Банк рефератов содержит более 364 тысяч рефератов, курсовых и дипломных работ, шпаргалок и докладов по различным дисциплинам: истории, психологии, экономике, менеджменту, философии, праву, экологии. А также изложения, сочинения по литературе, отчеты по практике, топики по английскому.
Полнотекстовый поиск
Всего работ:
364139
Теги названий
Разделы
Авиация и космонавтика (304)
Административное право (123)
Арбитражный процесс (23)
Архитектура (113)
Астрология (4)
Астрономия (4814)
Банковское дело (5227)
Безопасность жизнедеятельности (2616)
Биографии (3423)
Биология (4214)
Биология и химия (1518)
Биржевое дело (68)
Ботаника и сельское хоз-во (2836)
Бухгалтерский учет и аудит (8269)
Валютные отношения (50)
Ветеринария (50)
Военная кафедра (762)
ГДЗ (2)
География (5275)
Геодезия (30)
Геология (1222)
Геополитика (43)
Государство и право (20403)
Гражданское право и процесс (465)
Делопроизводство (19)
Деньги и кредит (108)
ЕГЭ (173)
Естествознание (96)
Журналистика (899)
ЗНО (54)
Зоология (34)
Издательское дело и полиграфия (476)
Инвестиции (106)
Иностранный язык (62791)
Информатика (3562)
Информатика, программирование (6444)
Исторические личности (2165)
История (21319)
История техники (766)
Кибернетика (64)
Коммуникации и связь (3145)
Компьютерные науки (60)
Косметология (17)
Краеведение и этнография (588)
Краткое содержание произведений (1000)
Криминалистика (106)
Криминология (48)
Криптология (3)
Кулинария (1167)
Культура и искусство (8485)
Культурология (537)
Литература : зарубежная (2044)
Литература и русский язык (11657)
Логика (532)
Логистика (21)
Маркетинг (7985)
Математика (3721)
Медицина, здоровье (10549)
Медицинские науки (88)
Международное публичное право (58)
Международное частное право (36)
Международные отношения (2257)
Менеджмент (12491)
Металлургия (91)
Москвоведение (797)
Музыка (1338)
Муниципальное право (24)
Налоги, налогообложение (214)
Наука и техника (1141)
Начертательная геометрия (3)
Оккультизм и уфология (8)
Остальные рефераты (21692)
Педагогика (7850)
Политология (3801)
Право (682)
Право, юриспруденция (2881)
Предпринимательство (475)
Прикладные науки (1)
Промышленность, производство (7100)
Психология (8692)
психология, педагогика (4121)
Радиоэлектроника (443)
Реклама (952)
Религия и мифология (2967)
Риторика (23)
Сексология (748)
Социология (4876)
Статистика (95)
Страхование (107)
Строительные науки (7)
Строительство (2004)
Схемотехника (15)
Таможенная система (663)
Теория государства и права (240)
Теория организации (39)
Теплотехника (25)
Технология (624)
Товароведение (16)
Транспорт (2652)
Трудовое право (136)
Туризм (90)
Уголовное право и процесс (406)
Управление (95)
Управленческие науки (24)
Физика (3462)
Физкультура и спорт (4482)
Философия (7216)
Финансовые науки (4592)
Финансы (5386)
Фотография (3)
Химия (2244)
Хозяйственное право (23)
Цифровые устройства (29)
Экологическое право (35)
Экология (4517)
Экономика (20644)
Экономико-математическое моделирование (666)
Экономическая география (119)
Экономическая теория (2573)
Этика (889)
Юриспруденция (288)
Языковедение (148)
Языкознание, филология (1140)

Отчет по практике: Оборудование для телекоммуникационных сетей

Название: Оборудование для телекоммуникационных сетей
Раздел: Рефераты по коммуникации и связи
Тип: отчет по практике Добавлен 12:06:11 07 декабря 2010 Похожие работы
Просмотров: 128 Комментариев: 20 Оценило: 2 человек Средний балл: 5 Оценка: неизвестно     Скачать

1 Специальная часть

1.1 Обзор литературы

1.1.1 Оборудование для телекоммуникационных сетей

Для того, чтобы понять для чего предназначен коммутатор, какие задачи и функции должен выполнять необходимо ознакомиться с основами технологии организации кабельных систем сети и архитектурой локальных вычислительных сетей.

В основе построения любой сети стоит эталонная модель OSI (OpenSystemInterconnection, Взаимодействие открытых систем). Эта модель разделяет работающее оборудование и процессы, происходящие при объединении компьютерных сетей согласно логике их работы. Каждый из уровней выполняет свою специфическую, функцию тем самым, облегчая проектирование всей системы в целом. При сетевом обмене сообщаются соответствующие уровни двух компьютеров. Делается это не напрямую, а путем запроса на обслуживание у ниже лежащего. Уровни могут иметь одинаковую реализацию, а могут и разную. Самое главное то, что они идентично работают, демонстрируя полное взаимопонимание. Самому нижнему уровню не некого “свалить” работу, поэтому физическая реализация должна совпадать (по крайней мере, на уровне одного сегмента сети).

На каждом из уровней единицы информации называются по-разному. На физическом уровне мельчайшая единица - бит. На канальном уровне информация объединена во фреймы, на сетевом уровне мы говорим о дейтаграммах. На транспортном уровне единицей измерения является сегмент. Прикладные уровни обмениваются сообщениями. Прямая параллель с файловой системой на диске - локальные изменения намагниченности (биты) объединены в сектора, имеющие заголовки, сектора объединяются в блоки, а те, в свою очередь, в файлы, тоже имеющие заголовки, содержащие служебную информацию.

Важно понимать, что эталонная модель не является чем-то реальным, таким, что обеспечивает связь. Сама по себе она не заставляет коммуникации функционировать и служит лишь для классификации. Она классифицирует то, что непосредственно вместе работает, а именно – протоколы. Протоколы считаются набором спецификаций, определяющих реализацию одного или нескольких уровней OSI. Спецификация протоколов разрабатываются стандартизирующими организациями, так и производителями оборудования. Многие разработанные производителями протоколы оказываются настолько успешными, что применяются не только разработчиками, но и другими фирмами становясь стандартом де-факто.

Физический уровень определяет механические и электрические параметры среды передачи, сетевых плат, соединителей, способы помещения информации в среду, передачи и извлечения ее оттуда. Спецификации физического уровня определяют тип разъема и назначение ножек, уровень сигнала, скорость передачи и т.д.

Канальный уровень формирует из битов, получаемых от физического уровня, последовательности пакетов или фреймов. Здесь также осуществляется управление доступом к разделяемой всеми сетевыми устройствами передающей среде, обнаруживается и корректируется часть ошибок. Как и большинство других уровней, канальный добавляет заголовок передаваемой информации. В заголовке обычно содержится физический адрес приемника, адрес источника и другая информация.

Сетевой уровень заведует движением информации по сетям, состоящим из нескольких или многих сегментов. Для успешного решения этой задачи в протокол данного уровня вносится информация о логическом адресе источника и адреса пакета. При прохождении пакетов через узлы, соединяющие различные сети, эта информация анализируется, и пакет пересылается к следующему узлу, принадлежащему уже другому сегменту. Информация о том, куда пересылать пакет, может содержаться в таблицах устройства, выполняющего роль маршрутизатора, или вычисляться в реальном времени. Таким образом, пакеты путешествуют по сети, переходя от узла к узлу. В функции сетевого уровня входит также идентификация и удаление “заблудившихся” пакетов, то есть таких которые прошли через некоторое число узлов, но так и не попали к адресату.

Транспортный уровень находится в самом центре эталонной модели. Он отвечает за гарантированную доставку данных, компенсируя ошибки которые могут возникать при работе нижележащих уровней. “Гарантированная” доставка не означает, что данные попадут к адресату в любом случае: оборванный кабель, отстыкованный разъем, вышедшая из строя сетевая карта - все это “гарантирует именно недоставку”. Однако, надежные реализации протоколов транспортного уровня обеспечивают подтверждение успеха или не успеха доставки, информируя вышележащие уровни, которые предают сообщения по требовавшему обслуживания программному приложению. Гарантированная доставка осуществляется при помощи различных механизмов, среди которых - установление и разрыв соединения, механизм подтверждения и контроль скорости потока.

Сеансовый уровень отвечает за вызовы удаленных процедур. Это специальный поддерживаемый соответствующими протоколами интерфейс, при котором вызов программной процедуры производится на одном компьютере, а выполнение - на другом, после чего результат возвращается к вызвавшей программе так, словно процедура была выполнена локально. Сеансовый уровень также контролирует установление, течение и завершение сеанса связи между взаимодействующими программами, что и отражается в его названии.

Представительский уровень занимается преобразованиями формата, упаковкой, распаковкой, шифрованием и дешифрованием здесь осуществляется преобразование исключительно формата, а не логической структуры данных. То есть, представляет данные в том виде и формате, какой необходим для последнего из вышележащих уровней.

Последний прикладной уровень. Он отвечает за интерфейс с пользователем и взаимодействие прикладных программ, выполняемых на взаимодействующих компьютерах. Предоставляемые услуги - электронная почта, идентификация пользователей, передача файлов и т.п.

Рисунок 1 – Семиуровневая модель OSIдля протоколов связи локальных сетей

Исходя из выше сказанного и анализа основных тенденций развития сетевых технологий, считается наиболее перспективным использование архитектуры Ethernet. Эта технология на обозримое будущее останется самой распространенной и наиболее подходящей для реализации по соотношению цена/производительность.

Повторители

В начале 80-х годов сети Ethernet организовывались на базе шинной топологии с использованием сегментов на основе коаксиального кабеля длиной до 500 метров. Увеличение размеров сетей поставило задачу преодоления 500-метрового барьера. Для решения этой задачи использовались повторители (repeater) (рисунок 2):


Рисунок 2 – Принцип деления среды повторителем

Повторитель просто копирует (пересылает) все пакеты Ethernet из одного сегмента во все другие, подключенные к нему. Основной задачей повторителя является восстановление электрических сигналов для передачи их в другие сегменты. За счет усиления и восстановления формы электрических сигналов повторителем становится возможным расширение сетей, построенных на основе коаксиального кабеля и увеличение общего числа пользователей сети.

Мосты и маршрутизаторы

При использовании повторителей максимальная протяженность сети составляет 2500 метров. Для преодоления этого ограничения требуются другие устройства, называемые мостами (bridge) (рисунок 3). Мосты имеют много отличий от повторителей. Повторители передают все пакеты, а мосты только те, которые нужно. Если пакет не нужно передавать в другой сегмент, он фильтруется. Для мостов существуют многочисленные алгоритмы (правила) передачи и фильтрации пакетов минимальным требованием является фильтрация пакетов по адресу получателя.

Другим важным отличием мостов от повторителей является то, что сегменты, подключенные к повторителю образуют одну разделяемую среду, а сегменты, подключенные к каждому порту моста образуют свою среду с полосой 10 Mbps. При использовании моста пользователи одного сегмента разделяют полосу, а пользователи разных сегментов используют независимые Среды. Следовательно, мост обеспечивает преимущества как с точки зрения расширения сети, так и обеспечения большей полосы для каждого пользователя.

Рисунок 3 – Принцип деления среды мостом

Поначалу в сетях Ethernet использовалась шинная топология на основе коаксиального кабеля, а для расширения сетей применялись 2-х портовые повторители или мосты. Однако, в конце 80-х годов началось широкое распространение сетей на основе кабеля со скрученными парами проводников (витая пара). Новая технология 10Base-T стала очень популярной и привела к трансформации топологии сетей от шинной магистрали к организации соединений типа "звезда". Требования к повторителям и мостам для таких сетей существенно изменились по сравнению с простыми двухпортовыми устройствами для сетей с шинной топологией - современные мосты и повторители представляют собой сложные многопортовые устройства. Мосты позволяют сегментировать сети на меньшие части, в которых общую среду разделяет небольшое число пользователей.

Рисунок 4 – Совместное применение мостов и повтоителей


Маршрутизаторы, подобно мостам, также позволяют сегментировать сети Ethernet. маршрутизаторы фильтруют и пересылают сетевой трафик на основе алгоритмов и правил, существенно отличающихся от тех, что используются мостами. Такой способ сегментирования сетей более дорог многопортовые мосты и маршрутизаторы обычно стоят около $1,000 за порт.

Коммутаторы

Сетевой коммутатор или свитч (жарг. от англ. switch – переключатель) – устройство, предназначенное для соединения нескольких узлов компьютерной сети в пределах одного сегмента. Когда появились первые устройства, позволяющие разъединять сеть на несколько доменов коллизий (по сути фрагменты ЛВС, построенные на hub-ах), они были двух портовыми и получили название мостов (bridge-ей). По мере развития данного типа оборудования, они стали многопортовыми и получили название коммутаторов (switch-ей). Некоторое время оба понятия существовали одновременно, а позднее вместо термина “мост” стали применять “коммутатор”. Коммутатор производит коммутацию входящих в его порты информационных потоков, направляя их в соответствующие выходные порты (рисунок 5).

Рисунок 5 – Схема взаимодействия портов коммутатора

Обычно, проектируя сеть, с помощью коммутаторов соединяют несколько доменов коллизий локальной сети между собой. В реальной жизни в качестве доменов коллизий выступают, как правило, этажи здания, в котором создается сеть. Их обычно более 2-х, а в результате обеспечивается гораздо более эффективное управление трафиком, чем у прародителя коммутатора - моста. По меньшей мере, он может поддерживать резервные связи между узлами сети.

Благодаря тому, что коммутаторы могут управлять трафиком на основе протокола канального уровня (Уровня 2) модели OSI, он в состоянии контролировать МАС-адреса подключенных к нему устройств и даже обеспечивать трансляцию пакетов из стандарта в стандарт (например, Ethernet в FDDI и обратно). Особенно удачно результаты этой возможности представлены в коммутаторах Уровня 3, т.е. устройствах, возможности которых приближаются к возможностям маршрутизаторов.

Коммутатор позволяет пересылать пакеты между несколькими сегментами сети. Он является обучающимся устройством и действует по аналогичной технологии. В отличие от мостов, ряд коммутаторов не помещает все приходящие пакеты в буфер. Это происходит лишь тогда, когда надо согласовать скорости передачи, или адрес назначения не содержится в адресной таблице, или когда порт, куда должен быть направлен пакет, занят, а коммутирует пакеты “на лету”. Коммутатор лишь анализирует адрес назначения в заголовке пакета и, сверившись с адресной таблицей, тут же (время задержки около 30-40 микросекунд) направляет этот пакет в соответствующий порт. Таким образом, когда пакет еще целиком не прошел через входной порт, его заголовок уже передается через выходной. К сожалению, типичные коммутаторы работают по алгоритму “устаревания адресов”. Это означает, что, если по истечении определенного промежутка времени, не было обращений по этому адресу, то он удаляется из адресной таблицы.

Коммутаторы поддерживают при соединении друг с другом режим полного дуплекса. В таком режиме данные передаются и принимаются одновременно, что невозможно в обычных сетях Еthегnеt. При этом скорость передачи данных повышается в два раза, а при соединении нескольких коммутаторов можно добиться и большей пиковой производительности.

1.1.2 Основные функции и задачи коммутаторов

Коммутатор хранит в памяти таблицу, в которой указывается соответствие MAC-адреса узла порту коммутатора. При включении коммутатора эта таблица пуста, и он работает в режиме обучения. В этом режиме поступающие на какой-либо порт данные передаются на все остальные порты коммутатора. При этом коммутатор анализирует кадры и, определив MAC-адреc хоста-отправителя, заносит его в таблицу. Впоследствии, если на один из портов коммутатора поступит кадр, предназначенный для хоста, MAC-адрес которого уже есть в таблице, то этот кадр будет передан только через порт, указанный в таблице. Если MAC-адрес хоста-получателя еще не известен, то кадр будет продублирован на все интерфейсы. Со временем коммутатор строит полную таблицу для всех своих портов, и в результате трафик локализуется. Рассмотрим на примере процесс передачи пакета одного узла другому.

Коммутатор Ethernet поддерживает внутреннюю таблицу, связывающую порты с адресами (таблица 1) подключенных к ним устройств. Эту таблицу администратор сети может создать самостоятельно или задать ее автоматическое создание средствами коммутатора.

Таблица 1 – Таблица коммутации

MAC-адрес Номер порта
A 1
B 2
C 3
D 4

Используя таблицу коммутации и содержащийся в пакете адрес получателя, коммутатор организует виртуальное соединение порта отправителя с портом получателя и передает пакет через это соединение. На рисунке 6 узел А посылает пакет узлу D. Найдя адрес получателя в своей внутренней таблице, коммутатор передает пакет в порт 4.

Рисунок 6 – Передача пакета

Виртуальное соединение между портами коммутатора сохраняется в течение передачи одного пакета, т.е. для каждого пакета виртуальное соединение организуется заново на основе содержащегося в этом пакете адреса получателя.

Поскольку пакет передается только в тот порт, к которому подключен адресат, остальные пользователи (в данном примере - B и C) не получат этот пакет. Таким образом, коммутаторы обеспечивают средства безопасности, недоступные для стандартных повторителей Ethernet.

Для построения коммутаторов с оптимальным соотношением цена/качество необходимо ввести ограничения на количество исполняемых функций, а в качестве основных решаемых коммутатором задач выбрать следующие:

- определение информационных потоков, для которых требуется идентифицировать порты, то есть задания для них набора отличительных признаков, на основании которых коммутаторы смогут направлять потоки на предназначенные для них порты;

- определение маршрутов для потоков путем однозначного задания последовательности транзитных узлов и их интерфейсов, через которые надо передавать данные, чтобы доставить их адресату;

- сообщение об идентифицированных портах узлам сети, то есть сопоставление данных, относящихся к потоку, определенным интерфейсам;

- распознавание потоков по признакам, заданным в таблице коммутации;

- задача мультиплексирования в виде образования из нескольких отдельных потоков общего агрегированного потока;

- задача демультиплексирования путём разделения суммарного агрегированного потока, поступающего на один интерфейс, на несколько составляющих потоков;

- обнаружение и корректная обработка коллизии при её возникновении, включающее прекращение передачи кадра, и после паузы случайной длительности повторение передачи кадра.

1.1.3 Технические характеристики коммутаторов

Основными характеристиками коммутатора, измеряющими его производительность, являются:

– скорость фильтрации (filtering);

– скорость маршрутизации (forwarding);

– пропускная способность (throughput);

– задержка передачи кадра.

Кроме того, существует несколько характеристик коммутатора, которые в наибольшей степени влияют на указанные характеристики производительности. К ним относятся:

- размер буфера (буферов) кадров;

- производительность внутренней шины;

- производительность процессора или процессоров;

- размер внутренней адресной таблицы.

Скорость фильтрации и скорость продвижения

Скорость фильтрации и продвижения кадров - это две основные характеристики производительности коммутатора. Эти характеристики являются интегральными показателями, они не зависят от того, каким образом технически реализован коммутатор.

Скорость фильтрации определяет скорость, с которой коммутатор выполняет следующие этапы обработки кадров:

- прием кадра в свой буфер;

- просмотр адресной таблицы с целью нахождения порта для адреса назначения кадра;

- уничтожение кадра, так как его порт назначения совпадает с портом-источником.

Скорость продвиженияопределяет скорость, с которой коммутатор выполняет следующие этапы обработки кадров:

- прием кадра в свой буфер;

- просмотр адресной таблицы с целью нахождения порта для адреса назначения кадра;

- передача кадра в сеть через найденный по адресной таблице порт назначения.

Как скорость фильтрации, так и скорость продвижения измеряются обычно в кадрах в секунду. Если в характеристиках коммутатора не уточняется, для какого протокола и для какого размера кадра приведены значения скоростей фильтрации и продвижения, то по умолчанию считается, что эти показатели даются для протокола Ethernet и кадров минимального размера, то есть кадров длиной 64 байта (без преамбулы), с полем данных в 46 байт. Если скорости указаны для какого-либо определенного протокола, например, Token Ring или FDDI, то они также даны для кадров минимальной длины этого протокола (например, кадров длины 29 байт для протокола FDDI). Применение в качестве основного показателя скорости работы коммутатора кадров минимальной длины объясняется тем, что такие кадры всегда создают для коммутатора наиболее тяжелый режим работы по сравнению с кадрами другого формата при равной пропускной способности переносимых пользовательских данных. Поэтому при проведении тестирования коммутатора режим передачи кадров минимальной длины используется как наиболее сложный тест, который должен проверить способность коммутатора работать при наихудшем сочетании для него параметров трафика. Кроме того, для пакетов минимальной длины скорость фильтрации и продвижения имеют максимальное значение, что имеет немаловажное значение при рекламе коммутатора.

Пропускная способность

Пропускная способность коммутатораизмеряется количеством переданных в единицу времени через его порты пользовательских данных. Так как коммутатор работает на канальном уровне, то для него пользовательскими данными являются те данные, которые переносятся в поле данных кадров протоколов канального уровня - Ethernet, Token Ring, FDDI и т.п. Максимальное значение пропускной способности коммутатора всегда достигается на кадрах максимальной длины, так как при этом и доля накладных расходов на служебную информацию кадра гораздо ниже, чем для кадров минимальной длины, и время выполнения коммутатором операций по обработке кадра, приходящееся на один байт пользовательской информации, существенно меньше.

Зависимость пропускной способности коммутатора от размера передаваемых кадров хорошо иллюстрирует пример протокола Ethernet, для которого при передаче кадров минимальной длины достигается скорость передачи в 14880 кадров в секунду и пропускная способность 5,48 Мб/с, а при передаче кадров максимальной длины - скорость передачи в 812 кадров в секунду и пропускная способность 9,74 Мб/c. Пропускная способность падает почти в два раза при переходе на кадры минимальной длины, и это еще без учета потерь времени на обработку кадров коммутатором.


Задержка передачи

Задержка передачи кадраизмеряется как время, прошедшее с момента прихода первого байта кадра на входной порт коммутатора до момента появления этого байта на выходном порту коммутатора. Задержка складывается из времени, затрачиваемого на буферизацию байт кадра, а также времени, затрачиваемого на обработку кадра коммутатором - просмотр адресной таблицы, принятие решения о фильтрации или продвижении и получения доступа к среде выходного порта.

Величина вносимой коммутатором задержки зависит от режима его работы. Если коммутация осуществляется "на лету", то задержки обычно невелики и составляют от 10 мкс до 40 мкс, а при полной буферизации кадров - от 50 мкс до 200 мкс (для кадров минимальной длины).

Коммутатор - это многопортовое устройство, поэтому для него принято все приведенные выше характеристики (кроме задержки передачи кадра) давать в двух вариантах. Первый вариант - суммарная производительность коммутатора при одновременной передаче трафика по всем его портам, второй вариант - производительность, приведенная в расчете на один порт.

Так как при одновременной передаче трафика несколькими портами существует огромное количество вариантов трафика, отличающегося размерами кадров в потоке, распределением средней интенсивности потоков кадров между портами назначения, коэффициентами вариации интенсивности потоков кадров и т.д. и т.п., то при сравнении коммутаторов по производительности необходимо принимать во внимание, для какого варианта трафика получены публикуемые данные производительности. К сожалению, для коммутаторов (как, впрочем, и для маршрутизаторов) не существует общепринятых тестовых образцов трафика, которые можно было бы применять для получения сравнимых характеристик производительности, как это делается для получения таких характеристик производительности вычислительных систем, как TPC-А или SPECint92. Некоторые лаборатории, постоянно проводящие тестирование коммуникационного оборудования, разработали детальные описания условий тестирования коммутаторов и используют их в своей практике, однако общепромышленными эти тесты пока не стали.

1.1.4 Достоинства/недостатки в сравнении с маршрутизатором

Работа маршрутизаторов зависит от сетевых протоколов и определяется связанной с протоколом информацией, передаваемой в пакете. Подобно мостам, маршрутизаторы не передают адресату фрагменты пакетов при возникновении коллизий. Маршрутизаторы сохраняют пакет целиком в своей памяти прежде, чем передать его адресату, следовательно, при использовании маршрутизаторов пакеты передаются с задержкой. Маршрутизаторы могут обеспечивать полосу, равную пропускной способности канала, однако для них характерно наличие внутренней блокировки. В отличие от повторителей, мостов и коммутаторов маршрутизаторы изменяют все передаваемые пакеты.

Коммутаторы же в отличие от маршрутизаторов работают по более простым алгоритмам, что позволяет превосходить маршрутизаторы в скорости передачи информации, делает их в десятки раз дешевле. Коммутатор может работать в режиме «коммутации на лету», т.е. он, не дожидаясь полного приёма сообщения, может начинать его передачу (что и дает основное преимущество в скорости). Это значит, что применение коммутаторов при проектировании телекоммуникационных сетей позволит в значительной мере снизить материальные затраты на приобретение сетевого оборудования.

1.2 Разработка алгоритма функционирования и структурной схемы коммутатора

1.2.1 Разработка блок-схемы алгоритма работы коммутатора

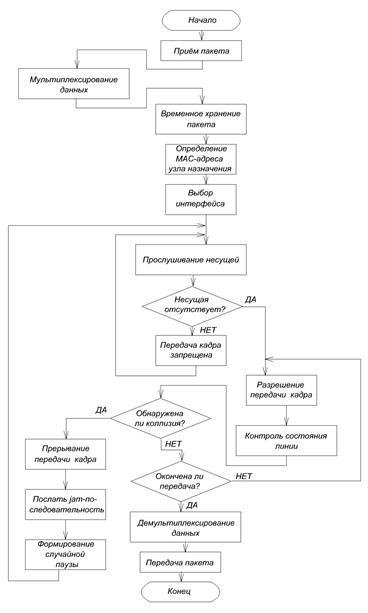
Основой для формирования блок-схемы алгоритма работы коммутатора является ознакомление с соответствующей литературой и перечень необходимых для реализации задач. Для проектируемого коммутатора эта схема будет иметь вид, приведенный на рисунке 7.

Рисунок 7 – Блок-схема алгоритма работы коммутатора


Таким образом, устройство будет работать по следующему алгоритму.

На блоки приема портов коммутатора приходят информационные пакеты, после чего они поступают на мультиплексор (мультиплексирование данных) для того, чтобы образовать из нескольких отдельных потоков общий агрегированный.

Далее пакет временно сохраняется в буфере, после чего определяется МАС-адрес узла назначения и производится выбор интерфейса (в заголовке пакета указан МАС-адрес узла назначения, который сопоставляется найденному в таблице коммутации), на который будут выставлены данные.

В состав проектируемого устройства входят: узел организации доступа по алгоритму CSMA/CD и узел обнаружения и корректной обработки коллизии, благодаря которым реализуется дальнейший алгоритм.

Коммутатор начинает прослушивание несущей. Если несущая присутствует – запрещается передача кадра и коммутатор снова «слушает» несущую. Когда несущая отсутствует, то разрешается передача кадра.

С разрешением передачи кадра происходит контроль состояния линии на предмет обнаружения коллизии. Если таковая обнаружена, то передача прерывается. Узел, обнаруживший коллизию, посылает в сеть jam-последовательность из 32-х бит данных, тем самым, усиливая коллизию для скорейшего ее обнаружения. После этого в блоке задания случайной паузы формируется кратковременная пауза случайной длительности и снова прослушивается несущая. Если же коллизия не возникла, то устройство опрашивается на предмет того, окончена ли передача кадра, если – нет – то переход к разрешению дальнейшей передачи кадра, если – да – то происходит демультиплексирование данных путем деления суммарного агрегированного потока, поступающего на один интерфейс, на несколько составляющих потоков. Делается это с целью распределения данных по портам для передачи информации в сеть. После этого пакет отправляется адресату.

1.2.2 Разработка структурной схемы

Под разработкой структурной схемы понимается: определение функционального состава входящих в коммутатор блоков (модулей) и установление связей между ними. Проектируемый коммутатор будет иметь четыре порта. Так как устройство ориентировано на сеть Ethernet,оно будет работать с учетом алгоритма CSMA/CD (множественный доступ с прослушиванием несущей и обнаружением коллизии) и обеспечивать скорость передачи 10 мегабит в секунду. Согласно стандартам Ethernet коммутатор должен иметь в своем составе блоки, оговоренные ниже. Структурная схема коммутатора приведена на рисунке 2.2.

Порт 1, 2, 3, 4 коммутатора состоит из двух блоков: блок приёма и блок передачи. Блок приема предназначен для организации взаимодействия принятого из сети пакета с другими блоками коммутатора. Блок передачи отправляет пакеты во внешнюю сеть согласно адресу узла назначения.

Блок хранения пакета предназначен для временного хранения пакета. Этот блок взаимосвязан с блоком выборки МАС-адреса, который считывается из заголовка пакета, сопоставляется адресам, хранящимся в таблице коммутации, для дальнейшего выбора интерфейса.

Для этой цели служит блок выбора интерфейса, который позволяет идентифицировать порты (т.е. определить номер порта, куда необходимо переслать данные).

В состав структурной схемы включен узел организации доступа по алгоритму CSMA/CD.

Узел состоит из: блока прослушивания несущей, который позволяет узлу, прослушивающему линию, при отсутствии несущей начать передачу кадра; блока запрета передачи, запрещающего передачу кадра в случае, когда среда уже захвачена другим узлом; блока разрешения передачи, который позволяет производить дальнейшую передачу кадра и согласно алгоритму CSMA/CD одновременно происходит контроль состояния линии; блок контроля состояния линии отвечает за выше упомянутую функцию на предмет возникновения коллизии;

Узел обнаружения и корректной обработки коллизии включает в свой состав: детектор коллизии, который фиксирует возникновение коллизии в линии; блок прерывания передачи прекращает дальнейшую передачу кадра при фиксации коллизии; генератор jam-последовательности посылает в сеть специальную последовательность из 32 битов, усиливая, таким образом, коллизию для увеличения вероятности скорейшего ее обнаружения; формирователь случайной паузы с помощью блока задания случайной паузы создает паузу в течение короткого случайного интервала времени.

Мультиплексор образует из нескольких отдельных потоков общий агрегированный поток. Демультиплексор выполняет задачу обратную мультиплексору, разделяя суммарный агрегированный поток, поступающий на один интерфейс, на несколько составляющих потоков.


2 ОХРАНА ТРУДА

2.1 Анализ вредных факторов при проектировании и изготовлении устройства

В процессе производства электронных устройств присутствует несколько этапов: постановка задачи, проектирование, сборка и отладка пробных образцов, и т. д. На разных этапах используются различные технические средства, следовательно, опасности и вредности также различны.

Широкое применение САПР (система автоматического проектирования) при проектировании различных электронных устройств предполагает использование электронной вычислительной техники. Поэтому на данном этапе работы необходимо соблюдать нормы установленные следующим документом „Державні санітарні правила і норми роботи з візуальними дисплейними терміналами електронно-обчислювальнихмашин ДСанПІН 3.3.2.007-98”.

2.1.1 Гигиенические требования к организации работы с визуальными дисплейными терминалами электронно-вычислительных машин

Требования к условиям труда предназначены для предотвращения неблагоприятного действия на работников вредных факторов, которые сопровождают работу с ВДТ (визуальный дисплейный терминал), связанную со зрительным и нервно-эмоциональным напряжением, выполняющуюся в вынужденной рабочей позе при локальном напряжении верхних конечностей на фоне ограниченной общей мускульной активности (гиподинамии) под воздействием комплекса физических факторов шума, электростатического поля, неионизирующих и ионизирующих электромагнитных излучений.


Требования к производственным помещениям.

Площадь не одно рабочее место должна составлять не менее чем 6,0 м2 , а объем не менее чем 20,0 м3 .

Помещения для работы с ВДТ должны иметь естественное и искусственное освещение в соответствии со СНиП II-4-79.

Производственные помещения для работы с ВДТ не должны граничить с помещениями, в которых уровни шума и вибрации превышают допустимые значения (производственные цеха и тому подобное).

Звукоизоляция ограждающих конструкций помещений с ВДТ должна обеспечивать параметры шума, отвечающие требованиям СН 3223-85, ГОСТ 12.1.003-83, ГОСТ 12.1.012-90.

Помещения для работы с ВДТ должны быть оборудованы системами отопления, кондиционирования воздуха, или приточно-вытяжной вентиляцией соответственно СНиП 2.04.05-91. Нормируемые параметры микроклимата, ионного состава воздуха, содержания вредных веществ должны отвечать требованиям ДСН 3.3.6.042-99, СН 2152-80, ГОСТ 12.1.005-88, ГОСТ 12.1.007-76.

Оконные проемы помещений для работы с ВДТ должны быть оборудованы регулируемыми устройствами (жалюзи, занавески, внешние козырьки).

Поверхность пола должна быть ровной, нескользкой, с антистатическими свойствами.

Запрещается для отделки интерьера помещений ВДТ применять полимерные материалы (ДСП, моющиеся обои, рулонные синтетические материалы, слоистый бумажный пластик и тому подобное), которые выделяют в воздух вредные химические вещества.

В помещениях с ВДТ следует ежедневно делать влажную уборку.

2.1.2 Гигиенические требования к параметрам производственной среды

Микроклимат

В производственных помещениях на рабочих местах с ВДТ должны обеспечиваться оптимальные значения параметров микроклимата: температуры, относительной влажности и подвижности воздуха (ГОСТ 12.1.005-88, ДСН 3.3.6.042-99).

Таблица 2 – Нормы микроклимата для помещений с ВДТ и ПЕМ*

Период

года

Категория работ Температура воздуха в град.С не более Относительная влажность воздуха, % Скорость движения воздуха, м/с
холодный лёгкая-1а 22-24 40-60 0,1
лёгкая-1б 21-23 40-60 0,1
тёплый лёгкая-1а 23-25 40-60 0,1
лёгкая-1б 22-24 40-60 0,2

Примечание: к категории работ 1а принадлежат работы, которые выполняются сидя и не требуют физического напряжения, при которых потери энергии составляют до 139 Вт, к категории 1б принадлежат работы, которые выполняются сидя, стоя или связаны с хождением, и сопровождаются некоторыми физическими нагрузками, при которых потери энергии составляют от 140 до 174 Вт. *ГОСТ 12 1.005-88, ДСН 3.3.6.042-99

Уровни положительных и отрицательных ионов в воздухе помещений с ВДТ должны удовлетворять санитарно-гигиеническим нормам N 2152-80.


Таблица 3 – Уровни ионизации воздуха помещений при работе на ВДТ ЭВМ и ПЕОМ*

Уровни Число ионов в 1 см куб. воздуха
n+ n-
Мин. необходимые 400 600
Оптимальные 1500-3000 3000-5000
Макс. допустимые 50000 50000

*ГН 2152-80

Освещение

Искусственное освещение в помещениях с рабочими местами, оборудованными ВДТ ЭВМ и ПЕОМ, должно осуществляться системой общего равномерного освещения. В производственных и административно-общественных помещениях, допускается применение системы комбинированного освещения.

Светильники общего освещения*

При отсутствии светильников серии ЛПО36 с ВЧ ПРА модификации «кососвет» допускается применение светильников общего освещения серии:

ЛПО13 – 2х40/Б – 01;

ЛПО13 – 4х40/Б – 01;

ЛПО13 – 2х40 – 06;

ЛПО13 – 2х65 – 06;

ЛСО05 – 2х40 – 001;

ЛСО05 – 2х40 – 003;

ЛСО04 – 2х36 – 008;

ЛСО34 – 4х36 – 002;

ЛСО34 – 4х58 – 002;

ЛПО31 – 2х31 – 002,

а также их отечественные и зарубежные аналоги.

*СНиП II-4-79

Система общего освещения должна составлять сплошные или прерывистые линии светильников, расположенные сбоку от рабочих мест (преимущественно слева), параллельно линии зрения работающих.

Для обеспечения нормируемых значений освещенности в помещениях с ВДТ ЭВМ и ПЕОМ следует очищать оконные стекла и светильники по крайней мере дважды в год и своевременно заменять перегоревшие лампы.

Шум и вибрация

Уровни звукового давления в октавных полосах частот, уровни звука и эквивалентные уровни звука на рабочих местах, оборудованных ВДТ ЭВМ и ПЕОМ, должны отвечать требованиям СН 3223-85, ГОСТ 12.1.003-83, ГР 2411-81.

Таблица 4 – Санитарные нормы вибрации категории 3 технологического типа «в»*

Сердне-

геометричес-

кие частоты

полос, Гц

Допустимые значения по осям X, Y, Z
виброускорения виброскорости
м/см в ст.2 дБ м/с*10 в ст.-2 дБ
1/3 окт 1/1 окт 1/3 окт 1/1 окт 1/3 окт 1/1 окт 1/3 окт 1/1 окт

1,6

2,0

2,5

0,0125

0,0112

0,01

0,02

32

31

30

36

0,13

0,089

0,063

0,18

88

85

82

91

3,15

4,0

5,0

0,009

0,008

0,008

0,014

29

28

28

33

0,0445

0,032

0,025

0,063

79

76

74

82

6,3

8,0

10,0

0,008

0,008

0,01

0,014

28

28

30

33

0,02

0,016

0,016

0,032

72

70

70

76

12,5

16,0

20,0

0,0125

0,016

0,0196

0,028

32

34

36

39

0,016

0,016

0,016

0,028

70

70

70

75

25,0

31,5

40,0

0,025

0,0315

0,04

0,056

38

40

42

45

0,016

0,016

0,016

0,028

70

70

70

75

50,0

63,0

80,0

0,05

0,063

0,08

0,112

44

46

48

51

0,016

0,016

0,016

0,028

70

70

70

75

Коректиро-

ванные и эк-

вивалентные

коректиро-

ванные значения и их уровни

0,014 33 0,028 75

*СН 3044-84

ГОСТ 12.1.012-90

Оборудование, являющееся источником шума (АЦПУ, принтеры и тому подобное), следует располагать вне помещения для работы ВДТ ЭВМ и ПЕОМ.

Для обеспечения допустимых уровней шума на рабочих местах следует применять средства звукопоглощения, выбор которых должен обосновываться специальными инженерно-акустическими расчетами.

Неионизирующие электромагнитные излучения

Значения напряженности электростатического поля на рабочих местах с ВДТ (как в зоне экрана дисплея, так и на поверхностях оборудования, клавиатуры, печатающего устройства) не должны превышать предельно допустимых по ГОСТ 12.1.045-84, СН 1757-77.

Значения напряженности электромагнитных полей на рабочих местах с ВДТ должны отвечать нормативным значением (ГДР N 3206-85, ГДР N 4131-86, СН N 5802-91, ГОСТ 12.1.006-84).


Таблица 5 – Допустимые параметры электромагнитных неионизирующих излучений и электростатического поля*

Виды поля

Допустимые параметры поля

Допустимая поверхностная плотность потока энергии, Вт/м2

по электрической составляющей (Е), В/м

по магнитной составляющей (Н), А/м

Напряженность электромагнитного поля

60 кГц – 3 МГц

3 кГц – 30 МГц

30 кГц – 50 МГц

30 кГц – 300 МГц

300 кГц – 300 ГГц

50

20

10

5

-

5

-

0,3

-

-

10

Электромагнитное поле оптического диапазона в ультрафиолетовой части спектра:

УФ-С (220-280 мм)

УФ-В (280-320 мм)

УФ-А (320-400 мм)

в видимой части спектра:

400-760 мм,

в инфракрасной части спектра:

0,76-10,0 мкм

- -

0,0010

0,01

10,0

10,0

35,0-70,0

Напряженность электрического поля ВДТ 20 кВ/м

*ГДР 4131-86, ГДР 5802-91, ГН 1757-77

Интенсивность потоков инфракрасного излучения должна не превышать допустимых значений соответственно ДСН 3.3.6.042-99, ГОСТ 12.1.005-88.


Таблица 6 – Допустимая длительность беспрерывного инфракрасного излучения и регламентированных перерывов на протяжении часа

Интенсивность ИК излучения, Вт/м

Длительность беспрерывных периодов облучения, мин.

Длительность перерывов, мин.

Суммарное облучение на протяжении смены, %
350,0 20,0 8,0 до 50
700,0 15,0 10,0 до 45
1050,0 12,0 12,0 до 40
1400,0 9,0 13,0 до 30
1750,0 7,0 14,0 до 25
2100,0 5,0 15,0 до 15
2450,0 3,5 12,0 до 15

Интенсивность потоков ультрафиолетового излучения не должна превышать допустимых значений соответственно СН 4557-88:

- длинноволновой - 400-315 нм - УФ-А

- средневолновой - 315-280 нм - УФ-В

- коротковолновой - 280-200 нм - УФ-С

Ионизирующие электромагнитные излучения на расстоянии 0,05 м от экрана до корпуса видеотерминала при любых положениях регулировочных устройств не должна превышать 7,74x1012 А/кг, что отвечает эквивалентной дозе 100 мкР/час НРБУ N 58.

Также должны выполняться требования к режимам труда и отдыха при работе с ВДТ ЭВМ и ПЕОМ.

Таким образом, на этапе проектирования присутствуют следующие вредные и опасные факторы:

- зрительное и нервно-эмоциональное напряжение;

- ограниченная общая мускульная активность (гиподинамия);

- вибрация и шум;

- электростатическоие поля;

- неионизирующие и ионизирующие электромагнитные излучения;

- опасность поражения электрическим током.

Следующий этап связан непосредственно с изготовлением устройства. Поэтому здесь нужно соблюдать требования для персонала, связанного с пайкой изделий с применением оловянно-свинцовых припоев и канифольных флюсов. Некоторые аспекты этого этапа работы приведены ниже.

2.2 Общие положения

Процесс пайки изделий с использованием оловянно-свинцовых припоев и канифольных флюсов сопровождается загрязнением воздушной среды свинцом как непосредственно при пайке, так и в периоды, когда паяльники и ванночки находятся в рабочем состоянии. Может также происходить загрязнение свинцом рабочих поверхностей и кожи рук работающих.

Следует уделить особое внимание вопросам личной гигиены и недопустимости употребления алкоголя, повышающего, опасность воздействия свинца на организм.

Участки, на которых в основном производится пайка, следует выделить в отдельное помещение.

Отделка помещения, а также воздуховодов, коммуникаций, отопительных приборов должны очищаться от пыли и периодически, обмываться горячим мыльным раствором.

Оконные рамы, отопительные приборы, воздуховоды должны быть гладкими и покрыты масляной краской светлых тонов.

Для хранения и переноски инструментов, сплавов, содержащих свинец, флюсов, паяльников и ванночек для лужения, изделий покрытых свинцом, или сплавами, содержащими свинец, ветоши, используются переносные легко моющиеся емкости.

В помещениях, где проводится пайка, устанавливаются шкафы с моечными баками для мытья некоторых видов рабочего инвентаря таких, как емкости для инструментов, свинцовых сплавов и флюсов, тары для переноски изделий, покрытыми свинцовыми сплавами, щетки, инструмент и т. п.

Кроме умывальных комнат, оборудуются умывальниками комнаты и места, отведенные для курения, а производственные участки бесперебойной подачей горячей и холодной воды и емкостямис 1% раствором уксусной кислоты.

Все вентиляционные установки, обслуживающие участок, на котором производится пайка, должны иметь скорость воздуха непосредственно на месте пайки не менее 0,6м/сек.

Вентиляционные установки должны включаться до начала работ и выключаться после их окончания. Работа вентиляционных установок контролируется с помощью световой или звуковой сигнализации.

Работа участка, без вентиляции категорически запрещена.

Хранение чистой и рабочей одежды в гардеробных должно быть раздельно.

Рабочая одежда должна стираться не реже 1 раза в неделю.

Запрещается посещать столовые, буфеты и комнаты для приема пищи в рабочей одежде.

У умывальников, независимо от места их расположения, должны быть бачки с 1% раствором уксусной кислоты или смывочной пасты на основе ОП-7 для предварительного обмывания рук, мыло, щетки, достаточное количество салфеток для обтирания рук (бумажные или х/б разового пользования).

Применение полотенца общего пользования не разрешается.

Требования безопасности перед началом работы.

Включить вентиляционные установки и проконтролировать их работу по световой сигнализации.

Проверить исправность инструмента, соответствие рабочего места требованиям ТБ.

Перед настройкой и регулировкой блока, узла, прибора необходимо:

а) убедиться, что руки сухие;

б) под ногами и стулом находится резиновый коврик;

в) заземлить настраиваемый блок или прибор;

г) убедиться, что электропроводка от источников питания подводится по задней стенке стола или стенда;

д) убедиться, что шнуры, кабеля питания не имеют повреждений.

Перед пайкой или лужением сплавами, содержащими свинец, необходимо:

а) убедиться в наличии подставки под паяльником;

б) проверить нагрев паяльника или ванночки для лужения на припое;

в) ванночки для лужения проводов и деталей установить перед вытяжной вентиляцией;

Требования безопасности во время выполнения работы.

Содержать рабочее место в чистоте и не загромождать его.

При работе с паяльником соблюдать осторожность, т. к. неправильное обращение может привести к ожогам лица, рук, глаз.

При работе с паяльником остерегаться брызг от припоя, флюса, которые могут попасть в лицо, руки, глаза.

Для предупреждения случаев поражения электротоком рекомендуется применять паяльники напряжением не выше 42В.

Не допускать попадания шнура паяльника под прибор, блок или какой-либо другойузел, т. к. возможное нарушение изоляции шнура паяльника приведет к короткому замыканию и поражению электротоком,

Не допускать касания шнура питания нагревшихся частей паяльника.

Промывку паек, деталей спиртом производить кисточкой.

Количество спирта на каждом рабочем месте не должно превышать 30г.

Электрованночки для лужения концов проводов электроэлементов должны быть установлены на подставки из несгораемого материала и только под грибками вытяжной вентиляции.

При настройке и регулировке блока, узла, прибора не допускать перепайки деталей и проводов, находящихся под напряжением.

При регулировке блоков, узлов, приборов, находящихся под напряжением, не касаться второй рукой металлических частей во избежание полюсного замыкания.

Электромонтажнику категорически запрещается:

а) проверять температуру нагрева паяльника "на ощупь", "на лицо";

б) производить замену предохранителей, находящихся под напряжением;

в) работать неисправным инструментом;

г) работать при неисправной вытяжной вентиляции;

д) настраивать незаземленные блоки, узлы, приборы;

е) производить самостоятельный ремонт электрической части оборудования;

ж) хранить на рабочем месте припой, флюсы, провода в количестве, превышающем сменную потребность;

з) работать влажными руками;

и) курить на рабочем месте, где производится пайка;

к) хранить и принимать пищу на рабочем месте;

л) хранить посторонние предметы, личные вещи, не рабочую одежду, в помещении, где производится пайка;

м) приноситьдля ремонта бутовые приборы.

Не отвлекаться во время, выполнения работ.

Таким образом, на этапе изготовления устройства присутствуют следующие вредные и опасные факторы:

- зрительное напряжение;

- ограниченная общая мускульная активность (гиподинамия);

- шум, создаваемый устройствами местной вентиляции;

- опасность поражения электрическим током;

- опасность получения термических ожогов;

- опасность отравления парами свинца и спирта (для промывки может использоваться этиловый спирт с добавлением ацетона, либо изопропиловый спирт);

- опасность пищевого отравления частицами свинца (при несоблюдении правил личной гигиены);

- опасность возникновения пожара.


3 ЭКОНОМИЧЕСКАЯ ЧАСТЬ

3.1 Начисление амортизации в современных условиях

Все объекты основных фондов (ОФ) подвержены физическому и моральному износу, т.е. под влиянием различных факторов утрачивают свои свойства, приходят в негодность и не могут далее выполнять свои функции. Физический износ может быть частично возмещен за счет ремонта, реконструкции и модернизации. Моральный износ проявляется в том, что основные фонды по всем своим характеристикам уступают новейшим образцам. Поэтому периодически возникает необходимость замены основных фондов, особенно их активной части. При этом в современной экономике главным фактором, определяющим необходимость замены является моральный износ.

Сношенная часть стоимости основных фондов, перенесенная на готовую продукцию, по мере реализации последней постепенно накапливается в денежной форме в специальном амортизационном фонде .

В практике хозяйствования применяются разные методы начисления амортизации:Прямолинейный, уменьшения остаточной стоимости, ускоренного уменьшения остаточной стоимости, кумулятивный, производственный.

3.1.1 Прямолинейный метод

Годовая сумма амортизации определяется делением амортизируемой стоимости на срок полезного использования объекта основных средств

А = Вa : T,

A – годовая сумма амортизации;

Ва – амортизированная стоимость объекта ОС;

Т – срок полезного использования объекта ОС (лет)

3.1.2 Метод уменьшения остаточной стоимости

Годовая сумма амортизации определяется как произведение остаточной стоимости объекта на начало отчетного года или первоначальной стоимости на дату начала начисления амортизации и годовой нормы амортизации. Годовая норма амортизации (в процентах) исчисляется как разница между единицей и результатом корня степени количества лет полезного использования объекта из результата от деления ликвидационной стоимости объекта на его первоначальную стоимость. Амортизация определяеся по формуле:

А = Вз х (1 – (Вл : Вп)1/т ,

Вз – остаточная или первоначальная стоимость объекта ОС на дату начала начисления амортизации;

Вл – ликвидационная стоимость объекта ОС;

Вп – первоначальная стоимость объекта ОС;

Т – срок полезного использования объекта ОС (лет)

3.1.3 Метод ускоренного уменьшения остаточной стоимости

Годовая сумма амортизации определяется как произведение остаточной стоимости объекта на начало отчетного года или первоначальной стоимости на дату начала начисления амортизации и годовой нормы амортизации, которая исчисляется исходя из срока полезного использования объекта, и удваивается:

А = 2Вз : Т,


Вз - остаточная стоимость объекта ОС или первоначальная стоимость на дату начала начисления амортизации;

Т – срок полезного использования объекта ОС (лет)

3.1.4 Кумулятивный метод

Годовая сумма амортизации определяется как произведение амортизируемой стоимости и кумулятивного коэффициента. Кумулятивный коэффициент рассчитывается делением количества лет, которые остаются до конца срока полезного использования объекта основных средств, на сумму числа лет его полезного использования:

А = (Вп – Вл) х (Рк : Кр),

Вп – первоначальная стоимость объекта ОС;

Вл – ликвидационная стоимость объекта ОС;

Рк – количество лет, которые остаются до конца срока полезного использования объекта ОС;

Кр – сумма числа лет полезного использования объекта ОС. Например, для срока полезного использования объекта в 4 года сумма чисел лет будет составлять – 1 + 2 + 3 + 4 = 10, а кумулятивный коэффициент в первый год эксплуатации будет составлять 4/10

3.1.5 Производственный метод

Месячная сумма амортизации определяется как произведение фактического месячного объема продукции (работ, услуг) и производственной ставки амортизации. Производственная ставка амортизации исчисляется делением амортизируемой стоимости на общий объем продукции (работ, услуг), который предприятие ожидает произвести (выполнить) с использованием объекта основных средств:


А = Ом х (Вп – Вл) : ОС,

Ом – фактический месячный объем продукции (работ, услуг);

Вп – первоначальная стоимость объекта ОС;

Вл – ликвидационная стоимость объекта ОС;

ОС – ожидаемый объем производства с использованием амортизированного оборудования.

3.2 Политика ресурсосбережения на предприятии

В настоящее время для большинства отечественных промышленных предприятий наиболее остро стоит вопрос повышения конкурентоспособности выпускаемой продукции. Безусловно, решение такой задачи может достигаться только на основе комплексного рассмотрения всех элементов деятельности хозяйствующего субъекта, которые включают используемые технологии, оборудование, подходы к ценообразованию, эффективность внутренних бизнес-процессов. Это лишь малая часть тех элементов, которые оказывают влияние на конкурентоспособность продукции. Тем не менее, общепризнанно, что одним из системообразующих факторов конкурентоспособности является то, насколько эффективно предприятие использует необходимые ресурсы.

Следовательно, предприятие, стремящееся обеспечить свою конкурентоспособность на рынке, должно осуществлять управление ресурсосбережением. Конечным результатом такого управления должна быть последовательная практическая реализация утвержденной хозяйствующим субъектом ресурсосберегающей политики, как одного из основополагающих внутренних нормативных документов.

При этом ресурсосбережение мы определяем как совокупность плановых и практических мер, направленных на повышение эффективности функционирования предприятия, с учетом рационального использования всех факторов производства: земля, труд, капитал, предпринимательская деятельность.

Необходимо отметить, что в украинской практике хозяйствования термин “ресурсосбережение” зачастую выступает как синоним “энергосбережения”. Объяснением этому может служить то, что энергоемкость технологических процессов в отечественной промышленности в 2,5-3,0 раза выше, чем в развитых странах мира. Около одной трети используемых энергоресурсов расходуется неэффективно из-за низкой загруженности производственных мощностей, несовершенства технологии, а также отсутствия учета и контроля расходования топлива и энергии.

Следовательно, ресурсосберегающая политика предприятия должна включать в себя реализацию комплекса мер по техническому, экономическому, финансовому и правовому аспектам рационального использования различных видов ресурсов. Значительная экономия ресурсов на промышленных предприятиях может быть достигнута путем использования энергоэффективных технологий и энергоэффективного оборудования. Возможности их внедрения определяются спецификой производства и уровнем его развития на предприятии.

Приоритетными направлениями в проведении активной ресурсосберегающей политики на предприятиях должными быть следующие:

· повышение уровня ответственности и контроля за рациональным использованием всех видов ресурсов;

· приобретение или собственная разработка и выпуск современных перспективных средств производств, отвечающих требованиям ресурсосберегающей политики;

· совершенствование и реконструкция систем теплоэнергоснабжения предприятий на основе выявления и вовлечения в технологический процесс вторичных энергоресурсов, комплексной оптимизации технологических процессов;

· осуществление технического переоснащения, обеспечивающее ориентацию на снижение себестоимости выпускаемой продукции;

· проведение энергетических обследований с целью выявления потерь и непроизводительных расходов энергоресурсов, составление энергетических балансов с разработкой энергетических паспортов, включающих данные по динамике и тенденциям изменения энергоемкости производств и оценка степени влияния выявленных факторов на энергопотребление в перспективе;

· создание и внедрение в практику планирования научно обоснованной нормативной базы расходов всех видов ресурсов;

· формирование системы ресурсоаудита, включающей весь комплекс работ, от диагностики нерационального использования ресурсов на предприятии до внедрения и реализации ресурсосберегающих проектов и мероприятий;

· внедрение безотходных или малоотходных технологий, максимальное использование вторичных ресурсов, попутных и побочных продуктов производства;

· повышение эффективности использования производственных площадей и оборудования;

· диспетчеризация и компьютеризация отдельных производств предприятия, их взаимная кооперация и интеграция.

Целесообразным является проведение данных мероприятий не только на уровне конкретного предприятия, но последовательная их реализация при непосредственном участии исполнительной власти региона, например, через разработку и утверждение соответствующих целевых программ.

Следовательно, на региональном уровне необходимо осуществить те организационно-технические мероприятия, которые не требуют значительных инвестиций (не более 5% доходной части бюджета региона) и могут быть осуществлены в кратчайшие сроки самими предприятиями (т.е. в течение 1-2 лет):

· оснащение всех предприятий сертифицированными средствами учета и контроля за использованием ресурсов, в первую очередь - топлива, электрической и тепловой энергии;

· нормирование расходов ресурсов на технологические процессы с постоянным выявлением резервов их экономии.

Одним из основных направлений программы ресурсосбережения предприятия является совершенствование и реконструкция систем теплоэнергоснабжения, комплексной оптимизации технологических процессов. Анализ теплоэнергоснабжения большинства предприятий показывает, что оно осуществляется с малой эффективностью, оборудование внутренних котельных предприятий и тепловых сетей устарело морально и физически, что приводит к нерациональному использованию топливно-энергетических ресурсов, завышенному потреблению топлива и удорожанию себестоимости продукции. Практика показывает, что на большинстве промышленных предприятий существуют большие возможности экономии топливно-энергетических ресурсов при проведении мероприятий, связанных с их модернизацией и внедрением нового энергоэффективного оборудования.

Мировой опыт показывает, что одним из путей развития малой энергетики и соответственно энергетического потенциала отдельно взятых хозяйствующих субъектов является использование высокоэффективных газотурбинных электростанций. При этом необходимо отметить, что производство таких станций уже существует в России.

Внедрение на предприятии газотурбинных электростанций (ГТЭС) характеризуются следующим преимуществами:

один из основных показателей надежности – коэффициент готовности предлагаемых ГТЭС значительно выше (~0,99), чем средний на существующих электростанциях (£0,35);

· Высокой эффективностью – значения КПД находятся на среднем мировом уровне, либо превышают его;

· Низкими выбросами СОх – на уровне 50-70 мг/нм3, позволяет существенно улучшить экологическую обстановку;

· Низкой удельной стоимостью руб./кВт – по сравнению с конкурентами;

· Большей наработкой до капремонта – 25-35 тыс. часов.

Таким образом, ресурсосберегающая политика отдельно взятого предприятия в самом общем виде может быть представлена как хронологическая последовательность реализации ряда инвестиционных проектов. Далее, первый вопрос, который возникает при формировании любого инвестиционного решения – это финансирование. При выборе правильного направления реализации планируемого проекта необходимо разработать и оценить существующие альтернативы, основными из которых являются модернизация существующих основных фондов либо приобретение новых.

В случае принятия решения о приобретении нового оборудования необходимо выбрать – закупать отечественное или импортное оборудование.

Следующий шаг – выбор подхода к сравнительной оценке этих альтернатив. Необходимо также учитывать, что, зачастую, это по своей сути экологические капиталовложения, специфика оценки которых проявляется в различиях эффектов, достигаемых в результате, в видах учитываемых эффектов и методах их определения.

Тем не менее, расчеты должны строиться на основе общепринятой методики определения экономической эффективности капиталовложений, учитывающей неравноценность одинаковых сумм поступлений и платежей, относящихся к разным периодам времени, и позволяющей сопоставить их путем дисконтирования на базе расчетной ставки.

Методика предполагает расчет критериев эффективности инвестиций, которые представляют собой следующие показатели: чистая дисконтированная стоимость NPV (Net Present Value), внутренняя норма окупаемости IRR (Internal Rate of Return), индекс прибыльности PI (Profitability Index), срок окупаемости проекта с учетом дисконтирования нарастающего потока наличности DPP (Discount Payback Period).

Для расчетов по указанной методике необходимо определить длительность расчетного периода проекта, включая подготовительный этап и время эксплуатации, и ставку дисконта.

Для определения критериев эффективности формируется поток денежных средств (cash-flow), учитывающий денежные и неденежные притоки, а также оттоки средств. Денежные – выручка, издержки, налоги; неденежные – амортизация, в ряде случаем может учитываться и экономия на издержках.

Использование этих общепризнанных методик целесообразно не только в процессе сравнения альтернативных инвестиционных проектов, но и для выявления наиболее эффективных инструментов финансирования для конкретного инвестиционного проекта с учётом экономического состояния самого предприятия.

Совершенно очевидно, что такой подход требует высокопрофессионального использования всего спектра рыночных организационно-финансовых технологий, и в первую очередь глубокой проработки форм финансирования и обоснования эффективности инвестиций в ресурсосберегающие проекты. Такой подход, в конечном итоге, способствует повышению конкурентоспособности предприятия.

Таким образом, управление ресурсосбережением на предприятии включает в себя комплекс мер, направленных на эффективное использование всех факторов производства, при этом акцент делается на энергосбережении (как наиболее актуальном направлении для отечественной промышленности) и системной проработке инструментов организации финансирования, запланированных инвестиционных мероприятий.

ЗАКЛЮЧЕНИЕ

В процессе прохождения практики было изучено оборудование и технология производства, произведено ознакомление с экономикой, организацией и управлением производства. Выбрано направление и конкретное устройство для проектирования, сформулирована тема дипломного проекта. А также выбран алгоритм функционирования устройства, разработана структурная схема проектируемого устройства, реализующая данный алгоритм. Рассмотрены вопросы техники безопасности, охраны труда и технико-экономических показателей.


ЛИТЕРАТУРА

1. Фрунзе А.В. « Микроконтроллеры? Это же просто!» Т.1. – М.: ООО «ИД СКИМЕН», 2002.

2. Разработка и оформление конструкторской документации радиоэлектронной аппаратуры: Справочник / Э.Т. Романычева, А.К. Иванова, А.С. Куликов и др./ Под ред. Э.Т. Романычевой. - М.: Радио и связь, 1989.

3. ДСанПІН 3.3.2.007-98 – «Державні санітарні правила і норми роботи з візуальними дисплейними терміналами електронно-обчислювальнихмашин»

4. СНиП II-4-79 – «Естественное и искусственное освещение»

5. СН 3223-85 – «Санитарные нормы допустимых уровней шума на рабочих местах»

6. ГОСТ 12.1.003-83 – «Система стандартов безопасности труда»

7. ГОСТ 12.1.012-90 – «СИСТЕМА СТАНДАРТОВ БЕЗОПАСНОСТИ ТРУДА. Вибрационная безопасность»

8. ДСН 3.3.6.042-99 – «Санитарные нормы микроклимата производственных помещений»

9. www.snezhana.ru/os_5/

10. www.aup.ru/books/m88/2_5.htm

11. www.inpos.com.ua/571

Оценить/Добавить комментарий
Имя
Оценка
Комментарии:
Хватит париться. На сайте FAST-REFERAT.RU вам сделают любой реферат, курсовую или дипломную. Сам пользуюсь, и вам советую!
Никита01:51:49 04 ноября 2021
.
.01:51:48 04 ноября 2021
.
.01:51:47 04 ноября 2021
.
.01:51:45 04 ноября 2021
.
.01:51:43 04 ноября 2021

Смотреть все комментарии (20)
Работы, похожие на Отчет по практике: Оборудование для телекоммуникационных сетей

Назад
Меню
Главная
Рефераты
Благодарности
Опрос
Станете ли вы заказывать работу за деньги, если не найдете ее в Интернете?

Да, в любом случае.
Да, но только в случае крайней необходимости.
Возможно, в зависимости от цены.
Нет, напишу его сам.
Нет, забью.



Результаты(290189)
Комментарии (4186)
Copyright © 2005-2021 HEKIMA.RU [email protected] реклама на сайте