ФЕДЕРАЛЬНОЕ АГЕНТСТВО ПО ОБРАЗОВАНИЮ
Государственное образовательное учреждение высшего профессионального образования
Ульяновский государственный педагогический университет
имени И.Н. Ульянова
Кафедра общей физики
Физика сверхпроводимости.
квалификационная работа
Выполнил:
студент дневного отделения
физико-математического
факультета
Ульяновск 2010г.
Содержание:
1. СВЕРХПРОВОДНИКИ. У НАЧАЛА ПУТИ
1.1Чудеса вблизи абсолютного нуля
1.2 У начала пути
1.3 Лейден, 1911г. открытие сверхпроводимости
2. ОСНОВНЫЕ ПОНЯТИЯ
2.1 Конечные температуры (критические)
2.2 Критический ток
2.3 Эффект Мейснера
2.4 Глубина проникновения. Уравнение Лондонов
2.5 Сверхпроводники первого рода и второго род
2.6 Критическое магнитное поле
3.СВОЙСТВА СВЕРХПРОВОДНИКОВ
3.1 Нулевое сопротивление
3.2 Электрическое сопротивление сверхпроводников
3.3 Сверхпроводники в магнитном поле
3.4 Промежуточное состояние при разрушении сверхпроводимости током
3.5 Туннельные эффекты
3.6 Эффект Джозефсона
3.7 Вольт-амперная характеристика
3.8 Сквид
3.9 Влияние кристаллической решетки
3.10 Изотопический эффект
4. МИКРОСКОПИЧЕСКАЯ ТЕОРИЯ СВЕРХПРОВОДИМОСТИ БАРДИНА – КУПЕРА - ШРИФФЕРА (БКШ) И БОГОЛЮБОВА
4.1 Теория БКШ
4.2 Энергетическая щель
4.3 Бесщелевая сверхпроводимость
5. ТЕРМОДИНАМИКА ПЕРЕХОДА В СВЕРХПРОВОДЯЩЕЕ СОСТОЯНИЕ
6. ТЕОРИЯ ГИНЗБУРГА – ЛАНДАУ
7. ПРИМЕНЕНИЕ СВЕРХПРОВОДИМОСТИ
8.ПРАКТИЧЕСКАЯ ЧАСТЬ
8.1 Способ изготовления сверхпроводящего материала
8.2 Ход эксперимента и полученные результаты
ЗАКЛЮЧЕНИЕ
СПИСОК ИСПОЛЬЗУЕМОЙ ЛИТЕРАТУРЫ
ПРИЛОЖЕНИЕ.
Введение
Сверхпроводимость - физическое явление, наблюдаемое у некоторых веществ (сверхпроводников), при охлаждении их ниже определенной критической температуры T
с
, и состоящее в обращении в нуль электрического сопротивления постоянному току и выталкивания магнитного поля из объема образца (эффект Мейснера). Явление открыто в 1911 г. Х. Каммерлинг-Оннесом. Изучая температурный ход электросопротивления Hg, он обнаружил, что при температуре ниже 4,22К Hg практически теряет сопротивление.
Начав изучение физики с явлений в макроскопических системах, человек приобретает ряд «классических предрассудков», ему очень хочется сохранить для микромира понятие размера, траектории, цвета и т.п. Мои наглядные представления являются отражением того, с чем мы сталкиваемся в обыденной жизни, между тем как квантовые явления проявляются обычно в недоступном непосредственному восприятию микромире. «Классические предрассудки» заставляют нас ставить вопросы, на которые нельзя ждать разумных ответов. Человеческое воображение зачастую отказывается служить в этом странном мире квантовых явлений. Но, как сказал Л. Д. Ландау, «величайшим триумфом человеческого гения является то, что человек способен понять вещи, которые он уже не в силах вообразить».
Нам пройти этот неизбежный путь отказа от классических представлений намного легче, ибо можно воспользоваться опытом предшественников. Как ни парадоксально звучат иногда утверждения квантовой механики, они неизбежны. К ним приводит неодолимая логика экспериментальных фактов.
Цель данной работы – выяснить, в чем заключается физика сверхпроводимости, одно из главных явлений микромира.
Задачи, поставленные в работе:
1. Изучение основных физических свойств сверхпроводников
2. Изучение научной, научно-популярной и периодической литературы по данной теме.
3. Изготовление сверхпроводящего материала.
В качестве самостоятельной части данной работы ставится экспериментальная задача изучения способов создания высокотемпературной сверхпроводящей керамики.
1.1Чудеса вблизи абсолютного нуля
Немало поводов для размышлений принесло физикам XX столетие. Среди них результаты опытов в условиях сверхглубокого холода при температурах всего лишь на несколько градусов выше абсолютного нуля.
Понятие абсолютный ноль вошло в физику в середине XIX века. Родившись из газового закона, оно постепенно распространилось на все состояния вещества, приобрело фундаментальное значение для всей физики.
Абсолютному нулю соответствует температура -273 градуса Цельсия (точнее – 273,15˚С). Любое вещество больше охладить нельзя, т.е. нельзя у него отнять энергию. Иными словами, при абсолютном нуле молекулы вещества обладают наименьшей возможной энергией, которая уже не может быть отмена от тела ни при каком охлаждении. При каждой попытке охладить вещество энергия в нем остается все меньше и меньше, но всю ее вещество никогда не сможет отдать охлаждающему устройству. По этой причине ученые не достигли абсолютного нуля и не надеются сделать это, хотя они уже творят чудеса, достигая температуры порядка миллионных долей градуса.
Так как абсолютный ноль есть самая низкая температура, то естественно, что в физике, особенно в тех разделах, где идет речь о низких температурах, пользуются термодинамической температурной шкалой, которая может быть проградуирована в Кельвинах (К) и в градусах Цельсия (˚С); соотношение между температурой любой из этих шкал: Т= t+273, Т – абсолютный ноль , t – температура.
Исследования при температурах, близких к абсолютному нулю давно привлекли к себе внимание ученых, такие температуры в физике называются криогенными (от греческого слова «крио» – холод). При криогенной температуре происходит много удивительного. Ртуть замерзает так, что ею можно забивать гвозди, резина разлетается на осколки от удара молотком, некоторые металлы становятся хрупкими как стекло.
Поведение вещества вблизи абсолютного нуля зачастую не имеет ничего общего с его поведением при обычных температурах. Казалось бы, вместе с теплом из вещества уходит энергия, а застывшее вещество уже не может представлять интереса.
Еще столетие назад так и считали: абсолютный ноль – это смерть материи. Но вот физики получили возможность работать при сверхнизких температурах, и оказалось, что область вблизи абсолютного нуля не такая уж мертвая. Совсем наоборот: здесь начинают проявляться многочисленные красивые эффекты, которые при обычных условиях, как правило, замаскированы тепловым движением атомов. Именно здесь начинается тот мир – удивительный и порой парадоксальный, который называется сверхпроводимостью.
Сверхпроводимость – способность вещества пропускать электрический ток, не оказывая ему ни малейшего сопротивления. Открытие этого уникального явления не имеющего аналога в классической физике, мы обязаны замечательному голландскому ученому Гейне Камерлинг-Оннесу.
1.2 У начала пути
Удивительное событие в науке – открытие, а еще удивительнее путь, которым приходит к нему человек. Он пробивается вперед сквозь, казалось бы непроходимые дебри, всегда вынужден сомневаться, что дороги вперед нет и ее приходится строить позади себя, как говорил немецкий физик Маке Борн.
Первый шаг был сделан ещё в конце XVIII веке. В XIX веке были сжижены уже многие газы. Опыты следовали один за другим – превращены в жидкость кислород, азот, водород. Один лишь гелий не поддавался усилиям ученых. Помогали даже, что этот газ занимает в мире какое-то особое положение. Поэтому он и не превращается в жидкость. Во многих теориях мира экспериментаторы активно искали способы получения жидкого гелия. Успех выпал на долю Камерлинг-Оннеса. Именно в его лаборатории низких температур в Лейденском университете был проведен эксперимент, ставший последней страницей в истории поиска новый жидкостей.
Успех голландского физика не был случайным. Задача была решена человеком, понявшим коллективный характер науки XX столетия, создавшим, может быть, первую по-настоящему современную научную лабораторию.
Мы привыкли к уже масштабным научным исследованием. Но в начале века Оннес резко выделился на фоне многих экспериментаторов, проводивших свои исследования с помощью небольших лабораторных установок. Уже первая установка для сжижения кислорода, азота и др. атмосферных газов, сконструированная им в 1894 году, имела такую производительность, что смогла удовлетворить быстро растущие потребности в лаборатории в течение многих лет.
1.3 Лейден, 1911г. открытие сверхпроводимости
Шел 1911 год. Камерлинг-Оннес работал над проблемой, которая значилась в тогдашней лейденской исследовательской программе как «изучение свойств различных веществ при гелиевых температурах».
Одним из первых исследований, проведенным в новой температурной области, было изучение зависимости электрического сопротивления металлов от температуры. Словно предвидя развитие событий электротехники, ещё в XIX веке ввели в теорию электричества термин идеальный проводник, т. е. проводник без электрического сопротивления. С другой стороны, и физики, изучавшие свойства металлов, установили, что при сжижении температуры сопротивление металла уменьшается. Но им уже удалось добраться до температуры жидкого водорода, а сопротивление образцов из чистых металлов все падало и падало. А что же дальше? Каким будет предельное значение сопротивления проводника при приближении его температуры к абсолютному нулю.
Большинство ученых придерживалось мнения: при абсолютном нуле электрическое сопротивление должно исчезать. Действительно, электрический ток – это поток свободных электронов проходящих сквозь кристаллическую решетку. Если бы кристалл был идеальным, а его атомы строго неподвижны, то электроны двигались бы совершенно свободно, не встречал помех со стороны кристаллической решетки. Такой кристалл был бы идеальным проводником с нулевым сопротивлением. Однако, во-первых, беспорядочность колебание атомов решетки нарушают ее структуру, а во-вторых, электроны, движущиеся в кристалле, могут взаимодействовать с колеблющимися атомами, передавать им часть своей энергии, что и означает появление электрического сопротивления. При понижении атомов амплитуда колебаний атомов уменьшается, следовательно, столкновение свободных электронов с ними уменьшается, и, таким образом ток встречает меньше сопротивления! При абсолютном нуле, когда решетка уже неподвижна, сопротивление проводника становится равным нулю.
Впрочем, небольшое сопротивление тока может сохранится и при абсолютном нуле, поскольку и тогда некоторые электроны все еще сталкивались бы с атомами решетки. Кроме того, кристаллические решетки, как правило, не являются идеальными: в них всегда есть дефекты и примеси посторонних атомов. С другой стороны была выдвинута гипотеза, согласно которой электроны проводимости при низких температурах объединяются с атомами, что приводит к бесконечно большому сопротивлению при температуре, равной ноль Кельвинов.
До 1911г. трудно было себе представить ещё какое-нибудь другой вариант. Опыт и только опыт может служить физических моделей и критерием их справедливости. Вполне понятно, что одним из первых экспериментов при температуре жидкого гелия стало измерение сопротивление металлов. Сам физический «+» холода не доступен эксперименту, поэтому Камерлинг-Оннес, который к тому времени располагал возможностью получать температуры лишь на один градус выше абсолютного нуля, измерял электрическое сопротивление металлов при разных температурах. Затем строились кривые, которые можно было продолжить, т.е. как бы составить прогноз для интересующей нас области.
Сначала Оннес исследовал образцы платины и золота, так как именно эти металлы имелись тогда в достаточно чистом виде. При понижении температуры образцов сопротивление исправно падало, стремясь к некоторому постоянному значению (остаточному сопротивлению). Однако значения электрических сопротивлений различных образцов, при равных условиях были тем меньше, чем чище оказывался металл. Отсюда вывод: «…учитывая поправку на достаточное сопротивление, я пришел к заключению, что сопротивление абсолютно чистой платиной при температуре кипения жидкого гелия, возможно, исчезнет».
Итак, ртуть Оннес заморозил в сосуде, содержащим жидкий гелий, и приступил к измерению сопротивления.
Вначале все шло так, как предусматривала теория. Электрическое сопротивление ртути плавно падало по мере снижения температуры: 10; 5; 4,2К, и сопротивление стало таким малым, что его вообще не удавалось зарегистрировать приборами, имевшимися в лаборатории. Позднее, в 1913г., вспоминая этот период; Оннест писал: « Будущее казалось мне прекрасным. Я не видел перед собой трудностей. Они были преодолены и убедительность эксперимента не вызвала сомнений». И вдруг случилось неожиданное.
В ходе дальнейших экспериментов на усовершенствованной аппаратуре Оннест заметил, что сопротивление ртути при температуре около 4,1К уменьшалось не плавно, а скачком до неизменно малой величины, т.е. исчезало начисто.
Первая мысль была о неисправности прибора, с помощью которого измерялось сопротивление. Включили другой. И вновь при температуре 4,1К стрелка прибора прыгнула к 0. Здесь было от чего прийти в замешательство: до абсолютного нуля было ещё четыре градуса. И он повторяет эксперимент ещё раз. Изготовляет из ртути новый образец; берет даже очень загрязненную ртуть, у которой остаточное сопротивление должно быть ярко выражено; замеряет измерительный прибор точнейшим зеркальным гальванометром.
Но сопротивление по-прежнему исчезало. Вот тогда, наверное, Камерлине-Оннес и произнес впервые слово сверхпроводимость. «… и не осталось сомнений, - писал Оннес. – в существовании нового состояния ртути, в котором сопротивление физики исчезает… ртуть перешла в новое состояние, и, учитывая его исключительные электрические свойства, его можно назвать «сверхпроводящим состоянием».
Нет нужды говорить о том, каким это была сенсация. Теперь с его именем связывали два существенных события в физике: жидкий гелий и сверхпроводимость. В 1913 году Камерлине-Оннесу была присуждена Нобелевская премия. Разумеется, Оннес думал о загадке сверхпроводимости, но тогда, в декабре 1913 года, ему оставалось только предполагать: «Эта работа должна приподнять покрывало, которым тепловое движение при обычных температурах закрывает от нас внутренний мир атомов и электронов... Из всех областей физики к нам приходят вопросы, ожидающие решения от измерений при гелиевых температурах».
2.1 Конечные температуры (критические)
Совершенный конденсат, охватывающий все электроны, способные объединяться в пары, может существовать только при абсолютном нуле. С повышением температуры тепловое возбуждение в конце концов становится достаточным, чтобы разрушить пары. Образовавшиеся при этом «нормальные», несвязные электроны становятся той разрушительной силой, которая уничтожает электронные пары. Они портят и механизм притяжения между электронами и тем самым ослабляют силы связи между образовавшимися парами. Это ведет в свою очередь к дальнейшему разрушению пар. А когда температура поднимается еще выше, разрушение приобретает катастрофический характер : выше некоторой определенной температуры уже ни одна пара существовать не может. При этом величина критической температуры Тc
оказывается одного порядка с энергией спаривания. Основной количественный результат теории – это формула для критической температуры:
Тc
=1,14 hхе-1/g
(1)
Здесь hх – средняя энергия фононов. По порядку величины равной дебаевской температуре Q; g – постоянная, определяющая силу притяжения между электронами. Значение критической температуры тем выше, чем выше значение температуры Дебая Q и параметра g.
Фононы в твердом теле могут иметь ограниченную энергию. Энергия фонона пропорциональны его частоте х, которая в свою очередь не превышает значения хmax порядка 1013
Гц. Это значит, что энергия фононов не превышает нескольких сотен градусов. Действительно, Еср.
max
= hхmax
≈ 5·10-23
Дж или в градусах (Е=kТ), Еср.
max
= hх/k ≈ 500k (постоянная планка h = 6,62·10-39
Дж·с, постоянная Больцмана k = 1,38·10-23
Дж/К). Таким образом дебаевская температура Q обычно лежит в пределах температур 100…500К. что касается параметра g, то для обычных сверхпроводников, у которых роль посредника при спаривании электронов выполняет кристаллическая решетка, g=0,5 и, даже несколько меньше.
Рассмотрим, в каких пределах меняется Тс
.
У элементарных сверхпроводников, включая элементы, обнаруживающие сверхпроводимость при высоких давлениях, минимальное значение Тс
имеет вольфрам: Тс
= 0,015 К, максимальное — ниобий: Тс
= 9,25 К. У сплавов Тс
имеет существенно более высокие значения: V3
Ga — 14,5 K, V3
Si — 17 K, Nb3
Sn - 18 K, Nb3
Al0 ,8
Ge0,2
- 20,7 K. Рекордное значение T
0
до 1986 года имело соединение Nb3
Ge — 23,2 K. У недавно синтезированных углеродных кластеров — фулеренов, легированных калием, K3
C60
, Тс
= 20 К. При легировании фулеренов цезием и рубидием (CsC60
и PbC60
) Тс
повышается до 30 К.
После открытия высокотемпературной сверхпроводимости и до настоящего времени в литературе появляются сообщения о наблюдении сверхпроводимости при температурах выше 140 К и даже при комнатной температуре: около 310 К (около +40°
С!). Правда, авторы отмечают, что сверхпроводящие фазы, обладающие такими Тс
,
являются термодинамически неустойчивыми и распадаются при многократном понижении и повышении температуры. Что можно сказать по этому поводу? По-видимому, предельно высоким значением Тс
=
135 К при нормальных условиях обладает система HgBa2
Ca2
Cu3
O8
+
x
.
Это термодинамически устойчивое значение. Очень интересно, что если это соединение подвергнуть всестороннему сжатию, то его Тс
обратимо повышается до значения ~ 160 К! Это указывает на возможность синтеза сверхпроводников с такими Тс
.
Насколько реально будет получить термодинамически устойчивые сверхпроводники с более высокими Тс
,
сказать трудно, хотя получение метастабильных фаз с Тс
≈
300 К является, по-видимому, возможным и представляет, с моей точки зрения, большой интерес, так как свидетельствует о принципиальной возможности существования сверхпроводимости при таких температурах.
Интересно отметить, что до 1986 года существовало мнение, что высокотемпературная сверхпроводимость (при температурах выше температуры кипения жидкого азота) невозможна. Поэтому открытие Беднорцем и Мюллером в 1986 году сверхпроводимости у керамик La2
−
x
Bax
CuО4
cТс
≈
3 5 K и La2
−
x
Srx
CuO4
cТс
≈
40 K явилось настоящей сенсацией. Вскоре после этого открытия были синтезированы керамики YBa2
Cu3
O7
−
x
c Тс
≈
90 K, Bi2
Sr2
CaCu2
O8
cТс
≈
110 K, Tl2
Ba2
CaCu2
O8
cТс
≈
125 K. В самое последнее время синтезировано соединение HgBa2
Ca2
Cu3
O8
+x
с Тс
≈
135 К.
Безусловно, открытие сверхпроводников с такими значениями Тс
является выдающимся достижением, так как для охлаждения сверхпроводящих систем стало возможным использовать дешевый и относительно легко доступный жидкий азот вместо дорогостоящего гелия. Тем не менее все приведенные значения Тс
существенно ниже комнатной температуры, и поэтому чрезвычайно актуальна возможность синтеза новых сверхпроводников с еще более высокими Тс
.
Поиском высокотемпературных сверхпроводников заняты сейчас многие лаборатории мира.
2.2 Критический ток
Еще в 1916г. американец Сильбиг высказал предположение, что сверхпроводимость уничтожается таким значением тока в проводнике, которое создает на поверхности сверхпроводника магнитное поле равное критическому. При этом совершенно все равно какое поле на него действует – собственное или приложенное внешнее.
Рассмотрим сверхпроводящую проволоку, по которой течет ток благодаря внешнему источнику. Физики называют этот ток током переноса, т.к. он переносит заряд по проволоке. Если проволока находится во внешнем магнитном поле, то возникшее на поверхности проводника экранизирующие токи складываются с током переноса и в каждой точке ток I можно рассматривать как суммарный. Магнитное поле на поверхности такой проволоки, через которую протекает ток I, определяется выражением В0
= м0
I\2рr, гдеВ0
– поле на поверхности; I – суммарный ток, r – радиус проволоки, м0
- магнитная постоянная. При этом не важно , возбужден ток или навеян магнитным полем, чтобы сверхпроводимость в какой-либо точке сохранилась, суммарный ток в неё не должен превысить критическую величину, присущую данному материалу.
Если полный ток, текущий по сверхпроводнику, достаточно высок, то плотность тока на поверхности достигает критического значения и связанное с ним магнитное поле на поверхности станет равным критическому. Очевидно, чем сильнее внешнее магнитное поле, тем меньше ток переноса, который можно пропускать через сверхпроводник без возникновения в нем сопротивления.
Посмотрим теперь, каким образом происходит переход сверхпроводника в нормальное состояние при достижении критической силы тока.
Если ток течет по сверхпроводнику в присутствии внешнего магнитного поля, то здесь все зависит от того, как распределены в пространстве силовые линии собственного или внешнего магнитных полей. Если же внешнее магнитное поле отсутствует, то можно предположить, что при токе Iс
в нормальное состояние переходит лишь внешний цилиндрический слой проволоки, а ее сердцевина– центральная часть - остается сверхпроводящей. Однако это оказывается невозможным.
Ток выбирает путь наименьшего сопротивления и, естественно, будет протекать по сердцевине проволоки, а не по внешнему цилиндрическому слою. Но, как известно, индукция магнитного поля обратно пропорциональна радиусу области, в которой идет ток. Вот и получается, что в центральной части магнитное поле будет больше, чем на поверхности проволоки. Если на поверхности поле достигает своего критического значения с индукцией Вс
, то в центральной части оно становится больше критического и сверхпроводящая сердцевина должна уменьшить свой радиус. Этот процесс будет продолжаться до тех пор, пока радиус не обратиться в диаметр, т.е. пока проволока не перейдет в нормальное состояние. Но вся проволока перейти в нормальное состояние не может: поле достигло критического значения лишь на ее поверхности. Поэтому, очевидно, при критическом токе проволока не может быть ни полностью сверхпроводящей, ни полностью нормальной. Сверхпроводник переходит в промежуточное состояние с чередующимися сверхпроводящими и нормальными слоями. Для этого промежуточного состояния был предложен ряд моделей. Ф.Лонодон, например, предложил, что при силе тока I
>
I
с
промежуточное состояние сосредотачивается в сердцевине, окруженной нормальной оболочкой.
Позже была предложена другая модель, согласно которой чередование нормальных и сверхпроводящих областей происходит вдоль всей проволоки. По мере возрастания тока сверхпроводящие области все более сжимаются, пока наконец не исчезают полностью.
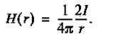
У сверхпроводников 1-го рода критический ток Ic
,
при котором сверхпроводимость разрушается, совпадает с током, создающим на поверхности образца магнитное поле Н= Нс
(правило Сильсби). Например, для цилиндрического образца радиуса r
магнитное поле на его боковой поверхности связано с текущим по образцу током I соотношением
 
Отсюда по правилу Сильсби
Ic
= 2рHcr
.
(3)
Возьмем Нс
=
5·104
А/м и r =
0,1 см. Для такого образца Ic
=
315A. Если учесть, что ток течет в поверхностном слое толщиной л (для Pbл≈400 Е = 4·10−8
м), то плотность сверхпроводящего критического тока
(4)
Для сверхпроводников 2-го рода правило Сильсби неприменимо. Критический ток в сверхпроводниках 2-го рода необычайно чувствителен к структуре образца и у одного и того же материала может меняться на несколько порядков величины.
2.3 Эффект Мейснера
В 1913г. немецкие физики Мейснер и Оксенфельд решили экспериментально проверить, как именно распределяется магнитное поле вокруг сверхпроводника. Результат оказался неожиданным. Независимо от условий проведения эксперимента магнитное поле внутрь проводника не проникало. Поразительный факт заключался в том, что сверхпроводник, охлажденный ниже критической температуры в постоянном магнитном поле, самопроизвольно выталкивает это поле из своего объема, переходя в состояние, при котором магнитная индукция В=0, т.е. состояние идеального диамагнетизма. Это явление получило название эффекта Мейснера.
Многие считают, что эффект Мейснера, является наиболее фундаментальным свойством сверхпроводников. Действительно, существование нулевого сопротивления неизбежно следует из этого эффекта. Ведь поверхностные экранизирующие токи постоянны во времени и не затухают в не измеряющемся магнитном поле. В тонком поверхностном слое сверхпроводника эти токи создают свое магнитное поле, строго равное и противоположное внешнему полю. В сверхпроводнике эти два встречных магнитных поля складываются так, что суммарное магнитное поле становится равным нулю, хотя слагаемые поля существуют совместно, поэтому и говорят об эффекте «выталкивание» внешнего магнитного поля из сверхпроводника.
Пусть в исходном состоянии идеальный проводник охлажден ниже критической температуры и внешнее магнитное поле отсутствует. Внесем теперь такой идеальный проводник во внешнее магнитное поле. Поле в образец непроникает, что схематически изображено на рис. 1.
Сразу по появлении внешнего поля на поверхности идеального проводника возникает ток, создающий, по правилу Ленца, свое собственное магнитное поле, направленное навстречу приложенному, и полное поле в образце будет равно нулю.
Это можно доказать используя уравнения Максвелла. При изменении индукции В
внутри образца должно возникнуть электрическое поле Е:
(5)
Где с
- скорость света в вакууме. Но в идеальном проводнике R=
0, так как
E
=
j
с,
где с — удельное сопротивление, которое в нашем случае равно нулю, j
— плотность наведенного тока. Отсюда следует, что B
=const, но поскольку до внесения образца в поле В
= 0, то ясно, что В
= 0 и после внесения в поле. Это можно интерпретировать еще и так: поскольку с =0, время проникновения магнитного поля в идеальный проводник равно бесконечно.
Итак, внесенный во внешнее магнитное поле идеальный проводник имеет В
= 0 в любой точке образца. Однако того же состояния (идеальный проводник при Т
<Тс
во внешнем магнитном поле) можно достигнуть и другим путем: сперва наложить внешнее поле на «теплый» образец, а затем охладить его до температуры Т
<Тс
.

Электродинамика предсказывает для идеального проводника совершенно другой результат. Действительно, образец при Т>Тс
имеет сопротивление и магнитное поле в него хорошо проникает. После охлаждения его ниже Тс
поле останется в образце. Эта ситуация изображена на рис. 2.
Таким образом, кроме нулевого сопротивления сверхпроводники обладают еще одним фундаментальным свойством - идеальным диамагнетизмом. Исчезновение магнитного поля внутри связано с появлением незатухающих поверхностных токов в сверхпроводнике. Но магнитное поле не может быть вытолкнуто полностью, т.к. это бы означало, что на поверхности магнитное поле падает скачком от конечного значения В
до нуля. Для этого необходимо, чтобы по поверхности протекал ток, бесконечной плотности, что невозможно. Следовательно, магнитное поле проникает в глубь сверхпроводника, на некоторую глубину л.
Эффект Мейснера Ї Оксенфельда наблюдается только в слабых полях. При увеличении напряженности магнитного поля до величины Н
cm
сверхпроводящее состояние разрушается.Это поле получило название критического Н
cm
.Зависимость между критическим магнитным полем и критической температурой хорошо описывается эмпирической формулой (6).
Н
cm
(T)=
Н
cm
(0)
[1-(T/Tc
)2
](6)
Где Н
cm
(0)
– критическое поле экстраполированное к абсолютному нулю.
График этой зависимости приведен на рисунке 3. Этот график также можно рассматривать, как фазовую диаграмму, где каждая точка серой части соответствует сверхпроводящему состоянию, а белой области - нормальному.

По характеру проникновения магнитного поля сверхпроводники делятся на сверхпроводники первого и второго рода. В сверхпроводник первого рода магнитное поле не проникает до тех пор пока, напряженность поля не достигнет значения Н
cm
. Если поле превышает критическое значении, то сверхпроводящее состояние разрушается и поле полностью проникает в образец. К сверхпроводникам первого рода относятся все химические элементы сверхпроводники, кроме ниобия.
Подсчитали, что при переходе металла из нормального состояния в сверхпроводящее производится некоторая работа. Что, собственно, является источником этой работы? То, что у сверхпроводника энергия ниже, чем у того же металла в нормальном состоянии.
Ясно, что «роскошь» эффекта Мейснера сверхпроводник может себе позволить за счет выигрыша в энергии. Выталкивание магнитного поля будет иметь место до тех пор, пока связанное с этим явлением увеличение энергии компенсируется более эффективным ее уменьшением, связанным с переходом металла в сверхпроводящее состояние. В достаточно магнитных полях энергетически более выгодным оказывается не сверхпроводящее, а нормальное состояние, в котором поле свободно проникает в образец.
2.4 Глубина проникновения. Уравнение Лондонов
В 1935г. физики братья Лондоны предприняли попытку количественного описания электрических и магнитных свойств сверхпроводников. Предложенные ими уравнения имеют для сверхпроводников такое же значение, какое имеет закон Ома для нормальных проводников. Для нормальных проводников плотность тока j пропорциональна напряженности электрического поля Е: j= уЕ (у - электропроводность). Применим закон Ома (I=U/R) к однородному проводнику длиной l и сечением S. Вследствие симметрии формы провода электрическое поле в нем имеет напряженность, равную E=U/l, а плотность тока j=I/S. Подставляя эти выражения в закон Ома, получили El/Js=R, откуда j=E/с, где с-удельное сопротивление проводника, равное с=RS/l, а у=l/с – удельная электропроводность. Связь между плотностью тока и электрическим или магнитным полем для сверхпроводников дается двумя уравнениями Лондонов. Первое уравнение описывает идеальную проводимость: поле ускоряет электрон, движущийся в среде без сопротивления. Второе уравнение отражает эффект Мейснера. Оно описывает затухание магнитного поля в тонком поверхностном слое сверхпроводника и тем самым словно разрушает представление об идеальном диамагнетизме.
Диамагнетизм сверхпроводников – это поверхностный эффект, магнитное поле не проникает в толщу образца. Однако оно не может быть полностью вытолкнуто из своего объема металла, включая его поверхность. Иначе на поверхности магнитное поле скачком уменьшается до нуля. токовый слой не имел бы толщины, и плотность тока была бы бесконечной, что физически невозможно. Следовательно, магнитное поле хоть немного, проникает в проводник. Именно в этом тонком приповерхностном слое и протекают незатухающие токи, которые и экранизируют от влияния внешнего магнитного поля области, удаленные от поверхности. Толщина этого слоя, получившим название глубины проникновения поля л, является одной из важнейших характеристик сверхпроводника.
Теория Лондонов позволила найти зависимость индукции магнитного поля от глубины проникновения: В(х) = В0
е-хл
. Эта зависимость экспотенциальна. Все металлы имеют разное значение л, но, в общем, глубина проникновения очень мала, порядка нескольких сот ангстрем (Е) (1Е = 10-8
см), поэтому и кажется, что массивные образцы ведут себя как идеальные диамагнетики с индукцией В=0.
Глубина проникновения не является постоянной величиной - она зависит от температуры образцов. чем больше температура отличается от критической, тем на меньшую глубину в образец проникает магнитное поле. По мере приближения к температуре перехода магнитное поле все глубже проникает в толщу образца. Пока наконец в самой точке перехода в нормальное состояние не захватит весь объем газа. В близи критической температуры сверхпроводники уже не являются идеальными диэлектриками.
2.5 Сверхпроводники первого рода и второго рода
Сверхпроводники, в зависимости от их поведения во внешнем магнитном поле Н, разделяются на два типа: сверхпроводники 1-го и 2-го рода.
Как указывалось выше, у всех сверхпроводников существует область не очень сильных полей, в которой индукция внутри сверхпроводника равна нулю. В этой области магнитный момент М линейно зависит от Н:
M =−H.
При дальнейшем увеличении поля зависимости Мот Н
у сверхпроводников 1-го и 2-го рода принципиально отличаются (рис. 4): у сверхпроводников 1-го рода при критическом значении магнитного поля Нс
(поле Нс
называется термодинамическим критическим полем) идеальный диамагнетизм исчезает и образец (на рис. 4 приведены зависимости М от Н
для образцов, имеющих форму длинных тонких цилиндров, ориентированных вдоль поля) полностью переходит в нормальное состояние. К сверхпроводникам 1-го рода относятся все чистые сверхпроводящие элементы и некоторые их сплавы стехиометрического состава.

У сверхпроводников 2-го рода линейная зависимость Мот Н
нарушается при значении магнитного поля Нс1
,
называемого первым критическим полем. Далее М монотонно уменьшается и обращается в нуль при Нс2
,
получившем название 2-го критического поля. В области между Нс1
и Нс2
средняя магнитная индукция внутри сверхпроводника не равна нулю. Внешнее магнитное поле в этой области начинает проникать внутрь сверхпроводника в виде тонких нитей магнитного потока (рис. 5) — вихрей Абрикосова. Каждый вихрь имеет нормальную (не сверхпроводящую) сердцевину диаметром 2о , через которую проходит магнитное поле. Вокруг сердцевины в слое толщиной л текут вихревые сверхпроводящие токи js
,
экранирующие области с В=0. Магнитный поток, пронизывающий каждый вихрь, имеет строго определенное значение Ц0
= 2,07 · 10−7
Вб (квант потока).
При увеличении Н
число вихрей возрастает, расстояние между ними уменьшается. При Н
= Нс2
нормальные сердцевины вихрей соприкасаются и объемная сверхпроводимость исчезает. Состояние, в котором находится сверхпроводник в области Нс1
<
H
<
Hc
2
,
называется смешанным состоянием (оно представляет смесь нормальной и сверхпроводящей фаз).
К сверхпроводникам 2-го рода относятся большое число сплавов и все высокотемпературные сверхпроводники.
2.6 Критическое магнитное поле
Кривые зависимостей критических полей от температуры для сверхпроводников 1-го и 2-го рода изображены на рис. 6а и 6б. Для сверхпроводника 1-го рода кривые Нс
(Т)
имеют вид парабол. У сверхпроводников 2-го рода в области полей 0 < H
< Нс1
значения R
и В
равняются нулю. В полях Нс1
<
H
<
Hc
2
образец находится в смешанном состоянии (0 < В < µ0
H
),
но при этом сопротивление образца остается равным нулю.
При Hc
2
объемная сверхпроводимость разрушается, но сохраняется поверхностная сверхпроводимость в тонком слое на поверхности, которая разрушается в поле Нс3
=
1,69 Hc
2
.
У сверхпроводников 1-го рода Нс
(0)
(при Т =
0) не превышают 105
А/м.
У сверхпроводников 2-го рода Hc2
(0)
достигают огромных величин, что позволяет создавать на их основе сверхпроводящие системы для создания сильных магнитных полей в больших объемах без затраты энергии на их поддержание. Hc2
(0)
имеют следующие значения: у Nb3
Sn — 1,7 · 107
А/м; V3
Ga - 2 · 107
А/м; Nb3
Al - 2,6 · 107
А/м; Nb379
(Al73
Ge27
)21
- 3,4 · 107
А/м; PbMo36S8
- 4,8 · 107
А/м; керамики с Тс
=
100 К — более 10

3.Свойства сверхпроводников
3.1 Нулевое сопротивление
Когда же исчезает сопротивление? Ответ на этот вопрос получил Камерлинг-Оннес ещё в 1914г. Он предложил весьма остроумный метод измерения сопротивления. Схема эксперимента выглядела довольно просто. Катушку от свинцового провода опустили в криостат - устройство для проведения опытов при низких температурах. Охлаждаемая гелием катушка находилась в сверхпроводящем состоянии. При этом ток, идущий по катушке, создавал вокруг нее магнитное поле, которое легко обнаруживалось по отклонению магнитной стрелки, расположенной вне криостата. Затем ключ замыкают, так что теперь сверхпроводящая обводка оказалась замкнутой накоротко. Стрелка компаса, однако, оставалось отклоненной, что указывало наличие тока в катушке, уже отсоединенной от источника тока. Наблюдая за стрелкой на протяжении нескольких часов (пока не испариться весь гелий из сосуда), Оннес не заметил ни малейшего изменения в отклонении стрелки.
По результатам опыта Оннес пришел к заключению, что сопротивление сверхпроводящей свинцовой проволоки по меньшей мере в 1011
раз меньше её сопротивления в нормальном состоянии. Впоследствии проведения аналогичных опытов, было установлено, что время затухания тока превышает многие годы, и из этого следовало, что удельное сопротивление сверхпроводника меньше чем 1025
Ом·м. Сравнив это с удельным сопротивлением меди при комнатной температуре 1,55·10-8
Ом·м – разница столь огромна, что можно смело считать: сопротивление сверхпроводника равно нулю, действительно трудно назвать другую наблюдаемую и изменяемую физическую величину, которая обращалась бы в такой же «круглый ноль», как сопротивление проводника при температуре ниже критической.
Вспомним известный из школьного курса физики закон Джоуля – Ленца: при протекании тока I по проводнику с сопротивлением R в нем выделяется тепло. На это расходуется мощность P = I2
R. Как ни мало сопротивление металлов, но зачастую и оно ограничивает технические возможности различных устройств. Нагреваются провода, кабели, машины, аппараты, вследствие этого миллионы киловатт электроэнергии буквально выбрасываются на ветер. Нагрев ограничивает пропускную способность электропередач, мощность электрических машин. Так в частности обстоит дело и с электромагнитами. Получение сильных магнитных полей требует больших токов, что приводит к выделению колоссального количества тепла в обмотках электромагнита. А вот сверхпроводящая цепь остается холодной, ток будет циркулировать не затухая – сопротивление равно нулю, потерь электроэнергии нет.
Так как электрическое сопротивление равно нулю, то возбужденный в сверхпроводящем кольце ток будет существовать бесконечно долго. Электрический ток в этом случае напоминает ток, создаваемый электроном на орбите в атоме Бора: это как бы очень большая боровская орбита. Незатухающий ток и создаваемое им магнитное поле (рис. 7) не могут иметь произвольную величину, они квантуются так, что магнитный поток, пронизывающий кольцо, принимает значения, кратные элементарному кванту потока Фо
= h
/(2
e
) =
2,07 1015
Вб (
h
—
постоянная Планка).

В отличие от электронов в атомах и других микрочастиц, поведение которых описывается квантовой теорией, сверхпроводимость — макроскопическое квантовое явление. Действительно, длина сверхпроводящей проволоки, по которой течет незатухающий ток, может достигать многих метров и даже километров. При этом носители тока в ней описываются единой волновой функцией. Это не единственное макроскопическое квантовое явление. Другим примером может служить сверхтекучесть в жидком гелии или в веществе нейтронных звезд.
В 1913 году Камерлинг-Оннес предлагает построить мощный электромагнит с обмотками из сверхпроводящего материала. Такой магнит не потреблял бы электроэнергии, и с его помощью можно было бы получать сверхсильные магнитные поля. Если бы так …
Как только пробовали пропускать по сверхпроводнику значительный ток, сверхпроводимость исчезала. Вскоре оказалось, что и слабое магнитное поле тоже уничтожает сверхпроводимость. Существование критических значений температуры, тока и магнитной индукции резко ограничивало практические возможности сверхпроводников.
3.2 Электрическое сопротивление сверхпроводников
Никакими экспериментальными методами принципиально нельзя доказать, что какая-либо величина, в частности электрическое сопротивление, равна нулю. Можно показать лишь, что она меньше некоторой величины, определяемой точностью измерений.
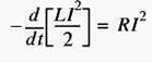
Наиболее точный метод измерения малых сопротивлений заключается в измерении времени затухания тока, индуцированного в замкнутом контуре из исследуемого материала. Уменьшение во времени энергии тока LI
2
/2 (
L
—
коэффициент самоиндукции контура) расходуется на джоулево тепло:

Отсюда

интегрируя, находим 
(
I
0
—
значение тока при t
= 0,
R
—
сопротивление контура).
Ток экспоненциально затухает во времени, а скорость затухания (при заданном L
)
определяется величиной электрического сопротивления.
Для малых R
формулу (8) можно записать в виде

здесь дI—
изменение тока за время ∆t. Эксперименты, проведенные с использованием тонкостенных сверхпроводящих цилиндров с предельно малыми значениями L
,
показали, что сверхпроводящий ток сохраняет постоянное значение (с точностью измерений) в течение нескольких лет. Отсюда следовало, что удельное сопротивление в сверхпроводящем состоянии меньше 4 · 10−25
Ом м, то есть более чем в 1017
раз меньше сопротивления меди при комнатной температуре. Поскольку возможное время затухания сравнимо со временем существования человечества, можно считать, что R
на постоянном токе в сверхпроводящем состоянии равно нулю.
Таким образом, сверхпроводящий ток — это единственный в природе реально существующий пример вечного движения в макроскопическом масштабе!
При R
=0
разность потенциалов V
=
IR
на любом отрезке сверхпроводника, а следовательно, и электрическое поле Е
внутри сверхпроводника равны нулю. Электроны, создающие ток в сверхпроводнике, движутся с постоянной скоростью, не рассеиваясь на тепловых колебаниях атомов кристаллической решетки и ее неоднородностях. Заметим, что если бы Е
небыло равно нулю, электроны, переносящие сверхпроводящий ток, ускорялись бы неограниченно и ток мог бы достигать бесконечно большого значения, что физически невозможно. Чтобы создать сверхпроводящий ток, нужно только ускорить электроны до определенной скорости направленного движения (затратив при этом энергию), а далее ток сохраняет постоянное значение, не заимствуя энергию от внешнего источника (в отличие от тока в обычных проводниках).
Ситуация меняется, если к сверхпроводнику прикладывается переменная разность потенциалов, создающая переменный сверхпроводящий ток. В течение каждого периода ток меняет направление. Следовательно, в сверхпроводнике должно существовать электрическое поле, которое периодически замедляет сверхпроводящие электроны и ускоряет их в противоположном направлении. Так как на это расходуется энергия от внешнего источника, электрическое сопротивление на переменном токе в сверхпроводящем состоянии не равно нулю. Однако, поскольку масса электрона очень мала, потери энергии при частотах меньше 1010
- 1011
Гц ничтожны.
Обратим внимание, что при наличии эффекта Мейснера (равенства нулю магнитной индукции внутри материала сверхпроводника) сверхпроводящий ток течет только в тонком слое на поверхности, толщина которого определяется глубиной проникновения л магнитного поля в сверхпроводник, а при высоких частотах, когда глубина поверхностного слоя, в который проникает переменное электромагнитное поле, становится меньше л, — в еще более тонком слое.
3.3 Сверхпроводники в магнитном поле
То, что в магнитном поле, превышающем некоторое пороговое или критическое значение, сверхпроводимость исчезает, совершенно бесспорно. Даже, если бы какой-то металл лишился бы сопротивления при охлаждении, то он не может снова вернуться в нормальное состояние, попав во внешнее магнитное поле. При этом у металла восстанавливается примерно тоже сопротивление, которое было у него при температуре, превышающей температуру Тс
сверхпроводящего перехода. Само критическое поле с магнитной индукцией Вс
зависит от температуры: индукция равна нулю при температуре Т = Тс
и возрастает при температуре стремящейся к нулю. Для многих металлов зависимость индукции Вс
от температуры подобна.
Рисунок 3 можно рассматривать как диаграмму, где линия зависимости В(Т) для каждого металла разграничивает области разных фаз. Области ниже этой линии соответствуют сверхпроводящему состоянию, выше – нормальному.
Рассмотрим теперь поведение идеального проводника (т.е. проводника лишенного сопротивления, в различных условиях). У такого проводника при охлаждении ниже критической температуры электропроводность становиться бесконечной. Именно это свойство позволило считать сверхпроводник идеальным проводником.
Магнитные свойства идеального проводника вытекли из закона индукции – Фарадея и условия бесконечной электропроводности. Предположим, что переход металла в сверхпроводящее состояние происходит в отсутствии магнитного поля и внешнее магнитное поле прикладывается лишь после исчезновения сопротивления. Здесь не надо никаких тонких экспериментов, чтобы убедиться в том, что магнитное поле внутрь проводника не проникает. Действительно, когда металл попадает в магнитное поле, то на его поверхности вследствие электромагнитной индукции возникают не затухающие замкнутые токи (их число называют экранирующим), создающие свое магнитное поле индукция которого по модулю равна, индукции внешнего магнитного поля, а направление векторов магнитной индукции этих полей противоположны. В результате индукция суммарного магнитного поля равна нулю.
Возникает ситуация, при которой металл как бы препятствует проникновения в него магнитного поля, то есть ведет себя как диамагнетик. Если теперь внешнее магнитное поле убрать, то образец окажется в своем не намагниченном состоянии.
Теперь поместим в магнитное поле металл находящийся в нормальном состоянии, и затем охладить его для того, чтобы он перешел в сверхпроводящее состояние. Исчезновение электрического сопротивления не должно оказывать влияние на не намагниченность образца, и поэтому распределение магнитного потока в нем не измениться. Если теперь приложенное магнитное поле убрать, то изменение потока внешнего магнитного поля через объем образца приведет (по закону индукции) к появлению незатухающих потоков, магнитное поле которых точно скомпенсирует изменение внешнего магнитного поля. В результате захваченное поле не сможет уйти: оно окажется «замороженным» в объеме образца и останется там как в своеобразной ловушке.
Как видно магнитные свойства идеального проводника зависят от того каким он попадает в магнитное поле. В самом деле, в конце этих двух операций – приложение и снижение поля – металл оказывается в одних и тех же условиях – при одинаковой температуре и нулевом внешнем магнитном поле. Но магнитная индукция металла-образца в обоих случаях совершенно различна – нулевая в первом случае и конечная, зависящая от исходного поля во втором.
3.4 Промежуточное состояние при разрушении сверхпроводимости током
По достижении критического значения магнитного поля сверхпроводимость скачком разрушается и образец целиком переходит в нормальное состояние. Это справедливо и тогда, когда внешнее магнитное поле имеет одно и то же значение в любой точке на поверхности образца. Такая простая ситуация может быть реализована, в частности, для очень длинного и тонкого цилиндра с осью, направленной вдоль поля.
Если же образец имеет иную форму, то картина перехода в нормальном состоянии выглядит на много сложнее. С ростом поля наступает момент, когда оно становится равным критическому в каком-нибудь одном месте поверхности образца. Если образец имеет форму шара, то выталкивание магнитного поля приводит, к сгущению силовых линий в окрестности его экватора. Такое распространен поля является результатом наложения на равномерное внешнее магнитное поле с индукцией В0
магнитного поля, создаваемого экранизирующими токами.
Очевидно, распределение силовых линий магнитного поля обусловлено геометрией образца. Для простых тел этот эффект можно характеризировать одним числом, так называемым коэффициентом разложения. Если, например, тело имеет форму эллипсоида, одна из осей которая направлена вдоль поля, то на его экваторе поле становиться равным критическому при выполнении условия В0
=Вс
×(1-N). При известном коэффициенте размагничивания N можно определить поле на экваторе. Для шара, например, N=⅓ так что на экваторе его магнитное поле становиться равным критическому при индукции В0
=⅔Вс
. При дальнейшем увеличении поля сверхпроводимость у экватора должна разрушаться. Однако, весь шар не может перейти в нормальное состояние, так как в этом случае поле проникло бы во внутрь шара и стало бы равно внешнему, полю то есть оказалось ба меньше критического. Наступает частичное разрушение сверхпроводимости – образец расслаивается на нормальные и сверхпроводящие области. Такое состояние, когда в образце существуют нормальные и сверхпроводящие области, называется промежуточным.
Теория промежуточного состояния была разработана Л.Д.Ландау. согласно этой теории в интервале магнитных полей с индукцией В1
< B0
< Bс
(В1
- индукция внешнего магнитного поля, в тот момент, когда в каком-нибудь месте поверхности поле, достигает значение индукции Вс
). Сверхпроводящие и нормальные области существуют, образуя совокупности чередующихся между собой зон разной электропроводности. Реальная картина намного сложнее. Структура промежуточного состояния, полученная при исследовании оловянного шара, (сверхпроводящие области заштрихованы). Соотношение между количествами S - и N - областей непрерывно меняется. С ростом поля сверхпроводящая фаза “тает” за счет роста N – областей и при индукции В = Вс
исчезает полностью. И все это связано с образованием границ и их исчезновением между S - и N - областями. А образование всякой поверхности раздела между двумя различными состояниями должно быть связано с дополнительной энергией. Эта поверхностная энергия играет весьма существенную роль и является важным фактором. От неё, в частности зависит тип сверхпроводника.
В нормальной области магнитное поле равно критическому (или больше). На границе нет резкого перехода от полностью нормального к полностью сверхпроводящему. Магнитное поле проникает на расстояние l в глубь сверхпроводящей области, и число сверхпроводящих электронов ns
на единицу объема медленно повышается на расстояние равном некоторой характеристической длине, которую назвали длиной когерентности x.
Глубина проникновения l, имеет порядок 10-5
…10-6
см, длина когерентности для чистых металлов, по оценкам английского физика А.Пиппарда, должна быть порядка 10-4 см. Как показали советские физики В.Л.Гизбург и Л.Д.Ландау, поверхностная энергия будет положительной, е
cли отношение l\x меньше 1\Ö2 » 0,7. Этот случай реализуется у веществ, которые принято называть сверхпроводниками I рода.
В сверхпроводниках первого рода поверхностная энергия положительна, то есть в нормальном состоянии выше, чем в сверхпроводящем. Если в толще такого материала возникает нормальная зона, то для границы между сверхпроводящей и нормальной фазами необходима затрата некоторой энергии. Это и объясняет причину расслоения сверхпроводника в промежуточном состоянии только на конечное число зон. При этом размеры S – и N – областей могут быть порядка миллиметра и их можно видеть даже невооруженным глазом, покрывая поверхность образца тонким магнитным и сверхпроводящим (диамагнитным) порошком. Магнитные порошки притягиваются полем и располагаются на выходе нормальных слоев.
Теперь о сверхпроводниках второго рода. Промежуточное состояние соответствует ситуации, когда расслоение l < x. В неоднородных металлах при наличии примесей дело обстоит иначе. Соударение электронов с атомами примесей могут привести к снижению длины когерентности x. В таких материалах, как сплавы, длина когерентности оказывается меньше, и порой существенно – в сотни раз, чем глубина проникновения. Таким образом сверхпроводники второго рода – это сплавы и металлы с примесями. В сверхпроводниках второго рода поверхностная энергия отрицательна (l < x), поэтому создание границы раздела между фазами связано с освобождением некоторой энергии. Им энергетически выгодно пропустить в свой объем часть внешнего магнитного тока. Вещество при этом распадается на некую смесь из мелких сверхпроводящих и нормальных областей, границы которых параллельны направлению приложенного поля. Такое состояние принято называть смешанным.
3.5 Туннельные эффекты
В 1962 году появилась статья никому до того неизвестного автора Б. Джозефсона, в которой теоретически предсказывалось существование двух удивительных эффектов: стационарного и нестационарного. Джозефсон теоретически изучал туннелирование куперовских пар из одного сверхпроводника в другой через какой-либо барьер. Прежде чем переходить к первому эффекту Джозефсона, остановимся кратко на туннелирование электронов между двумя частями металла, разделенными тонким слоем диэлектрика.
Туннельный эффект известен в физики давно. Туннельный эффект — это типичная задача квантовой механики. Частица (например, электрон в металле) подлетает к барьеру (например, к слою диэлектрика), преодолеть который она по классическим представлениям никак не может, так как ее кинетическая энергия недостаточна, хотя в области за барьером она со своей кинетической энергией вполне могла бы существовать. Напротив, согласно квантовой механике, прохождение барьера возможно. Частица с некоторой вероятностью может, как бы пройти по туннелю через классически запрещенную область, где ее потенциальная энергия как бы больше полной, то есть классическая кинетическая энергия как бы отрицательна. На самом деле с точки зрения квантовой механики для микрочастицы (электрона) справедливо соотношение неопределенностей ∆х∆р >
h
(x
—
координата частицы, p —
ее импульс). Когда малая неопределенность ее координаты в диэлектрике ∆х =
d
(
d
—
толщина слоя диэлектрика) приводит к большой неопределенности ее импульса ∆р
≥ h
/ ∆
x
, а
следовательно, и кинетической энергии p2
/(2m) (m —
масса частицы), то закон сохранения энергии не нарушается. Опыт показывает, что действительно между двумя металлическими обкладками, разделенными тонким слоем диэлектрика (туннельный переход), может протекать электрический ток тем больший, чем тоньше диэлектрический слой.
3.6 Эффект Джозефсона
Физические объекты, в которых имеет место эффект Джозефсона, сейчас принято называть джозефсоновскими переходами, или джозефсоновскими контактами, или джозефсоновскими элементами. Для того чтобы представить себе ту роль, которую играют джозефсоновские элементы в сверхпроводниковой электронике, можно провести параллель между ними и полупроводниковыми p—n-переходами (диоды, транзисторы) — элементной базой обычной полупроводниковой электроники.
Джозефсоновские переходы представляют собой некоторую слабую электрическую связь между двумя сверхпроводниками. Фактически эту связь можно осуществить несколькими способами. Наиболее часто используемые на практике типы слабой связи — это: 1) туннельные переходы, в которых связь между двумя пленочными сверхпроводниками осуществляется через очень тонкий (десятки ангстрем) слой изолятора между ними — SIS-структуры; 2) «сандвичи» — два пленочных сверхпроводника, взаимодействующие через тонкий (сотни ангстрем) слой нормального металла между ними — SNS-структуры; 3) структуры типа мостик, представляющие собой узкую сверхпроводящую перемычку (мостик) ограниченной длины между двумя массивными сверхпроводящими электродами.
Носителями сверхтока в сверхпроводниках при T
=
0 К являются все электроны проводимости n(0) (концентрация электронов). При повышении температуры появляются элементарные возбуждения (нормальные электроны), так что концентрация ns
сверхпроводящих электронов при температуре Т
ns
(T
) = п
(0
)-п
n
(Т
),
где nn
(
T
) —
концентрация нормальных электронов при температуре Т.
В теории Бардина, Купера и Шриффера (БКШ) при Т
→ Тс
(критическая температура)
п
s
(Т
) ≈
∆2
(Т),
где 2
Д(Т) —
ширина энергетической щели в спектре сверхпроводника. Все сверхпроводящие электроны образуют связанные парные состояния, получившие название куперовских пар электронов.
Куперовская пара объединяет два электрона с противоположными спинами и импульсами и, следовательно, имеет нулевой суммарный спин. В отличие от нормальных электронов, имеющих спин 1/2 и поэтому подчиняющихся статистике Ферми—Дирака, куперовские пары подчиняются статистике Бозе—Эйнштейна и конденсируются на одном, нижнем энергетическом уровне. Характерной особенностью куперовских пар является их относительно большой размер (порядка 1 мкм), намного превышающий среднее расстояние между парами (порядка межатомных расстояний). Такое сильное пространственное перекрытие пар означает, что вся совокупность (конденсат) куперовских пар является когерентной, то есть описывается в квантовой механике единой волновой функцией Ш = ∆
eix
.
Здесь Д — амплитуда волновой функции, квадрат которой характеризует концентрацию куперовских пар, ч — фаза волновой функции, i — мнимая единица, P
—
-1. В случае же нормальных электронов, являющихся ферми-частицами, согласно принципу Паули, энергии электронов никогда не равны друг другу точно. Поэтому из уравнения Шрёдингера для этих частиц следует, что скорости фаз дч/д
t
волновых функций нормальных электронов различаются, следовательно, фазы ч оказываются равномерно распределенными по тригонометрической окружности и при суммировании по всем частицам явная зависимость от ч исчезает.
Наличие слабой электрической связи между сверхпроводящими электродами обусловлено слабым перекрытием волновых функций куперовских пар электродов, в результате чего такой контакт также является сверхпроводящим, однако значение плотности его критического тока намного (на несколько порядков) меньше плотности критического тока электродов jc
≈
108
A/см2
. Для туннельных структур и структур типа сандвич плотность критического тока джозефсонов-ских переходов обычно лежит в диапазонеjjc
от 101
до 104
A/см2
, а их площадь S
в
рамках современной технологии может быть сделана от нескольких сот до единиц квадратных микрон. Поэтому критический ток таких джозефсоновских элементов Ic
= jjc
.
S
может быть от нескольких миллиампер до нескольких микроампер.
В целом можно отметить три следствия проявления квантовой когерентности бозе-конденсата куперовских пар в макроскопическом масштабе:
1) сам факт наличия сверхтока в сверхпроводниках,
2) эффект Джозефсона в слабых связях сверхпроводников и, наконец,
3) эффект квантования магнитного потока.
Величина постоянного сверхтока через джозефсоновский переход является периодической функцией разности фаз волновых функций электродов ц =ч1
-ч2
, называемой джозефсоновской фазой. В некоторых важных случаях эта функция представляет собой синус, то есть
(11)
При отсутствии тока через джозефсоновский элемент ц = 0 (с точностью до 2рn), а при протекании максимального сверхтока, равного Ic
, джозефсоновская фаза ц = р/2. При протекании постоянного тока I
>
I
с
напряжение на контакте равно нулю. Это явление носит название стационарного эффекта Джозефсона.
Нестационарный эффект Джозефсона
(
d
ц/
dt
≠ 0) имеет место, когда, например, через джозефсоновский элемент пропускается ток I > Ic
. В этом случае в переносе тока I через джозефсоновский переход кроме сверхтока Is
будет участвовать также нормальная компонента In
,
которая представляет собой ток нормальных электронов nn
(T).
Таким образом, I= Is
+
In
.
Протекание нормальной и, следовательно, диссипативной компоненты тока обусловливает появление на джозеф-соновском переходе падения напряжения
V
=
Й
n
Rn
,
где Rn
—
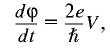
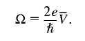
так называемое нормальное сопротивление перехода. В силу основного соотношения Джозефсона

в этом случае будут иметь место неограниченное нарастание (или убывание, если V
<
0) джозефсоновской фазы ц и, следовательно, периодическое изменение во времени сверхтока Is
.
Таким образом, при пропускании через джозефсоновский элемент постоянного тока | Д > >
Ic
этот ток будет переноситься двумя компонентами тока Is
и In
, которые, согласно (3), осциллируют (в про-тивофазе) во времени с частотой, пропорциональной постоянной составляющей V
падения напряжения на джозефсоновском переходе:

Напряжение на джозефсоновском элементе V
(
t
)
= In
(
t
)
Rn
будет также осциллировать во времени с частотой Щ и этот процесс носит название джозефсоновской генерации. Такое состояние джозефсоновского перехода называется резистивным. Следует подчеркнуть, что, несмотря на наличие падения напряжения на джозефсоновском переходе, сверхпроводимость электродов, образующих джозефсоновский элемент, в резистивном состоянии сохраняется.
Если джозефсоновский элемент обладает заметной собственной емкостью С
(например, туннельный джозефсоновский переход), то в резистивном состоянии ток через него будет представлять собой сумму трех компонент: Is
,
In
и емкостной компоненты тока (тока смещения)

Наиболее простой моделью джозефсоновских элементов, хорошо описывающей структуры типа мостик и S
—
N
—
S
,
является резистивная модель, в которой нормальное сопротивление Rn
является постоянной величиной, не зависящей от напряжения V
.
3.7 Вольт-амперная характеристика
Наиболее важной (и вместе с тем наиболее легко измеряемой) характеристикой джозефсоновского элемента является его вольт-амперная характеристика (ВАХ), представляющая собой зависимость среднего напряжения на джозефсоновском элементе V
от задаваемого через него тока I. Эта характеристика отражает внутреннюю динамику джозефсоновского перехода, непосредственное наблюдение которой крайне затруднено из-за очень высокой частоты джозефсоновской генерации: характерная джозефсоновская частота, соответствующая постоянной составляющей напряжения на джозефсоновском элементе, равной характерному напряжению Vc
=
Ic
Rn
, находится в диапазоне десятков и сотен гигагерц. Вольт-амперная характеристика джозефсоновского элемента состоит из сверхпроводящей или S-ветви, для которой V
= 0
, и двух резистивных или R-ветвей, где V≠
0.
При отсутствии емкости R-ветви представляют собой в резистивной модели ветви гиперболы (рис. 8, а):


При V
→
0 характер осцилляций напряжения имеет ярко выраженный импульсный вид, а по мере увеличения частоты джозефсоновской генерации ее форма приближается к синусоидальной при неизменной амплитуде осцилляций.
Учет конечной емкости джозефсоновского перехода, относительное влияние которой характеризуется параметром Стьюарта—Маккамбера в = (2е/ћ)
Ic
Rn
2
С,
приводит к неоднозначной, гистерезисной ВАХ (рис. 8,б).
По мере увеличения в увеличивается диапазон токов I<Ic
, в котором возможны два устойчивых состояния: сверхпроводящее и резистивное. Кроме того, шунтирующее действие емкости обусловливает монотонное уменьшение амплитуды осцилляций напряжения по мере увеличения частоты джозефсоновской генерации.
В случае туннельного джозефсоновского перехода его ВАХ (рис. 8, в)
характеризуется двумя основными особенностями: 1) глубоким гистерезисом вследствие больших значений емкости С и 2) специфической формой резистивной ветви вследствие особенностей в условиях туннелирования квазичастиц (нормальных электронов) в такой структуре из-за специфики энергетического спектра сверхпроводников.
Принципиально новые эффекты возникают, когда мы замыкаем электроды джозефсоновского перехода сверхпроводящей цепью. Простейшей системой такого рода является сверхпроводящее кольцо, содержащее джозефсоновский переход (рис. 9, а).
Обычно такую систему называют одноконтактным сверхпроводящим квантовым интерферометром.
В стационарном состоянии, когда ток через джозефсоновский элемент дается выражением (11), получаем уравнение интерферометра
ц+l
· sinц = цe
, (17)

которое определяет связь между полным и внешним потоками магнитного поля через кольцо интерферометра. При l<<
1с
зависимость ц(цe
) почти линейна: ц=цe
.

При увеличении параметра l связь ц и цe
все более отклоняется от линейной, и при l>1с
зависимость ц(цe
) становится неоднозначной (рис. 10). Наконец, при l>
1с
система имеет примерно N≈
l
/р
устойчивых стационарных состояний, в которых значения потока близки к nФ0
, таким образом, это эффект квантования магнитного потока. Если бы сверхпроводящее кольцо было сплошным, то фаза ц должна была бы точно равняться нулю или 2рn
(так как ц есть разность фаз сверхпроводящего конденсата в практически совпадающих точках) и тогда следовало бы точное равенство магнитного потока Ц целому числу квантов. В случае кольца с джозефсоновским переходом значения ц могут быть отличными от нуля или 2рn
и поэтому квантование потока только приближенное.
В силу эффекта Мейснера стенки сверхпроводящего кольца не могут пропускать через себя силовые линии магнитного поля. Поэтому число квантов потока n в сплошном кольце остается замороженным. Если теперь изменить внешнее поле, то это возбудит незатухающий ток в кольце Д/=ДЦe
/L, как раз такой, чтобы полный поток оставался равным целому числу квантов. Если же в кольцо включен джозефсоновский переход с конечным критическим током, то при |I
|
>Ic
джозефсоновский элемент переходит в резистивное состояние и в кольцо через него врываются один или несколько квантов Фо
. Разница между Ц и Фе
при этом снижается, значение тока падает ниже критического значения, и джозефсоновский элемент возвращается в сверхпроводящее состояние, что приводит к замораживанию нового целого числа квантов потока. Проникновение в интерферометр кванта магнитного потока через джозефсоновский переход сопровождается генерацией на нем короткого одно квантового импульса напряжения с "площадью"


Включение в сверхпроводящее кольцо не одного, а двух джозефсоновских переходов вызывает возникновение новых особенностей макроскопической квантовой интерференции в сверхпроводниках. Наиболее важной из этих особенностей является то, что среднее напряжение между двумя частями такого кольца (см.рис. 9б)
V
1
=
V
2
=
V
уже может быть отлично от нуля. Поэтому такая система, двухконтактный интерферометр, может характеризоваться своей ВАХ V(I
e
), причем вид ВАХ существенно зависит от величины потока Фе
, приложенного к кольцу внешнего магнитного поля. Т.о. здесь квантовая интерференция может наблюдаться и на постоянном токе. При отсутствии транспортного (от внешнего источника) тока Ie
через двухконтактный интерферометр имеет место квантование магнитного потока, близкое по своему характеру к тому, что наблюдается в одноконтактном интерферометре.
Рассмотрим теперь ВАХ двухконтактного интерферометра и ее зависимость от Фе
. Поскольку джозеф-соновские переходы включены параллельно друг другу по отношению к транспортному току, критический ток интерферометра Ic
при отсутствии внешнего магнитного поля равен сумме критических токов джозефсоновских переходов Ic1
и Ic2
.
При задании внешнего магнитного поля по кольцу интерферометра будет течь круговой экранирующий ток IM
,
который в одном из джозефсоновских переходов будет направлен в ту же сторону, что и транспортный ток, а в другом — противоположно транспортному току. Это приводит к тому, что критический ток интерферометра, как и мейсснеровский ток IM
, имеет периодическую зависимость (с периодом Фо
) от внешнего магнитного потока Фе
. ВАХ двухконтактного интерферометра по своему виду близка к ВАХ его джозефсоновских элементов, однако отличается наклоном асимптоты: / = V
/
R
,
где R
-1
=
Rn
1
-1
+
Rn
2
-1
,
а также тем, что критический ток интерферометра есть не постоянная величина, а периодическая функция потока внешнего магнитного поля. Поэтому при изменении Фе
имеет место также периодическая модуляция всей ВАХ (рис.11). При этом максимальное смещение испытывают участки резистивных ветвей, непосредственно примыкающие к S-ветви ВАХ.
3.8 Сквиды
Если зафиксировать значение транспортного тока через двухконтактный интерферометр на резистивной ветви ВАХ, на участке, непосредственно примыкающем к S-ветви, то есть задать I
≥(Ic
)max
, то среднее напряжение на интерферометре V
будет периодически изменяться по мере роста (убывания) внешнего магнитного потока (см. рис. 11), то есть будет иметь место преобразование магнитный поток Фе
→ напряжение V
.
Зависимость V(Фе
) называется сигнальной характеристикой двухконтактного интерферометра при его использовании в качестве датчика устройства, называемого сквидом постоянного тока. Название "сквид" происходит от английского SQUID: SuperconductingQuantumInterferenceDevice.
Сквид постоянного тока включает в себя также усилитель выходного сигнала датчика и цепь следящей (интегрирующей) обратной связи, посредством которой в кольцо интерферометра задается магнитный поток ФFB
, компенсирующий изменение внешнего магнитного потока (Фе
+Ф
FB
=
const) для фиксации рабочей точки датчика сквида в точке сигнальной характеристики с максимальной крутизной преобразования з = |дV/дФе
|. Выходным сигналом сквида в режиме работы с замкнутой обратной связью служит сигнал цепи обратной связи, пропорциональный (с обратным знаком) изменению внешнего потока Фе
.
Благодаря очень высокой эффективности преобразования Фе
→
V
двухконтактным интерферометром сквиды постоянного тока представляют собой приборы, имеющие уникально высокую чувствительность к магнитному полю. Поскольку чувствительность сквида определяется, с одной стороны, крутизной преобразования з, а с другой — уровнем внутренних флуктуаций, эффективная мощность которых пропорциональна частотной полосе пропускания прибора Д/, чувствительность таких устройств принято характеризовать минимально обнаружимыми значениями магнитного потока дФе
и энергии , отнесенными к единичной полосе Дf
=1Гц. По определению, дЕ
равна приведенной к входу сквида энергии внутренних флуктуаций W
,
деленной на полосу пропускания Д/ Например, если V
2
f
—
средний квадрат напряжения шумов на выходе сквида, то соответствующая ему энергия шумов, приведенная к входу сквида, W
= V
2
f
з-
2
/2
L
,

и, следовательно:
Лучшие современные сквиды постоянного тока гелиевого уровня охлаждения (T=
4,2K) имеют чувствительность по энергии и магнитному потоку соответственно , где h
=
6,64 10-34
Дж/Гц—постоянная Планка. Полученное рекордное разрешение по энергии дЕ≈
h
(при T=
0,9K) лишь в 2 раза отличается от квантового предела чувствительности д
Eq
=
h/2.
Одноконтактные интерферометры позволяют, в свою очередь, создавать на их основе сквиды переменного тока. Поскольку среднее напряжение на одноконтактном интерферометре всегда равно нулю, в качестве датчика используется одноконтактный интерферометр, индуктивно связанный с колебательным контуром, который находится под воздействием внешнего периодического сигнала (сигнала накачки) на частоте, близкой к резонансной частоте контура (см. рис. 9, в).
Выходным сигналом датчика является амплитуда (точнее, изменение амплитуды) напряжения на контуре Va
,
которая представляет собой периодическую функцию внешнего потока Фе
. В безгистерезисном режиме работы чувствительность сквида переменного тока может быть близка к указанной выше чувствительности сквидов постоянного тока.
Основные применения сквидов определяются их уникальной чувствительностью. В первую очередь это применение в биологии и медицине: магнитокардиография и магнитоэнцефалография. Т.к. магнитокардиограф на основе сквида позволяет измерять бесконтактным образом кардиограмму сердца ребенка, находящегося в утробе матери, то есть контролировать работу сердца ребенка задолго до его рождения. Современные многоканальные (до 200 каналов) томографы на основе сквидов, обладающие чувствительностью от 2 до 5ФТ
/√Гц, позволяют бесконтактным образом получать детализированную информацию о картине магнитного поля и пространственной локализации его источников в мозге человека и животных, низким энерговыделением и малыми временами процессов переключения. Именно эти свойства и позволяют создавать на их основе сверхпроводниковые аналоговые, аналого-цифровые и цифровые устройства, отличающиеся рекордно высокой чувствительностью и высокими значениями рабочих частот.
3.9 Влияние кристаллической решетки
Если в самых общих чертах попробовать себе представить строение твердых тел (так как твердые тела в основном кристаллы, то можно нарисовать следующую картину: огромная совокупность одинаковых атомов или молекул, которые во всех трех измерениях расположены в строгом порядке, образуя кристаллическую решетку.
Эта строгая пространственная периодичность в структуре кристалла – характерная его черта. Конечно в реальном кристалле этот строгий порядок нарушается, и эти нарушения означают наличие дефектов. И ещё одна характеристика кристалла: образующие его атомы между собой взаимодействуют.
Исчезновение электрического сопротивления, экранирование внешнего магнитного поля, скачек теплоемкости при сверхпроводящем фазовом переходе – все эти свойства относятся к электронам. Кристаллическая решетка представляет собой как бы сосуд, емкость, в которую налита электронная «жидкость». И вот на первый взгляд при сверхпроводящем переходе меняется свойство жидкости, а сосуд здесь ни причем.
Оказывается, что это неверно. Действительно, в большинстве случаев сверхпроводящий переход почти не влияет на решетку. Но вот кристаллическая решетка на сверхпроводимость влияет, более того определяет сверхпроводимость, причем исключение из этого закона не обнаружено.
Существует много видов кристаллической решетки. Часто одно и то же вещество может иметь разную кристаллическую решетку, то есть одни и те же атомы могут быть расположены друг относительно друга по разному.
Переход от одного типа решетки к другому происходит при изменении либо температуры, либо давление, либо ещё какого-нибудь параметра. Такой переход, как и возникновение сверхпроводимости и плавление является фазовым. Влияние кристаллической решетки на сверхпроводимость продемонстрировал открытый в 1950г. изотоп – эффект. При замене одного изотопа на другой вид кристаллической решетки не меняется, «электронная жидкость» вообще не затрагивается меняется только сила атомов. Оказалось, что от массы атомов зависит Тс
многих сверхпроводников. Чем меньше сила, тем больше Тс
. Более того вид этой зависимости позволили утверждать, что Тс
пропорциональна частоте колебаний атомов решетки, а это сыграло существенную роль в понимании механизма сверхпроводимости.
3.10 Изотопический эффект
В 1905г. был открыт ток называемый изотопическим эффектом. Изучая сверхпроводимость у различных изотопов ртути и олова, физики обратили внимание на то обстоятельство что критическая температура Тк
перехода в сверхпроводящее состояния и масса изотопа М связана соотношением Тk
М1\2
=const.
Изотопы – это атомы одного и того же элемента, в ядрах которых содержаться одинаковое число протонов, но разное число нейтронов. Они имеют одинаковый заряд, но разную массу. Масса изотопа является характеристической решетки кристалла и может влиять на её свойства. От массы зависит, например, частота колебаний в решетки. Она, так же как и критическая температура, обратно пропорциональна массе: n~М-1\2
. Значит, если массу М устремить к бесконечности, то температура перехода Тк
будет стремиться к нулю, то есть чем тяжелее атомы, тем медленнее они колеблются и тем труднее (при меньших температурах) получается идеальная проводимость, а чем выше энергия нулевых колебаний, тем легче.
Таким образом, изотопический эффект указывая на то что колебания решетки участвуют в создании сверхпроводимости! Сверхпроводимость, которая является свойством электронной системы металла, оказывается связанной с состоянием кристаллической решетки. Следовательно, возникновение эффекта сверхпроводимости, обусловлено взаимодействием электронов с решеткой кристалла.
4.1 Теория БКШ
Многие ученые разных стран внесли вклад в создании теории сверхпроводимости. Первым из них был советский ученый Л.Д. Ландау. Он первым сопоставил два «странных» явления – сверхпроводимость и сверхтекучесть электронной жидкости.
В 1950г.В.Л. Гинзбург и Л.Д. Ландау предложили феноменологическую теорию сверхпроводимости, позволившую рассмотреть ряд существенных свойств сверхпроводников, описать их поведение во внешнем поле. Теория эта была обоснована Л.П. Горьковым, разработавшим метод исследования сверхпроводящего состояния.
Следующий шаг был сделан почти одновременно советским физиком академиком Н.Н. Боголюбовым и американским физиком Бардиным, Купером и Шриффером. Американские ученые успели несколько раньше поставить последнюю точку.
Сверхпроводимость, как оказалось, проявляется в тех случаях, когда электроны в металле группируются в пары, взаимодействующие через кристаллическую решетку. Она тесно связана между собой, так что разорвать пару и разобщить электроны через трудные мощные связи позволяют электронам двигаться без всякого сопротивления сквозь решетку кристалла.
Исходя из этих представлений Бардин, Купер и Шриффер в 1957г. построили долгожданную микроскопическую теория сверхпроводимости, за которую они в 1972г.были удостоены нобелевской премии. Эта теория, известная сегодня под названием «теория БКШ», не только позволила с уверенностью сказать, что механизм сверхпроводимости ясен, но и впервые привела к установлению связи между критической температурой Тс
и параметрами металлов.
4.2 Энергетическая щель
Металл представляет собой систему колеблющихся положительно заряженных ионов, образующих кристаллическую решетку, и систему относительно свободных, как говорят, "коллективизированных" электронов. Поскольку электроны имеют собственный механический момент (спин), равный 1/2, по принципу Паули в каждом квантовом состоянии могут находиться только два электрона с противоположно направленными спинами. А так как концентрация n
коллективизированных электронов в металлах велика (n ~ 1023
— 1024
см−3
), верхним заполненным энергетическим состояниям соответствует очень большая кинетическая энергия еF
= mVF
2
/2≈ (1 — 10) эB. Энергетический спектр электронов, то есть схема расположения уровней энергии, которые могут занимать электроны, квазинепрерывен (уровни расположены очень близко один к другому, рис. 4а). В некотором смысле, электроны ведут себя, как жидкость, заполняющая сосуд: чем больше жидкости, тем выше ее уровень. Поэтому электроны в металле хаотически движутся не со скоростями, определяемыми энергией теплового движения kТ,
а с "космическими" скоростями VF
~
108
см/с, соответствующими энергии еF
. Между электронами действуют силы кулоновского отталкивания, которые частично экранируются положительным зарядом ионов.
В электрическом поле Е электроны ускоряются в направлении поля и возникает ток. Плотность тока j
=
neVE
определяется концентрацией электронов n, их зарядом е =
1,6· 10−19
Кл и средней скоростью VE
направленного (упорядоченного) движения под действием электрического поля Е. Ускоренные электроны, то есть электроны, у которых скорость VE
увеличивается в поле Е, рассеиваются на тепловых колебаниях решетки, примесях и других неоднородностях, передавая решетке приобретенную в электрическом поле кинетическую энергию:


которая выделяется в виде джоулева тепла (стрелки на рис. 12а). После рассеяния электроны возвращаются к своему начальному значению энергии еF
. Поскольку электроны в металлах никак не связаны между собой, а энергетический спектр квазинепрерывен, любые сколь угодно малые значения энергии, приобретенные в Е, могут при рассеянии передаваться решетке.
Отсутствие электрического сопротивления в сверхпроводящем состоянии указывает на то, что по каким-то причинам электроны перестают рассеиваться кристаллической решеткой. Речь идет о токах 0 <
js
<
j
с
=
neVc
,
а следовательно, скоростях Vs
направленного движения сверхпроводящих электронов 0 < Vs
<
Vc
и соответственно изменениях энергии 0 < mVF
Vs
<
mVF
Vc
.
Это означает, что в энергетическом спектре сверхпроводника возникает область энергий над энергией еF
, шириной ~
mVF
VC
,
в которой электроны не рассеиваются решеткой (рис. 12б). Электроны начинают рассеиваться лишь после того, как увеличение кинетической энергии их движения m
VF
Vs
становится больше m
VF
Vc
.
Исходя из самых общих соображений, можно предположить, что рассеяния не происходит потому, что при таких значениях энергии оно энергетически невыгодно, то есть приводит к увеличению общей энергии (кинетической и потенциальной) коллективизированных электронов. Если рассматривать только кинетическую энергию (как в нормальных металлах), то при рассеянии она всегда уменьшается и, таким образом, процессы рассеяния энергетически выгодны при любых значениях энергии электронов.
Чтобы они стали невыгодны (и не происходили бы), нужно, чтобы электроны в области еF
< е < mVF
Vc
обладали отрицательной потенциальной энергией, то есть притягивались бы друг к другу, и эта энергия исчезала бы при рассеянии. Обозначим модуль этой энергии ∆. Чтобы рассеяние в указанной области было энергетически невыгодно, ∆ должно быть равно
∆=
mVF
Vc
.
Рассмотрим рассеяние электрона с энергией еF
+ е' (точка А
на рис. 12б). При рассеянии его кинетическая энергия уменьшится (левая красная стрелка), но одновременно возрастет потенциальная энергия на ∆ (правая красная стрелка) и суммарная энергия увеличится. Рассеяние становится энергетически выгодным только при значениях е' > ∆.
В изолированной электронной системе силы притяжения возникнуть не могут. Для их возникновения необходимо участие другой системы, с которой электроны могут взаимодействовать. Существо этого эффекта можно проиллюстрировать на следующей наглядной модели. Положим на установленную горизонтально упругую мембрану тяжелый шар. Под действием силы тяжести мембрана прогнется. Если теперь положить на мембрану второй шар, то пока расстояние между шарами велико, никаких сил взаимодействия между ними не возникает. Но как только один шар попадает в область упругой деформации мембраны, создаваемой вторым шаром (оба шара скатываются в одну лунку), на шары со стороны мембраны начинают действовать силы, стремящиеся сблизить шары до касания. При соприкосновении шаров энергия системы "мембрана−шары" становится минимальной. Величина "силы притяжения" определяется величиной изменения потенциальной энергии второго шара в результате упругой деформации мембраны, создаваемой его партнером. Чем мягче мембрана, тем сильнее шары связываются друг с другом. Заметим, что если мембрана абсолютно жесткая (не деформируемая), то шары с мембраной не взаимодействуют и сил притяжения не возникает.

Допустим теперь, что один шар движется, а создаваемая им деформация (например, в результате инерционности мембраны) отстает во времени и следует за шаром на некотором расстоянии. В этом случае потенциальная энергия системы будет минимальна, когда второй шар движется за первым на определенном расстоянии, находясь в создаваемой им лунке. Ситуация выглядит так, как будто один шар коррелирует движение второго.
Предположим, наконец, что по мембране хаотически движется несколько шаров и их кинетическая энергия такова, что они не локализуются в деформационных лунках. Однако каждый раз, когда какой-нибудь из шаров проходит через лунку, созданную одним из его коллег, его потенциальная энергия понижается на то время, пока он в ней находится. Величина общего понижения потенциальной энергии системы таких движущихся шаров будет, очевидно, определяться величиной изменения потенциальной энергии при каждом попадании в лунку и частотой таких попаданий.
Аналогичный процесс происходит при взаимодействии электронов с ионной решеткой (рис. 13). Электрон, пролетая между соседними ионами, притягивает ионы к себе (на рисунке штриховыми линиями обозначено положение смещенных ионов), в результате чего возникает поляризация решетки — область сжатия ионов, обладающая избыточным положительным зарядом. Время поляризации определяется периодом колебания атомов, то есть происходит за время T
0
/4 ≈
10−13
с (при частоте колебания атомов н0
~ 1013
с0
−1
). За это время электрон удалится на расстояние о~ VF
Т0
/4
= 108
· 10−13
= 10−5
см, то есть на ~ 1000 Е. Когда другой электрон попадает в область поляризации (потенциальную яму), созданную первым электроном, его потенциальная энергия понижается. Можно также считать, что оба электрона притягиваются к области избыточного (поляризационного) положительного заряда и если силы притяжения к нему превышают силы экранированного кулоновского отталкивания этих электронов, возникает результирующая сила притяжения. Такое взаимодействие принято называть электрон-фононным. (Фононы — квазичастицы, описывающие энергетический спектр колебаний кристаллической решетки.)
В 1956 году Куппер показал, что при наличии сколь угодно слабого притяжения между электронами в металле могут образоваться связанные состояния пар электронов, получившие название купперовских пар. Расстояние о ~ 1000 Е, на котором взаимодействуют два электрона, называется длиной корреляции (или длиной когерентности); оно определяет размер пар. Феномен Куппера стал ключом к пониманию природы сверхпроводимости и созданию теории БКШ. В самом деле, каждый электрон в паре Куппера не может рассеяться без того, чтобы пара не разрушилась. Но для того, чтобы разрушить пару, нужно преодолеть энергию связи, которую обычно обозначают 2∆ (∆ на каждый электрон). Таким образом, критическая скорость Vc
в формуле (19) определяется энергией связи пар:
(20)
Выше говорилось о том, что "энергия упорядочения" при переходе в сверхпроводящее состояние соответствует энергии теплового движения, то есть ∆~кТс
.
Подставляя в (20) ∆ = kТс
для Тс
= 10 К , VF
= 10с8
см/с, m
= 9,1 · 10−28
г, находим критическую скорость сверхпроводящих электронов: V≈(103
-104
)см/с.
При концентрации электронов n
= 1023
см−3
критической скорости Vc
соответствует плотность критического тока
jc
= enVc
≈
(107
- 108
) А/см2
.
Полученное значение хорошо согласуется с рассчитанным по правилу Сильсби (4).
4.3 Бесщелевая сверхпроводимость
В первые годы после создания теории БКШ наличие энергетической щели в электронном спектре считалось характерным признаком сверхпроводимости без энергетической щели – бесщелевая сверхпроводимость.
Как было впервые показано А.А. Абрикосовым и Л.П. Горьковым при введении магнитных примесей критическая температура эффектно уменьшается. Атомы магнитной примеси обладают спином, а значит спиновым магнитным моментом. При этом спины пары оказываются как бы в параллельном и антипараллельном магнитном поле примеси. С увеличением концентрации атомов, магнитной примеси в сверхпроводнике все большее число пар будет разрушаться, и в соответствии с этим ширина энергетической щели будет уменьшаться. При некоторой концентрации n, равной 0,91nкр
(nкр
- значение концентрации, при которой полностью исчезает сверхпроводящее состояние), энергетическая щель становиться равной нулю.
Можно предположить, что появление бесщелевой сверхпроводимости связано с тем, что при взаимодействии с атомами примеси часть пар оказывается временно разорванными. Такому временному распаду пары соответствует появление локальных энергетических уровней в пределах самой энергетической щели. С ростом концентрации примесей щель все больше заполняется этими локальными уровнями до тех пор, пока не исчезнет совсем. Существование электронов образовавшихся при разрыве пары, приводит к исчезновению энергетической щели, а оставшиеся куперовские пары обеспечивают равенство нулю электронного сопротивления.
Мы приходим к выводу, что существование щели само по себе вовсе не является обязательным условием проявление сверхпроводящего состояния. Тем более что бесщелевая сверхпроводимость, как оказалось явление не столь уж и редкое. Главное - это наличие связанного электронного состояния – куперовской пары. Именно это состояние может проявлять сверхпроводящие свойства и в отсутствии энергетической щели. «Парные корреляции – писал один из создателей теории БКШ Шриффер, - на которых основана теория спаривания электронов, наиболее существенных для объяснения основных явлений наблюдаемых в сверхпроводящем состоянии».
Пусть длинный цилиндр из сверхпроводящего проводника I
рода помещен в однородное продольное поле Н0
. Найдем значение этого поля Нс
, при котором произойдет разрушение сверхпроводимости.
При Н0
<Нс
существует эффект Мейснера, т.е. В=0, и магнитный момент единицы объема цилиндра М.
М = -Н0
/4p (21)
При изменении внешнего магнитного поля Н0
на dН0
источник магнитного поля совершит работу названой единицей объема сверхпроводника, равную
МdН0
= НdН/4p
Следовательно, при изменеии поля от 0 до Н0
источник поля совершает работу. Эта работа запасена в энергии сверхпроводника, находящегося в магнитном поле Н0
таким образом, если плотность свободной энергии сверхпроводника в отсутствии магнитного поля равна Fs
0
, то плотность свободной энергии сверхпроводников в магнитном поле
FsH
= Fs
0
+ Н0
2
/8p (22)
Переход в нормальное состояние произойдет, если свободная энергия FsH
превысит уровень плотности энергии нормального металла: FsH
=FH
при Н0
=Нc
.
Fn
– Fs
0
= Н c
2
/8p (23)
Из этой формулы следует, что критическое поле массивного материала является мерой того, на сколько сверхпроводящее состояние является мерой того, на сколько сверхпроводящее состояние является энергетически более выгодным, чем нормальное, то есть в какой мере свободная энергия сверхпроводящего состояния меньше свободной энергии нормального состояния. Поле Нc
часто называют термодинамическим магнитным полеми обозначают Нcm
.
Обратимся теперь к вопросу об энтропии сверхпроводника. Согласно первому началу термодинамики,
дQ = дA + dU(24)
где дQ - проращивание тепловой энергии рассматриваемого тела, дA-работа, совершаемая единицей объема этого тела над внешними телами, dU–приращение его внутренней энергии. По определению свободная энергия
F = U – TS, (25)
где Т – температура тела, а S – энергия энтропия. Тогда
dF = dU – TdS – SdT.(26)
Поскольку при обратном процессе дQ = TdS , имеем
dU = TdS – дA, (27)
dF = - дA – SdT. (28)
Эта формула позволяет получить ряд важных физических следствий.
1)Согласно теореме Нернста энтропия всех тел при Т = 0 рана нулю. Это значит, что кривая зависимости Нcm
(Т) при Т=0 имеет нулевую производную.
2)Из эксперимента видно, что зависимость Нcm
(Т) – монотонно спадающая с увеличением Т кривая, то есть что во всем интервале температур от 0 до Тc
величина. => в этом интервале температур Ss
<Sn
.
3)Поскольку при Т=Тc
после Нcm
= 0, то Ss
= Sn
при Т= Тc
.
Проведенный анализ позволяет сделать ряд существенных выводов.
1) Сверхпроводящее состояние является более упорядочным, чем нормальное, так как его энтропия меньше.
2) Переход при Т=Тc
происходит без поглощения или выделения скрытой теплоты, т.к. Ss
=Sn
при Т=Тc
. => переход при Т =Тc
- переход второго рода.
При Т<Тc
переход из сверхпроводящего состояния в нормальное может происходить под действием магнитного Перенос тепла в металле осуществляется свободными электронами и колебаниями решетки. И электропроводность, и теплопроводность обусловлены процессами рассеяния электронов. Поэтому наличие сверхпроводимости означает отсутствие обмена энергией электронов проводимости с решеткой. В сверхпроводнике по мере понижения температуры все большее число свободных электронов связывается в куперовские пары и тем самым выключается из процессов обмена энергии, а значит, вклад электронов в теплопроводность постоянно уменьшается. При низких температурах в сверхпроводнике не остается свободных электронов, и он ведет себя как изолятор: электронная система просто полностью выключается из теплового баланса.
Значительная разность теплопроводности металла в нормальном состоянии и сверхпроводящем используется для создания сверхпроводящего теплового ключа – устройства, позволяющего разрывать тепловой контакт между источником холода и охлаждаемым телом в экспериментах в области низких температур. Конструктивно сверхпроводящий ключ выполняется в виде отрезка тонкой проволоки (диаметром 0,1–0,3мм) из тантала или свинца длинной от нескольких единиц до нескольких десятков сантиметров, соединяющего исследуемое тело с хладопроводом. На проволоку наматывается медная катушка, по которой пропускается ток, достаточный для создания магнитного поля, критического значения. При пропускании тока сверхпроводимость разрушается магнитным полем, и ключ открывается.
Аналогичные «магнитные» ключи применяются для создания поля в короткозамкнутых сверхпроводящих соленоидах. В таких соленоидах также имеется участок сверхпроводника с намотанной на нем медной обмоткой. При пропускании тока через управляющую обмотку соленоид становится разомкнутым, и через него проходит ток от внешнего источника. Затем ключ замыкается, а магнитный поток оказывается замороженным в соленоиде. Сверхпроводящий ключ может разрываться и при нагревании Ї у короткозамкнутого соленоида имеется небольшой участок-перемычка, подогреваемая внешним источником. Перемычка переходит из сверхпроводящего в нормальное состояние при её нагревании до температуры выше Тc
,
т.к. сверхпроводящее состояние является бездиссипативным, в таком соленоиде магнитное поле чрезвычайно стабильно и существует до тех пор, пока его температура не превысит Тc
. Современная техника позволяет изготовлять криостаты со столь малым теплопритоком, что гелиевые температуры поддерживаются после заливки жидкого гелия в криостат со сверхпроводящим соленоидом примерно в течение года!
В 1950 году В. Л. Гинзбург и Л. Д. Ландау построили теорию сверхпроводимости, основанную на квантовой механике. Их теория является феноменологической, поскольку в ней принимаются определенные предположения, доказательством справедливости которых является то, что они правильно описывают некоторые свойства сверхпроводников.
В теории Гинзбурга — Ландау предполагается, что вся совокупность сверхпроводящих электронов описывается волновой функцией Ш(r
) от одной пространственной координаты. Вообще говоря, волновая функция п
электронов втвердом теле есть функция п
координат .
Введением функции Ш(r
) устанавливалось когерентное согласованное поведение всех сверхпроводящих электронов. Действительно, если все ns
электронов ведут себя совершенно одинаково, согласованно, то для описания их поведения достаточно той же самой волновой функции, что и для описания поведения одного электрона, т. е. функции от одной переменной. Величину |Ш(r
)|2
можно рассматривать как плотность сверхпроводящих электронов, которая обращается в нуль при Т=ТС
.
Теория Гинзбурга — Ландау исходит далее из того, что переход из нормального состояния в сверхпроводящее в отсутствие внешнего поля является фазовым переходом II рода. Теория таких переходов была разработана Ландау несколько раньше. В этой теории присутствовал некоторый параметр порядка, который в новойфазе (в нашем случае — в сверхпроводящей фазе) должен монотонно возрастать от нуля при Т=ТС
до единицы при Т=0 К. В качестве этого параметра Гинзбург и Ландау выбрали функцию Ш(r
) .
Далее задача сводится к нахождению функции Ш(r
) и векторного потенциала поля А(r
), которые соответствуют минимуму свободной энергии сверхпроводящей фазы при определенных граничных условиях. В результате минимизации свободной энергии по Ш и по А были получены уравнения, получившие название уравнений Гинзбурга — Ландау. Рассмотрим, как это можно сделать.
Итак, Ш(r
) – параметр порядка. Нормировка этой волновой функции выбирается так, чтобы |Ш(r
)|2
=n
s
/2, т.е. так, чтобы квадрат ее модуля равнялся половине плотности сверхпроводящих электронов. Рассмотрим однородный сверхпроводник без внешнего поля. Разложим свободную энергию Геймгольца по степеням |Ш|2
вблизи ТС
:

где Fs
0
– свободная энергия Геймгольца в свепрхпроводящем состоянии в отсутствие поля, а Fn
- свободная энергия Геймгольца в нормальном состоянии. б и в - коэффициенты разложения. Найдем то значение | Ш |2
, при котором свободная энергия однородного сверхпроводника Fs
0
достигает минимум. Это значение |Ш|2
будет решением уравнения

Найдем соответствующую производную.

отсюда найдем |Ш|2
| Ш |2
=-б/в
Подставим:
Fs
0
= Fn
-б2
/в + б2
/2в= Fn
- б2
/2в (29)
Энергия сверхпроводящего состояния должна быть меньше энергии нормального, а для этого в>0 при Т<ТС
.
Ясно, что |Ш|2
>0 поэтому б<0. При Т>Тс
Fs
0
>Fn
, поэтому в>0 и б>0. Таким образом, в>0 и не зависит от температуры. Тогда в первом приближении мы можем считать в=const. Поскольку при Т=Тс
параметр порядка должен быть равен нулю, а при Т<Тс
— отличен от нуля, следовательно, б=0 при Т=ТС
и б<0 при Т<Тс
. Поэтому в первом порядке по (Тс
-Т) можно записать
б~(Т-Тс
)=б0
(Т-Тс
)
Из формулы (30) получим
Fn
-Fs
0
=б2
/2в
Но эта разность равна H2
cm
/8р откуда имеем
H2
cm
= 4рб2
/в
Теперь рассмотрим сверхпроводник в магнитном поле. Для такого сверхпроводника плотность свободной энергии Гиббса будет иметь вид

Т.е. в нашем случае

где Gn
- плотность свободной энергии сверхпроводника и нормальном состоянии, Н0
— напряженность внешнего однородного магнитного поля, в котором находится сверхпроводник. Предпоследнее слагаемое представляет собой плотность магнитной энергии. Слагаемое с градиентным членом — это плотность кинетической энергии сверхпроводящих электронов. Полная энергия Гиббса сверхпроводника в магнитном поле будет равна

В равновесном состоянии эта энергия должна иметь минимум. .
Для решения этой вариационной задачи будем считать Ш(r
) и А(r
) неизменными, а поварьируем функцию Ш*(r
) . Итак, решаем вариационную задачу


Вынести дШ* за квадратные скобки мешает только . Проделаем такие преобразования. Обозначим

Используя тождество

имеем

Последний интеграл в этом равенстве по теореме Гаусса, превращается в поверхностный интеграл:

подставляя полученные соотношения, получим

Это выражение может быть равно нулю при произвольной дШ* только в том случае, если выражения в квадратных скобках равны нулю. Так мы получим первое уравнение теории ГЛ и граничное условие к нему:


Варьирование по Ш(r
) даст комплексно сопряженное выражение. Новый результат можно получить варьированием А(r
).
 
Т.к. поле на поверхности задано (Н0
=const), то rot Н0
=0, а также равен нулю поверхностный интеграл.
Из векторного анализа известно, что div[ab
] = b
rota
-a
rotb
, или применительно к нашему случаю .
С учетом, того что , получим соотношение

Эти уравнения можно записать в более компактной форме, если перейти к безразмерной волной функции
ш(r)= Ш(r
)/ Ш0
где Ш0
2
=ns
/2=|б|/в и введем обозначения


Тогда уравнения Гинзбурга – Ландау примут вид


где Ф0
=рħс/
e
— квант потока.
Вопросы различных применений сверхпроводимости стали обсуждаться практически сразу же после открытия этого поразительного явления. Еще Камерлинг – Оннес считал, что с помощью сверхпроводников можно создавать экономичные установки для получения сильных магнитных полей. Однако реальное использование сверхпроводимости началось лишь в конце 50-х – начале 60-х годов. В настоящее время уже работают сверхпроводящие магниты различных размеров и формы. Их применение вышло за рамки чисто научных исследований, и сегодня они широко используются в лабораторной практике, в ускорительной технике, томографах, установках для управляемой термоядерной реакции. С помощью сверхпроводимости стало возможным повысить чувствительность некоторых измерительных приборов. Особенно следует подчеркнуть влияние сквидов в технику, в том числе и в современную медицину. Сверхпроводимость стала большой отдельной отраслью промышленности. Открытие высокотемпературной сверхпроводимости создало предпосылки к более широкому внедрению в повседневную практику различных сверхпроводящих устройств.
Наибольшее применение сверхпроводники нашли в настоящее время в области создания сильных магнитных полей. Современная промышленность производит из сверхпроводников второго рода разнообразные провода и кабели, используемые для изготовления обмоток магнитов. Преимущества сверхпроводящих магнитов очевидны. С помощью сверхпроводников получают значительно более сильные магнитные поля, чем при использовании железных магнитов. Сверхпроводящие магниты являются и более экономичными.
Следует отметить, что максимально возможное магнитное поле, создаваемое сверхпроводящими магнитами, ограничено верхним пределом для плотности тока (критическими токами). Критический ток определяется, как правило, технологией приготовления проводников, а не верхним критическим полем материала.
Сверхпроводящие магниты обладают еще одним преимуществом по сравнению с обычными. Они могут работать в короткозамкнутом режиме, когда поле заморожено в объеме, что обеспечивает практически не зависящую от времени стабильность поля. Это свойство чрезвычайно важно при измерениях в веществе ядерного магнитного и электронного парамагнитного резонансов, в томографах и т.п.
В сверхпроводящих соленоидах с большим объемом поля запасенная энергия достаточно велика. В случае перехода катушки в нормальное состояние эта энергия превратиться в тепло. Если при переходе в нормальное состояние вся энергия бесконтрольно превратиться в тепло, то это может привести к полному разрушению магнита. Во избежание таких катастрофических последствий самопроизвольного перехода катушки в нормальное состояние соленоиды, в особенности большие, снабжаются специальными защитными устройствами, предназначенными для быстрого вывода запасенной энергии.
Очень заманчиво попытаться использовать сверхпроводники в электротехнике и энергетике. Ведь в настоящее время потери на джоулево тепло в проводящих проводах оцениваются величиной 30 - 40%, то есть более трети всей производимой энергии тратиться даром – на «отопление» Вселенной. Если же передавать электроэнергию по сверхпроводящим проводам с нулевым сопротивлением, то таких потерь не будет вообще. Это равносильно увеличению выработки электроэнергии более чем на треть. На основе сверхпроводников можно создавать электродвигатели и генераторы с высоким КПД и другими улучшенными рабочими характеристиками.
Если над металлическим кольцом с током поместить сверхпроводящую сферу, то на её поверхности в силу эффекта Мейснера индуцируется сверхпроводящий ток, что приводит к появлению сил отталкивания между кольцом и сферой, и сфера висит над кольцом. Подобный эффект механического отталкивания наблюдается и в том случае, когда над сверхпроводящим кольцом помещается постоянный магнит. Этот эффект, часто используемый для демонстраций явления сверхпроводимости, получил название «гроб Магомета», ибо, по преданию, гроб Магомета висел в пространстве без всякой поддержки.
Явление механического отталкивания применяется, в частности, для создания подшипников и опор без трения. Заманчива перспектива использования левитации сверхпроводника в транспорте. Речь идет о создании поезда на магнитной подушке, в котором будут полностью отсутствовать потери на трении о колею дороги. Модель такой сверхпроводящей дороги длиной 400м была создана в Японии еще в 70-х годах. Расчеты показывают, что поезд на магнитной подушке сможет развивать скорость до 500 км/ч. такой поезд будет «зависать» над рельсами на расстоянии 2 – 3 см, что и даст ему возможность разгоняться до указанных скоростей.
Широко используется в настоящее время сверхпроводящие, объемные резонаторы. С одной стороны, такие сверхпроводящие резонаторы позволяют получить высокую частотную избирательность. С другой стороны, сверхпроводящие резонаторы широко используются в сверхпроводящих ускорителях, позволяя существенно уменьшить мощность, требуемую для создания ускоряющего электрического поля. Как правило, сверхпроводящие резонаторы изготовляются из свинца либо из ниобия.
Одно из самых распространенных направлений прикладной сверхпроводимости – использование сквидов как в научных исследованиях, так и в различных технических областях. градиометры на основе сквидов реагируют чрезвычайно слабые магнитные поля, поэтому их уже сегодня эффективно используют в медицине и биологии для исследования полей живых организмов и человека. В геологии сквиды применяются для определения изменения силы гравитации в различных точках Земли. Такая информация нужна для поиска полезных ископаемых.

Наиболее перспективными направлениями широкого использования высокотемпературных сверхпроводников считаются криоэнергетика и криоэлектроника. В криоэнергетике уже разработана методика приготовления достаточно длинных проводов (до 1000 метров) проводов и кабелей на основе висмутовых ВТСП – материалов. Этого уже хватает для изготовления небольших двигателей со сверхпроводящей обмоткой, сверхпроводящих трансформаторов, индуктивностей и т.п. На основе этих материалов уже созданы сверхпроводящие соленоиды, обеспечивающие при температуре жидкого азота (77К) магнитные поля порядка 10 000Гс.
Темп технологических и прикладных исследований очень высок, так что, возможно, промышленность освоит выпуск изделий из высокотемпературных сверхпроводников раньше, чем будет достоверно выяснена природа сверхпроводимости в металлооксидных соединениях. Для технологии в первую очередь важен сам факт существования материалов, сверхпроводящих при температуре жидкого азота. Однако целенаправленное и осмысленное движение вперед, в том числе технологической сфере, невозможно без всестороннего исследования уже известных ВТСП, без понимания всех тонкостей высокотемпературной сверхпроводимости как интереснейшего физического явления. Тем более это относится к поиску новых сверхпроводников.
Я привела лишь несколько примеров практического использования сверхпроводимости. Не меньшее значение, конечно, имеют проблемы передачи электроэнергии на большие расстояния без потерь, создания накопителей энергии, защиты космических аппаратов от космического излучения и т.д. примеров научного и технического применения сверхпроводимости множество, но подобное изучение этих вопросов выходит за рамки данной работы.
8.1 Способ изготовления сверхпроводящего материала
В качестве самостоятельной части курсовой работы была поставлена цель – из готового сверхпроводящего состава наштамповать таблетки, отжечь их в печи, и параллельно разработать методы и установку для измерения сопротивления полученных таблеток.
Наша цель изготовить сверхпроводник состава Y—Ва—Сu—О. В качестве исходных компонентов использовалась окись иттрия Y2
03
, углекислый барий ВаСО3
, и окись меди СuО.
Рецепт изготовления сверхпроводника состава Y—Ва—Сu—О.
1. Взять 1,13 г окиси иттрия, 3,95 г углекислого бария и 2,39 г окиси меди.
2. Перемешать, а затем растолочь в порошок в ступке.
3. Получившуюся смесь отжигают, поддерживая в печи температуру 950°
С приблизительно 12 ч.
4. Охладить полученный комок и вновь растолочь его в ступке.
5. Спрессовать порошок в таблетки или каких-либо другие формы.
6. Снова отжигают получившиеся таблетки при той же температуре в течение того же времени, однако теперь с обязательной подачей в печь кислорода.
7. Медленно охладить таблетки — скорость понижения температуры не должна превышать 100 град/ч.
Как сам материал сверхпроводника Y—Ва—Сu—О, так и исходные компоненты не относятся к числу ядовитых веществ, поэтому по правилам техники безопасности при работе с ними использовали защитные очки, перчатки, а при измельчении компонентов в ступке обязательно надевали марлевые повязки на рот. Вдыхать пыль углекислого бария и окиси меди вредно Ї все операции проводились в помещении, оборудованном вытяжкой.
Указанные количества исходных компонентов позволяют получить около 7 г сверхпроводника Y—Ва—Сu—О, илиоколо 5 таблеток диаметром 1 см и толщиной 1 мм. Ниже мы расскажем об опытах, которые можно провести с ними, а сейчас о некоторых трудностях, встречающихся при изготовлении.
Изготовляемый сверхпроводник представляет собой таблетки черного цвета
Цвет керамического сверхпроводника — важный показатель его качества. Если он получается с прозеленью, значит, опыт изготовления был неудачен, и все надо начинать сначала (при этом можно вновь измельчить полученные таблетки). Зеленый цвет свидетельствует о недостатке кислорода в образце. Желательно получить материал с химической формулой YBa2
Cu3
O7
. Однако контролировать содержание кислорода по исходной смеси невозможно, к тому же кислород способен улетучиваться в процессе изготовления. Так что подача кислорода в печь при отжиге существенна. Для подачи его в печь можно применить насос, который служит для накачки воздуха в аквариум. Скорость подачи кислорода может быть минимальной, скажем такой, чтобы кожа ощущала легкое дуновение газа.
Довольно существенно поддержание температуры отжига. Работа будет бесполезной, если температура отжига опускается ниже 900°С.. Превышение рабочей температуры на 100° приведет к расплавлению смеси. Тогда придется ее вновь растолочь и начать все сначала. Так что надо предварительно проверить термометр печи, обычно он показывает далекие от истинных значения.
Очень важно медленно охлаждать изготовленные таблетки — быстрое охлаждение ведет к потере кислорода. Таким образом, первоначально цикл отжиг-охлаждение будет занимать 20 ч.
При изготовлении понадобится также пресс. Оценка показывает, что нужно развивать усилие в 5ч10 тыс. кг на таблетку диаметром порядка 10 мм, чтобы получить хороший образец, необходимо использовать закалённую сталь для прессования таблеток, иначе таблетки получаться рыхлые и не правильной формы, что также может плохо отразиться на дальнейшей работе.
Стоит обратить внимание также на выбор тигля, в котором отжигается материал. Металлический тигель может реагировать со сверхпроводником, иногда с нежелательными последствиями. К тем лее последствиям могут привести примеси в смеси исходных материалов. Например, 2—3% примеси атомов железа вместо меди ведут к подавлению сверхпроводимости.
8.2 Ход эксперимента и полученные результаты
В процессе подготовки к проведению эксперимента был получен карбонат бария (BaCO3
). Для получения этого вещества была проведена химическая реакция
1,13г

М=208г/моль М=82г/моль М=208г/моль


1) Найдем необходимую массу чистого BaCl2

отсюда x=1,35 г.
2) Найдем необходимую массу чистого Na2
CO3

отсюда y=0,53 г.
Для протекания реакции необходимы водные растворы данных веществ. Причем концентрация чистого вещества в растворе не должна быть велика, иначе концентрация NaClв полученном растворе может быть велика, (раствор будет насыщенным) и при фильтровании карбоната бария в нем может оказаться примесь кристаллов NaCl. Поэтому для получения карбоната бария необходимое согласно расчетам количество исходных веществ было растворено в воде в отношении 1:10.
Остальные вещества, необходимые для получения сверхпроводящего материала, были взяты в готовом виде.
Для определения температуры внутри печи, в которой производился отжиг, была использована термопара. При ее градуировке было обнаружено, что напряжения на холодных концах термопары соответствует табличным значениям с точностью, достаточной для проведения измерений в данном эксперименте.

Для успешного изготовления сверхпроводящей керамики необходимо, чтобы остывание образца происходило не быстрее, чем со скоростью 100 град/час. При отсутствии напряжения график остывания печи имеет вид
При спекании данных веществ в указанных пропорциях при таких условиях должна происходить следующая реакция

Реально, в связи с недостатком в печи кислорода, протекает реакция


Поэтому, для насыщения образца кислородам необходим второй этап отжига в кислородной среде. Дробные индексы обусловлены электронной конфигурацией иттрия. Это элемент побочной подгруппы и в соединениях он может обладать переменной валентностью. Также возможен вариант протекания реакции, при котором содержание кислорода в изготовленном образце будет несколько меньше ожидаемого. Это не приведет к отсутствию сверхпроводящей фазы у образца, но приведет к уменьшению его критической температуры. Тем не менее, все модификации этой керамики имеют критические температуры порядка азотных. Т.е. сверхпроводимость можно будет наблюдать при охлаждении образца жидким азотом.
При проведении эксперимента была использована схема, приведенная на рисунке. При проведении эксперимента состояния близкое к равновесию, т.е. при котором требуется минимальная регулировка тока в цепи, соответствует значениям I=6А. В результате спекания исходных веществ в тигле образовалось 2 различные фазы. (См. фото)
Было принято решение при дальнейшем изготовлении образца использовать их как по отдельности, так и провести дальнейший эксперимент со смесью полученных порошков. Для успешного прессования полученных образцов требуется давление порядка 4,5 МПа.
При прессование таблеток сразу же возник ряд проблем: при прессовании прессформы не выдерживали приложенного к ним усилия и деформировались, тем самым их нельзя было использовать повторно. Поэтому часто приходилось изготавливать новую форму, постоянно совершенствуя конструкцию. Полученный порошок был разделён на три части, развешен по пакетикам по 2 грамма и отпрессован в таблетки с усилием 5, 7,5 и 10кН.
Предварительно было измерена зависимость сопротивления полученных таблеток от температуры и подсчитан температурный коэффициент. Полученные результаты зависимости сопротивления от температуры представлены в приложении 2. По полученным данным был построен график зависимости сопротивления от температуры.
График зависимости
R
от
t

Зная зависимость удельного сопротивления от температуры:
с= с0
(1+ бt°)
можно найти температурный коэффициент б, выразив с
из:
R= с
l
/
S
Получим


Полученные данные превышают теоретические, это объясняется большой погрешностью, связанной с качеством полученных образцов.
Для проведения дальнейших экспериментов необходимо отжечь получившиеся таблетки при температуре 950°
С с обязательной подачей в печь кислорода.
В данной работе я лишь приподняла завесу над исследованием физики сверхпроводимости. Эту тему можно было бы изучить намного глубже, но к большому сожалению подобное изучение данной темы выходит за рамки данной работы. Остается еще много вопросов, на которые пока не получены ответы.
В 1974 году Л. Купер в своей Нобелевской лекции привел следующие высказывания выдающегося французского математика Анри Пуанкаре: «Ученый должен систематизировать факты. Наука состоит из них подобно тому, как здание состоит из кирпичей. Однако простое нагромождение фактов похоже на науку не более, чем груда камней на дом». От себя Купер добавил: «Из обычных камней можно построить и скромный дом, и великолепный замок. С утилитарной точки зрения и то, и другое служит для ограничения некоторой части пространства с целью предохранить её от дождя и холода. Разница состоит в претензиях и средствах строителей и в искусстве, с которым они воплощают свой замысел. Теория, оперирующая стандартными понятиями, также может быть полезна при решении многих скромных задач. Однако когда мы вступаем в сферу общих концепций и идей, перед нашим взором открывается нечто подобное архитектурным шедеврам с колоннами умопомрачительной высоты и арками дерзкой и почти невероятной ширины. Они сводят во едино данные о магнитном моменте электрона и о явлениях на стыке двух различных металлов при абсолютном нуле, они покрывают расстояние от свойств вещества при экстремально низких температурах до его поведения в недрах звезд, от четности операторов относительно движения времени до особенностей коэффициентов затухания вблизи критической температуры. Говоря об этом, я хотел бы убедить моих коллег – теоретиков, а также и самого себя в том, что, в конечном счете, наша «голубая мечта» должна состоять в построении не только практически полезного, но и эстетически прекрасного здания науки».
По проделанному эксперименту можно сделать вывод о том, что наличие у полученного материала сверхпроводящей фазы зависит от строгого соблюдения температурного режима при обжиге исходных материалов, а также от подачи кислорода в печь при повторном обжиге. Процесс подачи в печь кислорода и насыщение кислородом образца не контролируем физическими методами. В качестве продолжения эксперимента планируется провести второй этап обжига спрессованных таблеток в кислородной среде. После проведения этого этапа, можно будет определить, насколько успешно проведен эксперимент. Для этого необходимо охладить образец жидким азотом и поместить его в магнитное поле постоянного магнита. Если охлажденный образец будет отталкиваться от магнита, то можно будет сделать вывод о том, что наблюдается эффект Мейснера, т.е. образец обладает сверхпроводящими свойствами.
Таким образом, поставленные в данной работе теоретические задачи были реализованы, а решение экспериментальных задач требует дальнейшего продолжения работы.
1. Абрикосов А.А. «Основы теории металлов». Москва «Наука» 1987г.
2. Ашкрофт Н. Мермин Н. «Физика твердого тела» том 2. Москва «Мир». 1979 г.
3. Беднорц Г.И. Мюллер К.А. «Новый подход к исследованию высокотемпературной сверхпроводимости». Открытие высокотемпературной сверхпроводимости. Москва «Знания» 1989г.
4. Брандт Н.Б. «Сверхпроводимость» //Соросовский образовательный журнал. №1 1996г.
5. Бурмин Г. «Штурм абсолютного нуля». Москва «Детская литература» 1989 г.
6. Ван Дузер Т. Тернер Ч.У. Физические основы сверхпроводниковых устройств и цепей. Москва «Радио и связь» 1984 г.
7. Гинзбург В.Л. «Сверхпроводимость: вчера, сегодня, завтра». Успехи физических наук . № 2000 г.
8. Гинзбург В.Л. Андрюшин Е.А. «Сверхпроводимость». Москва «Педагогика» 1990 г.
9. Гольцман Г.Н. «Эффекты Джозефсона в сверхпроводниках»// Соросовский образовательный журнал. №4 2000г.
10. Заварицкий Н.В. «Высокотемпературная сверхпроводимость через два года после открытия». Открытие высокотемпературной сверхпроводимости. Москва «Знания» 1989г.
11. Кресин В.З. «Сверхпроводимость и сверхтекучесть». Москва «Наука»1978 г.
12. Лихарев KKВведение в динамику джозефсоновских переходов. М.: Наука, 1985.
13. Лихарев KK, Ульрих Б.Т.Системы с джозефсоновскими контактами. М.: Изд-во МГУ, 1980.
14. Мнеян М.Г. «Сверхпроводники в современном мире». Москва «Просвещение» 1991 г.
15. Павлов П.В. Хохлов А.Ф. «Физика твердого тела». Москва «Высшая школа» 2000г.
16. Третьяков Ю.Д. «Химические сверхпроводники спустя десять лет после открытия»// Соросовский образовательный журнал. №3 1999г.
17. Шмидт В.В. «Введение в физику сверхпроводников». Москва «Наука» 1982г.
| Термопара (хромель - алюмель) |
| °С |
0 |
10 |
20 |
30 |
40 |
50 |
60 |
70 |
80 |
90 |
100 |
| 0 |
0 |
400 |
800 |
1200 |
1610 |
2020 |
2430 |
2850 |
3260 |
3680 |
4100 |
| 100 |
410 |
4510 |
4920 |
5330 |
5753 |
6130 |
6530 |
6930 |
7330 |
7730 |
8130 |
| 200 |
8130 |
8540 |
8940 |
9340 |
9750 |
10160 |
10570 |
10980 |
11390 |
11800 |
12210 |
| 300 |
12210 |
12630 |
13040 |
13450 |
13880 |
14290 |
14710 |
15130 |
15550 |
15980 |
16400 |
| 400 |
16400 |
16820 |
17240 |
17670 |
18090 |
18510 |
18940 |
19360 |
19790 |
20220 |
20650 |
| 500 |
20650 |
21070 |
21500 |
21920 |
22350 |
22780 |
23200 |
23600 |
24060 |
24490 |
24910 |
| 600 |
24910 |
25340 |
25760 |
26190 |
26610 |
27030 |
27450 |
27870 |
28290 |
28720 |
29140 |
| 700 |
29140 |
29560 |
29970 |
30399 |
30810 |
31230 |
31650 |
32060 |
32480 |
32890 |
33300 |
| 800 |
33300 |
37760 |
34120 |
34530 |
34930 |
35840 |
35750 |
36150 |
36550 |
36960 |
37360 |
| 900 |
37360 |
41700 |
38160 |
38560 |
38950 |
39350 |
39750 |
40140 |
40530 |
409520 |
41310 |
| 1000 |
41310 |
45540 |
42090 |
42480 |
42870 |
43250 |
43630 |
44020 |
44400 |
44780 |
45160 |
Приложение 2.
Зависимость сопротивления от температуры.
| № |
t, °C |
R, кОм |
| 1 |
21 |
1400 |
| 2 |
19 |
1300 |
| 3 |
17 |
1200 |
| 4 |
15 |
1100 |
| 5 |
13 |
1000 |
| 6 |
10 |
900 |
| 7 |
7 |
800 |
| 8 |
5 |
700 |
| 9 |
3 |
630 |
| 10 |
1 |
500 |
| 11 |
0 |
450 |
| 12 |
-1 |
400 |
|