Банк рефератов содержит более 364 тысяч рефератов, курсовых и дипломных работ, шпаргалок и докладов по различным дисциплинам: истории, психологии, экономике, менеджменту, философии, праву, экологии. А также изложения, сочинения по литературе, отчеты по практике, топики по английскому.
Полнотекстовый поиск
Всего работ:
364139
Теги названий
Разделы
Авиация и космонавтика (304)
Административное право (123)
Арбитражный процесс (23)
Архитектура (113)
Астрология (4)
Астрономия (4814)
Банковское дело (5227)
Безопасность жизнедеятельности (2616)
Биографии (3423)
Биология (4214)
Биология и химия (1518)
Биржевое дело (68)
Ботаника и сельское хоз-во (2836)
Бухгалтерский учет и аудит (8269)
Валютные отношения (50)
Ветеринария (50)
Военная кафедра (762)
ГДЗ (2)
География (5275)
Геодезия (30)
Геология (1222)
Геополитика (43)
Государство и право (20403)
Гражданское право и процесс (465)
Делопроизводство (19)
Деньги и кредит (108)
ЕГЭ (173)
Естествознание (96)
Журналистика (899)
ЗНО (54)
Зоология (34)
Издательское дело и полиграфия (476)
Инвестиции (106)
Иностранный язык (62791)
Информатика (3562)
Информатика, программирование (6444)
Исторические личности (2165)
История (21319)
История техники (766)
Кибернетика (64)
Коммуникации и связь (3145)
Компьютерные науки (60)
Косметология (17)
Краеведение и этнография (588)
Краткое содержание произведений (1000)
Криминалистика (106)
Криминология (48)
Криптология (3)
Кулинария (1167)
Культура и искусство (8485)
Культурология (537)
Литература : зарубежная (2044)
Литература и русский язык (11657)
Логика (532)
Логистика (21)
Маркетинг (7985)
Математика (3721)
Медицина, здоровье (10549)
Медицинские науки (88)
Международное публичное право (58)
Международное частное право (36)
Международные отношения (2257)
Менеджмент (12491)
Металлургия (91)
Москвоведение (797)
Музыка (1338)
Муниципальное право (24)
Налоги, налогообложение (214)
Наука и техника (1141)
Начертательная геометрия (3)
Оккультизм и уфология (8)
Остальные рефераты (21692)
Педагогика (7850)
Политология (3801)
Право (682)
Право, юриспруденция (2881)
Предпринимательство (475)
Прикладные науки (1)
Промышленность, производство (7100)
Психология (8692)
психология, педагогика (4121)
Радиоэлектроника (443)
Реклама (952)
Религия и мифология (2967)
Риторика (23)
Сексология (748)
Социология (4876)
Статистика (95)
Страхование (107)
Строительные науки (7)
Строительство (2004)
Схемотехника (15)
Таможенная система (663)
Теория государства и права (240)
Теория организации (39)
Теплотехника (25)
Технология (624)
Товароведение (16)
Транспорт (2652)
Трудовое право (136)
Туризм (90)
Уголовное право и процесс (406)
Управление (95)
Управленческие науки (24)
Физика (3462)
Физкультура и спорт (4482)
Философия (7216)
Финансовые науки (4592)
Финансы (5386)
Фотография (3)
Химия (2244)
Хозяйственное право (23)
Цифровые устройства (29)
Экологическое право (35)
Экология (4517)
Экономика (20644)
Экономико-математическое моделирование (666)
Экономическая география (119)
Экономическая теория (2573)
Этика (889)
Юриспруденция (288)
Языковедение (148)
Языкознание, филология (1140)

Курсовая работа: Ультрафиолетовое отверждение лаков и красок

Название: Ультрафиолетовое отверждение лаков и красок
Раздел: Рефераты по химии
Тип: курсовая работа Добавлен 11:56:41 29 декабря 2010 Похожие работы
Просмотров: 1506 Комментариев: 16 Оценило: 2 человек Средний балл: 5 Оценка: неизвестно     Скачать

Введение

На сегодняшний момент в различных областях науки и промышленности ведутся активные исследования, направленные на создание ресурсо- и энергосберегающих экологически безопасных технологий. В этой связи приобретает большое значение микроволновое облучение (МВО), так как оно позволяет существенно интенсифицировать различные процессы, в том числе не поддающиеся оптимизации традиционными методами.

Начало использования МВО в качестве эффективного источника тепловой энергии относится к концу 1940-х годов, а уже в 1970-1980 годах его стали активно применять в неорганической и аналитической химии при выполнении анализов различных объектов, для сушки и дегидратации препаратов, при синтезе различных неорганических материалов, при изучении полиморфных превращений и т.д. Толчком к использованию МВО в органическом синтезе послужили работы Гедью и Жигуэра, в которых было обнаружено значительное сокращение времени проведения некоторых классических химических реакций в условиях МВО по сравнению со временем их проведения в условиях традиционного нагревания. К другим преимуществам МВО относятся экономия электроэнергии или других энергоресурсов; возможность проведения реакций в условиях повышенного давления при температурах, намного превышающих температуру кипения, растворителя, или в отсутствие растворителя; возможность получения соединений, недоступных или труднодоступных при использовании других методов активации.

Химики-синтетики быстро оценили преимущества применения МВО для активации органических реакций. Следует отметить, что распространению данного метода способствовала простота эксперимента, так как для его осуществления требовалась лишь обычная коммерческая СВЧ-печь. Однако использование таких печей для проведения микроволновых (МВ) химических реакций имеет ряд недостатков:

· неприспособленность печей к проведению химических экспериментов;

· неоднородность микроволнового поля в реакционном сосуде;

· отсутствие контроля за изменением температуры и давления реакционной смеси во время эксперимента;

· непостоянная мощность МВО.

Все это приводит к низкой воспроизводимости результатов, а иногда к выбросам и воспламенению растворителей. В настоящее время налажено производство специальных химических микроволновых реакторов, в которых обеспечивается равномерное распределение электромагнитного поля в реакционном объеме и имеется возможность регулирования мощности излучения с помощью компьютера. Такие реакторы снабжены магнитными мешалками и датчиками для измерения температуры и давления. Цена на такие печи на порядок выше, чем на бытовые, поэтому и сегодня ~ 70% экспериментальных работ выполняется в обычных СВЧ-печах.

Несмотря на обилие работ, в которых описаны практические аспекты применения МВО, к настоящему моменту теория микроволнового органического синтеза разработана недостаточно. Предполагается, что влияние МВО на протекание химических процессов складывается из термических эффектов (скорость нагрева, супернагрев или «горячие пятна»), селективного поглощения излучения полярными веществами и специфического микроволнового эффекта (МВЭ), связанного с «нетермическим» действием СВЧ-излучения.

Термин МВЭ впервые был введен Лупи и Перье и сегодня широко используется в публикациях, связанных с микроволновым органическим синтезом. Основываясь на хорошо известном постулате Хэммонда, Лупи и Перье предположили, что в реакциях с низкой энергией активации переходное состояние близко к основному. В этом случае различие в полярности переходного и основного состояний невелико и микроволновый эффект незначителен. В противоположность этому, в реакциях с высокой энергией активации переходное состояние ближе к продуктам реакции. В этом случае полярность в ходе реакции изменяется значительно и МВЭ усиливается.

При использовании полярных апротонных растворителей, интенсивно поглощающих МВ-излучение, энергия к реагентам поступает главным образом от растворителя (косвенным путем), поэтому можно ожидать, что МВЭ будет маскироваться абсорбцией микроволн молекулами растворителя. Вследствие этого разница в скоростях реакций при МВО и конвекционном нагреве уменьшается.

При применении неполярных растворителей (ССl4 , алканы, бензол и т.д.), которые не взаимодействуют с микроволнами, происходит прямое взаимодействие МВ-излучения с реагентами, и МВЭ наблюдается «в чистом виде».

В наибольшей степени МВЭ проявляется в реакциях, проводимых в отсутствие растворителя, когда взаимодействию микроволн с реагентами не препятствуют никакие посторонние факторы, и абсорбция микроволнового излучения определяется только природой исходных соединений.

К сожалению, в подавляющем большинстве работ по микроволновому органическому синтезу данные о влиянии мощности МВО, интенсивности перемешивания и типа реакционной среды на селективность реакций и выход продуктов носят фрагментарный характер [1].

В настоящее время интерес к данной тематике неуклонно увеличивается. За рубежом популярность микроволновой активации органических синтезов выросла настолько, что микроволновая техника теперь составляет основу большого числа сложных синтезов и даже входит в студенческий практикум [2].


Теоретические основы микроволнового нагрева

В электромагнитном спектре микроволновый диапазон занимает область между инфракрасными и радиоволнами и соответствует длинам волн от 1 см до 1 м (соответственно частотам от 30000 до 300 МГц). Воздействие микроволнового излучения на многие жидкие и твердые вещества, состоящие из полярных молекул и ионов, приводит к их разогреванию. Причина этого явления заключается во взаимодействии электрической составляющей электромагнитного поля с молекулами облучаемого вещества. Это взаимодействие содержит в себе несколько физических эффектов, из которых к выделению тепла приводят главным образом два — ориентационная поляризация и ионная проводимость. Как известно, при помещении полярного вещества в электрическое поле его молекулы стремятся ориентироваться таким образом, чтобы векторы их дипольных моментов были антипараллельны силовым линиям поля. Воздействие на вещество электромагнитной волны микроволнового диапазона приводит к непрерывной переориентации полярных молекул (поскольку вектор электрической составляющей излучения непрерывно изменяет направление), при этом вследствие межмолекулярных взаимодействий выделяется тепло. Кроме ориентационной поляризации электрическое поле способно вызывать в жидких средах движение ионов. Сопротивление среды потоку ионов приводит к тепловыделению. При этом, чем выше концентрация и подвижность ионов, тем интенсивнее нагрев. Способность материала превращать электромагнитную энергию в тепло характеризуется тангенсом угла диэлектрических потерь tgα и вычисляется по следующей формуле: tgα=е"/е'. Здесь е" — коэффициент диэлектрических потерь — характеризует эффективность, с которой энергия электромагнитного поля превращается в тепло; е'-диэлектрическая проницаемость [4]. Значения этих величин зависят от природы и состояния вещества, частоты электромагнитного поля и температуры. Обычно с увеличением частоты е'уменьшается, а е"проходит через максимум. Величина tgαимеет максимальные значения в микроволновом диапазоне электромагнитного излучения. Количество тепла (Вт/см3 ), выделяемое единицей объема вещества в электромагнитном поле за единицу времени, можно рассчитать по приведенной формуле: Q = 0.555f е'*tgα*E2 *10-12 .Здесь f — частота излучения, Гц; Е— напряженность электрической составляющей электромагнитного поля, В/см [4]. Из последнего выражения видно, что мощность, выделяющаяся в материале, зависит только от электрических характеристик материала и параметров поля и не зависит от теплопроводности материала. Эта особенность является существенным преимуществом микроволнового нагрева, позволяющим значительно интенсифицировать процесс нагрева материала по сравнению с любым другим традиционным видом нагрева, где главную роль в скорости разогрева играет теплопроводность. В результате взаимодействия излучения с веществом его интенсивность по мере прохождения сквозь вещество уменьшается по экспоненте. Расстояние от поверхности материала, на котором плотность потока энергии уменьшается в е раз по сравнению с ее значением на поверхности, называется глубиной проникновения.

Из-за уменьшения интенсивности излучения экспоненциально падает и тепловая мощность, высвобождаемая в единице объема материала. Естественно поэтому ожидать уменьшения температуры от поверхности к центру объема материала. Это происходит в случае, когда значение глубины проникновения много меньше толщины разогреваемого объекта. В обратном случае, когда глубина проникновения сопоставима или превышает размеры объекта, имеет место обратный, или инверсионный, температурный профиль, т.е. температура внутри материала выше, чем на поверхности. Объясняется это тепловым излучением с поверхности и конвекционным охлаждением внешних слоев материала окружающим воздухом. Из вышесказанного следует, что микроволновый нагрев имеет совершенно иную природу, чем конвекционный. В случае конвекционного нагрева происходит диффузионный перенос тепла от теплоносителя к нагреваемому веществу. При микроволновом нагреве возрастание внутренней энергии вещества происходит вследствие диссипации непосредственно в самом веществе некоторой части поглощенной электромагнитной энергии. Из этого вытекают следующие важные преимущества и особенности микроволнового нагрева:

1. нагрев происходит по всему объему материала, при этом теплопроводность материала не играет роли;

2. изменение температуры нагреваемого материала происходит безынерционно в соответствии с изменением подводимой мощности;

3. возможность динамичного регулирования температуры при проведении эксперимента;

4. возможность подъема температуры материала до заданных значений за очень короткое время;

5. отсутствие вещества-теплоносителя упрощает проведение эксперимента, исключает возможность перегревов и пригорания материала [2].

Оборудование для микроволнового нагрева

Для проведения экспериментов применяются либо модифицированные бытовые микроволновые печи, либо специальные микроволновые установки, ориентированные на проведение подобных исследований. Обычно мощность таких печей находится в пределах 600—1000 Вт, частота вырабатываемого излучения 2450 МГц. Емкость с реагентами помещается в камеру печи и через специальные отверстия в стенках камеры подсоединяется к вспомогательной аппаратуре (холодильник, перемешивающее устройство и т. п.), контролирующим и регулирующим устройствам. Иногда в камеру помещается змеевик, через который насосом прокачивается реакционная масса. Принцип работы микроволновой печи заключается в следующем: излучение, вырабатываемое магнетроном — генератором микроволнового излучения, пройдя по волноводу, попадает в камеру, где поглощается реагентами.

Посуда, используемая в микроволновых экспериментах, должна быть выполнена из материалов, пропускающих микроволны практически без ослабления, — стекла, кварца, тефлона. Очевидно, непригодны такие материалы, которые отражают или, наоборот, хорошо поглощают микроволны (металл, некоторые полимеры). Для работы при повышенном давлении в лаборатории используют тефлоновые автоклавы или запаянные стеклянные ампулы, а при обычных условиях вполне пригодна обычная химическая посуда. Для измерения температуры в условиях микроволнового нагрева обычно используют следующие средства.

1. Термометры с неметаллическими и не взаимодействующими с микроволнами наполнителями. Вполне пригодны, например, керосиновые термометры (0—200°С). С помощью газовых термометров кроме измерения можно осуществить регулирование температуры по способу обратной связи.

2. Оптические и волоконно-оптические пирометры — наиболее совершенный и самый дорогой способ контроля и регулирования температуры.

Традиционные сродства измерения, в которых, как правило, присутствуют металлические компоненты — ртутные термометры, термосопротивления, термопары, — не пригодны для микроволновых экспериментов. Вообще, в этих экспериментах следует избегать применения металлических предметов, так как они искажают картину распределения электромагнитного поля в реакционной камере [2].

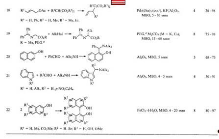
Образование новых С=С и С–С связей в условиях микроволнового облучения

Для образования двойной углерод-углеродной связи используют альдольно-кротоновую конденсацию или родственные ей реакции (примеры №№ 1-7, табл. 2); конденсацию нитрометана и его производных с 5-нитро-6-хлорметилимидазо-тиазолом (№ 8), бензальдегидом и его производными (№ 9); реакцию Виттига (№№ 10-12); реакции элиминирования (№ 13). В микроволновых условиях конденсация хлорметилимидазотиазола с производными нитрометана идет в 240 раз быстрее, чем при термической активации (см. табл. 2).

Введение в органическую молекулу двойной связи по Виттигу в условиях МВО (примеры №№ 10-12) проходит с небольшим ускорением по сравнению с термической реакцией, причем использование привитых на подложку реагентов не изменяет время проведения реакции.

В табл. 2 приведены также примеры образования новой С–С-связи в условиях МВО (примеры №№ 14-22). Для этого использовали реакции аллильного замещения, С-алкилирования, С-аминоалкилирования, окислительного сочетания. Здесь уместно остановиться на примере асимметрического аллильного алкилирования метил-(Е)-3-фенилаллилкарбоната (пример № 17), в котором изучено влияние природы катализатора (ср. с примером № 15) и растворителя, мощности излучения.

Таблица 2. Образование новых С=С- и С–С-связей в условиях микроволнового облучения.

Получениеполимерных мaтeриaлoв и изделийотверждением термореактивныхкомпозицийподдействиемэлектрическихполей

При разработке высокопроизводительных технологических процессов производства полимерных материалов из термореактивных композиций возникает проблема выбора метода и соответствующего оборудования для отверждения и формования изделий. В качестве альтернативного традиционным методам нагрева и отверждения может быть использован метод отверждения под действием электрических полей высокой частоты [6].

Метод высокочастотного нагрева полимерных материалов основан на том, что полярные группы и сегменты молекул диэлектрического материала, помещенного в переменное электрическое поле, ориентируются вместе с изменением его полярности. Другие группы и молекулы, а также тепловое движение препятствуют ориентации. Энергия, которая затрачивается на преодоление препятствий, рассеивается в материале и нагревает его.

Интенсивность нагрева повышается с увеличением частоты колебаний и напряженности электрического поля. Преимущество высокочастотного нагрева состоит в том, что прогрев происходит во всем объеме одновременно, а степень нагрева может регулироваться с высокой точностью [6].

Электромагнитные колебания, которые на практике применяются для нагрева и отверждения термореактивных композиций подразделяются на два основные диапазона: токи высокой частоты (ТВЧ) и сверхвысокой частоты (СВЧ) или микроволновое излучение (МВИ). В диапазоне ТВЧ используются частоты 1-100 МГц, а в диапазоне МВИ частоты 915-2450 МГц.

В настоящее время уже накоплены существенные теоретические и практические результаты использования электромагнитных излучений в различных технологических процессах получения полимерных материалов. Однако, несмотря на перспективность данного метода его применение, как правило, ограничивается предварительным нагревом материалов и не получило еще достаточно широкого распространения в процессах переработки термореактивных композиций и получения готовых изделий.

В научно-технической литературе представлены достаточно глубокие исследования особенностей процессов отверждения эпоксидных композиций под действием МВИ. Наиболее серьезные работы проведены с использованием в качестве сшивающих агентов 4,4' -диаминодифенилметана (ДДМ), 4,4' -диаминодифенилсульфона (ДДС), дициандиамида (ДЦДА), м-фенилендиамина (МФДА) и 4,4' -диамино- 3,3' -диметилдициклогексилметана [6] и т. д.

Проводилось исследование отверждения диглицидилового эфира дифенилолпропана (ДГЭБА) с молекулярной массой 370 в присутствии диаминодифенилметана (ДДМ) при стехиометрическом соотношении функциональных групп и под действием микроволнового излучения с частотой 2,45 ГГц, подаваемого в непрерывном и импульсных режимах. Мощность излучения изменялась в пределах 20-100 Вт, а частота импульсов от 20 Гц до 20 кГц. Установлено, что микроволновое отверждение происходит аналогично термическому отверждению. Сначала температура системы возрастает, а затем уменьшается. Скорость отверждения возрастает, время гелеобразования сокращается, а максимальная температура увеличивается до 200-250° С при увеличении мощности излучения [6]. Время достижения максимальной температуры разогрева системы уменьшается при понижении частоты по дачи импульсов, а мощность поглощаемого излучения достигает максимального значения через 23,5 мин независимо от частоты подачи импульсов. Использование импульсного излучения повышает эффективность сшивания. Отверждение системы завершается за время 80-140 мин. Поглощаемая мощность в ходе отверждения сначала возрастает, а потом уменьшается, что объясняется подавлением процесса биполярной релаксации образующимися межмолекулярными сшивками. Предельное значение мощности, поглощаемой полностью отвержденной системой, возрастает при увеличении интенсивности подаваемого излучения. Модуль Юнга систем, отвёрждённых термически и под действием МВИ составляет, соответственно, 2,4 ГПа и 2,6-2,7 ГПа.

Исследование кинетики отверждения на примере систем ДГЭБА-ДДС и ДГЭБА-ДЦДА под действием импульсного МВИ с частотой 2,45 ГГц подтверждает выше приведенные результаты. В ходе облучения данных систем температура возрастает от 20 до 180-200 °С, а затем в зависимости от мощности и частоты подачи импульсов уменьшается или слабо изменяется вследствие поглощения излучения. Глубина превращения для системы ДГЭБА-ДДС достигает 95 %, температура стеклования находится в пределах 130-190° С в зависимости от мощности облучения и частоты подачи импульсов.

При воздействии МВИ с мощностью 20-60 Вт на эпоксидные композиции, содержащие в качестве наполнителя порошковое железо с размером частиц 10 мкм в количестве до 70 мас. %, скорость отверждения резко возрастает с увеличением содержания металла, а температура разогрева достигает 240° С [6].

Воздействие импульсного МВИ мощностью 25-50 Вт, частотой импульсов 50 Гц и длительностью импульса 3 мс, на эпоксидные композиции ДГЭБА- ДДМ, содержащие до 70 мас. % порошка алюминия с размером частиц менее 40 мкм, также приводит к возрастанию скорости отверждения и температуры разогрева с увеличением подаваемой мощности. Однако, скорость отверждения, максимальная температура разогрева системы вначале возрастают при увеличении количества алюминия до 45 мас. %, а затем уменьшаются при дальнейшем повышении его содержания. Это объясняют образованием агрегатов частиц алюминия при его содержании более 45 мас. %, что приводит к изменению механизма диссипации микроволновой энергии и замедлению скорости отверждения композиций при высоких степенях наполнения. Установлено, что отверждение эпоксидных композиций происходит до полной конверсии, а температура стеклования составляет 160° С.

При исследовании влияния непрерывного и импульсного МВИ мощностью 5-25 Вт на эпоксидные композиции наполненные сажей в количестве 5 мас.% выявлено, что поглощение микроволновой энергии связано с диполярной релаксацией матрицы и электрической проводимостью сажи. При этом поглощенная энергия линейно возрастает при увеличении мощности подаваемой энергии. Скорость отверждения, максимальная температура разогрева системы также возрастают при увеличении мощности излучения. При высоких концентрациях сажи имеет место трансляции энергии. В сшитом состоянии композиций максимум поглощения МВИ наблюдается вблизи порога перколяции.

При воздействии МВИ частотой 2,45 ГГц и мощностью 650 Вт на эпоксиаминные композиции, дискретно армированные оксидно-алюминиевыми волокнами или наполненные порошкообразным титанатом бария в количестве 25-100 масс.ч. установлено, что глубина превращения эпоксиолигомера снижается с повышением содержания твердофазного компонента, тогда как в ненаполненных композициях она составляет 94-96 %. Максимальное значение гель-фракции достигается через 3 мин. Авторы наблюдали ингибирование процесса образования трехмерного продукта в первую минуту нагрева, что объяснено интенсификацией миграции низкомолекулярного аминного ингредиента к поверхности наполнителя и повышением его сорбции этой поверхностью.

Отверждение композиций, содержащих пустотелые кварцевые микросферы диаметром 30 мкм и плотностью 210 кг/м3 сопровождается разогревом до 250° С в зависимости от мощности излучения. Скорость отверждения возрастает при увеличении мощности МВИ и уменьшается при увеличении содержания микросфер.

Применение электромагнитных полей для интенсификации процессов отверждения и формования изделий нашло распространение в практике. Склеивание конструкций из древесины с использованием карбамидных клеев было одним из первых направлений использования данного способа. В качестве клеевых композиций для склеивания под действием ТВЧ древесных материалов опробованы малотоксичные клеи на основе резольных фенолоформальдегидных смол, а также резорциновые клеи. Отмечается, что при склеивании древесных материалов резорциновыми клеями время воздействия высокочастотного поля должно быть больше, чем в случае применения карбамидных клеев и при этом снижается производительность оборудования.

Целесообразность использования высокочастотного нагрева отмечена при производстве стеклопластиков, древесностружечных плит, намоточных и профильных изделий, а также заливочных компаундов. Так, например, отверждение стеклопластиков на основе эпоксидно-фенольных связующих может быть осуществлено за несколько минут, а эпоксидные заливочные компаунды достигают стабильных свойств за 30-60 мин, в то время как их отверждение при конвекционном методе нагрева позволяет получить стабильность свойств только через 2,5 ч. Высокочастотный метод нагрева позволяет сократить продолжительность процессов отверждения компаундов в зависимости от выбранной температуры нагрева от 50 до 100 раз [6].

Было проведено [6] сравнение механических свойств композиций на основе ДГЭБА и 4,4'-диамино-3,3'-диметилдициклогексилметана (ДЦГМ), отвержденных под действием МВИ или термообработкой. Испытания показали, что композиции полученные под действием МВИ имеют более высокие прочность при растяжении и модуль Юнга, чем композиции, полученные термообработкой. Они также сохраняют свое преимущество после старения в воде.

Проведено также сравнение свойств композиций ДГЭДФП и ДЦГМ, отвержденных как под действием МВИ мощностью 200 Вт, так и комбинированным способом, который заключался в том, что образцы после отверждения МВИ дополнительно доотверждали при 190° С в течение 14 ч. Испытания показали, что модуль упругости при сжатии составляет 3,15 и 2,9 ГПа, температура стеклования 131 и 186° С, а степень превращения 89 и 100 % соответственно, для первого и второго вариантов отверждения.

Способ получения композиционных полимерных материалов на основе термореактивных олигомеров, содержащих тонкоизмельченные наполнители с применением электромагнитных колебаний частотой от 100 МГц до 300 ГГц заявлен французской компанией Еlесtrycite dе Frаnсе в 1983 году. В качестве тонкоизмельченных наполнителей предложено использовать кремнийсодержащие соединения типа песка, порошки полипропилена, тефлона, а также электропроводящие наполнители в виде порошков железа, алюминия, меди, солей металлов, комплексных органометаллических соединений или сажи с размером частиц менее 500 мкм. Количество наполнителей рекомендуется вводить до 85 % от массы композиционного материала. Отмечается, что получены более гомогенные композиционные материалы, которые используются в качестве изделий, формуемых литьем под давлением, клеев, электропроводящих изделий в автомобилестроении, авиастроении, микроэлектронике.

Исследования полимеризации термореактивных смол, усиленных стекловолокном показали, что производительность процесса получения композиционного материала может быть увеличена в 30 раз по сравнению с обычным способом нагрева.

При отверждении эпоксидных композиционных материалов с высокой теплопроводностью, содержащих углеволокно (ЭКУ) и материалов с низкой теплопроводностью, содержащих стекловолокно (ЭКС) установлено, что в объеме образцов ЭКУ практически отсутствует градиент температуры, тогда как в случае ЭКС градиент температуры оказывался достаточно высоким. Для устранения этого градиента предлагается систему с низкой теплопроводностью подвергать одновременно термообработке путем обычного нагрева.

Использование МВИ для отверждения органических покрытий показывает высокую эффективность этого метода.

В последние годы для отверждения лакокрасочных покрытий, в том числе и металлизированных, а также для отделочных покрытий на декоративной бумаге, успешно используется микроволновое излучение с частотой 915 МГц и 2,45 ГГц.

Воздействие электромагнитных полей различной частоты и мощности применяют для вспенивания и отверждения термореактивных пенопластов. Первые сведения о получении пористых полимерных материалов без использования вспенивающих добавок опубликованы английской фирмой Вurt Тhоmе в 1970 году. Способ получения таких материалов заключается в том, что сухую массу порошкообразного неотвержденного реактопласта помещают в поле ТВЧ такой мощности, чтобы нагреть частички материала и обеспечить их слипание друг с другом в местах контакта. Материал нагревается по всей массе равномерно и быстро, что способствует локальному расплавлению частичек. Преимуществами этого метода, по сравнению с другими, является возможность получения крупных и глубоких изделий сложной формы, быстрота и возможность "вспенивания" таких смесей полимеров и сополимеров, которые не вспениваются при внешнем нагреве.

Американской корпорацией "Ethyl Corp." запатентован способ получения вспененных полиимидов на основе порошкообразных смесей твердых алкиловых эфиров ароматических тетракарбоновых кислот (ЭТК) и первичных или гетероциклических диаминов (ДА) при мольном соотношении ЭТК : ДА равном 1:1. Вспенивание и отверждение композиций проводят под слоем газонепроницаемой поливинилхлоридной пленки при воздействии МВИ частотой 915-2450 МГц и мощностью 0,1-10 кВт/кг смеси мономеров.

Отмечаются преимущества проведения процессов отверждения и вспенивания жидких заливочных композиций в электрическом поле, возможность выбора режима воздействия для получения изделий как с изотропными так и с анизотропными свойствами, исключение применения фторированных газообразователей, быстрое отверждение матрицы вокруг ячеек. С помощью данной технологии возможно регулирование плотности и прочности пенопластов, снижение содержания катализаторов отверждения, уменьшение расхода электроэнергии. Способ может применяться для получения как конструкционных, так и демпферирующих изделий для авиации, автомобилестроения, морского транспорта и в других областях техники.

Под действием МВИ вспененные материалы получают на основе сухой целлюлозы или ее суспензий с использованием в качестве связующего латекса, а в качестве газообразователя соду [6].

Вспенивание и отверждение порошковых эпоксидно-новолачных и фенолоформальдегидных композиций под действием МВИ мощностью 150 Вт позволяет получать пенопласты с удовлетворительными механическими свойствами за 20-50 мин в зависимости от условий обработки и при сокращении цикла формования в 5-8 раз по сравнению с традиционным методом.

Таким образом, все вышеприведенные данные свидетельствуют о том, что применение электрических полей высокой частоты для отверждения термореактивных композиций является перспективным, высокоэффективным направлением переработки, которое может быть использовано в различных технологических процессах получения полимерных материалов и изделий.

Новое ультрафиолетовое термическое оборудование и его использование для обработки тканей

Разработано и изготовлено новое универсальное ультрафиолетовое термическое оборудование, обеспечивающее комбинированную обработку текстильных материалов УФ и ИК излучениями в диапазоне длин волн 300-1200 нм [9]. Проведенные испытания показали возможность использования оборудования для осуществления фотохимической технологии колорирования тканей кубозолями, а также для термообработки тканей в традиционных операциях крашения и отделки.

В результате проведенных исследований разработан новый тип терморадиационного оборудования, представляющего собой малогабаритную ультрафиолетовую термическую камеру (УФТК). Важным отличием УФТК от существующего терморадиационного оборудования является то, что в его конструкции применены в качестве источников оптического излучения дуговые ксеноновые трубчатые лампы типа ДКСТ. Достоинства ксеноновых ламп заключаются в том, что они экологически чисты, взрывобезопасны и при горении не вызывают образования озона. В техническом аспекте сильной стороной ксеноновых ламп является безинерционность: у них отсутствует период разгорания, а коэффициент мощности сети близок к единице. Следует особо отметить другое важное преимущество ксеноновых ламп - их спектр излучения включает в себя УФ, видимую и ИК области (рис. 1). Они являются одним из наиболее интенсивных источников УФ, видимого и ИК излучения. Это обусловливает принципиальную возможность применения разработанного оборудования как для осуществления фотохимических процессов, основанных на воздействии на материал УФ излучения, так и для традиционных термических процессов, предусматривающих тепловую обработку тканей ИК излучением.

Изготовлено два экспериментальных образца УФТК на номинальную ширину 140 и 180 см, которые установлены и прошли стадию промышленных испытаний на текстильных фабриках Ивановского региона.


Установлено положительное влияние интенсификатора – гидросульфита натрия на результаты крашения х/б ткани в цвет "хаки", которое проявляется в заметном увеличении насыщенности окраски ткани. Наблюдается смещение цветового тона окраски ткани в желтую область, что свидетельствует об интенсификации процесса фотопроявления кубозоля золотисто-желтого ЖХ.

Наиболее целесообразным как с технологической, так и с технико-экономической точек зрения является применение созданного УФ оборудования для осуществления упрощенного одностадийного способа крашения хлопколавсановых тканей кубозолями.

Разработанное УФ оборудование обеспечивает однотонное закрашивание хлопкового и лавсанового волокон смесовой ткани, а также равномерное крашение ткани по ширине полотна

Следует отметить, что по сравнению с наиболее распространенным двухстадийным способом крашения хлопкополиэфирных тканей смесью дисперсных и кубовых красителей, который реализуется с помощью двух поточных линий: крашения и сушки типа ЛКС и крашения, сушки и термообработки типа ЛКСТ, УФ способ позволяет сократить число необходимых технологических стадий с 8-и до 4-х за счет исключения из технологической цепочки энергоемких операций предварительной сушки, термообработки и запаривания ткани и соответствующего оборудования для их реализации. Как показал технико-экономический расчет, применение УФ оборудования обеспечивает снижение удельных расходов электроэнергии, пара и воды, соответственно, в 3,7; 3,9 и 3,6 раза, а занимаемых площадей под оборудование и металлоемкости - в 1,4 и 2 раза.

Как отмечалось выше, ксеноновые лампы являются интенсивным источником ИК излучения, что позволяет использовать разработанное оборудование для термической обработки тканей в процессах крашения, печати и заключительной отделки [9].

Инфразвуковые технологические аппараты

Инфразвуковые аппараты (от лат. infra - ниже, под), машины или устройства, в которых для интенсификации технологических процессов в жидких средах используются низкочастотные акустические колебания (собственно инфразвуковые частотой до 20 Гц, звуковые частотой до 100 Гц) [10]. Колебания создаются непосредственно в обрабатываемой среде с помощью гибких излучателей различной конфигурации и формы или жестких металлических поршней, соединенных со стенками технологических емкостей через упругие элементы (напр., резиновые). Это дает возможность разгрузить от колебаний источника стенки инфразвуковых аппаратов, значительно уменьшает их вибрацию и уровень шума в производственных помещениях. В инфразвуковых аппаратах, как и в вибрационных и пульсационных аппаратах, возбуждаются колебания с большими амплитудами (от единиц до десятков мм). Однако малое поглощение инфразвука рабочей средой и возможность ее согласования с излучателем колебаний (подбор соответствующих параметров источника) и размерами аппаратов (для обработки заданных объемов жидкости) позволяют распространить возникающие при воздействии инфразвука так называемые нелинейные волновые эффекты на большие технологические объемы. Благодаря этому инфразвуковые аппараты принципиально отличаются от ультразвуковых, в которых жидкости обрабатываются в небольшом объеме. В инфразвуковых аппаратах реализуются следующие физические эффекты (один или несколько одновременно): кавитация, высокоамплитудное знакопеременное и радиационное (звукового излучения) давления, знакопеременные потоки жидкости, акустические течения (звуковой ветер), дегазация жидкости и образование в ней множества газовых пузырьков и их равновесных слоев, сдвиг фаз колебаний между взвешенными частицами и жидкостью. Эти эффекты значительно ускоряют окислительно-восстановительные, электрохимические и другие реакции, интенсифицируют в 2-4 раза промышленные процессы перемешивания, фильтрования, растворения и диспергирования твердых Материалов в жидкостях, разделения, классификации и обезвоживания суспензий, а также очистку деталей и механизмов и т.д. Применение инфразвука позволяет в несколько раз снизить удельную энерго- и металлоемкость и габаритные размеры аппаратов, а также обрабатывать жидкости непосредственно в потоке при транспортировании их по трубопроводам, что исключает установку смесителей и др. устройств. Одна из наиболее распространенных областей применения инфразвука - перемешивание суспензий посредством, например, так называемых трубных инфразвуковых аппаратов. Такая машина состоит из одного или нескольких последовательно соединенных гидропневматических излучателей и загрузочного устройства (рис 2) [11].

Рис. 2. Инфразвуковой аппарат для перемешивания суспензий:

1 - мембранный излучатель колебаний; 2 - модулятор сжатого воздуха; 3 - загрузочное устройство; 4 - компрессор.


Модулятор распределяет воздух таким образом, что каждая из двух цилиндрических резинокордных мембран излучателя колеблется в противофазе с соседней. Жидкость подается внутрь аппарата, где подвергается воздействию мощных низкочастотных колебаний, которые трансформируются в поперечные и продольные колебания частиц жидкости. Например, при подготовке в данном аппарате к флотации минеральной пульпы под действием инфразвука происходят мелкодисперсное эмульгирование флотореагентов, предварительная аэрация суспензии вследствие выделения из жидкости микропузырьков воздуха и интенсивное перемешивание пульпо-воздушной смеси. Для ситового разделения и сгущения суспензий из тонкоизмельченных материалов перспективно использование классификаторов-сгустителей. В таком аппарате благодаря непрерывной обработке суспензии инфразвуковыми колебаниями протекают физические процессы, влияющие на характер движения твердой и жидкой фаз и реологические свойства среды, а также непрерывно подвергается очистке (регенерируется) классифицирующий элемент. В отсутствие колебаний при движении суспензии через сито на его поверхности образуется плотный слой частиц, что приводит к постепенному закупориванию щелей и быстрому уменьшению скорости фильтрования дисперсионной среды. При включении возбудителя колебаний в щелях сита образуются микропотоки, направления которых знакопеременны по отношению к направлению основного потока суспензии. На первой стадии, когда направления микропотоков и главного потока совпадают, возникает перепад давлений, суммирующийся с гидростатическим давлением, что ускоряет фильтрование и разделение фаз. На второй стадии, когда направления микропотоков и основного потока противоположны, звуковое поле создает обратный импульс давления, под действием которого разрушается фильтрующий слой частиц, и они стряхиваются с поверхности сита, в результате чего последнее регенерируется. Другой вариант классификатора-сгустителя - аппарат с неподвижным, горизонтально расположенным сепарирующим элементом - сеткой (тканой металлической, капроновой, полиуретановой и др.), через которую под постоянным давлением движется восходящий поток суспензии. На сетке поток разделяется на два - проходящий и возвратный, который далее в виде сгущенной суспензии с крупными твердыми частицами удаляется через нижний разгрузочный узел. Классификатор может состоять из нескольких аналогичных секций.

Фотоотверждаемые композиции для волоконных световодов

Интенсивное развитие новых технологий потребовало создания специальных покрытий для защиты оптического волокна от внешних физико-химических воздействий.

В начале разработок систем связи на волоконно-оптических элементах (1965-1979 гг.) выбор материалов для покрытий оптических волокон был весьма ограничен и включал в себя в основном такие материалы, как тефлон, лаки, полиолефины, силоксановые эластомеры. Для нанесения таких материалов требуется достаточно сложное технологическое оборудование (экструдеры, специальные термопечи и др.), и сам процесс довольно длителен. В 1980-егг. сотрудникамифирмы GAF Corp., AT Bell Labor., Eastm. Kod. Co, работающими над созданием полимерных покрытий, были получены различные составы олигомеров, чрезвычайно быстро отверждающиеся под УФ-облучением. Это привело к упрощению технологии производства волоконных световодов и существенному снижению затрат.

УФ-отверждаемая композиция для оптических волокон должна отвечать следующим требованиям: не содержать высоколетучих токсичных компонентов, обладать требуемой вязкостью, быть однокомпонентной, иметь незначительную усадку в результате полимеризации. Покрытие на основе такой композиции должно наноситься на оптическое волокно в процессе вытяжки со скоростями более 30 м в минуту, обеспечивать его механическую прочность и работоспособность в широком интервале температур. Материал на основе фотоотверждаемых композиций не должен влиять на передаточные характеристики оптического волокна, что может быть вызвано, например, усадкой при полимеризации, неоднородностью структуры, недостаточной устойчивостью к механическим, химическим, термическим условиям эксплуатации. Фотоотверждаемые композиции имеют большое будущее и в других областях науки и техники (например, для офсетных красок, оптических дисков, декоративных материалов и др.). Однако удельный вес фотоотверждаемых композиций, по сравнению с другими полимерами, пока невелик. Мировое потребление покрывных материалов составляет 20 млн. тонн в год, и при этом ежегодно в атмосферу выбрасываются 8 млн. тонн растворителей. Альтернативные экологические лакокрасочные материалы, отверждаемые под действием излучения (УФ и электронного), занимают меньше 1 % от общей массы.

УФ-отверждение является фотохимическим процессом, при котором мономеры (олигомеры) подвергаются полимеризации и (или) сшиванию. УФ-полимеризуемые композиции содержат фотоинициатор (сенсибилизатор), который поглощает УФ-энергию и инициирует полимеризацию мономеров. Скорость фотополимеризации зависит от нескольких факторов:

· от химического строения соединений, входящих в состав композиции: каждый мономер (олигомер) отверждается с различной скоростью, связанной с его реакционной способностью, а также с количеством и активностью фотоинициатора (сенсибилизатора);

· от толщины слоя покрытия: чем толще слой, тем больше время его экспозиции под УФ-облучением. К тому же количество поглощенной энергии света падает экспоненциально с глубиной отверждаемого слоя. Например, если слой толщиной 1 мм поглощает 90 % падающей энергии, то следующий слой в 1 мм поглощает уже 90% остатка, то есть 9 % исходного количества энергии. Чтобы привести количествоэнергии во втором слое к эквивалентному (с первым слоем) количеству, необходимо увеличить исходное освещение в 10 раз. Таким образом, двукратное увеличение толщины отверждаемого слоя требует 10-кратного повышения интенсивности УФ-облучения;

· от количества световой энергии, приходящейся на единицу поверхности покрытия: до определенного момента скорость отверждения растет с увеличением количества энергии, приходящейся на единицу поверхности. Например, увеличение указанной энергии в 2 раза может привести к 3-х, 4-х или 10-кратному росту скорости отверждения. Отсюда следует, что для повышения скорости отверждения лучше использовать одну более мощную лампу, чем две меньшей мощности;

· от спектра источника излучения: спектры поглощения фотоинициатора (сенсибилизатора) и мономера (или других добавок) не должны совпадать. С другой стороны, спектр излучения должен совпадать со спектром возбуждения фотоинициатора. Ртутные лампы среднего давления излучают в широком интервале длин волн (180-400 нм), поэтому они пригодны практически для всех процессов УФ-отверждения.

· Для системы, содержащей жидкую УФ-отверждаемую композицию, полимеризующуюся только в присутствии фотоинициатора, процесс УФ-отверждения как свободно-радикальной полимеризации может быть описан схемой, включающей элементарные стадии инициирования, роста и обрыва цепей.

УФ-отверждаемые композиции на основе эпоксиакрилатов были описаны ещё в 1958 г. Они не предназначались специально для защиты OВ, но показали высокие скорости фотополимеризации и хорошие эксплуатационные свойства полимеров. Это позволило позднее использовать их в качестве УФ-отверждаемых композиций для 0В. Так, авторы использовали бромированный бисфенол, который этерифицировали акриловой кислотой в присутствии диглицидилового эфира 1,4-бутандиола, гидрохинона и диэтиламиноэтанола. К полученной композиции добавляли фотоинициатор и силановую адгезионную добавку. Такая композиция позволяет покрывать OВ защитным полимерным покрытием со скоростью до 25 м/мнн [12].

Способ синтеза олигомеров, в частности, эпоксиакрилатов, достаточно отработан и поддается простому контролированию хода реакции по кислотному или эпоксидному числу, а также по изменению динамической вязкости продукта.

Известна эпоксиакрилатная фотоотверждаемая композиция, содержащая до 40% диакрилатов и имеющая высокую скорость полимеризации.

Строение основного компонента, полученного этерификацией эпоксиолигомеров акриловой кислотой, авторы выражают следующей формулой:

Аr, X-алкилэфирные остатки.

Некоторые аспекты процесса УФ-отверждения лаков и красок в типографии

В области отделки печатной продукции все большую популярность завоевывают лаки, отверждаемые под действием УФ-излучения. По сравнению с другими видами лаков (оксиполимеризующимися на масляной основе, дисперсионными на водной основе и на базе летучих растворителей) в их пользу можно привести много аргументов: глянец, стойкость к истиранию, малое время высыхания (менее 1 с), возможность избирательного нанесения лака, экологическая чистота и низкий расход электроэнергии. По первым четырем параметрам УФ-лаки значительно превосходят другие. (Хотя здесь речь идет о лаках, то же самое можно отнести и к УФ-краскам.) Отверждение этих материалов происходит в специальных модулях сушки, которые отличаются невысоким расходом электроэнергии и небольшими габаритами.

На отечественном рынке полиграфматериалов появилась масса различных лаков и красок, отверждаемых под действием УФ-излучения. Причем, если краски предлагаются производителями в основном для трафаретной и флексографской печати, то лаки — и для офсета. Стоит отметить, что в состав покрытия для определенного способа печати вводятся различные компоненты и добавки, исключающие использование этого продукта для другого вида печати. Важным фактором при покупке УФ-лаков и красок является информация от производителя о необходимой для полимеризации энергетической освещенности (экспозиции) и максимально возможной скорости отделки печатного оттиска при использовании определенного вида лака или краски. Весомой также является информация от поставщика о способности печатной продукции длительно сохранять свои потребительские свойства. Например, некоторые лаки со временем желтеют, что может весьма негативно сказаться на изображении. Другой неприятный фактор, проявляющийся со временем — снижение стойкости к истиранию. Это ведет к тому, что яркая блестящая поверхность становится мутной и исцарапанной. Следует упомянуть о том, что при использовании УФ-отверждаемых лаков могут возникнуть трудности, связанные с растеканием лака по запечатанной поверхности, а также с высыханием залакированного оттиска. В этом случае рекомендуется лакировать уже высохшие оттиски (речь идет об использовании обычных офсетных красок) или же печатать соответствующими УФ-красками — это сочетание дает оптимальное качество.

К сожалению, УФ-лаки и краски отечественными производителями не выпускаются. Материалы зарубежных фирм, как уже отмечалось, имеют довольно высокую, а иногда явно завышенную стоимость, что существенно ограничивает их применение. И естественно, актуальным является производство отечественных аналогов. По подсчетам экономистов, в этом случае их стоимость уменьшится как минимум на четверть. Однако при налаживании собственного производства может возникнуть масса сложностей, связанных как с финансовым, так и с техническим обеспечением, а главное, с разработкой химического состава материалов.

Для решения последней части проблемы в Московском государственном университете печати на кафедре химии и материаловедения проводятся исследования для разработки фотополимеризующейся композиции (ФПК) — основы лакокрасочных материалов УФ-сушки. Целью этих работ является создание такой основы, которая была бы лишена выше описанных недостатков. На базе предыдущих исследований кафедры была разработана олигомерно-мономерная смесь, компоненты которой выпускаются отечественной химической промышленностью и гарантируют отсутствие наиболее существенных недостатков (желтизна и снижение стойкости на истирание в процессе хранения). Но работа не могла считаться законченной: необходимо выбрать оптимальный фотоинициатор, который определяет столь существенный параметр, как время отверждения композиции. Критерием выбора фотоинициатора было наименьшее время, необходимое для высыхания. Сутью данной работы являлось исследование поведения наиболее распространенных за рубежом фотоинициаторов при их введении в разработанную МГУП олигомерно-мономерную смесь с целью выявления наиболее эффективного, а также подбор некоторых существенных технологических параметров УФ-сушки. Следует отметить, что скорость отверждения композиции в числе прочих факторов зависит от влияния кислорода воздуха, поглощающей способности фотоинициатора и его способности инициировать реакцию полимеризации. Одна из целей работы — изучение влияния кислорода на процесс УФ-сушки, так как обычно лакирование производят на воздухе.

В процессе работы была изучена кинетика фотополимеризации мономерно-олигомерной смеси, лежащей в основе ряда красок и лаков УФ-отверждения, при наличии контакта с воздухом в присутствии фотоинициаторов, являющихся производными антрахинона.

Была приготовлена ФПК, состоящая из смеси мономера МГФ-9 и олигомера из числа диановых эпоксиакрилатов, в которую поочередно вводились небольшие количества различных фотоинициаторов: 2-третбутилантрахинона, 2,7-дитретбутилантрахинона, 1-хлорантрахинона.

Для каждого фотоинициатора на инфракрасном спектрофотометре при длине волны 930 нм получали данные для построения кривых приращения числа двойных связей. По этим кривым определяли кинетику отверждения данной ФПК в виде зависимости величины конверсии приращения числа двойных связей, влияющей на полимеризацию, от времени отверждения. Облучение происходило под УФ-лампой ДРТ-400 через определенные интервалы времени при энергетической освещенности 0,1 Вт/см2 (толщина слоя 30 мкм) [14].

Экологически безопасные отделочные материалы

В соответствии с современными, принятыми во всем мире технологиями, наиболее актуальной считается отделка при помощи лаков и масел с УФ-отверждением. УФ- облучение - самый распространенный способ радиационного отверждения ЛКМ в Европе.

ЛКМ УФ-отверждения наряду с воднодисперсионными, порошковыми материалами и так называемыми ЛКМ с ВСО (высоким содержанием сухого остатка) представляют собой экологически благоприятные покрытия будущего. Эти материалы начали применяться более 20 лет назад, когда в мебельной промышленности использовались в основном полиэфирстироловые системы, которые вследствие небезопасности стирола в дальнейшем были заменены системами на основе акриловых связующих.

УФ-акриловые лаки имеют в своей основе акриловые связующие и акриловые реактивные растворители, которые с помощью фотоинициаторов образуют под влиянием УФ-лучей отвержденные пленки. Вследствие высокого уровня полимеризации эти пленки отличаются особой химической стойкостью и хорошими физическими свойствами. Благодаря своей прочной адгезии, как на субстрат (основу), так и на пленку покрытия, акриловые ЛКМ УФ-отверждения применяются и для предварительных - грунтовочных, и для финишных покрытий.

Преимущества акриловых ЛКМ УФ-отверждения:

• экологическая безопасность (отсутствие эмиссии (испарения) растворителей благодаря 90-100% доле нелетучих веществ;

• сокращение времени отверждения и в целом более быстрый процесс производства;

• отличные химические и физические свойства отвержденных пленок;

• рабочее помещение, в котором происходит производственный процесс, занимает малые площади;

• экономное расходование электроэнергии;

• возможность применения субстратов, чувствительных на тепло вследствие меньшего инфракрасного (теплового) облучения;

• низкая пожароопасность производства;

• относительно невысокая цена квадратного метра обработанной поверхности.

Высокое качество пленки достигается в том числе и за счет компонентов, входящих в состав типичной УФ-акриловой системы: связующего (акрилатного олигомера), реактивных растворителей, фотоинициатора, добавок (реологических и поверхностных) и вспомогательных (в том числе матирующих) средств.

УФ-отверждение ЛКМ производится в заводских условиях, что является еще одним залогом высокого качества изделия. Технология заводской лакировки паркета исключает дефекты ручного нанесения и позволяет достичь "мебельного" качества. Лак на такой паркет наносится механически методом безвоздушного распыления в специальных вакуумных камерах и отверждается за счет ультрафиолетового или электронно-лучевого облучения.

УФ-отверждение часто рассматривается как относительно новая концепция, однако на самом деле этот принцип применялся с незапамятных времен. Действительно, справедливо высказывание, что "новое - это хорошо забытое старое". Одним из первых известных примеров использования ультрафиолетового отверждения является обработка древними египтянами тканей особым светочувствительным составом: смесью лаванды и сирийского битума. Ткани высушивались на солнце, приобретая прочность, а также особые бактерицидные и консервирующие свойства, и затем использовалась для завертывания мумий.

Этапы процесса УФ-отверждения

В настоящее время многие фирмы-производители (в частности, итальянская компания Superfici) предлагают современные вальцовые линии для нанесения лаковых покрытий. На этих линиях и осуществляется технологический процесс отвеждения пленки под влиянием УФ-лучей с длиной волны от 200 до 450 мм. Он протекает в четыре этапа:

• формирование простых радикалов фотоинициатора под влиянием УФ-лучей

• реакция свободных радикалов фотоинициатора с ненасыщенными группами в системе УФ-отверждения вызывает цепную полимеризацию

• продолжение роста цепной полимеризации

• окончание полимеризации до образования твердой структуры.

В окончательном виде подобное покрытие представляет собой "многослойный пирог", в котором первый слой является адгезионным, следующий - шпатлевочным, далее идет грунтовочный слой и завершает все слой так называемого топ-лака (от англ. top - поверхность). Первый (адгезионный) слой - это специальный состав на водной основе, который является скорее не лаком, а пропиткой. Он наносится непосредственно на массивную древесину, и его функция заключается в частичном или полном заполнении пор субстрата, (основы) с помощью которого получается очень гладкая поверхность, пригодная для нанесения последующих слоев. Все остальные слои - это лаки, имеющие практически стопроцентный сухой остаток. Они представляют собой жидкую массу, которая под воздействием ультрафиолетового излучения полимеризуется.


Список литературы

1. Н.Н. Романова, А.Г. Гравис, Н.В. Зык. Микроволновое облучение в органическом синтезе // Успехи химии.- 2005. - №11. – С. 1059 – 1101

2. И.В.Целинский, А.С. Брыков, А.А. Астратьев. Влияние микроволнового нагрева на протекание органических реакций различных типов // Журнал общей химии. – 1996. - № 10. – С. 1696 - 1704.

3. Сапунов Г.С. Ремонт микроволновых печей // Серия «Ремонт». - 2003. -№19. - С. 4-26.

4. Г.С.Княжевская, М.Г. Фирсова, Р.Ш. Килькеев. // Высокочастотный нагрев диэлектрических материалов. Л.: Машиностроение, 1989. С. 4.

5. Ю.С. Архангельский, И.И. Девяткин. // Сверхвысокочастотные нагревательные установки для интенсификации технологических процессов. Саратов: Изд. Саратов . Гос. унив., 1983. С. 9.

6. Дворко И.М. Получение полимерных материалов и изделий отверждением темореактивных композиций под действием электрических полей. [Электронный ресурс]. – [2007]. – Режим доступа: http://www.sciteclibrary.ru/rus/catalog/pages/4487.html

7. Глуханов Н.П., Федорова И.Г. Высокочастотный нагрев диэлектрических материалов в машиностроении.- Л.: Машиностроение, 1983.- 160 с.

8. Применение микроволновой техники в лабораторных исследованиях и промышленности. Д.Л. Рахмангулов [и др.] / Журнал прикладной химии. – 2002. – Т.75. Вып. 9. – С.1409-1416

9. Новое ультрафиолетовое термическое оборудование и его использование для обработки тканей, В.С.Побединский, А.В.Рыжаков. Научно-техническая фирма "ВПК ЛТД", Ивановский научный центр ИА РФ, 2002.

10. Римский-Корсаков А. В., Ямщиков B. C., "Вестник АН СССР", 1980, №7, с. 3-11

11. B. C. Ямщиков. Акустическая технология обогащения полезных ископаемых, М., 1987

12. Фотохимия полимеров. Phillips. 1976. V. l. P. 507-557.

13. Labana S.S. Photopolymerization // Macro-mol. Sci. Revs. 1974. C. 11(2)299-319

14. Некоторые аспекты процесса УФ-отверждения лаков и красок, Д. Токманцев // «Флексо Плюс» №4 (6), 1998 г. С.4-8

Оценить/Добавить комментарий
Имя
Оценка
Комментарии:
Делаю рефераты, курсовые, контрольные, дипломные на заказ. Звоните или пишите вотсап, телеграмм, вайбер 89675558705 Виктория.
13:43:50 15 октября 2021
Срочная помощь учащимся в написании различных работ. Бесплатные корректировки! Круглосуточная поддержка! Узнай стоимость твоей работы на сайте 64362.ru
22:01:30 11 сентября 2021
Привет студентам) если возникают трудности с любой работой (от реферата и контрольных до диплома), можете обратиться на FAST-REFERAT.RU , я там обычно заказываю, все качественно и в срок) в любом случае попробуйте, за спрос денег не берут)
Olya01:32:56 26 августа 2019
.
.01:32:55 26 августа 2019
.
.01:32:54 26 августа 2019

Смотреть все комментарии (16)
Работы, похожие на Курсовая работа: Ультрафиолетовое отверждение лаков и красок

Назад
Меню
Главная
Рефераты
Благодарности
Опрос
Станете ли вы заказывать работу за деньги, если не найдете ее в Интернете?

Да, в любом случае.
Да, но только в случае крайней необходимости.
Возможно, в зависимости от цены.
Нет, напишу его сам.
Нет, забью.



Результаты(286414)
Комментарии (4153)
Copyright © 2005-2021 HEKIMA.RU [email protected] реклама на сайте