Банк рефератов содержит более 364 тысяч рефератов, курсовых и дипломных работ, шпаргалок и докладов по различным дисциплинам: истории, психологии, экономике, менеджменту, философии, праву, экологии. А также изложения, сочинения по литературе, отчеты по практике, топики по английскому.
Полнотекстовый поиск
Всего работ:
364139
Теги названий
Разделы
Авиация и космонавтика (304)
Административное право (123)
Арбитражный процесс (23)
Архитектура (113)
Астрология (4)
Астрономия (4814)
Банковское дело (5227)
Безопасность жизнедеятельности (2616)
Биографии (3423)
Биология (4214)
Биология и химия (1518)
Биржевое дело (68)
Ботаника и сельское хоз-во (2836)
Бухгалтерский учет и аудит (8269)
Валютные отношения (50)
Ветеринария (50)
Военная кафедра (762)
ГДЗ (2)
География (5275)
Геодезия (30)
Геология (1222)
Геополитика (43)
Государство и право (20403)
Гражданское право и процесс (465)
Делопроизводство (19)
Деньги и кредит (108)
ЕГЭ (173)
Естествознание (96)
Журналистика (899)
ЗНО (54)
Зоология (34)
Издательское дело и полиграфия (476)
Инвестиции (106)
Иностранный язык (62791)
Информатика (3562)
Информатика, программирование (6444)
Исторические личности (2165)
История (21319)
История техники (766)
Кибернетика (64)
Коммуникации и связь (3145)
Компьютерные науки (60)
Косметология (17)
Краеведение и этнография (588)
Краткое содержание произведений (1000)
Криминалистика (106)
Криминология (48)
Криптология (3)
Кулинария (1167)
Культура и искусство (8485)
Культурология (537)
Литература : зарубежная (2044)
Литература и русский язык (11657)
Логика (532)
Логистика (21)
Маркетинг (7985)
Математика (3721)
Медицина, здоровье (10549)
Медицинские науки (88)
Международное публичное право (58)
Международное частное право (36)
Международные отношения (2257)
Менеджмент (12491)
Металлургия (91)
Москвоведение (797)
Музыка (1338)
Муниципальное право (24)
Налоги, налогообложение (214)
Наука и техника (1141)
Начертательная геометрия (3)
Оккультизм и уфология (8)
Остальные рефераты (21692)
Педагогика (7850)
Политология (3801)
Право (682)
Право, юриспруденция (2881)
Предпринимательство (475)
Прикладные науки (1)
Промышленность, производство (7100)
Психология (8692)
психология, педагогика (4121)
Радиоэлектроника (443)
Реклама (952)
Религия и мифология (2967)
Риторика (23)
Сексология (748)
Социология (4876)
Статистика (95)
Страхование (107)
Строительные науки (7)
Строительство (2004)
Схемотехника (15)
Таможенная система (663)
Теория государства и права (240)
Теория организации (39)
Теплотехника (25)
Технология (624)
Товароведение (16)
Транспорт (2652)
Трудовое право (136)
Туризм (90)
Уголовное право и процесс (406)
Управление (95)
Управленческие науки (24)
Физика (3462)
Физкультура и спорт (4482)
Философия (7216)
Финансовые науки (4592)
Финансы (5386)
Фотография (3)
Химия (2244)
Хозяйственное право (23)
Цифровые устройства (29)
Экологическое право (35)
Экология (4517)
Экономика (20644)
Экономико-математическое моделирование (666)
Экономическая география (119)
Экономическая теория (2573)
Этика (889)
Юриспруденция (288)
Языковедение (148)
Языкознание, филология (1140)

Контрольная работа: Определение геотермии горного массива

Название: Определение геотермии горного массива
Раздел: Рефераты по геологии
Тип: контрольная работа Добавлен 15:05:31 13 декабря 2010 Похожие работы
Просмотров: 54 Комментариев: 18 Оценило: 3 человек Средний балл: 5 Оценка: неизвестно     Скачать

Федеральное агентство по образованию

Государственное образовательное учреждение

высшего профессионального образования

“Якутский государственный университет им. М.К. Аммосова”

Технический институт (филиал) в г. Нерюнгри

Контрольная работа № 1

на тему: «Определение геотермии горного массива»

Вариант 5

Выполнил: ст. гр. ТиТР - 06

Денисов Д.С.

Проверил: преподаватель

Скоморошко Ю.Н.

Нерюнгри 2008г.

Определение геотермии горного массива

Цель занятия – построить температурный профиль горного массива по глубине (в гелиотермозоне, криолитозоне) и оценить мощность СТС, а также мощность распространения вечномерзлых горных пород.

Теоретические положения:

Температурное поле верхней части земной коры определяется взаимодействием внутренних и внешних источников тепла. Внутренние источники тепла относительно стабильны, т.к. связаны с постоянно действующими факторами (радиоактивный распад, гравитационная дифференциация вещества и т.д.). Эти источники вызывают повышение температуры пород с глубиной. Внешние источники (основным из которых является переменная во времени солнечная радиация) вызывают периодические температурные колебания горного массива, затухающие на определенной глубине от поверхности Н0 , называемой глубиной гелиотермозоны или глубиной нейтрального слоя.

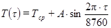
Температурный режим поверхности Земли в конкретном районе определяется как:

, (1.1)

где тср – среднегодовая температура почвы, °С;

тср =tср +2;

tср – среднегодовая температура воздуха, °С;

Ат – амплитуда колебаний температуры почвы, °С;

Ат »Аt – 2,5;

Ат – амплитуда колебаний воздуха, °С;

t - время, изменяется от 0 до 8760 – продолжительность года в часах,

Для полуограниченного массива амплитуда годовых колебаний температуры пород на глубине Н определяется по известной формуле:

Ат (Н)=Ат ×ехр °С, (1.2)

где а - коэффициент температуропроводности, м2 /ч;

а=3600× ;

lp - коэффициент теплопроводности пород, Вт/(м×К);

с – удельная теплоемкость пород, Дж/(кг×К);

r – плотность пород, кг/м3 .

Запаздывание колебаний температуры пород по отношению к изменениям температуры воздуха для полуограниченного массива имеет вид:

dt = , . (1.3)

Тогда изменение температуры пород в пределах гелиотермозоны с учетом зависимостей (1.2), (1.3) приблизительно описывается уравнением:

, t =  +  × (1.4)

Глубину гелиотермозоны можно определить из выражения (1.2)


Но =. (1.5)

где Ато ) – амплитуда пород на глубине Но , для расчетов можно принять  ( )=0,1 °.

Изменение температуры пород при углублении на 1м называется геотермическим градиентом qг (G). Тепловой поток в недрах Земли q связан с геотермическим градиентом законом Фурье

q= - l ×q

Знак минус в формуле говорит о том, что вектор геотермического градиента направлен сверху вниз (в сторону увеличения температуры), а тепловой поток – снизу вверх (направление теплопередачи).

Поэтому, геотермический градиент можно определить следующим образом

q = q/l (1.6)

Средний удельный тепловой поток из недр Земли к ее поверхности составляет q = 7×10-2 /2 .

С увеличением глубины Н ниже нейтрального слоя температура горных пород возрастает приблизительно по линейному закону

= +q ×(- ), (1.7)

где То - температура пород на глубине нейтрального слоя Но и вычисляется по формуле (1.4).


Исходные данные

Теплофизические свойства пород

Таблица 1.1

Наименование

λπ ,Вт/(мК)

С*103 , Дж/(кгК)

ρ,кг/м3

Алевролит

1,9

0,83

2540

Гранит

3,5

0,67

2600

Гипс

1,1

1,05

2320

Глина

1,4

0,78

1900

Кварц

2,7

0,96

2500

Песчаник

2,9

0,82

2300

Сланец глинистый

1,75

0,75

2000

Данные по варианту

Показатели

Вариант 5

tср , 0 С

-8

At , 0 C

19

Мощность пород, м:

Глина

20

Алевролит

Глин. Сланец

20

Песчаник

180

Кварцит

Гипс

220

Порядок проведения работы

1. Рассчитать по формуле (1.1) и построить график изменения текущей температуры поверхности по заданным tср и Аt в функции времени на период один год.

время

0

730

1460

2190

2920

3650

4380

5110

5840

6570

7300

8030

T(τ)

-6

2,3

8,3

10,5

8,3

2,2

-6,0

-14,3

-20,3

-22,5

-20,3

-14,3



2. Вычислить годовое изменение температуры пород на разных глубинах (2, 5, 8,10,13,15,17 метров и т.д.) в пределах гелиотермозоны по формуле (1.4).

Месяц

Время, час

Глубина, м

0

2

5

8

10

13

15

17

3

март

0

-6,0

-11,7

-9,2

-6,3

-5,7

-5,8

-5,9

-6,0

4

апрель

730

2,3

-7,6

-9,1

-6,9

-6,1

-5,8

-5,9

-6,0

5

май

1460

8,3

-3,2

-8,2

-7,2

-6,4

-5,9

-5,9

-5,9

6

июнь

2190

10,5

0,5

-6,7

-7,2

-6,6

-6,0

-5,9

-5,9

7

июль

2920

8,3

2,5

-5,0

-6,9

-6,6

-6,1

-6,0

-6,0

8

август

3658

2,2

2,1

-3,6

-6,3

-6,5

-6,2

-6,0

-6,0

9

сентябрь

4380

-6,0

-0,3

-2,8

-5,7

-6,3

-6,2

-6,1

-6,0

10

октябрь

5110

-14,3

-4,4

-2,9

-5,1

-5,9

-6,2

-6,1

-6,0

11

ноябрь

5840

-20,3

-8,8

-3,8

-4,8

-5,6

-6,1

-6,1

-6,1

12

декабрь

6570

-22,5

-12,5

-5,3

-4,8

-5,4

-6,0

-6,1

-6,1

1

январь

7300

-20,3

-14,5

-7,0

-5,1

-5,4

-5,9

-6,0

-6,0

2

февраль

8030

-14,3

-14,2

-8,4

-5,7

-5,5

-5,8

-6,0

-6,0

3

март

8760

-6,0

-11,7

-9,2

-6,3

-5,7

-5,8

-5,9

-6,0


а глины

0,003

Аср

16,5

Тср

-6

H0=

16

dh

a

глина

10

0,050

0,0034

глин. сл.

30

0,040

0,0042

песчаник

20

0,024

0,0055

гипс

0

0,063

0,0016

H0=

16


Оценить/Добавить комментарий
Имя
Оценка
Комментарии:
Делаю рефераты, курсовые, контрольные, дипломные на заказ. Звоните или пишите вотсап, телеграмм, вайбер 89675558705 Виктория.
23:11:05 18 октября 2021
Срочная помощь учащимся в написании различных работ. Бесплатные корректировки! Круглосуточная поддержка! Узнай стоимость твоей работы на сайте 64362.ru
19:27:05 11 сентября 2021
Привет студентам) если возникают трудности с любой работой (от реферата и контрольных до диплома), можете обратиться на FAST-REFERAT.RU , я там обычно заказываю, все качественно и в срок) в любом случае попробуйте, за спрос денег не берут)
Olya22:05:14 25 августа 2019
.
.22:05:14 25 августа 2019
.
.22:05:13 25 августа 2019

Смотреть все комментарии (18)
Работы, похожие на Контрольная работа: Определение геотермии горного массива

Назад
Меню
Главная
Рефераты
Благодарности
Опрос
Станете ли вы заказывать работу за деньги, если не найдете ее в Интернете?

Да, в любом случае.
Да, но только в случае крайней необходимости.
Возможно, в зависимости от цены.
Нет, напишу его сам.
Нет, забью.



Результаты(286400)
Комментарии (4153)
Copyright © 2005-2021 HEKIMA.RU [email protected] реклама на сайте