Банк рефератов содержит более 364 тысяч рефератов, курсовых и дипломных работ, шпаргалок и докладов по различным дисциплинам: истории, психологии, экономике, менеджменту, философии, праву, экологии. А также изложения, сочинения по литературе, отчеты по практике, топики по английскому.
Полнотекстовый поиск
Всего работ:
364139
Теги названий
Разделы
Авиация и космонавтика (304)
Административное право (123)
Арбитражный процесс (23)
Архитектура (113)
Астрология (4)
Астрономия (4814)
Банковское дело (5227)
Безопасность жизнедеятельности (2616)
Биографии (3423)
Биология (4214)
Биология и химия (1518)
Биржевое дело (68)
Ботаника и сельское хоз-во (2836)
Бухгалтерский учет и аудит (8269)
Валютные отношения (50)
Ветеринария (50)
Военная кафедра (762)
ГДЗ (2)
География (5275)
Геодезия (30)
Геология (1222)
Геополитика (43)
Государство и право (20403)
Гражданское право и процесс (465)
Делопроизводство (19)
Деньги и кредит (108)
ЕГЭ (173)
Естествознание (96)
Журналистика (899)
ЗНО (54)
Зоология (34)
Издательское дело и полиграфия (476)
Инвестиции (106)
Иностранный язык (62791)
Информатика (3562)
Информатика, программирование (6444)
Исторические личности (2165)
История (21319)
История техники (766)
Кибернетика (64)
Коммуникации и связь (3145)
Компьютерные науки (60)
Косметология (17)
Краеведение и этнография (588)
Краткое содержание произведений (1000)
Криминалистика (106)
Криминология (48)
Криптология (3)
Кулинария (1167)
Культура и искусство (8485)
Культурология (537)
Литература : зарубежная (2044)
Литература и русский язык (11657)
Логика (532)
Логистика (21)
Маркетинг (7985)
Математика (3721)
Медицина, здоровье (10549)
Медицинские науки (88)
Международное публичное право (58)
Международное частное право (36)
Международные отношения (2257)
Менеджмент (12491)
Металлургия (91)
Москвоведение (797)
Музыка (1338)
Муниципальное право (24)
Налоги, налогообложение (214)
Наука и техника (1141)
Начертательная геометрия (3)
Оккультизм и уфология (8)
Остальные рефераты (21692)
Педагогика (7850)
Политология (3801)
Право (682)
Право, юриспруденция (2881)
Предпринимательство (475)
Прикладные науки (1)
Промышленность, производство (7100)
Психология (8692)
психология, педагогика (4121)
Радиоэлектроника (443)
Реклама (952)
Религия и мифология (2967)
Риторика (23)
Сексология (748)
Социология (4876)
Статистика (95)
Страхование (107)
Строительные науки (7)
Строительство (2004)
Схемотехника (15)
Таможенная система (663)
Теория государства и права (240)
Теория организации (39)
Теплотехника (25)
Технология (624)
Товароведение (16)
Транспорт (2652)
Трудовое право (136)
Туризм (90)
Уголовное право и процесс (406)
Управление (95)
Управленческие науки (24)
Физика (3462)
Физкультура и спорт (4482)
Философия (7216)
Финансовые науки (4592)
Финансы (5386)
Фотография (3)
Химия (2244)
Хозяйственное право (23)
Цифровые устройства (29)
Экологическое право (35)
Экология (4517)
Экономика (20644)
Экономико-математическое моделирование (666)
Экономическая география (119)
Экономическая теория (2573)
Этика (889)
Юриспруденция (288)
Языковедение (148)
Языкознание, филология (1140)

Реферат: Грузозахватные устройства механизмов

Название: Грузозахватные устройства механизмов
Раздел: Рефераты по транспорту
Тип: реферат Добавлен 08:54:12 21 ноября 2010 Похожие работы
Просмотров: 3390 Комментариев: 15 Оценило: 3 человек Средний балл: 4.7 Оценка: неизвестно     Скачать

Министерство образования и науки Украины

Кафедра ММК и ПМ

Реферат

На тему "Грузозахватные устройства механизмов"

Выполнил: ст. гр. ММК – 08 – 1

Плетнёв М. И.

Проверил: Ульяницкий В. Н.

Алчевск 2010


Грузозахватные органы
Они служат для соединения поднимаемых грузов с гибкими грузовыми органами и в зависимости от того, с какими грузами работают, они подразделяются на: универсальные - крюки, петли, которые работают с любыми навесными устройствами; специальные, которые работают с определенными категориями грузов, например, бадьи и грейферы работают только с сыпучими грузами. При использовании специальных захватов значительно повышается производительность крана.

Универсальные грузозахватные органы

При небольших грузоподъемностях (до 50 т) применяются однорогие кованые крюки.

Метрические резьбы применяются при грузоподъемностях до 3 т. При большей грузоподъемности нужны более сильные резьбы, например, трапецеидальная. Для устранения возможности выпадения стропа из зева крюка применяются предохранительные замки (для специальных кранов). При грузоподъемностях свыше 50 т применяются двурогие крюки.


При больших грузоподъемностях используются также пластинчатые крюки, набираемые из отдельных стальных пластин, которые скрепляются заклепками.

Пластинчатые крюки более дешевы в изготовлении. При грузоподъемностях порядка нескольких сотен тонн применяются двурогие пластинчатые крюки. Для обеспечения равномерного нагружения всех пластин зев пластинчатых крюков обычно оснащается специально спрофилированным вкладышем из мягкой стали. Наличие вкладышей улучшает работу каната. Петли (скобы) выполняются либо коваными либо шарнирными в зависимости от грузоподъемности.


Специальные грузозахватные органы.

Стропы, траверсы, захваты, подъемные электромагниты предназначены для работы со штучными грузами, а ковши, бадьи и грейферы - с сыпучими. Стропы - это короткозвенные участки канатов.

Траверсы применяются для работы с длинномерными грузами. Клещевой захват используется для перегрузки труб и бревен.


Эксцентриковый захват предназначен для работы с плоскими грузами.

Для перегрузки сыпучих грузов используются бадьи

- грейфер применяется значительно чаще и имеет разновидности:


Производительность двухканатной системы выше, но чаще используют одноканатные грейферы. Так как они навешиваются на крюк любого крана.

Особенности расчета крюков и петель.

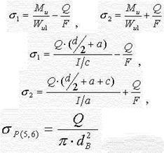
Если нельзя воспользоваться стандартным крюком, то его надо рассчитать. Основным проектным размером является d - диаметр зева крюка. Опасными являются сечения 1-2 и 3-4. Расчет производится в два этапа: определяются размеры опасных сечений, считая крюк прямолинейным брусом; проверяются эти размеры, считая крюк криволинейным брусом.


где dB - диаметр резьбы по впадинам; I , F- момент инерции и площадь сечения. Форму сечения крюка выбирают трапецеидальной с соотношением размеров В/b=3. Такая форма сечения оправдывается простотой изготовления.

Если груз висит на одном стропе, то в сечении 3-4 возникает напряжение среза от Q2 , изгиба от Q1 и растяжения от Q1.

где коэффициент перед дробью учитывает неравномерность нагружения. Опасные сечения: 1-2 - на срез от Q5 , на растяжение и изгиб от Q4; 3-4 - на срез от Q3, на растяжение и изгиб от Q2.

Расчет петель (скоб).

Внутренние поверхности проушин рассчитываются на смятие по формуле Ламе (Lame).

Тело проушины проверяется на разрыв в опасном сечении. Оси рассчитываются на срез и на изгиб.


Список литературы

1. Курсовое проектирование грузоподъёмных машин . Ред . Козак С.А. -М:Высш. шк., 1989.-319 с.

2. Справочник по кранам. Александров М.П.,Гохберг М.М., том 1,2. -Л:Машиностроение ,1988.

3. Подъёмно-транспортные машины . Атлас конструкций .,под ред. Александрова М.П. и Решетникова Д.Н.-М.:1987.

Оценить/Добавить комментарий
Имя
Оценка
Комментарии:
Хватит париться. На сайте FAST-REFERAT.RU вам сделают любой реферат, курсовую или дипломную. Сам пользуюсь, и вам советую!
Никита21:38:31 02 ноября 2021
.
.21:38:28 02 ноября 2021
.
.21:38:27 02 ноября 2021
.
.21:38:25 02 ноября 2021
.
.21:38:20 02 ноября 2021

Смотреть все комментарии (15)
Работы, похожие на Реферат: Грузозахватные устройства механизмов

Назад
Меню
Главная
Рефераты
Благодарности
Опрос
Станете ли вы заказывать работу за деньги, если не найдете ее в Интернете?

Да, в любом случае.
Да, но только в случае крайней необходимости.
Возможно, в зависимости от цены.
Нет, напишу его сам.
Нет, забью.



Результаты(287968)
Комментарии (4159)
Copyright © 2005-2021 HEKIMA.RU [email protected] реклама на сайте