Банк рефератов содержит более 364 тысяч рефератов, курсовых и дипломных работ, шпаргалок и докладов по различным дисциплинам: истории, психологии, экономике, менеджменту, философии, праву, экологии. А также изложения, сочинения по литературе, отчеты по практике, топики по английскому.
Полнотекстовый поиск
Всего работ:
364139
Теги названий
Разделы
Авиация и космонавтика (304)
Административное право (123)
Арбитражный процесс (23)
Архитектура (113)
Астрология (4)
Астрономия (4814)
Банковское дело (5227)
Безопасность жизнедеятельности (2616)
Биографии (3423)
Биология (4214)
Биология и химия (1518)
Биржевое дело (68)
Ботаника и сельское хоз-во (2836)
Бухгалтерский учет и аудит (8269)
Валютные отношения (50)
Ветеринария (50)
Военная кафедра (762)
ГДЗ (2)
География (5275)
Геодезия (30)
Геология (1222)
Геополитика (43)
Государство и право (20403)
Гражданское право и процесс (465)
Делопроизводство (19)
Деньги и кредит (108)
ЕГЭ (173)
Естествознание (96)
Журналистика (899)
ЗНО (54)
Зоология (34)
Издательское дело и полиграфия (476)
Инвестиции (106)
Иностранный язык (62791)
Информатика (3562)
Информатика, программирование (6444)
Исторические личности (2165)
История (21319)
История техники (766)
Кибернетика (64)
Коммуникации и связь (3145)
Компьютерные науки (60)
Косметология (17)
Краеведение и этнография (588)
Краткое содержание произведений (1000)
Криминалистика (106)
Криминология (48)
Криптология (3)
Кулинария (1167)
Культура и искусство (8485)
Культурология (537)
Литература : зарубежная (2044)
Литература и русский язык (11657)
Логика (532)
Логистика (21)
Маркетинг (7985)
Математика (3721)
Медицина, здоровье (10549)
Медицинские науки (88)
Международное публичное право (58)
Международное частное право (36)
Международные отношения (2257)
Менеджмент (12491)
Металлургия (91)
Москвоведение (797)
Музыка (1338)
Муниципальное право (24)
Налоги, налогообложение (214)
Наука и техника (1141)
Начертательная геометрия (3)
Оккультизм и уфология (8)
Остальные рефераты (21692)
Педагогика (7850)
Политология (3801)
Право (682)
Право, юриспруденция (2881)
Предпринимательство (475)
Прикладные науки (1)
Промышленность, производство (7100)
Психология (8692)
психология, педагогика (4121)
Радиоэлектроника (443)
Реклама (952)
Религия и мифология (2967)
Риторика (23)
Сексология (748)
Социология (4876)
Статистика (95)
Страхование (107)
Строительные науки (7)
Строительство (2004)
Схемотехника (15)
Таможенная система (663)
Теория государства и права (240)
Теория организации (39)
Теплотехника (25)
Технология (624)
Товароведение (16)
Транспорт (2652)
Трудовое право (136)
Туризм (90)
Уголовное право и процесс (406)
Управление (95)
Управленческие науки (24)
Физика (3462)
Физкультура и спорт (4482)
Философия (7216)
Финансовые науки (4592)
Финансы (5386)
Фотография (3)
Химия (2244)
Хозяйственное право (23)
Цифровые устройства (29)
Экологическое право (35)
Экология (4517)
Экономика (20644)
Экономико-математическое моделирование (666)
Экономическая география (119)
Экономическая теория (2573)
Этика (889)
Юриспруденция (288)
Языковедение (148)
Языкознание, филология (1140)

Реферат: Особенности полимерного состояния вещества

Название: Особенности полимерного состояния вещества
Раздел: Рефераты по химии
Тип: реферат Добавлен 04:42:04 16 июня 2011 Похожие работы
Просмотров: 2238 Комментариев: 20 Оценило: 3 человек Средний балл: 4.7 Оценка: неизвестно     Скачать

1. Полимеры и наука о полимерах

В зависимости от величины относительной молекулярной массы, далее называемой просто молекулярной массой, химические соединения подразделяют на три группы: низкомолекулярные соединения М < 103 , смолы 103 < М < 104, высокомолекулярные соединения 104 < М < 106 . Эти границы достаточно условны, они скорее отражают порядок величины, характерной для каждой группы. Молекулы высокомолекулярных соединений называются макромолекулами. Как правило, они состоят из большого количества повторяющихся звеньев, т. е. одинаковых групп атомов. Высокомолекулярные соединения называются полимерами, если их макромолекулы построены из повторяющихся звеньев одного типа, и сополимерами, если - из нескольких. Аналогично определяются смолы как олигомеры и соолигомеры. Соединения, из которых получаются (со)полимеры и (со)олигомеры, называются мономерами. Корни этих названий взяты из греческого языка, в котором «мер» означает «часть», «поли» - «много», «олиго» - «мало», «моно» - «один».

Процесс образования макромолекул из мономеров называется полимеризацией. В зависимости от механизма этой реакции мономеры объединяются в макромолекулы без изменения химического состава или с незначительными изменениями. Мономеры или мономерные остатки, последовательно связанные в макромолекулу, называются мономерными звеньями. Число мономерных звеньев в макромолекуле называется степенью полимеризации.

Рассмотрим на примере виниловых мономеров CH2 =CHZ, где Z - алкил, арил или любой другой заместитель, общую формулу полимера и олигомера:

где n - степень полимеризации, X и Y - концевые группы. Принципиальным отличием олигомеров от полимеров является зависимость физических свойств первых от n и природы X и Y. Поэтому приведенная выше формула применяется в основном к олигомерам, в случае полимеров используется упрощенный вариант:

Наука о полимерах стала развиваться как самостоятельная область знания к началу Второй мировой войны и сформировалась как единое целое в 50-х гг. XX столетия, когда была осознана роль полимеров в развитии технического прогресса и жизнедеятельности биологических объектов.

Она тесно связана с физикой, физической, коллоидной и органической химией и может рассматриваться как одна из базовых основ современной молекулярной биологии, объектами изучения которой являются биополимеры.

Невозможно перечислить всех ученых, внесших вклад в формирование новой науки. Мы можем лишь упомянуть некоторых из тех, чьи имена связаны с развитием ключевых представлений: Г. Штаудингер, Г. Марк, П. Флори, Г.А. Александров, Ю.П. Лазуркин, В.А. Каргин, М.Ф. Волькенштейн. Их работы позволили установить цепной характер и механизм гибкости макромолекул, позволили объяснить и количественно описать основные свойства полимеров и их растворов. Мы не можем также не упомянуть тех ученых, чьи работы привели к открытию полимеров, получивших широкое практическое применение. И в данном случае невозможно перечислить всех ученых и инженеров, трудами которых созданы наиболее распространенные материалы нашего времени. Упомянем лишь Л. Бакеланда, организовавшего в 1906 г. первое производство синтетического полимера - фенолформальдегидной смолы, а также У. Карозерса, К. Циглера и Д. Натта, открывших человечеству мир полиамидов и полиолефинов.

2. Различия в свойствах высоко- и низкомолекулярных соединений

Макромолекулы полимеров, в отличие от молекул низкомолекулярных веществ, являются нелетучими, для них характерны меньшие скорости диффузии, а для растворов полимеров характерны меньшие значения коллигативных свойств по сравнению с растворами низкомолекулярных соединений. Однако наиболее значительные и принципиальные различия в свойствах высоко- и низкомолекулярных соединений возникают лишь при сочетании большой молекулярной массы с цепным строением макромолекул. Практически все полимеры, производимые промышленностью, и природные полимеры органического происхождения являются цепными. Это означает, что длина макромолекулы намного больше ее поперечного размера. Насколько больше? Это легко оценить, если допустить, что молекулы мономеров, из которых образуются макромолекулы, имеют форму, близкую к сферической. В этом случае поперечный размер макромолекулярной цепи равен диаметру молекулы мономера l , а длина вытянутой цепи L , называемой контурной, равна:

L=nl, (1.1)

где n - число мономерных звеньев в цепи, равное отношению молекулярной массы полимера и мономера. Наиболее ценные свойства цепных полимеров в полной мере проявляются при М > 105 . Типичные мономеры, из которых получают крупнотоннажные полимеры, имеют молекулярную массу порядка 102 . Отсюда следует, что характерным признаком макромолекул цепных полимеров является:

(L/l)≥103 . (1.2)

Цепное строение макромолекул приводит к анизотропии свойств кристаллических, жидкокристаллических и ориентированных аморфных полимеров. Это явление используется на практике, в частности, при получении прочных волокон и пленок полимеров. Способность к волокно- и пленко - образованию является одним из наиболее ценных потребительских свойств полимеров.

К уникальным фундаментальным свойствам полимеров относятся высокоэластичность и вязкоупругости. Первое проявляется в больших обратимых деформациях - до 800 % под действием малых нагрузок. Это свойство реализуется в таких полимерных материалах как каучук и резина. Второе подразумевает проявление полимерами свойств, присущих твердому телу и жидкости, т. е. сочетание обратимой и необратимой (течение) деформаций. Вязкоупругость приводит к пластичности и пониженной хрупкости полимерных материалов, называемых пластиками, поскольку необратимое перемещение макромолекул под нагрузкой вызывает релаксацию напряжения и предотвращает материал от разрушения.

Для растворов полимеров характерны набухание, при котором объем растворяемого полимера может увеличиваться на порядок и более, большая вязкость и способность к гелеобразованию. Часто достаточно 1-2% растворенного вещества, например желатины, чтобы раствор потерял текучесть.

Особенности химического поведения макромолекул также связаны с их цепным строением. Это обстоятельство предопределяет повышенную вероятность протекания кооперативных процессов, например, при образовании интерполимерных комплексов, в том числе полиэлектролитных, в которых связаны макромолекулы разной химической природы, а также зависимость реакционной способности функциональных групп цепи от природы соседних звеньев.

Макромолекулы можно рассматривать как исключительно емкие ячейки для хранения информации, которая может быть зашифрована в виде определенной последовательности расположения различных атомных групп вдоль цепи. Этот принцип реализован в природе, где генетическая информация записывается в виде последовательности расположения звеньев, содержащих пуриновые и пиримидиновые основания в макромолекулах дезоксирибонуклеиновой кислоты.

Довольно часто макромолекулы могут быть разветвленными или «сшитыми» между собой химическими связями. Это обстоятельство не лишает полимеры их специфических свойств, отмеченных выше, если длина отрезков цепи, заключенных между сшивками и разветвлениями, намного превышает поперечный размер цепи. В качестве примера можно указать каучук и резину, отличающиеся тем, что в последнем случае макромолекулы являются «сшитыми» серой. Оба полимера проявляют высокоэластичность, причем на практике это свойство эксплуатируется большей частью в резине. Однако густо «сшитый» каучук теряет это свойство. Материал, получаемый добавкой к каучуку 50-60% серы, известный как эбонит, проявляет свойства, присущие пластикам.

Наличие жесткого трехмерного каркаса химических связей придает полимерным телам исключительную твердость. Не случайно, вещества, построенные по этому принципу, - алмаз, бор, корунд (одна из полимерных форм оксида алюминия), карборунд SiC - возглавляют список материалов в шкале твердости.

Все изложенное выше свидетельствует о качественном различии свойств высоко- и низкомолекулярных соединений и дает основание рассматривать полимерное состояние как особое состояние вещества.

3. Образование, получение и распространение полимеров

В соответствии с распространенностью в окружающем нас мире полимеры располагаются в ряд: природные неорганические полимеры >> природные органические полимеры > синтетические полимеры.

Синтетические полимеры. Искусственные полимерные материалы (Формулы полимеров, упомянутых в данном разделе, приведены в таблице 1.4.). Человек давно использует природные полимерные материалы в своей жизни. Это кожа, меха, шерсть, шелк, хлопок и т.п., используемые для изготовления одежды, различные связующие (цемент, известь, глина), образующие при соответствующей обработке трехмерные полимерные тела, широко используемые как строительные материалы. Однако промышленное производство цепных полимеров началось в начале XX в., хотя предпосылки для этого создавались ранее.

Практически сразу же промышленное производство полимеров развивалось в двух направлениях - путем переработки природных органических полимеров в искусственные полимерные материалы и путем получения синтетических полимеров из органических низкомолекулярных соединений.

В первом случае крупнотоннажное производство базируется на целлюлозе. Первый полимерный материал из физически модифицированной целлюлозы - целлулоид - был получен еще в начале XX в. Крупномасштабное производство простых и сложных эфиров целлюлозы было организовано до и после второй мировой войны и существует до настоящего времени. На их основе производят пленки, волокна, лакокрасочные материалы и загустители. Необходимо отметить, что развитие кино и фотографии оказалось возможным лишь благодаря появлению прозрачной пленки из нитроцеллюлозы.

Синтетические полимеры получаются путем ступенчатой или цепной полимеризации низкомолекулярных соединений - мономеров. Ступенчатая полимеризация, называемая также поликонденсацией, осуществляется путем реакции функциональных групп мономеров, соединение которых часто сопровождается отщеплением низкомолекулярного продукта, например:

HO-R-OH + HOOC-R'-COOH → HO-R-O-C(O)R'-COOH + H2 O

В этом случае чаще употребляется термин поликонденсация. В ходе ступенчатой полимеризации сначала образуются димеры, затем тримеры, тетрамеры и т.д. Эти промежуточные продукты могут быть выделены на любой стадии полимеризации.

Цепная полимеризация осуществляется путем последовательного присоединения к растущим цепям с активными центрами на конце мономеров в результате раскрытия содержащихся в них ненасыщенных связей или циклов. Характерным признаком цепной полимеризации является очень короткое время жизни (меньше секунды) растущей цепи, несущей активный центр, и невозможность выделить ее в неизменном состоянии. Активным центром в цепной полимеризации может быть радикал, катион или анион, в соответствии с чем различают радикальную, катионную и анионную полимеризации. Ниже приведена реакция присоединения этилена к растущей цепи, несущей на конце свободный радикал:

Из схемы видно, что присоединение мономера сопровождается регенерацией активного центра на конце цепи.

Производство синтетических полимеров началось в 1906 г., когда Л. Бакеланд запатентовал так называемую бакелитовую смолу - продукт конденсации фенола и формальдегида, превращающийся при нагревании в трехмерный полимер. В течение десятилетий он применялся для изготовления корпусов электротехнических приборов, аккумуляторов, телевизоров, розеток и т. п., а в настоящее время чаще используется как связующее и адгезив.

Благодаря усилиям Генри Форда, перед Первой мировой войной началось бурное развитие автомобильной промышленности сначала на основе натурального, затем также и синтетического каучука. Производство последнего было освоено накануне Второй мировой войны в Советском Союзе, Англии, Германии и США. В эти же годы было освоено промышленное производство полистирола и поливинилхлорида, являющихся прекрасными электроизолирующими материалами, а также полиметилметакрилата - без органического стекла под названием «плексиглас» было бы невозможно массовое самолетостроение в годы войны.

После войны возобновилось производство полиамидного волокна и тканей (капрон, нейлон), начатое еще до войны. В течение войны все это производство было переориентировано на выпуск парашютов. В 50-х гг. XX в. было разработано полиэфирное волокно и освоено производство тканей на его основе под названием лавсан или полиэтилентерефталат. Полипропилен и нитрон - искусственная шерсть из полиакрилонитрила замыкают список синтетических волокон, которые использует современный человек для одежды и производственной деятельности. В первом случае эти волокна очень часто сочетаются с натуральными волокнами из целлюлозы или из белка (хлопок, шерсть, шелк).

Эпохальным событием в мире полимеров явилось открытие в середине 50-х годов XX столетия и быстрое промышленное освоение катализаторов Циглера - Натта, что привело к появлению полимерных материалов на основе полиолефинов и, прежде всего, полипропилена и полиэтилена низкого давления (до этого было освоено производство полиэтилена при давлении порядка 1000 атм), а также стереорегулярных полимеров, способных к кристаллизации. Затем были внедрены в массовое производство полиуретаны - наиболее распространенные герметики, адгезивы и пористые мягкие материалы (поролон), а также полисилоксаны - элементорганические полимеры, обладающие более высокими по сравнению с органическими полимерами термостойкостью и эластичностью.

Список замыкают так называемые уникальные полимеры, синтезированные в 60-70 гг. XX в. К ним относятся ароматические полиамиды, полиимиды, полиэфиры, полиэфиркетоны и др.; непременным атрибутом этих полимеров является наличие у них ароматических циклов и (или) ароматических конденсированных структур. Для них характерно сочетание выдающихся значений прочности и термостойкости.

Период разработки и освоения производства основных полимерных материалов закончился в 70-х гг. К 90-м гг. XX в. ежегодное потребление полимерных материалов на душу населения (кг/год) достигло в развитых странах высокого уровня, который постоянно увеличивается на 2-3% в год:

полимер высокомолекулярное соединение

Германия США Швеция Япония Италия Франция
101, 9 75, 8 67, 9 57, 8 53, 0 50, 6

До настоящего времени массовое производство полимерных материалов базируется на цепных полимерах, объемы производства важнейших из которых в начале 90-х г. XX в. составляли (млн т в год):

полиэтилен 31,9 полиуретаны 5,2
поливинилхлорид 21,0 фенопласты 3,5
полистирол 12,0 аминопласты 1,0
полипропилен 12,0 эпоксидные смолы 0,7
полиамиды 4,5

Природные органические полимеры. Природные органическое полимеры образуются в растительных и животных организмах. Важнейшими из них являются полисахариды, белки и нуклеиновые кислоты, из которых в значительной степени состоят тела растений и животных (табл. 1. 1) и которые обеспечивают само функционирование жизни на Земле. Считается, что решающим этапом в возникновении жизни на Земле явилось образование из простых органических молекул более сложных - высокомолекулярных.

Таблица 1. 1 Содержание различных веществ в теле человека

Тип вещества Массовый, %
Вода 60-80
Сухой остаток: 20-40
белки 15-20
жиры 3-20
полисахариды 1-15
низкомолекулярные соединения <2
нуклеиновые кислоты <0,1

Полисахариды образуются из низкомолекулярных соединений общей формулы Сn Н2n On , называемых сахарами или углеводами. Для Сахаров характерно наличие альдегидной или кетонной групп, в соответствии с этим первые называются альдозами, вторые - кетозами. Среди Сахаров с n = 6, называемых гексозами, имеется 16 изомерных альдогексоз и 16 кетогексоз. Однако только четыре из них (a-галактоза, d -манноза, d -глюкоза, d -фруктоза) встречаются в живой клетке. Биологическая роль Сахаров определяется тем, что они являются источником энергии, необходимой организму, которая выделяется при их окислении, и исходным материалом для синтеза макромолекул.

В последнем случае большое значение имеет способность Сахаров образовывать циклические структуры, что иллюстрируется ниже на примере глюкозы и фруктозы:

В водном растворе глюкоза содержит 99, 976% циклического изомера. У кетогексоз циклические изомеры пятичленные. Циклические молекулы моносахаридов могут связываться между собой с образованием так называемых гликозидных связей путем конденсации гидроксильных групп.

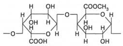
Наиболее распространены полисахариды, повторяющиеся звенья которых являются остатками a -D-глюкопиранозы или ее производных. Наиболее известна и широко применяема целлюлоза. В этом полисахариде кислородный мостик связывает 1- и 4-й атомы углерода в соседних звеньях, такая связь называется а -1, 4-гликозидной:

Химический состав, аналогичный целлюлозе, имеют крахмал, состоящий из амилозы и аминопектина, гликоген и декстран. Отличие первых от целлюлозы состоит в разветвленности макромолекул, причем амилопектин и гликоген могут быть отнесены к сверхразветвленным природным полимерам, т.е. дендримерам нерегулярного строения. Точкой ветвления обычно является шестой атом углерода a-D-глюкопиранозного кольца, который связан гликозидной связью с боковой цепью. Отличие декстрана от целлюлозы состоит в природе гликозидных связей - наряду с а -1,4-, декстран содержит также а -1,3- и а -1,6-гликозидные связи, причем последние являются доминирующими.

Химический состав, отличный от целлюлозы, имеют хитин и хитозан, но они близки к ней по структуре. Отличие заключается в том, что при втором атоме углерода a -D-глюкопиранозных звеньев, связанных а -1,4-гликозидными связями, ОН-группа заменена группами -NНСН3 СОО в хитине и группой -NH2 в хитозане.

Целлюлоза содержится в коре и древесине деревьев, стеблях растений: хлопок содержит более 90 % целлюлозы, деревья хвойных пород - свыше 60 %, лиственных - около 40%. Прочность волокон целлюлозы обусловлена тем, что они образованы монокристаллами, в которых макромолекулы упакованы параллельно одна другой. Целлюлоза составляет структурную основу представителей не только растительного мира, но и некоторых бактерий.

В животном мире в качестве опорных, структурообразующих полимеров полисахариды «используются» лишь насекомыми и членистоногими. Наиболее часто для этих целей применяется хитин, который служит для построения так называемого внешнего скелета у крабов, раков, креветок. Из хитина деацетилированием получается хитозан, который, в отличие от нерастворимого хитина, растворим в водных растворах муравьиной, уксусной и соляной кислот. В связи с этим, а также благодаря комплексу ценных свойств, сочетающихся с биосовместимостью, хитозан имеет большие перспективы широкого практического применения в ближайшем будущем.

Крахмал относится к числу полисахаридов, выполняющих роль резервного пищевого вещества в растениях. Клубни, плоды, семена содержат до 70% крахмала. Запасаемым полисахаридом животных является гликоген, который содержится преимущественно в печени и мышцах.

Функцию запасаемого питательного продукта выполняет инулин, который содержится в спарже и артишоках, что придает им специфический вкус. Его мономерные звенья пятичленны, поскольку фруктоза относится к кетоам, в целом же этот полимер построен так же, как полимеры глюкозы.

Прочность стволов и стеблей растений, помимо скелета из целлюлозных волокон, определяется соединительной растительной тканью. Значительную ее часть в деревьях составляет лигнин - до 30 %. Его строение точно не установлено. Известно, что это относительно низкомолекулярный (М ~ 104 ) сверхразветвленный полимер, образованный в основном из остатков фенолов, замещенных в орто -положении группами -ОСН3 , в пара -положении группами -СН=СН-СН2 ОН. В настоящее время накоплено громадное количество лигнинов как отходов целлюлозно-гидролизной промышленности, но проблема их утилизации не решена. К опорным элементам растительной ткани относятся пектиновые вещества и, в частности пектин, находящийся в основном в стенках клеток. Его содержание в кожуре яблок и белой части кожуры цитрусовых доходит до 30%. Пектин относится к гетерополисахаридам, т.е. сополимерам. Его макромолекулы в основном построены из остатков D-галактуроновой кислоты и ее метилового эфира, связанных a -1,4-гликозидными связями:

Из пентоз значение имеют полимеры арабинозы и ксилозы, которые образуют полисахариды, называемые арабинами и ксиланами. Они, наряду с целлюлозой, определяют типичные свойства древесины.

Упомянутый выше пектин относится к гетерополисахаридам. Помимо него, известны гетерополисахариды, входящие в состав животного организма. Гиалуроновая кислота входит в состав стекловидного тела глаза, а также жидкости, обеспечивающей скольжение в суставах (она находится в суставных сумках). Другой важный полисахарид животных - хондроитинсульфат - содержится в ткани и хрящах. Оба полисахарида часто образуют в организме животных сложные комплексы с белками и липидами.

Белки. В животном мире в качестве опорного, структурообразующего полимера обычно выступают белки. Эти полимеры построены из 20 типов так называемых а-аминокислот общей формулы:


В табл. 1.2 представлены важнейшие аминокислоты, образующие белки. Остатки аминокислот связаны в макромолекулы белка пептидными связями, возникающими в результате реакции карбоксильных и аминогрупп. Ниже эта реакция приведена для двух аминокислот - глицина и аланина:

Из табл. 1.2 видно, что большинство аминокислот, из остатков которых построен белок, имеют достаточно простое строение и алифатический радикал. Реже встречаются аминокислоты, содержащие ароматические и насыщенные циклы. Практически все аминокислоты содержат атомы С, Н, О, N, и только цистеин содержит, наряду с ними, атом серы. Образование сульфидных мостиков играет важную роль в процессах структурообразования в белках. В результате соответствующей реакции, протекающей за счет сульфогидрильных групп цистеина, образуются меж- и внутримолекулярные «сшивки» макромолекул белка. Помимо карбоксильной и аминогрупп, аминокислоты белка могут содержать также гидроксильные группы, как, например в серине и треонине.

Значение белков в живой природе трудно переоценить. Это строительный материал живых организмов, биокатализаторы - ферменты, обеспечивающие протекание реакций в клетках, и энзимы, стимулирующие определенные биохимические реакции, т.е. обеспечивающие избирательность биокатализа. Наши мышцы, волосы, кожа состоят из волокнистых белков. Белок крови, входящий в состав гемоглобина, способствует усвоению кислорода воздуха, другой белок - инсулин - ответственен за расщепление сахара в организме и, следовательно, за его обеспечение энергией.

Таблица 1.2

Молекулярная масса белков колеблется в широких пределах. Так, инсулин - первый из белков, строение которого удалось установить Ф.Сэнгеру в 1953 г., содержит около 60 аминокислотных звеньев, а его молекулярная масса составляет лишь 12000. К настоящему времени идентифицировано несколько тысяч молекул белков, молекулярная масса некоторых из них достигает 106 и более.

Следует подчеркнуть, что многообразие форм жизни обусловлено невероятно большим числом изомерных макромолекул, которые могут быть получены из аминокислот 20 типов. Согласно расчету биохимика Р.Синджа, белок, содержащий 288 аминокислотных остатков, может содержать 10300 изомеров. Каждая из жизненно важных функций, например катализ биохимических реакций, выполняется белком определенного строения и только им. Классическим примером является белок гемоглобина. Изменение порядка чередования около 300 аминокислотных остатков, входящих в его макромолекулу, путем перестановки местами хотя бы пары из них, приводит к тяжелому заболеванию животных - серповидной анемии.

Нуклеиновые кислоты. В 1868 г. швейцарский ученый Фридрих Мишер выделил из ядер клеток фосфорсодержащее вещество, которое он назвал нуклеином. Позднее это и подобные ему вещества получили название нуклеиновых кислот. Их молекулярная масса может достигать 109 , но чаще колеблется в пределах 105 -106 . Исходными веществами, из которых построены нуклеотиды - звенья макромолекул нуклеиновых кислот, являются: сахар, фосфорная кислота, пуриновые и пиримидиновые основания. В одной группе кислот в качестве сахара выступает рибоза, в другой - дезоксирибоза:

В соответствии с природой сахара, входящего в их состав, нуклеиновые кислоты называются рибонуклеиновой и дезоксирибонуклеиновой кислотами. Общеупотребительными сокращениями являются РНК и ДНК. Нуклеиновые кислоты встречаются во всех живых организмах. Последние делятся на две группы:

прокариоты, к которым относятся одноклеточные, т.е. древние и существующие ныне бактерии, их единственная клетка не имеет ядра и содержит одну двухнитевую спираль ДНК;

эукариоты, которые включают животных, растения, грибы и простейшие, их клетки содержат ядра, в которых сконцентрирована ДНК, тогда как РНК находится как внутри, так и вне ядра.

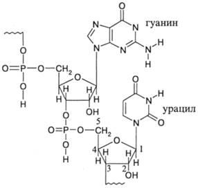
Как уже упоминалось выше, звенья нуклеиновых кислот, называемые нуклеотидами, содержат остатки фосфорной кислоты, сахара и оснований. Образование цепи из нуклеотидов происходит в результате катализируемой ферментами конденсации групп -ОН остатков сахара и фосфорной кислоты. В результате макромолекулы всех нуклеиновых кислот имеют цепи с регулярным чередованием остатков сахара и фосфорной кислоты, что схематически может быть представлено следующим образом:

Сахара относятся к группе пентоз (см. полисахариды в этом же разделе), основания - к рядам пиримидина и пурина. Упомянутые соединения представлены на схеме. Каждая из нуклеиновых кислот построена из четырех типов нуклеотидов, которые отличаются химической природой основания. ДНК содержит два основания пуринового ряда - аденин и гуанин и два основания пиримидинового ряда - цитозин и тимин. В РНК пуриновые основания те же, пиримидиновые основания несколько отличаются, это цитозин и урацил. Все эти основания присутствуют на приведенных далее схемах, на первой из них изображен фрагмент макромолекулы РНК:


Из этого примера видно, что основная цепь нуклеиновых кислот образуется в результате конденсации гидроксильных групп, связанных с 3'- и 5'-атомами углерода сахара рибозы в РНК (представлено на схеме) и дезоксирибозы в ДНК - с группами ОН фосфорной кислоты. Основание во всех случаях присоединено к 1'-атому сахара. Одна из групп ОН фосфорной кислоты не участвует в реакции поликонденсации. Для дважды этерифицированной фосфорной группы найдено pK = 1,5, следовательно, нуклеиновые кислоты, содержащие несвязанные P-OH-группы, могут быть отнесены к достаточно сильным кислотам.

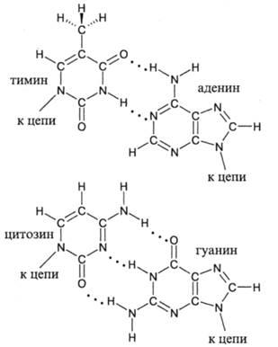
В 1953 г. Уотсон и Крик установили, что ДНК образует вторичную структуру в виде двойной спирали. Такая спираль образуется при скручивании двух макромолекул ДНК вокруг общей оси и фиксируется водородными связями между основаниями, связанными с разными цепями. Всегда попарно связываются пуриновые и пиримидиновые основания, поскольку только при этом условии сечение двойной спирали остается неизменным по длине. Исходя из принципа достижения максимальной энергии водородных связей, всегда оказываются попарно связанными тимин с аденином и цитозин с гуанином. Из схемы видно, что только в этой комбинации образуется максимальное количество водородных связей из числа возможных, и их энергия близка к максимальной, поскольку три атома, связанные водородной связью, во всех случаях лежат на линии, близкой к прямой:

Нуклеиновые кислоты играют наиболее ответственную роль в процессах жизнедеятельности. С их помощью решаются две важнейшие задачи: хранения и передачи наследственной информации и матричный синтез макромолекул ДНК, РНК и белка. Наследственная информация зашифрована в макромолекулах ДНК в виде последовательности расположения четырех типов нуклеотидов, содержащих четыре разных основания. Такие последовательности называются генами. Они расположены в виде «отдельных островов» вдоль всей цепи ДНК, их суммарная длина составляет 3-5 % от общей длины макромолекулы.

К важнейшим процессам матричного синтеза относятся:

репликация, в ходе которой двойная спираль «расплетается» (сразу во многих местах) и на каждой материнской ДНК синтезируется дочерняя, комплементарная первой, таким образом, из исходной спиралиобразуются две идентичные ей; одна из них переносит в новую клетку, образующуюся при делении материнской, наследственную информацию;

транскрипция или синтез на молекулах ДНК так называемой информационной м -РНК, при котором генетическая информация, заложенная в ДНК, «сбрасывается» на м -РНК и кодируется там в виде последовательности расположения нуклеотидов;

трансляция или синтез белка на молекулах м -РНК, в данном случае используется трехбуквенный код, т.е. последовательность из трех нуклеотидов матричной м -РНК определяет тип очередной аминокислоты из 20 возможных, которая должна присоединиться к растущей полипептидной цепи белка.

Все перечисленные реакции катализируются ферментами - белками, а инициирование многих процессов осуществляется с помощью РНК.

Природные неорганические полимеры. Природные неорганические полимеры составляют основу земной коры, толщина которой достигает 15 км (литосфера). Литосфера образовалась и образуется при выходе на поверхность Земли расплавленной магмы, в которой химические реакции протекают при высокой температуре и давлении. Основной горной породой являются базальты. В табл. 1.3 приведены данные по составу базальтовых горных пород, полученных из проб, взятых со дна океанов Земли и лунных морей. Видно, что состав базальтовых пород Земли и ее спутника весьма близок, он состоит в основном из оксида кремния и в значительно меньшей степени из оксидов железа и алюминия. Оксид кремния является типичным полимерным кристаллическим телом, т.е. трехмерным полимером. Наряду с этим, для него известны двухмерные (подобные графиту) и цепные полимеры (рис. 1.1).

Основной структурной единицей всех полисиликатов является тетраэдр SiO4, в вершинах которого расположены атомы кислорода, в центре - атом кремния. Структура полимерного кристаллического тела с регулярной трехмерной структурой из SiO2 аналогична структуре алмаза - трехмерного полимера углерода. В обоих случаях регулярная трехмерная структура может быть получена при совмещении граней структурных единиц - тетраэдров. Подобный полимер встречается в природе в виде прозрачного минерала кварца, известного также как горный хрусталь. Полимерное тело с регулярной трехмерной структурой под названием корунд образует также одна из модификаций Al2 O3 . Окрашенные формы (за счет примесей) кварца и корунда встречаются в природе в виде драгоценных камней. К наиболее известным из них относятся аметист, топаз, опал (кварц), рубин, сапфир (корунд).

Таблица 1.3 Содержание различных оксидов в базальтовых породах, мас. %

Оксид Лунный грунт Земная кора

SiO2

Al2 O3

FeO

TiO2

MgO

CaO

41-46

7-14

18-22

1-12

7-16

8-12

44-53

13-19

7-14

0,9-3,3

4-10

8-12

На рис. 1.1 представлены также фрагменты макромолекул линейных и двухмерно сшитых линейных двухтяжевых полисиликатов. Такие структуры могут быть получены при сочетании тетраэдров SiO2 вершинами, при этом, ионам кислорода должны соответствовать свободные вершины. Слоистые структуры SiO4 образуются при сочетании тетраэдров ребрами, при этом один атом кислорода должен оставаться свободным. Линейные макромолекулы SiO2 входят в состав минералов пироксен, энстатит, диопсид, сподумен, амфиболит, тремолит и др. Последние составляют основу природного волокнистого неорганического материала, известного как асбест. В состав многих минералов входят слоистые полимерные структуры SiO2 , например в состав талька и каолинита (белой глины), где они чередуются со слоями полимерных гидроксида магния - в первом случае и гидроксида алюминия - во втором.

Помимо полисиликатов в природе широко распространены полимеры алюмосиликатов - линейные, двухмерно и трехмерно сшитые. Среди последних наиболее известны цеолиты с общей формулой MO. Al2 O3 . x SiO2 . y H2 O, где М - металл I или II групп. Цеолиты являются прекрасными сорбентами, их удельная поверхность выше, чем угля. Благодаря этому цеолиты широко используются на практике в качестве так называемых молекулярных сит.


Литература

1. Оудиан Дж. Основы химии полимеров. М.: Мир, 1974. 614 с.

2. Odian G. Principles of Polymerization. Wiley-Interscience: NewYork; 1991.

3. Киреев В.В. Высокомолекулярные соединения. М.: Высшая школа, 1992. 512 с.

4.Тенфорд Ч. Физическая химия полимеров. М.: Химия, 1965. 772 с.

5. Рафиков С.Р., Будтов В.П., Монаков Ю.Б. Введение в физико-химию растворов полимеров. М.: Наука, 1978. 328 с.

6. Нарисава И. Прочность полимерных материалов. М.: Химия, 1987. 400 с.

7. Грасси Н., Скотт Дж. Деструкция и стабилизация полимеров. М.: Мир, 1988. 446 с.

Оценить/Добавить комментарий
Имя
Оценка
Комментарии:
Хватит париться. На сайте FAST-REFERAT.RU вам сделают любой реферат, курсовую или дипломную. Сам пользуюсь, и вам советую!
Никита09:35:33 03 ноября 2021
.
.09:35:30 03 ноября 2021
.
.09:35:28 03 ноября 2021
.
.09:35:26 03 ноября 2021
.
.09:35:26 03 ноября 2021

Смотреть все комментарии (20)
Работы, похожие на Реферат: Особенности полимерного состояния вещества

Назад
Меню
Главная
Рефераты
Благодарности
Опрос
Станете ли вы заказывать работу за деньги, если не найдете ее в Интернете?

Да, в любом случае.
Да, но только в случае крайней необходимости.
Возможно, в зависимости от цены.
Нет, напишу его сам.
Нет, забью.



Результаты(288279)
Комментарии (4159)
Copyright © 2005-2021 HEKIMA.RU [email protected] реклама на сайте