованість галузей і видів продукції підприємства повинна забезпечувати оптимальне їхнє сполучення з погляду мінімізації ризиків і підвищення стійкості підприємства. Із цією метою необхідно використати оптимизационные моделі стохастического програмування, розв'язувані на максимум математичного очікування валового прибутку, що враховують імовірнісний характер рівня врожайності сільськогосподарських культур.
При виконанні цих заходів підприємство покращить ефективність своєї діяльності, вийде з кризи прибутковості, почне зміцнювати свій ресурсний потенціал і ефективно його використовувати, бо неефективне використання фінансових ресурсів призводить до низької платоспроможності підприємства і, як наслідок, до можливих перебоїв у постачанні, виробництві та реалізації продукції; до невиконання плану прибутку, зниження рентабельності підприємства, до загрози економічних санкцій. Підбиваючи підсумок розгляду сутності комплексної оцінки фінансового стану підприємства, слід ще раз підкреслити, що необхідність та значення такої оцінки зумовлені потребою систематичного аналізу та вдосконалення роботи ринкових відносин, переходу до самоокупності, самофінансування, потребою в поліпшенні використання фінансових ресурсів, а також пошуком у цій царині резервів зміцнення фінансової стабільності підприємства.
заключение
Перехід до ринкової економіки потребує від підприємств підвищення ефективності виробництва, конкурентноздатності продукції, послуг на основі впровадження досягнень науково-технічного прогресу, ефективних форм господарювання і керування виробництвом, подолання безгосподарності, активізації підприємництва, ініціативи.
У цих умовах керівник підприємства не може розраховувати тільки на свою інтуїцію. Управлінські рішення і дії сьогодні повинні бути засновані на точних розрахунках, глибокому й всебічному економічному аналізі. Вони повинні бути науково обґрунтованими, мотивованими, оптимальними. Жодне організаційний, технічний і технологічний захід не повинний здійснюватися доти, поки не обґрунтована його економічна доцільність.
Важлива роль у реалізації цих задач приділяється аналізу фінансової діяльності підприємств. З його допомогою виробляється стратегія й тактика розвитку підприємства, улаштовуються плани й управлінські рішення, здійснюється контроль за їхнім виконанням, оцінюються результати діяльності підприємства, його підрозділів і працівників.
Велика роль приділяється аналізу в справі визначення й використання резервів підвищення ефективності виробництва. Він сприяє ощадливому використанню ресурсів, виявленню і впровадженню передового досвіду, наукової організації праці, нової техніки й технології виробництва, попередженню зайвих витрат, різних недоліків у роботі. У результаті цього змінюється економіка підприємства, підвищується ефективність виробництва.
У даній роботі був розглянутий фінансовий стан ВАТ ПБК "Славутич".
В умовах переходу до ринкових відносин самі організації уживають деяких заходів до адаптації, і в окремих випадках це приводить до позитивних фінансових результатів. Як правило мова йде про пасивну адаптацію: продаж і здача майна в оренду; непрофільна діяльність, невиконання договірних зобов'язань, у т.ч. і стосовно своїх працівників; перекручування оподатковуваної бази; бартерні відносини; порушення встановленого порядку розрахунків за роботи й послуги; завищення цін на продукцію й послуги; демпінгова цінова політика, що не забезпечує якість продукції.
Складність і взаємозв'язок проблем, що стоять перед організаціями, дозволяє зробити висновок, що змінити ситуацію шляхом одноразових заходів не можна: потрібні системні й поетапні перетворення з використанням сучасних підходів і методів, а також цілеспрямоване керування ринковими змінами на внутріфірмовому ринку.
Однієї з особливостей існування підприємства в перехідній економіці є те, що повинні бути вирішені проблеми забезпечення задовільного поточного фінансового стану, а також вжиті заходів по забезпеченню економічного росту в перспективі. Для цього необхідно ефективне керування. У цей час керування підприємством є проміжним, перехідним, тому що воно є вже не командно-адміністративним, але ще й не ринковим.
Аналіз діяльності підприємства є елементом у системі керування виробництвом, діючим засобом виявлення внутрішньогосподарських резервів, основою розробки науково обґрунтованих планів й управлінських рішень.
Виходячи із завдань, які стоять перед ВАТ ПБК "Славутич" у цей час, весь комплекс заходів щодо зміцнення фінансового стану підприємства можна об'єднати в шість більших груп:
¾ удосконалювання фінансування діяльності підприємства;
¾ підвищення ефективності використання поточних активів;
¾ удосконалювання стратегії фінансової політики на підприємстві;
¾ удосконалювання тактики фінансової політики на підприємстві;
¾ удосконалювання фінансового планування й прогнозування на підприємстві;
¾ удосконалювання внутрішнього фінансового контролю.
Виходячи зі специфіки проведеного аналізу фінансової діяльності об'єкта дослідження й теоретичних основ фінансової політики підприємства в умовах втрати платоспроможності, пропонуються наступні напрямки вдосконалювання методів керування оборотними коштами підприємства у ВАТ ПБК "Славутич".
По вдосконалюванню фінансування діяльності підприємства можна запропонувати додати структурі пасивів більш раціональну основу. З іншими кредиторами необхідно провести переговори про продовження строків погашення кредиторської заборгованості. При цьому повинен бути складений план погашення кредиторської заборгованості на наступний рік, що є складовою частиною загального фінансового плану підприємства. Резерви для погашення кредиторської заборгованості в підприємства є. Це, насамперед скорочення дебіторської заборгованості, можливість більше раціонального використання основних засобів (продаж і здача в оренду невикористовуваних автотранспортних засобів, тобто мобілізація необоротних активів), і прискорення оборотності оборотних коштів.
Тому, як основна пропозиція по вдосконалюванню фінансової сторони експлуатації активів пропонується збільшення суми грошових активів у поточному періоді досягається за рахунок наступних основних заходів:
¾ ліквідації портфеля короткострокових фінансових вкладень, по непрофілюючих сферах діяльності;
¾ прискорення обороту дебіторської заборгованості, особливо по товарних операціях за рахунок скорочення строків надаваного комерційного кредиту;
¾ нормалізації розміру поточних запасів товарно-матеріальних цінностей.
З огляду на взаємозв'язок і взаємозалежність між показниками фінансово-економічного стану, структурою основних засобів, системою керування підприємством можна виділити ряд загальних напрямків діяльності для створення надійної організації й збільшення прибутковості:
¾ розширення сфери діяльності, розвиток і збільшення обсягів робіт, освоєння нових видів послуг;
¾ удосконалювання організаційно-технічного рівня будівництва, забезпечення;
¾ ефективне використання гнучкої цінової політики, активна участь у підрядних торгах і конкурсах інвестиційних проектів і постійне вдосконалювання розрахунків із замовниками за виконані обсяги робіт;
¾ удосконалювання технології виробництва, застосування прогресивних ресурсо- і енергозберігаючих технологій, корінне поліпшення якості продукції з урахуванням вимог ринку й підвищення конкурентної здатності;
¾ впровадження різноманітних форм матеріального й морального стимулювання і відповідальності за результати праці, рішення соціальних проблем колективу.
У процесі проведення заходів, спрямованих на забезпечення прибутковості організації необхідно створити надійну соціально-економічну систему. Створити такого роду систему можливо тільки на основі поетапних перетворень; на кожному етапі необхідно одержати результати, що забезпечують подальший економічний ріст.
СПИСОК ВИКОРИСТАНОЇ ЛІТЕРАТУРИ
1. Артеменко В.Г., Беллендер М.В. Финансовый анализ. - М. 1997. - 548 c.
2. Бабушкина Е. Анализ финансовых показателей и коэффициентов в системе стратегического планирования компании // http://www.intalev.ua/?id=22700
3. Бень Т.Г. Довбня С.Б. Інтегральна оцінка фінансового стану підприємства // Фінанси України. – 2002. – №6. – С. 21–35.
4. Бердникова1 Т.Б. Анализ и диагностика финансово-хозяйственной деятельности предприятия: Учеб. пособие. – М.:ИНФРА-М, 2001. – 215 с.
5. Бланк И.А. Стратегия и тактика управления финансами. - К. 1996. – 655 с.
6. Василик О.Д. Державні фінанси України: Навч. посібник. - К.: Вища шк., 1997. - 620 с.
7. Гордеева Л.П., Редина Н.И. Финансы Украины: Учебное пособие. -Днепропетровск: Наука й образование, 1997. - 574 с.
8. Грачева Р. Як визначити реальний фінансово-майновий стан свого підприємства. Дебет-кредит 2000. - 34 с..
9. Закон України “Про власність” від 7 лютого 1991 р. №697-XII // http://zakon.rada.gov.ua/
10. Закон України “Про підприємства в Україні” від 27 березня 1991р. №887- XI. // http://zakon.rada.gov.ua/
11. Закон України “Про податок на додану вартість” від 3 квітня 1997 року №168/97-ВР // http://zakon.rada.gov.ua/
12. Зубкова В.И. Экономический анализ: Учебное пособие.– Симферополь: КНЭУ, 2005.– 133 с.
13. Ковалев А.И., Привалов В.П. Анализ финансового состояния предприятия. - М. 1995. – 540 с.
14. Ковалёв В.В. Финансовый анализ: Управление капиталом. Выбор инвестиций. Анализ отчётности. – 2– е изд., перераб. и доп. – М.: Финансы и статистика, 2000. – 518 с.
15. Количественные методы финансового анализа / Под ред. С. Дж. Брауна и М. П. Крицмена. — М.: ИНФРА - М, 1996. — 336 с.
16. Колчина Н.В. Финансы предприятий. - М. 1998. -488 с.
17. Кононенко3 О. Анализ финансовой отчётности. – Харьков: «Фактор», 2002. – 143 с.
18. Крейнина М. В. Финансовое состояние предприятия. Методы оценки. — М.: ИКЦ «ДИС», 1997. — 224 с.
19. Литовских А.М. Финансовый менеджмент: Конспект лекций. - Таганрог: Изд-во ТРТУ, 1999. - 76с.
20. Маркарьян Э.А., Герасименко Г.П. Финансовый анализ. - М. 1997. - 640 с.
21. Павловська О.В., Н.М. Притуляк, Н.Ю. Невмержицька. Фінансовий аналіз. Навчально–методичний по-сібник.– К.: КНЕУ, 2002. – 396 с.
22. Податкова система України / Під ред. В.М. Федосова. - К.: Либідь, 1994. - 448 с.
23. Поддєрьогін А.М. Фінанси підприємств. Підручник. – 6-е вид., перероб. та доп. – К.: КНЕУ, 2006. – 552 с.
24. Положення про порядок здійснення аналізу фінансового стану підприємтсв, що підлягають приватизації. Затверджено Наказом Міністерства Фінансів та Фонду державного майна України №49/121 від 26.01.2001р.
25. Родионова В.М., Федотова М.А. Финансовая устойчивость предприятия в условиях инфляции. - М. 1995. - 515 с.
26. Савицкая Г.В. Анализ хозяйственной деятельности предприятия: 4–е изд., перераб. и доп. – М.: ООО «Новое знание», 2004. – 328 с.
27. Савицкая7 Г.В. Экономический анализ.Учебник. – М.: ООО «Новое знание», 2004.– 640 с.
28. Семенов В. М., Баев И. А., Терехов С. А. и др. Экономика предприятия, под ред. Семенова В. М. — М.: Центр экономики и маркетинга, 1996. — 184с.
29. Теория финансов: Учеб. пособие / Н.Е. Заяц, М.К. Фисенко, Т.Е. Бондарь й др. - Мн.: Высш. шк., 1997. - 455 с.
30. Терещенко О. Дискримінанта модель інтегральної оцінки фінансового стану підприємства // Економіка України. – 2003. – №8. – С.38–44.
31. Учет, контроль и анализ хозяйственной деятельности предприятия в условиях новых форм хозяйствования / Под ред. Шеремета А. Д., Аксененко А.Ф. — М.: МГУ, 1991. — 207 с.
32. Финансм / Под ред. В.М. Родионовой. - М.: Финансьі й статистика, 1996.
33. Финансовое управление компанией / Авт. кол. Дж. В. Смит / Под общ. ред. Кузнецовой. – М., 1995. – 580 с.
34. Финансовый анализ деятельности фирмы.—М:АО Ист-Сервис,1993-240с.
35. Финансы: Учеб. пособие / Под ред. А.М. Ковалевой. - М.: Финансьі й статистика, 1996. -589 с.
36. Філімоненков А.С. Фінансы підприємств. Навчальний посібник.– К.: Кондор. 2005.– 397с.
37. Фінанси підприємств: Підручник / За ред. А.М. Поддєрьогіна. — К.: КНЕУ, 1998. - 560 с.
38. Фінанси підприємств. Навчально-методичний посібник. – Л.Д. Буряк, А.П. Куліш, Г.Г. Нам та ін. – К.: КНЭУ, 2003. – 165 с.
39. Фінансово-аналітичній матеріали сайту Іteam – технологии корпоративного управления – (електрон. ресурс) / спосіб доступу URL: http://www.iteam.ru
40. Фролова Т.А. Фінансовий аналіз: Навчально-методичний посібник. – К.: Іздательство Европейського Університета, 2005. – 252 с.
41. Шеремет А.Д., Сайфулин Р.С. Финансы предприятий. – М.: ИНФРА–М, 2000. – 343 с.
42. Шеремет А.Д., Сайфулин Р.С., Негашев Е.В. Методика финансового анализа. – 3-е изд., перераб. и доп. – М.: ИНФРА–М, 2001. – 208 с.
43. Экономика предприятия: Учебник. /Под ред. О. И. Волкова. — М.: ИНФРА- М, 1997.— 416 с.
|