Модели межотраслевого баланса Леонтьева
Василий Леонтьев (
1905 – 1999)
— русский экономист, создатель теории межотраслевого анализа, лауреат Нобелевской премии по экономике за 1973 год «за развитие метода „затраты — выпуск“ и за его применение к важным экономическим проблемам».
Основные труды:
«Структура американской экономики» (1941)
«Экономика: метод «затраты — выпуск»
(1966)
«Экономические эссе» (1966)
В XX веке созданы и развиты различные теории и методы регулирования мировой экономики. Востребованность таких исследований особенно возросла после Великой депрессии (1929--1933 г.г.) и Второй мировой войны. Увеличилась необходимость в планировании (текущем, оперативном, стратегическом) и прогнозировании. Объясняется это, прежде всего тем, что современная экономика представляет собой открытую систему, построенную на прямых и обратных горизонтальных и вертикальных связях, и может успешно развиваться только при наличии эффективного управления этими связями, как на макро -, так и на микроуровне. При этом проблема создания рациональной и высокоэффективной межотраслевой экономики чрезвычайно важна для всех стран.
Важным инструментом прогнозирования является разработанный В.Леонтьевым межотраслевой равновесный баланс, позволяющий анализировать экономику, как национальную, так и отдельных регионов и на основе этого вырабатывать адекватные меры.
Действительно, реальное равновесие на рынке возможно лишь при совпадении ожиданий производителей и потребителей, так как на практике равновесие достигается достаточно редко, поскольку в реальной жизни неизбежны экономические кризисы, неполное или неэффективное использование ресурсов. И даже, несмотря на это можно утверждать, что необходимость в балансовом методе очевидна.
Межотраслевой баланс (МОБ, метод «затраты-выпуск») — экономико-математическая балансовая модель, характеризующая межотраслевые производственные взаимосвязи в экономике страны. Характеризует связи между выпуском продукции в одной отрасли и затратами, расходованием продукции всех участвующих отраслей, необходимым для обеспечения этого выпуска. Межотраслевой баланс составляется в денежной и натуральной формах.
Межотраслевой баланс представлен в виде системы линейных уравнений. Межотраслевой баланс (МОБ) представляет собой таблицу, в которой отражен процесс формирования и использования совокупного общественного продукта в отраслевом разрезе. Таблица показывает структуру затрат на производство каждого продукта и структуру его распределения в экономике. По столбцам отражается стоимостный состав валового выпуска отраслей экономики по элементам промежуточного потребления и добавленной стоимости. По строкам отражаются направления использования ресурсов каждой отрасли.
В Модели МОБ выделяются четыре квадранта. В первом отражается промежуточное потребление и система производственных связей, во втором — структура конечного использования ВВП, в третьем — стоимостная структура ВВП, а в четвёртом - перераспределение национального дохода.
История
Возникновение и развитие метода «затраты - выпуск»
Итак, при анализе структурных взаимосвязей в национальной экономике в системе национального счетоводства используется балансовый метод, получивший названия «затраты-выпуск». В его основе лежит идея о том, что описание экономической системы можно осуществлять путём редукции процессов и продуктов, т.е. выражения через другие процессы и продукты.
Эта идея была высказана достаточно давно. Принцип взаимозависимости имеет довольно длинную историю, которая началась еще до Вальраса и Парето. Его истоки можно обнаружить в учении французских физиократов XVIII в., один из которых, Франсуа Кенэ, в своей "Экономической таблице" пытался показать, как происходит движение товаров и денег между различными секторами экономики. Кенэ ставил перед собой задачу доказать преимущественное значение сельского хозяйства в экономике, как и то, что только сельскохозяйственный труд создает доход общества (9,91) . Аналогичную схему разработал и Маркс, но определяющее значение у него имеет уже не сельское хозяйство, а промышленность. Это особенно отчетливо выражено в схемах воспроизводства, содержащихся во II томе "Капитала". Эти "модели", однако, представляли собой довольно общую схему экономики. В схеме Маркса экономика состоит из двух подразделений: производство средств производства и производство предметов потребления; такое деление, несмотря на его слишком широкий характер, с пользой служит экономистам вот уже в течение ряда десятилетий.
Теоретические основы межотраслевого баланса были разработаны в СССР в 1923—1924 гг. В 1930-е годы Василий Леонтьев применил метод анализа межотраслевых связей с привлечением аппарата линейной алгебры для исследования экономики США. Метод стал известен под названием «затраты — выпуск». Во время Второй мировой войны, разработанная Леонтьевым матрица «затраты — выпуск» для экономики Германии служила для выбора целей ВВС США. Аналогичный баланс для СССР, разработанный Леонтьевым, использовался властями США для принятия решения об объемах и структуре Ленд-лиза.
За 1959 год ЦСУ СССР разработало отчетный межотраслевой баланс в стоимостном выражении (по 83 отраслям) и первый в мире межотраслевой баланс в натуральном выражении (по 257 позициям). Одновременно развернулись прикладные работы в центральных плановых органах (Госплане и Госэкономсовете) и их научных организациях. Первые плановые межотраслевые балансы в стоимостном и натуральном выражении были построены в 1962 г. Далее работы были распространены на республики и регионы. По данным за 1966 г. межотраслевые балансы были построены по всем союзным республикам и экономическим районам РСФСР. Советскими учеными были созданы заделы для более широкого применения межотраслевых моделей (в том числе динамических, оптимизационных, натурально-стоимостных, межрегиональных и др.)
В 70-х и 80-х годах в СССР на основе данных межотраслевых балансов разрабатывались более сложные межотраслевые модели и модельные комплексы, которые использовались в прогнозных расчетах и частично входили в технологию народнохозяйственного планирования. По ряду направлений советские межотраслевые исследования занимали достойное место в мировой науке.
В то же время, Леонтьев отчетливо понимал, что теоретические разработки советских ученых не находят практического применения в реальной экономике, где все решения принимались исходя из политической конъюнктуры.
Западные экономисты часто пытались раскрыть "принцип" советского метода планирования. Они так и не добились успеха, так как до сих пор такого метода вообще не существует.
Пример расчета межотраслевого баланса
Рассмотрим 2 отрасли промышленности: производство угля и стали. Уголь требуется для производства стали и некоторое количество стали в виде инструментов требуется для добычи угля. Предположим, что условия таковы: для производства 1 т. стали нужно 3 т. угля, а для 1 т. угля — 0,1 т. стали.
| Отрасль |
Уголь |
Сталь |
| Уголь |
0 |
3 |
| Сталь |
0.1 |
0 |
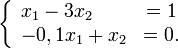
Мы хотим, чтобы чистый выпуск угольной промышленности был тонн угля, а стальной промышленность — тонн стали. Если каждая из них будет производить лишь и тонн, то часть продукции будет использоваться в другой отрасли. Для производства тонн стали требуется тонн угля, а для производства тонн угля нужно тонн стали. Чистый выход будет равен: тонн угля и тонн стали. Нам нужно дополнительно производить уголь и сталь, чтобы использовать их в другой отрасли. Обозначим x1 — количество угля, x2 — количество стали. Валовый выпуск каждой продукции найдем из системы уравнений:

Решение:
(500000;100000). Для систематического решения задач расчета межотраслевого баланса находят, сколько угля и стали требуется для выпуска 1 т. каждого продукта.

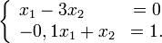
x1 = 1,42857 и x2 = 0,14286. Чтобы найти, сколько угля и стали нужно для чистого выпуска т. угля, нужно умножить эти цифры на . Получим: (285714;28571). Аналогично составляем уравнения для получения количества угля и стали для выпуска 1 т. стали:

x1 = 4.28571 и x2 = 1.42857. Для чистого выпуска т. стали нужно: (214286; 71429). Валовый выпуск для производства тонн угля и тонн стали: (285714 + 214286;28571 + 71429) = (500000;100000).

Список литературы.
1. Ведута, Н. И. Социально эффективная экономика — М.: РЭА, 1999. — 254 с.
2. Аникин А.В.Василий Леонтьев , или экономика на шахматной доске//природа.- М.,2000, №7.С.41-57.
3. Леонтьев В.В. Межотраслевая экономика М.,1997. -315 с.
4. www.math.omsu.omskreg.ru/info/learn/pprimer/afterword.htm -модель МОБ.
5. www.wassily.leontief.net - Сервер Леонтьева В.В.
|