Ядром методической системы обеспечения всеобщей компьютерной грамотности является новый учебный предмет «Основы информатики и вычислительной техники».
Содержание курса определялось из целей и задач обеспечения всеобщей компьютерной грамотности учащихся, а также с учетом следующих принципиальных позиций:
на первом этапе внедрения курса информатики подавляющее большинство школ страны не располагали вычислительной техникой, поэтому первый вариант учебного пособия был ориентирован на безмашинный вариант изучения курса;
компьютерная грамотность обеспечивается изучением не одного курса информатики, а комплекса учебных предметов. Поэтому при разработке содержания этого курса учитывались функции и вклад в компьютерную грамотность других предметов;
курс основ информатики и вычислительной техники, ставший фундаментальной компонентой общего среднего образования, разрабатывался как общеобразовательный и доступный для всех учащихся, т. е. он должен решать задачи не только подготовки учащихся к практической деятельности, внедрения компьютеров в большинство областей народного хозяйства, но и задачи умственного развития, формирования научного мировоззрения, воспитания учащихся и др. Кроме того, общеобразовательный характер этого учебного предмета требует доступности его содержания для всех школьников, учащихся ПТУ и техникумов;
курс информатики должен иметь межпредметный характер;
курс информатики должен сформировать у учащихся совокупность знаний, умений и навыков, обеспечивающих достижение второй задачи внедрения ЭВМ в среднее образование — широкое использование компьютеров в процессе изучения всех общеобразовательных учебных предметов, а также и трудовое обучение;
информатика как наука является «молодой» отраслью научного знания, поэтому имеется немало различных позиций относительно круга вопросов, составляющих ее предмет, а также удельного веса каждого из этих вопросов в содержании этой науки. Поэтому курс школьной информатики как основы данной отрасли знаний должен отражать ту инвариантную часть этой науки, которая содержится в определении предмета информатики, даваемого различными авторами;
как другой любой школьный предмет основы информатики должны не только познакомить учащихся с кругом вопросов, изучаемых этой наукой, но и сформировать определенный комплекс практических умений и навыков. Обеспечить курс системой задач и упражнений, практических работ в условиях безмашинного варианта обучения было возможно, лишь сосредоточив основное внимание на его содержании, на формировании алгоритмической культуры, развитии навыков программирования. Однако такое перераспределение удельного веса в пользу этих компонентов компьютерной грамотности — временная мера, отражающая специфику именно безмашинного варианта изучения курса.
Содержание курса базируется на трех фундаментальных понятиях современной науки: информация — алгоритм — ЭВМ. Именно эта система понятий задает обязательный уровень теоретической подготовки.
В задачи нового курса входит:
овладение основными умениями алгоритмизации;
формирование представлений о возможности автоматизации выполнения алгоритма;
усиление прикладной и политехнической направленности алгоритмической линии, заключающееся в конкретной реализации алгоритмов решения задач на современных ЭВМ;
ознакомление с основами современной вычислительной техники на примере рассмотрения общих принципов работы микрокомпьютера;
формирование представления об этапах решения задачи на ЭВМ;
ознакомление с основными сферами применения вычислительной техники, ее ролью в развитии общества.
Основная позиция авторского коллектива при создании учебного пособия заключается в том, что курс основ информатики и вычислительной техники есть общеобразовательный предмет. Его главная задача — дать школьникам основы науки информатики, а не сделать их профессиональными программистами. Поэтому, среди фундаментальных понятий, отражающих общеобразовательный характер науки информатики в учебном пособии были отобраны понятия компьютерного подхода к решению задач и алгоритма.
Алгоритмический стиль мышления является характерной чертой науки информатики. Он проявляется не только как метод решения задачи, но и как последовательность методов подготовки задачи к ее решению на ЭВМ. Эту последовательность также можно рассматривать как своеобраз-ный алгоритм. Отдельными шагами этого алгоритма являются этапы решения задачи.
Как всегда, решение задачи начинается с ее постановки. В информатике этот этап приобретает особое значение благодаря тому, что в постановке задачи участвуют реальные, а не математические объекты. Чтобы решить такую задачу, необходимо построить ее математическую модель. Об этом этапе поговорим подробнее. Понятие математической модели в неявном виде присутствует и в школьных курсах математики и физики, однако только в курсе информатики понятие модели формулируется в явном виде, и ставятся задачи на построение модели. Понятие модели, появившееся в курсе основ информатики,— одно из самых важных «приобретений» для средней школы. Ведь понятие модели в наши дни приобрело чрезвычайную общность и уже вышло из сферы чисто математических понятий. Оно широко используется в химии, биологии, социологии и т. д. В мировоззренческом плане очень важно научить школьников различать факты, относящиеся к реальному миру и к его модели.
Алгоритмический язык предназначен для единообразной записи и исполнения алгоритмов. Методическая целесообразность его введения в курс заключается в следующем. С одной стороны, алгоритмический язык близок к естественному языку. Командами алгоритмического языка могут быть любые предложения русского языка в повелительном наклонении. С другой стороны, правила алгоритмического языка составлены таким образом, чтобы сделать его похожим на реальный язык программирования, который учащимся придется изучать в дальнейшем. Таким образом, с первых шагов изучения информатики учащиеся получают теоретические представления о конструкциях, которые лежат в основе практически всех современных языков программирования.
Изучение алгоритмического языка — одна из важнейших задач курса информатики. Алгоритмический язык выполняет две основные функции. Во-первых, его применение позволяет стандартизировать, придать единую форму всем рассматриваемым в курсе алгоритмам, что важно для формирования алгоритмической культуры школьников. Во-вторых, изучение алгоритмического языка является пропедевтикой изучения языка программирования. Методическая ценность алгоритмического языка объясняется еще и тем, что в условиях, когда многие школьники не будут располагать ЭВМ, алгоритмический язык является наиболее подходящим языком, ориентированным для исполнения их человеком.
Изучение языка программирования в курсе основ информатики преследует две цели. Во-первых, это иллюстративная цель — показать школьникам, как конструкции алгоритмического языка могут быть выражены средствами языка программирования, предназначенного для ЭВМ. Во-вторых, прикладная цель — дать учащимся возможность исполнить на ЭВМ те несложные алгоритмы, которые они освоили или разработали сами при изучении основ алгоритмизации.
Одна из важнейших задач курса информатики — познакомить учащихся с основными областями применения ЭВМ, сформировать представления о вычислительной технике как средстве повышения эффективности деятельности человека. Конечно, эта задача должна пронизывать все содержание курса, каждый урок по этому предмету. Однако при отсутствии в школе кабинетов вычислительной техники особая роль здесь принадлежит экскурсии в Вычислительный центр.
С точки зрения содержания курса произойдет значительная переориентация на формирование умений использования ЭВМ в различных областях деятельности человека, умений применять готовое прикладное программное обеспечение. С точки зрения методики обучения произойдет коренная перестройка организации учебного процесса на основе систематической работы школьников с компьютером как средством обучения. Это сделает усвоение учебного материала более доступным, значительно усилит познавательные возможности школьников, существенно активизирует их самостоятельную учебную деятельность.
Новая программа и методика курса позволит в более полной мере решить задачу достижения компьютерной грамотности, как она поставлена в «Основных направлениях реформы общеобразовательной и профессиональной школы» — вооружить учащихся знаниями и навыками использования современной вычислительной техники.
Школьники должны освоить системы обработки текстовой информации, получить навыки работы с текстами на ЭВМ, хранения и вывода текстов на печать, познакомиться с машинной графикой. Большое прикладное значение будет иметь формирование в курсе умений работать с базами данных, с электронными таблицами, а также формирование навыков применения пакетов прикладных программ для решения разного рода задач. Наконец, учащиеся познакомятся с такими важнейшими сферами использования вычислительной техники в производстве, как станки с программным управлением, машины со встроенными микропроцессорами, автоматизированные рабочие места. Школьники получат представление об АСУ и автоматизации проектирования, применения ЭВМ в науке, медицине, образовании. Следует подчеркнуть, что это знакомство произойдет не только на страницах учебника, но прежде всего в процессе работы пусть с простейшими учебными, но реальными системами, реализованными на школьной ЭВМ.
Информатика на своих уроках объединит в ЭВМ предмет и средство обучения. Это окажет значительное влияние на организацию учебного процесса. Специфика урока информатики проявится прежде всего в существенном объеме практических работ с использованием ЭВМ, при котором «контактное время» работы с ЭВМ составляет не менее половины урока. В курсе предусматриваются три вида организованного использования кабинета вычислительной техники на уроках информатики: демонстрация, лабораторная работа (фронтальная) и практикум. Эти виды практических работ различаются по длительности и по соотношению роли преподавателя и учащихся.
Демонстрация: работу на ЭВМ ведет учитель; учащиеся либо наблюдают за его действиями через демонстрационный экран, либо воспроизводят эти действия на своих рабочих местах. Лабораторная работа (фронтальная): сравнительно короткий (3—15мин) период самостоятельной, но синхронной работы учащихся с учебным программным средством, направленной либо на его освоение, либо на закрепление материала, объясненного учителем, либо на проверку усвоения полученного знания или операционного навыка. Роль учителя во время фронтальной лабораторной работы — обеспечение синхронности действий учащихся и оказание экстренной помощи по инициативе учеников. Практикум: выполнение протяженной самостоятельной работы с компьютером в пределах одного-двух уроков по индивидуальному заданию; работа требует синтеза знаний и умений по целому разделу курса. Учитель главным образом обеспечивает индивидуальный контроль за работой учащихся.
Формирование навыков работы с компьютером, освоение прикладного программного обеспечения в курсе информатики позволит реализовать вторую важнейшую задачу внедрения ЭВМ в школу — обеспечить широкое использование компьютеров в процессе изучения всех общеобразовательных учебных предметов, а также в трудовом обучении.
При обучении математике могут найти применение, прежде всего следующие возможности современных компьютеров.
1. Быстрота и надежность обработки информации любого вида. Отметим, что для обработки числовой информации можно использовать не только микроЭВМ, но и калькулятор.
2. Представление информации в графической форме. По своим графическим (демонстрационным) возможностям микроЭВМ практически не уступают даже цветному телевидению, но позволяют активно влиять на ход демонстраций, что значительно повышает их методическую ценность.
3. Хранение и быстрая выдача больших объемов информации. Например, все используемые в курсе математики таблицы могут храниться в памяти компьютера. Требуемая информация выдается на экран после одного-двух нажатий клавиш.
Возможности применения микроЭВМ на уроках зависят от программного обеспечения машин. Все используемые на занятиях программы можно условно разделить на обучающие и учебные. Обучающие программы создаются для того, чтобы заменить учителя в некоторых видах его деятельности (при объяснении нового материала, закреплении пройденного, проверке знаний и т. п.).
Цель учебных программ — помочь ученику в его познавательной деятельности, работе на уроке. Использование учебных программ осуществляется при участии и под руководством учителя. С помощью учебных программ можно выполнить разнообразные вычислительные операции, анализировать функции, строить и исследовать математические модели различных процессов и явлений, использовать графику машины для повышения наглядности изучаемого материала.
Использование пакетов прикладных учебных программ, готового программного обеспечения является одной из самых важных компонентов формирования компьютерной грамотности. При этом значительно расширяются межпредметные связи между многими учебными дисциплинами, особенно между математикой и информатикой. Вычислительная техника, проникая в школьную математику, может оказать большое влияние на ее содержание и структуру и, кроме того, привести к нетрадиционным формам обучения.
Элементы информатики на уроках геометрии
С целью пропедевтики основных понятий информатики была предпринята попытка включения элементов информатики в курс геометрии VI класса при решении задач на построение. Алгоритмический характер таких задач очевиден. Поэтому была сделана попытка создания алгоритмического языка для описания процесса геометрических построений.
Система указаний для построения на плоскости. Рассмотрим алгоритмы решения задач на построение при помощи циркуля и линейки. В состав таких алгоритмов входят известные школьникам указания (предписания) выполнить определенные действия. Конечный, используемый нами набор таких указаний будем называть системой указаний.
Приведем примеры наиболее типичных указаний нашей системы.
Провести прямую через точки А и В. Обозначить построенную прямую именем а: а = пр (А, В).
Провести произвольную прямую а: а = пр (+, +).
Провести прямую через точку А: а = пр (А, +).
Провести окружность с центром в точке А и радиусом с. Обозначить построенную окружность именем 01:01=окр (А, с).
Провести окружность 01 произвольного радиуса с центром в точке А: 01=окр (А, +).
Выбрать произвольную точку на плоскости (p). Обозначить выбранную точку именем В: В =(+) или В=t(p).
Выбрать произвольную точку В на прямой а: В=t(а).
Обозначить именем ∆l треугольник с вершинами А,В,С: ∆1 =∆АВС.
Провести полупрямую а1 с началом в точке А и проходящую через точку В: а1 =ппр (А, В).
Провести произвольную полупрямую а1 с началом в точке А:
а1=ппр (А, +).
Обозначить именем ÐA угол с вершиной в точке А и сто-- ронами, проходящими соответственно через точки С и D: ÐA= ÐC,А,D.
Запятые в обозначении угла необязательны.
Обозначить именами А и В соответствующие точки пересечения прямой а с окружностью О1: {А, В}=а∩О1. Обозначить именем p1 полуплоскость с границей, содержащей прямую или полупрямую а1, и содержащую точку А вне границы: p1=ппл (а1, А).
В соответствии с приведенными примерами будем считать, что построения производятся в плоскости p. Рассматриваемые в алгоритмах полуплоскости будем обозначать буквой p вместе со следующим за ним натуральным числом. Точки будем обозначать прописными буквами русского или латинского алфавита, прямые или полупрямые — строчными буквами. После буквы в обозначении точки, прямой или полупрямой допускается запись натурального числа, часто просто цифры. Обозначение окружности будет начинаться с буквы О, обозначение треугольника — со знака ∆, обозначение угла—со знака ÐВ обозначении окружности, треугольника или угла вслед за первым символом также допускается запись последовательности цифр.
Строго говоря, отмеченные выше договоренности не являются принципиальными. Все элементы построения можно обозначать с помощью имен, состоящих из произвольной последовательности букв и цифр.
Наряду с указанными выше обозначениями, рассматривая новые элементы построения, вместе с введением новых указаний будем использовать новые обозначения, а также математические обозначения, понятные школьникам.
В записи алгоритмов также используются слова, смысл и значение которых являются постоянными в записи любых алгоритмов. Такие слова всегда записываются одинаково, обычно сокращенно и подчеркиваются.
При разработке алгоритмов на построение приведенные примеры указаний будем использовать в качестве образца для записи указаний.
Как видно из приведенных примеров, если в указании алгоритма вместо какого-нибудь параметра стоит знак «+» то данный параметр при выполнении алгоритма выбирается произвольно. При произвольном выборе параметров предполагается выбор параметров, отличных от ранее используемых в алгоритме.
Указания алгоритмов будем нумеровать последовательными натуральными числами. Между указанием и его номером будем ставить точку.
Простейшие задачи на построение

Задание 1. Построить треугольник с заданными сторонами. Предполагается, что величины сторон треугольника соответственно равны а, b, с.
Поясним каждое из приведенных указаний алгоритма.
1. Провести произвольную прямую l на плоскости.
2. Выбрать произвольную точку В на прямой l.
3. Провести окружность 01 с центром в точке В и радиусом а.
4. Обозначить именем С одну из точек пересечения окружности 01 и прямой l.
5. Провести окружность 02 с центром в точке В и радиусом с.
6. Провести окружность 03 с центром в точке С и радиусом b.
7. Обозначить именем А одну из точек пересечения окружностей 02 и 03.
8. Треугольник ∆ с вершинами в точках Л, В, С искомый.
9. Закончить действия.
Задание 2. Отложить от данной полупрямой l1 с началом в точке О в данную полуплоскость p1 угол, равный данному углу А.
Предполагается по условию задачи, что угол А задан вершиной А и двумя лучами b и с, имеющими общую вершину A.
Алгоритм 2.

Здесь указание 4 означает: провести окружность с центром в точке О и радиусом |АВ| равным расстоянию между точками A и В. Указание 6 аналогично указанию 4. Указание 7 означает: обозначить точки пересечения окружностей 02 и 03 именами С1 и С2. Порядок обозначения произвольный.
При выполнении указания 8 проверяется принадлежность точки С1 полуплоскости p1. Если точка С1 принадлежит полуплоскости л1, то под углом О будем понимать ÐB1, О, С1 с вершиной в точке О и лучами, проходящими через точки В1 и С1. Если точка С1 не принадлежит полуплоскости p1, то под углом О будем понимать ÐB1, О, С2 с вершиной в точке О и сторонами, проходящими через точки В1 и С2.
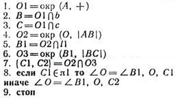
Задание 3. Построить биссектрису данного угла A, образованного лучами b и с.
Алгоритм 3. 1. 01=окр (Л, +)
2. В=O1∩b
3. С=01∩с

В приведенном алгоритме указание 6 означает: обозначить точку пересечения окружностей 02 и 03 именем D. Так как одной из точек пересечения окружностей 02 и 03 является точка A, то точка D может быть построена однозначно. Указание 7 означает: построить полупрямую d с началом в точке А и проходящую через точку D.
Задание 4. Разделить отрезок АВ пополам.
Алгоритм 4. 1. 01=окр (A, |АВ|)
2. 02=окр (B, |AВ|)
3. {С1.С2}=01∩02
4. l1=пр (Cl. C2)
5. M=l1∩AВ
6. стоп
Указание 5 означает: построить точку пересечения прямой l1 и отрезка АВ.
Задание 5. Через данную точку О провести прямую l, перпендикулярную данной прямой а.
Алгоритм 5. 1. если ОÏа то идти к 4
2. 01=окр (О, +)
3. идти к 6
4. В=t (а)
5. 01=окр (0,2|OB|)
6. {A, С} =01∩а
7. 02=окр (A, |AС|)
8. 03=окр (С, |AС|)
9. {D,K}=02∩03
10.l=пр (D,K)
11. стоп
Указание 5 здесь означает: построить окружность 01 с центром в точке О и радиусом, равным удвоенному расстоянию между точками О и В.
Использование алгоритмов
Приведенные выше алгоритмы мы будем считать основными простейшими алгоритмами для решения задач на построение при помощи циркуля и линейки. Эти алгоритмы можно использовать для решения других задач на построение.
Для удобства обращения к алгоритмам каждому алгоритму будем давать название (имя) и указывать исходные данные для алгоритма (аргументы), а также результаты его выполнения.
Удобно, указывая аргументы и результаты алгоритма (параметры), одновременно указывать их тип: рац—рациональное число, цел—целое число, пр—прямая, ппр—полупрямая, т — точка, окр—окружность, тр—треугольник, уг—угол, ппл—полуплоскость и т. д.
Название алгоритма, указание его параметров и их типов будем записывать в виде заголовка алгоритма перед первым его указанием. В качестве образца заголовка алгоритма приведем заголовок для алгоритма 1:
алг трг (рац а, b, с; тр ∆)
арг а, b, с
рез ∆
Имя алгоритма будем помещать в первой строчке заголовка после служебного слова алг— Имя алгоритма 1 состоит из трех букв — трг. После имени алгоритма в скобках указываются типы параметров алгоритма. Параметры одного типа разделяются запятыми. Различные типы параметров разделяются точкой с запятой. Во второй строчке после служебного слова арг через запятую перечисляются аргументы алгоритма, в третьей строчке после служебного слова рез перечисляются результаты алгоритма.
После заголовка алгоритма будем записывать служебное слово нач, после которого помещаются указания алгоритма. После последнего указания алгоритма будем записывать служебное слово кон.
Рассмотренным выше алгоритмам 2, 3, 4, 5 дадим соответственно имена: уг, бис, дел, пер.
При использовании известного алгоритма в решении задач достаточно в качестве отдельного указания записать обращение к алгоритму, состоящее из названия алгоритма и списка его параметров, причем тип параметров в обращении не указывается.
Параметры, являющиеся аргументами, должны быть определены к моменту выполнения алгоритма, т. е. заданы по условию или предварительно построены (числовые вычислены).
Рассмотрим следующий пример:
Задание 6. Построить треугольник с заданными сторонами а, b, с, если а =2, b=3, с =4.
Для выполнения задания будем использовать алгоритм трг, в таком случае требуемый алгоритм может иметь следующий вид:
Алгоритм 6. ал г тр1 (рац а, b, с; тр ∆)
арг а, b, с
рез ∆
нач
1. а=2
2. b=3
3. с=4
4. трг (а, b, с, ∆)
5. стоп
6.кон
Первые три указания задают аргументам алгоритма трг числовые значения. Указание 4 алгоритма тр1 требует применения алгоритма трг, который по заданным значениям длин сторон указывает способ построения искомого треугольника.
Указания 1—3 последнего алгоритма можно опустить, в этом случае искомый алгоритм будет иметь следующие указания:
1. трг (2, 3, 4, ∆)
2. стоп
Алгоритм-функция
Рассмотрим другую форму записи обращения к алгоритму. Рассматриваемое выше указание для построения треугольника по трем заданным сторонам трг (2, 3, 4, ∆) можно записать следующим образом: ∆=трг (2, 3, 4). Указания такого вида будем называть указаниями, имеющими форму функции.
Всякое обращение к известным алгоритмам можно записать в виде указания, имеющего форму функции. В свою очередь всякое указание на построение можно рассматривать как использование алгоритма, обращение к которому имеет форму функции.
Так, например, указание 01=окр (А, р) можно рассматривать как обращение к алгоритму с именем окр и параметрами A и р, являющимися аргументами алгоритма. Результат построения по данному алгоритму обозначается именем 01.
Такой алгоритм может состоять, например, из следующих указаний:
1. Сделать раствор циркуля равным р.
2. Поставить одну ножку циркуля в точку А.
3. Второй ножкой циркуля описать окружность.
4. Закончить действия.
Для указаний приведенного алгоритма можно также ввести сокращения и обозначения, удобные для записи, однако это делать необязательно, так как на практике такого рода указаниями обычно не пользуются.
Методические указания
Для изучения темы «Геометрические построения» в VI классе средней общеобразовательной школы отводится 14 ч.
На первом уроке вводятся определения окружности, центра, радиуса, хорды окружности, диаметра. Эти понятия являются уже знакомыми для учащихся. Представляется целесообразным на этом же уроке рассмотреть простейшие указания для построения алгоритмов: проведение окружностей, прямых, выбор точки из множества. После рассмотрения простейших указаний необходимо перейти к рассмотрению простейших алгоритмов.
Учащимся рекомендуется рассмотреть простейшие алгоритмы следующего вида:
1. Построить окружность с центром в точке О и радиусом 3 см.
2. Отложить на построенной окружности точку А и построить
отрезок О А.
3. Отметить на окружности две точки М и N. Провести хорду, их соединяющую.
4. Построить общую секущую к двум окружностям.
После выполнения каждого пункта учащиеся показывают свои записи и учитель вносит необходимые пояснения и коррективы.
На этом же уроке или в качестве домашнего задания рекомендуется рассмотреть алгоритмы построения к задачам 5 и 6.
На втором и третьем уроках рассматриваются понятия касательной к окружности, взаимное расположение двух окружностей, теоремы о центрах вписанной и описанной окружностей.
На этих уроках целесообразно рассмотреть указания алгоритмов, содержащие условные указания и указания перехода. Рекомендуется также использовать задания вида:
1. Провести диаметр окружности.
2. Проверить, является ли прямая касательной к окружности.
На четвертом и пятом уроках следует рассмотреть указания алгоритмов, содержащие понятия полупрямой, полуплоскости, угла, треугольника. Здесь решаются задачи, связанные с построением угла, равного данному, а также треугольника по трем заданным элементам.
На шестом, седьмом и восьмом занятиях рассматриваются вопросы: построение биссектрисы угла, деление отрезка пополам и построение перпендикулярной прямой.
При проведении этих занятий целесообразно рассмотреть алгоритм построения прямой, параллельной данной и проходящей через данную точку, алгоритм построения прямой, касающейся окружности и проходящей через данную точку, и другие алгоритмы подобного типа, обращения к которым в дальнейшем можно использовать как элементарные указания.
При разработке алгоритма построения прямой, параллельной данной прямой а и проходящей через данную точку А, мы используем обращение к алгоритму 5 (построение прямой, проходящей через данную точку, перпендикулярно данной прямой).
Алгоритм 7. алг пар (т А, пр a, l)
арг А, а
рез l
нач пр b
1. b=пер (А, а)
2. l=пер (А, b)
3. стоп
кон
В приведенном алгоритме использовалась прямая b, которая не является параметром алгоритма. Указание типа для имени
b записано перед первым указанием алгоритма, после служебного слова нач.
В дальнейшем для построения прямой l, параллельной данной прямой а и проходящей через данную точку А, можно использовать обращение к алгоритму 7: l=пар (А, а).
Для проведения произвольной прямой, параллельной данной прямой а, можно использовать указание: l=пар (+,о).
Приведенные указания для использования алгоритма пар можно считать элементарными и не разбивать их на более мелкие указания.
Аналогично можно рассмотреть алгоритмы построения касательных к окружности, проходящих через данную точку.
Занятия 9—14 посвящаются вопросам: геометрическое место точек, метод геометрических мест, углы, вписанные в окружность. На этих занятиях предполагается свободное использование элементов изученной учебной графической системы при рассмотрении алгоритмов на построение.
В целом при изучении данной темы учащиеся должны усвоить основные элементарные указания алгоритмов построения на плоскости, правила и особенности их использования. При этом должна ставиться цель пропедевтики курса информатики, приобретения и развития алгоритмических навыков. У учащихся должен вырабатываться взгляд на алгоритмический язык как на совокупность средств и правил записи алгоритмов.
Межпредметные связи курсов «основы информатики и вычислительной техники» и «Математика» при выборе задач для практики по программированию.
Можно выделить три основных этапа практики:
выбор темы задачи и составление алгоритма ее решения, написание, отладка и тестирование программы, оформление и защита отчета по проделанной работе. Мы рассмотрим здесь первый этап работы.
1. Прикладная направленность. Тема работы должна отражать реальную ситуацию, возникающую в научно-технической практике применения ЭВМ. Разумеется, уровень сложности при этом должен соответствовать возможностям школьника.
2. Математическое моделирование. Работа должна содержать составление математической модели изучаемого явления, включая такие вопросы, как сравнение различных моделей и выбор более эффективной с учетом использования компьютера.
3. Использование межпредметных связей. Работа должна опираться на знания и умения, полученные школьниками на других уроках как физико-математического, так и естественного, а возможно, и гуманитарного цикла.
Темы работ по программированию разбиваются на три группы:
системные задачи; задачи вычислительной математики; информационные, или нечисленные, задачи (разумеется, некоторые задачи находятся «на стыке»).
Системные задачи, требующие глубокого знания работы ЭВМ, обычно привлекают немногих сильных учеников. Желательно предоставлять им возможность индивидуальной работы
Вторую группу составляют задачи вычислительной математики. В курсах математики и программирования учащиеся знакомятся с основными методами приближенного решения уравнений, решения систем линейных уравнений, с методами интерполяций и экстраполяции, с методами численного интегрирования. Это позволяет предложить школьникам большой набор заданий. Однако при этом возникают затруднения методического плана.
Численный метод представляет собой полностью описанный алгоритм, и изучение его сопровождается составлением и подробным разбором схемы алгоритма и программы, а часто и отладкой этой программы в качестве практического задания. Поэтому задание типа «Составьте программу решения данного уравнения методом хорд» ко времени прохождения практики является слишком простым и, главное, не требует самостоятельной творческой работы учащегося. Кроме того, курс вычислительной математики в школе в силу нехватки учебного времени и отсутствия развитого математического аппарата носит неполный характер и, как правило, оставляет в стороне вопросы сходимости, точности и т. п. Это может привести к неожиданным сложностям при решении практических задач. Отметим также, что если в курсе вычислительной математики изучается большое количество приближенных методов, то в школьной практике в отличие от научной применяются в основном точные аналитические методы, что достигается искусственным сужением класса рассматриваемых функций и подбором коэффициентов. Практически все сводится к приближенному подсчету значения выражений в задачах по физике и химии.
Чтобы избежать этих трудностей, целесообразно предлагать учащимся исследовать реальные физические, химические и другие подобные ситуации, самостоятельно продумать математическую модель явления, приводящую к уравнению или системе уравнений. Эти уравнения решаются в дальнейшем путем применения численного метода с использованием стандартной подпрограммы, составленной на соответствующем уроке вычислительной математики. Желательно, чтобы уравнения, описывающие рассматриваемые явления, не решались аналитически или их решение было чересчур сложным — этим наглядно демонстрируется эффективность применения приближенных методов.
Большинство учащихся обычно выбирают информационные задачи. Как пишет известный американский специалист по системному программированию Д. Кнут, «числа в таких задачах встречаются по чистой случайности, и при решении этих задач используется способность вычислительной машины принимать решения, а не ее умение производить арифметические действия». Эти задачи позволяют охватить практически все сферы интересов учащихся: математику, физику, химию, биологию, игры и многое другое. Заложенные в них математические модели и алгоритмы допускают простые и наглядные формулировки, опирающиеся на основные понятия соответствующих предметов: «многочлены»,
«структуры органических молекул», «электрические цепи» и т. п. При этом информационные задачи отличаются высоким уровнем логической сложности и дают возможность познакомить школьников с практическим использованием основных информационных структур и алгоритмов, составляющих современное нечисленное программирование.
Кроме того, информационные задачи легко поддаются методической обработке — небольшие изменения в формулировке задания позволяют варьировать уровень трудности, с тем чтобы он соответствовал возможностям конкретного школьника.
Мы остановимся на следующих темах, отражающих межпредметные связи между курсом ОИВТ и математическими курсами:
1. Целые и рациональные алгебраические выражения.
2. Делимость чисел.
3. Разложение на множители многочленов с рациональными коэффициентами.
4. Комбинаторика.
5. Выпуклые фигуры.
Целые и рациональные алгебраические выражения.
Многочлены от одного переменного образуют кольцо. Предлагается составить комплекс программ, реализующих в нем операции сложения, вычитания, умножения и деления с остатком.
Многочлены степени N естественно представлять в виде одномерных массивов размерности (0:N), т. е. нумеруя их коэффициенты:
а(0), а(1), ..., а (N). Условимся, что нулевой элемент массива содержит старший коэффициент многочлена, например, многочлен x3+3x+2 представляется массивом (1, 0, 3, 2).
Программы сложения и вычитания многочленов сводятся к поэлементным операциям над массивами, при этом нужно корректно обработать случай, когда степень одного многочлена больше степени другого.
Программа умножения работает методом накопления значений коэффициентов. На этом простом примере мы поясним способ записи алгоритма, который будет использован ниже. Каждый алгоритм имеет название («Произведение»), его шаги обозначаются первыми буквами названия и пронумерованы (Пр1 —Пр4). Шаги содержат сравнительно крупные действия, соответствующие одному-двум операторам развитого языка уровня Алгола-68 или ПЛ/1. В других языках программирование одного шага может потребовать группы операторов. Комментарии к алгоритму заключены в круглые скобки.
ПРОИЗВЕДЕНИЕ.
Пр1. ПРОИЗВ ¬0 (присвоить элементам ПРОИЗВ значение 0)
Пр2. для всех i от 0 до М выполнить Пр3 — Пр4.
Пр3. для всех j от 0 до N выполнить Пр4.
Пр4. ПРОИЗВ (M+N-i-j) ¬ПРОИЗВ (M+N-i-j)+A (i)´B (j). Здесь A(0:M) и B(0:N)—перемножаемые многочлены, ПРОИЗВ (0:M+N)—их произведение.
Более сложной является программа деления многочленов с остатком «уголком». В ней используются четыре массива: ДЕЛМ (О :М)— делимое, ДЕЛТ (0: N) — делитель, ЧАСТН (0: M)—частное и ОСТ (O:M) — остаток. Поскольку любая программа не должна менять входную информацию, массивы ДЕЛМ и ДЕЛТ должны оставаться неизменными, а для промежуточных вычислений используется массив OCT. Поэтому его размерность определена (0:M), хотя окончательно размерность остатка меньше размерности делителя. Если первые элементы массива — нули, то степень соответствующего многочлена меньше размерности массива. Определим функцию СТЕПЕНЬ (A), аргументом которой является массив, а значением — истинная степень многочлена, определяемого этим массивом. Она равна разности между числом элементов в массиве и номером первого ненулевого элемента. Алгоритм подсчета значения СТЕПЕНЬ тривиален.
ДЕЛЕНИЕ.
Д1. СТЕПМ ¬СТЕПЕНЬ (ДЕЛМ), СТЕПN ¬СТЕПЕНЬ (ДЕЛТ), ОСТ ¬ДЕЛМ
Д2. для всех i от 0 до СТЕПM — СТЕПN выполнить Д3 — Д4
ДЗ. ЧАСТН (i) ¬ДЕЛМ (СТЕПМ-i) /ДЕЛТ (N — СТЕПN)
(вычисляется коэффициент частного при члене степени СТЕПM — CTEПN - i)
Д4. для всех i от 0 до СТЕПN выполнить ОСТ (i+j)-OCT(i+/)- ЧАСТН (i) Х ДЕЛТ (/)
Д5. СТЕПОСТ ¬СТЕПЕНЬ (ОСТ), СТЕПЧАСТН ¬СТЕПЕНЬ (ЧАСТН) (СТЕПОСТ содержит степень остатка, ОСТ — остаток, СТЕПЧАСТН — степень частного, ЧАСТН — частное)
Задачу можно обобщить на случай рациональных алгебраических выражений от одного переменного. Алгебраическая дробь задается упорядоченной парой многочленов, и правила действий с дробями позволяют свести алгебраические действия над ними к действиям над многочленами. Соответствующие простые программы используют подпрограммы, составленные по вышеописанным алгоритмам. Обычно накладывается дополнительное условие, что дробь должна быть приведенной (т. е. числитель и знаменатель не должны иметь нетривиальных общих делителей), а старший коэффициент знаменателя равен 1. Разберем алгоритм приведения дроби к каноническому виду. Для этого требуется использовать алгоритм Евклида нахождения НОД многочленов.
ПРИВЕДЕНИЕ.
П1. QR¬P, RR¬Q (Q и Р—исходные массивы, RR, QR и PR—рабочие массивы, используемые при вычислениях).
П2. пока RR отлично от 0 (т. е. хотя бы один элемент не равен 0) выполнять ПЗ — П4, иначе перейти к П5 (при этом PR содержит НОД Р и Q).
ПЗ. PR¬QR, QR¬RR.
П4. Разделить с остатком (применить ДЕЛЕНИЕ) PR на QR. Остаток поместить в RR.
П5 (разделить числитель на НОД). Разделить Р на PR, частное поместить в RR (остаток равен 0).
П6 (разделить знаменатель на НОД). Разделить Q на PR, частное поместить в QR (остаток равен 0).
П7. Разделить поэлементно RR и QR на первый ненулевой элемент QR (для его определения можно воспользоваться функцией СТЕПЕНЬ) и закончить (RR и QR содержат числитель и знаменатель дроби).
Отметим, что время работы можно сократить, убрав пересылки в П3. Правда, при этом увеличивается число шагов
2. Делимость чисел. Приведем пример межпредметных связей, когда математические формулы и теоремы используются для оценки алгоритма. Мы разберем задачу, связанную с теоремой Лагранжа. Алгоритм ее решения несложен, но дает возможность познакомить школьников с проблемами анализа алгоритмов. Эти проблемы наряду с тестированием незаслуженно обходятся не только в школьных, но и в вузовских курсах программирования.
Теорема Лагранжа утверждает, что каждое натуральное число может быть представлено в виде суммы четырех квадратов целых чисел. Она доказывается конструктивно, т. е. дается алгоритм построения такого разбиения для любого числа.
Доказательство опирается на понятие вычетов по простому модулю и может быть изучено сильным учеником на факультативных занятиях или по книге. Будем рассматривать только упорядоченные по убыванию разложения, тогда при N =i2 + j2 + k2 + l2 выполняется i³j³k³l. Тогда верно i2£N и i2 ³ N/4, т. е. i принадлежит отрезку [ /2, ] . Поскольку j, k и l не превышает i, общее число комбинаций можно оценить сверху Точную оценку дает формула

Приведем теперь алгоритм, позволяющий получить все упорядоченные разложения данного числа.
КВАДРАТЫ.
К1. для всех i от до /2 выполнить К2—К8.
К2. S1 ¬i2. Если N=S1, то вывести (i).
КЗ. для j от i до 0 выполнить К4—К8.
К4. S2¬S1+j2, Если N=S2, то вывести (i, j).
К5. для k от j до 0 выполнить Кб—К8.
К6. S3¬S2+k2, Если N=S3, то вывести (i, j, k).
К7. для l от k до 0 выполнить К8.
К8. Если N=S3+l2 то вывести (i, j, k, 1} и перейти к К5 со следующим значением k.
В этом алгоритме i, j, k и I пробегают целые значения в соответствующих интервалах. S1, S2, S3 введены для сокращения объема вычислений. Выполнение шага К8 можно прекращать при нахождении первого значения, удовлетворяющего условию, поскольку не может быть двух разложений, отличающихся только последним числом. Небольшая модификация алгоритма позволяет организовать работу до нахождения первого разложения. Эта программа может быть использована для численного решения многих статистических задач: распределение чисел, представляемых в виде суммы 1, 2, 3, 4 квадратов, как функция N, число различных представлений в требуемом виде, а также проверить приведенную нами оценку числа комбинаций.
3. Решение алгебраических уравнений с рациональными коэффициентами. Обычно в школьной практике уравнения вида аоxn+a1 xn-1+ +…+an=0 имеют рациональные коэффициенты. В этом случае имеется эффективный алгоритм нахождения всех рациональных корней. Прежде чем разбирать его, отметим, что умножение на НОК знаменателей коэффициентов позволяет сделать их целыми числами. Если старший коэффициент отличен от единицы, то умножим уравнение на a0n-1и сделаем подстановку у=аох. Таким образом, мы всегда можем считать все коэффициенты целыми, а ставший равным 1.
В алгебре доказывается, что все рациональные решения такого уравнения являются целыми числами, и при том делителями свободного члена. Разумеется, у уравнения могут быть и иррациональные корни.
Работу можно существенно сократить, если воспользоваться модификацией схемы Горнера.
Пусть а — корень уравнения, тогда по теореме Безу
xn+a1xn-1+…+an=(x-a)(xn-1+c1xn-2+…+cn-1).
Запишем это тождество в виде
xn+a1xn-1+…+an=(x-a)(-b0xn-1-b1xn-2-…-bn-1)
и приравняем коэффициенты при одинаковых степенях:
an=abn-1; an-1=abn-2-bn-1; …;a1=ab0-b1; 1=-b0
Все числа ai и bi являются целыми, поэтому an,an-1+bn-1,… делятся на а. Значит, если хоть один из коэффициентов bi окажется нецелым, то проверяемое число не может быть корнем. Отметим также, что по теореме Безу при x=1 и х=-1 a0+a1+…+an делится на а-1, а ao-a1+…+(±)an делится на а+1. Обе суммы вычисляются один раз в начале работы. Эти два условия позволяют сразу отбросить «лишние» делители.
В более общем виде этот метод позволяет находить разложение на множители многочлена с рациональными коэффициентами.
Пусть f (х)—многочлен с целыми коэффициентами. Предположим, что он является произведением многочленов g (х) и Н (х). При любом целом х из f (x)=g (х) h (х) следует, что f (х) делится на g(x). Пусть т—степень многочлена g(x). Возьмем m+l различных целых значений х, например 0,1—1,2... g (х) вполне задается своими значениями в этих точках, которые являются делителями значений f (х) в тех же точках. Итак, все возможные делители степени не выше m с целыми коэффициентами многочлена f (х) определяются различными комбинациями делителей чисел f (0), f (1), f (-1),... .
Не разбирая алгоритм подробно, перечислим основные этапы работы.
1. Вычислить f (0), f (1), ... (m+1—значение) (если f (х)— многочлен степени n, то т достаточно взять равным п/2).
2. Рассмотреть все возможные комбинации делителей f (0), f (1), ..., взятых с обоими знаками.
3. Для каждой комбинации (do, d1, ..., dm) найти коэффициенты многочлена g (х), принимающего в точках 0,1,-1... значения do, d1, ..., dm.
4. Если f (х) делится нацело на g (х), то задача решена, иначе перейти к анализу следующей комбинации.
Последовательно применяя этот алгоритм, можно найти разложение многочлена на неприводимые множители. Эта задача демонстрирует связь представления многочлена как алгебраической структуры и функциональной зависимости, а также практическое приложение этой связи.
4. Комбинаторика. Одним из важнейших применений комбинаторики является программирование, где, например, перестановки и их свойства существенно используются для анализа различных алгоритмов сортировки информации. Сортировкой называется расположение ранее неупорядоченной информации (массива, файла) в порядке возрастания или убывания. Понятие возрастания (порядка) широко применяется в моделировании конкретных задач. Кроме обычного порядка на множестве чисел «число а больше числа &», можно назвать упорядочение букв в алфавите, слов в словаре. Иногда информация упорядочивается по какой-то одной части, или, как обычно говорят, по одному полю. Например, информация об учащихся (журнал) упорядочена по фамилиям. Считается, что в мире более четверти всего машинного времени тратится на сортировку. Поэтому важно грамотно выбирать метод сортировки в зависимости от конкретной задачи, т. е. проводить анализ эффективности алгоритмов. Неупорядоченное множество можно рассматривать как некоторую перестановку упорядоченного, поэтому свойства перестановок определяют числовые характеристики алгоритмов сортировки.
Далее для простоты изложения под перестановкой понимается перестановка без повторений чисел 1, 2, ..., n, обозначаемая (a1, a2, ..., an). Следующие основные понятия, часто выходящие за пределы школьного курса математики, приводят к интересным алгоритмам.
Упорядочение множества перестановок. На множестве перестановок можно определить порядок. Будем говорить, что одна перестановка больше другой, если до какого-то элемента они совпадают, а следующий в первой больше, чем во второй. Например, (4, 2, 3, 1) больше, чем (4, 2, 1, 3). Такой порядок называется лексикографическим. Будем говорить, что одна перестановка непосредственно следует за другой, если она больше ее, и не существует третьей перестановки, которая была бы меньше первой, но больше второй. Вышеприведенные перестановки непосредственно следуют одна за другой. Построим алгоритм, позволяющий по данной перестановке построить непосредственно следующую. Если применить его последовательно, начиная с наименьшей перестановки (1, 2, ...), то можно получить все перестановки. Такой генератор перестановок может использоваться для численного анализа различных алгоритмов сортировки и во многих других приложениях.
СЛЕДУЮЩАЯ ПЕРЕСТАНОВКА.
С1. Для i от n-1 с шагом -1 до 1 выполнить
если a(i)<a(i+1) то перейти к С2.
Закончить (исходная перестановка максимальна).
С2. (найти наименьшее число, большее а (i)).
Для j от п с шагом — 1 выполнить
если a(i)<a(j), то перейти к С3 (j заведомо больше i)
СЗ. Переставить а (i) и а (j)
С4. (перевернуть конец перестановки)
Для k от 1 до (n-i)/2 переставить a(i+k) и a(n—k+1)
Эта задача демонстрирует важное для приложений, но выходящее за рамки школьного курса применение понятия порядка.
Отметим, что этот алгоритм может быть обобщен для случая перестановок с повторениями, а также для случая, когда каждый элемент имеется в неограниченном количестве экземпляров, например для генерации упорядоченных «слов» заданной длины.
Циклы. Перестановку можно рассматривать как функцию, определенную на множестве чисел (1,2, ..., n) со значениями в том же множестве. Этот подход позволяет перенести на перестановки многие понятия теории функций, а также теории групп, поскольку перестановки с естественно определенным умножением образуют группу. Чтобы отличать этот подход от предыдущего, будем применять двустрочное обозначение

Перестановку можно задавать как произведение циклов. Вышеприведенная перестановка есть произведение циклов (1, 4) и (3, 2), т. е. 1 переходит в 4, 4 в 1, 2 в 3, а 3 в 2. Конечно, разложение в циклы не однозначно, поскольку ту же перестановку можно записать в виде (3, 2) (4,1). Однако на самом деле это «те же самые» циклы, и можно определить понятие канонической записи, при которой такое разложение будет однозначным (ср. каноническую запись многочлена). Отметим, что в канонической записи скобки можно опустить, поскольку они восстанавливаются однозначно.
Циклы применяются, если требуется произвести перестановку элементов массива, не применяя дополнительной памяти,— в этом случае каждый цикл переставляется независимо по кругу.
Пусть задано некоторое произведение циклов. Как их перемножить? Тривиальный алгоритм прослеживает каждый элемент через все циклы. Например, если перемножаются циклы (1, 3, 6, 7) (2, 3, 4) (1, 5, 4) (6, 1, 4, 5) (2, 7), то 1 переходит в 3. 3 в 4, 4 в 1, 1 в 4, 4 неподвижно, окончательно 1 переходит в 4. Но при таком подходе придется просматривать всю формулу п раз. Существует алгоритм, позволяющий решить задачу за один просмотр формулы. Создадим вспомогательный массив Л, в начале содержащий единичную перестановку (1, 2, .... п). Будем просматривать формулу с конца, т. е. справа налево. Если очередной символ не скобка, запомним его в М, а элемент, ранее находившийся в М, поместим на его место. При символе ")", отмечающем границу цикла, в М отправляем 0 и позицию следующего числа временно запомним в KС, пока не дойдем до конца цикла — символа "(" и не узнаем, во что оно переходит.
ЦИКЛ.
Ц1. (создать массив A) для i от 1 до п A(i) ¬i
Ц2. Взять следующий элемент (просмотр справа налево) х
если х="(", то перейти к Ц4
если х число, то перейти к Ц3(j — индекс х в A)
если х=")" то M¬0 и перейти к Ц2
если формула исчерпана, то закончить (A— искомая перестановка)
ЦЗ. если M=0 (первый элемент после ")"), то К ¬j, М ¬A(j), перейти к Ц2
Ц4. A (k) ¬M, перейти к Ц2.
Эта задача показывает важный подход к задачам символьной обработки строк, позволяющий значительно (на порядок) сократить время работы.
Обратимся теперь к курсу геометрии. Методы аналитической геометрии, когда точка задается своими координатами, а линии и поверхности — уравнениями, решениями которых являются соответствующие множества точек, позволяют решать многие геометрические задачи с помощью ЭВМ.
5. Выпуклые фигуры. Многие приложения, например задачи линейного программирования, приводят к необходимости строить выпуклую оболочку множества точек. Для этого достаточно найти такое подмножество данного множества точек, являющихся вершинами выпуклого многоугольника, который содержит все остальные точки множества. Легко доказать, что с точностью до порядка вершин такой многоугольник единствен. Точка принадлежит выпуклому многоугольнику, если она и все его вершины лежат по одну сторону от любого его ребра. Здесь и далее под «лежать по одну сторону» понимается принадлежность одной полуплоскости, т. е. включается и случай, когда точка лежит на прямой.
Задача построения выпуклой оболочки n точек решается по индукции. При трех точках решение очевидно. Пусть построена выпуклая оболочка первых п точек. Возьмем n +1-ю точку. Если она принадлежит построенному многоугольнику, то она не меняет выпуклой оболочки. В противном случае ее нужно включить в многоугольник. Ребра, разделяющие эту точку и вершины многоугольника, расположены в многоугольнике последовательно. Пусть (Ai,Ai+1) (Ai+1, Ai+2) …
…(Aj-1,Aj) — такая последовательность. Если она состоит из одного ребра (Ai,Ai+1), то точка включается между вершинами Ai и Ai+1, иначе вершины Ai+1, ..., Aj-1 заменяются на An+1. Таким образом мы можем получить выпуклую оболочку любого числа точек.
При составлении программы трудность представляет обработка «замыкания многоугольника», ребра (AK,A1). Остальные ребра обрабатываются в цикле по номеру вершины. Чтобы не обрабатывать данное ребро отдельно, полезно продублировать его в конце массива. Отметим также, что при осуществлении алгоритма приходится то вставлять очередную вершину в список вершин многоугольника, то удалять из него одну или несколько точек. Это приводит нас к проблеме хранения списка в памяти. Вершины многоугольника образуют типичный список с двумя связями — предыдущая и последующая вершины. Возможно несколько вариантов решения. Можно удаляемые вершины отмечать каким-либо значением, и тогда при необходимости вставить новую вершину достаточно сдвинуть небольшой фрагмент массива до ближайшего пустого места. Другой способ связан с применением таблицы ссылок.
С очевидными изменениями этот алгоритм обобщается на случай выпуклых многогранников.
Мы рассмотрели задачи из нескольких разделов математики, представляющих различные аспекты межпредметных связей курса ОИВТ и математических курсов. Методически продуманный в этом смысле отбор заданий для практики по программированию позволяет наряду с изучением информатики активизировать и углубить знания учащихся по математике. При этом математические понятия и теоремы используются для разработки и доказательства правильности алгоритмов и для их анализа, т. е. приобретают практический, прикладной характер.
Заключение
Развитие познавательного интереса учащихся к ЭВТ, информатике, программированию — задача чрезвычайной важности, от решения которой в значительной мере зависит успех овладения учащимися второй, компьютерной грамотностью.
Однако у большинства любознательных ребят интерес к ЭВМ часто сводится лишь к желанию как можно скорее «нажимать на кнопочки», «получать смешные картинки», играть с компьютером в «Морской бой»
Одной из важных форм укрепления интереса учащихся к информатике является правильная мотивация. Необходимо вызвать у ребят чувство сопричастности к решению важнейших государственных задач, объяснить им на интересных примерах прямую связь между показателем степени развития любой страны и ее «интеллектуальным» потенциалом. Мотивациоиный компонент должен, по нашему мнению, в разнообразной форме присутствовать не только на первых уроках, но и в течение года при решении различных, в том числе профориентационных задач.
Некоторые ребята становятся не только помощниками учителя, но и во многом (особенно в практических навыках) превосходят его. Опыт показывает, что специфика предмета информатики способствует этому и начинающим учителям информатики следует не огорчаться этому факту, а стремиться использовать его.
Ребята с большим интересом узнали, что написанная в 1854 г. книга Дж. Булля «Основы логики высказываний» за целый век до появления ЭВМ явилась незаменимым помощником в создании логических элементов ЭВМ, языков программирования. На занятия по логическим элементам ЭВМ мы обычно приглашаем инженера-электронщика. Многие школьники, интересующиеся электроникой, самостоятельно готовят сообщения о работе триггера, о схемах совпадения, отрицания, логического умножения, логического сложения и т. д.
Интересно, с использованием межпредметных связей, можно построить и сами уроки. Знания основ логики не только способствуют развитию познавательного интереса учащихся, но и закладывают основы успешного овладения всем курсом информатики, способствуют развитию алгоритмического мышления, в частности умению рационально строить разветвляющиеся и циклические алгоритмы, быстрейшему овладению алгоритмическим языком, помогают в овладении любыми знаниями.
Список литературы
Абрамов С.А. Математические построения и программирование.– М., 1987г.
Пикан В.В. и др. Из опыта обучения геометрии в 6 классе. – М., 1983г.
Брудно А.Л., Каплан Л.И. Олимпиады по программированию для школьников. – М., 1985г.
Кнут Д. Искусство программирования для ЭВМ. Основные алгоритмы – М., 1976г.
Кузнецов Э.И., Шерпаев Н.В. Элименты информатики на уроках геометрии. – М., Просвещение 1987г.
Мейерович Л.Н. Межпредметные связи курсов «ОИВТ» и «Математика» при выборе задач для практике по программированию – М., Просвещение 1987г.
Левина Е.С. Развитие познавательного интереса учащихся к информатике – М., Просвещение 1987г.
|