ТЕМА ПЕРЕДДИПЛОМНОЇ КУРСОВОЇ:
ДОСЛІДЖЕННЯ РЕЖИМУ ОПАДІВ У ПІВДЕННО-ЗАХІДНІЙ ЧАСТИНІ ОДЕСЬКОЇ ОБЛАСТІ
Зміст
Вступ
Глава 1. Загальна характеристика кліматичної системи південно-західної частини України
1.1 Фізико-географічний опис місцевості
1.2 Фактори, що зумовлюють формування клімату
1.3 Характеристика сезонних особливостей синоптичних процесів
1.4 Роль підстильної поверхні у формуванні клімату
1.5 Кліматичний режим (геліо-, вітро-, термо-, вологоресурси)
1.6 Мікрокліматичні особливості південно-західної частини України
1.7 Сценарії можливих змін клімату України у XXI ст. Зміни та коливання регіонального клімату
Глава 2. Методи дослідження режиму опадів південно-західної частини Одеської області
2.1 Використана кліматологічна інформація та її опрацювання
2.2 Методи оцінювання статистичних характеристик
2.3 Приклади використання наявної інформації щодо опадів у південно-західній частині Одеської області
Висновки
Список літератури
Актуальність теми.
Актуальність дослідження та інтересу вчених до проблеми клімату підтверджується організацією і проведенням багатьох національних і міжнародних програм, які забезпечують значний прогрес у створенні теоретичної та емпіричної баз даних. Тому досить природньо, що увага до окремих, найрізноманітніших складових клімату знайшла своє відображення в роботах багатьох вчених відповідних галузей науки.
Як відомо, однією з складових клімату є режим опадів, що виступає вагомим чинником в ідентифікації типу кліматичної епохи. Тому опис режиму опадів, визначення динаміки показників, пояснення чинників їх формування є логічним продовженням вирішення поставленої проблеми.
Крім того, актуальність роботи визначається практичною необхідністю мати надійну інформацію про надходження атмосферної вологи на територію південно-західної частини України, враховуючи, зокрема, агро - та рибопромислову спрямованість регіону, наявність розгалуженої системи шляхів водного транспортного сполучення міжнародного й локального рівнів, заповідність території дельти Дунаю, рекреаціонну значущість регіону.
Мета і задачі дослідження.
Метою роботи є опис режиму опадів південно-західної частини України, визначення динаміки показників, пояснення чинників їх формування.
Основною задачею наукового дослідження є розробка типових форм відстеження показників опадів, які можуть служити критерієм, як для аналогічних досліджень за іншими регіонами, так і для прогнозів на основі гідродинамічного моделювання.
Об’єкт дослідження
-атмосферна волога та її розподіл в хронологічному відстеженні.
Предмет дослідження
- дані Ізмаїльської дунайської гідрометеорологічної обсерваторії, метеорологічних станцій у м. Болграді, м. Вілкове та м. Сарата.
Методи дослідження
- математичне моделювання і чисельний експеримент, просторово-часове узагальнення даних, фізико-статистичний аналіз.
Наукова новизна
одержаних результатів
полягає в моделюванні режиму опадів південно-західної частини України, визначення динаміки показників, пояснення чинників їх формування.
Практичне значення одержаних результатів
полягає в тому, що отримали розвиток моделі в довгостроковому минулому періоді, в результаті є можливість переходу до довгострокового прогнозу на якісно новій теоретичній основі.
Практичне значення визначається також тим, що будь-яке покращення метеорологічного забезпечення аграрного сектору приводить до суттєвого економічного зиску для сільского господарства тощо.
Південно-західна частина України - Одеська областьзаймає територію Північно-Західного Причорномор’я від гирла річки Дунай до Тилігульського лиману, а від моря на північ - на 200-250 км. Більша її частина рівнинна з невеликим ухилом у бік моря, тільки на північно-західну і західну її частини заходять невисокі згладжені відроги Волинсько-Подільської височини і південні відроги Молдавських Кодр. У підвищеній частині області висота місцевості ледь перевищує 200 м над рівнем моря. У бік моря і долин рік місцевість поступово знижується до висоти 100 м і менше. Рельєф області на півночі розрізаний глибокими балками ярами, на півдні водорозділи стають широкими, глибина балок зменшується [34].
Морське узбережжя в межах області, простягається на 300 км. Одещина розміщена у степовій та лісостеповій природних ландшафтних зонах.
Ріки Одеської області належать басейну Чорного моря. Через північні райони області протікає Південний Буг. Береги його характеризуються великою крутизною. Дунай і Дністер течуть у широких заболочених долинах. У плавневій частині багато озерець. Дельта Дунаю дуже заболочена і розрізана численними рукавами і протоками. Крім того, у південній частині області по глибоких і широких долинах протікають невеликі річки, які влітку пересихають. У північній і центральній частинах області є ставки.
Більшість лиманів на морському узбережжі ізольовані від моря, лише деякі з лиманів з’єднуються з морем і використовуються для судноплавства.
Незважаючи на свою порівняно невелику площу (5,5% території України), Одеська область розташовується в трьох кліматичних зонах: Придністровський лісостеп, Західний степ, Причорноморський степ. Кількість днів без сонця майже 70 за рік (у квітні, травні, вересні та жовтні їх не більше як по 4, з листопада по лютий - у середньому по 14).
Клімат Одещини помірно континентальний зі спекотним сухим літом, м'якою малосніжною нестійкою зимою. Середньорічна температура коливається від 8, 20С на півночі до 10,80
С на півдні. Відповідно взимку вона складає - 5,00
С, а влітку + 20,00
С Пересічна температура січня змінюється в межах області від - 5,00
на півночі до - 1,80
на південному заході, липня відповідно-від + 21,0 0
до 22,90
. Безморозний період триває 130-150 днів на півночі, 166 - 208 - на півдні. Період активної вегетації (з середньодобовими температурами понад 100
) становить 170-190 днів. Сума активних температур - головний показник ресурсів тепла для сільського господарства, коливається від 2500 0
(на півночі) до 34000 (
на південному заході області).
За кліматичними особливостями Одеську область можна розділити на три частини: північну, центральну і південну. В даній роботі розглядається південна частина Одеської області, що є дуже посушливою, помірно жаркою агрокліматичною зоною.
При зниженні значення гідротермічного коефіцієнта нижче 1,0 погодні умови періоду вегетації посушливі. В цих умовах головними ризиками є посуха та пожежа. Небезпечними також є зливи з градом при дуже низької імовірності вимерзання. За основними характеристиками мікрокліматичні особливості [37]:
Гідротермічний коефіціент - 0,8
Погода вегетації - Посушлива
Імовірність ризиків: посуха - 35%, пожежа - 30%, град - 15%, зливи - 15%, заморозок - 5%.
Радіаційний режим. Радіаційний баланс підстильної поверхні характеризує променисту енергію, яку ця поверхня отримує або втрачає, що призводить відповідно до її нагрівання або охолодження. Згідно із законом збереження енергії це спричинює фізичні процеси, під дією яких виникає теплообмін між атмосферою й іншими складовими кліматичної системи, а також між підстильною поверхнею і глибшими шарами суходолу та океану - у південно-західній частині Одеської області суми сумарної сонячної радіації відповідно складають 4800 МДж/м2
/Рік [27].
У теплообміні беруть участь також витрати тепла на танення снігу або льоду, тепло, що переноситься опадами, пов'язане з дисипацією кінетичної енергії, з тертям між підстильною поверхнею та потоком повітря, а також біологічний теплообмін, зумовлений перетвореннями радіаційної енергії на хімічну у процесі фотосинтезу й виділення тепла під час окислення біомаси тощо. Найбільшу роль у теплообміні між складовими кліматичної системи відіграють прихована й явна теплота. Швидкість випаровування, яка визначає першу з них, залежить від швидкості вітру, шорсткості та зволоження поверхні випаровування, особливостей вертикального розподілу водяної пари у приземному шарі повітря. У зв'язку з цим умови випаровування розрізняються у різні пори року над суходолом і океаном - у південно-західній частині Одеської області витрати теплоти на випаровування вологи складають 500 МДж/м2 /Рік.
Більша частина довгохвильового випромінювання підстильної поверхні поглинається атмосферою (109 одиниць із 114), на зустрічне випромінювання атмосфери припадає 96, на енергію, що випромінюється у космічний простір - 72 одиниці (вона визначається випромінюванням верхньої межі хмарності та верхніх шарів атмосфери). Радіаційний баланс підстильної поверхні позитивний і дорівнює 29 одиниць, для атмосфери він від'ємний і має таке ж абсолютне значення. У південно-західній частині Одеської області радіаційний баланс земної поверхні складає 3000 МДж/м2
/Рік.
Циркуляційні фактори клімату
. На формування клімату України роблять вплив помірні, арктичні і тропічні повітряні маси. Пануючими повітряними масами в Україні є помірні континентальні повітряні маси, вони і формують на значній території країни помірно континентальний тип клімату.
В Україні влітку і взимку переважає широтний (захід - схід) рух повітря, а навесні і восени - меридіональне (північ - південь) рух повітря. Підстилаюча земна поверхня впливає на розподіл сонячної радіації, рух повітряних мас.
Рівнинний рельєф більшої частини України обумовлює збільшення показників сонячної радіації і середньої температури з півночі на південь; не перешкоджає проникненню повітряних мас з різних сторін. Карпатськіі Кримські гори перешкоджають проникненню холодних повітряних мас. В горах збільшується кількість опадів і знижується температура повітря. На клімат України великий вплив надають повітряні маси з північної частини Атлантичного океану, у меншій мірі - збоку Північного Льодовитого океану. На мікроклімат території роблять вплив річкова сіть, грунтово-рослинний покрив, забудова і т.д.
Протягом року змінюється вітровий режим. Зміни відбуваються у напрямі і швидкості вітру. Ці зміни залежать від центрів атмосферного тиску. Через Україну проходить смуга високого тиску. На північ від цієї смуги переважають вітри західного напряму, на південь - східного. Середня швидкість вітру в Україні складає 4 м/сек.
Характеристику циклонів та антициклонів південно-західної частини України наведено у табл.1.1
Таблиця 1.1. Характеристика циклонів та антициклонів південно-західної частини України
| Баричні утворення та райони їх виникнення |
Час утворення |
Повторюємість у районі виникнення, кількість випадків |
Середній тиск у центрі утворення, гПа |
Термін впливу на погоду, суток |
| Циклони західної частини Чорного моря |
Переважно холодне півріччя |
6 |
1005 |
8 |
| Циклони східної частини Чорного моря |
Переважно холодне півріччя |
4 |
1006 |
8 |
| Циклони південної частини України |
Тепле півріччя |
8,5 |
1005 |
8,5 |
| Орографичні циклони південно-східної частини України |
Холодне півріччя |
12 |
1027 |
24 |
| Антициклони східної частини чорного моря |
Квітень-вересень |
6 |
116 |
9 |
Взимку на Україні, зокрема в південно-західній її частині, дуже розвинена циклонна діяльність. Більшість циклонів переміщаються сюди саме в цей сезон. Тому взимку спостерігається інтенсивний міжширотний обмін повітря.
Перехід до зимового сезону відбувається тоді, коли земна поверхня буває вже значно вихолоджена і починаються регулярні вторгнення на Україну арктичного повітря. Останній зазвичай поширюється в антициклонах з північного сходу або північного заходу в тилу серії упірнаючих циклонів. При вторгненні арктичного повітря посилюється вітер, виникають низові завірюхи, температура повітря знижується до - 30... - 35 °С, а зокрема в південно-західній частині України до - 7... - 10 °С.
Іншими характерними для зими процесами є східні дії, пов'язані з посиленням східного антициклону. Відріг цього антициклону часто поширюється на територію України. Якщо ж відріг тягнеться не зі сходу, а з північного сходу, то континентальне помірне повітря поширюється майже на всю територію України, окрім південних областей. Тоді переважає холодна погода з сильним східним і північно-східним вітром, низовими завірюхами, поземками і ін.
Відмітна особливість зими - часта відлига, пов'язана з переміщенням циклонних утворень з північного заходу, заходу, південного заходу і півдня. Найбільш інтенсивна відлига, значні осідання, ожеледиці і завірюхи спостерігаються при виході південних і південно-західних циклонів, що приносять в теплих секторах морське тропічне повітря з Середземного моря. Західні і північно-західні атлантичні циклони приносять морське повітря помірних широт. В цілому погода зимового сезону відрізняється великою кількістю похмурих днів, частими осіданнями, туманами, ожеледдю.
Перехід до весняного сезону характеризується підвищенням ролі радіаційного чинника і посиленням впливу підстилаючої поверхні. Процеси адвекции слабшають у міру зменшення температурних контрастів між морем і сушею. За умовами циркуляції початок весни пов'язаний з ослабінням північносхідних і східних дій і посиленням західних. У квітні і травні на ще спостерігаються повернення холоди, викликані крайкою арктичного повітря. Вони обумовлюють різкі похолодання і заморожування.
Атмосферні процеси весняного сезону характеризуються посиленням Азорського антициклону. Його відроги і окремі ядра виходять на Європейський континент, поступово поширюються на схід. Над Україною вони представлені відрогами, що тягнуться із заходу. Ці процеси обумовлюють теплу сонячну погоду без опадів.
Весной атмосферні процеси поступово переходять від зимових до літніх. Отже, і погодні умови, особливо в першу половину весни, відрізняються великою різноманітністю, мінливістю. Весна характеризується різкими переходами від потеплінь до похолодань, від сухої погоди до дощової.
Літній сезон характеризується високою інтенсивністю сонячної радіації і слабкою адвекцией. На формування літніх циркуляційних процесів максимальний вплив робить земна поверхня. Обширні рівнини республіки, особливо південні степові райони, сприяють інтенсивній трансформації повітря. Процес трансформації накладає відбиток на циркуляційні процеси літнього сезону.
Для баричного поля у зв'язку з цим характерні слабо розвинені розмиті області підвищеного і зниженого тисків. Невеликі циклонні обурення утворюються під впливом орографії і термічних особливостей земної поверхні. Ядра високого тиску є окремими утвореннями Азорського антициклону або виникають над внутрішніми морями при спільній дії орографії і термічних умов поверхні Морея.
Значно розвивається Азорський антициклон, що поступово поширюється на схід. При цьому через Британські острови і затоку Біськайський на Європейський континент виходять антициклони азорського походження, що просуваються потім на схід. За умовами циркуляції цей процес і характеризує початок літнього сезону. В результаті над південними районами Західної Європи і півднем європейської частини України утворюється широка смуга підвищеного тиску, особливо добре виражена влітку. Найчастіше вона представлена відрогами, що тягнуться із заходу, від стаціонарних антициклонів над Центральною Європою. При таких процесах на території України тривалий час стримується суха погода з інтенсивним підвищенням температури.
Таким чином, літній сезон південно-західної частини України, особливо його друга половина, відрізняється переважанням зон підвищеного тиску з антициклонною погодою без опадів.
Області низького тиску літом представлені переважно слабо вираженими циклонами і улоговинами, що переміщаються із заходу і півночі. При русі через Україну з північного заходу на південний схід баричних улоговин з холодними фронтами часто спостерігаються зливи, що супроводяться грозами і градом.
В цілому погодні умови літнього сезону відрізняються значним підвищенням температури за рахунок прогрівання земної поверхні, великою повторюваністю ясних днів, рідкими туманами, збільшенням кількості опадів і активною грозовою діяльністю.
За багатолітніми даними, літні процеси тривають до середини серпня, потім характер циркуляції різко міняється.
Протягом осіннього сезону вплив Азорського антициклону повністю припиняється. Замість нього в жовтні-листопаді починає розвиватися Сибірський антициклон. Одночасно (у другу половину осені) унаслідок збільшення контрастів температури між сушею і морем посилюється циклонна діяльність. Зростає повторюваність південних п західних циклонів. У зв'язку з частішими вторгненнями холодного арктичного повітря в листопаді на більшій частині України температура повітря переходить через Про °С, починаються морози. На фронтальних розділах одночасно з дощем випадає сніг.
Підстильна поверхня, поряд із сонячною радіацією та циркуляцією атмосфери, є важливим кліматоутворювальним фактором. За розмірами, структурою, типами, фізичними і іншими властивостями вона впливає на формування глобального, регіонального клімату та мікроклімату [17].
На Землі є два основні види підстильної поверхні: вода і суходіл, які мають різні фізичні властивості (теплоємність, теплопровідність, особливості поглинання сонячної радіації, альбедо та ін) та формують морський і континентальний типи клімату. Вплив морського клімату, завдяки західному переносу, поширюється далеко вглиб суходолу, тому континентальність клімату на сході України більша ніж на заході. Водна поверхня і особливо суходіл мають різноманітні особливості будови, які впливають на складові радіаційного та теплового балансу, циркуляцію атмосфери і формують клімат певної території. В океанах є теплі та холодні течії, мілководні ділянки. На суходолі на формування клімату також впливає рельєф, моря, внутрішні води, ґрунтовий та рослинний покрив, а взимку ще й сніговий покрив.
На півдні України розташована Причорноморська низовина з абсолютними відмітками на півночі до 120 - 150 м та 2 - 10 м на півдні з плоскою рівнинною поверхнею. Характерними елементами рельєфу є безстічні замкнуті зниження - поди та еолові піщані горби - кучугури. Через Перекопський перешийок вона переходить у Північно-кримську рівнину. Річкові долини на півночі досягають глибини 50 - 80 м, на півдні - 10 - 15 м. Вододіли річок плоскі, а їх береги порізані ярами та балками.
Водні об'єкти по-різному впливають на метеорологічний режим території. Виявлено підвищення відносної вологості повітря у районі їх розташування: на 4 - 10% до висоти 1 км лише у прибережній смузі, а в районі моря - на 16 - 20%. Це збільшення поширюється на відстань до 20 - 30 км. Водойма площею 20 км2
сприяє зниженню температури повітря у жаркі дні у смузі завширшки до 200 - 400 м на 2 - 4°С на висоті 150 см і збільшенню вологості повітря на 15 - 20%. Вплив невеликих природних та штучних водойм помітний ще у вужчій смузі. Великі водосховища та озера збільшують тривалість безморозного періоду на узбережжі на 2 - 3 тижні. Найбільше впливають водосховища на вітер - спостерігається збільшення швидкості вітру над ними та на узбережжі на кілька десятків відсотків. Вдень на узбережжі помітні бризи. Водна поверхня сприяє збільшенню стійкості стратифікації атмосфери. Масштаби цього впливу визначаються її площею.
Атмосферний тиск і вітер. Взимку над Україною переважає антициклональный характер погоди в системі відрогу Азіатського антициклону. Але важливе значення має і циклонна діяльність, що посилюється взимку. Все це визначає значні коливання тиску і різку зміну погоди [9].
Влітку баричне поле формується під впливом відрогу Азорського антициклону. Слабшає інтенсивність атмосферної циркуляції. Часто виникають місцеві термічні, слабо розвинені баричні утворення. Восени і весною баричне поле має перехідний характер.
В середньому за рік над східними районами України під впливом відрогу Азіатського антициклону і над південно-західними районами в середньому перебігу річок Дністер і Лозина під впливом відрогу Азорського антициклону тиск підвищений (більше 1017,5 гПа). Вісь найбільш високого тиску проходить через Україну з південного заходу на північний схід. У північному і північно-західному напрямах тиск знижується унаслідок частих переміщень тут західних циклонів. Наявність термічної депресії над Чорним морем обумовлює пониження тиску в південному напрямі.
На території України найбільш високі значення тиску в річному ході наголошуються в зимовий час, тому баричне поле на середньорічних картах схоже з середнім за зиму полем тиску.
Внутрішньорічний розподіл тиску відрізняється великою різноманітністю. Воно визначається термічними і циркуляційними умовами і має добре виражений сезонний характер. У окремі роки спостерігається значна нестійкість баричного режиму, що викликає різкі зміни погодних і кліматичних умов в різні сезони року.
Річна амплітуда тиску на рівні моря, мало змінюючись по території, зростає із збільшенням континентальності клімату. На північному заході України вона складає 8 гПа, в Криму 8,5-9, на сході до 11-11,5 гПа.
Середні місячні значення тиску в окремі роки змінюються широко. У теплий період року, коли слабшає інтенсивність циркуляційних процесів і над Україною переважає малоградієнтне баричне поле, коливання середніх місячних значень тиску малі (4-11 гПа). Найбільшими вони бувають в зимові місяці (18-24гПа). Значно менша амплітуда коливань середніх місячних величин тиску наголошується в Криму (17 - 19 гПа). Річне значення тиску в окремі роки змінюється від 3 до 6 гПа, тобто середні річні величини тиску досить стійкі.
У добовому ході зміни тиску наголошується два максимуми і два мінімуми. Основний уранішній максимум виражений практично протягом всього року близько 9-11 ч. Післяполудневий основний мінімум тиску - після 16-18 ч. Причому екстремальні значення влітку настають на 1-2 ч раніше, а взимку - пізніше середнього. Виявляються і вторинні, менш чітко виражені максимум і мінімум. Добова амплітуда середнього тиску невелика (менше 2 гПа), але в ясні антициклональные дні може досягати 6-9 гПа. Чіткіше добовий хід зміни тиску виражений влітку. Взимку і осінню він згладжений.
У окремі дні залежно від інтенсивності циркуляційних процесів зміни тиску за добу можуть бути і значнішими. При проходженні фронтів, глибоких циклонів вони можуть досягати 15-20 гПа і більш.
Середня междусуточная мінливість тиску найбільша в січні. У два рази і більш вона перевищує мінливість в липні. Екстремальні значення мінливості в холодний період року можуть досягати 30-35, в теплий - 15-20 гПа.
Абсолютні максимуми і мінімуми значно перевершують найбільші і найменші середньомісячні значення тиску. Так, над більшою частиною України абсолютний максимум тиску спостерігався 23-24 січня 1907 р. при інтенсивному розвитку антициклогенезу над всією Європою. Абсолютні максимуми вищі, а мінімуми нижче в холодний період року. Абсолютна річна амплітуда тиску досягає 80-92 гПа.
Баричне поле, знаходячись в тісному зв'язку з циркуляцією атмосфери, процесами фронтогенеза і фронтолиза, трансформацією повітряних мас, визначає режим вітру. Істотний вплив на вітер роблять рельєф місцевості і інші физико-географические особливості території. Отже, динаміка полий тиску і циркуляційних процесів визначає вітровий режим по сезонах, а орографічні умови часто вносять до нього помітні зміни. У атмосфері безперервно спостерігаються рухи повітря, різні по інтенсивності і по охоплюваній ними території. Вітер є векторним параметром метеорологічних процесів в і кліматичних умов, гак як переміщення повітряних потоків характеризується напрямом і швидкістю, причому ці показники відрізняються високою мінливістю.
Для України характерні постійні зміни напряму і швидкості вітру протягом року. У холодний час у зв'язку з формуванням і подальшим посиленням східного антициклону і його відрогу на півдні, південному сході і сході України збільшується вірогідність вітрів східної половини горизонту; у окремих районах вона досягає 50-60%. Разом з цим часто спостерігаються західні і південно-західні вітри. На крайньому півдні території, особливо в Криму, на побережжі Чорного моря звичайні взимку північні і північно-східні вітри, вірогідність яких складає 30-35%. Пояснюється це наявністю Чорноморської депресії, яка і визначає режим вітру. У західних районах спостерігаються західні і південні вітри.
Весной у зв'язку з посиленням ролі радіаційного чинника і місцевих умов в степовій зоні переважають вітри східного напряму, в північніших районах - південно-східного. На побережжі вже з березня розвивається бризовая циркуляція і переважають вітри з південною складовою.
В кінці весни слабшає, а потім зовсім руйнується відріг Азіатського антициклону і посилюється, поширюючись в східному напрямі, відріг Азорського антициклону. Відповідно до характеру баричного рельєфу практично по всій Україні в теплий період року переважають західні і північно-західні вітри. Слід зазначити, що стійкість переважаючих напрямів вітрів порівняно невелика. Літній тип вітрового режиму є найбільш однорідною системою вітрів.
Якщо проаналізувати річні троянди вітрів, то можна виявити певні особливості вітрового режиму в різних районах України. Так, на сході території найбільшу повторюваність мають вітри протилежних напрямів - східні і західні, північносхідні і південно-західні. Під впливом місцевих особливостей орографії в деяких районах річний хід і просторовий розподіл повторюваності напрямів вітру порушуються.
Термічний режим
. Максимальна і мінімальна температури є екстремальними показниками температурного режиму. Вони мають більшу мінливістю в порівнянні з середньою місячною температурою в часі і просторі. Розподіл екстремальних температур залежить від циркуляційних процесів, але більшою мірою від всіляких физико-географических чинників. Великі відмінності у формах рельєфу і фізичних властивостях підстилаючої поверхні обумовлюють місцеву циркуляцію, яка сприяє підвищенню або пониженню температури, збільшенню її контрастів [9].
Максимальна температура в денні години в низинах, на схилах долин, звернених до Сонця, в місцях з поганим стоком повітря в ясні сонячні дні, особливо в теплий період року, буде вище, ніж на відкритому рівному місці. У великих містах в порівнянні з околицями спостерігається вища максимальна температура.
Крупні водні об'єкти згладжують хід максимальної температури повітря: у теплу пору року вона буде декілька нижче, в холодне - вище. Максимальна температура повітря зазвичай наголошується близько 14-15 ч, оскільки в цей час відбувається найбільш інтенсивне перемішування повітря. Мікрокліматичні умови впливають на максимальну температуру менше, ніж на мінімальну.
Повторюваність максимальної температури повітря в різні сезони року залежить від інтенсивності атмосферних процесів. У холодний період року значне потепління обумовлене адвекцией теплих повітряних мас, особливо з Середземного моря. У теплий час висока температура формується при стаціонарних антициклонах, розташованих над півднем України і Чорним морем.
Річний хід максимуму аналогічний річному ходу середньої температури, тобто найбільші значення наголошуються в літні місяці, найменші, - взимку.
На території України протягом всього року абсолютний максимум завжди вище 0 °С. Найбільш низькі його значення наголошуються взимку (грудень-лютий) і складають 10-15 °С. Інтенсивне підвищення максимальної температури починається після остаточного сходу снігового покриву. У березні максимальна температура повітря складає на значній території 20. У квітні інколи наголошуються дуже теплі дні, коли максимальна температура зростає до 29-32 °С. Надалі зростання максимальної температури декілька сповільнюється. У травні рекордні максимуми складають 32-35 °С.
Найбільш висока максимальна температура повітря (36-39 °С) спостерігається в червні-серпні. Вона однорідна по всій Україні і лише на півдні і південному сході максимум досягає 40-41 °С. Проте в окремі роки з аномальним розвитком циркуляційної діяльності максимум може наголошуватися в травні і вересні. Повільне пониження максимальної температури починається у вересні. Спад продовжується в жовтні і листопаді. Різке пониження максимальної температури повітря наголошується в грудні.
На заході території амплітуда температури повітря за рік складає 22 °С. Тут протягом всього року переважають вітер із західною складовою і перенесення повітря з Атлантики. На схід амплітуда збільшується до 29 °С, що свідчить про посилення континентальності клімату в цьому напрямі.
Дія Чорного моря виявляється слабо, в основному на прибережних станціях.
Режим опадів
. Наявність вологи в атмосфері, її пересування і фазові перетворення грають істотну роль у формуванні погоди і клімату. Місткість вологи у повітрі залежить від походження повітряної маси. Більш всього волога міститься в повітрі, що поступає на Україну з Середземного моря і Атлантичного океану. Повітряні маси, що переміщаються з Арктики, мають низьку місткість вологи.
Місткість вологи у повітрі в 7-кілометровому шарі над Україною складає в середньому за рік 15 кг/м2 і змінюється протягом року від 9 взимку до 27 кг/м2 влітку. Випадання опадів на Україні тісно пов'язане з вологооборотом. Останній зазвичай характеризується коефіцієнтом вологообороту, який є відношенням загальної кількості опадів, випадних на даній території, до кількості опадів, що утворюються з водяної пари, приношуваної на дану територію ззовні. Для України він складає 1,0-1,1, тобто тут осідання в основному адвективні і лише близько 3-4% їх утворюється з водяної пари місцевого походження.
Освітленість і випадання опадів на території України - наслідок складних макроциркуляційних процесів, що визначають тепло - і вологообмін в атмосфері. Суть цих процесів полягає в перенесенні на значну відстань тепла і водяної пари з Атлантики і Середземного моря, а також розвитку під впливом циклонної діяльності великомасштабних вертикальних рухів, що наводять до підйому вологи в тропосфері.
По особливостях створення опадів Украина відноситься до континентального району області атлантичного перенесення.
Перенесення повітряних мас тісно пов'язане з циклонною діяльністю. Основна кількість опадів випадає з фронтальних хмар. Взимку випадання їх пов'язано з виходом середземноморських циклонів, проникаючих з побережжя Чорного моря в північному і північносхідному напрямах. Вплив середземноморських циклонів наголошується майже на всій території. Більшість атлантичних циклонів переміщаються зазвичай на північ від території України і рухаються по зональних траєкторіях із заходу на схід. Південні ділянки фронтів цих циклонів охоплюють територію України і зволожують її.
Влітку лише невелика частина опадів випадає в тилу циклонів безпосередньо з морських повітряних мас, у вигляді так званих опадів конвективної нестійкості. Важливу роль грають осідання з тропічного повітря. Останній, переміщаючись з південного сходу по південній і південно-західній периферії антициклону, зволожується і, зустрічаючись з полярним повітрям, дає велику кількість опадів зливового характеру.
Певну роль в збільшенні літніх опадів на Україні грає місцевий циклогенез. На східноєвропейській гілці полярного фронту виникають циклони, які супроводяться випаданням опадів з континентального повітря.
Основною закономірністю просторового розподілу опадів на Україні, обумовленій загальноциркуляційними чинниками, є зменшення опадів з півночі і північного заходу в напрямі на південь і південний схід. Такий розподіл характерний для рівнинної території України. Рельєф, що визначає регіональні особливості циркуляції, вносить істотні зміни до поля опадів. У гірських районах виникає вимушений впорядкований підйом повітряних потоків по схилах гір і возвышенностей, він сприяє посиленню термічної і динамічної турбулентності, розвитку пиклогенеза.
Південні степові райони України (Одеська, Миколаївська, Херсонська і частина Кримською областей) відносяться до районів недостатнього зволоження. Тут наголошується зменшення опадів на південь.
На побережжі Чорного і Азовського Морея, в Прісивашші опадів випадає ще менше (300-325 мм), що пов'язане з впливом бризовой циркуляції.
Розподіл опадів по території може відрізнятися від середнього багатолітнього.
Залежно від вигляду атмосферних опадів рік прийнято ділити на два періоди: холодний, коли разом з твердими осіданнями можуть випадати і рідкі; теплий - з переважанням рідких опадів (квітень - жовтень). У холодний період випадає 20-25, в теплий 75-80% річної суми опадів.
У холодний період кількість опадів на більшій частині території складає 125-150 мм. На возвышенностях (Донецькому кряжі, Приазовською) воно досягає 175-200 мм. У теплий період розподіл опадів по території схоже з їх річним розподілом. Кількість опадів зменшується з північного заходу на південний схід від 500 до 200 мм, тобто більш ніж в два рази. На низовинному побережжі Морея кількість опадів зменшується до 180 мм.
У січні і лютому повсюдно випадає найменша кількість опадів, по всій території воно змінюється трохи - від 20 до 30 мм. Починаючи з березня кількість опадів поступово збільшується, аж до липня. У червні майже повсюдно на Україні випадає максимальна в році кількість опадів.
Вересень найсухіший місяць теплого періоду на Україні. У жовтні в порівнянні з вереснем спостерігається невелике збільшення місячних сум опадів, яке охоплює в основному західні і південно-західні райони. У листопаді і грудні кількість опадів знов зменшується.
Таким чином, на Україні спостерігається континентальний тип річного ходу опадів, при якому сума опадів теплого періоду перевищує суму опадів холодного періоду. Такий розподіл опадів найбільш виражений на возвышенностях і в північних і північно-західних районах України. Амплітуда річного ходу опадів тут складає більше 50 мм. У степових районах річний хід опадів більш рівномірний, особливо на побережжі Морея, де амплітуда зменшується до 25 мм. У окремі роки максимум і мінімум опадів можуть бути зрушені на інші місяці.
Найбільші місячні суми опадів, які наголошувалися на Україні, перевищують середнє багатолітнє значення в 2-3 рази. На більшій частині території вони змінюються від 65 до 250 мм залежно від сезону року.
Найменша кількість опадів за місяць складає 0-10 мм. Значення по місяцях складають 13 - 40 мм. Із збільшенням сум опадів збільшується і їх мінливість. Найбільшою мінливістю характеризуються осідання літнього і осіннього сезонів.
Число днів з опадами різної величини, доповнює дані про місячну і річну кількість опадів і характеризує частоту їх випадання. Ця характеристика залежить від пори року, рельєфу і експозиції схилів. Річне число днів з опадами більше 0,1 мм по території змінюється відповідно до кількості опадів, зменшується з північного заходу на південь і південний схід. На більшій частині території України складає від 140 до 165, в південній частині степу - 120--140, на побережжі Чорного і Азовського Морея зменшується до 100 днів. На возвышенностях число днів з осіданнями більше 0,1 мм збільшується в порівнянні з рівнинною територією.
Число днів в році з опадами більше 5,0 мм розподіляється по території України приблизно так само, як число днів з опадами більше 0,1 мм.
У річному ході кількості днів з опадами більше 0,1 мм, а також більше 5,0 мм просліджується один максимум в зимові місяці (у грудні або січні), вторинний максимум спостерігається в червні. Мінімум доводиться зазвичай на вересень, вторинний, - на травень.
На території України річне число днів з опадами більше 10 мм в добу складає в північних і центральних районах 12-14, западных - 15-19, південних, - 7-9. Опади більше 30 мм (рясні) зазвичай наголошуються в лісостепі і північній частині степової зони (в середньому 1 день у році).
Зазвичай рясні зливові осідання випадають влітку (червень-липень). У окремі роки кількість днів з опадами може відрізнятися від середнього багатолітнього значення.
Інтенсивність злив по території України можна охарактеризувати найбільшою кількістю опадів, що випали за добу. На значній частині території України найбільша кількість опадів складає 140-170 мм, в південних степових районах - 100 - 140.
Важливими характеристиками злив є їх інтенсивність і тривалість. У всіх физико-географических районах України максимальна інтенсивність злив досягає 7-10 мм/мин. Найчастіше велика інтенсивність наголошується під час короткочасних злив. Найбільша тривалість злив на рівнині - близько 2 ч.
Сніговий покрив істотно впливає на формування клімату в зимовий сезон. Він грає велику роль у формуванні термічного режиму приземного шару повітря і зволоженні верхніх горизонтів грунту. Унаслідок великої відбивної здатності снігу радіація, що поступає в зимовий сезон, майже повністю відбивається (альбедо якого щойно випав снігу більше 70%). В той же час завдяки малій теплопровідності сніговий покрив оберігає грунт від глибокого промерзання, захищає зимуючі рослини від низьких температур.
Утворення снігового покриву на Україні пов'язане з снігопадами, що викликаються вторгненням арктичних мас повітря і їх взаємодією з повітрям помірних широт, а також із загальним сезонним пониженням температури повітря і грунту.
Сильні снігопади (більше 20 мм опадів) можуть приносити збиток народному господарству - наводять до заметів на дорогах, частковому або повному припиненню руху автотранспорту, налипанню мокрого снігу на дротах, пошкодженню ліній зв'язку і електропередач.
Тривалість періодів з сильними снігопадами залежить від характеру синоптичних процесів і складає від 1 до 10 днів. Найбільша їх тривалість характерна для січня і лютого. Як правило, тривалі снігопади охоплюють значні території.
На Україні середня щільність снігу при найбільшій висоті снігового покриву змінюється від 0,20 в степу до 0,25 г/см3 на північному сході території.
Вологість повітря
. Вологість повітря зазвичай характеризується такими показниками: абсолютною вологістю, або пружністю водяної пари, відносною вологістю і дефіцитом вологості (недоліком насичення). Пружність водяної пари є парціальним тиском водяної пари, що знаходиться в повітрі. Відносна вологість - відношення пружності водяної пари, що міститься в повітрі, до пружності пари, що насичує, при даній температурі. Вона показує, як далека водяна пара, що знаходиться в повітрі, від стану насичення. Дефіцит вологості - різниця між пружністю водяної пари, що міститься в повітрі, і пружністю насичення водяної пари при даній температурі і тиску.
Пружність водяної пари змінюється залежно від физико-географических умов місцевості, пори року і стану погоди. Річні величини пружності водяної пари по території України змінюються трохи. На більшій частині території пружність водяної пари складає 8-9 гПа, в гірських районах вона менше на 1 - 2 гПа, на побережжі приблизно на стільки ж більше. Пружність водяної пари зростає від зими до літа відповідно до ходу температури.
Найменші значення її наголошуються в січні - лютому. На більшій частині території пружність водяної пари в цей час складає 3,7-5,0 гПа і більш. Максимальні значення пружності водяної пари наголошуються в липні. У північних і західних районах України пружність водяної пари складає 15-16 гПа. Найнижчі значення наголошуються в Кримських горах (12,0-13,0 гПа), а найвищі - на побережжі Морея (20 гПа і більш).
У перехідні сезони пружність водяної пари змінюється відповідно до ходу температури: навесні вона швидко збільшується, а восени - зменшується. Причому у весняні місяці загальне влагосодержание нижніх шарів атмосфери помітне менше, ніж в осінніх, що пояснюється великими витратами тепла на прогрівання підстилаючої поверхні.
Добовий хід пружності водяної пари найбільш виражений влітку. Його амплітуда змінюється від 0,9 на півночі території до 4,4 гПа на півдні. Особливістю добового ходу пружності є наявність двох мінімумів: перший - наголошується перед сходом Сонця одночасно з уранішнім мінімумом температури, другої, - настає біля 13 - 14 ч, коли унаслідок інтенсивного перемішування нижніх вологих шарів повітря з сухішими верхніми відбувається зменшення влагосодержания. У післяполудневі години у міру ослабіння інтенсивності турбулентного обміну пружність водяної пари збільшується. Максимум пружності на більшій частині території доводиться на 19 ч. Добовий хід пружності водяного пара взимку рівніший. Добова амплітуда не перевищує 0,7 гПа, мінімум пружності наголошується в 13 ч, максимум - в 7 ч. Добові значення пружності в окремі дні і роки відхиляються від багатолітнього середнього. Взимку при стійкій антициклонній погоді вона знижується до значень, близьких до нуля, в періоди циклонної погоди різко збільшується, досягаючи 10-15 гПа і більш. Влітку межі змін влагосодержания ще більші. У сухі холодні дні при арктичних вторгненнях пружність знижується до 5-8, а у вологих теплих підвищується до 25-35 гПа. Вміст вологи не завжди слідує за зміною температури повітря. Коефіцієнти кореляції між температурою повітря і пружністю водяного пара взимку складають 0,4^0,5,. весной і осінню 0,6-0,7, влітку 0,8. Таким чином, взимку залежність пружності водяної пари від температури істотно менша, ніж в інші сезони. Це пояснюється тим, що взимку при порівняно низьких температурах одним і тим же змінам температури повітря відповідають значно менші зміни пружності водяної пари, чим влітку.
Відносна вологість.
Для практичних цілей найбільший інтерес представляють дані про відносну вологість, міру насичення повітря водяною парою, що є показником.
Річний і добовий хід відносної вологості протилежні до ходу температури і пружності водяної пари. Взимку відносна вологість вища, ніж влітку. На більшій частині території ці відмінності складають 15-20%, на побережжі Морея і в Криму вони досягають 30%. Добовий хід відносної вологості в зимові місяці виражений слабо. У грудні і січні амплітуда добового ходу складає 3-6, а в лютому 8-10 '%.
З настанням весни амплітуда відносної вологості па більшої частини території України збільшується, досягаючи максимуму (30-35%) в травні - червні. Особливо великі відмінності відносної вологості між денним і нічним годинником у високогірних районах Українських Карпат (40-45%). Починаючи з липня добова амплітуда вологості поступово зменшується.
Мінімум відносної вологості повітря зазвичай настає близько 13 ч. Тому для характеристики відносної вологості використовуються ці дані. У холодний період року відносна вологість в 13 ч по території змінюється трохи. У січні вона майже повсюдно більше 80%. У лютому і березні вона зменшується до 70%. У квітні з'являються риси літнього розподілу відносної вологості. Її значення всюди зменшуються в порівнянні з даними березня на 10-15, а на південному сході республіки на 20%. У травні встановлюється типовий літній розподіл відносної вологості. По всій території вона зменшується із заходу до південного сходу і півдня від 60 до 45%. Проте на побережжі Морея, в зоні шириною близько 50 км., вона складає 60, а в деяких пунктах досягає 70%. У червні відносна вологість повітря в 13 ч декілька збільшується (на 2-4%) в порівнянні з травнем у зв'язку з активізацією зливової діяльності і збільшенням кількості опадів. У липні і серпні відносна вологість в степу зменшується па 1-4% за місяць, причому в серпні вона досягає мінімальних значень в році. Цього місяця на Україні досить часто встановлюється зона підвищеного тиску, в якій відбувається інтенсивне прогрівання повітря.
У серпні в Поліссі і лісостепі відносна вологість в 13 ч складає в середньому 55-60, в степу вона зменшується до 45, на південному сході України і в Степовому Криму до 40%. У вересні на всій території відносна вологість в 13 ч збільшується в середньому на 5%, у жовтні з посиленням циклонної діяльності відносна вологість збільшується на 10-15%.
У листопаді відбувається повсюдне збільшення відносної вологості повітря в 13 ч, розподіл її по території стає більш рівномірним і набуває рис, характерних для зимового сезону. Максимум відносної вологості повітря в 13 ч повсюдно наголошується в грудні. По всій території його значення змінюються трохи - 82-90%.
Відносна вологість повітря в 13 ч в окремі роки і місяці може відрізнятися від середньої багатолітньої і особливо істотно в теплий період. Про вірогідність різних значень середньої відносної вологості в 13 ч можна судити за даними таблиці.10, а також по відомостях, що містяться в літературних джерелах.
У західних районах України в теплий період переважає відносна вологість 50-60%, а вологість нижче 30% зовсім не наголошується. На схід картина помітно міняється. У східних і південних районах України повторюваність середньої місячної відносної вологості повітря нижче 30% збільшується. Тут найчастіше в теплий період року відносна вологість складає 40-50%.
Атмосферні явища
. Просторовий розподіл хмарності, її сезонний хід, вертикальна потужність і горизонтальна протяжність визначаються циркуляцією атмосфери, тепловим і радіаційним режимами, характером земної поверхні. У різні сезони року ці чинники виявляються неоднозначно.
У холодний період утворення хмарності обумовлюється в основному проходженням фронтів. Фронтальна хмарність зазвичай представлена суцільним покривом хмар шаруватих форм. Взимку важливу роль в утворенні шарувато-купчастих і шаруватих хмар грають сніговий покрив і пов'язані з ним приземні інверсії. Повторюваність шарувато-купчастих (5с) і шаруватих (81) хмар в окремі місяці холодного періоду складає близько 50% числа спостережень. Купчасті хмари взимку - явище досить рідке (1-2%), окрім гірських районів Українських Карпат і Криму, а також Південного берега Криму, де повторюваність купчастих і купчасто-дощових хмар складає 15 - 20%.
У теплий період із збільшенням сумарної радіації зростає термічна неоднорідність земної поверхні, розвиваються процеси трансформації повітряних мас, посилюється конвекція. У цей період повторюваність хмар конвективних форм складає 30-45% загального числа спостережень, хмар верхнього ярусу 35-40 і хмар середнього ярусу близько 40%. Суцільний хмарний покрив буває лише при проходженні фронтів. Повторюваність шаруватих хмар в цей період складає 1-2. Кількісними характеристиками хмарного режиму служать повторюваність похмурого і ясного станів піднебіння, а також середня кількість похмурих і ясних днів. Прийнято вважати піднебіння ясним, якщо кількість хмар не перевищує 2 балів, і похмурим, якщо кількість хмар дорівнює 8 балам і більш. Дні з хмарністю від 3 до 7 балів відносяться до напівясних.
Кількість ясних і похмурих днів доповнює зведення про повторюваність ясного, напівясного і похмурого станів піднебіння. На більшій частині території України ясних днів за рік по загальній хмарності налічується 40-45, на південь збільшується до 70, в Криму до 90. У річному ході найбільше число ясних днів спостерігається в липні - серпні. У ці місяці даний показник змінюється від 5 днів в місяць на півночі і північному заході до 15 днів в південних степових районах.
Річний хід кількості похмурих днів протилежний до річного ходу ясних. На Україні число похмурих днів по загальній хмарності змінюється від 100 на побережжі Чорного і Азовського морів до 160 днів в північних районах.
На освіту і розподіл нижньої хмарності земна поверхня впливає більшою мірою, чим на розподіл загальною. По нижній хмарності кількість ясних днів по території змінюється від 80 на північному заході до 140 в південних і південно-східних районах. Число похмурих днів найменше в південних степових районах і на побережжі Морея (50-70), на північ і північний захід воно збільшується до 80-100.
На більшій частині території кількість ясних днів по нижній хмарності більша, ніж похмурих, на 25-40, а на побережжі Чорного і Азовського Морея приблизно наполовину. У теплий період нижня хмарність майже відсутня. Літом похмурих днів по нижній хмарності буває не більше трьох в місяць. У зимові місяці повсюдно половина днів по нижній хмарності буває похмурою.
Добовий хід хмарності в холодний період року виражений слабо. Амплітуда добового ходу по обох видах хмарності взимку найменша (близько 1 балу). У теплий період найбільша хмарність наголошується в другу половину дня (3,0-4,5 балу по нижній хмарності), найменша - вночі. Амплітуда добового ходу хмарності в цей період - близько 3 балів. Найчіткіше виражений добовий хід купчастих хмар. Найбільша їх повторюваність повсюдно на Україні доводиться на післяполудневий час. У нічний час вони відсутні. Купчасто-дощові хмари найчастіше бувають у вечірні години (18-21 ч).
Серед несприятливих кліматичних явищ для Одещини характерні суховії (гарячі вітри) та пилові бурі (повторюваність - 3-8 днів на рік), грози (20-26 днів), град (2 дні), посухи, на морському узбережжі - тумани (20-30 днів на рік) в основному в холодну половину року. Заметілі відбуваються рідко (грудень - лютий) - 10 днів на півночі області, 5 - у центральній її частині, на півдні вони вкрай рідкі; ожеледь - від 20 днів на півночі до 5 на півдні.
Початком зими вважається перехід середньодобової температури повітря через 00
. На півночі області цей перехід здійснюється з 25 листопада по 1 грудня, у центральній частині з 28 листопада по 9 грудня і у південній з 12 по 9 грудня. Продовжується зима в північній частині 95-107 днів, в центральній 86-100 днів, у південній - 60-70 днів. Суворі зими з тривалими і сильними морозами чергуються з помірно теплими чи дуже м’якими зимами, з короткочасними зниженнями температури нижче 00
. Помірно теплі зими бувають частіше, ніж суворі чи м’які. При надходженні на територію області повітря із Середземного моря спостерігаються відлиги, коли температура повітря може підвищуватися до 13-220
тепла. Середні дати останнього морозу на півночі області 21 квітня - 1 травня, у центральних районах 15 квітня і на півдні 5-8 квітня.
Часом настання весни вважається стійкий перехід температури повітря через 00
. Перехід середньодобової температури повітря через 100
навесні здійснюється в північних і центральних районах 19-24 квітня, у південних 12-19 квітня. Останні весняні заморозки в повітрі відзначені в північних районах у період 5-24 травня, у центральних 5-12 травня, у південних 27-30 квітня; на поверхні ґрунту на півночі області 25-27 травня, у центральних 11-23 травня, у південних 8-15 травня.
Влітку, коли на Чорне море і південь Європи поширюється відріг Азовського антициклону, переважають тривалі періоди спокійної ясної сухої погоди. Мінливість температури повітря в літні місяці значно менше, ніж взимку. Найвища температура буває в липні, серпні і на півночі області складає 37-380
, у центральних районах 38-390
, на півдні 38-410
.
За початок осіннього сезону прийнято вважати час стійкого переходу температури повітря через 150
. За середніми багаторічними даними - це друга, третя декада вересня.
Найбільш ранні заморозки на поверхні ґрунту в північній половині області бувають 8-14 вересня, на півдні області 17-22 вересня. Інтенсивність перших осінніх заморозків складає від 0,1 до 3,80
морозу. Перші заморозки в повітрі можуть бути в період з 24 по 28 вересня з інтенсивністю 0,4-2,00
морозу.
Повторюваність помірних та слабопосушливих вегетаційних періодів в області значно більша, ніж вологих та дуже посушливих. З середини осені починається період облогових опадів, характерних для всього холодного півріччя. Найменше опадів випадає в лютому. Кількість днів з опадами за рік становить по області від 204 - на півночі й у центральній частини до 260 - на півдні. Середньорічна сума опадів змінюється в межах області від 610 мм на півночі до 405 мм - на південному сході (південна частина Комінтернівського району). Середньорічна кількість опадів по Одеській області складає 490 мм. Найбільш тривалі опади взимку. Більша частина опадів припадає на теплу пору року і часто випадає у вигляді злив. Відносна вологість повітря становить 85-86% взимку та 62-63% влітку. На морському узбережжі ці показники помірно вищі: 88-90% взимку та 76-78% влітку.
Сніжний покрив в другій декаді грудня, у Болграді в третій декаді. На півдні області більшість зим бувають безсніжними. Сходить сніжний покрив у північній половині області на початку березня, у південній - у другій половині лютого. У дуже м’які зими стійкий сніжний покрив не утворюється.
Найбільше число днів з ожеледдю відзначається на півночі області, але інтенсивність ожеледних відкладень у цілому не велика.
Протягом року буває 36-38 днів з туманом, що спостерігається в основному в холодну половину року. Найчастіше тумани спостерігаються в північній половині області.
Грози спостерігаються переважно в теплу половину року, найчастіше у червні та липні.
Заметілі спостерігаються, в основному, на півночі області. В окремі роки повторюваність заметілей може різко відрізнятися від середніх значень. Заметілі спостерігаються в основному з грудня по березень. Вони бувають, хоча і зрідка, у листопаді і вкрай рідко в квітні.
Середня швидкість вітру по області невелика: у січні її величина змінюється від 4 м/с на півночі до 6 м/с на півдні. У липні - від 2 м/с до 4 м/с. Середня місячна швидкість вітру в області складає 4-5 м/с. Вітер швидкістю 15 м/с і більше найчастіше спостерігається в холодну половину року. Найбільше число днів із сильним вітром 15 м/с.
Одним з найважливіших екологічних наслідків глобального потепління, який має високу соціально-економічну значимість, є трансформація поля інтенсивності атмосферних опадів на планеті. Атмосферні опади є основною складовою гідрологічного циклу кругообігу прісної води на Землі. Як відомо, деякі географічні регіони знаходяться у зоні недостатнього зволоження (арідна зона), інші - у зоні надмірного зволоження (гумідна зона). Південні регіони України (особливо південно-східні області та Крим) відносяться до зони недостатнього зволоження. Аналіз трансформації поля інтенсивності атмосферних опадів на території України під впливом глобального потепління необхідно виконати насамперед у напрямі з'ясування того, чи погіршується географічний розподіл атмосферних опадів під впливом глобального потепління, чи навпаки, він стає сприятливішим для різних галузей економіки.
Глобальне потепління до 1 - 2ºС є надзвичайно сприятливим для економіки країни, тому що воно вирівнює поле річної кількості атмосферних опадів на території України:
у південно-східних регіонах річна кількість опадів підвищується на 10 - 15%, а в північно-західних - знижується на 5 - 10%. Щоправда, дещо іншою була місячна кількість опадів. Для тих регіонів і місяців, для яких місячна кількість атмосферних опадів не перевищувала 60 - 65 мм, вона знизилась, а для тих регіонів і місяців, для яких місячна кількість атмосферних опадів перевищувала 60 - 65 мм, вона, навпаки, у результаті глобального потепління різко зросла.
Щоправда, проблема реакції поля атмосферних опадів на антропогенне забруднення довкілля і глобальне потепління, особливо для окремих фізико-географічних регіонів планети, таким спрощеним підходом не вирішується, оскільки істотну роль у формуванні атмосферних опадів можуть відігравати також інші фактори, пов'язані або з глобальним потеплінням, або з іншого типу антропогенним впливом на синоптичні пронеси.
Впливом індустріальної діяльності людства на мікрофізичні процесії формування хмар та опадів (конденсацію водяної пари. льодоутворення, коагуляцію) можна знехтувати. З фізичної точки зору ці процеси взагалі не можуть відігравати істотної лімітуючої ролі в утворенні опадів. Земна тропосфера надзвичайно багата природними ядрами конденсації та ядрами льодоутворення. Аналіз великої кількості експериментів з активних впливів на погодні процеси, проведений вченими у різних країнах, показав, що штучне введення у переохолоджені шари хмар досить великої кількості додаткових зародків мікрокристалів льоду підвищує в окремих фізико-географічних регіонах загальну інтенсивність опадів лише на 10 - 20% (вищі оцінки не вважаються статистично значущими).
Процеси взаємної коагуляції крапель хмар (гравітаційної, електричної, турбулентної тощо) та захоплення хмарних крапель частинками опадів є надзвичайно стійкими відносно можливого рівня типового антропогенного забруднення тропосфери, а метеорологічну значимість ідеї щодо лімітуючої ролі поверхнево-активних речовин у процесах конденсації водяної пари на краплях хмар натурні експерименти не підтвердили.
Досить велику частину земної поверхні займають морські акваторії, випаровування води з яких практично нічим не обмежене. Дефіцит вологозапасу в тропосфері у процесах формування атмосферних опадів у загальному випадку також не може бути лімітуючим фактором, крім випадків, коли повітряні маси з інтенсивними атмосферними опадами переміщуються углиб континентів (ефект циркумконтинентальності поля опадів) або розвиваються процеси з катастрофічне високим рівнем інтенсивності опадів (катастрофічні зливи тощо).
Ефект циркумконтинентальності поля опадів, особливості циркуляції атмосфери та вплив різних місцевих факторів якраз і спричинюють різке загальне зниження середньої річної інтенсивності опадів на території України. Середня річна кількість атмосферних опадів в Україні дорівнює ~580 - 600 мм/рік, що на 1/3 менше від середнього рівня для цього широтного поясу значення.
Отже, за останні 100 років у тих регіонах, де річна кількість опадів була малою (південно-східні області, тобто зона недостатнього зволоження), вона істотно збільшилася, а там де вона була відносно високою (північно-західні області, тобто зона надмірного зволоження) - знизилася.
Установлений ефект трансформації поля річної кількості опадів в Україні під впливом глобального потепління є настільки соціальне значимим, що необхідно було знайти додаткове його підтвердження.
Порівняння географічного розподілу аномалій норми річної кількості опадів у епоху оптимуму голоцену і коефіцієнта лінійного тренду річної кількості опадів за останні 100 років підтверджує висновок, що глобальне потепління клімату дійсно спричинює ефект просторового вирівнювання поля річної кількості опадів на території України зі зменшенням річної кількості опадів у північно-західних регіонах країни та підвищенням - у південно-східних.
Цей ефект має властивість "насичення" і в умовах глобального потепління (більшого ніж на 2 - 3ºС) уже проявлятися не буде, про то певною мірою свідчить аналіз трансформації поля опадів на території України в епохи микулинського міжльодовиків'я та оптимуму пліоцену, для яких глобальне потепління клімату досягало кількох градусів. Можливість "насичення" ефекту просторового вирівнювання поля річної кількості опадів різко знижує ефективність методів теорії подібності у побудові сценаріїв можливих кліматичних змін для майбутнього періоду, який перевищує 100 - 150 років. Щодо близького майбутнього (наступні - 100 років) проведені дослідження показують, що з досить високою надійністю можна використати лінійну інтерполяцію між сучасною епохою і епохою оптимуму голоцену.
Складнішою е проблема математичного моделювання впливу порівняно невеликого глобального потепління нижніх шарів атмосфери (на декілька градусів) на трансформацію структури загальної циркуляції атмосфери. Най-катастрофічнішим для України може бути зсув у помірні широти північної периферії поясу субтропічних антициклонів, викликаний глобальним потеплінням, оскільки це може призвести до незворотного процесу спустелювання південних регіонів країни. Такий катастрофічний ефект для економіки України можна очікувати лише тоді, коли глобальне потепління перейде рівень у 2,5 - 5,0ºС, тобто, при збереженні його сучасних темпів, - більше ніж через 500 років.
Наведені результати можуть скласти наукову основу для побудови сценаріїв можливої трансформації кліматичного поля атмосферних опадів на території України у XXIст. (у разі подальшого глобального потепління).
Державна система гідрометеорологічних спостережень національної гідрометеорологічної служби складається із стаціонарних і пересувних пунктів та технічних засобів спостережень: приземних метеорологічних; геліогеофізичних; аерологічних; метеорологічних радіолокаційних; метеорологічних авіаційних та супутникових; агрометеорологічних; гідрологічних (річкових, озерних, морських); спеціалізованих гідрометеорологічних; базових спостережень за хімічним та радіоактивним забрудненням навколишнього природного середовища.
В данный роботі використано приземні метерологічні спостереження Ізмаїльської дунайської гідрометеорологічної обсерваторії, метеорологічних станцій у м. Болграді, м. Вілкове та м. Сарата Одеської області.
Розміщення пунктів державної системи гідрометеорологічних спостережень здійснюється за рішенням спеціально уповноваженого центрального органу виконавчої влади у сфері гідрометеорологічної діяльності з урахуванням необхідності забезпечення всебічного вивчення гідрометеорологічного режиму, рівня забруднення навколишнього природного середовища України, гідрометеорологічного прогнозування і забезпечення.
Обсяг робіт та кількість пунктів спеціалізованих гідрометеорологічних спостережень, що виконуються на замовлення, встановлюються за погодженням із замовниками, для потреб яких виконуються ці роботи.
Програма та обсяги гідрометеорологічних спостережень та порядок проведення вимірювань визначаються спеціально уповноваженим центральним органом виконавчої влади у сфері гідрометеорологічної діяльності.
Матеріали гідрометеорологічних спостережень підлягають обов'язковому державному обліку і державній реєстрації з метою їх узагальнення, збереження і використання.
Суб'єкти гідрометеорологічної діяльності незалежно від форм власності, крім користувачів, в обов'язковому порядку передають матеріали гідрометеорологічних спостережень на зберігання спеціально уповноваженому центральному органу виконавчої влади у сфері гідрометеорологічної діяльності.
Державний облік, реєстрація і зберігання матеріалів гідрометеорологічних спостережень провадяться галузевим державним архівом спеціально уповноваженого центрального органу виконавчої влади у сфері гідрометеорологічної діяльності.
Свій організаційний початок Гідрометеорологічна служба України бере з 19-го листопада 1921 року, коли Декретом народних комісарів Радянської України була створена єдина українська метеорологічна служба - Укрмет. У грудні 1929 року організований Гідрометеорологічний комітет, до складу якого ввійшли всі метеорологічні та гідрологічні служби, що існували в Україні. З 2005 року Державна гідрометеорологічна служба України функціонує у складі Міністерства з питань надзвичайних ситуацій та у справах захисту населення від наслідків Чорнобильської катастрофи. На даний час Гідрометеорологічна служба України налічує більше 1000 пунктів спостережень за станом атмосфери, водних об'єктів і грунтів. Це метеорологічні, аерологічні, агрометеорологічні, воднобалансові, авіаметеорологічні, селестокові, сніголавинні станції, гідрологічні річкові, морські станції і пости, пункти спостережень за забрудненням навколишнього природного середовищща тощо. Більше 5000 спеціалістів високої кваліфікації, справжніх ен¬тузіастів, працюють у складі Служби.
В роботі використано форми (таблиці метеорологічні) ТМ-1. Заповнюють ці бланки працівники метеостанції, це може бути і інженер і технік, згідно "Повчанню гідрометеорологічним станціям і постам" Випуск 3 частина I. Окрім опадів входять такі показники як: температура і вологість повітря, характеристика вітру (напрям і швидкість), атмосферний тиск, атмосферні явища (гроза, сніг і так далі), реєструються зміни температури і відносної вологості повітря, записуються дані по спостереженню за хмарами, також входить визначення метеорологічної дальності видимості.
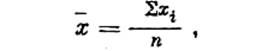
Статистична обробка даних, оцінка надійності використаних рядів спостережень і точності представлених величин проводилися за допомогою методів математичної статистики [49].
Розрахунок середніх арифметичних (багатолітніх) значень проводився по формулі
(2.1)
де хi - окремі значення елементу, що вивчається;
n - число спостережень.
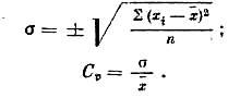
Мінливість даних елементів (явищ) характеризувалася середнім квадратичним відхиленням окремих значень від середнього багатолітнього, а також коефіцієнтом мінливості (варіації):
(2.2)
Мінливість будь-якого елементу може бути критерієм для оцінки можливих погрішностей у визначенні середнього його значення. Чим більше мінливість елементу, тим більша кількість років спостережень необхідна для набуття середнього значення із заданою погрішністю.
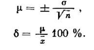
Для оцінки можливих помилок розрахованих середніх значень, обумовлених неоднорідністю періодів усереднювання, проводилося обчислення стандартних µ і відносних σ помилок по формулах
(2.3)
Використовуючи співвідношення (2.3), можна розрахувати можливі помилки середніх величин, задаючи різні значення для значень і тривалості періоду спостережень. За допомогою побудованих за цим принципом таблиць можна вирішити і зворотне завдання, тобто визначити, який період спостережень (років) необхідний для того, щоб отримати середнє арифметичне із заданою погрішністю.
Для деяких елементів визначався характер розподілу даних величин і його відповідність закону нормального розподілу. З цією метою для оцінки емпіричного розподілу використовувалися критерії А.Н. Колмогорова λ и Пірсону χ2
.
Критерий А.Н. Колмогорова:
(2.4)
де D - максимальна абсолютна різниця між інтегральними частотами фактичного і теоретичного розподілу;
n - об'єм сукупності.
Критерій Пірсону:
(2.5)
де fi
- частота елементу в i-ой градації емпіричного розподілу;
mpi - частота повторюваності для розрахункового теоретичного розподілу.
Розрахованні значення λ и χ2
порівнюються з допустимими λ0
и χ2
0
для заданого рівня значущості. При значеннях λ < χ2
и λ0
< χ2
0
вважається, что эмпиричний розподіл близький до теоретичного розбіжності між ними носять випадковий характер.
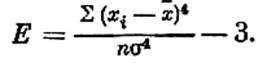
Для представлення характеру відхилень кривих розподілу деяких елементів від нормального обчислювалися коефіцієнти асиметрії (Аs, косості) і ексцесу (Е, крутість).
Розрахунок значень коефіцієнта ексцесу проводився по формулі
(2.6)
(2.7)
При нормальному розподілі або близькому до нього коефіцієнти асиметрії і ексцесу наближаються до нуля. При позитивному знаку коефіцієнта асиметрії крива скошена управо, при негативному - вліво. Позитивний ексцес характеризує островерховий розподіл, негативний - плосковерховий.
Для деяких елементів знаходилася залежність мінливості їх повторюваності від відстані між станціями. З цією метою розраховувалися коефіцієнти кореляції г для пар станцій, розташованих на різних відстанях одна від одної, по формулі
а також їх середні квадратичні відхилення:
(2.8)
при r/σr
≥ 3 кореляційна залежність вважалася істотною, а при r/уr< 3 - неістотною.
Для деяких елементів були розраховані імовірнісні характеристики або забезпеченість різної їх повторюваності. Як відомо, розрахунки імовірнісних характеристик широко застосовуються при вивченні клімату. Результати розрахунку імовірнісних характеристик для ряду елементів даються у вигляді номограм, які представляють залежність між багатолітніми середніми характеристиками елементу і можливими їх значеннями різної забезпеченості. Користуючись номограмою і знаючи середні багатолітні характеристики елементу, можна легко набути їх імовірнісних значень заданої забезпеченості для різних районів України.
Кількість опадів, райони (ареали) з різною кількістю опадів
За результатами спостережень щодо кількості опадів у південно-західній частині Одеської області отримано наступні результати (табл. .2.1, рис.2.1):
Таблиця 2.1. Щорічна кількість опадів у південно-західній частині Одеської області 1947-2008 рр.
| Разом за рік, мм |
Болград |
Вілкове |
Ізмаїл |
Сарата |
| 1
|
2
|
3
|
4
|
5
|
| 1947 |
535,3 |
378,0 |
150,0 |
371,5 |
| 1948 |
325,1 |
318,8 |
286,7 |
398,5 |
| 1949 |
390,0 |
432,0 |
331,4 |
416,1 |
| 1950 |
392,1 |
305,5 |
356,4 |
304,5 |
| 1951 |
247,5 |
312,9 |
258,4 |
308,4 |
| 1952 |
471,7 |
575,3 |
550,3 |
673,0 |
| 1953 |
373,4 |
304,1 |
307,6 |
344,9 |
| 1954 |
428,9 |
475,8 |
413,3 |
410,7 |
| 1955 |
438,3 |
543,3 |
568,9 |
440,4 |
| 1956 |
288,4 |
400,9 |
377,7 |
323,6 |
| 1957 |
384,9 |
451,6 |
446,9 |
335,2 |
| 1958 |
478,2 |
414,3 |
437,7 |
474,7 |
1959
|
431,1 |
349,0 |
344,6 |
412,1 |
| 1960 |
440,1 |
417,4 |
466,6 |
421,6 |
| 1961 |
450,0 |
445,6 |
441,3 |
444,5 |
| 1962 |
449,9 |
448,6 |
531,1 |
444,7 |
| 1963 |
533,6 |
548,4 |
500,0 |
455,4 |
| 1964 |
444,0 |
361,6 |
461,9 |
319,5 |
| 1965 |
423,5 |
391,6 |
525,3 |
469,6 |
| 1966 |
681,0 |
918,0 |
792,1 |
593,6 |
| 1967 |
412,2 |
511,6 |
491,9 |
386,6 |
| 1968 |
619,5 |
649,7 |
701,3 |
700,0 |
| 1969 |
618,6 |
592,2 |
663,4 |
544,3 |
| 1970 |
422,1 |
493,2 |
398,0 |
552,6 |
| 1971 |
531,6 |
609,2 |
583,0 |
511,6 |
| 1972 |
773,8 |
532,0 |
501,7 |
433,6 |
| 1973 |
411,2 |
577,3 |
382,1 |
512,8 |
| 1974 |
547,3 |
407,5 |
540,8 |
461,7 |
| 1975 |
491,0 |
405,5 |
466,6 |
392,9 |
| 1976 |
521,9 |
509,3 |
409,3 |
497,6 |
| 1977 |
449,9 |
451,8 |
529,7 |
434,6 |
| 1978 |
616,0 |
576,0 |
566,0 |
549,0 |
| 1979 |
590,7 |
465,0 |
408,2 |
519,7 |
| 1980 |
649,8 |
595,8 |
592,1 |
666,5 |
| 1981 |
575,8 |
507,6 |
486,0 |
518,4 |
| 1982 |
298,5 |
378,9 |
312,7 |
385,3 |
| 1983 |
369,2 |
254,4 |
345,3 |
309,6 |
| 1984 |
550,4 |
462,4 |
493,9 |
552,8 |
| 1985 |
569,2 |
359,8 |
534,1 |
462,3 |
| 1986 |
433,1 |
429,9 |
347,7 |
472,8 |
| 1987 |
472,0 |
387,9 |
350,1 |
416,4 |
| 1988 |
545,3 |
576,2 |
499,4 |
642,3 |
| 1989 |
336,7 |
379,2 |
449,2 |
501,4 |
| 1990 |
360,4 |
291,6 |
184,5 |
379,6 |
| 1991 |
567,6 |
395,5 |
424,2 |
431,0 |
| 1992 |
451,9 |
332,7 |
477,0 |
437,1 |
| 1993 |
542,5 |
357,4 |
444,7 |
439,3 |
| 1994 |
336,1 |
254,7 |
261,0 |
338,5 |
| 1995 |
474,0 |
482,0 |
392,5 |
551,2 |
| 1996 |
597,9 |
581,4 |
497,9 |
549,1 |
| 1997 |
729,1 |
631,9 |
655,9 |
653,5 |
| 1998 |
556,7 |
472,4 |
554,3 |
416,7 |
| 1999 |
550,1 |
580,6 |
508,5 |
389,7 |
| 2000 |
412,0 |
281,2 |
353,5 |
387,5 |
| 2001 |
407,6 |
347,9 |
414,2 |
529,5 |
| 2002 |
488,0 |
428,7 |
500,3 |
370,4 |
| 2003 |
516,9 |
430,8 |
320,7 |
532,7 |
| 2004 |
590,2 |
537,0 |
547,7 |
608,8 |
| 2005 |
609,7 |
527,6 |
547,2 |
472,3 |
| 2006 |
422,9 |
405,0 |
323,0 |
388,6 |
| 2007 |
503,8 |
366,1 |
432,2 |
378,7 |
| 2008 |
431,5 |
447,8 |
401,4 |
457,7 |
| У середньому за рік |
483,3 |
452,5 |
449,1 |
459,7 |
За даними табл. .2.1 середньорічна кількість опадів за населеними пунктами складає: Болград - 483,3 мм, Вілкове -452,5 мм, Ізмаїл - 449,1 мм, Сарата - 459,7 мм (рис.2.1 - 2.4).

Рис.2.1 Щорічна кількість опадів у м. Болград 1947-2008 рр., мм

Рис.2.2 Щорічна кількість опадів у м. Вілкове 1947-2008 рр., мм

Рис.2.3 Щорічна кількість опадів у м. Ізмаїл 1947-2008 рр., мм

Рис.2.4 Щорічна кількість опадів у м. Сарата 1947-2008 рр., мм
Впродовж 1947-2008р.р. у південно-західній частині Одеської області усього випало 114 359,8 мм опадів, з яких за даними метеостанцій: Болград - 29961,7 мм, Вілкове - 28057,5мм, Ізмаїл - 27841,4 мм, Сарата - 28499,2 мм. Тобто за загальною кількістю опади розподілено у майже рівному співвідношенні (рис.2.5).
Рис.2.5 Розподіл загальної кількості опадів впродовж 1947-2008 рр. за населенними пунктами
Характеристики варіації за даними кількості опадів у регіоні впродовж 62-х років, що спостерігаються, наведено у табл. .2.2
Таблиця 2.2. Характеристики варіації кількість опадів у південно-західній частині Одеської області 1947-2008 рр.
| Показник |
Розрахункова формула |
Болград |
Вілкове |
Ізмаїл |
Сарата |
Регіон |
| 1
|
2
|
3
|
4
|
5
|
6
|
7
|
| 1. Середньорічні опади |
 |
483,3 |
452,5 |
449,1 |
459,7 |
1 844,5 |
| 2. Мінливість даних (відхиленням окремих значень від середнього) |
 |
105,8 або 22% |
115,1 або 25% |
117,9 або 26% |
95,2 або 21% |
377,3 або 20% |
| 3. Коефіціент мінливості (Чим більше мінливість елементу, тим більша кількість років спостережень необхідна для набуття середнього значення із заданою погрішністю) |
 |
0,219 |
0,254 |
0,262 |
0, 207 |
0, 205 |
| 4. Стандартні (µ) помилки |

|
13,432 |
14,623 |
14,969 |
12,093 |
47,911 |
| 5. Відносні (σ) помилки |

|
2,780 |
3,231 |
3,334 |
2,631 |
2,597 |
| 6. Коефіцієнти асиметрії (Аs, косості) |

|
0,298 |
0,989 |
0,103 |
0,579 |
0,521 |
| 7. Коефіцієнти ексцесу (Е, крутість) |

|
0,003520 |
2,489356 |
0,508385 |
-0,165777 |
0,376962 |
| 8. Максимальна кількість опадів за рік, мм |
max |
773,8 |
918,0 |
792,1 |
700,0 |
2984,7 |
| 9. Мінімальна кількість опадів за рік, мм |
min |
247,5 |
254,4 |
150,0 |
304,5 |
1844,5 |
***Складові до розрахунку показників варіації наведено у табл. .2.3
За показниками варіації (рис.2.1-2.4):
середньорічні опади у м. Болград - 483,3 мм, Вілкове - 452,5 мм, Ізмаїл - 449,1мм, Сарата - 459,7 мм, разом у регіоні 1844,5мм.;
максимальна середньорічна кількість опадів у регіоні скаладає 795,97 мм; за населеними пунктами: у м. Болград - 773,8 мм, Вілкове - 918,0 мм, Ізмаїл - 792,1 мм, Сарата - 700,0 мм, разом у регіоні 2984,7 мм.;
мінімальна середньорічна кількість опадів у регіоні скаладає 239,1мм; за населеними пунктами: у м. Болград - 247,5 мм, Вілкове - 254,4 мм, Ізмаїл - 150,0 мм, Сарата - 304,5 мм, разом у регіоні 1844,5 мм.;
відхилення окремих значень від середнього рівня в середньому складає складає 23%; найбільших коливань від середньорічного рівня можна спостерігати за метеостанцією у м. Ізмаїл - 26%, найменших у м. Сарата - 21%, по регіону зазначені коливання складають 20%;
відносні помилки спостережень, враховуючи кількість спостережень та мінливість даних й відхилення окремих показників від середнього рівня, значно мегші за стандартний рівень помилки: по м. Болград відносна помилка менша майже вдвічі, по регіону у сім разів;
показник асиметрії найменшим є за показниками по м. Ізмаїл, тобто максимальна кількість даних наближаеться до середнього рівня (коефіцієнт асиметрії дорівнює 0,103), й навпаки, найчастіше від середнього рівня відрізняється кількість опадів у м. Сарата (коефіцієнт асиметрії дорівнює 0,576);
негативний (плоскоповерховий) розподіл спостерігається тільки за показниками у м. Сарата, оскільки має відємне знаяення й дорівнює - 0,165777.
посушливі явища (бездощовий період)
Кількість днів без опадів за результатами спостережень наведено у табл. .2.3., рис.2.6-2.9
Таблиця 2.3. Кількість днів без опадів протягом року у південно-західній частині Одеської області 1947-2008 рр.
| Кільість днів за рік без опадів, днів |
Болград |
Вілкове |
Ізмаїл |
Сарата |
| днів |
% |
днів |
% |
днів |
% |
днів |
% |
| 1
|
2
|
3
|
4
|
5
|
6
|
7
|
8
|
9
|
| 1947 |
249 |
68 |
256 |
70 |
333 |
91 |
268 |
73 |
| 1948 |
278 |
76 |
271 |
74 |
296 |
81 |
285 |
78 |
| 1949 |
253 |
69 |
239 |
65 |
279 |
76 |
257 |
70 |
| 1950 |
240 |
66 |
243 |
67 |
262 |
72 |
269 |
74 |
| 1951 |
262 |
72 |
257 |
70 |
276 |
76 |
282 |
77 |
| 1952 |
239 |
65 |
219 |
60 |
262 |
72 |
241 |
66 |
| 1953 |
272 |
75 |
235 |
64 |
290 |
79 |
296 |
81 |
| 1954 |
244 |
67 |
207 |
57 |
268 |
73 |
266 |
73 |
| 1955 |
233 |
64 |
220 |
60 |
253 |
69 |
249 |
68 |
| 1956 |
253 |
69 |
222 |
61 |
258 |
71 |
243 |
67 |
| 1957 |
268 |
73 |
234 |
64 |
281 |
77 |
276 |
76 |
| 1958 |
253 |
69 |
247 |
68 |
263 |
72 |
270 |
74 |
| 1959 |
266 |
73 |
240 |
66 |
274 |
75 |
258 |
71 |
| 1960 |
258 |
71 |
228 |
62 |
266 |
73 |
267 |
73 |
| 1961 |
251 |
69 |
243 |
67 |
270 |
74 |
269 |
74 |
| 1962 |
250 |
68 |
239 |
65 |
260 |
71 |
272 |
75 |
| 1963 |
258 |
71 |
256 |
70 |
262 |
72 |
269 |
74 |
| 1964 |
262 |
72 |
247 |
68 |
263 |
72 |
271 |
74 |
| 1965 |
237 |
65 |
232 |
64 |
253 |
69 |
264 |
72 |
| 1998 |
248 |
68 |
272 |
75 |
268 |
73 |
268 |
73 |
| 1999 |
251 |
69 |
264 |
72 |
269 |
74 |
279 |
76 |
| 2000 |
269 |
74 |
285 |
78 |
278 |
76 |
289 |
79 |
| 2001 |
263 |
72 |
281 |
77 |
271 |
74 |
279 |
76 |
| 2002 |
253 |
69 |
279 |
76 |
264 |
72 |
279 |
76 |
| 2003 |
239 |
65 |
262 |
72 |
263 |
72 |
261 |
72 |
| 2004 |
253 |
69 |
270 |
74 |
258 |
71 |
265 |
73 |
| 2005 |
252 |
69 |
266 |
73 |
256 |
70 |
258 |
71 |
| 2006 |
252 |
69 |
285 |
78 |
279 |
76 |
283 |
78 |
| 2007 |
270 |
74 |
273 |
75 |
288 |
79 |
282 |
77 |
| 2008 |
260 |
71 |
259 |
71 |
265 |
73 |
255 |
70 |
| Середне значення |
252 |
69 |
255 |
70 |
267 |
73 |
266 |
73 |
В середньому кількість днів без опадів протягом року у регіоні скаладає 260 днів (71%); за населеними пунктами: у м. Болград - 252 дні (69%), Вілкове - 255 днів (70%), Ізмаїл - 267 днів (73%), Сарата - 266 днів (73%).
Найбільш посушливими (при середньорічній кількості опадів у регіоні 1844,5мм) можна назвати роки: 1947
- 1 434,8мм; 1948
- 1 329,1 мм; 1950
- 1 358,5 мм; 1951
- 1 127,2 мм; 1953
- 1 330,0 мм; 1956
- 1 390,6 мм; 1982
- 1 375,4 мм; 1983
- 1 278,5 мм; 1990
- 1 216,1 мм; 1994
- 1 190,3 мм; 2000
- 1 434,2 мм;
При цьому 1975 (1756,0мм/рік), 1986 (1683,5мм/рік), 1989 (1666,5мм/рік), 1992 (1698,7мм/рік), 2001 (1699,2мм/рік), 2006 (1539,5мм/рік) та 2007 (1680,8мм/рік) роки, незважаючи на понад 77% днів на рік без опадів посушливими назвати не можна, оскільки опадів за рік випадало близько до середнього рівня.

Рис.2.6 Кількість днів без опадів протягом року у м. Болград 1947-2008 рр., днів

Рис.2.7 Кількість днів без опадів протягом року у м. Вілкове 1947-2008 рр., днів

Рис.2.8 Кількість днів без опадів протягом року у м. Ізмаїл 1947-2008 рр., днів

Рис.2.9 Кількість днів без опадів протягом року у м. Сарата 1947-2008 рр., днів
Частота випадання опадів
.
Частота випадання опадів, окрім кількості днів без опадів, що змальовано вище, проявляється у сезонності, що підтверджується даними табл. .2.4-2.7 та рис.2.10 - 2.13:
Таблиця 2.4. Кількість опадів протягом року у м. Болград 1947-2008 рр. за місяцями року
| Рік |
В т. ч. кількість опадів за місяцями |
| 1 |
2 |
3 |
4 |
5 |
6 |
7 |
8 |
9 |
10 |
11 |
12 |
| А
|
1
|
2
|
3
|
4
|
5
|
6
|
7
|
8
|
9
|
10
|
11
|
12
|
| 1947 |
10,0 |
8,3 |
33,6 |
2,2 |
17,4 |
149,2 |
61,4 |
98,6 |
9,8 |
27,7 |
56,8 |
60,3 |
| 1948 |
22,2 |
0,7 |
21,7 |
7,2 |
87,5 |
60,4 |
102,4 |
5,9 |
3,3 |
13,1 |
0,3 |
0,4 |
| 1949 |
1,4 |
3,2 |
15,7 |
10,0 |
26,0 |
125,6 |
53,0 |
19,5 |
56,8 |
0,9 |
46,9 |
31,0 |
| 1950 |
3,8 |
8,1 |
33,6 |
19,6 |
37,7 |
61,6 |
36,7 |
66,5 |
19,3 |
49,5 |
13,3 |
42,4 |
| 1951 |
10,6 |
10,4 |
24,6 |
27,1 |
14,4 |
18,5 |
19,0 |
86,8 |
14,6 |
1,2 |
15,2 |
5,1 |
| 1952 |
12,3 |
27,5 |
17,4 |
4,3 |
60,8 |
106,9 |
20,2 |
8,0 |
11,7 |
53,8 |
86,8 |
62,0 |
| 1953 |
46,8 |
40,8 |
1,6 |
24,5 |
89,6 |
66,1 |
22,4 |
44,8 |
2,5 |
14,4 |
3,0 |
16,9 |
| 1954 |
26,6 |
35,4 |
3,8 |
28,3 |
85,5 |
63,1 |
72,1 |
11,8 |
14,0 |
13,9 |
62,3 |
12,1 |
| 1955 |
26,6 |
36,4 |
15,6 |
54,1 |
62,2 |
86,9 |
62,2 |
25,3 |
28,8 |
6,2 |
14,8 |
19,2 |
| 1956 |
23,5 |
51,2 |
17,5 |
30,2 |
21,6 |
41,6 |
7,7 |
13,5 |
12,4 |
8,3 |
10,7 |
50,2 |
| 1957 |
18,7 |
6,5 |
1,1 |
37,0 |
50,1 |
34,1 |
6,8 |
79,0 |
52,1 |
32,8 |
59,4 |
7,3 |
| 1958 |
34,0 |
12,2 |
26,7 |
101,0 |
6,5 |
114,2 |
26,9 |
12,8 |
28,8 |
31,9 |
75,7 |
7,5 |
| 1959 |
23,0 |
2,0 |
2,2 |
5,8 |
61,4 |
73,0 |
63,3 |
52,2 |
36,7 |
1,4 |
83,8 |
26,3 |
| 1960 |
25,3 |
12,5 |
4,7 |
25,6 |
61,4 |
69,9 |
9,6 |
2,6 |
57,4 |
20,8 |
79,1 |
71,2 |
| 1961 |
33,5 |
17,6 |
5,6 |
67,8 |
60,6 |
36,8 |
46,3 |
58,4 |
0,3 |
36,4 |
27,6 |
59,1 |
| 1962 |
13,1 |
31,5 |
59,8 |
30,3 |
19,8 |
10,2 |
27,2 |
23,8 |
107,7 |
6,0 |
90,9 |
29,6 |
| 1963 |
54,6 |
89,6 |
33,2 |
33,5 |
55,1 |
74,1 |
74,7 |
40,4 |
18,6 |
6,5 |
3,1 |
50,2 |
| 1964 |
0,5 |
21,4 |
15,9 |
14,8 |
50,8 |
42,7 |
53,1 |
27,5 |
116,8 |
62,2 |
20,9 |
17,4 |
| 1965 |
24,8 |
28,3 |
22,9 |
30,4 |
68,9 |
54,6 |
65,7 |
14,1 |
12,5 |
2,3 |
39,9 |
59,1 |
| 1966 |
162,9 |
14,6 |
41,3 |
31,4 |
51,4 |
99,1 |
22,3 |
35,1 |
62,5 |
28,4 |
65,1 |
66,9 |
| 1967 |
35,4 |
58,4 |
13,3 |
15,1 |
29,7 |
42,6 |
57,2 |
63,2 |
24,2 |
20,3 |
6,7 |
46,1 |
| 1968 |
65,3 |
38,0 |
27,6 |
3,4 |
12,3 |
30,0 |
85,0 |
81,3 |
108,2 |
19,0 |
98,2 |
51,2 |
| 1969 |
36,8 |
120,5 |
57,0 |
41,5 |
22,2 |
92,7 |
79,6 |
11,3 |
20,5 |
4,8 |
5,3 |
126,4 |
| 1970 |
20,1 |
61,6 |
30,9 |
25,7 |
65,9 |
23,9 |
57,5 |
58,0 |
32,2 |
10,6 |
12,4 |
23,3 |
| 1971 |
36,8 |
120,5 |
57,0 |
3,8 |
97,1 |
49,6 |
53,6 |
21,5 |
30,4 |
17,5 |
20,3 |
23,5 |
| 1972 |
11,8 |
34,3 |
4,0 |
55,6 |
40,7 |
159,9 |
22,0 |
160,2 |
145,1 |
105,9 |
27,6 |
6,7 |
| 1973 |
24,8 |
58,9 |
80,6 |
15,1 |
61,0 |
10,9 |
71,5 |
27,3 |
11,7 |
14,9 |
25,4 |
9,1 |
| 1974 |
9,2 |
13,1 |
31,3 |
30,9 |
58,6 |
72,4 |
72,9 |
58,0 |
102,1 |
27,0 |
35,0 |
36,8 |
| 1975 |
26,6 |
11,0 |
9,6 |
53,7 |
70,5 |
30,2 |
103,8 |
39,3 |
19,8 |
35,9 |
88,5 |
2,1 |
| 1976 |
30,1 |
39,2 |
14,9 |
26,5 |
28,0 |
49,6 |
71,0 |
69,9 |
61,5 |
33,4 |
42,7 |
55,1 |
| 1977 |
21,3 |
54,3 |
3,5 |
66,0 |
68,3 |
79,7 |
67,4 |
36,9 |
8,9 |
7,8 |
13,9 |
21,9 |
Таблиця 2.5. Кількість опадів протягом року у м. Вілкове 1947-2008 рр. за місяцями року
| Рік |
В т. ч. кількість опадів за місяцями |
| 1 |
2 |
3 |
4 |
5 |
6 |
7 |
8 |
9 |
10 |
11 |
12 |
| А
|
1
|
2
|
3
|
4
|
5
|
6
|
7
|
8
|
9
|
10
|
11
|
12
|
| 1947 |
20,6 |
18,7 |
16,9 |
2,9 |
4,7 |
27,9 |
37,5 |
100,9 |
5,4 |
33,2 |
41,9 |
67,4 |
| 1948 |
20,9 |
3,2 |
22,4 |
14,5 |
62,9 |
139,9 |
35,2 |
3,0 |
8,1 |
4,4 |
2,0 |
2,3 |
| 1949 |
4,5 |
6,3 |
35,5 |
17,5 |
12,0 |
100,8 |
88,0 |
83,6 |
43,2 |
1,8 |
23,7 |
15,1 |
| 1950 |
6,2 |
5,5 |
28,1 |
47,6 |
23,6 |
17,7 |
43,2 |
30,2 |
14,2 |
36,3 |
22,0 |
30,9 |
| 1951 |
23,4 |
13,4 |
23,2 |
24,0 |
55,2 |
15,4 |
15,5 |
10,9 |
87,1 |
10,6 |
22,8 |
11,4 |
| 1952 |
23,9 |
80,4 |
26,7 |
1,3 |
64,6 |
96,2 |
8,4 |
11,8 |
2,2 |
96,4 |
123,2 |
40,2 |
| 1953 |
45,5 |
34,9 |
1,5 |
43,4 |
62,6 |
21,2 |
12,1 |
46,4 |
9,9 |
8,1 |
5,6 |
12,9 |
| 1954 |
47,2 |
18,5 |
13,4 |
23,6 |
87,3 |
47,8 |
62,2 |
14,0 |
1,6 |
22,3 |
101,6 |
36,3 |
| 1955 |
29,6 |
61,7 |
17,8 |
72,6 |
40,7 |
71,8 |
43,7 |
70,5 |
16,3 |
63,3 |
29,2 |
26,1 |
| 1956 |
42,7 |
89,5 |
38,1 |
24,7 |
31,3 |
43,1 |
7,1 |
9,3 |
26,9 |
22,9 |
8,9 |
56,4 |
| 1957 |
34,9 |
15,4 |
5,8 |
35,6 |
65,3 |
3,3 |
58,6 |
2,4 |
87,3 |
28,2 |
80,6 |
34,2 |
| 1958 |
60,8 |
21,6 |
24,7 |
95,3 |
3,5 |
43,8 |
71,4 |
4,2 |
22,2 |
37,5 |
23,0 |
6,3 |
| 1959 |
67,7 |
6,7 |
4,4 |
6,8 |
39,8 |
21,9 |
8,5 |
46,6 |
22,2 |
1,5 |
86,2 |
36,7 |
| 1960 |
31,0 |
17,2 |
15,6 |
14,6 |
32,9 |
61,8 |
2,1 |
45,3 |
58,5 |
25,9 |
48,5 |
64,0 |
| 1961 |
44,4 |
16,0 |
16,6 |
66,8 |
74,4 |
9,6 |
49,9 |
25,1 |
1,8 |
38,4 |
34,8 |
67,8 |
| 1962 |
33,0 |
59,8 |
56,7 |
21,4 |
47,8 |
11,0 |
3,3 |
25,1 |
56,1 |
5,2 |
72,1 |
57,1 |
| 1963 |
59,8 |
141,7 |
39,6 |
46,5 |
14,9 |
88,4 |
40,7 |
5,8 |
27,8 |
13,6 |
5,5 |
64,1 |
| 1964 |
2,7 |
31,9 |
13,3 |
32,3 |
47,1 |
27,5 |
47,7 |
15,7 |
74,4 |
17,5 |
30,5 |
21,0 |
| 1965 |
22,3 |
28,5 |
17,7 |
40,9 |
56,8 |
21,6 |
83,9 |
9,8 |
3,4 |
12,7 |
36,2 |
57,8 |
| 1966 |
153,2 |
30,2 |
36,0 |
46,2 |
76,9 |
84,9 |
86,8 |
101,9 |
88,1 |
10,9 |
73,7 |
129,2 |
| 1967 |
47,3 |
75,1 |
11,3 |
8,0 |
52,3 |
25,8 |
36,5 |
59,8 |
60,7 |
44,1 |
22,1 |
68,6 |
| 1968 |
117,6 |
31,0 |
24,9 |
7,3 |
0,5 |
11,3 |
75,0 |
41,8 |
209,4 |
15,2 |
61,6 |
54,1 |
| 1969 |
32,9 |
111,3 |
43,8 |
31,7 |
15,3 |
95,4 |
37,5 |
7,3 |
72,1 |
4,5 |
4,0 |
136,4 |
| 1970 |
15,1 |
103,3 |
22,5 |
14,3 |
107,7 |
74,3 |
27,6 |
45,1 |
8,6 |
28,8 |
30,4 |
15,5 |
| 1971 |
32,9 |
111,3 |
43,8 |
9,5 |
26,9 |
98,8 |
37,9 |
23,5 |
148,7 |
14,4 |
31,0 |
30,5 |
| 1972 |
19,6 |
23,2 |
3,9 |
57,4 |
56,3 |
22,9 |
53,4 |
139,1 |
58,9 |
61,5 |
32,3 |
3,5 |
| 1973 |
34,3 |
58,2 |
128,6 |
45,4 |
53,6 |
62,4 |
102,4 |
9,3 |
3,7 |
11,5 |
46,0 |
21,9 |
| 1974 |
22,4 |
16,9 |
30,9 |
41,3 |
60,3 |
67,7 |
37,0 |
20,5 |
33,9 |
14,9 |
26,4 |
35,3 |
| 1975 |
18,9 |
11,2 |
25,5 |
55,8 |
34,8 |
26,4 |
69,9 |
4,8 |
16,8 |
24,6 |
110,4 |
6,4 |
| 1976 |
24,2 |
35,4 |
19,4 |
11,6 |
22,0 |
13,6 |
63,6 |
122,8 |
93,0 |
28,9 |
36,8 |
38,0 |
| 1977 |
33,6 |
51,1 |
4,4 |
118,2 |
32,0 |
65,3 |
58,6 |
21,5 |
5,7 |
4,5 |
36,4 |
20,5 |
| 1978 |
4,0 |
92,0 |
53,0 |
67,0 |
68,0 |
53,0 |
64,0 |
77,0 |
45,0 |
14,0 |
8,0 |
31,0 |
| 1979 |
49,3 |
20,2 |
21,2 |
26,7 |
53,8 |
30,9 |
58,8 |
66,9 |
5,9 |
17,2 |
88,5 |
25,6 |
| 1980 |
50,9 |
1,4 |
45,7 |
45,7 |
80,0 |
80,5 |
47,3 |
14,7 |
47,8 |
50,5 |
68,0 |
63,3 |
| 1981 |
54,2 |
22,9 |
34,7 |
12,2 |
21,0 |
17,6 |
78,3 |
38,0 |
25,7 |
49,0 |
106,8 |
47,2 |
| 1982 |
21,9 |
37,8 |
19,1 |
41,3 |
29,5 |
37,3 |
53,4 |
52,2 |
0,0 |
17,4 |
8,8 |
60,2 |
| 1983 |
5,8 |
20,6 |
13,7 |
25,6 |
14,1 |
60,1 |
37,2 |
11,0 |
9,7 |
17,5 |
19,4 |
19,7 |
| 1984 |
53,6 |
59,2 |
62,9 |
70,4 |
21,2 |
56,6 |
40,7 |
21,3 |
12,7 |
7,3 |
39,2 |
17,3 |
| 1985 |
42,6 |
62,7 |
9,0 |
17,4 |
9,2 |
55,2 |
36,3 |
40,4 |
20,1 |
17,0 |
33,7 |
16,2 |
| 1986 |
60,2 |
93,0 |
29,5 |
5,9 |
1,7 |
32,5 |
47,6 |
4,3 |
59,9 |
44,0 |
4,5 |
46,8 |
| 1987 |
47,2 |
8,9 |
18,9 |
18,5 |
42,3 |
27,3 |
30,4 |
59,8 |
10,9 |
51,6 |
47,4 |
24,7 |
| 1988 |
56,6 |
21,1 |
106,1 |
28,7 |
37,0 |
45,7 |
53,2 |
10,1 |
100,8 |
24,9 |
44,8 |
47,2 |
| 1989 |
4,9 |
9,0 |
14,7 |
24,1 |
23,5 |
61,6 |
7,2 |
0,8 |
135,6 |
61,7 |
26,7 |
9,4 |
| 1990 |
7,3 |
22,1 |
0,0 |
35,2 |
22,1 |
9,4 |
11,8 |
9,4 |
59,3 |
5,8 |
29,4 |
79,8 |
| 1991 |
7,3 |
32,8 |
1,5 |
53,1 |
72,1 |
39,1 |
45,7 |
59,6 |
9,2 |
27,4 |
10,0 |
37,7 |
| 1992 |
3,0 |
22,6 |
42,2 |
2,1 |
44,2 |
53,3 |
8,1 |
7,1 |
20,0 |
39,3 |
53,8 |
37,0 |
| 1993 |
5,9 |
23,4 |
74,0 |
32,7 |
27,8 |
31,2 |
69,7 |
5,7 |
18,6 |
15,0 |
34,3 |
19,1 |
| 1994 |
8,8 |
4,4 |
8,6 |
5,2 |
22,9 |
62,7 |
20,0 |
59,4 |
29,6 |
5,6 |
4,0 |
23,5 |
| 1995 |
64,5 |
7,8 |
59,9 |
35,3 |
36,3 |
64,2 |
1,8 |
3,5 |
50,2 |
13,5 |
108,8 |
36,2 |
| 1996 |
34,0 |
71,3 |
19,0 |
25,0 |
52,4 |
22,7 |
23,1 |
33,5 |
151,6 |
65,5 |
31,8 |
51,5 |
| 1997 |
23,4 |
10,5 |
36,5 |
59,5 |
86,5 |
68,2 |
72,7 |
158,9 |
6,7 |
30,5 |
36,2 |
42,3 |
| 1998 |
19,4 |
9,2 |
28,4 |
14,0 |
50,6 |
46,4 |
19,4 |
27,4 |
97,2 |
51,4 |
103,7 |
5,3 |
| 1999 |
16,3 |
34,3 |
21,5 |
70,3 |
25,9 |
52,7 |
44,1 |
108,4 |
90,3 |
37,7 |
17,0 |
62,1 |
| 2000 |
56,5 |
29,0 |
7,9 |
22,0 |
9,3 |
38,1 |
5,2 |
4,0 |
51,0 |
6,3 |
43,8 |
8,1 |
| 2001 |
9,7 |
30,6 |
34,2 |
16,5 |
55,9 |
64,3 |
2,7 |
1,0 |
32,3 |
21,5 |
63,2 |
16,0 |
| 2002 |
12,4 |
15,0 |
84,8 |
26,9 |
10,7 |
23,9 |
35,8 |
82,8 |
10,7 |
49,8 |
59,5 |
16,4 |
| 2003 |
55,3 |
60,7 |
2,8 |
31,3 |
13,0 |
48,6 |
76,1 |
11,6 |
34,4 |
46,2 |
27,0 |
23,8 |
| 2004 |
91,6 |
20,6 |
15,5 |
25,4 |
105,0 |
62,9 |
56,5 |
33,3 |
31,0 |
26,2 |
20,6 |
48,4 |
| 2005 |
52,8 |
52,4 |
40,8 |
21,8 |
31,0 |
47,8 |
16,2 |
66,0 |
69,2 |
7,0 |
91,5 |
31,1 |
| 2006 |
29,7 |
17,8 |
59,8 |
31,3 |
51,8 |
6,3 |
2,2 |
123,8 |
44,0 |
4,4 |
21,4 |
12,5 |
| 2007 |
22,4 |
23,5 |
32,0 |
16,4 |
8,0 |
8,9 |
0,7 |
21,0 |
33,4 |
55,6 |
103,6 |
40,6 |
| 2008 |
26,4 |
10,2 |
37,0 |
31,9 |
27,8 |
24,9 |
72,3 |
7,2 |
138,6 |
10,7 |
14,5 |
46,3 |
| РАЗОМ |
2 171,0 |
2 276,1 |
1 847,9 |
2 018,4 |
2 520,6 |
2 853,4 |
2 543,7 |
2 378,1 |
2 819,6 |
1 635,1 |
2 679,3 |
2 314,2 |
Таблиця 2.6. Кількість опадів протягом року у м. Ізмаїл 1947-2008 рр. за місяцями року
| Рік |
В т. ч. кількість опадів за місяцями |
| 1 |
2 |
3 |
4 |
5 |
6 |
7 |
8 |
9 |
10 |
11 |
12 |
| А
|
1
|
2
|
3
|
4
|
5
|
6
|
7
|
8
|
9
|
10
|
11
|
12
|
| 1947 |
0,0 |
0,0 |
0,0 |
0,0 |
0,0 |
0,0 |
3,8 |
0,0 |
1,8 |
36,3 |
51,6 |
56,5 |
| 1948 |
19,3 |
1,2 |
17,8 |
7,1 |
103,9 |
63,5 |
47,5 |
16,7 |
2,4 |
5,2 |
1,7 |
0,4 |
| 1949 |
0,9 |
1,4 |
21,3 |
12,0 |
41,8 |
86,7 |
68,6 |
27,8 |
18,8 |
0,0 |
30,9 |
21,2 |
| 1950 |
4,4 |
2,7 |
43,3 |
33,6 |
12,1 |
48,2 |
31,0 |
69,5 |
4,8 |
42,6 |
6,9 |
57,3 |
| 1951 |
17,8 |
10,8 |
16,0 |
21,8 |
38,4 |
39,6 |
15,5 |
37,3 |
40,3 |
0,5 |
14,4 |
6,0 |
| 1952 |
17,7 |
44,0 |
16,7 |
6,6 |
64,3 |
69,5 |
6,1 |
6,8 |
4,2 |
120,3 |
128,5 |
65,6 |
| 1953 |
32,7 |
25,2 |
0,1 |
32,1 |
70,3 |
92,5 |
6,8 |
22,1 |
4,9 |
3,1 |
3,8 |
14,0 |
| 1954 |
18,7 |
16,6 |
8,0 |
24,1 |
67,0 |
27,1 |
99,9 |
18,4 |
3,8 |
35,5 |
72,5 |
21,7 |
| 1955 |
35,8 |
38,8 |
13,3 |
61,2 |
43,4 |
105,4 |
151,6 |
45,9 |
19,0 |
23,7 |
14,4 |
16,4 |
| 1956 |
48,4 |
51,4 |
34,4 |
21,5 |
29,6 |
60,1 |
11,2 |
29,5 |
8,8 |
9,0 |
8,9 |
64,9 |
| 1957 |
28,7 |
13,9 |
5,9 |
49,2 |
41,5 |
24,2 |
50,6 |
37,9 |
84,3 |
33,7 |
65,9 |
11,1 |
| 1958 |
23,8 |
11,5 |
31,0 |
137,0 |
7,4 |
63,7 |
28,7 |
18,7 |
42,0 |
41,9 |
27,8 |
4,2 |
| 1959 |
24,6 |
3,6 |
4,3 |
1,3 |
46,2 |
46,4 |
50,4 |
27,5 |
23,1 |
0,8 |
85,8 |
30,6 |
| 1960 |
26,4 |
12,5 |
4,7 |
31,2 |
33,6 |
60,0 |
79,7 |
29,6 |
35,8 |
38,1 |
49,2 |
65,8 |
| 1961 |
44,3 |
21,9 |
11,1 |
38,3 |
121,1 |
18,8 |
18,6 |
30,0 |
2,0 |
40,9 |
28,0 |
66,3 |
| 1962 |
22,8 |
53,2 |
75,3 |
31,3 |
27,4 |
13,8 |
36,2 |
68,9 |
59,1 |
10,5 |
96,7 |
35,9 |
| 1963 |
42,5 |
111,5 |
38,3 |
34,2 |
34,3 |
50,2 |
30,7 |
65,1 |
27,6 |
2,6 |
2,0 |
61,0 |
| 1964 |
0,6 |
22,4 |
11,3 |
19,0 |
53,2 |
86,4 |
28,2 |
31,0 |
124,0 |
46,5 |
17,5 |
21,8 |
| 1965 |
24,2 |
28,3 |
27,0 |
41,3 |
85,2 |
48,1 |
123,0 |
16,5 |
1,8 |
1,7 |
26,5 |
101,7 |
| 1966 |
165,1 |
22,6 |
36,9 |
29,3 |
49,2 |
78,7 |
95,4 |
45,1 |
73,8 |
12,2 |
89,6 |
94,2 |
| 1967 |
53,2 |
71,9 |
15,5 |
10,4 |
57,3 |
61,7 |
27,5 |
68,8 |
28,0 |
36,0 |
5,3 |
56,3 |
| 1968 |
80,2 |
43,6 |
20,6 |
6,8 |
9,9 |
13,3 |
117,8 |
42,5 |
175,2 |
10,3 |
121,8 |
59,3 |
| 1969 |
31,2 |
99,8 |
49,4 |
40,2 |
16,2 |
83,1 |
139,8 |
7,5 |
41,3 |
3,3 |
3,1 |
148,5 |
| 1970 |
16,6 |
74,3 |
26,6 |
23,2 |
80,6 |
37,6 |
30,6 |
39,7 |
9,8 |
17,9 |
21,8 |
19,3 |
| 1971 |
31,2 |
99,8 |
49,4 |
8,0 |
90,3 |
48,2 |
54,0 |
5,0 |
134,3 |
11,0 |
31,2 |
20,6 |
| 1972 |
20,7 |
0,0 |
32,6 |
5,3 |
66,4 |
49,9 |
66,6 |
36,9 |
107,2 |
85,7 |
26,1 |
4,3 |
| 1973 |
31,7 |
67,1 |
83,3 |
31,5 |
40,6 |
5,3 |
52,7 |
4,5 |
2,8 |
9,3 |
39,5 |
13,8 |
| 1974 |
8,4 |
16,2 |
27,4 |
54,9 |
42,9 |
54,6 |
122,3 |
12,6 |
129,2 |
14,5 |
26,7 |
31,1 |
| 1975 |
19,3 |
6,7 |
32,4 |
64,0 |
37,1 |
36,3 |
49,7 |
29,7 |
38,3 |
37,8 |
112,4 |
2,9 |
| 1976 |
25,1 |
28,6 |
13,7 |
19,6 |
13,1 |
22,9 |
15,4 |
98,2 |
52,4 |
43,7 |
37,1 |
39,5 |
| 1977 |
22,8 |
73,4 |
2,5 |
77,8 |
39,8 |
126,2 |
49,9 |
82,1 |
7,3 |
8,0 |
17,7 |
22,2 |
| 1978 |
6,0 |
68,0 |
74,0 |
49,0 |
100,0 |
95,0 |
30,0 |
82,0 |
23,0 |
13,0 |
3,0 |
23,0 |
| 1979 |
49,6 |
13,2 |
27,1 |
24,4 |
80,0 |
71,0 |
31,1 |
9,3 |
6,8 |
19,8 |
63,3 |
12,6 |
| 1980 |
49,1 |
3,5 |
35,4 |
54,2 |
65,0 |
83,1 |
49,8 |
17,9 |
34,6 |
35,8 |
78,6 |
85,1 |
| 1981 |
54,2 |
23,9 |
46,6 |
12,0 |
49,4 |
50,6 |
38,5 |
19,7 |
32,4 |
35,5 |
85,8 |
37,4 |
| 1982 |
11,0 |
33,1 |
23,5 |
43,3 |
8,8 |
56,6 |
36,5 |
39,4 |
2,7 |
20,0 |
8,4 |
29,4 |
| 1983 |
3,9 |
21,9 |
3,5 |
29,3 |
17,4 |
98,2 |
63,4 |
29,2 |
26,6 |
14,1 |
21,9 |
15,9 |
| 1984 |
50,5 |
57,9 |
85,2 |
67,1 |
40,8 |
57,8 |
46,5 |
12,1 |
1,5 |
7,9 |
39,3 |
27,3 |
| 1985 |
63,0 |
58,5 |
14,0 |
39,3 |
21,4 |
111,2 |
62,7 |
53,6 |
41,1 |
15,0 |
36,3 |
18,0 |
| 1986 |
37,1 |
0,0 |
25,9 |
12,3 |
6,9 |
48,9 |
70,8 |
22,8 |
35,3 |
44,5 |
4,7 |
38,5 |
| 1987 |
33,6 |
10,7 |
15,5 |
14,9 |
19,8 |
42,8 |
34,1 |
58,2 |
10,5 |
58,6 |
51,4 |
0,0 |
| 1988 |
0,0 |
22,0 |
97,3 |
50,7 |
52,4 |
38,7 |
36,3 |
4,0 |
91,7 |
15,8 |
39,7 |
50,8 |
| 1989 |
4,7 |
16,0 |
18,9 |
18,5 |
62,9 |
70,9 |
32,6 |
6,3 |
130,9 |
57,4 |
20,8 |
9,3 |
| 1990 |
7,8 |
25,5 |
0,0 |
37,5 |
29,4 |
34,8 |
0,0 |
0,0 |
31,5 |
18,0 |
0,0 |
0,0 |
| 1991 |
5,1 |
28,1 |
3,0 |
49,5 |
104,8 |
55,6 |
54,1 |
40,4 |
8,6 |
18,7 |
13,4 |
42,9 |
| 1992 |
1,3 |
30,6 |
59,8 |
21,2 |
109,8 |
87,4 |
21,2 |
8,9 |
10,8 |
56,6 |
29,0 |
40,4 |
| 1993 |
5,5 |
27,0 |
84,7 |
73,4 |
26,5 |
62,2 |
18,9 |
42,6 |
31,8 |
18,7 |
26,8 |
26,6 |
| 1994 |
18,8 |
3,4 |
4,0 |
9,4 |
23,9 |
63,5 |
54,3 |
28,3 |
3,2 |
18,2 |
4,0 |
30,0 |
| 1995 |
51,1 |
5,3 |
38,9 |
27,6 |
34,7 |
26,0 |
4,9 |
9,8 |
70,1 |
19,9 |
69,2 |
35,0 |
| 1996 |
40,3 |
66,3 |
25,0 |
41,1 |
27,6 |
6,2 |
1,0 |
37,6 |
96,7 |
45,7 |
48,9 |
61,5 |
| 1997 |
16,8 |
9,2 |
37,0 |
62,3 |
51,6 |
65,5 |
178,7 |
78,7 |
13,7 |
42,2 |
53,8 |
46,4 |
| 1998 |
20,8 |
8,0 |
17,7 |
18,2 |
28,2 |
106,8 |
66,8 |
37,8 |
97,3 |
67,0 |
78,8 |
6,9 |
| 1999 |
20,4 |
19,3 |
35,0 |
48,6 |
33,1 |
145,9 |
8,0 |
71,0 |
29,9 |
29,3 |
18,1 |
49,9 |
| 2000 |
48,8 |
29,0 |
4,3 |
17,6 |
14,1 |
24,8 |
8,0 |
22,6 |
114,7 |
3,6 |
57,4 |
8,6 |
| 2001 |
4,1 |
22,3 |
36,6 |
31,4 |
58,8 |
62,6 |
45,1 |
6,0 |
33,3 |
32,6 |
50,4 |
31,0 |
| 2002 |
11,3 |
13,6 |
59,3 |
30,8 |
27,8 |
59,5 |
63,3 |
103,6 |
11,5 |
53,4 |
51,4 |
14,8 |
| 2003 |
38,5 |
35,2 |
5,1 |
29,3 |
4,6 |
13,3 |
48,3 |
41,6 |
20,7 |
35,4 |
18,2 |
30,5 |
| 2004 |
53,6 |
23,5 |
17,4 |
35,1 |
98,9 |
37,3 |
63,3 |
87,6 |
17,3 |
27,5 |
42,9 |
43,3 |
| 2005 |
49,5 |
45,0 |
40,1 |
51,8 |
51,5 |
54,1 |
53,2 |
35,6 |
55,5 |
19,9 |
64,9 |
26,1 |
| 2006 |
25,1 |
13,1 |
46,4 |
32,6 |
65,0 |
37,9 |
10,6 |
33,6 |
29,2 |
4,1 |
9,2 |
16,2 |
| 2007 |
24,5 |
26,4 |
54,7 |
23,7 |
9,3 |
52,7 |
0,6 |
27,3 |
41,2 |
44,2 |
62,5 |
65,1 |
| 2008 |
14,2 |
4,7 |
30,1 |
41,2 |
36,1 |
66,6 |
54,7 |
5,4 |
68,2 |
15,7 |
10,0 |
54,5 |
| РАЗОМ |
1 759,3 |
1 839,1 |
1 836,1 |
2 071,1 |
2 824,6 |
3 509,5 |
2 997,1 |
2 144,7 |
2 530,4 |
1 690,7 |
2 427,4 |
2 211,4 |
Таблиця 2.7. Кількість опадів протягом року у м. Сарата 1947-2008 рр. за місяцями року
| Рік |
В т. ч. кількість опадів за місяцями |
| 1 |
2 |
3 |
4 |
5 |
6 |
7 |
8 |
9 |
10 |
11 |
12 |
| А
|
1
|
2
|
3
|
4
|
5
|
6
|
7
|
8
|
9
|
10
|
11
|
12
|
| 1947 |
12,0 |
16,6 |
26,4 |
3,9 |
5,8 |
73,0 |
17,6 |
114,8 |
0,0 |
17,1 |
32,1 |
52,2 |
| 1948 |
14,2 |
1,6 |
23,2 |
3,9 |
90,7 |
129,3 |
47,9 |
45,6 |
27,0 |
11,8 |
3,0 |
0,3 |
| 1949 |
9,5 |
6,0 |
16,7 |
14,1 |
36,9 |
141,8 |
60,2 |
49,0 |
24,7 |
0,0 |
25,7 |
31,5 |
| 1950 |
2,9 |
4,9 |
30,1 |
37,7 |
8,4 |
56,8 |
19,4 |
47,5 |
13,7 |
29,6 |
16,8 |
36,7 |
| 1951 |
17,1 |
16,0 |
18,9 |
15,2 |
63,6 |
37,6 |
74,1 |
22,8 |
15,9 |
0,0 |
21,9 |
5,3 |
| 1952 |
9,5 |
25,3 |
21,0 |
1,4 |
86,2 |
190,5 |
27,7 |
17,0 |
31,9 |
101,5 |
127,6 |
33,4 |
| 1953 |
41,1 |
31,5 |
0,5 |
66,7 |
74,9 |
59,9 |
9,3 |
30,3 |
19,1 |
6,9 |
2,2 |
2,5 |
| 1954 |
25,0 |
14,8 |
1,4 |
9,9 |
54,9 |
63,1 |
82,0 |
24,5 |
27,7 |
14,9 |
70,4 |
22,1 |
| 1955 |
22,8 |
23,5 |
8,7 |
47,9 |
27,4 |
77,1 |
94,5 |
49,7 |
29,4 |
7,7 |
26,1 |
25,6 |
| 1956 |
23,6 |
43,1 |
16,1 |
34,5 |
39,8 |
67,9 |
14,1 |
19,4 |
20,8 |
9,5 |
6,3 |
28,5 |
| 1957 |
16,7 |
14,6 |
4,8 |
15,8 |
28,4 |
58,0 |
58,5 |
14,3 |
42,7 |
16,0 |
54,1 |
11,3 |
| 1958 |
21,5 |
20,0 |
33,2 |
90,7 |
5,9 |
116,7 |
13,8 |
9,5 |
40,2 |
45,8 |
67,3 |
10,1 |
| 1959 |
37,8 |
6,0 |
4,1 |
9,1 |
124,6 |
31,8 |
40,3 |
39,5 |
43,4 |
0,6 |
65,9 |
9,0 |
| 1960 |
20,8 |
9,1 |
1,6 |
19,4 |
43,6 |
76,4 |
25,4 |
62,3 |
34,5 |
30,7 |
44,9 |
52,9 |
| 1961 |
34,1 |
24,0 |
6,0 |
79,0 |
103,4 |
16,5 |
30,6 |
24,2 |
7,9 |
56,3 |
31,8 |
30,7 |
| 1962 |
15,3 |
30,5 |
45,6 |
28,8 |
37,1 |
11,0 |
15,7 |
28,9 |
113,7 |
11,0 |
74,3 |
32,8 |
| 1963 |
35,9 |
92,2 |
33,4 |
21,4 |
6,0 |
112,0 |
39,8 |
13,7 |
20,1 |
22,3 |
1,9 |
56,7 |
| 1964 |
0,5 |
22,1 |
14,1 |
8,0 |
30,3 |
42,9 |
37,8 |
24,3 |
80,8 |
22,0 |
22,7 |
14,0 |
| 1965 |
24,0 |
29,7 |
25,1 |
46,0 |
65,4 |
24,5 |
95,2 |
35,3 |
25,1 |
10,8 |
43,3 |
45,2 |
| 1966 |
134,2 |
18,5 |
20,6 |
12,9 |
44,1 |
37,5 |
93,5 |
35,4 |
39,9 |
15,6 |
57,5 |
83,9 |
| 1967 |
36,0 |
50,2 |
15,0 |
10,6 |
26,7 |
26,0 |
28,7 |
33,2 |
71,6 |
24,9 |
12,7 |
51,0 |
| 1968 |
64,6 |
30,0 |
12,2 |
7,9 |
28,8 |
23,7 |
104,2 |
51,4 |
105,8 |
175,2 |
51,2 |
45,0 |
| 1969 |
26,9 |
72,2 |
37,6 |
24,9 |
33,2 |
138,8 |
54,8 |
12,2 |
25,9 |
2,3 |
4,7 |
110,8 |
| 1970 |
28,2 |
33,1 |
36,1 |
15,9 |
121,2 |
91,5 |
46,4 |
109,9 |
0,2 |
8,1 |
38,8 |
23,2 |
| 1971 |
26,9 |
72,2 |
37,6 |
2,3 |
53,1 |
31,8 |
65,4 |
18,6 |
128,2 |
6,5 |
26,4 |
42,6 |
| 1972 |
17,9 |
17,2 |
1,3 |
21,0 |
28,7 |
82,6 |
16,8 |
94,0 |
75,5 |
50,2 |
25,6 |
2,8 |
| 1973 |
19,2 |
57,0 |
61,1 |
23,1 |
32,2 |
7,1 |
197,5 |
40,3 |
4,2 |
17,2 |
32,1 |
21,8 |
| 1974 |
15,6 |
8,4 |
13,4 |
28,4 |
70,1 |
81,6 |
46,1 |
14,0 |
103,4 |
14,3 |
35,8 |
30,6 |
| 1975 |
15,8 |
9,5 |
9,6 |
30,2 |
43,9 |
48,2 |
77,5 |
38,8 |
2,1 |
15,0 |
96,3 |
6,0 |
| 1976 |
17,9 |
15,7 |
23,4 |
11,3 |
19,9 |
13,8 |
100,4 |
124,2 |
42,6 |
21,4 |
37,3 |
69,7 |
| 1977 |
24,3 |
56,3 |
3,3 |
82,4 |
59,7 |
53,7 |
61,5 |
41,5 |
11,8 |
1,8 |
15,0 |
23,3 |
| 1978 |
14,0 |
65,0 |
49,0 |
71,0 |
80,0 |
41,0 |
87,0 |
24,0 |
26,0 |
24,0 |
18,0 |
50,0 |
| 1979 |
68,4 |
18,2 |
23,6 |
45,9 |
62,7 |
15,0 |
42,3 |
81,5 |
12,3 |
47,4 |
88,2 |
14,2 |
| 1980 |
46,2 |
1,2 |
51,3 |
56,2 |
53,1 |
141,6 |
23,3 |
57,4 |
42,4 |
70,2 |
59,9 |
63,7 |
| 1981 |
30,9 |
16,7 |
37,3 |
22,0 |
72,8 |
20,0 |
75,0 |
34,9 |
18,1 |
51,8 |
86,9 |
52,0 |
| 1982 |
13,9 |
23,8 |
19,3 |
51,2 |
26,2 |
92,5 |
46,5 |
62,1 |
0,0 |
13,4 |
4,3 |
32,1 |
| 1983 |
6,4 |
11,3 |
12,4 |
25,5 |
20,1 |
61,8 |
85,4 |
48,1 |
6,3 |
4,5 |
12,7 |
15,1 |
| 1984 |
42,3 |
52,3 |
51,3 |
73,1 |
29,4 |
144,1 |
73,1 |
13,8 |
23,8 |
9,1 |
23,3 |
17,2 |
| 1985 |
58,6 |
53,6 |
2,4 |
18,4 |
16,3 |
141,2 |
37,4 |
33,1 |
26,9 |
29,6 |
31,8 |
13,0 |
| 1986 |
60,9 |
58,4 |
11,0 |
4,1 |
10,2 |
120,2 |
41,4 |
18,2 |
29,8 |
58,4 |
5,4 |
54,8 |
| 1987 |
34,5 |
10,2 |
13,7 |
20,6 |
31,0 |
39,9 |
126,7 |
30,0 |
3,4 |
57,2 |
37,4 |
11,8 |
| 1988 |
48,6 |
17,8 |
102,3 |
60,6 |
126,9 |
56,3 |
42,8 |
17,6 |
70,2 |
27,4 |
28,8 |
43,0 |
| 1989 |
3,3 |
13,2 |
13,6 |
22,8 |
40,9 |
116,9 |
46,4 |
33,2 |
137,8 |
54,0 |
16,3 |
3,0 |
| 1990 |
7,2 |
21,9 |
0,0 |
38,6 |
54,6 |
36,2 |
26,1 |
57,3 |
39,6 |
15,1 |
11,7 |
71,3 |
| 1991 |
6,0 |
13,4 |
5,8 |
59,0 |
80,9 |
50,4 |
73,2 |
86,8 |
2,4 |
20,2 |
5,0 |
27,9 |
| 1992 |
7,8 |
24,6 |
44,2 |
6,2 |
19,3 |
89,8 |
9,1 |
54,6 |
11,8 |
78,9 |
40,8 |
50,0 |
| 1993 |
5,4 |
22,0 |
84,7 |
34,0 |
32,0 |
82,9 |
48,4 |
6,5 |
69,2 |
5,7 |
23,4 |
25,1 |
| 1994 |
14,8 |
4,0 |
12,3 |
21,8 |
43,5 |
44,4 |
69,2 |
62,2 |
31,1 |
9,9 |
0,0 |
25,3 |
| 1995 |
55,4 |
17,0 |
37,1 |
57,8 |
38,9 |
90,4 |
13,1 |
43,8 |
122,8 |
10,1 |
37,9 |
26,9 |
| 1996 |
34,9 |
59,5 |
18,8 |
27,2 |
39,3 |
7,5 |
7,8 |
105,4 |
124,8 |
34,6 |
43,0 |
46,3 |
| 1997 |
16,8 |
9,6 |
42,8 |
36,2 |
39,3 |
85,6 |
102,8 |
134,3 |
11,9 |
41,8 |
56,4 |
76,0 |
| 1998 |
9,0 |
7,0 |
24,4 |
16,8 |
29,0 |
72,1 |
28,2 |
44,6 |
31,3 |
52,0 |
94,6 |
7,7 |
| 1999 |
30,0 |
45,3 |
9,5 |
63,9 |
43,3 |
29,8 |
0,0 |
30,7 |
24,0 |
25,0 |
25,9 |
62,3 |
| 2000 |
46,0 |
20,7 |
7,5 |
44,3 |
8,6 |
25,0 |
34,9 |
32,0 |
109,1 |
5,8 |
48,4 |
5,2 |
| 2001 |
6,8 |
17,1 |
64,0 |
26,6 |
44,3 |
49,6 |
44,1 |
1,9 |
164,3 |
18,8 |
67,8 |
24,2 |
| 2002 |
9,4 |
12,5 |
66,0 |
17,3 |
3,9 |
39,9 |
26,0 |
58,2 |
35,0 |
59,0 |
41,8 |
1,4 |
| 2003 |
57,3 |
44,8 |
5,4 |
35,9 |
19,8 |
106,6 |
130,9 |
9,1 |
18,1 |
59,1 |
12,8 |
32,9 |
| 2004 |
108,4 |
28,0 |
15,2 |
24,9 |
74,2 |
93,6 |
60,6 |
59,6 |
42,8 |
37,2 |
29,5 |
34,8 |
| 2005 |
24,4 |
58,4 |
17,6 |
24,5 |
43,7 |
61,9 |
30,3 |
112,3 |
3,1 |
8,3 |
54,4 |
33,4 |
| 2006 |
18,0 |
15,3 |
49,4 |
19,9 |
60,6 |
66,1 |
7,9 |
78,1 |
39,2 |
15,0 |
14,1 |
5,0 |
| 2007 |
36,6 |
23,0 |
33,0 |
19,7 |
8,6 |
23,8 |
0,7 |
29,8 |
37,1 |
18,1 |
117,6 |
30,7 |
| 2008 |
18,8 |
4,2 |
44,0 |
53,5 |
42,3 |
54,4 |
24,6 |
34,7 |
88,7 |
17,2 |
18,2 |
57,1 |
| РАЗОМ |
1 752,8 |
1 661,8 |
1 571,0 |
1 923,8 |
2 790,6 |
4 123,6 |
3 161,9 |
2 781,9 |
2 633,1 |
1 745,8 |
2 328,0 |
2 024,9 |

Рис.2.10 Кількість опадів протягом року у м. Болград 1947-2008 рр. за місяцями року

Рис.2.11 Кількість опадів протягом року у м. Вілкове 1947-2008 рр. за місяцями року

Рис.2.12. Кількість опадів протягом року у м. Ізмаїл 1947-2008 рр. за місяцями року

Рис.2.13. Кількість опадів протягом року у м. Сарата 1947-2008 рр. за місяцями року
Таким чином, спостерігається чітко виражений максимум опадів на червень - в середньому припадає 13% річного обсягу опадів, а 6% щорічного обсягу опадів припадає на жовтень.
Тривалість опадів
. Оскільки коефіцієнти ексцесу, тобто крутість відхилення від середнього значення є найменшим за показниками кількості опадів у м. Болград, а вся сукупність даних визнана достатньо типовою для регіону, розглянемо триваліть опадів в днях за м. Болградом (табл. .2.8-2.11):
Таблиця 2.8. Тривалість опадів у м. Болград 1947-2008р.р., днів поспіль
| Тривалість опадів, днів поспіль |
1 |
2 |
3 |
4 |
5 |
6 і більше |
Разом |
| Кільксть випадків |
585 |
192 |
130 |
71 |
30 |
23 |
1031 |
| Питома вага |
57 |
19 |
13 |
7 |
3 |
2 |
100 |
Таблиця 2.9. Тривалість опадів у м. Вілкове 1947-2008р.р., днів поспіль
| Тривалість опадів, днів поспіль |
1 |
2 |
3 |
4 |
5 |
6 і більше |
Разом |
| Кільксть випадків |
574 |
179 |
115 |
55 |
47 |
23 |
992 |
| Питома вага |
58 |
18 |
12 |
6 |
5 |
2 |
100 |
Таблиця 2.10. Тривалість опадів у м. Ізмаїл 1947-2008р.р., днів поспіль
| Тривалість опадів, днів поспіль |
1 |
2 |
3 |
4 |
5 |
6 і більше |
Разом |
| Кільксть випадків |
623 |
195 |
111 |
53 |
45 |
22 |
1048 |
| Питома вага |
59 |
19 |
11 |
5 |
4 |
2 |
100 |
Таблиця 2.11. Тривалість опадів у м. Сарата 1947-2008р.р., днів поспіль
| Тривалість опадів, днів поспіль |
1 |
2 |
3 |
4 |
5 |
6 і більше |
Разом |
| Кільксть випадків |
513 |
151 |
105 |
41 |
65 |
23 |
898 |
| Питома вага |
57 |
17 |
12 |
5 |
7 |
3 |
100 |
Тобто у південно-західній частині Одеської області впродовж 1947-2008р.р. переважно (58%) мали місце короткочасні дощі, що йшли впродовж однієї доби; 6 і більше днів поспіль мали місце тільки 5% опадів.
При цьому сезонність за тривалістю опадів виявлено не було.
Інтенсивність опадів
. Інтенсивність опадів характеризується середньодобовим максимумом опадів (табл. .2.12, рис.2.14-2.17):
Таблиця 2.12. Середньодобовий максимум опадів у південно-західній частині Одеської області 1947-2008 рр.
| Добовий максімум за рік, мм |
Болград |
Вілкове |
Ізмаїл |
Сарата |
| 1
|
2
|
3
|
4
|
5
|
| 1947 |
39,4 |
55,5 |
17,1 |
30,6 |
| 1948 |
51,1 |
85,1 |
30,6 |
28,4 |
| 1949 |
37,4 |
63,3 |
24,3 |
33,4 |
| 1950 |
24,4 |
37,1 |
37,2 |
33,2 |
| 1951 |
44,8 |
76,0 |
16,2 |
44,6 |
| 1952 |
32,2 |
53,0 |
43,8 |
99,8 |
| 1953 |
31,5 |
34,7 |
54,8 |
44,7 |
| 1954 |
53,5 |
32,9 |
29,3 |
33,4 |
| 1955 |
28,6 |
35,5 |
51,6 |
42,5 |
| 1956 |
20,8 |
25,5 |
28,9 |
21,8 |
| 1957 |
40,9 |
46,4 |
31,7 |
56,0 |
| 1958 |
43,4 |
44,0 |
48,8 |
54,9 |
| 1959 |
22,0 |
35,5 |
32,5 |
55,7 |
| 1960 |
35,0 |
46,3 |
45,2 |
44,1 |
| 1961 |
36,8 |
48,5 |
42,5 |
26,5 |
| 1962 |
50,9 |
44,1 |
68,9 |
48,8 |
| 1963 |
39,8 |
40,6 |
42,5 |
46,9 |
| 1964 |
34,5 |
38,3 |
50,3 |
30,4 |
| 1965 |
23,8 |
38,5 |
58,6 |
27,5 |
| 1966 |
31,3 |
67,8 |
44,0 |
63,3 |
| 1967 |
30,8 |
33,9 |
38,8 |
65,3 |
| 1968 |
49,1 |
104,7 |
87,6 |
87,6 |
| 1969 |
34,0 |
48,0 |
76,0 |
39,9 |
| 1970 |
30,9 |
41,7 |
30,3 |
55,7 |
| 1971 |
38,8 |
74,6 |
49,3 |
46,6 |
| 1972 |
63,8 |
88,7 |
52,0 |
77,2 |
| 1973 |
54,3 |
52,4 |
26,6 |
60,1 |
| 1974 |
48,1 |
41,2 |
58,9 |
48,2 |
| 1975 |
28,7 |
29,8 |
44,1 |
33,8 |
| 1976 |
46,9 |
25,0 |
38,0 |
49,7 |
| 1977 |
23,0 |
31,0 |
47,0 |
27,0 |
| 1978 |
45,0 |
63,0 |
31,0 |
43,0 |
| 1979 |
80,4 |
36,8 |
44,6 |
55,3 |
| 1980 |
28,1 |
45,6 |
36,8 |
52,6 |
| 1981 |
44,5 |
38,5 |
33,7 |
35,1 |
| 1982 |
16,6 |
39,5 |
32,6 |
47,1 |
| 1983 |
41,2 |
26,9 |
26,6 |
37,8 |
| 1984 |
39,8 |
26,0 |
30,1 |
63,1 |
| 1985 |
47,7 |
33,5 |
33,4 |
59,2 |
| 1986 |
29,4 |
40,6 |
27,5 |
47,5 |
| 1987 |
49,1 |
25,0 |
41,4 |
83,2 |
| 1988 |
40,6 |
58,1 |
33,3 |
39,8 |
| 1989 |
31,1 |
70,4 |
67,2 |
34,1 |
| 1990 |
29,5 |
33,7 |
17,4 |
37,2 |
| 1991 |
58,2 |
38,6 |
23,8 |
35,7 |
| 1992 |
62,1 |
28,4 |
44,0 |
51,2 |
| 1993 |
36,7 |
32,6 |
34,8 |
37,3 |
| 1994 |
55,8 |
23,2 |
33,5 |
32,7 |
| 1995 |
24,9 |
48,1 |
38,2 |
63,8 |
| 1996 |
41,1 |
35,8 |
29,1 |
60,0 |
| 1997 |
53,9 |
39,1 |
98,4 |
58,4 |
| 1998 |
61,3 |
60,0 |
56,2 |
30,5 |
| 1999 |
58,3 |
58,4 |
51,3 |
21,1 |
| 2000 |
61,3 |
30,5 |
35,7 |
54,2 |
| 2001 |
62,9 |
26,5 |
24,8 |
118,8 |
| 2002 |
47,8 |
42,7 |
56,8 |
34,4 |
| 2003 |
42,8 |
31,1 |
25,3 |
69,2 |
| 2004 |
47,1 |
38,6 |
47,2 |
41,1 |
| 2005 |
38,9 |
58,6 |
32,3 |
31,6 |
| 2006 |
31,9 |
47,6 |
39,2 |
25,1 |
| 2007 |
54,1 |
35,9 |
33,6 |
28,9 |
| 2008 |
38,7 |
54,3 |
46,1 |
35,8 |
| В середньому |
41,5 |
45,0 |
41,2 |
47,1 |

Рис.2.14. Середньодобовий максимум опадів у м. Болград 1947-2008 рр.

Рис.2.15. Середньодобовий максимум опадів у м. Вілкове 1947-2008 рр.

Рис.2.16. Середньодобовий максимум опадів у м. Ізмаїл 1947-2008 рр.

Рис.2.17. Середньодобовий максимум опадів у м. Сарата 1947-2008 рр.
Зливи, понад 100мм/добу мали місце у 1968 та 2001 роках, найменший добовий максимум був у 1956 році - 28,9мм/добу. За найбільш посушливими роками при середньодобовому максимумі 60,6 мм/добу середньодобові максимуми складали: 1947
- 55,5 мм/добу; 1948
- 85,1 мм/добу; 1950
- 37,2 мм/добу; 1951
-76,0 мм/добу; 1953
- 54,8 мм/добу; 1956
- 28,9 мм/добу; 1982
- 47,1 мм/добу; 1983
- 41,2 мм/добу; 1990
- 37,2 мм/добу; 1994
- 55,8 мм/добу; 2000
- 61,3 мм/добу. Тобто у 1948 році, незважаючи на значне перебільшення середньодобового максимуму від середнього рівня по регіону за розглядаємий період, загальна річна кількість опадів була меншою за усереднений рівень.
Південно-західна частина України - Одеська область займає територію Північно-Західного Причорномор’я від гирла річки Дунай до Тилігульського лиману, а від моря на північ - на 200-250 км. Незважаючи на свою порівняно невелику площу (5,5% території України), Одеська область розташовується в трьох кліматичних зонах: Придністровський лісостеп, Західний степ, Причорноморський степ. За кліматичними особливостями Одеську область можна розділити на три частини: північну, центральну і південну. В даній роботі розглядається південна частина Одеської області, що є дуже посушливою, помірно жаркою агрокліматичною зоною. За рівнем інтенсивності використання земельних ресурсів Одеська область належить до регіонів з найбільш інтенсивним землекористуванням (83,2%).
Дослідження режиму опадів у південно-західній частині Одеської області, яке проведено в даній роботі за даними Ізмаїльської дунайської гідрометеорологічної обсерваторії, метеорологічних станцій у м. Болграді, м. Вілкове та м. Сарата, має теоретично-фундаментальний аспект, оскільки однією з складових клімату є саме режим опадів, що виступає вагомим чинником в ідентифікації типу кліматичної епохи. В даній роботі розроблено типові форми відстеження показників опадів, які можуть служити критерієм, як для аналогічних досліджень за іншими регіонами, так і для прогнозів на основі гідродинамічного моделювання. Зазначеними формами передбачено використання елементів математичного моделювання і чисельного експерименту, просторово-часового узагальнення даних, фізико-статистичного аналізу.
Моделюванні режиму опадів південно-західної частини України, визначення динаміки показників, пояснення чинників їх формування має практичну спрямованість до отримання надійної інформації про надходження атмосферної вологи, враховуючи, зокрема, агро - та рибопромислову спрямованість регіону, наявність розгалуженої системи шляхів водного транспортного сполучення міжнародного й локального рівнів, заповідність території дельти Дунаю, рекреаціонну значущість регіону.
Оскільки в роботі розглянуто розвиток моделі в довгостроковому минулому періоді, в результаті є можливість переходу до довгострокового прогнозу на якісно новій теоретичній основі.
Так, за даними, наведеними в п.2.3 встановлено:
Впродовж 1947-2008р.р. у південно-західній частині Одеської області усього випало 114 359,8 мм опадів, з яких за даними метеостанцій: Болград - 29961,7 мм, Вілкове - 28057,5мм, Ізмаїл - 27841,4 мм, Сарата - 28499,2 мм. Тобто за загальною кількістю опади розподілено у майже рівному співвідношенні.
За показниками варіації даних спостереження:
середньорічні опади у м. Болград - 483,3 мм, Вілкове - 452,5 мм, Ізмаїл - 449,1мм, Сарата - 459,7 мм, разом у регіоні 1844,5мм.;
максимальна середньорічна кількість опадів у регіоні скаладає 795,97 мм; за населеними пунктами: у м. Болград - 773,8 мм, Вілкове - 918,0 мм, Ізмаїл - 792,1 мм, Сарата - 700,0 мм, разом у регіоні 2984,7 мм.;
мінімальна середньорічна кількість опадів у регіоні скаладає 239,1мм; за населеними пунктами: у м. Болград - 247,5 мм, Вілкове - 254,4 мм, Ізмаїл - 150,0 мм, Сарата - 304,5 мм, разом у регіоні 1844,5 мм.;
відхилення окремих значень від середнього рівня в середньому складає складає 23%; найбільших коливань від середньорічного рівня можна спостерігати за метеостанцією у м. Ізмаїл - 26%, найменших у м. Сарата - 21%, по регіону зазначені коливання складають 20%;
відносні помилки спостережень, враховуючи кількість спостережень та мінливість даних й відхилення окремих показників від середнього рівня, значно мегші за стандартний рівень помилки: по м. Болград відносна помилка менша майже вдвічі, по регіону у сім разів;
показник асиметрії найменшим є за показниками по м. Ізмаїл, тобто максимальна кількість даних наближаеться до середнього рівня (коефіцієнт асиметрії дорівнює 0,103), й навпаки, найчастіше від середнього рівня відрізняється кількість опадів у м. Сарата (коефіцієнт асиметрії дорівнює 0,576);
негативний (плоскоповерховий) розподіл спостерігається тільки за показниками у м. Сарата, оскільки має відємне знаяення й дорівнює - 0,165777.
В середньому кількість днів без опадів протягом року у регіоні скаладає 260 днів (71%); за населеними пунктами: у м. Болград - 252 дні (69%), Вілкове - 255 днів (70%), Ізмаїл - 267 днів (73%), Сарата - 266 днів (73%).
Найбільш посушливими (при середньорічній кількості опадів у регіоні 1844,5мм) можна назвати роки: 1947
- 1 434,8мм; 1948
- 1 329,1 мм; 1950
- 1 358,5 мм; 1951
- 1 127,2 мм; 1953
- 1 330,0 мм; 1956
- 1 390,6 мм; 1982
- 1 375,4 мм; 1983
- 1 278,5 мм; 1990
- 1 216,1 мм; 1994
- 1 190,3 мм; 2000
- 1 434,2 мм;
При цьому 1975 (1756,0мм/рік), 1986 (1683,5мм/рік), 1989 (1666,5мм/рік), 1992 (1698,7мм/рік), 2001 (1699,2мм/рік), 2006 (1539,5мм/рік) та 2007 (1680,8мм/рік) роки, незважаючи на понад 77% днів на рік без опадів посушливими назвати не можна, оскільки опадів за рік випадало близько до середнього рівня.
Крім того, спостерігається чітко виражений максимум опадів на червень - по регіону припадає 13% річного обсягу опадів.6% щорічного обсягу опадів припадає на жовтень.
Впродовж 1947-2008р.р. переважно (58%) мали місце короткочасні дощі, що йшли впродовж однієї доби; 6 і більше днів поспіль мали місце тільки 5% опадів.
При цьому сезонність за тривалістю опадів виявлено не було.
Зливи, понад 100мм/добу мали місце у 1968 та 2001 роках, найменший добовий максимум був у 1956 році - 28,9мм/добу. За найбільш посушливими роками при середньодобовому максимумі 60,6 мм/добу середньодобові максимуми складали: 1947
- 55,5 мм/добу; 1948
- 85,1 мм/добу; 1950
- 37,2 мм/добу; 1951
-76,0 мм/добу; 1953
- 54,8 мм/добу; 1956
- 28,9 мм/добу; 1982
- 47,1 мм/добу; 1983
- 41,2 мм/добу; 1990
- 37,2 мм/добу; 1994
- 55,8 мм/добу; 2000
- 61,3 мм/добу. Тобто у 1948 році, незважаючи на значне перебільшення середньодобового максимуму від середнього рівня по регіону за розглядає мий період, загальна річна кількість опадів була меншою за усереднений рівень.
1. Агроклиматический атлас Украинской ССР / Под ред. С.А. Сапожниковой. - Киев: Урожай, 1964. - 37 с.
2. Бабиченко В.Н. и др. Природа Украинской ССР. T.I. Климат/ В.Н. Бабиченко, М.Б. Барабаш, К.Т. Логвинов, В.И. Ромушкевич, Л.И. Сакали, М.И. Щербань. - Киев: Наукова думка, 1984. - 232 с.
3. Бабиченко В.Н., Розова Е.С. Климатологические исследования // В кн.: Гидрометеорологическая служба Украины за 50 лет Советской власти. - Л.: Гидрометеоиздат, 1970. - С.222-226.
4. Бойченко С.Г., Волощук В.М., Дорошенко І.А. Закономірності формування мікрокліматичних умов відкритих ландшафтів України // 36. праць "Проблеми ландшафтного різноманіття України". - Київ: - 2000. - С.243-247.
5. Будыко М.И. Климат в прошлом и будущем. - Л.: Гидрометеоиздат, 1980. - 351 с.
6. Бучинский И.Е. Климат Украины. - Л.: Гидрометеоиздат, 1960. - 130 с.
7. Волеваха М.М., Гойса M.I. Енергетичні ресурси клімату України. - Київ: Наукова думка, 1967. - 132 с.
8. Вразливість і адаптація екологічних та економічних систем до зміни клімату /За ред.В. В. Васильченка. М.В. Ряпцуна, І.В. Трофимової. - Київ. - Агенство з раціонального використання енергії та економії, 1998. - 203 с.
9. Географічна енциклопедія України. - Київ: УРЕ. 1989, 1990, 1993. - T. I - 3. Гидрометеоиздат, 1971. - 328 с.
10.Глобальный климат. /Под ред. Дж.Т. Хотона. - Л.: Гидрометеоиздат, 1987. - 501с.
11.Гук M.I., Половко I.К., Прихотько Г.Ф. Клімат Української РСР. - Київ: Радянська школа, 1958. - 72 с.
12.Гулинова Н.В. Методы агроклиматической обработки наблюдений. - М.: Гидрометеоиздат, 1974. - 152 с.
13.Дмитренко В.П. Сучасні проблеми агрометеорологічних стратегій адаптації землеробства до погоди і клімату в Україні // Наукові праці НДІ Землеробство. - 2001. - Вип.76. .
14.Дмитренко В.П. Періодичність та шкодочинність посух // Землеробство в умовах недостатнього зволоження / За ред.В.М. Крутя і О.Г. Тараріко. - Київ: Аграрна наука, 2000. - С.6 - 9.
15.Дмитренко В.П., Дячук В.А. Кліматичні аспекти проблеми сталого розвитку України // Проблеми сталого розвитку України. - Київ: БМТ, 1998. - С.283 - 293.
16.Довідник з агрокліматичних ресурсів України. С.2, ч.2. Агрокліматичні умови росту та розвитку основних сільськогосподарських культур/ Гол. ред. М.П. Скрипник, Заст. Гол. Ред.В.П. Дмитренко, М.Ф. Цупенко. - Київ: УкрГМЦ, 1993. - 718 с.
17.Дроздов О.А. и др. Климатология / О.А. Дроздов, В.А. Васильев, Н.В. Кобышева, А.Н. Раевский, Л.К. Смекалова, Е.П. Школьный. - Л.: Гидрометеоиздат, 1989. - 568 с.
18.Зведений річний огляд стихійних гідрометеорологічних явищ, якіспостерігалися на території України у 1966-2000 pp. - Київ: Держкомгідромет, 2001. - 86 с.
19.Климат Украины / Под ред. Г.Ф. Прихотько, А.В. Ткаченко, В.Н. Бабиченко. - Л.: Гидрометеоиздат, 1967. - 413 с.
20.Климатический атлас Украинской ССР. - Л.: Гидрометеоиздат, 1968. - 232 с.
21.Кліматологія. Терміни та визначення основних понять. - ДСТУ 3992 - 2000. - Київ: Держстандарт України, 2001. - 40 с.
22.Кобышева Н.В., Гольберг М.А. Методические указания по статистической обработке метеорологических рядов. - Л.: Гидрометсоиздат, 1990. - 86 с.
23.Константинов А.Р. Испарение в природе. - Л.: Гидрометеоиздат, 1968. - 531 с.
24.Краткий агроклиматический справочник Украины / Под ред.К.Т. Логвинова. - Л.: Гидрометеоиздат, 1976. - 256 с.
25.Лебедев А.Н. Продолжительность дождей на территории СССР. - Л.: Гидрометеоиздат, 1964. - 510 с.
26.Ліпінський В.М. Глобальна зміна клімату та її відгук в динаміці клімату України // В кн.: Матеріали Міжнародної конференції "Інвестиції та зміна клімату: можливості для України". - Київ: - 2002. - С.177 - 185.
27.Логвинов К.Т., Бабіченко В.М., Щербань M.I. Дослідження з прикладної кліматології на Україні і перспективи розвитку їх // В кн.: Проблеми географічної науки в Українській РСР в період науково-технічного прогресу. - Київ: Видавниче об'єднання "Вища школа", 1976. - С.120 - 129.
28.Метеорологія. Терміни та визначення основних понять. ДСТУ 3513 - 97. - Київ: Держстандарт України, 1997. - 57 с.
29.Наставление гидрометеорологическим станциям и постам. Вып.3.4.1 Метеорологические наблюдения на станциях. - Л.: Гидрометеоиздат, 1985. - 300 с.
30.Науково-прикладний довідник з агрокліматичних ресурсів України (засушливі явища). С.2. Ч.4 /Відп. ред. М.Ф. Цупенко. - Київ: Держкомгідромет, 1995. - 206 с.
31.Сапожникова С.А. Микроклимат и местный климат. - Л.: Гидрометеоиздат, 1950. - 242 с.
32.Сытник К.М. Природа украинской ССР - К.: Наукова думка, 1984 - 231
33.Трофимова И.В. Изменения режима осадков на Украине // Метеорология и гидрология. - 1988. - №1. - С.24 - 33.
34.Фізична географія Української РСР / За ред.О.М. Маринича. - Київ: Вища школа, 1982. - 207 с.
35.Шарова В.Я. Число дней с осадками различной величины на территории Европейской части СССР. - Л.: Гидрометеоиздат, 1958. - 144 с.
36.Швер Ц.А. Атмосферные осадки на территории СССР. - Л.: Гидрометеоиздат, 1976. - 302 с.
37.Щербань М.И. Микроклиматология. - Киев: "Вища школа", 1985. - 222 с.
38.Алисов Б.П. Принципы климатического районирования СССР // Изв. АН СССР. Сер. геогр. - 1957. - №6. - С.118-125.
39.Бабиченко В.Н. Распределение на Украине осадков, дающих за сутки не менее 100 мм // Тр. УкрНИГМИ. - 1959. - Вып.18. - С.30-38.
40.Бабіченко В.М. та ін. Підсумки та перспективи розвитку кліматологічних досліджень на Україні /В.М. Бабіченко, М.Ю. Кулаківська, К.Т. Логвинов, Л.І. Сакалі, М.І. Щербань // В кн.: Теоретичні і прикладні питання географії. - Київ: Видавництво Київського університету, 1972. - С.83 - 94.
41.Бойченко С.Г., Волощук В.М., Дорошенко І.А. Глобальне потепління та його наслідки на території України // Український географічний журнал. - 2000. - №3. - С.59-68.
42.Вилькенс А.А., Дмитренко В.П. О динамике влагозапасов почвы при засухах // Тр. УкрНИГМИ. - 1978. - Вып.169. - С.23-39.
43.Волощук В.М., Бойчснко С.Г. Вплив загального глобального потепління клімату на середньорічну інтенсивність атмосферних опадів в Україні/Доповіді НАНУ. - 1998. - № 6. - С.125-130.
44.Волощук В.М., Гродзинський М.Д., Шищенко П.Г. Географічні проблеми сталого розвитку України // Український географічний журнал. - 1998. - №1. - С.13-18.
45.Груза Г.В., Ранькова Э.Я. Климатическая изменчивость повторяемости и продолжительности основных форм циркуляции в умеренных широтах Северного полушария // Метеорология и гидрология. - 1996. - №1. - С.12 - 22.
46.Дмитренко В.П. О комплексном агрометеорологическом показателезасушливости // Тр. УкрНИГМИ. - 1978. - Вып.169. - С. З - 22.
47.Кобышева Н.В., Копанев И.Д. Основные принципы ведения "Кадастра по климату СССР" // Тр. ГГО. - 1980. - Вып.460. - С. З - 7.
48.Кошеленко И.В. Влияние крупных водоемов на распределение осадков и засух // Тр. УкрНИГМИ. - 1974. - Вып.108. - С.114 - 127.
49.Логвинов К.Т., Барабаш М.Б. Исследования периодических измененийтемпературы воздуха и осадков на Украине // Тр. УкрНИИ Госкомгидромета. - 1987. - Вып.224. - С.71 - 76.
50.Соседко М.Н. О принципах определения максимального слоя осадков за расчетный инк-рва. і времени // Метеорология и гидрология. - 1980. - №10. - С.39 - 43.
|