1
Введение
Электричество – актуальная тема нашего времени. В повседневной жизни каждый так или иначе сталкивается с ним.
В любой квартире или частном доме есть электропроводка. Необходимым и очень важным элементом электропроводки является электросчетчик.
Сейчас в магазинах продается большое количество различных моделей электрических счетчиков. Поэтому бывает проблематично сделать правильный выбор при покупке, а тем более при его монтаже.
Настоящая работа предназначена для изучения принципов функционирования, технических характеристик ,порядка эксплуатации, назначения и монтажа однофазных счетчиков электрической энергии.
1. Однофазные счетчики электрической энергии
Счётчик электрической энергии — прибор для измерения расхода электроэнергии переменного или постоянного тока (обычно в кВт·ч или А·ч). Счетчик электрической энергии по своей конструкции представляет собой сочетание измерителя мощности (ваттметра) со счетным механизмом.
В счётчиках происходит преобразование аналоговых сигналов датчиков тока и напряжения в цифровые величины, на основании которых вычисляется мощность, потребляемая энергия и ряд других параметров. Все данные сохраняются в энергонезависимой памяти счётчиков.
1.1 Виды счетчиков
Они бывают индукционные
,
электронные
и гибридные
. Индукционные(механические) счетчики электроэнергии
из представленных на рынке – самые дешевые, качественные и простые. Но вытесняются из-за отдельных недостатков (отсутствие дистанционного автоматического снятия показаний, однотарифность, погрешности учета) электронными счетчиками.
Цифровые (электронные) счетчики электроэнергии
– на порядок дороже, но гораздо удобнее для не обладающих техническими навыками
2
пользователей, долговечнее (межповерочный период 4-16 лет) и куда точнее в подсчете израсходованной электроэнергии.
Гибридные счетчики электроэнергии – редко используемый промежуточный вариант с цифровым интерфейсом, измерительной частью индукционного или электронного типа, механическим вычислительным устройством.
Счетчики также делятся на: однотарифные и многотарифные (до 48 тарифных планов), с обычной и упрощенной схемой снятия показаний (наличие импульсного выхода для дистанционного учета), с механическим отображением или цифровой индикацией показаний, на образцовые суперточные и обычные (по числовому эквиваленту уровня точности).
Однотарифные предназначены для учета активной электрической энергии в двухпроводных сетях переменного тока. Также они используются для передачи по линиям связи информативных данных на диспетчерский пункт информационно-измерительной системы регистрации потребления электрической энергии.
Многотарифныепозволяют вести многтарифный учет активной энергии в двухпроводных сетях переменного тока. Они могут работать автономно, или входить в состав любых автоматизированных систем учета, в том числе с контролем потребления в соответствии с количеством предварительно оплаченной электрической энергии.
1.2
Обозначение
Счетчики электрической энергии в зависимости от их конструкции, назначения и схемы включения изготавливают различных типов и маркируют буквами и цифрами, которые означают: С— счетчик; А—активной энергии; Р—реактивной энергии; О—однофазный; 3 и 4—для трехпроводной или четырехпроводной сети; У—универсальный; И—индукционной измерительной системы; три следующие цифры характеризуют конструктивное исполнение счетчика. Буквы после них означают: П—прямоточный (для включения без трансформаторов тока), Т— в тропическом исполнении, М— модернизированный.
3
1.3 Типы счетчиков
 |
Счетчик электроэнергии Меркурий-200.2 (5-50)А
- двухтарифный для коммерческого учета активной электроэнергии в однофазных цепях переменного тока, работает как автономно, так и в составе АСКУЭ. |
 |
Счетчик электроэнергии Меркурий-201.6 (10-80)А
- для коммерческого учета активной электроэнергии в однофазных цепях переменного тока и работают как автономно, так и в составе АСКУЭ |
 |
Счетчик электроэнергии Меркурий-230 АМ-00(5-7,5)А
- предназначен для коммерческого учета активной электроэнергии в одном направлении в трёх- или четырёхпроводной сети переменного тока и работают как автономно, так и в составе АСКУЭ. |
 |
Счетчик электроэнергии Меркурий-230 АR-01 (5-50)А
- предназначен для коммерческого учета активной электроэнергии в одном направлении в трёх- или четырёхпроводной сети переменного тока и работают как автономно, так и в составе АСКУЭ. |
 |
Электросчетчик СО 505
(10-40)А 220В - для учета электроэнергии в бытовых условиях, общественных и производственных помещениях. |
 |
Счетчик электроэнергии СО-ЭЭ 6706
- электроизмерительный прибор индукционной системы для учета электроэнергии переменного тока частотой 50 Гц. |
 |
Электросчетчик СОЛО
5(60)220 - для учета и измерения электроэнергии в сетях 220 В частотой 50 Гц. Однотарифный. Класс точности 1,0; 2,0. Номинальный ток 5(60) А. |
 |
Счетчик электроэнергии Соло 5(60)А 220В ЖКИ
- для учета и измерения электроэнергии в сетях 220 В частотой 50 Гц. Однотарифный. Класс точности 1,0; 2,0. Номинальный ток 5(60) А. |
4
1.4 Назначение
Счетчики предназначены для учета потребляемой активной энергии в однофазных сетях переменного тока 0.4 kV с частотой 50/60 Hz и используются для работы с конечными потребителями, производящими индивидуальные расчеты с поставщиком электроэнергии.
Счетчики имеют расширенные функциональные возможности и позволяют
ПОТРЕБИТЕЛЮ:
· Контролировать потребление электроэнергии с учетом развитой структуры тарифов
· Следить за состоянием взаиморасчетов с компанией-поставщиком электроэнергии. При этом, счетчики поддерживают любой режим работы - как с предоплатой, так и в кредит. Режим работы с предоплатой не требует установки в счетчик специальных карт, так как вся необходимая для расчетов информация поступает по каналам связи
· Получать сведения об аварийном состоянии собственной сети
ЭНЕРГОКОМПАНИИ:
· Накапливать данные о потреблении, используя удаленный доступ к счётчикам по каналам связи
· Контролировать и синхронизировать работу счётчиков. Следить за состоянием сети потребления и сети передачи данных
· Осуществлять эффективную политику управления потреблением, исходя из соблюдения клиентами условий договора.
1.5
Основные функции
Счетчики обладают следующими функциональными характеристиками:
· Измеряют активную мощность
· Регистрируют потребляемую энергию
· Отсчитывают время и календарную дату
· Используют вневременной штрафной тариф при несоблюдении потребителем условий договора с энергокомпанией
· Выводят на ЖКИ дисплей потребительские и служебные данные
· Допускают возможность настройки своих функций. Настройка производится специалистами из Энергоцентра
· Эффективно препятствуют попыткам хищения электроэнергии
· Поддерживают работу часов счётчика при отсутствии питания в течение не менее одного часа
Набор исполняемых счётчиком функций задаётся его конфигурацией.
5
1.6
Технические характеристики
| Класс точности |
1.0/2.0 |
| Номинальное напряжение, В |
220 |
| Номинальный и максимальный ток, А |
5-50 |
| Порог чувствительности, Вт, не более |
2,75/5,5 |
| Передаточное число (А) основного передающегоустройства, имп/кВт*ч |
3200 |
| Длительность импульсов основного передающегоустройства, с, не менее |
0,12 |
| Полная потребляемая мощность, Вт, не более |
2 |
| Диапазон рабочих температур, °С |
-35...+55 |
| Габаритные размеры, мм |
185х109х70 |
| Средняя наработка до отказа, час |
140000 |
| Межповерочный интервал, лет |
16 |
| Средний срок службы, лет |
30 |
Гарантия 8 лет со дня ввода в эксплуатацию.
1.7
Область применения
Счетчики применяются для учета потребленной активной электроэнергии в бытовом и мелкомоторном секторе, устанавливаются в помещениях или закрытых шкафах, имеющих дополнительную защиту от воздействия неблагоприятных факторов окружающей среды.
Счётчики позволяют реализовать следующие требования к сети автоматического учета потребляемой электроэнергии:
6
· Накопление и хранение данных в энергонезависимой памяти
· Контроль хищений электроэнергии
2. Монтаж однофазных счетчиков электрической энергии
2.1
Как правильно установить электросчётчик
Главным документом, определяющим правила установки электросчётчиков являются ПУЭ
(Правила Устройства Электроустановок)
, Учёт электроэнергии.
Первое, на что следует обратить внимание перед установкой электросчётчика – это срок давности госповерки электросчётчика. Посмотреть дату госповеркиможно на пломбе кожуха счётчика (не путайте с пломбой энергоснабжающей организации на клеммной крышке). Оттиск на пломбе госповерителя расшифровывается так: римские цифры означают квартал, а две арабские цифры на обратной стороне – год госповерки (рис. 2.1.1).рис. 2.1.1
| На вновь устанавливаемых счетчиках должны быть пломбы государственной поверки с давностью не более 2 лет.
|

Монтаж электросчетчиков следует производить на высоте 0,8 – 1,7 м от пола, принято ставить их на уровне глаз, что в общем-то понятно: удобно для снятия показаний, обслуживания, замены (рис. 2.1.2). Электросчётчик должен стоять ровно, с максимальным уклоном в сторону не более 1°. Это важно скорее для индукционного (электромеханического) счётчика, на погрешности электронного электросчётчика угол наклона никак не скажется. рис. 2.1.2
2.2 Электрощит
.
Правилами не оговорены какие-то конкретные, разрешённые конструкции, исполнения и размеры электрощитов, однако, сказано следующее:
7
Конструкции и размеры шкафов, ниш, щитков и т. п. должны обеспечивать удобный доступ к зажимам счетчиков и трансформаторов тока. Кроме того, должна быть обеспечена возможность удобной замены счетчика и установки его с уклоном не более 1°. Конструкция его крепления должна обеспечивать возможность установки и съема счетчика с лицевой стороны.
Допускается крепление счетчиков на деревянных, пластмассовых или металлических щитках.
|
| Для безопасной установки и замены счетчиков в сетях напряжением до 380 В должна предусматриваться возможность отключения счетчика установленными до него на расстоянии не более 10 м коммутационным аппаратом или предохранителями. Снятие напряжения должно предусматриваться со всех фаз, присоединяемых к счетчику.
|
Однако, иногда, энергоснабжающие организации видят автомат, установленный до счётчика как способ хищения электроэнергии, поэтому, лучше заранее поместить его в специальный бокс, имеющий снаружи петельки для пломбирования. Это, наверняка избавит вас от ненужных вопросов представителей энергоснабжающей организации (рис.2.2).
рис. 2.2
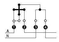
2.3 Схема подключения
однофазного электросчётчика
Однофазные электросчётчики имеют четыре контакта в клеммной колодке. Схемы подключения однофазных электросчётчиков типовые, независимо от типа счётчика. На клемму 1 подаётся питание - фаза, клемма 2 – его выход на нагрузку;
соответственно, приходящий ноль подаётся на клемму 3, его выход на нагрузку – клемма 4 (рис. 2.3.1 и рис. 2.3.2). Применение трансформаторов тока в них не предусмотрен. рис.2.3.1
8

рис. 2.3.2
2.4 Советы при монтаже электрического счетчика
1. При монтаже особо важно обеспечить надежный контакт подсоединяемых проводов. Для обеспечения надежного их подключения необходимо затяжку клеммных винтов производить в два приёма. Сначала без рывков производят затяжку с максимально допустимым усилием, затем затяжка ослабляется до весьма малой величины (но не полностью), а после этого производят вторичную окончательную затяжку с номинальным усилием.
2. При подключении электрического счетчика гибким
медным проводом, необходимо предварительно произвести его лужение оловянно-свинцовым припоем, иначе обеспечить надежное соединение сложно.
3. Спустя полгода после установки электрического счетчика, рекомендуется протянуть его контакты в клеммном ряду, для чего вызвать представителя энергоснабжающей организации.
4. При установке нового индукционного счетчика вы можете обнаружить, что винт напряжения плохо затянут, но это делается преднамеренно при сборке на заводе для удобного заведения провода в первую клемму счетчика. Поэтому винт напряжения рекомендуется затянуть уже после подключения провода к электрическому счетчику.
9
2.5 Замена электрического счетчика
Чтобы производить замену электрического счетчика, нужно иметь группу допуска по электробезопасности не ниже третьей.
Для замены электрического счетчика вам понадобятся следующие инструменты: 1. Однополюсный указатель напряжения (индикатор); 2.Пассатижи;3.Отвертка;4.Изолента;5.Маркер.
2.5.1 Порядок снятия однофазного электрического счетчика:
1.Отключить однополюсные автоматы или вывернуть электрические пробки; 2.Отключить пакетный выключатель или двухполюсный автомат; 3.Снять крышку клеммного ряда счетчика; 4.Проверить отсутствие напряжения заранее проверенным индикатором в клеммном ряду электрического счетчика; 5. Пронумеровать провода счетчика маркером на изоляции слева на право: I, II, III, IV. 6. Отсоединить провод с первой клеммы счетчика и заизолировать его (идеально для изоляции подходит колпачок с иглы медицинского шприца); 7. Отсоединить провод с третьей клеммы счетчика и заизолировать его; 8. Отсоединить провода со второй и четвертой клемм; 9. Снять электрический счетчик.
2.5.2 Порядок установке нового однофазного электросчетчика:
1. Закрепить счетчик в электрощите; 2. Подключить провода на вторую и четвертую клемму с соответствующими номерами; 3. Подключить провод №3 на третью клемму электросчетчика; 4. Подключить оставшийся провод на первую клемму счетчика; 5. Затянуть винт напряжения; 6. Включить пакетный выключатель или двухполюсный автомат; 7. Проверить схему подключения: при правильном подключении индикатор покажет наличие фазы на первой и второй клемме электросчетчика. 8. Включить однополюсные автоматы или ввернуть пробки; 9. Проверить исправность электросчетчика: включить электроприборы и обратить внимание на вращение диска индукционного счетчика либо мерцание светового индикатора электронного счетчика;10. Установить зажимную крышку электросчетчика; 11. Вызвать представителя энергоснабжающей организации для опломбирования электросчетчика и оформления его расчетным.
10
Заключение
Так какой электросчетчик выбрать?
Проще всего узнать об этом можно из технических условий на электроснабжение квартиры или дома. В них непосредственно указан тип электросчетчика, который следует приобрести.А если технические условия отсутствуют?Сегодня сказать какой счетчик лучше достаточно сложно. У каждой модели найдутся свои плюсы и минусы. Как было сказано выше, по принципу работы счетчики разделяются на индукционные и электронные.
Индукционные (привычные нам старые электромеханические электросчётчики) имеют преимущество перед электронными разве, что в разнице их стоимости и, обычно, в более длительном межповерочном интервале. На смену устаревшим индукционным счётчикам сегодня приходят электронные электросчётчики. Вот их основные преимущества: Компактность, Многотарифность, Высокий класс точности. При всем этом все продающиеся в магазинах счетчики соответствуют всем требованиям ГОСТ.
В заключении еще раз напомним: Замена электрических счетчиков должна производится представителем энергоснабжающей организации, который имеет группу допуска не ниже третьей.
Список литературы:
1 Автор: Москаленко В. В. « Справочник электромонтера», Издательство: «Академия», 2007 Страниц:288
2 Автор: Ю. Д. Сибикин. «Справочник электромонтёра по ремонту электрооборудования», Издательство: «РадиоСофт», 2009 г. Объем: 256 стр.
3 Владимир Рощин. «Схемы включения счетчиков электрической энергии. Практическое пособие», Издательство: НЦ ЭНАС, 2002 г., Объем 64 стр.
I4 В. М. Пестриков. «Домашний электрик и не только...» Объем 233 стр.
5 С. Л. Корякин-Черняк. «Краткий справочник домашнего электрика». Объем 186 стр.
6 Интернет
Содержание:
Ведение………………………………………………………. 1
1. Однофазные счетчики электрической энергии………..... 1
1.1 Виды счетчиков………………………………………………… 1
1.2 Обозначение……………………………………………………. 2
1.3 Типы счетчиков………………………………………………… 3
1.4 Назначение………………………..................…………………. 4
1.5 Основные функции…………………………………………….. 4
1.6 Технические характеристики………………………………….. 5
1.7 Область применения…………………………………………… 5
2. Монтаж однофазных счетчиков электрической энергии.. 6
2.1 Как правильно установить электросчетчик…………………... 6
2.2 Электрощит…………………………………………………….. 6
2.3 Схема подключения однофазного электросчетчика………… 7
2.4 Советы при монтаже электрического счетчика……………… 8
2.5 Замена электрического счетчика……………………………… 9
2.5.1 Порядок снятия однофазного электрического счетчика…………. 9
2.5.2 Порядок установке нового однофазного электросчетчика………. 9
Заключение…………………………………………………... 10
Список литературы……………………………………………….. 10
|