Банк рефератов содержит более 364 тысяч рефератов, курсовых и дипломных работ, шпаргалок и докладов по различным дисциплинам: истории, психологии, экономике, менеджменту, философии, праву, экологии. А также изложения, сочинения по литературе, отчеты по практике, топики по английскому.
Полнотекстовый поиск
Всего работ:
364139
Теги названий
Разделы
Авиация и космонавтика (304)
Административное право (123)
Арбитражный процесс (23)
Архитектура (113)
Астрология (4)
Астрономия (4814)
Банковское дело (5227)
Безопасность жизнедеятельности (2616)
Биографии (3423)
Биология (4214)
Биология и химия (1518)
Биржевое дело (68)
Ботаника и сельское хоз-во (2836)
Бухгалтерский учет и аудит (8269)
Валютные отношения (50)
Ветеринария (50)
Военная кафедра (762)
ГДЗ (2)
География (5275)
Геодезия (30)
Геология (1222)
Геополитика (43)
Государство и право (20403)
Гражданское право и процесс (465)
Делопроизводство (19)
Деньги и кредит (108)
ЕГЭ (173)
Естествознание (96)
Журналистика (899)
ЗНО (54)
Зоология (34)
Издательское дело и полиграфия (476)
Инвестиции (106)
Иностранный язык (62791)
Информатика (3562)
Информатика, программирование (6444)
Исторические личности (2165)
История (21319)
История техники (766)
Кибернетика (64)
Коммуникации и связь (3145)
Компьютерные науки (60)
Косметология (17)
Краеведение и этнография (588)
Краткое содержание произведений (1000)
Криминалистика (106)
Криминология (48)
Криптология (3)
Кулинария (1167)
Культура и искусство (8485)
Культурология (537)
Литература : зарубежная (2044)
Литература и русский язык (11657)
Логика (532)
Логистика (21)
Маркетинг (7985)
Математика (3721)
Медицина, здоровье (10549)
Медицинские науки (88)
Международное публичное право (58)
Международное частное право (36)
Международные отношения (2257)
Менеджмент (12491)
Металлургия (91)
Москвоведение (797)
Музыка (1338)
Муниципальное право (24)
Налоги, налогообложение (214)
Наука и техника (1141)
Начертательная геометрия (3)
Оккультизм и уфология (8)
Остальные рефераты (21692)
Педагогика (7850)
Политология (3801)
Право (682)
Право, юриспруденция (2881)
Предпринимательство (475)
Прикладные науки (1)
Промышленность, производство (7100)
Психология (8692)
психология, педагогика (4121)
Радиоэлектроника (443)
Реклама (952)
Религия и мифология (2967)
Риторика (23)
Сексология (748)
Социология (4876)
Статистика (95)
Страхование (107)
Строительные науки (7)
Строительство (2004)
Схемотехника (15)
Таможенная система (663)
Теория государства и права (240)
Теория организации (39)
Теплотехника (25)
Технология (624)
Товароведение (16)
Транспорт (2652)
Трудовое право (136)
Туризм (90)
Уголовное право и процесс (406)
Управление (95)
Управленческие науки (24)
Физика (3462)
Физкультура и спорт (4482)
Философия (7216)
Финансовые науки (4592)
Финансы (5386)
Фотография (3)
Химия (2244)
Хозяйственное право (23)
Цифровые устройства (29)
Экологическое право (35)
Экология (4517)
Экономика (20644)
Экономико-математическое моделирование (666)
Экономическая география (119)
Экономическая теория (2573)
Этика (889)
Юриспруденция (288)
Языковедение (148)
Языкознание, филология (1140)

Реферат: Алгоритмы 2

Название: Алгоритмы 2
Раздел: Рефераты по информатике
Тип: реферат Добавлен 07:27:06 03 сентября 2011 Похожие работы
Просмотров: 221 Комментариев: 15 Оценило: 2 человек Средний балл: 5 Оценка: неизвестно     Скачать

Оглавление

1. Теоретические вопросы.. 2

Вопрос 2. Общая характеристика процессов сбора, передачи обработки и накопления информации.. 2

Вопрос 4. Алгоритмы: понятие и свойства. Линейные алгоритмы.6

Вопрос 6. Алгоритмы: понятие и свойства. Алгоритмы ветвления.10

Вопрос 8. Локальные и глобальные вычислительные сети.11

Вопрос 10. База данных: понятие, структурные элементы, модели данных. 16

Вопрос 12. Защита информации и сведений. Методы защиты информации. 20

2. Практическое задание. 24

Литература. 26

1. Теоретические вопросы

Вопрос 2. Общая характеристика процессов сбора, передачи обработки и накопления информации

Ответ:

Сбор информации

Вся жизнь человека так или иначе связана с накоплением и обработкой информации, которую он получает из окружающего мира, используя пять органов чувств – зрение, слух, вкус, обоняние и осязание. Как научная категория «информация» составляет предмет изучения для самых различных дисциплин: информатики, кибернетики, философии, физики, биологии, теории связи и т. д. Несмотря на это, строгого научного определения, что же такое информация, до настоящего времени не существует, а вместо него обычно используют понятие об информации. Понятия отличаются от определений тем, что разные дисциплины в разных областях науки и техники вкладывают в него разный смысл, с тем чтобы оно в наибольшей степени соответствовало предмету и задачам конкретной дисциплины. Имеется множество определений понятия информации – от наиболее общего философского (информация есть отражение реального мира) до наиболее частного прикладного (информация есть сведения, являющиеся объектом переработки).

Первоначально смысл слова «информация» (от лат. Informatio – разъяснение, изложение) трактовался как нечто присущее только человеческому сознанию и общению: «знания, сведения, сообщения, известия, передаваемые людьми устным, письменным или другим способом».

Информация не является ни материей, ни энергией. В отличие от них, она может возникать и исчезать.

Особенность информации заключается в том, что проявляется она только при взаимодействии объектов, причем обмен информацией может совершаться не вообще между любыми объектами, а только между теми из них, которые представляют собой организованную структуру (систему). Элементами этой системы могут быть не только люди: обмен информацией может происходить в животном и растительном мире, между живой и неживой природой, людьми и устройствами.
Информация – наиболее важный ресурс современного производства: он снижает потребность в земле, труде, капитале, уменьшает расход сырья и энергии, вызывает к жизни новые производства, является товаром, причем продавец информации не теряет ее после продажи, может накапливаться.

Понятие «информация» обычно предполагает наличие двух объектов – «источника» информации и «приемника» (потребителя, адресата) информации.
Информация передается от источника к приемнику в материально-энергетической форме в виде сигналов (например, электрических, световых, звуковых и т. д.), распространяющихся в определенной среде.

Сигнал (от лат. signum – знак) – физический процесс (явление), несущий сообщение (информацию) о событии или состоянии объекта наблюдения.
Информация может поступать в аналоговом (непрерывном) виде или дискретно (в виде последовательности отдельных сигналов). Соответственно различают аналоговую и дискретную информацию.

Понятие информации можно рассматривать с двух позиций: в широком смысле слова – это окружающий нас мир, обмен сведениями между людьми, обмен сигналами между живой и неживой природой, людьми и устройствами; в узком смысле слова информация – это любые сведения, которые можно сохранить, преобразовать и передать.
Информация – специфический атрибут реального мира, представляющий собой его объективное отражение в виде совокупности сигналов и проявляющийся при взаимодействии с «приемником» информации, позволяющим выделять, регистрировать эти сигналы из окружающего мира и по тому или иному критерию их идентифицировать.

Из этого определения следует, что:

• информация объективна, так как это свойство материи – отражение;
• информация проявляется в виде сигналов и лишь при взаимодействии объектов;
• одна и та же информация различными получателями может быть интерпретирована по-разному в зависимости от «настройки» «приемника».

Человек воспринимает сигналы посредством органов чувств, которые «идентифицируются» мозгом. Приемники информации в технике воспринимают сигналы с помощью различной измерительной и регистрирующей аппаратуры. При этом приемник, обладающий большей чувствительностью при регистрации сигналов и более совершенными алгоритмами их обработки, позволяет получить большие объемы информации.

Информация имеет определенные функции. Основными из них являются:

• познавательная – получение новой информации. Функция реализуется в основном через такие этапы обращения информации, как:

– ее синтез (производство)

– представление

– хранение (передача во времени)

– восприятие (потребление)

• коммуникативная – функция общения людей, реализуемая через такие этапы обращения информации, как:

– передача (в пространстве)

– распределение

• управленческая – формирование целесообразного поведения управляемой системы, получающей информацию. Эта функция информации неразрывно связана с познавательной и коммуникативной и реализуется через все основные этапы обращения, включая обработку.

Без информации не может существовать жизнь в любой форме и не могут функционировать любые информационные системы, созданные человеком. Без нее биологические и технические системы представляют груду химических элементов. Общение, коммуникации, обмен информацией присущи всем живым существам, но в особой степени человеку. Будучи аккумулированной и обработанной с определенных позиций, информация дает новые сведения, приводит к новому знанию. Получение информации из окружающего мира, ее анализ и генерирование составляют одну из основных функций человека, отличающую его от остального живого мира.

В общем случае роль информации может ограничиваться эмоциональным воздействием на человека, однако наиболее часто она используется для выработки управляющих воздействий в автоматических (чисто технических) и автоматизированных (человеко-машинных) системах. В подобных системах можно выделить отдельные этапы (фазы) обращения информации, каждый из которых характеризуется определенными действиями.

Последовательность действий, выполняемых с информацией, называют информационным процессом.

Основными информационными процессами являются:

– сбор (восприятие) информации;

– подготовка (преобразование) информации;

– передача информации;

– обработка (преобразование) информации;

– хранение информации;

– отображение (воспроизведение) информации.

Так как материальным носителем информации является сигнал, то реально это будут этапы обращения и преобразования сигналов (рис. 1).

Рисунок 1. Основные информационные процессы

На этапе восприятия информации осуществляется целенаправленное извлечение и анализ информации о каком-либо объекте (процессе), в результате чего формируется образ объекта, проводятся его опознание и оценка. Главная задача на этом этапе – отделить полезную информацию от мешающей (шумов), что в ряде случаев связано со значительными трудностями.

На этапе подготовки информации осуществляется ее первичное преобразование. На этом этапе проводятся такие операции, как нормализация, аналого-цифровое преобразование, шифрование. Иногда этап подготовки рассматривается как вспомогательный на этапе восприятия. В результате восприятия и подготовки получается сигнал в форме, удобной для передачи, хранения или обработки.

На этапе передачи информация пересылается из одного места в другое (от отправителя получателю – адресату). Передача осуществляется по каналам различной физической природы, самыми распространенными из которых являются электрические, электромагнитные и оптические. Извлечение сигнала на выходе канала, подверженного действию шумов, носит характер вторичного восприятия.

На этапах обработки информации выявляются ее общие и существенные взаимозависимости, представляющие интерес для системы. Преобразование информации на этапе обработки (как и на других этапах) осуществляется либо средствами информационной техники, либо человеком.

Под обработкой информации понимается любое ее преобразование, проводимое по законам логики, математики, а также неформальным правилам, основанным на «здравом смысле», интуиции, обобщенном опыте, сложившихся взглядах и нормах поведения. Результатом обработки является тоже информация, но либо представленная в иных формах (например, упорядоченная по каким-то признакам), либо содержащая ответы на поставленные вопросы (например, решение некоторой задачи). Если процесс обработки формализуем, он может выполняться техническими средствами. Кардинальные сдвиги в этой области произошли благодаря созданию ЭВМ как универсального преобразователя информации, в связи с чем появились понятия данных и обработки данных.
Данными называют факты, сведения, представленные в формализованном виде (закодированные), занесенные на те или иные носители и допускающие обработку с помощью специальных технических средств (в первую очередь ЭВМ).
Обработка данных предполагает производство различных операций над ними, в первую очередь арифметических и логических, для получения новых данных, которые объективно необходимы (например, при подготовке ответственных решений).
На этапе хранения информацию записывают в запоминающее устройство для последующего использования. Для хранения информации используются в основном полупроводниковые и магнитные носители.

Этап отображения информации должен предшествовать этапам, связанным с участием человека. Цель этого этапа – предоставить человеку нужную ему информацию с помощью устройств, способных воздействовать на его органы чувств.

Любая информация обладает рядом свойств, которые в совокупности определяют степень ее соответствия потребностям пользователя (качество информации). Можно привести немало разнообразных свойств информации, так как каждая научная дисциплина рассматривает те свойства, которые ей наиболее важны. С точки зрения информатики наиболее важными представляются следующие:

Актуальность информации – свойство информации сохранять ценность для потребителя в течение времени, т. е. не подвергаться «моральному» старению.

Полнота информации – свойство информации, характеризуемое мерой достаточности для решения определенных задач. Полнота информации означает, что она обеспечивает принятие правильного (оптимального) решения. Оценивается относительно вполне определенной задачи или группы задач.

Адекватность информации – свойство, заключающееся в соответствии содержательной информации состоянию объекта. Нарушение идентичности связано с техническим старением информации, при котором происходит расхождение реальных признаков объектов и тех же признаков, отображенных в информации.
Сохранность информации – свойство информации, характеризуемое степенью готовности определенных информационных массивов к целевому применению и определяемое способностью контроля и защиты информации обеспечить постоянное наличие и своевременное предоставление информационного массива, необходимых для автоматизированного решения целевых и функциональных задач системы.
Достоверность информации – свойство информации, характеризуемое степенью соответствия реальных информационных единиц их истинному значению. Требуемый уровень достоверности информации достигается путем внедрения методов контроля и защиты информации на всех стадиях ее переработки, повышения надежности комплекса технических и программных средств информационной системы, а также административно-организационными мерами.

Вопрос 4. Алгоритмы: понятие и свойства. Линейные алгоритмы.

Ответ:

Алгори́тм , от имени учёного аль-Хорезми (перс.خوارزمی‎ [al-Khwārazmī]) — точный набор инструкций, описывающих порядок действий исполнителя для достижения результата решения задачи за конечное время. В старой трактовке вместо слова «порядок» использовалось слово «последовательность», но по мере развития параллельности в работе компьютеров слово «последовательность» стали заменять более общим словом «порядок». Это связано с тем, что работа каких-то инструкций алгоритма может быть зависима от других инструкций или результатов их работы. Таким образом, некоторые инструкции должны выполняться строго после завершения работы инструкции, от которых они зависят. Независимые инструкции или инструкции, ставшие независимыми из-за завершения работы инструкций, от которых они зависят, могут выполняться в произвольном порядке, параллельно или одновременно, если это позволяют используемые процессор и операционная система.

Ранее часто писали «алгориф м», сейчас такое написание используется редко, но, тем не менее, имеет место (например, Нормальный алгорифмМаркова).

Часто в качестве исполнителя выступает некоторый механизм (компьютер, токарный станок, швейная машина), но понятие алгоритма необязательно относится к компьютерным программам, так, например, чётко описанный рецепт приготовления блюда также является алгоритмом, в таком случае исполнителем является человек.

Единого «истинного» определения понятия «алгоритм» нет.

«Алгоритм — это конечный набор правил, который определяет последовательность операций для решения конкретного множества задач и обладает пятью важными чертами: конечность, определённость, ввод, вывод, эффективность». (Д. Э. Кнут)

«Алгоритм — это всякая система вычислений, выполняемых по строго определённым правилам, которая после какого-либо числа шагов заведомо приводит к решению поставленной задачи». (А. Колмогоров)

«Алгоритм — это точное предписание, определяющее вычислительный процесс, идущий от варьируемых исходных данных к искомому результату». (А. Марков)

«Алгоритм — точное предписание о выполнении в определённом порядке некоторой системы операций, ведущих к решению всех задач данного типа». (Философский словарь / Под ред. М. М. Розенталя)

«Алгоритм — строго детерминированная последовательность действий, описывающая процесс преобразования объекта из начального состояния в конечное, записанная с помощью понятных исполнителю команд». (Николай Дмитриевич Угринович, учебник «Информатика и информ. технологии»)

«Алгоритм — это последовательность действий, направленных на получение определённого результата за конечное число шагов».

«Алгоритм — однозначно, доступно и кратко (условные понятия — названия этапа) описанная последовательность процедур для воспроизводства процесса с обусловленным задачей алгоритма результатом при заданных начальных условиях. Универсальность (или специализация) алгоритма определяется применимостью и надёжностью данного алгоритма для решения нестандартных задач».

«Алгоритм — это понятные и точные предписания исполнителю совершить конечное число шагов, направленных на решение поставленной задачи».

«Алгоритм — это некоторый конечный набор рассчитанных на определённого исполнителя операций в результате выполнения которых через определённое число шагов может быть достигнута поставленная цель или решена задача определённого типа».

«Алгоритм — это последовательность действий, либо приводящая к решению задачи, либо поясняющая почему это решение получить нельзя».

«Алгоритм — это точная, однозначная, конечная последовательность действий, которую должен выполнить пользователь для достижения конкретной цели либо для решения конкретной задачи или группы задач».

«Алгоритм — это точное предписание, которое задаёт вычислительный (алгоритмический) процесс, начинающийся с произвольного исходного данного и направленный на получение полностью определяемым этим исходным данным результата».

«Алгоритм — это описание последовательности действий, которое ведёт к конечному результату».

Различные определения алгоритма в явной или неявной форме содержат следующий ряд общих требований к алгоритму, определющих его свойства:

· Дискретность — алгоритм должен представлять процесс решения задачи как последовательное выполнение некоторых простых шагов. При этом для выполнения каждого шага алгоритма требуется конечный отрезок времени, то есть преобразование исходных данных в результат осуществляется во времени дискретно.

· Детерминированность — определённость. В каждый момент времени следующий шаг работы однозначно определяется состоянием системы. Таким образом, алгоритм выдаёт один и тот же результат (ответ) для одних и тех же исходных данных. В современной трактовке у разных реализаций одного и того же алгоритма должен быть изоморфный граф. С другой стороны, существуют вероятностные алгоритмы, в которых следующий шаг работы зависит от текущего состояния системы и генерируемого случайного числа. Однако при включении метода генерации случайных чисел в список «исходных данных», вероятностный алгоритм становится подвидом обычного.

· Понятность — алгоритм для исполнителя должен включать только те команды, которые ему (исполнителю) доступны, которые входят в его систему команд.

· Завершаемость (конечность) — при корректно заданных исходных данных алгоритм должен завершать работу и выдавать результат за конечное число шагов. С другой стороны, вероятностный алгоритм может и никогда не выдать результат, но вероятность этого равна 0.

· Массовость — универсальность. Алгоритм должен быть применим к разным наборам исходных данных.

· Результативность — завершение алгоритма определёнными результатами.

· Алгоритм содержит ошибки, если приводит к получению неправильных результатов либо не даёт результатов вовсе.

· Алгоритм не содержит ошибок, если он даёт правильные результаты для любых допустимых исходных данных

Разработка алгоритма решения задачи - это разбиение задачи на последовательно выполняемые этапы, причем результаты выполнения предыдущих этапов могут использоваться при выполнении последующих. При этом должны быть четко указаны как содержание каждого этапа, так и порядок выполнения этапов. Отдельный этап алгоритма представляет собой либо другую, более простую задачу, алгоритм решения которой известен (разработан заранее), либо должен быть достаточно простым и понятным без пояснений. Разработанный алгоритм можно записать несколькими способами:

· на естественном языке;

· в виде блок-схемы;

· в виде R-схемы.

· Линейный алгоритм - это такой, в котором все операции выполняются последовательно одна за другой (рис. 2).

Рис. 2 Размещение блоков в линейном алгоритме

Вопрос 6. Алгоритмы: понятие и свойства. Алгоритмы ветвления.

Ответ:

Алгоритмы: понятие и свойства – ответ тот же, что и в вопросе 4, т.к. они повторяются.

В отличие от линейных алгоритмов, в которых команды выполняются последовательно одна за другой, в алгоритми­ческую структуру «ветвление» входит условие, в зависимо­сти от выполнения или невыполнения которого реализуется та или иная последовательность команд (серия).

Алгоритмы разветвленной структуры применяются, когда в зависимости от некоторого условия необходимо выполнить либо одно, либо другое действие. В блок-схемах разветвленные алгоритмы изображаются так, как показано на рис. 3 - 4.

Рис. 3 Фрагмент алгоритма Рис. 4 Пример разветвления

Будем называть условием высказывание, которое может быть либо истинным, либо ложным. Условие, записанное на формальном языке, называется условным или логическим выражением.

Условные выражения могут быть простыми и сложными. Простое условие включает в себя два числа, две переменных или два арифметических выражения, которые сравнивают­ся между собой с использованием операций сравнения (рав­но, больше, меньше и пр.). Сложное условие включает в себя несколько операций сравнения и, соответственно, несколько выражений.

Вопрос 8. Локальные и глобальные вычислительные сети.

Ответ:

Компьютерная сеть – это совокупность компьютеров и различных устройств, обеспечивающих информационный обмен между компьютерами в сети без использования каких-либо промежуточных носителей информации.

Создание компьютерных сетей вызвано практической потребностью пользователей удаленных друг от друга компьютеров в одной и той же информации. Сети предоставляют пользователям возможность не только быстрого обмена информацией, но и совместной работы на принтерах и других периферийных устройствах, и даже одновременной обработки документов.

Все многообразие компьютерных сетей можно классифицировать по группе признаков:

· Территориальная распространенность;

· Ведомственная принадлежность;

· Скорость передачи информации;

· Тип среды передачи;

По территориальной распространенности сети могут быть локальными, глобальными, и региональными.

По принадлежности различают ведомственные и государственные сети. Ведомственные принадлежат одной организации и располагаются на ее территории.

По скорости передачи информации компьютерные сети делятся на низко-, средне- и высокоскоростные.

По типу среды передачи разделяются на сети коаксиальные, на витой паре, оптоволоконные, с передачей информации по радиоканалам, в инфракрасном диапазоне.

Локальные компьютерные сети.

Локальная сеть объединяет компьютеры, установленные в одном помещении (например, школьный компьютерный класс) или в одном здании (например, в одном здании могут быть объединены в локальную сеть несколько десятков компьютеров, установленных в различных кабинетах).

В небольших локальных сетях все компьютеры обычно равноправны, т. е. пользователи самостоятельно решают, какие ресурсы своего компьютера (диски, каталоги, файлы) сделать общедоступными по сети. Такие сети называются одноранговыми.

Если к локальной сети подключено более десяти компьютеров, то одноранговая сеть может оказаться недостаточно производительной. Для увеличения производительности, а также в целях обеспечения большей надежности при хранении информации в сети некоторые компьютеры специально выделяются для хранения файлов или программ-приложений. Такие компьютеры называются серверами, а локальная сеть — сетью на основе серверов.

Каждый компьютер, подключенный к локальной сети, должен иметь специальную плату (сетевой адаптер). Между собой компьютеры (сетевые адаптеры) соединяются с помощью кабелей.

Топология сети.

Общая схема соединения компьютеров в локальные сети называется топологией сети. Топологии сети могут быть различными.

Сети Ethernet могут иметь топологию «шина» и «звезда». В первом случае все компьютеры подключены к одному общему кабелю (шине), во втором - имеется специальное центральное устройство (хаб), от которого идут «лучи» к каждому компьютеру, т.е. каждый компьютер подключен к


своему кабелю.

Рисунок 5 – Шинная топология

Структура типа «шина» проще и экономичнее, так как для нее не требуется дополнительное устройство и расходуется меньше кабеля. Но она очень чувствительна к неисправностям кабельной системы. Если кабель поврежден хотя бы в одном месте, то возникают проблемы для всей сети. Место неисправности трудно обнаружить.

В этом смысле «звезда» более устойчива. Поврежденный кабель – проблема для одного конкретного компьютера, на работе сети в целом это не


сказывается. Не требуется усилий по локализации неисправности.

Рисунок 6 – Топология типа «звезда»

В сети, имеющей структуру типа «кольцо» информация передается между станциями по кольцу с переприемом в каждом сетевом контроллере. Переприем производится через буферные накопители, выполненные на базе оперативных запоминающих устройств, поэтому при выходе их строя одного сетевого контроллера может нарушиться работа всего кольца.


Достоинство кольцевой структуры – простота реализации устройств, а недостаток – низкая надежность.

Рисунок 7 – топология типа «кольцо»

Региональные компьютерные сети.

Локальные сети не позволяют обеспечить совместный доступ к информации пользователям, находящимся, например, в различных частях города. На помощь приходят региональные сети, объединяющие компьютеры в пределах одного региона (города, страны, континента).

Корпоративные компьютерные сети.

Многие организации, заинтересованные в защите информации от несанкционированного доступа (например, военные, банковские и пр.), создают собственные, так называемые корпоративные сети. Корпоративная сеть может объединять тысячи и десятки тысяч компьютеров, размещенных в различных странах и городах (в качестве примера можно привести сеть корпорации Microsoft, MSN).

Глобальная компьютерная сеть Интернет.

В 1969 году в США была создана компьютерная сеть ARPAnet, объединяющая компьютерные центры министерства обороны и ряда академических организаций. Эта сеть была предназначена для узкой цели: главным образом для изучения того, как поддерживать связь в случае ядерного нападения и для помощи исследователям в обмене информацией. По мере роста этой сети создавались и развивались многие другие сети. Еще до наступления эры персональных компьютеров создатели ARPAnet приступили к разработке программы Internetting Project ("Проект объединения сетей"). Успех этого проекта привел к следующим результатам. Во-первых, была создана крупнейшая в США сеть internet (со строчной буквы i). Во-вторых, были опробованы различные варианты взаимодействия этой сети с рядом других сетей США. Это создало предпосылки для успешной интеграции многих сетей в единую мировую сеть. Такую "сеть сетей" теперь всюду называют Internet (в отечественных публикациях широко применяется и русскоязычное написание - Интернет).

В настоящее время на десятках миллионов компьютеров, подключенных к Интернету, хранится громадный объем информации (сотни миллионов файлов, документов и т. д.) и сотни миллионов людей пользуются информационными услугами глобальной сети.

Интернет — это глобальная компьютерная сеть, объединяющая многие локальные, региональные и корпоративные сети и включающая в себя десятки миллионов компьютеров.

В каждой локальной или корпоративной сети обычно имеется, по крайней мере, один компьютер, который имеет постоянное подключение к Интернету с помощью линии связи с высокой пропускной способностью (сервер Интернета).

Надежность функционирования глобальной сети обеспечивается избыточностью линий связи: как правило, серверы имеют более двух линий связи, соединяющих их с Интернетом.

Основу, «каркас» Интернета составляют более ста миллионов серверов, постоянно подключенных к сети.

К серверам Интернета могут подключаться с помощью локальных сетей или коммутируемых телефонных линий сотни миллионов пользователей сети.

Вопрос. 10. База данных: понятие, структурные элементы, модели данных

Ответ:

База данных (БД, database) - поименованная совокупность структурированных данных, относящихся к определенной предметной области.

Предметная область - некоторая часть реально существующей системы, функционирующая как самостоятельная единица. Полная предметная область может представлять собой экономику страны или группы союзных государств, однако на практике для информационных систем наибольшее значение имеет предметная область масштаба отдельного предприятия или корпорации.

Система управления базами данных (СУБД) - комплекс программных и языковых средств, необходимых для создания и модификации базы данных, добавления, модификации, удаления, поиска и отбора информации, представления информации на экране и в печатном виде, разграничения прав доступа к информации, выполнения других операций с базой.

Реляционная БД - основной тип современных баз данных. Состоит из таблиц, между которыми могут существовать связи по ключевым значениям.

Таблица базы данных (table) - регулярная структура, которая состоит из однотипных строк (записей, records), разбитых на столбцы (поля, fields).

В теории реляционных баз данных синоним таблицы - отношение (relation), в котором строка называется кортежем, а столбец называется атрибутом.

В концептуальной модели реляционной БД аналогом таблицы является сущность (entity), с определенным набором свойств - атрибутов, способных принимать определенные значения (набор допустимых значений - домен).

Ключевой элемент таблицы (ключ, regular key) - такое ее поле (простой ключ) или строковое выражение, образованное из значений нескольких полей (составной ключ), по которому можно определить значения других полей для одной или нескольких записей таблицы. На практике для использования ключей создаются индексы - служебная информация, содержащая упорядоченные сведения о ключевых значениях. В реляционной теории и концептуальной модели понятие "ключ" применяется для атрибутов отношения или сущности.

Первичный ключ (primary key) - главный ключевой элемент, однозначно идентифицирующий строку в таблице. Могут также существовать альтернативный (candidate key) и уникальный (unique key) ключи, служащие также для идентификации строк в таблице.

В реляционной теории первичный ключ - минимальный набор атрибутов, однозначно идентифицирующий кортеж в отношении.

В концептуальной модели первичный ключ - минимальный набор атрибутов сущности, однозначно идентифицирующий экземпляр сущности.

Связь (relation) - функциональная зависимость между объектами. В реляционных базах данных между таблицами устанавливаются связи по ключам, один из которых в главной (parent, родительской) таблице - первичный, второй - внешний ключ - во внешней (child, дочерней) таблице, как правило, первичным не является и образует связь "один ко многим" (1:N). В случае первичного внешнего ключа связь между таблицами имеет тип "один к одному" (1:1). Информация о связях сохраняется в базе данных.

Внешний ключ (foreign key) - ключевой элемент подчиненной (внешней, дочерней) таблицы, значение которого совпадает со значением первичного ключа главной (родительской) таблицы.

Ссылочная целостность данных (referential integrity) - набор правил, обеспечивающих соответствие ключевых значений в связанных таблицах.

Схема формирования информационной модели представлена на рис.8.


Рис. 8. Схема формирования информационной модели

Концептуальная модель - отображает информационные объекты, их свойства и связи между ними без указания способов физического хранения информации (модель предметной области, иногда ее также называют информационно-логической или инфологической моделью). Информационными объектами обычно являются сущности - обособленные объекты или события, информацию о которых необходимо сохранять, имеющие определенные наборы свойств - атрибутов.

Физическая модель - отражает все свойства (атрибуты) информационных объектов базы и связи между ними с учетом способа их хранения - используемой СУБД.

Внутренняя модель - база данных, соответствующая определенной физической модели.

Внешняя модель - комплекс программных и аппаратных средств для работы с базой данных, обеспечивающий процессы создания, хранения, редактирования, удаления и поиска информации, а также решающий задачи выполнения необходимых расчетов и создания выходных печатных форм.

В реляционной модели данные разбиваются на наборы, которые составляют табличную структуру. Эта структура таблиц состоит из индивидуальных элементов данных, называемых полями. Одиночный набор или группа полей известна как запись.

Модель данных, или концептуальное описание предметной области - самый абстрактный уровень проектирования баз данных.

С точки зрения теории реляционных БД, основные принципы реляционной модели на концептуальном уровне можно сформулировать следующим образом:

· все данные представляются в виде упорядоченной структуры, определенной в виде строк и столбцов и называемой отношением;

· все значения являются скалярами. Это означает, что для любой строки и столбца любого отношения существует одно и только одно значение;

· все операции выполняются над целым отношением, и результатом их выполнения также является целое отношение. Этот принцип называется замыканием

Элементами описания реляционной модели данных на концептуальном уровне являются сущности, атрибуты, домены и связи

Сущность - некоторый обособленный объект или событие, информацию о котором необходимо сохранять в базе данных, имеющий определенный набор свойств - атрибутов. Сущности могут быть как физические (реально существующие объекты: например, СТУДЕНТ, атрибуты - № зачетной книжки, фамилия, его факультет, специальность, № группы и т.д.), так и абстрактные (например, ЭКЗАМЕН, атрибуты - дисциплина, дата, преподаватель, аудитория и пр.). Для сущностей различают ее тип и экземпляр. Тип характеризуется именем и списком свойств, а экземпляр - конкретными значениями свойств.

Вопрос 12. Защита информации и сведений. Методы защиты информации

Ответ:

Защита информации – это комплекс мероприятий, направленных на обеспечение информационной безопасности.

Под информационной безопасностью понимают защищенность информации и поддерживающей инфраструктуры от случайных или преднамеренных воздействий естественного или искусственного характера, которые могут нанести неприемлемый ущерб субъектам информационных отношений, в том числе владельцам и пользователям информации и поддерживающей инфраструктуры.

Спектр интересов субъектов, связанных с использованием информационных систем, можно разделить на следующие категории: обеспечение доступности, целостности и конфиденциальности информационных ресурсов и поддерживающей инфраструктуры.

Доступность – это возможность за приемлемое время получить требуемую информационную услугу. Под целостностью подразумевается актуальность и непротиворечивость информации, ее защищенность от разрушения и несанкционированного изменения.

Конфиденциальность – это защита от несанкционированного доступа к информации.

Целостность можно подразделить на статическую (понимаемую как неизменность информационных объектов) и динамическую (относящуюся к корректному выполнению сложных действий (транзакций)). Средства контроля динамической целостности применяются, в частности, при анализе потока финансовых сообщений с целью выявления кражи, переупорядочения или дублирования отдельных сообщений.

Сетевые сервисы безопасности

Выделяют следующие сервисы безопасности и исполняемые ими роли:

Аутентификация. Данный сервис обеспечивает проверку подлинности партнеров по общению и проверку подлинности источника данных. Аутентификация партнеров по общению используется при установлении соединения и, быть может, периодически во время сеанса. Она служит для предотвращения таких угроз, как маскарад и повтор предыдущего сеанса связи. Аутентификация бывает односторонней (обычно клиент доказывает свою подлинность серверу) и двусторонней (взаимной).

Управление доступом. Обеспечивает защиту от несанкционированного использования ресурсов, доступных по сети.

Конфиденциальность данных. Обеспечивает защиту от несанкционированного получения информации. Отдельно упомянем конфиденциальность трафика (это защита информации, которую можно получить, анализируя сетевые потоки данных).

Целостность данных подразделяется на подвиды в зависимости от того, какой тип общения используют партнеры - с установлением соединения или без него, защищаются ли все данные или только отдельные поля, обеспечивается ли восстановление в случае нарушения целостности.

Неотказуемость (невозможность отказаться от совершенных действий) обеспечивает два вида услуг: неотказуемость с подтверждением подлинности источника данных и неотказуемость с подтверждением доставки. Побочным продуктом неотказуемости является аутентификация источника данных.

Для реализации сервисов (функций) безопасности могут использоваться следующие механизмы и их комбинации:

· шифрование;

· электронная цифровая подпись;

· механизмы управления доступом. Могут располагаться на любой из участвующих в общении сторон или в промежуточной точке;

· механизмы контроля целостности данных. В рекомендациях X.800 различаются два аспекта целостности: целостность отдельного сообщения или поля информации и целостность потока сообщений или полей информации. Для проверки целостности потока сообщений (то есть для защиты от кражи, переупорядочивания, дублирования и вставки сообщений) используются порядковые номера, временные штампы, криптографическое связывание или иные аналогичные приемы;

· механизмы аутентификации. Согласно рекомендациям X.800, аутентификация может достигаться за счет использования паролей, личных карточек или иных устройств аналогичного назначения, криптографических методов, устройств измерения и анализа биометрических характеристик;

· механизмы дополнения трафика;

· механизмы управления маршрутизацией. Маршруты могут выбираться статически или динамически. Оконечная система, зафиксировав неоднократные атаки на определенном маршруте, может отказаться от его использования. На выбор маршрута способна повлиять метка безопасности, ассоциированная с передаваемыми данными;

· механизмы нотаризации. Служат для заверения таких коммуникационных характеристик, как целостность, время, личности отправителя и получателей. Заверение обеспечивается надежной третьей стороной, обладающей достаточной информацией. Обычно нотаризация опирается на механизм электронной подписи.

Программно-технические меры, то есть меры, направленные на контроль компьютерных сущностей - оборудования, программ и/или данных, образуют последний и самый важный рубеж информационной безопасности.

Центральным для программно-технического уровня является понятие сервиса безопасности.

К вспомогательным относятся сервисы безопасности (мы уже сталкивались с ними при рассмотрении стандартов и спецификаций в области ИБ); среди них нас в первую очередь будут интересовать универсальные, высокоуровневые, допускающие использование различными основными и вспомогательными сервисами:

  • идентификация и аутентификация;
  • управление доступом;
  • протоколирование и аудит;
  • шифрование;
  • контроль целостности;
  • экранирование;
  • анализ защищенности;
  • обеспечение отказоустойчивости;
  • обеспечение безопасного восстановления;
  • туннелирование;
  • управление.

Для проведения классификации сервисов безопасности и определения их места в общей архитектуре меры безопасности можно разделить на следующие виды:

  • превентивные, препятствующие нарушениям ИБ;
  • меры обнаружения нарушений;
  • локализующие, сужающие зону воздействия нарушений;
  • меры по выявлению нарушителя;
  • меры восстановления режима безопасности.

2. Практическое задание

1. Составить блок-схему (линейный алгоритм) вычисления произведения высот треугольника со сторонами a,b,c.

Решение:

Рисунок 9 – Линейный алгоритм

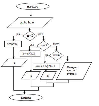
2. Составить блок-схему вычисления площадей различных фигур (алгоритм ветвления):

, где n – количество сторон

Решение:

Рисунок 10 – Алгоритм ветвления

Литература

1. Андерсон К. Минаси М. Локальные сети. Полное руководство: К.: ВЕК+, М.: ЭНТРОП, СПб.: КОРОНА принт, 2009. – 624 с.

2. Елманова .З. Borland C++ Builder 3.0. Архитектура «клиент/сервер», многозвенные системы и Internet-приложения. – М.: Диалог-МИФИ, 2009. – 240 с.

3. Косарев В.П. Ерёмин Л.В. Компьютерные системы и сети. - М.: Финансы и статистика, 2007. – 464 с.

4. Кручинин С. Архитектура компьютера. // Hard и Soft. – 2005. - №4.

5. Першиков и др. Русско-английский толковый словарь по информатике. – М.: Финансы и статистика, 2006. – 386 с.

6. Экономическая информатика и вычислительная техника: Учебник/ Под ред. В.П. Косарева. – М.: Финансы и статистика, 2008. – 336 с.

Оценить/Добавить комментарий
Имя
Оценка
Комментарии:
Хватит париться. На сайте FAST-REFERAT.RU вам сделают любой реферат, курсовую или дипломную. Сам пользуюсь, и вам советую!
Никита12:07:31 03 ноября 2021
.
.12:07:29 03 ноября 2021
.
.12:07:28 03 ноября 2021
.
.12:07:27 03 ноября 2021
.
.12:07:25 03 ноября 2021

Смотреть все комментарии (15)
Работы, похожие на Реферат: Алгоритмы 2

Назад
Меню
Главная
Рефераты
Благодарности
Опрос
Станете ли вы заказывать работу за деньги, если не найдете ее в Интернете?

Да, в любом случае.
Да, но только в случае крайней необходимости.
Возможно, в зависимости от цены.
Нет, напишу его сам.
Нет, забью.



Результаты(286762)
Комментарии (4153)
Copyright © 2005-2021 HEKIMA.RU [email protected] реклама на сайте