Банк рефератов содержит более 364 тысяч рефератов, курсовых и дипломных работ, шпаргалок и докладов по различным дисциплинам: истории, психологии, экономике, менеджменту, философии, праву, экологии. А также изложения, сочинения по литературе, отчеты по практике, топики по английскому.
Полнотекстовый поиск
Всего работ:
364139
Теги названий
Разделы
Авиация и космонавтика (304)
Административное право (123)
Арбитражный процесс (23)
Архитектура (113)
Астрология (4)
Астрономия (4814)
Банковское дело (5227)
Безопасность жизнедеятельности (2616)
Биографии (3423)
Биология (4214)
Биология и химия (1518)
Биржевое дело (68)
Ботаника и сельское хоз-во (2836)
Бухгалтерский учет и аудит (8269)
Валютные отношения (50)
Ветеринария (50)
Военная кафедра (762)
ГДЗ (2)
География (5275)
Геодезия (30)
Геология (1222)
Геополитика (43)
Государство и право (20403)
Гражданское право и процесс (465)
Делопроизводство (19)
Деньги и кредит (108)
ЕГЭ (173)
Естествознание (96)
Журналистика (899)
ЗНО (54)
Зоология (34)
Издательское дело и полиграфия (476)
Инвестиции (106)
Иностранный язык (62791)
Информатика (3562)
Информатика, программирование (6444)
Исторические личности (2165)
История (21319)
История техники (766)
Кибернетика (64)
Коммуникации и связь (3145)
Компьютерные науки (60)
Косметология (17)
Краеведение и этнография (588)
Краткое содержание произведений (1000)
Криминалистика (106)
Криминология (48)
Криптология (3)
Кулинария (1167)
Культура и искусство (8485)
Культурология (537)
Литература : зарубежная (2044)
Литература и русский язык (11657)
Логика (532)
Логистика (21)
Маркетинг (7985)
Математика (3721)
Медицина, здоровье (10549)
Медицинские науки (88)
Международное публичное право (58)
Международное частное право (36)
Международные отношения (2257)
Менеджмент (12491)
Металлургия (91)
Москвоведение (797)
Музыка (1338)
Муниципальное право (24)
Налоги, налогообложение (214)
Наука и техника (1141)
Начертательная геометрия (3)
Оккультизм и уфология (8)
Остальные рефераты (21692)
Педагогика (7850)
Политология (3801)
Право (682)
Право, юриспруденция (2881)
Предпринимательство (475)
Прикладные науки (1)
Промышленность, производство (7100)
Психология (8692)
психология, педагогика (4121)
Радиоэлектроника (443)
Реклама (952)
Религия и мифология (2967)
Риторика (23)
Сексология (748)
Социология (4876)
Статистика (95)
Страхование (107)
Строительные науки (7)
Строительство (2004)
Схемотехника (15)
Таможенная система (663)
Теория государства и права (240)
Теория организации (39)
Теплотехника (25)
Технология (624)
Товароведение (16)
Транспорт (2652)
Трудовое право (136)
Туризм (90)
Уголовное право и процесс (406)
Управление (95)
Управленческие науки (24)
Физика (3462)
Физкультура и спорт (4482)
Философия (7216)
Финансовые науки (4592)
Финансы (5386)
Фотография (3)
Химия (2244)
Хозяйственное право (23)
Цифровые устройства (29)
Экологическое право (35)
Экология (4517)
Экономика (20644)
Экономико-математическое моделирование (666)
Экономическая география (119)
Экономическая теория (2573)
Этика (889)
Юриспруденция (288)
Языковедение (148)
Языкознание, филология (1140)

Курсовая работа: Цифровой согласованный обнаружитель сигналов

Название: Цифровой согласованный обнаружитель сигналов
Раздел: Рефераты по коммуникации и связи
Тип: курсовая работа Добавлен 07:46:34 28 апреля 2011 Похожие работы
Просмотров: 1890 Комментариев: 22 Оценило: 5 человек Средний балл: 4.6 Оценка: неизвестно     Скачать

СОДЕРЖАНИЕ

Введение

1 Анализ ТЗ

2 Линейно частотно-манипулированные сигналы

3 Согласованный фильтр

4 Моделирование

4.1 Создание ЛЧМ–сигнала и пачки состоящей из пяти импульсов

4.2 Создание согласованного фильтра и его импульсной характеристики

4.3 Прохождение через согласованный фильтр

4.4 Создание накопителя и прохождение через него

4.5 Создание детектора и прохождение через него

4.6 Создание порогового устройства и анализ полученного результата

5 Функциональная схема цифрового согласованного обнаружителя сигналов

Заключение

Список литературы


ВВЕДЕНИЕ

Основным назначением любого приемника является выделение (обнаружение) полезного сигнала или его параметров из действующей на входе приемника аддитивной смеси сигнала и помехи (шума). Среди прочих задач можно выделить задачу обнаружения полезного сигнала, она состоит в том, чтобы определить, имеется ли в действующем на входе приемника колебании полезный сигнал или оно образовано только помехой (шумом). Приемник в результате решения этой задачи должен дать ответ типа “да” или “нет”, т.е. имеется ли полезный сигнал или нет.

Обнаружение, прием и обработка сигналов производится по определенным правилам, а оптимальная решающая схема построения приемного устройства, работающего в условиях различных помех, находится методом теории статистических решений, при заданном критерии качества. Приемник с оконечными устройствами, работающими по определенным правилам, будет выдавать различные решения, одни из которых будут верными (о наличии сигнала в анализируемой смеси), а другие ошибочными.

Для решения задач обнаружения строят оптимальные приемники, в состав которых входят линейные фильтры, а именно согласованные. Выбор критерия оптимальности определяется решаемой задачей.

В данной курсовой работе входными сигналами является пачка, состоящая из линейных частотно – манипулированных (ЛЧМ) сигналов с заданными значением частоты девиации.


1 Анализ технического задания

Согласно заданию, необходимо спроектировать цифровой согласованный обнаружитель сигналов для пачки, состоящей из пяти ЛЧМ – импульсов с заданным значением частоты девиации, а именно девиация равна 1 МГц, а частота входного сигнала 4 МГц, тогда по теореме Котельникова (частота дискретизации должна быть как минимум в 2 раза больше максимальной частоты сигнала) возьмем частоту дискретизации равной 10 МГц.

Необходимо организовать согласованный прием каждого импульса, накопление, для этого используем накопитель, и детектирование сжатых сигналов, для этого используем детектор, состоящий из фильтра низких частот и устройства взятия модуля . По заданию должен осуществляться когерентный прием, то есть он происходит при следующих условиях:

· передаваемые сигналы полностью известны

· канал связи имеет известные параметры

· помеха носит аддитивный характер

· синхронизация сигналов является идеальной

Согласно этим условиям и осуществляется когерентный прием.

Так как параметры ЛЧМ - сигнала должны быть известны, то примем изначально, что фаза равна нулю.

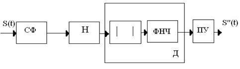
Структуру обнаружителя можно определить следующим образом:

Рисунок 1- Структурная схема цифрового согласованного обнаружителя сигналов


2 Линейные частотно – манипулированные сигналы

Подобный сигнал изображен на рисунке 2,а, а закон изменения частоты заполнения импульса – на рисунке 2,б.

Рисунок 2 – ЛЧМ – импульс (а) и

изменение частоты его заполнения(б).

Мгновенную частоту заполнения можно определить выражением:

(1)

где (2)

есть скорость линейного изменения частоты внутри импульса. Тогда мгновенное значение колебания, представленного на рисунке 2, а, можно записать в виде:

, (3)

Произведение полной девиации частоты на длительность импульса

(4)

является основным параметром ЛЧМ – сигнала.[1]


3 Согласованный фильтр

Оптимальный по критерию максимума отношения:

, (5)

где - возможный максимум (пика) сигнал y(nT);

T – период дискретизации;

- среднеквадратичное (эффективное) значение шума линейный фильтр называется согласованным (СФ) с сигналом.

Согласованный фильтр, являясь линейным, полностью описывается импульсной hСФ(nT) и частотной HСФ(ejwt) характеристиками, которые связаны между собой преобразованием Фурье:

(6)

Импульсная характеристика СФ является «зеркальным отражением» согласованного с ним сигнала:

(7)

Соответственно амлитудо – частотная характеристика (АЧХ) определится как модуль частотной:

(8)

а фазочастотная характеристика(ФЧХ) как аргумент частотной. [2]


4 Моделирование

Моделирование будем выполнять в программной среде MATLAB 7.0. Для начала необходимо создать один ЛЧМ - сигнал, а затем сформировать из пяти таких импульсов пачку, пропустить через СФ, подать на накопитель для формирования сжатого сигнала, после чего детектировать с помощью детектора. Затеи отправить на пороговое устройство, чтобы определить наличие полезного сигнала и дать решение о том, сигнал был или нет. Рассмотрим каждый из этих этапов более подробно.

4.1 Создание ЛЧМ импульса

Исходными данными являются частота входного сигнала f0= 4МГц, девиация равна 1 МГц, это значит, что частота линейно изменяется от 3 МГц до 5 МГц. Длительность импульса равна 50 мкс.

Для того чтобы построить ЛЧМ – импульс, необходимо определить и построить закон изменения частоты. В результате получаем , изобразим его:


Рисунок 3 – Закон изменения частоты заполнения

Построим сам импульс в соответствии с данным законом изменения частоты заполнения.

Рисунок 4 – ЛЧМ – импульс


Теперь сформируем пачку из пяти таких импульсов периодом следования Т=500 мкс и добавим в канал аддитивный шум, так как он необходим для когерентного приема. Получаем:

Рисунок 5 – Изображение шума

Рисунок 6 – ЛЧМ – импульс с шумом

Рисунок 7 – Пачка из пяти ЛЧМ – импульсов с шумом

Как видно из рисунка 5, амплитуда шума больше амплитуды сигнала, поэтому отношение С/Ш в данном случае равно 0.0683.

4.2 Создание согласованного фильтра и его импульсной характеристики

При синтезе исходим из того, что импульсная характеристика согласованного фильтра (СФ) должна представлять собой “зеркальную” копию выделяемого сигнала с обращенным во времени порядком следования отдельных позиций. Получаем:


Рисунок 8 – Изображение импульсной характеристики СФ без шума

Рисунок 9 – Изображение импульсной характеристики СФ с шумом

Все дальнейшие операции, то есть накопление и детектирование, будем производить при наличии аддитивного шума, изображенного на рисунке 5.


4.3 Прохождение через согласованный фильтр

Как было сказано выше, в канале присутствует шум.

Рисунок 10 – Реакция СФ на один ЛЧМ – импульс

4.4 Создание накопителя и прохождение через него

обнаружитель сигнал частотный фильтр

Накопитель создадим с помощью блоков повторения через период Т=500мкс, таким образом, их будет четыре, так как необходимо получить пачку из пяти импульсов, и с помощью сумматора, который суммирует их и получит сжатый сигнал . После всех этих операций получаем:


Рисунок 11 – Сигнал на выходе накопителя

4.5 Создание детектора и прохождение через него

Как было показано в структурной схеме, детектор состоит из устройства взятия модуля и ФНЧ. Для подавления лепестков сжатого сигнала используем метод взвешивания импульсной характеристики. Новая импульсная характеристика формируется по правилу:

h' (nT) = W (nt) * h (nT)

где W (nT) - весовая функция или "сглаживающее окно".

Находят применение различные типы окон, например "окно Хэмминга”:

W=0.42+0.5*cos(2*pi*n/N)+0.08*cos(4*pi*n/N); с помощью этого окна «взвесим» импульсную характеристику ФНЧ. На выходе детектора получаем следующий сигнал:


Рисунок 12 – Сигнал на выходе детектора

4.6 Создание порогового устройства и анализ полученного результата

Значение порога выбираем экспериментально, возьмем значение порога равным пяти, сравним возможный максимум (пик) полученного сигнала с этим порогом, при этом примем, что если полезный сигнал присутствует, то на выходе порогового устройства выдается прямоугольный импульс с амплитудой 1 на заданном интервале времени. Получаем следующий результат.


Рисунок 13 – Сигнал на выходе порогового устройства

По рисунку 13, определяем, что в канале в интервале от 48мкс до 52 мкс присутствует полезный сигнал.

Здесь продемонстрирован прием лишь при одном значении С/Ш, использовали это значение, так как оно показывает наиболее реальную ситуацию, когда шум больше сигнала. Таким образом, можно сделать вывод, сто чем больше отношения С/Ш, тем лучше будет прием сигналов.


5 Функциональная схема цифрового согласованного обнаружителя сигналов


Порог

«1»

Рисунок 14 - Функциональная схема цифрового согласованного обнаружителя сигналов


Заключение

В ходе выполнения данной курсовой работы был спроектирован цифровой согласованный обнаружитель сигналов, с помощью согласованного фильтра, накопителя, состоящего из блоков повторения через период и сумматора, детектора, состоящего из устройства взятия модуля и ФНЧ, и с помощью порогового устройства.

Была сформирована пачка из пяти ЛЧМ – импульсов , для этих импульсов были заданны длительность и периодом повторения, а также частота входного сигнала и девиация, была получена импульсная характеристика используемого согласованного фильтра.

Согласно заданию было необходимо организовать согласованный прием каждого импульса, что и было сделано с помощью среды моделирования MATLAB.


Приложение 1 : Текст написанной программы

clc;

clear all;

Fd=10; % Частота дискретизации, МГц

f0=4; % Частота сигнала, МГц

t=0:1/Fd:2500; % время в микросекундах

T=1/Fd; % период дискретизации

f=0.04*t+3;%построим закон изменения частоты

figure (1);

plot (t(1:500),f(1:500));

grid on;

xlabel('time,microsec');

ylabel ('frequency,MegaHz');

title('Zakon izmenenyia');

% создание шума

Noise=randn(1,25001);

figure (2); % вывод на экран изображение шума

plot (t(1:25000),Noise (1:25000));

xlabel ('Time, microsec');

ylabel ('Amplitude, V');

grid on;

title ('Noise');

% % создание ЛЧМ-импульса

S=cos(2*pi*(0.04*t+3).*t)+ Noise;

% S=cos(2*pi*(0.04*t+3).*t)

figure (3);

plot(t(1:500),S(1:500));

grid on;

xlabel('time, microsec');

ylabel ('amplitude, V');

title('Signal')

% создаем соглаcованный фильтр

for q=1:1:500

h_SF(q)=S(501-q);

end

figure (4);

plot (t(1:500),h_SF(1:500));

grid on;

xlabel('frequency,MegaHz');

ylabel ('amplitude, V');

title('Impulse haracneristic')

% реакция согласованного фильтра на один ЛЧМ-импульс

ReactionSF1=filter (h_SF,1,S)./(0.5*50*10);

figure (5); % вывод на экран реакции

plot (t(1:1000),ReactionSF1(1:1000));

grid on;

xlabel('time, microsec');

ylabel ('amplitude, V');

title('Reaction for 1 imp');

% создание пачки из 5 ЛЧМ-импульсов

P=zeros(1,25000);

for i=1:5000:25000

P(i+1:i+500) = S(1:500);

end

figure(6);

plot(t(1:25000),P(1:25000));

grid on;

xlabel('time, microsec');

ylabel ('amplitude, V');

% Вычисляем уровень сигнал\шум

Noise_v_kv = power (Noise,2);

z=trapz(t,Noise_v_kv); % вычисление среднеквадратичного значения шума

P_N=max(abs(P))./sqrt(z);

disp (P_N);

% формируем накопитель

for q=1:1:500;

for i=1:5000:25000;

h_1(q) = P((501-q)+i);

end

end

ReactionSF = filter(h_1,1,P)./(0.5*50*10);

figure (7);

plot(t(1:25000),ReactionSF(1:25000));

grid on;

xlabel ('time, microsec');

ylabel ('amplitude, V');

title('Reaction for 5 imp');

for i = 5000:5000:25000

Reaction=ReactionSF(1:1000)+ReactionSF(i+1:i+1000);

figure (8);

plot(t(1:1000),Reaction(1:1000));

grid on;

xlabel ('time, microsec');

ylabel ('amplitude');

title('On exit of nakopitel')

%создание детектора

reaction=abs(Reaction);

figure (9);

plot(t(1:1000),reaction(1:1000));

%создание ФНЧ, входящего в состав детектора

N =10;

f1=0.2; f2=0.3;

f0=(f1+f2)/2;

d1=3; d2=50;

n = -(N-1)/2:1:(N-1)/2; %отсчеты

N0=(f2-f1)/2;

Hn =sin(f0*2*pi*n)./(n*pi); %задание ИХ

[H,w]=freqz(Hn,1,1024);% АЧХ фильтра

W1=HAMMING(N)'; % применяем окно в качестве взвешивающей функции

[Hw1,ww1]=freqz(W1,1,1024); % часть характеристики окна

h1=Hn.*W1;

[H1,w1]=freqz(h1,1,1024);

F_h=filter(h1,1,reaction);

figure(10);

plot(t(1:1000),F_h(1:1000));

grid on;

xlabel ('Time, microsec')

ylabel ('Amplitude');

title('On exit of detector');

% пороговое устройство

priem=zeros (1, 1000);

if max (reaction)> 2; % порог

priem(480:520) = 1;% max (vuhod_modul);

disp('сигнал был');% вывод на экран

end

figure (11);

plot(t(1:1000),priem(1:1000));

grid on;

xlabel ('Time, microsec');

ylabel ('Amplitude, V');

title ('Priem');

Оценить/Добавить комментарий
Имя
Оценка
Комментарии:
Хватит париться. На сайте FAST-REFERAT.RU вам сделают любой реферат, курсовую или дипломную. Сам пользуюсь, и вам советую!
Никита08:44:54 03 ноября 2021
.
.08:44:52 03 ноября 2021
.
.08:44:49 03 ноября 2021
.
.08:44:49 03 ноября 2021
.
.08:44:47 03 ноября 2021

Смотреть все комментарии (22)
Работы, похожие на Курсовая работа: Цифровой согласованный обнаружитель сигналов

Назад
Меню
Главная
Рефераты
Благодарности
Опрос
Станете ли вы заказывать работу за деньги, если не найдете ее в Интернете?

Да, в любом случае.
Да, но только в случае крайней необходимости.
Возможно, в зависимости от цены.
Нет, напишу его сам.
Нет, забью.



Результаты(290019)
Комментарии (4186)
Copyright © 2005-2021 HEKIMA.RU [email protected] реклама на сайте