Содержание
Введение
Задание 1
Представить с помощью кругов Эйлера множественное выражение
Используя законы и свойства алгебры множеств, упростить заданное выражение
Задание 2
Заданы множества кортежей
Показать, что эти множества представляют собой соответствия между множествами N1
и N2
, если N1
= N2
= . Дать полную характеристику этих соответствий
Задание 3
Частично упорядоченное множество М задано множеством упорядоченных пар
Построить диаграмму и определить, является ли данное множество решеткой. Если заданное множество является решеткой, то определить, является ли решетка дедекиндовой , дистрибутивной …
Задание 4
Является ли полной система булевых функций  ? Если система функций полная ,то выписать все возможные базисы
Задание 5
Минимизировать булеву функцию по методу Квайна – Мак-Класки
Задание 6
Для неориентированного графа , у которого  , 
а) вычислить числа ;
б) определить хроматическое число …
Задание 7
Для заданной сети :
а) найти величину минимального пути и сам путь от вершины  до вершины по алгоритму Дейкстры ;
б) используя алгоритм Форда-Фалкерсона, определить максимальный поток ( v1
– вход , v6
– выход сети ) и указать минимальный разрез, отделяющий v1
от v6
, если задана матрица весов (длин, пропускных способностей) Р…
Литература
Введение
Проблемы, связанные с понятиями бесконечности, дискретности и непрерывности, рассматривались в математике, как и в философии, древнегреческими мыслителями, начиная с 6 века до нашей эры. Под влиянием сочинений Аристотеля они широко обсуждались средневековыми учеными и философами в странах Европы и Азии. Через всю историю математики проходит идея преодоления между актуальной и потенциальной бесконечностью, с одной стороны, между дискретным характером числа и непрерывной природой геометрических величин – с другой. Впервые проблема математической бесконечности и связанных с нею понятий была широко поставлена в наиболее общем виде в теории множеств, основы которой были разработаны в последней четверти 19 века Георгом Кантором.
Цель контрольной работы – ознакомится с основными понятиями и методами решения по дискретной математике, уметь применить полученные знания при решении практического задания.
Задание 1
Представить с помощью кругов Эйлера множественное выражение
.
Используя законы и свойства алгебры множеств, упростить заданное выражение.
Решение:
Используя круги Эйлера и, учитывая, что операция пересечения выполняется раньше операции объединения, получим следующие рисунки:
  
  
Объединяя заштрихованные области, получим искомое множество:

Упростим заданное выражение:




 =

 .
Задание 2
Заданы множества кортежей:



.
Показать, что эти множества представляют собой соответствия между множествами N1
и N2
, если N1
= N2
= . Дать полную характеристику этих соответствий
Решение:
Найдем декартово произведение:

Видно, что заданные множества являются подмножествами этого пря-мого произведения. Следовательно, данные множества есть соответствия.
а) .

Область определения: . Следовательно, соответствие является частично определенным.
Область значений: . Следовательно, соответствие является сюръективным.
Образом элемента являются два элемента . Значит соответствие не является функциональным. Из этого следует, что соответствие не является функцией, отображением.
б) .

Область определения: . Следовательно, соответствие является частично определенным.
Область значений: . Следовательно, соответствие не является сюръективным.
Образом любого элемента из является единственный элемент из . Следовательно, соответствие является функциональным, функци-ей. Соответствие является частично определенным. Это означает, что функция является частично определенной и не является отображением.
в) .

Область определения: .Следовательно, соответствие всюду определено.
Область значений: . Следовательно, соответствие не является сюръективным.
Образом любого элемента из является единственный элемент из . Следовательно, соответствие является функциональным, функцией. Так как соответствие всюду определено, то имеем полностью определенную функцию, т.е. имеем отображение N1
в N2
.
г) .

Область определения: . Значит, соответствие полностью определено.
Область значений: . Значит, соответствие сюръективно.
Образом любого элемента из N1
является единственный элемент из N2
. Следовательно, соответствие является функциональным, функцией.
Так как соответствие всюду определено, сюръективно, функционально и прообразом любого элемента из является единственный элемент из , то соответствие является взаимно однозначным.
Так как функция полностью определена и соответствие сюръективно, то имеем отображение N1
на N2
.
Так как для любых двух различных элементов из N1
их образы из N2
также различны, то отображение является инъективным.
Так как отображение является одновременно сюръективным и инъективным, то имеем биективное отображение (взаимно однозначное отображение).
Задание 3
Частично упорядоченное множество М задано множеством упорядоченных пар
.
Построить диаграмму и определить, является ли данное множество решеткой. Если заданное множество является решеткой, то определить, является ли решетка дедекиндовой , дистрибутивной.
Решение:
Построим диаграмму:

Построим таблицу:
Пары
элементов
|
Н.Г. |
В.Г. |
Н.Н.Г. |
Н.В.Г. |
| 1,2 |
1 |
2,5 |
1 |
2 |
| 1,3 |
1 |
3,4,5 |
1 |
3 |
| 1,4 |
1 |
4,5 |
1 |
4 |
| 1,5 |
1 |
5 |
1 |
5 |
| 1,6 |
1 |
6,2,5 |
1 |
6 |
| 2,3 |
1 |
5 |
1 |
5 |
| 2,4 |
1 |
5 |
1 |
5 |
| 2,5 |
2,6,1 |
5 |
2 |
5 |
| 2,6 |
6,1 |
2,5 |
6 |
2 |
| 3,4 |
3,1 |
4,5 |
3 |
4 |
| 3,5 |
3,1 |
5 |
3 |
5 |
| 3,6 |
1 |
5 |
1 |
5 |
| 4,5 |
4,3,1 |
5 |
4 |
5 |
| 4,6 |
1 |
5 |
1 |
5 |
| 5,6 |
6,1 |
5 |
6 |
5 |
Так как любая пара элементов имеет единственную наибольшую нижнюю грань и единственную наименьшую верхнюю грань, то заданное частично упорядоченное множество М является решеткой.
Решетка М является дедекиндовой, когда выполняется равенство:

для таких , что .
Решетка М не является дедекиндовой, т.к. указанное равенство не вы-полняется, например, для элементов 2, 3, 4:

Одним из условий дистрибутивности решетки является ее дедекиндо-вость. Так как решетка М не является дедекиндовой, то она не является дистрибутивной решеткой.
Задание 4
Является ли полной система булевых функций  ? Если система функций полная ,то выписать все возможные базисы.
Решение:
Рассмотрим функцию .
1. Принадлежность функции к классу :
.
Следовательно, .
2. Принадлежность функции к классу :
.
Следовательно, .
3. Принадлежность функции к классу .
Предположим, что функция линейная и, следовательно, представима в виде полинома Жегалкина первой степени:
.
Найдем коэффициенты .
Фиксируем набор 000:
,
,

Следовательно, .
Фиксируем набор 100:
,
,

Следовательно, .
Фиксируем набор 010:
,
,
.
Следовательно, .
Фиксируем набор 001:
,
,
, .
Следовательно, функция (по нашему предположению) может быть представлена полиномом вида:
.
Если функция линейная, то на всех остальных наборах ее значение должно равняться 1. Но на наборе 111 . Значит, функция не является линейной, т.е. .
4. Принадлежность функции к классу .
Функция самодвойственная, если на любой паре противоположных наборов (наборов, сумма десятичных эквивалентов которых равна , где п – количество переменных функции) функция принимает противоположные значения.
Вычисляем . Вычисляем значения функции на оставшихся наборах:
 
Строим таблицу:
(000)
0
|
(001)
1
|
(010)
2
|
(011)
3
|
(100)
4
|
(101)
5
|
(110)
6
|
(111)
7
|
| 1 |
1 |
1 |
1 |
1 |
1 |
1 |
0 |
На наборах 1 и 6, 2 и 5, 3 и 4 функция принимает одинаковые значения. Следовательно, .
5. Принадлежность функции к классу .
Из таблицы видно: 000 < 111 , но . Следовательно, .
Рассмотрим функцию .
1. Принадлежность функции к классу :
.
Следовательно, .
2. Принадлежность функции к классу :
.
Следовательно, .
3. Принадлежность функции к классу .
Предполагаем, что
.
Фиксируем набор 000:
,
.
Фиксируем набор 100:
,
.
Фиксируем набор 010:
,
.
Фиксируем набор 001:
,
.
Окончательно получаем
.
Это равенство не соблюдается на наборе 011:
,
.
Следовательно, .
4. Принадлежность функции к классу .
Вычислим значения функции на оставшихся наборах:

Строим таблицу :
(000)
0
|
(001)
1
|
(010)
2
|
(011)
3
|
(100)
4
|
(101)
5
|
(110)
6
|
(111)
7
|
| 1 |
1 |
1 |
0 |
0 |
0 |
0 |
0 |
Из таблицы видно, что на наборах 3 и 4 функция принимает одинаковые значения. Следовательно, .
5. Принадлежность функции к классу .
Из таблицы видно, что 111 > 000 , но . Следовательно, .
Строим критериальную таблицу:
| К0 |
К1 |
КЛ |
КС |
КМ |
| f1 |
- |
- |
- |
- |
- |
| f2 |
- |
- |
- |
- |
- |
В таблице в каждом столбце стоят минусы. Следовательно, система булевых функций

является полной .
Найдем все возможные базисы. По критериальной таблице составим КНФ :
.
Приведем КНФ к ДНФ :
.
По полученной ДНФ выписываем искомые базисы:
 .
Задание 5
Минимизировать булеву функцию по методу Квайна – Мак-Класки.

Решение:
1 этап. Определение сокращенной ДНФ.
По десятичным эквивалентам запишем 0-кубы :

Выполним разбиение на подгруппы:
.
Строим -кубы, сравнивая соседние группы (значок (*) указывает на участие данной импликанты в склеивании):

Выполняем разбиение всех -кубов в зависимости от расположения независимой переменной Х :
.
Выполняем сравнение кубов внутри каждой подгруппы с целью построения -кубов (значок (*) указывает на участие данной импликанты в склеивании):
.
Выполняем сравнение кубов внутри каждой подгруппы с целью построения -кубов (значок (*) указывает на участие данной импликанты в склеивании):
или
.
Так как они одинаковы, то .
Запишем сокращенную ДНФ, в которую должны быть включены им-пликанта из К 3
и импликанты, не участвовавшие в склеивании (в нашем случае таких импликант нет) :
.
2 этап. Определение тупиковой ДНФ.
Так как все импликанты участвовали в склеивании, и сокращенная ДНФ состоит из одной простой импликанты, то строить таблицу покрытий нет необходимости, т.е.
.
Задание 6
Для неориентированного графа , у которого  , 
а) вычислить числа ;
б) определить хроматическое число .
Решение:
Построим граф:

а) Вычислим числа .
1) :
Используя алгоритм выделения пустых подграфов, построим дерево:

Согласно определению :
.
2) :
Используя алгоритм выделения полных подграфов, построим дерево:

Здесь - полные подграфы. Видно, что мощность носителей всех подграфов равна трем, т.е.
.
3) :

Построим модифицированную матрицу смежности заданного графа G :
1 2 3 4 5 6
 .
Находим минимальное число строк, покрывающих все столбцы модифи-цированной матрицы . Таких строк – одна. Следовательно,
.
б) Определим хроматическое число .

Согласно алгоритму минимальной раскраски вершин графа, выделим все пустые подграфы графа G , т.е. построим дерево (оно построено в пункте а) ):

Построим таблицу:
1 2 3 4 5 6
1. {1,4,6} 1 1 1 
2. {1,5} 1 1
3. {2,5} 1 1 
4. {2,6} 1 1
5. {3} 1 
Определяем минимальное число строк, покрывающих все столбцы таблицы. Такими строками могут быть строки 1, 3, 5. Значит,
.
Зададимся красками: для множества вершин - краска синяя (С ), для множества вершин - краска красная ( К ), для множества вершин - краска зеленая ( З ).
Раскрасим вершины графа G :

Задание 7
Для заданной сети :
а) найти величину минимального пути и сам путь от вершины  до вершины по алгоритму Дейкстры ;
б) используя алгоритм Форда-Фалкерсона, определить максимальный поток ( v1
– вход , v6
– выход сети ) и указать минимальный разрез, отделяющий v1
от v6
,
если задана матрица весов (длин, пропускных способностей) Р :
v1
v2
v3
v4
v5
v6

Решение:
Построим сеть:

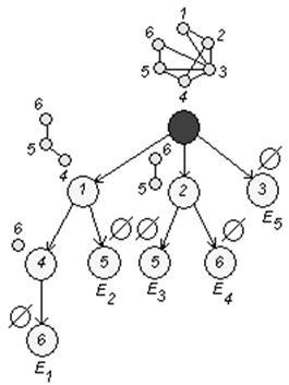
а) Найдем величину минимального пути и сам путь сети G . Используем для этого алгоритм Дейкстры.
Этап 1. Нахождение длины кратчайшего пути.
.
Шаг 1. Полагаем 

1-я итерация.
Шаг 2. Составим множество вершин, непосредственно следующих за с временными метками: . Пересчитываем временные метки этих вершин: ,
.
Шаг 3. Одна из временных меток превращается в постоянную:

Шаг 4. Следовательно, возвращаемся на второй шаг.
2-я итерация.
Шаг 2.


Шаг 3.

Шаг 4. Переход на второй шаг.
3-я итерация.
Шаг 2.


Шаг 3.

Шаг 4.
Переход на второй шаг.
4-я итерация.
Шаг 2.

Шаг 3.

Шаг 4. Переход на второй шаг.
5-я итерация.
Шаг 2.

Шаг 3.

Шаг 4. Конец первого этапа.
Следовательно, длина кратчайшего пути равна .
Этап 2. Построение кратчайшего пути.
1-я итерация.
Шаг 5. Составим множество вершин, непосредственно предшествующих с постоянными метками : Проверим равенство

для этих вершин:
т.е.

т.е.

Включаем дугу в кратчайший путь, 
Шаг 6. Возвращаемся на пятый шаг.
2-я итерация.
Шаг 5.



Включаем дугу в кратчайший путь, .
Шаг 6. . Завершение второго этапа.
Следовательно, кратчайший путь построен. Его образует последовательность дуг: .
Окончательно, кратчайший путь от вершины до вершины v6
построен. Его длина (вес) равна . Сам путь образует последовательность дуг:

б) Определим максимальный поток через сеть G. Для этого используем алгоритм Форда-Фалкерсона.
 
Выбираем произвольно путь из вершины v1
в вершину v6
. Пусть это будет путь . Минимальную пропускную способность на этом пути, равную 10, имеет дуга , т.е. Увеличим на этом пути поток до 10 единиц. Дуга становится насыщенной. Дуга имеет на данный момент пропускную способность, равную 10.
Путь Следовательно, поток на этом пути можно увеличить на 9 единиц. Дуги становятся насыщенными.
Других маршрутов нет (другие маршруты проходят через насыщенные дуги). Поток максимален. Делаем разрез вокруг вершины v1
по насыщенным дугам
 
и получаем его величину единиц.
8. Используя алгоритм Краскала, построить остов с наименьшим весом для неориентированного взвешенного графа , у которого , если заданы веса (длины) ребер:

□ Построим граф G :

1. Упорядочим ребра в порядке неубывания веса (длины):


2. Возьмем ребро u1
и поместим его в строящийся остов.
Возьмем ребро u2
и поместим его в строящийся остов (т.к. оно не образует с предыдущим ребром цикла).
Берем ребро u3
и помещаем его в строящийся остов (т.к. оно не образует с предыдущими ребрами цикла).
Берем ребро u4
и помещаем его в строящийся остов (т.к. оно не образует с предыдущими ребрами цикла).
Берем ребро u5
и помещаем его в строящийся остов (т.к. оно не образует цикла с предыдущими ребрами).
Ребра не рассматриваем, т.к. они образуют циклы с предыдущими ребрами.
Проверим окончание алгоритма. Число входящих в остов ребер равно 5. Заданный граф имеет п = 6 вершин и . Таким образом, остов содержит все вершины заданного графа G .
Вес (длина) построенного остова

равен  .
Литература
1. Горбатов В.А. Основы дискретной математики. – М.: Высшая школа, 1986. – 311 с.
2. Коршунов Ю.М. Математические основы кибернетики. – М.: Энерго атомиздат, 1987. – 496 с.
3. Кузнецов О.П., Адельсон-Вельский Г.М. Дискретная математика для инженера. – М.: Энергоатомиздат, 1988. – 480 с.
4. Шапорев С.Д. Дискретная математика. – СПб.: БХВ-Петербург, 2006. - 400 с.
5. Гаврилов Г.П., Сапоженко А.А. Задачи и упражнения по дискретной математике. – М.: ФИЗМАТЛИТ, 2005. – 416 с.
6. Хаханов В.И., Чумаченко С.В. Дискретная математика ( конспект теоретического материала). – Харьков: ХНУРЭ, 2003. – 246 с.
7. Богданов А.Е. Курс лекций по дискретной математике.–Северодонецк: СТИ, 2006. – 190 с.
|