Міністерство фінансів України
Дніпропетровська державна фінансова академія
ДИПЛОМНА РОБОТА
Тема роботи: Оподаткування сільськогосподарських товаровиробників в сучасних умовах розвитку економіки України
Виконана студентом
Оцінка
Керівник
Допущено до захисту
“___” __________________ 2005 р.
Завідувач кафедри
Дніпропетровськ
2005
Анотація
Дипломної роботи “Оподаткування сільськогосподарських товаровиробників в сучасних умовах розвитку економіки України”
студента гр. _______________________________________________
Науковий керівник ____________________________________________
Дипломна робота складається з вступу, 3 розділів, висновків і пропозицій.
Робота викладена на 108 сторінках, містить 26 таблиць, 16 рисунків, 38 сторінок додатків. Список використаної літератури містить 46 найменувань.
Предмет досліджень дипломної роботи: основні результати та тенденції розвитку оподаткування сільгоспвиробників-юридичних осіб в Україні, діяльність районної податкової інспекції та податкові відносини, що виникають в процесі регулювання підприємницької діяльності суб'єктів господарювання, як інструмент впливу на фінансово-господарську діяльність сільгоспвиробника.
Об’єкт досліджень дипломної роботи: сільськогосподарське підприємство - ТОВ “УНІРЕМ-АГРО”(м. Дніпродзержинськ) на мікрорівні та структура і обсяги надходжень фіксованого сільгоспподатку в місцеві бюджети Дніпро-петровської області на макрорівні за 2002 -2004 роки (структурна чисельність сільгоспвиробників з ФСП - 5,14%, структурна доля ФСП в місцевих бюджетах області на 2005 рік складає 0,435% , а доля ФСП у зведеному бюджеті області зовсім незначна та складає 0,147%).
Практична цінність отриманих результатів: проведені дослідження обґрунтовано підтвердили, що при реформуванні суспільних відносин в Україні спрощена система оподаткування для сільгоспвиробників у вигляді ФСП – це додаткові 30% суми чистого прибутку сільгоспвиробника та, відповідно, державна дотаційна підтримка розвитку сільського господарства України.
Зміст
Вступ
Розділ 1. Податкове навантаження на сільськогосподарські підприємства в Україні
1.1 Сутність, види, класифікація податків в Україні
1.2 Спрощена система інтегрованого оподаткування сільгоспвиробників у вигляді фіксованого сільськогосподарського податку
Розділ 2. Аналіз адміністрування податків з сільгоспвиробників (юридичних осіб) в районній податковій інспекції
2.1 Структурно-функціональна організація роботи районної податкової інспекції в м. Дніпродзержинську
2.2 Організація обліку та звітності у системі оподаткування на районномурівні
2.3 Організація документальних перевірок платників податків заалгоритмами розподілу платників податків за категоріями уваги
2.4 Аналіз впливу стягнення податків на фінансово-господарчу діяльність сільськогосподарських підприємств (на прикладі ТОВ “УНІРЕМ-АГРО” за 2002 – 2004 роки)
2.4.1 Загальна характеристика сільськогосподарського підприємства ТОВ “УНІРЕМ-АГРО””(платник податків в Дніпродзержинськійта Криничанській районних інспекціях Дніпропетровської області)
2.4.2 Аналіз складу і джерел утворення майна (активів) та фінансових результатів діяльності ТОВ “УНІРЕМ-АГРО
2.4.3 Вплив податків на фінансово-господарську діяльність ТОВ “УНІРЕМ-АГРО
Розділ 3. Шляхи вдосконалення механізму оподаткування сільськогосподарських підприємств
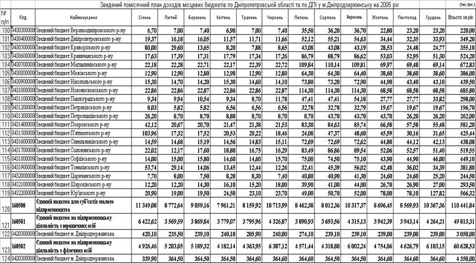
3.1 Динаміка структурної долі фіксованого сільськогосподарського податку в податкових надходженнях по ДПІ в м.Дніпродзержинську та по Дніпропетровській області
3.2. Порівняльний аналіз загального порядку оподаткування та впливу продовження існування фіксованого сільськогосподарського податку на ефективність роботи сільгоспвиробника (на прикладі ТОВ “УНІРЕМ-АГРО
Висновки
Список використаної літератури
Додатки
Вступ
Кожна конкретна податкова система є відображенням податкової політики, яка проводиться державою. Податкова система - це сукупність податків, зборів, інших обов`язкових платежів і внесків до бюджету і державних цільових фондів, які діють у встановленому законом порядку. Сутність, структура і роль системи оподаткування визначаються податковою політикою, що є виключним правом держави, яка проводить її в країні самостійно, виходячи із завдань соціально-економічного розвитку. Через податки, пільги і фінансові санкції, а також і відповідальність, які виступають невід'ємною частиною системи оподаткування, держава ставить єдині вимоги до ефективного ведення господарства в країні.
Важливу роль у формуванні ефективної податкової політики належить обґрунтуванню оптимальних принципів оподаткування. А.Сміт сформулював чотири фундаментальні принципи або "закони", що стали класичними і придатні для будь-якої економічної системи[1]
: перший - піддані держави повинні брати участь в утримуванні уряду відповідно до свого доходу, яким вони користуються під захистом держави; другий - податок який зобов'язана сплачувати кожна окрема особа має бути точно визначений (строк оплати, спосіб платежу, сума платежу); третій - податок повинен стягуватися в той час і таким способом, які найзручніші для платника; четвертий - податок має бути розроблений таким чином, щоб він стягував з народу як найменше грошей понад те, що необхідно для формування державного бюджету.
Суспільне призначення податків проявляється в їх функціях. Їх дві - "фіскальна" й "економічна"[2]
.
Фіскальна полягає в формуванні грошових доходів держави. Гроші потрібні їй на утримання державного апарату, армії, розвитку науки і техніки, підтримку дітей, літніх і хворих людей. Із зібраних у вигляді податків коштів держава покриває витрати на освіту, будує школи, вищі учбові заклади, дитячі будинки, платить зарплату викладачам і стипендію студентам. Частина коштів йде на охорону здоров`я. З цього ж джерела і витрачаються гроші на будівництво державних підприємств, споруд, доріг, захист навколишнього середовища. Економічна функція податків полягає у впливі через податки на суспільне відтворення, тобто охоплює будь-які процеси в економіці країни, а також соціально-економічні процеси в суспільстві. Податки в цій функції можуть відігравати стимулюючу, обмежуючу і контролюючу роль. Значне підвищення податків здатне не тільки обмежити, але й зробити беззмістовною підприємницьку діяльність.
Актуальність досліджень дипломної роботи : Вся історія податкової політики зводиться до пошуків ідеалів оптимального оподаткування. При цьому держава не може задовольнятися лише загальними пропорціями розподілу ВВП. Вона повинна враховувати інтереси кожного підприємства, кожного члена суспільства. Іншими словами, податкова політика повинна влаштовувати і державу, і платників податків[3]
.
Предмет досліджень дипломної роботи : основні результати та тенденції розвитку оподаткування сільгоспвиробників-юридичних осіб в Україні, діяльність районної податкової інспекції та податкові відносини, що виникають в процесі регулювання підприємницької діяльності суб'єктів господарювання, як інструмент впливу на фінансово-господарську діяльність сільгоспвиробника.
Об’єкт досліджень дипломної роботи: сільськогосподарське підприємство - товариство з обмеженою відповідальністю ТОВ “УНІРЕМ-АГРО”(м. Дніпродзержинськ) за 2002 -2004 роки, яке має основне сільсько-господарське виробництво (оренда землі) в смт.Акимовка (Криничанський район Дніпропетровської області) .
Мета досліджень дипломної роботи: аналіз впливу податків на фінан-сово-господарську діяльність підприємств та, окремо, сільськогосподарських підприємств, виявлення основних закономірностей механізму стягнення податків, розробка пропозицій щодо удосконалення механізму нарахування та сплати податків, розробка пропозицій щодо реформування системи податків.
Задачі досліджень дипломної роботи :
аналіз сучасного податкового навантаження на підприємства сільгоспвиробників в Україні;
аналіз структури та організації діяльності районної податкової інспекції;
аналіз методів обліку нарахування та сплати податків, адміністрування податків податковою інспекцією на основі “коридорів уваги по податковим ризикам”;
аналіз впливу оподаткування на фінансові результати діяльності сільськогосподарського підприємства ТОВ “УНІРЕМ-АГРО” та виявлення податкових проблем у підприємства;
аналіз обґрунтованості рішення про пролонгацію дії закону України про спрощену систему оподаткування сільгоспвиробників до 2009 року та пропозицій про внесення такої системи до перспективного Податкового Кодексу України.
Інформаційне забезпечення : статистичні дані доходної частини Державного бюджету України та місцевих бюджетів по Дніпропетровській області в 2002 – 2004 роках, фінансова та податкова звітність ТОВ “УНІРЕМ-АГРО” за 2002 –2004 роки.
Методологічне забезпечення : структурування податкових надходжень за реєстрами бюджетної класифікації, ретроспективний аналіз показників податкової звітності, аналітична обробка та групування показників в динаміці
Практична цінність отриманих результатів: при реформуванні суспіль-них відносин в Україні спрощена система оподаткування для сільгоспвироб-ників у вигляді ФСП – це додаткові 30% суми чистого прибутку та державна підтримка розвитку сільського господарства України за рахунок непрямої дотації зниженням податкового тиску.
Розділ 1. Податкове навантаження на сільськогосподарські підприємства в Україні
1.1 Сутність, види, класифікація податків в Україні
Податки, як особлива сфера виробничих відносин, є своєрідною еконо-мічною категорією. Податки виражають реально існуючі грошові відносини, які проявляються під час використання частини національного доходу на загально-державні потреби.
Процес виникнення та становлення податків як особливої форми соціаль-них відносин пройшов декілька етапів [38,с.47].
Перший етап виникнення податкових відносин пов’язаний з рабовлас-ницькими суспільствами. Виникнення держави як особливого інструменту ре-гулювання суспільних відносин та захисту права приватної власності стало безпосередньою причиною існування податків. Основними формами оподатку-вання цього періоду стають прямі (подушний, поземельний) податки та непря-мий – мито, як специфічна форма оподаткування торговельної діяльності.
Другий етап розвитку податків відбувся в умовах феодального способу господарювання, який в свою чергу поділяється на періоди раннього та пізньо-го середньовіччя. Особливість раннього середньовіччя полягає в натуральному характері податків. Основними носіями податків виступали селяни (як вільні, так і закріпачені), що пов’язано з особливостями земельних відносин. Реципієнтами (отримувачами) податків виступали місцеві феодали. Для пізньо-го середньовіччя характерним стають процеси централізації державної влади в руках монархів, що викликало відповідну концентрацію державних фінансів в руках центральної вла-ди і розширення кола платників податків за рахунок духовенства, дрібних та великих феодалів, міського населення.
На третьому етапі в буржуазних суспільствах, які прийшли на зміну абсолютним монархіям, відбувалось остаточне формування сучасної системи оподаткування. Оскільки провідною верствою в цей період стає буржуазія, нею встановлюються нові принципи оподаткування (справедливість, рівномірність та дешевизна податків, запровадження податків виключно парламентськими законами тощо). Виникають такі сучасні форми оподаткування, як пряме при-буткове оподаткування, остаточно формується підсистема непрямого оподатку-вання – специфічних та універсальних акцизів. Суттєвою особливістю слід вважати запровадження системи обов’язкового соціального страхування та превалювання регулюючої функції оподаткування над фіскальною.
Сьогодні Україна вибудовує свою податкову систему, орієнтуючись на найрозвиненіші країни світу. Адже податкова система є найважливішою осно-вою економічної системи кожної розвиненої країни. З одного боку вона забез-печує фінансову базу держави, а з іншого – виступає головним знаряддям реа-лізації її економічної доктрини. Податки – це об’єктивне суспільне явище, тому при побудові податкової системи слід виходити з реалій соціально-економіч-ного стану країни. Жодна держава не може обійтись без податків, що є голов-ним у її відносинах з суб‘єктами господарювання. Історично це найдавніша форма фінансових відносин між державою і членами суспільства.
Сутність податків полягає в обов’язковому перерозподілі національного доходу з метою формування державних фінансових фондів. Особливістю податків є їх примусовий, обов’язковий характер, який не потребує зустрічної індивідуальної оплатності з боку держави.
До основних термінів сучасної системи оподаткування в Україні відно-сяться [31, с.22]:
1. Податок (збір, внесок до державного цільового фонду) – в Україні це обов’язковий платіж до бюджетів різних рівнів або державних цільових фондів, що здійснюються в порядку і на умовах, визначених законодавством України щодо оподаткування.
2. Суб`єкт, або платник податків, зборів та обов’язкових платежів – це особи, на яких Конституцією України та податковим законодавством покладено обов’язки:
а) сплачувати податки, збори та обов’язкові платежі;
б) нараховувати, утримувати та перераховувати податки, збори та обов’язкові платежі до бюджетів і до державних цільових фондів.
Платник податків може визнаватись суб’єктом оподаткування одним або декількома податками, зборами та обов’язковими платежами в залежності від діяльності, яку він провадить, володіння майном або інших обставин, у разі наявності яких виникають податкові зобов’язання.
Суб’єктом оподаткування може визнаватись й особа, на яку відповідно до податкового законодавства України покладено обов’язки щодо нарахування податків, зборів та обов’язкових платежів, утримання їх з платника та перерахування до бюджету.
Суб’єктами оподаткування або платниками податків, зборів та обов’язкових платежів є юридичні або фізичні особи, міжнародні об’єднання та організа-ції, які відповідно до чинного податкового законодавства безпосередньо зобо-в’язані нараховувати, утримувати та сплачувати податки, збори та інші обов’язкові платежі.
Податкове законодавство завжди розпочинається з визначення суб’єктів оподаткування або платників податків, зборів та обов’язкових платежів, оскіль-ки необхідно чітко знати, хто повинен платити той чи інший вид платежу до бюджету чи до державного цільового фонду та хто несе перед державою відповідальність за несплату або несвоєчасну сплату цього платежу.
3. Об`єкт оподаткування – юридично обумовлений факт або подія, після настання яких у суб’єкта виникає обов’язок сплатити податок; з економічної точки зору об’єктом оподаткування можуть виступати доход, прибуток, майно, грошовий капітал або розмір споживання.
Кожен податок, збір та обов’язковий платіж має самостійний об’єкт оподаткування, який визначається чинним податковим законодавством. Об’єкт оподаткування повинен бути стабільним, чітко визначеним, мати безпосереднє відношення до платника податку.
4. Предмет оподаткування – фізична, якісна характеристика об’єкту, яка виступає еквівалентом об’єкту з метою оподаткування.
5. Одиниця оподаткування – це одиниця виміру (фізичного чи грошового) об`єкта оподаткування. Фізичний вимір досить точно відображає об`єкт оподаткування.
6. Податкова ставка – законодавчо установлений розмір податку на оди-ницю оподаткування. Існують такі підходи до встановлення податкових ставок:
- універсальний ( для всіх платників встановлюється єдина податкова ставка);
- диференційований (для різних платників існують різні рівні ставок).
За побудовою ставки бувають:
- тверді (встановлюються у грошовому виразі на одиницю оподаткування в натуральному обчисленні):
а) фіксовані – встановлені конкретних сум;
б) відносні – визначені відносно до певної величини (наприклад, у процентах до мінімальної заробітної плати).
- процентні ставки встановлюються щодо об’єкта оподаткування, який має грошовий вираз. Вони поділяються на три види:
а) пропорційні ставки, які не залежать від розміру об`єкта оподаткування;
б) прогресивні ставки розмір яких зростає разом в міру збільшення обсягів об`єкта оподаткування:;
в) регресивні ставки, на відміну від прогресивних, зменшуються в міру зростання об`єкта оподаткування.
7. Податкова квота – це частка податку платника, яка може бути визна-чена як в абсолютному розмірі й у відносному виразі. Значення податкової квоти полягає в тому, що вона характеризує рівень оподаткування.
8. Податковий оклад - остаточна сума, що підлягає сплаті до бюджету; в більшості податків визначається як добуток бази оподаткування на ставку оподаткування.
9. Джерело сплати податку – фінансовий фонд суб’єкта оподаткування, за рахунок якого відбувається сплата податку. Як правило, джерелом можуть виступати прибуток , валовий доход, чистий доход фізичної особи тощо.
10. Податкова пільга – законодавчо закріплене повне або часткове звільнення від сплати податків. зборів та інших обов’язкових платежів.
Оскільки податки мають ознаки фінансових відносин (перерозподіл коштів та формування фондів), можна розрізнити такі основні функції податків як категорії фінансів:
1. Фіскальна – основне призначення полягає в мобілізації та накопиченні коштів в державних фондах.
2. Розподільча (соціальна) - одним із призначень податків є розподіл сус-пільних доходів з боку більш сплатоспроможних верств населення та суб’єктів господарювання на користь малозабезпечених; за рахунок виробничих галузей національної економіки на користь суб’єктів невиробничої сфери тощо.
Завдяки цій функції підтримується соціальна рівновага та забезпечується відносна рівномірність доходів різних верств громадян.
3. Регулююча функція – податки як інструмент примусового вилучення частини доходів суспільства здатні суттєво впливати на стан національної економіки. Позитивний вплив дозволяє говорити про стимулюючу роль податків, негативний – про дестимулюючу роль оподаткування. Важливість урахування в державній економічній політиці цієї функції була доведена новим економічним курсом Ф.Д.Рузвельта в роки Великої Депресії 1920-30-х рр.
4. Контрольна функція – допоміжна функція, яка полягає в контролі за допомогою податків за джерелами і обсягами доходів суспільства та напрямками їх використання.
Класифікація податків як економічної категорії проводиться:
- за формою оподаткування;
- за економічним змістом об’єкта оподаткування;
- в залежності від рівня державних структур, які їх встановлюють;
- за способом їх стягнення (в залежності від територіального рівня);
- в залежності від способів встановлення ставок оподаткування;
- в залежності від встановленого порядку використання;
- за суб’єктом оподаткування.
Історично, за формою оподаткування податки поділяються на прямі і непрямі. Критерієм такого поділу стала теоретична можливість перекладання обов’язку сплати податку на іншу особу — на споживача продукції. Критерій перекладання податку на споживача для визнання цього податку прямим чи непрямим є загальноприйнятим, але неточним, оскільки при певних умовах прямі податки також можуть бути перекладені на споживача продукції через механізм ціноутворення.
Прямі податки встановлюються відносно платників. Їх розмір залежить від розміру об’єкта оподаткування. Кінцевим платником прямих податків є той, хто одержує дохід, володіє майном. До прямих податків належать всі прибуткові та майнові податки. Вони встановлюються на дохід або майно платника податків і сприяють такому розподілу податкового тягаря, при якому більше податків платить той, хто має більш високі доходи та більше майна. Такий принцип оподаткування більшість економістів вважає справедливим. У розвинених країнах світу, таких, як США, Японія, Великобританія, ФРН, прямі податки становлять близько 40–90 відсотків в загальній сумі податкових надходжень [34, с.13].
Непрямі податки встановлюються на окремі товари, роботи, послуги і включаються до їх ціни. Кінцевими платниками непрямих податків є споживачі товарів, робіт і послуг, а самі податки включаються у вигляді надбавки до ціни на ці товари, роботи й послуги. Непрямі податки ще називають податками на споживання. Оскільки платниками непрямих податків є споживачі продукції, і самі податки включаються до ціни товарів, робіт і послуг, то їх розмір для ок-ремого платника податку прямо не залежить від одержаних ним доходів або наявного у нього майна.
До непрямих податків традиційно належать такі податки, як податок з обороту (суми) споживання, податок на додану вартість, акцизний збір, мито.
Незважаючи на критику з боку багатьох економістів, непрямі податки доволі широко використовуються в усьому світі, оскільки при відносно простому ме-ханізмі їх стягнення вони забезпечують стабільні й суттєві доходи держави та ухилитися від їх сплати важко. Крім того, психологічно ці податки сприйма-ються платниками легше, ніж прямі, адже вони приховані у ціні товару, роботи, послуги. Тому платник податку в момент його сплати не завжди усвідомлює, що сплачує податок державі.
За економічним змістом об’єкта оподаткування всі непрямі податки від-носяться до податків на споживання, які сплачуються не при одержанні доходів (прибутку), а при їх використанні.
В залежності від рівня державних структур, які встановлюють податки, вони поділяються на загальнодержавні та місцеві.
В Україні справляються [6,с.4]:
- загальнодержавні податки і збори (обов'язкові платежі);
- місцеві податки і збори (обов'язкові платежі);
а). До загальнодержавних належать такі податки і збори (обов'язкові платежі):
1) податок на додану вартість;
2) акцизний збір;
3) податок на прибуток підприємств, у тому числі дивіденди, що сплачуються до бюджету державними некорпоратизованими, казенними або комунальними підприємствами;
4) податок на доходи фізичних осіб;
5) мито;
6) державне мито;
7) податок на нерухоме майно (нерухомість);
8) плата (податок) за землю;
9) рентні платежі;
10) податок з власників транспортних засобів та інших самохідних машин і механізмів;
11) податок на промисел;
12) збір за геологорозвідувальні роботи, виконані за рахунок державного бюджету;
13) збір за спеціальне використання природних ресурсів;
14) збір за забруднення навколишнього природного середовища;
17) збір на обов'язкове державне пенсійне страхування;
19) плата за торговий патент на деякі види підприємницької діяльності.
20) фіксований сільськогосподарський податок;
21) збір на розвиток виноградарства, садівництва і хмелярства;
23) єдиний збір, що справляється у пунктах пропуску через державний кордон України;
24) збір за використання радіочастотного ресурсу України;
25) збори до Фонду гарантування вкладів фізичних осіб (початковий, регулярний, спеціальний);
26) збір у вигляді цільової надбавки до діючого тарифу на електричну та теплову енергію.
Загальнодержавні податки і збори (обов'язкові платежі) встановлюються Верховною Радою України і справляються на всій території України.
б). До місцевих податків належать:
1) податок з реклами;
2) комунальний податок.
в). До місцевих зборів (обов'язкових платежів) належать:
2) збір за припаркування автотранспорту;
3) ринковий збір;
4) збір за видачу ордера на квартиру;
5) курортний збір;
6) збір за участь у бігах на іподромі;
7) збір за виграш на бігах на іподромі;
8) збір з осіб, які беруть участь у грі на тоталізаторі та іподромі;
9) збір за право використання місцевої символіки;
10) збір за право проведення кіно- і телезйомок;
11) збір за проведення місцевого аукціону, конкурсного розпродажу і лотерей;
12) збір за проїзд по території прикордонних областей автотранспорту, що прямує за кордон;
13) збір за видачу дозволу на розміщення об'єктів торгівлі та сфери послуг;
14) збір з власників собак.
Реалізація функцій податку безпосередньо зв'язана з тими принципами, що у ньому закладені і реалізуються в конкретному виді податку. Принципи податку реалізуються через конкретні прояви, що характеризують особливості цього специфічного механізму [40, с.12]:
Однократність обкладання. Це означає, що той самий об'єкт може обкладатися податком одного виду тільки один раз за визначений період (податковий період);
Універсалізація податку. Цей принцип припускає незалежність податкового тиску від форм власності платника, рівний підхід до умов оподатковування будь-яких суб'єктів. Також цей принцип формує умови рівного відрахування будь-якої частини об'єкта незалежно від джерел його одержання, тобто всі платники зобов'язані відчисляти рівну частку доходів згідно своєї діяльності;
3. Індивідуальна безплатність. В основі цієї ознаки податку закладений односпрямований рух засобів від платника до держави. При цьому платник не одержує (на перший погляд) чогось замість, це не означає виникнення зустрічних обов'язків держави. Дані засоби (кожного платника) направляються на задоволення суспільних нестатків.
4. Безумовний характер. Ця ознака податку є продовженням попереднього ознаки й означає сплату податку, не зв'язану ні з якими зустрічними діями, привілеями з боку держави. Останні дві ознаки найбільше чітко характеризують сутність податку і виділяють його із системи інших платежів.
5. Нецільовий характер податкового платежу. Ця ознака означає надходження його у фонди, акумульовані державою і використовувані на задоволення державних потреб.
6. Обов'язковий характер. Ця ознака податку припускає неможливість законного відхилення від його сплати. Обов'язковий характер податкового вилучення забезпечує нагромадження засобів дохідної частини бюджету. Це лежить в основі закріплення на конституційному рівні сплати податків як обов'язку громадян.
7. Безповоротний характер. Ця ознака податку не вимагає особливих коментарів, хоча сутність цього принципу полягає в тім, що в остаточному підсумку платник одержує віддачу від внесених їм податків, коли держава реалізує суспільні потреби в який зацікавлені суспільство і кожен його індивід, і в цьому змісті податки як би повертаються до платника.
До важливих елементів податку відноситься:
Ставка податку - величина податкових нарахувань на одиницю об'єкта податку (грошова одиниця доходів, одиниця земельної площі, одиниця виміру товару і т.п.).Податкові ставки можна класифікувати по декількох принципах [31, с.26]:
а). По встановленню податкового тиску на платника:
1. Базова (основна) ставка - ставка, що не враховує особливостей чи платника виду діяльності, що полегшують чи підсилюючих податковий тягар і, відповідно, що збільшують чи зменшують податкову ставку.
2. Знижена ставка - що припускає визначені особливості платника і скорочує податковий тягар на нього (найчастіше її застосування можна розглядати як податкову пільгу).
3. Підвищена ставка - враховуюча специфічну форму чи діяльності одержання доходів і перевищуюча основну, базову ставку.
б). По методу встановлення ставки податку:
1. Абсолютні (тверді) ставки - ставки податку, при яких розмір податку у твердій фіксованій величині визначається на кожну одиницю оподатковування.
2. Відносні - ставки податку, при яких розмір податку встановлюється у визначеному співвідношенні до одиниці обкладання. Характер співвідношення ставки податку й одиниці обкладання дозволяє виділити кілька підвидів відносних ставок:
- відносно-процентні - ставка податку встановлюється у відсотках від одиниці оподатковування;
- відносно-кратні - співвідношення розміру податку й одиниці оподатковування встановлюється у величинах, кратних визначеному показнику (наприклад, законодавчо встановленим на даний момент мінімальній платі або неоподатковуваному мінімуму доходів);
- відносно-грошові - ставка податку, що установлює визначену грошову суму на частину оподатковуваного об'єкта.
в). По змісту:
1. Маргінальні - ставки податку, що безпосередньо зазначені в нормативному акті, що закріплює даний вид податку, і застосовуються до окремих податкових розрядів (маржам), окремим частинам доходу. Подібні ставки припускають як би східчасте оподатковування, при якому визначена процентна ставка встановлюється для обкладання об'єкта від одного рівня до іншого; з переходом на інший рівень (ступінь) використовується інша ставка (наприклад, прибутковий податок з фізичних осіб).
2. Фактична ставка - виступає як відношення сплаченого податку до податкової бази.
3. Економічна ставка - відношення сплаченого податку до всього отриманого доходу. Саме даний вид ставок найбільше повно розкриває особливості податкової політики.
г). По формуванню стимулів для платника:
1. Стимулююча - податкова ставка, що створює в платника потребу в збільшенні результатів діяльності, що приводить до зростання доходів, майна і т.п.
2. Обмежувальна - ставка оподатковування, при якій формуються визначені фактори, що стимулюють платника здійснювати діяльність у незмінних масштабах, що запобігає подальший чи розвиток нові вкладення.
3. Заборонна - податкова ставка, встановлююча чіткі обмеження і робляча абсурдним, неефективної будь-які дії, при яких змінюється оподатковуваний об'єкт і здійснюється перехід до іншої ставки.
Важливе значення має питання про способи побудови податкових ставок. У залежності від співвідношення, що встановлюється між ставкою податку і доходу, оподатковування можна підрозділити на:
1. Рівне оподатковування - це метод оподатковування, при якому рівна сума податку встановлюється для кожного платника податків. Подібний метод характерний в основному для цільових податків.
2. Прогресивне оподатковування - метод оподатковування, при якому ставка податку зростає при росту розмірів об'єкта оподатковування.
3. Пропорційне оподатковування - метод оподатковування, при якому встановлюється стабільна ставка, незалежно від збільшення об'єкта оподатковування. З ростом бази оподатковування сума податку зростає пропорційно їй при єдиному відсотку податкової ставки.
4. Регресивне оподатковування - метод, при якому ставка оподатковування зменшується при росту податкової бази. У даному випадку вага податкових вилучень назад пропорційна збільшенню оподатковуваного об'єкта.
5. Змішане оподатковування - припускає сполучення окремих елементів вищевказаних методів оподатковування.
Податкова система припускає дії, що забезпечують сплату податків, до них відносяться способи сплати податків.
Спосіб сплати податку характеризує особливість реалізації платником податків обов'язку по перерахуванню засобів у чи бюджет спеціальні фонди. Існують три основних способи сплати податку:
1) кадастровий - спосіб сплати податків, в основі якого лежить перерахування суми відповідно до визначеної шкали, заснованої на визначеному виді майна. Застосовується при численні і стягуванні прямих реальних доходів.
2) деклараційний - спосіб реалізації платником податків обов'язку по сплаті податку на основі подачі в податкові органи офіційної заяви (декларації) про отримані доходи за визначений період і свої податкові зобов'язання.
3) попередній - спосіб, застосовуваний в основному при безготівковому утриманні і складається в тім, що податки утримуються з джерела доходу.
1.2 Спрощена система інтегрованого оподаткування сільгоспвиробників у вигляді фіксованого сільськогосподарського податку
ЗАКОН УКРАЇНИ „Про фіксований сільськогосподарський податок” [11,с.3] визначає механізм справляння фіксованого сільськогосподарського податку, що сплачується сільськогосподарськими товаровиробниками у грошовій формі.
У цьому Законі наведені нижче терміни вживаються у такому значенні:
- товарна сільськогосподарська продукція - це продукція сільськогоспо-дарського виробництва, призначена для реалізації;
- фіксований сільськогосподарський податок - це податок, який не зміню-ється протягом визначеного цим Законом терміну і справляється з одиниці зе-мельної площі.
Фіксований сільськогосподарський податок сплачується в рахунок таких податків і зборів (обов'язкових платежів):
- податку на прибуток підприємств;
- плати (податку) за землю;
- податку з власників транспортних засобів та інших самохідних машин і механізмів;
- комунального податку;
- збору за геологорозвідувальні роботи, виконані за рахунок державного бюджету;
- плати за придбання торгового патенту на здійснення торговельної діяльності;
- збору за спеціальне водокористування.
Інші податки та збори (обов'язкові платежі), визначені Законом України "Про систему оподаткування", сплачуються сільськогосподарськими товарови-робниками в порядку і розмірах, визначених законодавчими актами України.
Особи можуть бути зареєстровані як платники ФСП, якщо такі особи є сільськогосподарськими підприємствами різних організаційно-правових форм, передбачених законами України, селянські та інші господарства, які займаються виробництвом (вирощуванням), переробкою та збутом сільськогосподарсь-кої продукції, а також рибницькі, рибальські та риболовецькі господарства, які займаються розведенням, вирощуванням та виловом риби у внутрішніх водоймах (озерах, ставках та водосховищах), у яких сума, одержана від реалізації сільськогосподарської продукції власного виробництва та продуктів її переробки за попередній звітний (податковий) рік, перевищує 75 відсотків загальної суми валового доходу.
Для отримання реєстрації як платника ФСП особа має подати відповід-ному податковому органу документи за переліком, який встановлюється за процедурою, визначеною законом для подання податкової звітності.
Не можуть бути платниками фіксованого сільськогосподарського податку суб'єкти господарювання, які реалізують інвестиційні або інноваційні проекти у спеціальних (вільних) економічних зонах, на територіях пріоритетного розвитку із спеціальним режимом інвестиційної діяльності, в умовах технологічних парків, реалізують інноваційні проекти відповідно до Закону України "Про інноваційну діяльність" або зареєстровані платниками єдиного податку для суб'єктів малого підприємництва.
У разі, коли у звітному податковому періоді валовий доход від операцій з реалізації сільськогосподарської продукції власного виробництва та продуктів її переробки становить менш як 75 відсотків загальної суми валового доходу, підприємство сплачує податки у наступному звітному періоді на загальних підставах.
Зміна порядку сплати податків і зборів (обов'язкових платежів) протягом звітного (податкового) року не допускається.
Об'єктом оподаткування для платників фіксованого сільськогосподарсь-кого податку (далі - платники податку) є площа сільськогосподарських угідь, переданих сільськогосподарському товаровиробнику у власність або наданих йому у користування, в тому числі на умовах оренди, а також земель водного фонду, які використовуються рибницькими, рибальськими та риболовецькими господарствами для розведення, вирощування та вилову риби у внутрішніх водоймах (озерах, ставках та водосховищах).
Ставка фіксованого сільськогосподарського податку з одного гектара сільськогосподарських угідь встановлюється у відсотках до їх грошової оцінки, проведеної за станом на 1 липня 1995 року, відповідно до Методики, затверд-женої Кабінетом Міністрів України, в таких розмірах:
- для ріллі, сіножатей та пасовищ - 0,15;
- для багаторічних насаджень - 0,09;
- для земель водного фонду, які використовуються рибницькими, рибаль-ськими та риболовецькими господарствами для розведення, вирощування та вилову риби у внутрішніх водоймах, - 0,45 відсотка грошової оцінки одиниці площі ріллі по областях та Автономній Республіці Крим.
Грошова оцінка сільськогосподарських угідь у разі необхідності може уточнюватися згідно із законодавством.
Платники податку визначають суму фіксованого сільськогосподарського податку на поточний рік у порядку і розмірах, передбачених Законом [11,с.7], і подають розрахунок органу державної податкової служби за місцем знаходження платника податку до 1 лютого поточного року.
Сплата податку проводиться щомісячно протягом 30 календарних днів, наступних за останнім календарним днем базового звітного (податкового) міся-ця, у розмірі третини суми податку, визначеної на кожний квартал від річної суми податку, у таких розмірах:
- у I кварталі - 10 відсотків;
- у II кварталі - 10 відсотків;
- у III кварталі - 50 відсотків;
- у IV кварталі - 30 відсотків.
Платники податку перераховують у визначений строк загальну суму коштів на відповідний рахунок місцевого бюджету за місцем розташування земельної ділянки.
Органи державної податкової служби у районах ведуть облік нарахування і сплати сум фіксованого сільськогосподарського податку за формою і в поряд-ку, затвердженими Державною податковою адміністрацією України. Контроль за своєчасним і повним надходженням сум фіксованого сільськогосподарського податку здійснюють органи державної податкової служби.
Протягом останніх років було внесено зміни до Закону № 320-XIV щодо визначення кола платників ФСП, об’єкта оподаткування, умов i особливостей його застосування, в результаті чого змінюється порядок справляння ФСП.
Законом України від 19.06.2003 р. № 974-IV «Про внесення змін до деяких законів України щодо регулювання діяльності в аграрному секторі економіки» (за текстом – Закон № 974-IV), що набрав чинності з 1 січня 2004 р., внесено суттєві зміни до Закону № 320-XIV, які полягають у такому.
По-перше, Законом № 974-IV продовжено дію Закону № 320-XIV до 31 грудня 2009 р. Тобто ФСП продовжує застосовуватися поряд із загальною системою оподаткування до 31 грудня 2009 р.
По-друге, Законом України від 03.04.2003 р. № 659-IV «Про внесення змін до Закону України «Про фіксований сільськогосподарський податок» (за текстом – Закон № 659-IV) доповнено перелік об’єктів оподаткування для плат-ників ФСП земельними ділянками, зайнятими поверхневими водами внутріш-ніх водойм (озер, ставків та водосховищ), які знаходяться у власності або/та ко-ристуванні, а також на умовах оренди i використовуються сільськогосподарсь-кими товаровиробниками.
По-третє, раніше платники ФСП мали право вибору форми сплати ФСП – в грошовій формі або/та у вигляді поставок сільськогосподарської продукції. З прийняттям Закону від 21.12.2000 р. № 2181-III «Про порядок погашення зобо-в’язань платників податків перед бюджетами та державними цільовими фонда-ми» [13,с.32] та № 659-IV платники ФСП сплачують суми ФСП лише у грошовій формі.
По-четверте, змінено коло платників ФСП та порядок оподаткування.
До платників ФСП також належать суб’єкти господарювання, утворені в ре-зультаті реорганізації сільськогосподарського підприємства – платника ФСП (незалежно від терміну реорганізації), які також займаються виробництвом (вирощуванням), переробкою та збутом сільськогосподарської продукції. Новостворені суб’єкти господарювання, основним видом діяльності яких є ви-робництво (вирощування), переробка та збут сільськогосподарської продукції, у рік створення є платниками ФСП (ст. 2 Закону № 320-XIV).
При цьому до платників ФСП можуть належати лише сільськогосподар-ські підприємства різних організаційно-правових форм, передбачених законами України, селянські та інші господарства, які займаються виробництвом (виро-щуванням), переробкою та збутом сільськогосподарської продукції, в яких су-ма, одержана від реалізації сільськогосподарської продукції власного вироб-ництва та продуктів її переробки за попередній звітний (податковий) рік, пере-вищує 75 % загальної суми валового доходу підприємства. А в разі коли у звіт-ному періоді валовий дохід від операцій з реалізації сільськогосподарської продукції власного виробництва та продуктів її переробки становить менше 75 % загального обсягу реалізації, підприємство сплачує податки у наступному звітному періоді на загальних підставах.
По-п’яте, з прийняттям Закону № 974-IV строки сплати ФСП приведено у відповідність до Закону № 2181-III.
Відтепер ФСП сплачується щомісяця протягом 30 календарних днів, нас-тупних за останнім календарним днем базового звітного (податкового) місяця, у розмірі третини суми податку, визначеної на кожний квартал від річної суми податку, в розмірах, визначених Законом № 320-XIV (частина друга ст. 5).
Нова форма податкового розрахунку ФСП, затверджена наказом № 170 ДПА України [21,с.6], застосовується платниками податку починаючи з травня 2004 р. у разі подання звітного розрахунку за 2005 р. i наступні роки.
Звертає увагу, що загальний розрахунок ФСП на всю площу земельних ділянок (сільськогосподарських угідь (ріллі, сіножатей, пасовищ та багато річ-них насаджень) або/та земель водного фонду) подається щорічно до 1 лютого платником податку до органу державної податкової служби за місцем своєї реєстрації. У той же термін платник податку подає розрахунок ФСП окремо по кожній земельній ділянці до органу державної податкової служби за місцем розташування такої земельної ділянки.
У разі якщо платник податку подає загальний розрахунок податку на всі площі земельних ділянок, які підлягають оподаткуванню, до органу державної податкової служби за місцем своєї реєстрації, то у верхній частині розрахунку в клітинці «Загальний розрахунок» за рядком 1 робиться позначка «X».
Якщо платник податку подає розрахунок за земельну ділянку до органу державної податкової служби за місцем розташування такої земельної ділянки, то позначка «X» робиться у клітинці «Звітний розрахунок» за рядком 1.
Якщо у платника податку у власності або/та користуванні, у тому числі на умовах оренди, є лише земельні ділянки в межах території одного органу місцевого самоврядування, до бюджету якого зараховується відповідна частина ФСП, то у звітному розрахунку позначка «X» робиться у двох клітинках «Звіт-ний розрахунок» та «Загальний розрахунок» за рядком 1, а окремий загальний розрахунок не подається.
У 2004 році законодавці порадували платників ФСП. Законом про держ-бюджет-2004 [14, с.17] було передбачено, що у 2004 році платники ФСП окре-мо внески до Пенсійного фонду не сплачують. Сплатою вважатиметься спряму-вання 68 % суми ФСП до Пенсійного фонду. Тож принаймні на один рік отримано перепо-чинок (це «звільнення» стосується як нарахувань «32 %», так і фіксованої суми пенсійних внесків для приватних підприємців)*.
З 2005 року збори в Пенсійний фонд України для страхувальників, які є платниками фіксованого сільськогосподарського податку, згідно Інструкції [20, с.13] сплачуються в наступних розмірах:
- у 2005 та 2006 роках - 6,4 відсотка суми фактичних витрат на оплату праці (грошового забезпечення) працівників, що включають витрати на виплату основної і додаткової заробітної плати та інших заохочувальних та компенса-ційних виплат, у тому числі в натуральній формі, які визначаються згідно з нор-мативно-правовими актами, прийнятими відповідно до Закону України "Про оплату праці", що підлягають обкладенню податком на доходи фізичних осіб, а також на суми оплати перших п'яти днів тимчасової непрацездатності, яка здій-снюється за рахунок коштів роботодавця та допомоги у зв'язку з тимчасовою непрацездатністю;
- у 2007 році - 12,8 відсотка суми фактичних витрат на оплату праці (гро-шового забезпечення) працівників, що включають витрати на виплату основної і додаткової заробітної плати та інших заохочувальних та компенсаційних вип-лат, у тому числі в натуральній формі, які визначаються згідно з нормативно-правовими актами, прийнятими відповідно до Закону України "Про оплату пра-ці", що підлягають обкладенню податком на доходи фізичних осіб, а також на суми оплати перших п'яти днів тимчасової непрацездатності, яка здійснюється за рахунок коштів роботодавця та допомоги у зв'язку з тимчасовою непрацез-датністю;
- у 2008 році - 19,2 відсотка суми фактичних витрат на оплату праці (гро-шового забезпечення) працівників, що включають витрати на виплату основної і додаткової заробітної плати та інших заохочувальних та компенсаційних вип-лат, у тому числі в натуральній формі, які визначаються згідно з нормативно-правовими актами, прийнятими відповідно до Закону України "Про оплату пра-ці", що підлягають обкладенню податком на доходи фізичних осіб, а також на суми оплати перших п'яти днів тимчасової непрацездатності, яка здійснюється за рахунок коштів роботодавця та допомоги у зв'язку з тимчасовою непрацез-датністю;
- у 2009 році - 25,6 відсотка суми фактичних витрат на оплату праці (гро-шового забезпечення) працівників, що включають витрати на виплату основної і додаткової заробітної плати та інших заохочувальних та компенсаційних вип-лат, у тому числі в натуральній формі, які визначаються згідно з нормативно-правовими актами, прийнятими відповідно до Закону України "Про оплату пра-ці", що підлягають обкладенню податком на доходи фізичних осіб, а також на суми оплати перших п'яти днів тимчасової непрацездатності, яка здійснюється за рахунок коштів роботодавця та допомоги у зв'язку з тимчасовою непрацез-датністю;
- з 2010 року - 32 відсотка суми фактичних витрат на оплату праці (гро-шового забезпечення) працівників, що включають витрати на виплату основної і додаткової заробітної плати та інших заохочувальних та компенсаційних вип-лат, у тому числі в натуральній формі, що підлягають обкладенню податком на доходи фізичних осіб, а також на суми оплати перших п'яти днів тимчасової непрацездатності, яка здійснюється за рахунок коштів роботодавця та допомоги у зв'язку з тимчасовою непрацез-датністю;
Розраховувати виручку від реалізації сільгосппродукції пропонується на підставі статистичної звітності – форми № 50-сг «Основні економічні показни-ки роботи сільгосппідприємств», затвердженої наказом Держкомстату від 06.06.2003 р. № 165. Звіт за формою № 50-сг має подаватися всіма сільськогос-подарськими юридичними особами. При цьому звертаємо увагу на таку пробле-му. У звітності виручка від реалізації сільгосппродукції обліковується з ПДВ, тобто суми, що переносяться з форми № 50-сг, містять суми ПДВ. При цьому, на думку ДПАУ, при розрахунку 75 % порога суми ПДВ необхідно виключити з розрахунку [42, c36].
Слід зауважити, що якщо платник ФСП не надає форму № 50-сг, то роз-рахунок можна здійснити і на підставі даних бухгалтерського обліку, та і сама форма № 50-сг складається на підставі даних бухгалтерського обліку. При цьому необхідно брати до уваги оборот по дебету субрахунка 701 «Дохід від реалі-зації готової продукції» в частині реалізації сільгосппродукції. Такі дані можуть бути отримані тільки з аналітичного обліку за видами сільгосппродукції.
Нижче наводиться рекомендована форма розрахунку і пояснення щодо її заповнення згідно з Методрекомендаціями № 419 [44,c.38].
Таблиця 1.1 РОЗРАХУНОК визначення питомої ваги доходу (виручки) від реалізації сільськогосподарської продукції власного виробництва та продуктів її переробки в загальному обсязі валового доходу підприємства за 200__ рік тис. грн., з одним десятковим знаком
| № з/п |
Назва показників |
Дохід (виручка) від реалізації |
| 1 |
Вартість реалізованої продукції рослинництва |
Графа 6, код рядка 0010 фор-ми № 50-сг мінус сума ПДВ |
| 2 |
Вартість реалізованої продукції тваринництва |
Графа 6, код рядка 0130 фор-ми № 50-сг мінус сума ПДВ |
| 3 |
Вартість реалізованої СГ продукції, вироб-леної із СГ сировини власного виробницт-ва на власних переробних підприємствах та на давальницьких умовах, незалежно від територіального розміщення перероб-ного підприємства, в тому числі: |
Графа 6, код рядка 0220 форми № 50-сг мінус сума ПДВ |
| 3.1 |
– дохід (виручка) від реалізації продукції допоміжних виробництв і промислів (крім продукції переробки власних сільгосп-продуктів) |
Графа 6, код рядка 0250 фор-ми № 50-сг мінус сума ПДВ |
| 4 |
Сума акцизного збору |
Код рядка 0221 форми № 50-сг |
| 5 |
Вартість наданих послуг (послуги машин-но-тракторного парку, будівельних і ре-монтних бригад, інші послуги), пов’язаних із сільськогосподарським виробництвом |
Графа 6, код рядка 0260 форми № 50-сг мінус сума ПДВ |
| 6 |
Скоригованій дохід від реалізації СГ про-дукції власного виробництва та продуктів її переробки(дані рядків 1 + 2 + 3 – 3.1 – 4 + 5) |
Визначається розрахунково |
| 7 |
Загальна сума валового доходу |
Графа 3, код рядка 010 форми № 2 мінус графа 3 код рядка 015 форми № 2 мінус графа 3, код рядка 020 форми № 2 або графа 3, код рядка 010 форми № 2-м мінус графа 3, код рядка 020 форми № 2-м |
| 8 |
Питома вага доходу від реалізації СГ про-дукції власного виробництва та продуктів її переробки в сумі валового доходу, % |
Рядок 6 : рядок 7 х 100 % |
Дані для розрахунку 75 % порога можуть бути й неточними. Так, праців-ники податкових органів просять до 1 січня підтвердити свій статус платника ФСП на наступний рік. Звичайно, у цьому випадку дані будуть не точними, а прогнозними.
Розрахунок податку не викликає труднощів. Об’єктом обкладення ФСП є:
– площа сільськогосподарських угідь, переданих у власність або наданих у користування (оренду) сільськогосподарським товаровиробникам;
– площа земель водного фонду, що використовуються для розпліднення, вирощування та вилову риби у внутрішніх водоймах (озерах, ставках і водосхо-вищах) рибницькими, рибальськими та риболовецькими господарствами.
Зауважимо, що платник ФСП одночасно може мати як сільгоспугіддя, так і землі водного фонду, податок у цьому випадку справлятиметься із загальних площ таких земель.
Ставку податку встановлено залежно від виду сільгоспугідь (див. табл. 1.2). Причому вона різна для платників, які здійснюють діяльність у гірських зонах та на поліських територіях (графа 4), та платників, земельні угіддя яких не розташовані на таких територіях (графа 3).
Таблиця 1.2
| Вид сільгоспугідь |
База оподаткування |
Ставка, % |
| загальна |
на поліських та гірських територіях |
| Рілля, сіножаті й пасовища |
Грошова оцінка одиниці площі (га) |
0,15 |
0,3 |
| Багаторічні насадження |
Грошова оцінка одиниці площі (га) |
0,09 |
0,1 |
| Землі водного фонду, що використовуються для розпліднення, вирощуван-ня та вилову риби |
Грошова оцінка одиниці площі ріллі по областях та Автономній Республіці Крим |
0,45 |
0,45 |
Базою оподаткування є грошова оцінка земельних сільськогосподарських угідь, що визначається на підставі їх грошової оцінки, проведеної станом на 01.07.95 р. за Методикою № 213. У зв’язку з цим виникає таке запитання: чи потрібно індексувати грошову оцінку землі для розрахунку суми ФСП? Нагада-ємо, що грошова оцінка землі застосовується для економічного регулювання земельних відносин при укладанні цивільно-правових угод, розрахунку суми земельного податку та ФСП. Коефіцієнт індексації грошової оцінки землі засто-совується згідно із Законом про плату за землю. Він щороку розраховується Держкомземом, доводиться до власників земельних ділянок і враховується при обчисленні сум податку на землю.
У той же час платники ФСП для цілей його обчислення індексацію гро-шової оцінки землі не провадять. Це пов’язане з тим, що на платників ФСП не поширюються норми Закону про плату за землю, у тому числі в частині проведення індексації грошової оцінки землі. Такої позиції дотримуються і працівники податкових органів («Вісник податкової служби України», 2003, № 36).
Разом із тим у Положенні про ФСП передбачено, що грошова оцінка земельних ділянок уточнюється у зв’язку зі зміною їх складу. Як ураховуються орендовані площі? Це залежить від того, у кого платник ФСП орендує земельні ділянки, – у платника ФСП чи особи, котра такою не є.
Таблиця 1.3
| Статус орендодавця |
Якщо орендар – платник ФСП |
Якщо орендар – неплатник ФСП |
| Орендодавець – платник ФСП |
Орендовані площі включаються до розрахунку суми ФСП орендодавця |
Орендовані площі включаються до розрахунку суми ФСП орендодавця |
| Орендодавець – неплатник ФСП |
Орендовані площі включаються до розрахунку суми ФСП орендаря |
Х |
Справляння ФСП одночасно з орендодавця та орендаря, платників ФСП не передбачено. Цей податок сплачує хтось один. Зауважимо: у будь-якому ви-падку орендар – платник ФСП зобов’язаний, крім суми ФСП, сплачувати й орендну плату згідно з умовами договору оренди землі. До того ж нагадаємо, що укладення такого договору є обов’язковим. Так, відповідно до ст. 125 Зе-мельного кодексу України від 25.10.2001 р. № 2768-III приступати до викорис-тання земельної ділянки до встановлення її меж у натурі (на місцевості), отри-мання документа, що засвідчує право на неї, та державної реєстрації забороня-ється. Договір оренди землі засвідчує право користування землею, отже, без його укладення орендарю обробляти земельну ділянку заборонено.
Порядком розрахунку ФСП передбачено подання Розрахунку фіксованого сільськогосподарського податку. Слід відзначити таку особливість – Розраху-нок складається не за минулий звітний рік, а на поточний, тобто ФСП нарахову-ється авансом.
Із 1 січня 2004 року Розрахунок необхідно буде подавати в такі терміни:
Таблиця 1.4
| Суб’єкти |
Період, за який подається Розрахунок |
Термін подання Розрахунку |
| Новостворені |
Від дня їх створення до кінця року |
Протягом 20 календарних днів, наступних за місяцем їх створення |
| Створені шляхом реорганізації |
Від дня їх створення до кінця року |
Протягом 20 календарних днів, наступних за місяцем їх створення |
| Діючі |
На поточний рік |
До 1 лютого поточного року |
Порядок розрахунку фіксованого сільськогосподарського податку та складання податкового розрахунку [43,c.12] визначає єдині правила обчислення фіксованого сільськогосподарського податку і складання податкового розрахунку фіксованого сільськогосподарського податку, розроблений відповідно до Законів України "Про фіксований сільськогосподарський податок","Про порядок погашення зобов'язань платників податків перед бюджетами та державними цільовими фондами" та Положення про порядок справляння та обліку фіксованого сільськогосподарського податку, затвердженого постановою Кабінету Міністрів України від 23 квітня 1999 року N 658 [22,с.6].
Платники фіксованого сільськогосподарського податку (далі - платники податку) визначають суму фіксованого сільськогосподарського податку на поточний рік у порядку і розмірах, передбачених Законом України "Про фіксований сільськогосподарський податок", виходячи з площі земельних ділянок та її грошової оцінки, проведеної за станом на 1 липня 1995 року, відповідно до Ме-тодики грошової оцінки земель сільськогосподарського призначення та населе-них пунктів, затвердженої постановою Кабінету Міністрів України від 23 берез-ня 1995 року N 213 (далі - Методика).
Розрахунок суми фіксованого сільськогосподарського податку здійсню-ється платниками податку за формулою

де П ріл. - площа ріллі;
П сін. - площа сіножатей;
П пас. - площа пасовищ;
П б/нас. - площа багаторічних насаджень;
П зем. в/фон. - площа земель водного фонду, які використовуються рибницькими, рибальськими та риболовецькими господарствами для розведення, вирощування та вилову риби у внутрішніх водоймах (озерах, ставках та водосховищ), що перебувають у власності платника податку або надані йому у користування, у тому числі на умовах оренди;
Г ріл. - грошова оцінка ріллі, проведена за станом на 01.07.95 і розрахована за Методикою;
Г сін. - грошова оцінка сіножатей, проведена за станом на 01.07.95 і розрахована за Методикою;
Г пас. - грошова оцінка пасовищ, проведена за станом на 01.07.95 і розрахована за Методикою;
Г б/нас. - грошова оцінка багаторічних насаджень, проведена за станом на 01.07.95 і розрахована за Методикою;
С под. для ріл. - ставка податку у відсотках до грошової оцінки 1 га ріллі;
С под. для сін. - ставка податку у відсотках до грошової оцінки 1 га сіножатей;
С под. для пас. - ставка податку у відсотках до грошової оцінки 1 га пасовищ;
С под. для б/нас. - ставка податку у відсотках до грошової оцінки 1 га багаторічних насаджень;
С под. для зем. в/фон. - ставка податку у відсотках до грошової оцінки одиниці площі ріллі по областях та Автономній Республіці Крим для земель водного фонду, які використовуються рибницькими, рибальськими та риболовецькими господарствами для розведення, вирощування та вилову риби у внутрішніх водоймах (озерах, ставках та водосховищах);
Е податку - загальна сума фіксованого сільськогосподарського податку.
Платники податку, які не займаються розведенням, вирощуванням та виловом риби у внутрішніх водоймах (озерах, ставках та водосховищах), не включають до розрахунку суми фіксованого сільськогосподарського податку площу земель водного фонду.
Загальний розрахунок фіксованого сільськогосподарського податку на поточний рік на всю площу земельних ділянок, які підлягають оподаткуванню, подається щорічно до 1 лютого поточного року платником податку до органу державної податкової служби за місцем своєї реєстрації. У цей самий термін платник податку подає звітний розрахунок фіксованого сільськогосподарського податку окремо за кожною земельною ділянкою до органу державної податко-вої служби за місцем розташування такої земельної ділянки.
Платник фіксованого сільськогосподарського податку виправляє самос-тійно виявлені ним помилки майбутніх або минулих податкових періодів у по-рядку, установленому пунктом 5.1 статті 5 і пунктом 17.2 статті 17 Закону [13,с.37].
У разі зміни об'єкта оподаткування протягом року, що зменшує суму фіксованого сільськогосподарського податку за звітний місяць, платник податку до закінчення граничних строків подання податкових декларацій за такий місяць, установлених підпунктом "а" підпункту 4.1.4 пункту 4.1 статті 4 Закону Украї-ни [13,с.30] (протягом 20 календарних днів, наступних за останнім календарним днем звітного місяця), подає новий загальний розрахунок за місцем своєї реєстрації і новий звітний розрахунок за місцем розташування земельної ділянки з виправленими показниками за такий звітний місяць (а за потреби - і за наступні за звітним місяці) без нарахування штрафів, установлених пунктом 17.2 статті 17 цього Закону.
Податковий розрахунок фіксованого сільськогосподарського податку може бути поданий до податкового органу за добровільним рішенням платника податку в електронній формі за умови дотримання вимог чинного законодавства, що регулює ці питання.
Сплата фіксованого сільськогосподарського податку здійснюється про-тягом 30 календарних днів, наступних за останнім календарним днем базового звітного (податкового) місяця.
Розділ 2. Аналіз адміністрування податків з сільгоспвиробників (юридичних осіб) в районній податковій інспекції
2.1 Структурно-функціональна організація роботи районної податкової інспекції в м. Дніпродзержинську
Згідно з Указом Президента України „Про затвердження Положення про Державну податкову адміністрацію України ”[4]
на рівень районної державної податкової адміністрації делеговані наступні права (повноваження):
- здійснення контролю за додержанням податкового законодавства, пра-вильністю обчислення, повнотою і своєчасністю сплати до бюджетів, держав-них цільових фондів податків і зборів (обов'язкових платежів), а також непо-даткових доходів, установлених законодавством (далі - податки, інші платежі);
- здійснення контролю за погашенням податкової заборгованості платни-ками податків, інших платежів, у тому числі тими, майно яких перебуває в податковій заставі;
- здійснення в межах своїх повноважень контролю за обліком, зберіган-ням, оцінкою та реалізацією конфіскованого та іншого належного державі майна;
- прийняття у випадках, передбачених законом, нормативно-правових актів і методичних рекомендацій з питань оподаткування;
- формування та ведення Державного реєстру фізичних осіб - платників податків та інших обов'язкових платежів та Єдиного банку даних про платників податків - юридичних осіб;
- роз'яснення законодавства з питань оподаткування серед платників податків, інших платежів;
- запобігання злочинам та іншим правопорушенням, віднесеним законом до компетенції податкової міліції, їх виявлення, розкриття, припинення, розслідування та провадження у справах про адміністративні правопорушення;
- запобігання корупції в органах державної податкової служби та виявлення її фактів;
- забезпечення безпеки діяльності працівників органів державної податкової служби, захисту їх від протиправних посягань, пов'язаних з виконанням службових обов'язків;
- розшук платників податків, які ухиляються від сплати податків, інших платежів;
- ведення Єдиного державного реєстру місць зберігання спирту, алкогольних напоїв і тютюнових виробів;
- розподіл спирту між суб'єктами підприємницької діяльності - резидентами України в установленому порядку з оформленням нарядів на одержання спирту та здійснення контролю за його цільовим використанням.
В табл.2.1 згідно з наказом ДПА України від 25.12.2004 № 722[5]
наведені основні функції (задачі згідно делегованим повноваженням), які виконує районна державна податкова адміністрація.
Наведені , як приклад, основні функції мають деталізацію для внесення в основні організаційні документи :
положення про управління (відділи) ДПІ ;
посадові інструкції працівників відділів;
Таблиця 2.1
Перелік функцій, які здійснюють структурні підрозділи державних податкових інспекцій
| № з/п |
Назва функцій |
| 1.1. |
Функція “Керівництво” |
| 1.5. |
Функція “Організація роботи податкової інспекції, планування та координація робіт структурних підрозділів” |
| 1.6. |
Функція “Податкове супроводження великих платників податків” |
| 1.8. |
Функція “Облік та контроль за використанням коштів на утримання державної податкової інспекції” |
| 1.9. |
Функція “Робота з персоналом” |
| 1.10. |
Функція “Здійснення заходів щодо забезпечення безпеки діяльності працівників органів державної податкової служби” |
| 1.11. |
Функція “Правове забезпечення діяльності податкової інспекції” |
| 1.19. |
Функція “Забезпечення взаємодії з громадськістю та засобами масової інформації” |
| 1.20. |
Функція “Роз’яснення податкового законодавства” |
| 1.21. |
Функція “Організація та контроль за роботою із зверненнями громадян” |
| 1.22. |
Функція “Організація особистого прийому громадян посадовими особами державної податкової інспекції” |
| 1.23. |
Функція “Забезпечення захисту прав і законних інтересів платників податків при первинному оскарженні ними рішень органів державної податкової служби в адміністративному порядку” |
| 1.28. |
Функція “Адміністрування акцизного збору і контроль за виробництвом та обігом підакцизних товарів” |
| 1.31. |
Функція “Контрольно-перевірочна робота із оподаткування фізичних осіб” |
| 1.32. |
Функція “Відбір платників податків для документальних перевірок” |
| 1.33. |
Функція “Контроль за розрахунковими операціями у сфері торгівлі, громадського харчування та послуг” |
| 1.34. |
Функція “Контроль за декларуванням валютних цінностей та застосування санкцій до порушників валютного законодавства” |
| 1.35. |
Функція “Документальний контроль за банками, страховими компаніями, торговцями цінними паперами, трастами, ломбардами, кредитними спілками, недержавними пенсійними фондами, професійними учасниками фондового ринку та іншими фінансовими установами” |
| 1.36. |
Функція “Документальний контроль з питань валютного регулювання” |
| 1.37. |
Функція “Контроль за діяльністю суб’єктів господарювання, які здійснюють її у сфері грального бізнесу та лотерей” |
| 1.38. |
Функція “Стягнення податкового боргу” |
| 1.39. |
Функція “Контроль за справлянням податку на прибуток” |
| 1.40. |
Функція “Контроль за справлянням податків суб’єктами господарської діяльності, що здійснюють діяльність у СЄЗ” |
| 1.41. |
Функція “Адміністрування податку на додану вартість” |
| 1.42. |
Функція “Контроль за справлянням місцевих, ресурсних, рентних та неподаткових платежів з юридичних осіб” |
| 1.43. |
Функція “Контроль за справлянням єдиного податку суб’єктами господарювання – юридичними особами та плати за торговий патент” |
| 1.44. |
Функція “Справляння податку з доходів фізичних осіб, податку з власників транспортних засобів та інших самохідних машин і механізмів, податку на майно, плати за землю з фізичних осіб, державного мита, єдиного та фіксованого податку фізичних осіб та податку на промисел” |
| 1.45. |
Функція “Забезпечення контролю за виробництвом та обігом спирту, виноматеріалів, алкогольних напоїв, тютюнових виробів і сировини, парфумерно-косметичної продукції з використанням спирту етилового” |
| 1.47. |
Функція “Документальна перевірка платників податків” |
| 1.49. |
Функція “Здійснення перевірок з відшкодування податку на додану вартість платникам податків” |
| 1.50. |
Функція “Виявлення шляхів ухилення від оподаткування в зовнішньоекономічній сфері, банківській системі та фінансових установах, а також у сфері валютного регулювання” |
| 1.51. |
Функція “Виявлення, облік, збереження та реалізація безхазяйного майна та майна, що перейшло у власність держави, скарбів, контроль за надходженням коштів до державного бюджету від реалізації такого майна” |
| 1.52. |
Функція “Робота з податковими ризиками” |
| 1.53. |
Функція “Оперативний облік податків і зборів” |
| 1.55. |
Функція “Формування звітів та зведених інформацій за даними оперативного обліку” |
| 1.56. |
Функція “Контроль за своєчасним нарахуванням та сплатою платежів до бюджетів усіх рівнів” |
| 1.58. |
Функція “Економічний аналіз та прогнозування податкових надходжень” |
| 1.63. |
Функція “Документальні перевірки суб’єктів господарської діяльності, які отримують податкові пільги” |
| 1.64. |
Функція “Проведення дослідчих перевірок” |
| 1.65. |
Функція “Оперативно-розшукова робота в сфері оподаткування” |
| 1.67. |
Функція “Проведення роботи щодо вилучення з незаконного обігу підакцизних та інших товарів” |
| 1.69. |
Функція “Боротьба з фіктивними суб’єктами господарської діяльності,“конвертаційними” центрами та незаконним відшкодуванням податку на додану вартість” |
| 1.71. |
Функція “Розслідування кримінальних справ і організація досудового слідства” |
| 1.74. |
Функція “Боротьба з відмиванням доходів, одержаних злочинним шляхом” |
| 1.75. |
Функція “Формування та ведення баз даних державної податкової служби районного рівня” |
| 1.76. |
Функція “Реєстрація та облік платників податків” |
| 1.79. |
Функція “Контроль за повнотою та достовірністю інформаційних ресурсів державної податкової служби України” |
| 1.80. |
Функція “Інформаційна робота з органами державної податкової служби і зовнішніми організаціями” |
| 1.82. |
Функція “Забезпечення автоматизації систем оподаткування” |
| 1.83. |
Функція “Забезпечення функціонування технічних засобів, системного програмного забезпечення та адміністрування телекомунікаційних мереж” |
| 1.88.* |
Функція “Організація та контроль за роботами, пов’язаними з державною таємницею” |
| 1.89. |
Функція “Забезпечення режиму секретності” |
| 1.90. |
Функція “Розробка та здійснення системи допуску до державної таємниці” |
| 1.91. |
Функція “Забезпечення робіт з матеріальними носіями інформації, віднесеної до державної таємниці” |
| 1.92.* |
Функція ”Організація та здійснення заходів з технічного захисту інформації” |
| 1.94. |
Функція “Адміністрування безпеки автоматизованих систем” |
| 1.95. |
Функція “Антивірусний захист податкової інформації” |
| 1.99. |
Функція “Здійснення заходів щодо військово-мобілізаційної роботи, військового обліку та бронювання військовозобов’язаних” |
| 1.100. |
Функція “Загальне діловодство” |
| 1.101. |
Функція “Збереження податкових документів на паперових носіях” |
| 1.102. |
Функція “Адміністративно-господарська діяльність” |
| 1.106. |
Функція “Приймання, реєстрація та комп’ютерна обробка звітних документів платників податків” |
| 1.107. |
Функція “Введення даних до системи автоматизованої обробки даних (АОД)” |
| 1.108. |
Функція “Модернізація державної податкової служби України |
Відповідно до функцій табл.2.1 типова функціональна-бюрократична структура державних податкових інспекцій є наступною :
Таблиця 2.2
Типова структура державних податкових інспекцій у містах без внутриміських інспекцій (з штатною чисельністю ДПІ у м.Дніпродзержинську) Чисельність, чол
| Керівництво |
4 |
| Функція:1.1, 1.89* (крім 1.89.4), 1.90**, 1.91*, 1.108 |
| 01. Адміністративно-господарський відділ |
11 |
| Функції: 1.1.2, 1.1.8, 1.1.15, 1.1.16, 1.80, 1.99.1, 1.99.4, 1.100, 1.101, 1.102, 1.108.1 |
| 04. Відділ роботи з персоналом |
4 |
| Функції: 1.1.2, 1.1.8, 1.1.15, 1.1.16, 1.9, 1.80, 1.99.2 – 1.99.4, 1.100.3, 1.100.5, 1.100.6, 1.101 (крім 1.101.3, 1.101.4), 1.108.1 |
| 05. Бухгалтерія |
5 |
| Функції: 1.1.2, 1.1.8, 1.1.15, 1.1.16, 1.8, 1.9.25, 1.80, 1.100.3, 1.100.5, 1.100.6, 1.101 (крім 1.101.3, 1.101.4), 1.108.1 |
| 09. Слідче відділення (група) податкової міліції |
6 |
| Функції: 1.1.8, 1.1.15, 1.1.16, 1.9.25, 1.71, 1.80, 1.100.1 – 1.100.3, 1.100.7, 1.100.8, 1.100.12, 1.101, 1.108.1 |
| 10.Юридичний відділ |
6 |
| Функції: 1.1.2, 1.1.8, 1.1.15, 1.1.16, 1.9.25, 1.11, 1.41.47, 1.41.49, 1.80, 1.100.3, 1.100.5, 1.100.6, 1.101 (крім 1.101.3, 1.101.4), 1.108.1 |
| 13. Відділ (сектор) організаційно-розпорядчої роботи |
2 |
| Функції: 1.1.2, 1.1.8, 1.1.15, 1.1.16, 1.5, 1.9.25, 1.80, 1.100.3, 1.100.5, 1.100.6, 1.100.9, 1.101 (крім 1.101.3, 1.101.4), 1.108.1 |
| 15. Управління (відділ) оподаткування юридичних осіб |
29 |
| Функції: 1.1.2, 1.1.8, 1.1.15, 1.1.16, 1.6.1, 1.6.4, 1.9.25, 1.20.16, 1.23.2, 1.23.3, 1.23.5, 1.23.11 - 1.23.13, 1.39, 1.40, 1.41 (крім 1.41.11, 1.41.15, 1.41.17 – 1.41.19, 1.41.21, 1.41.23, 1.41.30, 1.41.31, 1.41.37, 1.41.38, 1.41.40 – 1.41.43, 1.41.45), 1.42, 1.43, 1.52, 1.56.3, 1.56.7, 1.56.9, 1.63.3, 1.63.4, 1.76.3, 1.76.7, 1.76.8, 1.80, 1.100.3, 1.100.5, 1.100.6, 1.101 (крім 1.101.3, 1.101.4), 1.106.10, 1.107.4, 1.108.1 |
| Функції територіального підрозділу РУ ДААК: 1.1.2, 1.1.8, 1.1.15, 1.1.16, 1.9.25, 1.20.16, 1.23.1, 1.23.6, 1.23.12, 1.28, 1.45, 1.52.2, 1.52.4, 1.52.6, 1.56.3, 1.56.6, 1.80, 1.100.3, 1.100.5, 1.100.6, 1.101 (крім 1.101.3, 1.101.4), 1.108.1 |
| 15.1.Відділ прямих податків |
10 |
| 15.2.Відділ непрямих податків |
8 |
| 15.3.Відділ місцевих, ресурсних (рентних) і неподаткових платежів |
9 |
| 17. Управління (відділ) оподаткування фізичних осіб |
38 |
| Функції: 1.1.2, 1.1.8, 1.1.15, 1.1.16, 1.9.25, 1.20.16, 1.23.2, 1.23.3, 1.23.5, 1.23.11 - 1.23.13, 1.31, 1.32, 1.41 (крім 1.41.11, 1.41.15, 1.41.18, 1.41.19, 1.41.21, 1.41.23, 1.41.37, 1.41.38, 1.41.40 – 1.41.43, 1.41.45, 1.41.47), 1.44, 1.49, 1.52, 1.56.3, 1.56.6 - 1.56.9, 1.63.3, 1.63.4, 1.76.2.4, 1.76.3, 1.76.8, 1.80, 1.100.3, 1.100.5, 1.100.6, 1.101 (крім 1.101.3, 1.101.4), 1.107.4, 1.108.1 |
| 17.1.Відділ справляння податків з фізичних осіб |
22 |
| 17.2.Відділ документальних перевірок |
15 |
| 19. Відділ (сектор) обліку та звітності |
14 |
| Функції: 1.1.2, 1.1.8, 1.1.15, 1.1.16, 1.9.25, 1.20.16, 1.41.6, 1.41.12, 1.41.15, 1.41.44, 1.53, 1.55, 1.56, 1.75.3.2, 1.79.2, 1.79.7, 1.80, 1.100.3, 1.100.5, 1.100.6, 1.101 (крім 1.101.3, 1.101.4), 1.108.1 |
| 20. Відділ (сектор) прогнозування та аналізу податкових надходжень |
5 |
| Функції: 1.1.2, 1.1.8, 1.1.15, 1.1.16, 1.9.25, 1.41.6, 1.41.44, 1.58, 1.63.2 - 1.63.4, 1.80, 1.100.3, 1.100.5, 1.100.6, 1.101 (крім 1.101.3, 1.101.4), 1.108.1 |
| 23. Управління (відділ) контрольно-перевірочної роботи |
56 |
| Функції: 1.1.2, 1.1.8, 1.1.15, 1.1.16, 1.6.10, 1.9.25, 1.20.16, 1.23.5, 1.23.13, 1.28.11, 1.32 - 1.37, 1.41.4 – 1.41.10, 1.41.12, 1.41.13, 1.41.17, 1.41.20, 1.41.22, 1.41.24 – 1.41.28, 1.41.30 – 1.41.36, 1.41.39, 1.41.44, 1.41.46 – 1.41.52, 1.47, 1.49, 1.50, 1.52, 1.56.6, 1.63, 1.80, 1.100.3, 1.100.5, 1.100.6, 1.101 (крім 1.101.3, 1.101.4), 1.107.4, 1.108.1 |
| 23.1.Відділ документальних перевірок суб’єктів господарської діяльності – юридичних осіб |
16 |
| 23.2.Відділ перевірки відшкодування податку на додану вартість |
12 |
| 23.3.Відділ оперативного контролю |
7 |
| 23.3.1. Сектор по контролю за збитковими (малоприбутковими) підприємствами |
6 |
| 23.4.Відділ по контролю у сфері ЗЕД |
8 |
| 23.5.Відділ перевірок фінансових установ |
8 |
| 24. Управління (відділ) забезпечення податкових зобов’язань |
17 |
| Функції: 1.1.2, 1.1.8, 1.1.15, 1.1.16, 1.9.25, 1.20.16, 1.23.2, 1.23.3, 1.23.5, 1.23.11, 1.23.12, 1.38, 1.41.6, 1.41.11, 1.51, 1.56.7, 1.56.8, 1.80, 1.100.3, 1.100.5, 1.100.6, 1.101 (крім 1.101.3, 1.101.4), 1.108.1 |
| 24.1.Відділ стягнення коштів, майна |
9 |
| 24.2.Відділ планування та інформаційного забезпечення |
5 |
| 24.3.Відділ роботи з виявлення і розпорядження безхазяйним майном та майном, що переходить у власність держави |
3 |
| 25. Відділ (сектор) розгляду скарг платників податків |
3 |
| Функції: 1.1.2, 1.1.8, 1.1.15, 1.1.16, 1.9.25, 1.20.16, 1.23, 1.80, 1.100.3, 1.100.5, 1.100.6, 1.101 (крім 1.101.3, 1.101.4), 1.108.1 |
| 26. Головний відділ (відділ) податкової міліції |
72 |
| Функції: 1.1.2, 1.1.8, 1.1.15, 1.1.16, 1.6.7, 1.6.18, 1.9.25, 1.10, 1.20.16, 1.32, 1.38.15 – 1.38.22, 1.41.4 – 1.41.7, 1.41.9, 1.41.10, 1.41.12, 1.41.13, 1.41.17, 1.41.20, 1.41.22, 1.41.24 – 1.41.28, 1.41.30 – 1.41.36, 1.41.39, 1.41.44 – 1.41.52, 1.47.3, 1.47.11, 1.49.13, 1.50.1, 1.50.4, 1.50.11, 1.50.14, 1.51.1, 1.52, 1.64, 1.65, 1.67, 1.69, 1.74, 1.80, 1.89, 1.91, 1.100 - 1.102 (крім 1.102.9, 1.102.10), 1.107.2 - 1.107.4, 1.107.6, 1.108.1 |
| 28. Управління (відділ) автоматизації процесів оподаткування |
28 |
| Функції: 1.1.2, 1.1.8, 1.1.15, 1.1.16, 1.6.1, 1.6.4, 1.9.25, 1.20.16, 1.41.12, 1.41.14, 1.41.18, 1.41.19, 1.41.21, 1.41.23, 1.41.25, 1.41.37, 1.41.38, 1.41.40 – 1.41.43, 1.75 (крім 1.75.3.2), 1.76 (крім 1.76.3, 1.76.4), 1.79 (крім 1.79.2, 1.79.7), 1.80, 1.82, 1.83, 1.94, 1.95, 1.100.3, 1.100.5, 1.100.6, 1.100.13, 1.101 (крім 1.101.3, 1.101.4), 1.106, 1.107 (крім 1.107.4), 1.108.1 |
| 28.1.Відділ обліку платників податків |
9 |
| 28.2.Відділ обробки та введення податкових документів платників податків |
9 |
| 28.3.Відділ супроводження автоматизації процесів оподаткування |
9 |
| 31. Відділ по обслуговуванню платників податків |
5 |
| Функції: 1.1.2, 1.1.8, 1.1.15, 1.1.16, 1.6.27, 1.6.28, 1.6.30, 1.9.25, 1.20 - 1.22, 1.41.50, 1.41.53, 1.80, 1.100.3, 1.100.5, 1.100.6, 1.101 (крім 1.101.3, 1.101.4), 1.108.1 |
| 32. Сектор взаємодії із засобами масової інформації та громадськістю |
2 |
| Функції: 1.1.2, 1.1.8, 1.1.15, 1.1.16, 1.9.25, 1.19, 1.41.53, 1.80, 1.100.3, 1.100.5, 1.100.6, 1.101 (крім 1.101.3, 1.101.4), 1.108.1 |
| Всього по ДПІ у м.Дніпродзержинську |
310 |
2.2 Організація обліку та звітності у системі оподаткування на районному рівні
Інструкцією ДПА України [16, с.4] встановлюється порядок ведення органами державної податкової служби оперативного обліку податків і зборів (обов'язкових платежів), надходження яких контролюється органами державної податкової служби та які передбачені бюджетною класифікацією України за доходами до Державного бюджету України, місцевих бюджетів та державних цільових фондів, а також сум штрафних (фінансових) санкцій та пені, що застосовуються до підприємств, установ, організацій та громадян відповідно до чинного законодавства (далі - платежі до бюджету).
1. Рознесення даних з первинних документів про нарахування, зменшення, списання, відстрочення або розстрочення сплати сум податкових зобов'язань здійснюється структурними підрозділами органу державної податкової служби у такому порядку:
а). Документи, що підтверджують податкові зобов'язання, самостійно визначені платником, реєструються у структурному підрозділі, до функцій якого входить реєстрація зазначених документів, та з відміткою про реєстрацію направляються до підрозділів приймання та обробки податкової звітності, де розносяться до електронної бази податкової звітності і формуються у електронні і паперові реєстри. Електронні та паперові (2 примірники) реєстри нарахованих сум передаються підрозділам обліку і звітності для внесення даних (автоматизованого занесення) до карток особових рахунків платників податків. Після рознесення даних один примірник паперового реєстру повертається підрозділу, що його склав, з відміткою про повноту обліку сум у картках особових рахунків.
б). За документами, що підтверджують податкові зобов'язання, ховані (зменшені, списані) органом державної податкової служби, структурні підрозділи, які здійснюють розрахунок сум (донараховують суму) податкового зобов'язання, складають та направляють платнику податку в порядку, затвердженому наказом ДПА України, податкове повідомлення та реєструють його в електронному реєстрі податкових повідомлень. Після закінчення процедури адміністративного оскарження узгоджені податкові зобов'язання із зазначенням терміну сплати вносяться до карток особових рахунків платників податків. Одночасно до підрозділів обліку і звітності передається 2 примірники паперової копії витягу з реєстру. Після рознесення даних один екземпляр витягу з реєстру повертається підрозділу, що його склав, з відміткою про повноту обліку сум у картках особових рахунків.
в). Документи, що надходять від судових органів, реєструються у структурному підрозділі, до функцій якого входить реєстрація зазначених документів, та з відміткою про реєстрацію направляються до підрозділів приймання та обробки податкової звітності, де розносяться до електронної бази податкової звітності і формуються у електронні реєстри. Електронні реєстри нарахованих сум передаються підрозділам обліку і звітності для внесення нарахованих сум платежів до карток особових рахунків платників податків. Одночасно до підрозділів обліку і звітності передається 2 примірники паперової копії реєстру. Після рознесення даних один примірник реєстру повертається підрозділу, що його склав, з відміткою про повноту обліку сум у картках особових рахунків.
г). Документи, що є підставою для відстрочення або розстрочення сплати податкових зобов'язань, реєструються у структурному підрозділі, до функцій якого входить реєстрація зазначених документів, та з відміткою про реєстрацію передаються до підрозділів стягнення податкового боргу для подальшого оформлення відстрочення або розстрочення сплати податкових зобов'язань. Відомості щодо укладеного договору про розстрочення (відстрочення) вносяться до журналу, та автоматично вносяться до картки особового рахунку платника.
Після цього паперовий витяг з журналу передається підрозділу обліку і звітності для проведення звірення повноти та правильності відображення розстрочених (відстрочених) сум у картках особових рахунків.
д.). Документи, передбачені процедурою апеляції та податкового компромісу, є підставою для обліку податкових зобов'язань лише після їх узгодження з платником.
е). Документи, передбачені процедурою банкрутства, введення (припинення) мораторію, реєструються у структурному підрозділі, до функцій якого входить реєстрація зазначених документів, та передаються до підрозділів, що супроводжують процедуру банкрутства, введення (припинення) мораторію, для підготовки переліку проведення операцій, які підлягають виконанню згідно з цим документом, із зазначенням термінів виконання. Підготовлений перелік направляється до структурного підрозділу виконавців проведення операцій (наприклад, припинення нарахування штрафів, прощення, списання, реструктуризація податкового боргу, списання безнадійної заборгованості), у тому числі і до підрозділів обліку і звітності (припинення нарахування пені).
ж). При укладанні мирових угод облік відстрочок та розстрочок здійснюється у порядку, зазначеному у п. 3.4 цієї Інструкції. Списання боргу проводиться у графі "Списано" зворотного боку картки особового рахунку платника.
2. Документами, що підтверджують погашення платником податкових зобов'язань, є:
а). Одержані від органів Державного казначейства України:
- відомості про зарахування та повернення коштів з аналітичних рахунків за доходами у вигляді електронних документів - технологічних файлів;
- звіти про виконання державного бюджету за доходами в розрізі районних відділень за видами надходжень в електронному вигляді;
- відомість N 2 розподілу платежів до бюджету, які надійшли на рахунок 3311, в електронному вигляді та її паперова копія;
- відомість N 2м розподілу платежів до бюджету, які надійшли на рахунок 3411, в електронному вигляді та її паперова копія;
- виписки з рахунків у вигляді електронного реєстру розрахункових документів та їх паперові копії;
- корінець прибуткового документа ("повідомлення") про приймання установою банку платежів до державного бюджету готівкою;
- копії квитанцій (за формами N 10 та N 24), виданих органами місцевого самоврядування платникам податків за платежами до державного бюджету, разом з описом до них.
б). Одержані від фінансових органів:
- реєстр розрахункових документів про сплату платежів до місцевого бюджету;
- копія відомостей про зарахування платежів до бюджету, про розподіл платежів між бюджетами, про повернення надміру сплачених або не відшкодованих сум;
- копія розрахункових документів про сплату платежів до місцевого бюджету за безготівковим розрахунком;
- довідка про суми надходжень до місцевого бюджету за видами платежів;
- корінець прибуткового документа ("повідомлення") про приймання установою банку платежів до місцевого бюджету готівкою;
- копії квитанцій (за формами N 10 та N 24), виданих органами місцевого самоврядування платникам податків за платежами до місцевого бюджету, разом з описом до них.
в). Одержані Державною податковою адміністрацією України від Державного казначейства України:
- відомості про зарахування та повернення коштів з аналітичних рахунків за доходами (центральний рівень) у вигляді електронних документів - технологічного файла;
- звіт про виконання державного бюджету за доходами в розрізі областей в електронному вигляді.
г). Копії квитанцій (за формами N 10 та N 24), які видані органом місцевого самоврядування платникам податків за платежами до бюджету, приймаються працівником підрозділу обліку, який звіряє відповідність сум, вказаних у копіях квитанцій, із сумами, зазначеними в описі до них та у копіях розрахункових документів про зарахування платежів до бюджету за відповідний період. Дані електронних реєстрів розносяться до особових рахунків платників у порядку, передбаченому АІС.
а). Порядок ведення особових рахунків платників
1. З метою обліку нарахованих і сплачених сум платежів до бюджету органами державної податкової служби на кожний поточний рік відкриваються особові рахунки за кожним платником та кожним видом платежу, які повинні сплачуватися такими платниками.
2. Картки особових рахунків відкриваються структурним підрозділом органу державної податкової служби (який, у межах своїх функціональних обов'язків, повинен відкрити особові рахунки) не пізніше першого робочого дня, наступного за днем одержання від структурних підрозділів органу державної податкової служби з обліку платників списків платників.
3. Номерами карток особових рахунків є:
- номери особових рахунків юридичних осіб - суб'єктів підприємницької діяльності, які відповідають ідентифікаційним кодам і які присвоюються платникам згідно з Положенням про Єдиний державний реєстр підприємств та організацій України, затвердженим постановою Кабінету Міністрів України від 22.01.96 N 118;
- номери особових рахунків фізичних осіб - суб'єктів підприємницької діяльності, які відповідають ідентифікаційним номерам і присвоюються платникам згідно з Законом України "Про Державний реєстр фізичних осіб - платників податків та інших обов'язкових платежів";
- номери особових рахунків підприємств, що проводять спільну підприємницьку діяльність і яким відкривають особові рахунки за додатковою ознакою, що відповідає реєстраційним (обліковим) номерам Тимчасового реєстру ДПА України.
4. Форма особових рахунків визначається порядком, що встановлюється для обліку платежів на підставі порядків адміністрування (справляння) такого платежу і є обов'язковою при відтворенні особового рахунку на екрані або його друкуванні засобами відповідного програмного забезпечення.
5. Відповідно до умов надходження платежів функціонують такі форми особових рахунків платників:
Таблиця 2.3
Форми особових рахунків платників податків
| N з/п |
Форма особового рахунку |
Умови надходження платежу: |
| 1 |
ф. N 3 |
для здійснення обліку платежів, що надходять авансовими внесками зі щомісячним перерахунком |
| 2 |
ф. N 4 |
для здійснення обліку платежів, що надходять авансовими внесками із щоквартальним перерахунком |
| 3 |
ф. N 6 |
для здійснення обліку платежів, що надходять щомісячно або щоквартально без здійснення перерахунку авансових внесків |
| 4 |
ф. N 5 |
для здійснення обліку податку на додану вартість та відшкодування ПДВ для платників податків - юридичних осіб |
| 5 |
ф. N 5а |
для здійснення обліку податку на додану вартість та відшкодування ПДВ для платників податків - фізичних осіб |
| 6 |
ф. N 15 |
без подання розрахунків |
| 7 |
ф. N 1-А |
для ведення обліку конфіскованого майна |
| 8 |
ф. N 2 |
без нарахування пені та врахування у сумах податкового боргу |
6. Форми карток особових рахунків мають лицьовий та зворотний боки.
На лицьовому боці картки відображаються умови справляння платежу та дані про платника податків (у тому числі терміни подання розрахунків та терміни сплати, вид бюджету, код бюджетної класифікації), а також інформація про податкові зобов'язання, нараховані за результатами документальних перевірок.
Зворотний бік картки відображає стан розрахунків платників з бюджетом (суми нарахованого та сплаченого платежу, пені, штрафних (фінансових) санкцій, плати за кредит, суми податкового боргу та надміру сплачені) та інше.
б) Облік нарахованих сум платежів
1. Нарахуванню в особових рахунках платників підлягають:
- податкові зобов'язання, самостійно визначені платником;
- податкові зобов'язання, нараховані (зменшені, списані) органом державної податкової служби;
- штрафні (фінансові) санкції;
- пеня;
- проценти за користування податковим кредитом.
2. Порядок нарахування в картках особових рахунків:
а). Податкові зобов'язання, самостійно визначені платником, нараховуються в особових рахунках за даними електронних реєстрів нарахованих сум податкової звітності та електронних реєстрів податкових повідомлень, сформованих на підставі даних податкової звітності. Спеціалісти підрозділів обліку і звітності в автоматичному режимі формують реєстри рознесених сум та проводять звірку з реєстрами нарахованих сум. Після звірки та виправлення розбіжностей, якщо такі мають місце, реєстр нарахованих сум податкової звітності передається підрозділу, що його сформував, з відміткою про повноту обліку сум в особових рахунках платників.
Нарахування податкових зобов'язань, що самостійно визначені платником, проводиться у розділі "Розрахунки основного платежу та штрафних санкцій" за кодами операцій:
- нараховано за даними декларації (розрахунку);
- нараховано за даними нової (уточненої) декларації (розрахунку), у тому числі:
- уточнення даних поточного року;
- уточнення даних минулих звітних років (із зазначенням періоду, за який вносилися зміни);
- зменшення нарахування:
- за декларацією платника податків;
- за новою (уточненою) декларацією (розрахунком);
-за договором про надання відстрочення або розстрочення сплати податкових зобов'язань;
- за даними про відшкодування.
б). Податкові зобов'язання, нараховані (зменшені, списані) органом державної податкової служби, проводяться у картках особових рахунків за даними електронного реєстру податкових повідомлень в частині сум, узгоджених податкових зобов'язань .
Нарахування податкових зобов'язань, визначених органом державної податкової служби, проводиться в особовому рахунку платника у розділі "Розрахунки основного платежу та штрафних санкцій" за кодами операцій:
- нарахування основного платежу за актами документальних перевірок;
- нарахування основного платежу при виявленні арифметичних помилок;
- нарахування основного платежу при виявленні метод помилок;
- нарахування штрафних (фінансових) санкцій:
а) за даними платника;
б) за даними органу державної податкової служби.
в). Нарахування сум штрафних санкцій здійснюється у тому самому порядку, що й нарахування податкових зобов'язань, визначених платником та нарахованих (зменшених, списаних) органом державної податкової служби, за даними електронних реєстрів та електронних реєстрів податкових повідомлень в частині штрафних санкцій, які вибираються з реєстру за ознакою та розносяться до особових рахунків платників до розділу розрахунки основного платежу та штрафних санкцій.
г). Нарахування пені здійснюється в особових рахунках платників у розділі "Розрахунки нарахування та сплати пені" за кодами операцій:
- автоматичне нарахування пені в особовому рахунку платника;
- нарахування пені за актами документальних перевірок у випадках, передбачених чинним законодавством;
- автоматичне нарахування пені за сумою сплати пені, що самостійно розрахована платником податків, при частковому погашенні податкового боргу.
д.). Нарахування процентів за користування відстроченням або розстроченням податкових зобов'язань проводиться в особових рахунках платників у розділі "Проценти за користування відстроченням або розстроченням сплати податкових зобов'язань" .
3. Не проводиться нарахування в особових рахунках платників податко-вих зобов'язань по платежах, по яких не передбачено подання платником подат-кової звітності до органів державної податкової служби, крім випадків донара-хування таких платежів за актами документальних перевірок.
Не проводиться нарахування в особових рахунках платників суми пені по неподаткових платежах, якщо інше не передбачено чинним законодавством.
Облік, контроль і складання звітності щодо платежів, що надходять до бюджету, проводяться органами державної податкової служби з використанням автоматизованої інформаційної системи “Облік податків та платежів” (далі – АІС “ОПП”(ТАХ)). Засобами АІС [30,с.5] забезпечується автоматизоване вико-нання всіх операцій на робочому місці працівників підрозділу обліку і звітності, у тому числі ведення особових рахунків платників, формування довідкової ін -формації та складання звітності.
До складу функцій, які автоматизуються, входять:
- облік документів бухгалтерської звітності та документів, пов¢язаних з обчисленням податків і платежів;
- введення даних про нараховані суми податків і платежів;
- облік результатів камеральних та документальних перевірок;
- облік відстрочок і розстрочок;
- введення та облік даних по реструктуризації платежів;
- облік надходжень по податках і платежах;
- облік надходжень без наявної сплати (векселі¤взаємозаліки)
- ведення карток особових рахунків платника по податках і платежах;
- облік та формування документів, пов¢язаних з відшкодуванням ПДВ;
контроль за своєчасністю сплати податку та своєчасним поданням до-
кументів, пов¢язаних з їх обчисленням;
- аналіз стану платіжної дисципліни та нарахування пені за її порушення;
- формування довідок, книг, реєстрів по обліку податків і надходжень;
- формування повідомлень платнику та платіжних документів;
- формування документів по відшкодуванню ПДВ;
- формування статистичних звітних документів про результати діяльності державної податкової інспекції;
- формування довідок по запитах платника;
- закриття фінансового року, відкриття карток особових рахунків платника на наступний рік.
АІС “облік податків і платежів” складається з комплексів задач, структурно зображених на Рис. 2.1:
а) “Нарахування” – який призначений для автоматизації роботи по введенню звітної інформації платників та її камеральної перевірки, введенню даних по нарахованих податках і платежах в картки особових рахунків платників податків, обмін інформацією з іншими автоматизованими системами, інтерфейсного приймання звітності, поданої в електронному вигляді;
б) “Платіжні документи” – який призначений для автоматизації роботи по введенню і коригуванню інформації з платіжних документів платників, формування реєстрів і книг по обліку надходжень;
в) “Ведення карток особових рахунків”- який призначений для формування, перегляду та друкування карток особових рахунків платників податків, формування платіжних документів та ведення відповідних журналів, контроль за платіжною дисципліною платників податків, нарахування пені за несвоєчасну сплату податків і платежів;
г) “Облік ПДВ” – який призначений для адміністрування обліку ПДВ, формування висновків на відшкодування податкового кредиту та пені на користь платника, ведення журналів висновків та заяв, введення розпоряджень про зміну сум відшкодування, проведення регламентного підтвердження сум до відшкодування та інші роботи по технологічному процесу проведення відшкодування по ПДВ;
д.) “Реструктуризація та відстрочки” – який призначений для введення даних і формування журналів про реструктуризацію платежів, формування та перегляду карток особових рахунків по реструктурованих платежах, введення даних і формування журналів про розстрочку та відстрочку платежів;
е) “Облік надходжень без наявної сплати” – який призначений для обліку надходжень у вигляді взаємозаліків та векселів;
ж) “Довідки” - який призначений для формування довідок про стан платіжної дисципліни, недоїмку, переплату, пеню, загальну заборгованість, надходження та іншої оперативної інформації;
з) “Звітність” – який призначений для формування оперативної та статистичної звітності по ПДВ, взаєморозрахунках, відстрочках і розстрочках, реструктуризації, формування файлів для АІС “Галузь” та T1AR3;
и) “Проведення розрахункових операцій”- який призначений для формування довідника щоденних ставок пені по платежах, проведення розрахункових операцій, закриття року, погашення пені з переплат;
к) “Початкова організація баз даних” – який призначений для початкової організації баз даних системи, відкриття і закриття карток особових рахунків платників, коригування сальдо платників по платежах, обмін інформацією про платника з іншими інспекціями, деяких регламентних операцій;
л) “Нормативно-довідкова інформація” – який призначений для формування та супроводження нормативно-довідкової інформації, необхідної для роботи системи;
м) “Системні функції” – який призначений для адміністрування роботи системи та ведення баз даних, моніторингу користувачів, індексації, пакування, архівування та відновлення інформації, аналізу стану баз даних, контролю структури таблиць та версій довідників, контролю цілостності таблиць баз даних, ведення довідників таблиць, полів таблиць та індексів бази даних, конвертації даних з попередніх версій автоматизованих систем обліку податків і платежів.
Вхідною інформацією для функціонування системи є:
інформація про платника податків і зборів (реєстраційні дані);
звітні документи платника податків про нараховані суми по податках і платежах;
платіжні документи платника податків про сплату платежів наявним чи безнаявним засобами;
документи органів державної податкової служби про донарахування чи зменшення платежів по податках і платежах;
документи казначейства і банків про проходження платежів.
Нормативно-довідкова інформація системи складається з довідників:
- загальнонаціональних;
- відомчих;
- системних.
Вихідною інформацією системи є:
- картки особових рахунків платників податків;
- бухгалтерська звітність;
- оперативна та статистична звітність.
Технологічний процес обробки інформації в системі виконується за такими основними положеннями:
- обробка інформації проводится по кожній події в системі;
- подіями вважаються: введення нового документу (звітного чи платіжного документу платника, рішення про нарахування платежу по акту документальних перевірок), коригування раніше введеного документу, проведення розрахункових операцій (нарахування пені тощо);
- обробка подій базується на файлі відкритої структури, який визначає послідовність дій по обробці подій;
- при обробці подій формуються та заносяться в бази даних технологічні операції;
- технологічні операції оброблюються за датами їх виникнення;
- кожна з технологічних операцій має свій пріоритет, який визначає послідовність обробки у разі виконання декількох операцій за одну дату;
- на основі технологічних операцій, зафіксованих в системі, формуються картки особових рахунків платників податків, журнали операцій, бухгалтерська документація по обліку податків і платежів, статистична та оперативна звітність для вищестоячих державних податкових адміністрацій;
- при модифікації програмного забезпечення у зв¢язку зі змінами у чинному податковому законодавстві або для розширення функціональних можливостей системи проводиться зовнішнє настроювання системи шляхом внесення доповнення у довідник подій і процедур їх обробки без зміни програмного кода.
З метою організації роботи в системі адміністратором системи створюються окремі автоматизовані робочі місця відповідно до функцій спеціалістів державної податкової інспекції. Створення робочих місць виконується на основі таблиць бази даних, зформованих адміністратором бази даних, в яких визначено групи користувачів і перелік задач і режимів, до яких вони мають доступ.

Рис.2.2 Взаємозв’язок АІС “ОПП” з АРМ районної податкової інспекції
АІС “Облік податків і платежів” пов¢язана з такими автоматизованими системами для забезпечення роботи в період промислової експлуатації
(рис. 2.2):
- “Облік платників податків - юридичних осіб“;
- “Свідоцтво платника ПДВ“;
- “Реєстрація фізичних осіб - платників ПДВ“;
- “Аудит“;
- “Податкова звітність”;
- “Звіт”;
- “Патенти“;
- “Податки фізичних осіб“.
АІС “Облік податків і платежів“ має сумісні таблиці баз даних з автоматизованими системами “Облік платників податків - юридичних осіб“, “Свідоцтво платника ПДВ“,“Податкова звітність”,“Звіт”.
АІС “Облік податків і платежів“ імпортує дані з автоматизованих систем “Аудит“, “Патенти“, “Податки фізичних осіб“, “Реєстрація фізичних осіб - платників ПДВ“.

Рис. 2.3 Взаємозв’язок АІС “ОПП” з АРМами при імпорті даних
АІС “Облік податків і платежів“ експортує дані в автоматизовані системи: “Аудит“, “Патенти“, “Податки фізичних осіб“, “Галузь“, “Державний реєстр фізичних осіб“.
Регламент зв¢язків автоматизованих систем по імпорту даних (Рис. 2.3):
- з АІС “Облік платників податків - юридичних осіб “ - постійний зв¢язок на рівні баз даних;
- з АІС “Свідоцтво платника ПДВ“- постійний зв¢язок на рівні баз даних ;
- з АІС “Податкова звітність” - постійний зв¢язок на рівні баз даних;
- з АІС “Звіт” - постійний зв¢язок на рівні баз даних;
- з АІС “Аудит“ – щоденний імпорт даних по запиту;
- з АІС “Реєстрація фізичних осіб платників ПДВ“ – щомісячний імпорт даних по платниках ПДВ.
Регламент зв¢язків автоматизованих систем по експорту даних (Рис.2.4) та звітності системи :
в АІС “Галузь“ – щодекадний на рівні файлів даних;
в Державний реєстр фізичних осіб – щоквартальний на рівні файлів даних.
2.3 Організація документальних перевірок платників податків за алгоритмами розподілу платників податків за категоріями уваги
Податковою службою Дніпропетровської області у 2004 році перевірено понад 30,1 тис. підприємств, порушення податкового та валютного законодав-ства встановлені на 29,6 тис. підприємствах або 98,3 відс. перевірених.
Прийнято 17,2 тис. постанов про притягнення до адміністративної відпо-відальності посадових осіб і громадян на загальну суму понад 1,7 млн.грн.
Відповідно до Національного плану проведення документальних переві-рок за 2004 рік підрозділами податкового аудиту та валютного контролю прове-дено понад 2,9 тис. перевірок, по яких узгоджено податкові зобов’язання. Здійс-нено 19,1 тис. позапланових документальних перевірок, з яких перевірки інфор-мативного характеру та зустрічні складають 78,3 відс.
Донараховано платежів до бюджету та цільових фондів 260,5 млн.грн., зменшено збитки платникам податків майже на 1446 млн.грн., відмовлено платникам у відшкодуванні з бюджету 542,5 млн.грн. податку на додану вартість.
На розгляд до підрозділів податкової міліції області передано 222 справи на суму 390,1 млн.грн., порушено 29 кримінальних справ на суму 152,7 млн.грн.
З метою запобігання безпідставного відшкодування з бюджету сум по-датку на додану вартість проведено понад 3 тис. перевірок підприємств з пи-тання правильності заявленого по деклараціях податку, кожною другою пере-віркою встановлені порушення податкового законодавства. Зменшено відшко-дування з бюджету на суму 542,5 млн.грн. Додатково нараховано до бюджету податку на додану вартість разом з фінансовими санкціями понад 98,5 млн.грн.
Протягом року проведено 396 документальних та понад 470 позаплано-вих перевірок контрагентів та пов’язаних осіб крупних підприємств 8 галузей. До бюджету нараховано понад 1,1 млрд.грн., суму від’ємного значення об’єкта оподаткування податком на прибуток зменшено на 225,5 млн.грн., а суму ПДВ, заявлену до відшкодування з бюджету на 31,7 млн.грн., до бюджету стягнуто 28,2 млн.грн.
Одним із нових напрямків контрольно – перевірочної роботи є відпрацювання крупних СПД, які входять до фінансово – промислових груп.
За результатами перевірених 151 підприємства металургійної галузі до бюджету нараховано 906,9 млн.грн., надійшло 21,7 млн.грн. Зруйнована схема ухилення платників податків від оподаткування шляхом використання схеми попередніх оплат. Втрати бюджету від таких операцій складають понад 300 млн.грн.
За результатами перевірок: 40 підприємств, які здійснюють роздрібну торгівлю пальним донараховано 201,4 млн.грн.; 71 підприємства, що здійсню-ють виробництво, реалізацію та переробку насіння соняшника –2,9 млн.грн.; 59 підприємств машинобудівної галузі - 2,7 млн.грн.; 41 підприємства, що здійснюють торгівлю автотранспортними засобами та надають послуги з ремонту-1,4 млн. грн.
Проведено майже 14 тис. зустрічних перевірок підприємств з питання повноти та правильності нарахування ПДВ, у ході яких виконано біля 22 тис. запитів податкових органів України. З метою підтвердження правомірності віднесення до податкового кредиту сум ПДВ платниками, що претендують на відшкодування з бюджету, направлено 30,5 тис. запитів на проведення зустріч-них перевірок їх основних постачальників та підприємств – посередників по ланцюгу продажу до виробника або імпортера.
Установлено 46 випадків взаємовідносин платників, що заявили ПДВ до відшкодування, з “фіктивними” фірмами, обороти по яких склали майже 81 млн.грн. При цьому підприємствами до податкового кредиту включаються значні суми ПДВ по податкових накладних, отриманих від “фіктивних” фірм. За рік така сума склала 13,5 млн.грн.
До Господарського суду подано 28 позовів на суму 224,1 млн.грн. щодо визнання недійсними угод, укладених платниками, що заявляють до відшкоду-вання ПДВ, з “фіктивними” підприємствами.
Для виявлення порушень податкового законодавства податкові органи здійснюють камеральні, документальні і тематичні перевірки [34, с.57].
Камеральна перевірка (без виходу на підприємство) проводиться податковим інспектором у момент одержання декларацій та розрахунків з використанням бухгалтерської звітності. Перевірці підлягають такі питання:
повнота і своєчасність подання звіту, податкових декларацій та розрахунків;
дотримання вимог щодо порядку заповнення поданих документів;
узгодженість звітних даних;
послідовність даних у формах звітності;
відповідність даних, що використовуються для складання розрахунків, даним, відображеним у звітності;
правильність заповнення всіх пунктів декларацій та розрахунків;
правильність арифметичних підрахунків та визначення сум і термінів сплати або повернення з бюджету належних сум.
Документальна перевірка – це другий етап контрольної роботи податко-вих органів за правильністю нарахування та своєчасністю сплати до бюджету податків та зборів. Документальні перевірки бувають планові та зустрічні. Планові документальні перевірки здійснюються за річними планами контроль-но-економічної роботи та квартальними графіками перевірок по кожній ділянці роботи. До планів потрапляють насамперед такі підприємства, що отримують найбільші суми прибутків або мають значні обороти, чи допускають грубі по-рушення податкового законодавства.
Документальні планові перевірки можуть проводитися не рідше одного разу на два роки і не частіше одного разу на рік.
Програма складається виходячи з основної мети перевірки – виявлення достовірності визначення прибутку, інших об'єктів оподаткування, правильності обчислення податків і своєчасності виконання зобов'язань перед бюджетом; оцінки стану звітної дисципліни і ведення податкового та бухгалтерського обліку. У програму може бути включено від 10 до 30 питань. Основними з них є:
1) правильність відображення в бухгалтерському обліку результатів попередньої перевірки;
2) дотримання положень інвентаризації і правильність відображення у звітності її результатів;
3) повнота відображення в обліку валових доходів підприємства;
4) достовірність відображення в обліку валових витрат підприємства:
5) правильність відображення в обліку сум кредиторської та дебіторської заборгованості;
6) достовірність відображення в обліку податкових наслідків у зв'язку з операціями з основними фондами, правильність нарахування амортизації;
7) повнота і правильність нарахування та своєчасність внесення до бюджету ПДВ;
8) правильність обчислення та своєчасність розрахунків з бюджетом з акцизного збору.
Тематичні документальні перевірки проводяться за завданнями вищих за підпорядкуванням податкових органів.
З метою забезпечення наповнення доходної частини бюджету постає питання поліпшення системи адміністрування податків, що передбачає постійний контроль за своєчасністю та повнотою їх сплати суб'єктами господарювання. Основним джерелом наповнення бюджету повинна стати добровільна сплата, а основною функцією податкових органів – моніторинг цього процесу.
Взаємовідносини між органами державної податкової служби та платниками податків мають розвиватися у напрямі налагодження партнерства та зменшення втручання у господарську діяльність останніх. При цьому організація роботи органів державної податкової служби ґрунтується на таких принципах:
- неупереджене ставлення до платників податків та забезпечення максимального рівня сервісу під час їх обслуговування;
- максимальна автоматизація процесів адміністрування податків;
- орієнтація податкового аудиту на “ризикових” платників податків;
- застосування адекватних заходів до суб’єктів господарювання (далі – СГ), що ухиляються від сплати податків.
Органи державної податкової служби повинні забезпечити:
- своєчасність реагування на податкову поведінку платника податків;
- однаковий підхід до платників податків з однаковою податковою поведінкою.
Для забезпечення зазначеного органам державної податкової служби необхідно розподілити СГ за категоріями уваги. Таким чином, мета розподілу полягає в раціональному використанні трудових ресурсів та забезпеченні своєчасної та повної сплати податків і інших платежів.
При розподілі платників податків за категоріями уваги використовуються наступні терміни [26, с.6]:
1.1. Система адміністрування податків – ризико-орієнтована система, що складається із взаємопов’язаних елементів (цілей, функцій, сценаріїв, процедур, методів та дій) та орієнтована на забезпечення повноти та своєчасності сплати податків СГ.
1.2. Податкова поведінка - загальна характеристика СГ, що формується на основі встановлених перевірками фактів про дотримання чи порушення ним податкового та валютного законодавства та факторів, що вказують на податкові ризики за звітний період, який необхідно опрацювати.
1.3. Категорія уваги (коридор) – характеристика СГ відповідного рівня ризику та фіскальної важливості, сформована на основі критеріїв розподілу, визначених даним Порядком. За податковою поведінкою розрізняють такі категорії уваги:
Категорія 1 (“зелений коридор”) – сумлінні платники податків. Оцінюються позитивно, оскільки не порушують податкове законодавство, повністю та своєчасно сплачують податки.
Категорія 2 (“жовтий коридор”) – платники податків помірного ризику. У цілому оцінюються позитивно, оскільки не порушують податкового законодавства, повністю та своєчасно сплачують податки, але мають податкові ризики, що не підлягають усуненню (наприклад, здійснення зовнішньоекономічної, посередницької діяльності або діяльності, яка належить до “ризикових” галузей тощо).
Категорія 3 (“помаранчевий коридор”) – платники податків високого ризику. Оцінюються негативно в частині податкової поведінки, оскільки мають ознаки серйозних порушень податкового законодавства.
Категорія 4 (“червоний коридор”) – платники податків високого ризику з ознаками шахрайства. Оцінюються негативно, оскільки регулярно порушують податкове законодавство та мають ознаки шахрайства.
1.4. Критерій оцінки – ознака, за допомогою якої формується оцінка СГ.
1.5. Критерій розподілу – правило віднесення СГ до відповідної категорії уваги на основі оцінювання податкових ризиків або факторів ризику та сум валового доходу.
1.6. Податковий ризик – вірогідність порушення податкового законодавства СГ, у результаті чого можливі втрати надходжень до бюджету.
1.7. Фактор ризику – це обставини або результати діяльності СГ, що вказують на можливість існування податкових ризиків.
1.8. Індивідуальний індекс – величина відхилення показника діяльності певного СГ від середнього значення цього показника по всій сукупності СГ згідно з тим чи іншим критерієм оцінки.
1.9. Історичні індекси – оцінка відхилення показників діяльності окремого СГ від середнього значення аналогічних показників сукупності СГ за один і той же період, що не піддавався повній перевірці (за всіма ризиками) іншими методами, ніж камеральна перевірка:
1.10. Сценарій – послідовність дій адміністратора або виконавця щодо опрацювання податкової звітності.
1.11. Фіскальна важливість – оцінка СГ щодо рівня максимально можливих податкових зобов’язань по податках та зборах до бюджетів всіх рівнів від ведення господарської діяльності.
Визначення категорії уваги
СГ, що знаходяться на податковому обліку, оцінюються органами державної податкової служби за їх фіскальною важливістю, податковою поведінкою та залежно від характеристик галузі та регіону, в якому вони провадять свою діяльність.
Оцінці не підлягають ліквідовані та зняті з обліку СГ.
Оцінка кожного СГ здійснюється за чотирма критеріями:
а) за індивідуальною податковою поведінкою;
б) за ризиковістю господарювання СГ (за рівнем динамічних та структурних змін господарської діяльності);
в) за фіскальною важливістю;
г) за належністю до галузі та регіону, в якому здійснює діяльність СГ.
Супроводження органами державної податкової служби платників за категоріями уваги полягає у проведенні таких заходів.
Категорія уваги 1 – проведення масово-роз’яснювальної роботи з платниками податків, спрямованої на упередження порушень податкового законодавства, а також поліпшення і оновлення технологій, які сприятимуть встановленню партнерських відносин з сумлінними платниками податків.
Категорія уваги 2 – проведення постійного моніторингу діяльності СГ, які мають податкові ризики, що не підлягають усуненню (здійснення зовнішньоекономічної, посередницької діяльності, господарська діяльність, яка належить до “ризикових” галузей тощо) шляхом проведення кабінетного аудиту.
За супроводження декларацій платників – юридичних осіб 1 та 2 категорій уваги відповідають підрозділи оподаткування юридичних осіб.
Категорія уваги 3 – здійснення постійного моніторингу діяльності СГ, які регулярно порушують податкове законодавство, та проведення обов’язкового виїзного аудиту (тематичного, комплексного, планового, позапланового).
За супроводження декларацій платників – юридичних осіб 3 категорії уваги відповідають підрозділи податкового аудиту та валютного контролю.
За супроводження декларацій платників – фізичних осіб 1, 2 та 3 категорії уваги відповідають підрозділи оподаткування фізичних осіб, а документальні перевірки платників – фізичних осіб 3 категорії уваги – підрозділи документальних перевірок фізичних осіб.
За супроводження декларацій великих платників податків 1, 2 та 3 категорії уваги відповідають галузеві відділи.
Категорія уваги 4 – виявлення, попередження та руйнування схем мінімізації податкових зобов’язань та ухилень від сплати податків, встановлення осіб, задіяних у незаконній діяльності СГ, документування їх діяльності, збір необхідної доказової бази з метою притягнення до кримінальної відповідальності, збір інформації для ініціювання ліквідації СГ у судовому порядку.
За супроводження декларацій платників 4-ї категорії уваги відповідають підрозділи податкової міліції.
Для ефективного адміністрування податків в умовах збільшення кількості платників податків органи державної податкової служби повинні зосередити свою увагу на платниках податків високої (3 та 4) та помірної (категорія 2) категорій уваги.
Система адміністрування податків повинна ґрунтуватися на таких принципах:
- виконання відбору СГ та визначення категорій уваги в автоматизованому режимі;
- проведення документальних перевірок заявлених до відшкодування сум податку на додану вартість тільки у платників з високим ступенем ризику;
- проведення планових виїзних документальних перевірок вже після здійснення відшкодування сум податку на додану вартість у платників податків з помірним ступенем ризику.
2.4 Аналіз впливу стягнення податків на фінансово-господарчу діяльність сільськогосподарських підприємств (на прикладі ТОВ “УНІРЕМ-АГРО” за 2002 – 2004 роки)
2.4.1 Загальна характеристика діяльності сільськогосподарського підприємства ТОВ “УНІРЕМ-АГРО” (платник податків в Дніпродзержинській та Криничанській районних інспекціях Дніпропетровської області)
Товариство з обмеженою відповідальністю "Унірем-Агро" (далі по змісту "Товариство”), засноване установчими зборами учасників від 12 лютого 2001р. і діє на основі самоврядування, законності та гласності, здійснює свою діяль-ність на підставі Конституції України, чинного законодавства, Законів України "Про власність", "Про господарські товариства"[9,с.4] та Господарського кодексу України [2, с.12].
Товариство з обмеженою відповідальністю «Унірем-Агро» зареєстроване виконавчим комітетом Дніпродзержинської міської ради 12.02.2001р. реєстра-ційна справа 04052072Ю0020317, ідентифікаційний код 31329842.
Учасниками Товариства є:
- громадянка України Черниш Любов Павлівна, що мешкає за адресою: м.Дніпродзержинськ, вул.Дунайська, 41а-1-20, паспорт АЕ № 779461, виданий Баглїйським РВ Дніпродзержинського МУ УМВС України у Дніпропетровській обл. 04 вересня 1997р., іден.№ 2083710122;
- громадянин України Фесун Віктор Васильович, що мешкає за адресою: м.Дніпродзержинськ, вул.Санаторна,68-б, паспорт АЕ № 328279, виданий Дніпровським РВ Дніпродзержинського МУ УМВС України у Дніпропетровській обл. 21 червня 1996р., іден.№ 1992408112;
- юридична особа - товариство з обмеженою відповідальністю "Унірем", місцезнаходження: м.Дніпродзержинськ, пров.Більшовицький, 4в, код 24987040, в особі директора товариства Фесуна Віктора Васильовича.
Найменування Товариства: на українській мові
Повне -Товариство з обмеженою відповідальністю "Унірем-Агро"
Скорочене - ТОВ "Унірем-Агро"
Юридична адреса Товариства:
Україна, Дніпропетровська область, м.Дніпродзержинськ, Більшовицький провулок, буд. 4-а.
Товариство створено з метою:
- насичення ринку товарами, послугами та одержання на підставі цього Прибутку;
- проведення господарської та іншої діяльності (відповідно з предметами діяльності), задоволення на основі отриманого прибутку соціальних та еконо-мічних інтересів членів колективу Товариства та Учасників Товариства.
Предметом діяльності Товариства є :
- Виробництво продуктів рослинництва.
- Вирощування зернових та зернобобових культур.
- Вирощування технічних культур.
- Вирощування олійних культур.
- Вирощування картоплі, баштанних культур, овочів.
- Виробництво продуктів тваринництва:
молоко, яйця, мед;велика рогата худоба, свині, вівці, птахи, кролі та інша жива худоба.
- Послуги в сільському господарстві по обробленню полів і насіння, посіву і садінню культур, збирання врожаю, сортуванню, очистці, охолодженю і зберіганню продукції.
- Надання послуг сільськогосподарською технікою разом із обслуговуючим персоналом.
- Агрохімічне обслуговування.
- Авіаційно-хімічні роботи.
- Вирощування ставної риби,
- Виловлювання ставної, озерної, річної риби, ракоподібних, молюсків.
- Переробка сільгоспродукції:
а) заморожене м'ясо, сухі, солоні, копчені м'ясопродукти, ковбасні вироби;
б) перероблена і консервована риба, ракоподібні і молюски;
в) перероблена і консервована картопля, фрукти і овочі, соки, фруктово-овочеві консерви;
г) олія, жири, маргарин;
д) молочні продукти, морозиво;
е) борошно, крупи, корми для тварин;
ж) хлібобулочні, кондитерські вироби, макарони;
з) пиво, прохолодні та акогольні напої.
- Надання платних послуг юридичним і фізичним особам по ремонту техніки, товарів народного споживання, простуванню, будівництву та реконструкції будівель та споруд, тощо.
- Закупівля та реалізація товарів народного споживання та продукції виробничо-технічного призначення, організація діяльності закладів громадського харчування.
- Надання комісійних, агентських та інших посередницьких послуг.
- Дрібнооптова, роздрібна, комісійна, фірмова торгівля товарами народного споживання та продукцією виробничо-технічного призначення, паливно-мастильними матеріалами, алкогольними напоями і тютюновими виробами.
- Заготівля, переробка металобрухту чорних та кольорових металів,
- Митно-брокерські та дилерські операції на товарних та фондових біржах, позабіржові операції.
- Експортно-імпортні (у т.ч. товарообмінні) операції та інші види зовнішньоекономічної діяльності.
- Організація складського господарства.
- Ремонт та будівництво житла, об'єктів виробничого призначення, соцкультпобуту.
- Ремонт та сервісне обслуговування транспортних засобів, медичної, обчислювальної, сільськогосподарської техніки, об'єктів виробничо-технічного призначення.
- Організація та проведення виставок, аукціонів, презентацій, концертів, ярмарок.
- Купівля та продаж, обмін житла та іншої нерухомості.
- Торгівля транспортними засобами» у тому числі автомобілями, мотоциклами, сільсько-господарською технікою та інше.
- Проектні роботи.
- Монтаж, ремонт та профілактичне обслуговування охоронної сигналізації.
- Інформаційні та консультаційні послуги.
- Проведення науково-дослідних, науково-технічних, проектно-пошуко-вих, дослідно-експериментальних, природозберігаючих, конструкторсько-технологічних та інших робіт в усіх галузях науки та техніки, у тому числі у сільськогосподарській галузі.
- Видавнича, множильно-копіювальна та рекламно-інформаційна діяльність,
- Надання послуг, пов'язаних з охороною державної та іншої власності, надання послуг з охорони громадян.
- Організація внутрішнього та зарубіжного туризму, екскурсійна діяльність.
- Фізкультурно-оздоровча та спортивна діяльність, організація та проведення спортивних занять професіоналів та любителів спорту, діяльність з підготовки спортсменів до змагань з різних видів спорту.
- Організація та проведення курсів, семінарів, лекцій за тематикою, шо не заборонена чинним законодавством.
- Організація та проведення азартних ігор, видовищних заходів, діяльність у галузі шоу-бізнесу. концертна діяльність,
- Посередництво у працевлаштуванні на роботу в Україні та за кордоном. - Організація культурно-масової, літературно-мистеиької, видавнииької роботи.
- Інша будь-яка господарська діяльність, яка не суперечить чинному законодавству України і сприяє досягненню мети діяльності Товариства.
Ліцензійні види діяльності здійснюються після отримання ліцензії або сертифікату на право виконання робіт.
Здійснюючи зазначені види діяльності, Товариство має право в Україні та за її межами:
- самостійно вести експортні та імпортні операції на зовнішньому ринку, необхідні для його господарської діяльності:
- виконувати операції в будь-якій валюті на внутрішньому ринку, прий-мати участь в оптової торгівлі продукцією виробничо-технічного призначення, брати участь в аукціонах, у тому числі валютних, здійснювати збутові операції у формі бартерних справ, як на внутрішньому, так і на зовнішньому ринках, керуючись діючим списком ліцензованих товарів:
- здобувати та надавати права на володіння та використання охорон-ної документації, інтелектуальної власності, технічної інформації;
- закупати у населення сільгосппродукцію, інші матеріальні цінності, у тому числі за готівку;
- самостійно витрачати свої грошові кошти, зараховані на його рахунки в установах банків: використовувати кредити у встановленому порядку, у тому числі з використанням облігаційної позики;
- добровільній основі вступати в об”єднання з іншими підприємствами, організаціями, незалежію від виду власності;
- брати участь у створені та діяльності спільних підприємств, міжнарод-них об'єднань за участю іноземних представників для вирішення питань, пов'язаних з діяльністю Товариства:
- відкривати салони, магазини, склади-магазини по торгівлі сільгоспро-дукцією будь-якого асортименту; організовувати складські приміщення для зберігання продукції та її подальшого збуту оптом та в роздріб;
ЮРИДИЧНИЙ СТАТУС
Товариство є юридичною особою відповідно до чинного законодавства України і має всі ознаки, які належать юридичній особі. Товариство функціонує як єдина господарська структура.
Філії (відділення) та представництва Товариства не є юридичними особами і діють підставі положень, що затверджуються Зборами Учасників Товариства.
МАЙНО ТОВАРИСТВА
Майно Товариства становлять закріплені за ним основні фонди та обігові кошти, а також інші цінності, вартість яких відображається у його самостійно-му балансі і яке належить йому на праві власності.
Для забезпечення діяльності Товариства створюється Статутний капітал у розмірі 1 672 000 (один мільйон шістьсот сімдесят дві тисячі) грн., що складається з вартості вкладів учасників Товариства.
Вкладами Учасників Товариства можуть бути грошові кошти, будинки, споруди, обладнання та інші матеріальні цінності, цінні папери, права користування землею та іними природними ресурсами, будинками, спорудами, обладнанням, а також інші майнові права.
Вклади Учасників до Статутного капіталу Товариства складають:
а) ТОВ "Унірем" - 1 546 600 (один мільйон п'ятсот сорок шість тисяч шістьсот) грн., що складає 92,5% (дев'яносто дві цілих п'ять десятих відсотка);
б) Черниш Любов Павлівна - 41 800 (сорок одна тисяча вісімсот) грн., що складає 2,5% (два цілих п'ять десятих відсотка);
в) Фесун Віктор Васильович - 83 600 (вісімдесят три тисячі шістсот) грн., що складає 5% (п'ять відсотків).
Учасники Товариства мають право:
- приймати участь в управлінні справами Товариства, у порядку, передба-ченому Статутом;
- одержувати частину прибутку (дивіденди) від діяльності Товариства, розподіляємого пропорційно часткам у Статутному капіталі;
- одержувати повну інформацію про діяльність Товариства, знайомитися з даними бухгалтерського обліку, звітності та з іншою докуметацією, у порядку, який не заважає нормальній діяльності Товариства.
Учасники мають переважне право на отримання продукції (робіт, послуг), виробляємої Товариством, крім того, Учасники користуються усіма правами згідно з чинним законодавством України.
Учасники Товариства зобов'язані;
- вносити внески до Статутного капіталу у розмірах, формі та порядку, передбаченому цим Статутом;
- додержуватись вимог Статуту;
- не розголошувати конфіденційну інформацію про діяльність Товариства;
- виконувати прийняті обов'язки, покладені на них рішенням зборів Учасників;
- сприяти Товариству у здійсненні статутної діяльності, стежити за доцільним витрачанням коштів Товариства.
Учасники володіють наступною кількістю голосів:
- ТОВ "Унірем"-92,5% (дев'яносто дві цілих п'ять десятих відсотка) голосів;
- Черниш Любов Павлівна-2,5% (два цілих п'ять десятих відсотка) голосів;
- Фесун Віктор Васильович -5% (п'ять відсотків) голосів,
Товариство створює резервний фонд у розмірі 25% Статутного фонду, який формується за рахунок щорічних відрахувань від чистого прибутку не менш як 5%.
Таблиця 2.4
Реєстраційні дані ТОВ “УНІРЕМ-АГРО” в ДПІ у м.Дніпродзержинську
| Код ЄДРПОУ: |
31329842 |
| Назва українською мовою: |
ТОВ "УНІРЕМ-АГРО" |
| Місце основної реєстрації в органах податкової служби: |
403ДПI У МIС.ДНIПРОДЗЕРЖИНСЬКУ (М.ДНIПРОДЗЕРЖИНСЬК) |
| Дата основної реєстрації в ДПА: |
14.02.2001 |
| Номер основної реєстрації в ДПА: |
№52 |
| Статус: |
перебуває на облiку |
| Ризики |
| Категорія уваги: |
Зелена |
| Має платежі |
| Код інспекції |
Назва інспекції |
Дата реєстрації |
Номер реєстрації |
| 419 |
КРИНИЧАНСЬКА МIЖРАЙОННА ДПI (КРИНИЧАНСЬКИЙ Р-Н) |
15.03.2001 |
456 |
| 403 |
ДПI У МIС.ДНIПРОДЗЕРЖИНСЬКУ (М.ДНIПРОДЗЕРЖИНСЬК) |
14.02.2001 |
52 |
| Стан платника |
| ОСНОВНИЙ ПЛАТНИК |
| Дата реєстрації в держадміністрації: |
12.02.2001 |
| Орган державної реєстрації: |
(4052072)ВИКОНАВЧИЙ КОМIТЕТ ДНIПРОДЗЕРЖИНСЬКОЇ МIСЬКОЇ РАДИ ЗАВОДСЬКИЙ ДНIПРОПЕТРОВСЬКА |
| Статутний фонд (в грн.): |
1672000,00 |
| Орган управління: |
(7794)УКРАЇНСЬКI МIЖГАЛУЗЕВI ОБ'ЄДНАННЯ, КОНСОРЦIУМИ, АСОЦIАЦIЇ, АКЦIОНЕРНI ТОВАРИСТВА,ТОРГОВI БУДИНКИ ТА IНШI ОРГАНIЗАЦIЇ, СТВОРЕНI НА ДОБРОВIЛЬНIЙ ОСНОВI |
| Організаційно-правова форма: |
(240)ТОВАРИСТВО З ОБМЕЖЕНОЮ ВIДПОВIДАЛЬНIСТЮ |
| Кількість співробітників: |
40 |
| Тип платника податків: |
ГОЛОВНЕ ПІДПРИЄМСТВО |
| Форма власності: |
(10)ПРИВАТНА ВЛАСНIСТЬ |
| Форма фінансування: |
(2)ГОСПРОЗРАХУНОК |
| Сільськогосподарська Дільниця |
Смт.Адамівка |
| Платежі (419 –Криничанська МДПІ) |
ПЛАТЕЖІ 1406/1604/5008 ВИРОЩУВАННЯ ЗЕРНОВИХ КУЛЬТУР |
2.4.2 Аналіз складу і джерел утворення майна (активів) та фінансових результатів діяльності ТОВ “УНІРЕМ-АГРО”
Аналіз фінансово-економічного стану підприємства і керування його фі-нансами проводиться на основі його фінансових звітів [23,c.5]. Метою фінансових звітів є структурована економічна інформація про фінансовий стан, результати діяльності і зміни у фінансовому стані підприємства, що є корисної для менеджменту підприємства у прийнятті ними економічних рішень :
Форма №1 “Баланс” – звіт про фінансовий стан, що відображає активи, зобов'язання і капітал підприємства на встановлену дату [24, c.3].
Форма №2 “Звіт про фінансові результати”, що містить дані про доходи, витрати і фінансові результати діяльності підприємства за звітний і попередній періоди [25, c.3].
У табл. В.1, В.2 Додатку В приведена динаміка статей балансу ТОВ “УНІРЕМ-АГРО” за 2002 - 2004 роки та динаміка статей звітів про фінансові результати за 2002 - 2004 роки.
На рис.2.5 – 2.6 наведені результати аналізу динаміки структури статей активів та пасивів балансу ТОВ “УНІРЕМ-АГРО” за 2002 -2004 роки.
Як видно з аналізу графіків рис.2.5 – 2.6 :
статутний капітал займає долю 45,1%(2002) – 24,2%(2004) в структурі джерел (пасивів) та відіграє суттєву роль в діяльності підприємства;
практично половину основних джерел в пасивах займає власний капітал, тобто статутний +додатковий накопичений за роки роботи капітал, доля якого становить:
а) 76,2% пасивів в 2002 році, цілком вкладений в необоротні активи, які займають долю 77,75% в балансі активів;
б) 48,4% пасивів в 2003 році, цілком вкладений в необоротні активи, які займають доля 67,6% в балансі активів;
в) 52,6% пасивів в 2004 році, цілком вкладений в необоротні активи, які займають долю 67,3% в балансі активів;
негативним є факт повної відсутності власного оборотного капіталу, оскільки весь власний капітал імобілізований в необоротних активах;
також негативним фактом є вкладення частини залученого позикового капіталу в необоротні активи, що може створювати проблеми з платоспроможностю підприємства при поверненні позичених коштів;
У табл.В.3, В.4 Додатку В представлені результати вертикального і гори-зонтального аналізу балансів підприємства ТОВ «УНІРЕМ-АГРО» за 2002 - 2004 роки , що дозволяють аналізувати як динаміку зміни сум статей балансу підприємства протягом року по кварталах, так і досліджувати зміну внутріш-ньої структури статей балансу [41, c.35].
Порівняльний аналіз динаміки змін агрегатів пасиву балансів ТОВ “УНІРЕМ-АГРО” у 2002 – 2004 роках (рис.2.7) дає наступні результати :- у 2002 –2003 роках при загальному рості валюти балансу на +78,9 % (з 3,71 млн.грн. до 6,63 млн.грн.), власний капітал зріс на + 13,6 % (з 2,823 млн.грн. до 3,208 млн.грн.) за рахунок прибутку 2003 року в 0,38 млн.грн. та переведення всієї суми прибутку 2002 року в статутний та резервний капітали;
у 2003 –2004 при продовженні загального росту валюти балансу на + 4,24 % (з 6,63 млн.грн. до 6,91 млн.грн.), власний капітал зріс на -13,3 % (з 3,2 млн.грн. до 3,63 млн.грн.) за рахунок прибутку в 0,426 млн.грн. та переведення всього прибутку 2003 року в 0,38 млн.грн. в резервний капітал;
у 2002 –2004 роках структурна доля довгострокових кредитів банків, які прирівнюються за стійкістю до власного капіталу становила 21,5% (2002), 20,9% (2003) та 18,7%(2004) від валюти балансу, при цьому у 2003 та 2004 роках довгострокові кредити були імобілізовані в необоротні кошти, оскільки власного капіталу на ці цілі не вистачало;
у 2002 –2003 кредиторська заборгованість різко зросла з 2 тис.грн. (2002) до 1,5 млн.грн. (2003 рік), зайнявши долю в 22,74% від валюти баланса, але у 2004 році кредиторська заборгованість різко впала до 73,3 тис.грн., оскільки підприємство перейшло на видачу векселей при погашенні кредиторської заборгованості, яких було у 2004 році видано на суму 1,2 млн.грн., що становить долю в 17,4 % від валюти балансу;
У такий спосіб підприємство ТОВ “УНІРЕМ-АГРО” в 2002 – 2004 роках максимально впроваджує у своїй діяльності механізми фінансових важелів у вигляді довгострокових банківських позичкових коштів та комерційних позичок (видані векселі та кредиторська заборгованість).
Порівняльний аналіз динаміки змін агрегатів активу балансів ТОВ “УНІРЕМ-АГРО” у 2002 – 2004 роках (рис.2.5 - 2.7) дає наступні результати:
в 2003 році необоротні активи зросли на +55,5% відносно рівня 2002 року за рахунок руху основних фондів(з 2,88 млн.грн. до 4,48 млн.грн.), в 2004 році необоротні активи відносно рівня 2003 році додатково зросли на +3,8%(з 4,48 млн.грн. до 4,65 млн.грн);
рух основних фондів за рахунок придбання сільськогосподарської техніки дуже інтенсивний, при цьому знос за 2003 рік зріс на 73,4% відносно зносу 2002 року, а у 2004 році знос зріс ще на 40% відносно рівня 2003 року, при цьому придбання(оновлення) основних засобів випереджало темпи росту зносу основних фондів;
в 2003 році доля необоротних фондів в валюті балансу активів змен-шилась з 77,7 % (2002) до 67,6% (2003) та залишилася практично на тому ж рівні 67,3% у 2004 році, тобто основні фонди займають дві третини активів балансу, що характерно для сільскогосподарських підприємств;
в 2003 році доля виробничих запасів в валюті балансу активів становила 0,75%, що дорівнює долі запасів у 2002 році, а у 2004 році доля виробничих запасів зменшилась до 0,04% від валюти балансу;
в 2003 році доля незавершеного виробництва в валюті балансу активів зменшилась до 7,3%, при рівні 15,1% у 2002 році, а у 2004 році доля незавершеного виробництва залишилась на рівні 7,6% від валюти балансу;
в 2003 році доля готової продукції в валюті балансу активів зросла з 4,0%(2002 - базовий період) до 5,41% при зростанні суми готової продукції на + 141,4% (з 0,149 млн.грн. до 0,359 млн.грн.), в 2004 році доля готової продукції в валюті балансу активів зросла до 6,4%(з 0,359 млн.грн. до 0,442 млн.грн.);
в 2003 році ТОВ “УНІРЕМ-АГРО” активно почало впроваджувати реалізацію сільськогосподарської продукції бартерним обміном на промислові товари, які потім реалізовувало. Так у 2003 році доля товарів з нульової відмітки 2002 року піднялася до 15,1% від валюти балнсу, а у 2004 році зросла до рівня 16,0% від валюти балансу
в 2003 році доля дебіторської заборгованості за відпущену продукцію зменшилась в валюті балансу активів з 1,0%(2002 - базовий період) до 0,3%, в 2004 році доля дебіторської заборгованості за відпущену продукцію підвищилась до 1,8 % , але на фоні бартерного товарного обміну є в десяток раз меншою;
Таким чином, проведений аналіз активів валюти балансу свідчить, що зростання валюти балансу пропорційно зростанню основних необоротних фондів, а в структурі оборотних фондів реалізована бартерна схема реалізації продукції з мінімумом дебіторської заборгованості та практичною відсутністю грошових коштів.
При аналізі фінансових результатів діяльності використані Положення (стандарт) бухгалтерського обліку "Звіт про фінансові результати" (Форма 2), що обумовлюють зміст і форму Звіту , а також загальні вимоги до розкриття його статей [25, c.4].
Результати вертикально-горизонтального аналізу звіту про фінансові результати за 2003 рік та , відповідно, за 2002 рік (базовий) наведені в табл.В.5 Додатку В, результати 2004 року та , відповідно, за 2003 рік (базовий) – в табл. В.6 Додатку В. Характер динаміки зміни показників доходів та витрат у 2002 – 2004 роках наведений в діаграмах рис.2.8,2.9.
Як показує аналіз графіків рис.2.8, 2.9 у 2002 – 2004 роках , при загаль-ному зростанні валюти балансу у підприємства зафіксована стабілізація та деяке падіння обсягів реалізації продукції, що є негативним ефектом розвитку підприємства ТОВ “УНІРЕМ-АГРО”, оскільки зростання валюти балансу, як відмічено йде за рахунок росту необоротних фондів, то фондовіддача падає.
Використовуючі алгоритми розрахунків показників діяльності підприєм-ства [33, c.26] з використанням форм фінансової звітності – Форма 1 “Баланс” та Форма 2 “Звіт про результати фінансової діяльності” в “електронних” таблицях EXCEL-2000 розраховані коефіцієнти – показники фінансового стану дочірнього ТОВ “УНІРЕМ-АГРО” за 2002 –2004 роки (Додаток З) та наведені графіками на рис.2.10 – 2.15.
Рис.2.8 Динаміка та структура витрат (долі в формуванні собівартості) в ТОВ “УНІРЕМ-АГРО” за 2002 –2004 роки
 Рис.2.9 Динаміка та структура формування прибутку в ТОВ “УНІРЕМ-АГРО” за 2002–2004 роки
Динаміка стану виконання нормативів ліквідності в ТОВ “УНІРЕМ-АГРО” за 2002 –2004 роки (Рис.2.10) характеризується :
- виконання нормативу загальної ліквідності (>1,0);
катастрофічним невиконанням нормативів строкової та моментальної ліквідності, що пов’язано з переходом на бартерну систему реалізації продукції з доплатами грошами, які тут же використовуються на покриття кредиторської заборгованості та оплату векселів;
Динаміка стану виконання нормативів фінансової стійкості в дочірньому ТОВ “УНІРЕМ-АГРО” за 2002 –2004 роки (Рис.2.11) характеризується :
- зниженням запасу коефіцієнту фінансової незалежності до нижної
границі нормативу (>0,5);
- виконанням нормативу фінансової стійкості ;
- нестачею з власних оборотних коштів, оскільки весь власний
капітал є забезпеченням необоротних активів;
Динаміка рентабельності активів та власного капіталу в ТОВ “УНІРЕМ-АГРО” за 2002 –2004 роки (Рис.2.12 ) характеризується зниженням всіх показників рентабельності у 2003 році на 20–60% при різкому рості валюти балансу та стабілізацією досягнутих рівней рентабельності 2003 року і в 2004 році при додатковому невеликому рості валюти балансу.
При цьому досягнуті рівні рентабельності 2004 року становлять :
рентабельність активів по валовому прибутку – 6,8%;
рентабельність власного капіталу по валовому прибутку – 12,93%;
що на рівні альтернативної прибутковості капіталу по депозитним ставкам банків (12 –14 %) робить підприємство інвестиційно привабливим, хоча період окупності власного капіталу становить 8,7 років, що привабливо тільки для довгострокових інвестицій.
Динаміка стану показників ділової активності в ТОВ “УНІРЕМ-АГРО” за 2002 –2004 роки (Рис.2.13 ) характеризується :
різким підвищенням строків оборотності агрегатів активів та пасивів у 2003 році в 2-3 рази при різкому зростанні валюти балансу, що характеризує зниження темпів ділової активності;
реалізацією у 2004 році більш швидкої оборотності основних агрегатів балансу та ліквідація різкого росту кредиторської заборгованості переходом на видачу векселів;
Динаміка показників використання активів та основних засобів в ТОВ “УНІРЕМ-АГРО” за 2002 –2004 роки (Рис.2.14) характеризується:
зниженням практично в 2 рази рівней фондовіддачі основних засобів в
виручку та рівня трансформації активів у виручку від реалізації
продукції з рівня 0,45 –0,58(2002 рік) до 0,24-0,35 (2004 рік), що
характеризує екстенсивний шлях розвитку підприємства;
низким рівнем зносу основних фондів (11-16%) при різкому їх оновленні на 57,5 % у 2003 році, тобто основні фонди характеризуються як нові ( при зносі до 25%);
Характеристики фінансової стійкості по покриттю запасів в ТОВ “УНІРЕМ-АГРО” за 2002 –2004 роки (Рис.2.15) свідчать про сталу нестачу власного капіталу та довгострокових банківських кредитів для покриття запасів, що загрожує кризовим фінансовим станом при сбоях в реалізації продукції.
2.4.3 Вплив податків на фінансово-господарську діяльність ТОВ “УНІРЕМ-АГРО”
Згідно результатам аналізу сум податків, які сплачувало досліджуване ТОВ “УНІРЕМ-АГРО” в 2002 - 2004 роках (табл. Г.1 – Г.4 Додатку Г), за структурою вони розподіляються відносно загальної суми податків як :
Таблиця 2.5
Структура сплачених податків в собівартості продукції ТОВ “УНІРЕМ-АГРО” та податкове навантаження на прибуток
| Код податку |
Назва податку |
2002 рік (тис.грн.) |
2003 рік (тис.грн.) |
2004 рік (тис.грн.) |
| 1604 |
Фіксований СГП |
5,46 |
5,6 |
5,95 |
| 1305 |
Орендна плата |
8,83 |
7,5 |
6,76 |
| 5002 |
Страхові внески в Пенсійний фонд |
11,4 |
2,47 |
13,18 |
| 5003 |
Страхові внески в соціальні фонди |
0,336 |
0,047 |
0,396 |
| 5008 |
Збір за забруднення навколишнього середовища |
0,541 |
0,126 |
1,1 |
| Усього податків в собівартості |
26,567 |
15,743 |
27,386 |
| Чистий прибуток |
565,1 |
381,75 |
416,12 |
| Процентне навантаження податків в собівартості на чистий прибуток |
4,70 % |
4,12 % |
6,58 % |
| Процентне навантаження фіксованого сільгосп-податку в собівартості на чистий прибуток |
0,97 % |
1,47 % |
1,43 % |
Таким чином, проведений аналіз фінансового стану, ділової активності та податкового навантаження в ТОВ “УНІРЕМ-АГРО” за 2002 – 2004 роки показав, що :
статутний капітал займає долю 45,1%(2002) – 24,2%(2004) в структурі джерел (пасивів) та відіграє суттєву роль в діяльності підприємства;
практично половину основних джерел в пасивах займає власний капітал, тобто статутний +додатковий накопичений за роки роботи капітал, доля якого становить:
а) 76,2% пасивів в 2002 році, цілком вкладений в необоротні активи, які займають долю 77,75% в балансі активів;
б) 48,4% пасивів в 2003 році, цілком вкладений в необоротні активи, які займають доля 67,6% в балансі активів;
в) 52,6% пасивів в 2004 році, цілком вкладений в необоротні активи, які займають долю 67,3% в балансі активів;
негативним є факт повної відсутності власного оборотного капіталу, оскільки весь власний капітал імобілізований в необоротних активах;
також негативним фактом є вкладення частини залученого позикового капіталу в необоротні активи, що може створювати проблеми з платоспроможностю підприємства при поверненні позичених коштів;
у 2002 –2003 роках при загальному рості валюти балансу на +78,9 % (з 3,71 млн.грн. до 6,63 млн.грн.), власний капітал зріс на + 13,6 % (з 2,823 млн.грн. до 3,208 млн.грн.) за рахунок прибутку 2003 року в 0,38 млн.грн. та переведення всієї суми прибутку 2002 року в статутний та резервний капітали;
у 2003 –2004 при продовженні загального росту валюти балансу на + 4,24 % (з 6,63 млн.грн. до 6,91 млн.грн.), власний капітал зріс на -13,3 % (з 3,2 млн.грн. до 3,63 млн.грн.) за рахунок прибутку в 0,426 млн.грн. та переведення всього прибутку 2003 року в 0,38 млн.грн. в резервний капітал;
у 2002 –2004 роках структурна доля довгострокових кредитів банків, які прирівнюються за стійкістю до власного капіталу становила 21,5% (2002), 20,9% (2003) та 18,7%(2004) від валюти балансу, при цьому у 2003 та 2004 роках довгострокові кредити були імобілізовані в необоротні кошти, оскільки власного капіталу на ці цілі не вистачало;
У такий спосіб підприємство ТОВ “УНІРЕМ-АГРО” в 2002 – 2004 роках максимально впроваджує у своїй діяльності механізми фінансових важелів у вигляді довгострокових банківських позичкових коштів та комерційних позичок (видані векселі та кредиторська заборгованість).
Проведений аналіз активів валюти балансу свідчить, що зростання валюти балансу пропорційно зростанню основних необоротних фондів, а в структурі оборотних фондів реалізована бартерна схема реалізації продукції з мінімумом дебіторської заборгованості та практичною відсутністю грошових коштів.
Стану виконання нормативів ліквідності в ТОВ “УНІРЕМ-АГРО” за 2002 –2004 роки характеризується :
- виконання нормативу загальної ліквідності (>1,0);
катастрофічним невиконанням нормативів строкової та моментальної ліквідності, що пов’язано з переходом на бартерну систему реалізації продукції з доплатами грошами, які тут же використовуються на покриття кредиторської заборгованості та оплату векселів;
Стан виконання нормативів фінансової стійкості в ТОВ “УНІРЕМ-АГРО” за 2002 –2004 роки характеризується :
- зниженням запасу коефіцієнту фінансової незалежності до нижної границі нормативу (>0,5);
- виконанням нормативу фінансової стійкості ;
- нестачею з власних оборотних коштів, оскільки весь власний капітал є забезпеченням необоротних активів;
Рентабельності активів та власного капіталу в ТОВ “УНІРЕМ-АГРО” за 2002 –2004 роки характеризується зниженням всіх показників рентабельності у 2003 році на 20–60% при різкому рості валюти балансу та стабілізацією досягнутих рівней рентабельності 2003 року і в 2004 році при додатковому невеликому рості валюти балансу.
При цьому досягнуті рівні рентабельності 2004 року становлять :
рентабельність активів по валовому прибутку – 6,8%;
рентабельність власного капіталу по валовому прибутку – 12,93%;
що на рівні альтернативної прибутковості капіталу по депозитним ставкам банків (12 –14 %) робить підприємство інвестиційно привабливим, хоча період окупності власного капіталу становить 8,7 років, що привабливо тільки для довгострокових інвестицій.
Стан показників ділової активності в ТОВ “УНІРЕМ-АГРО” за 2002 –2004 роки характеризується :
різким підвищенням строків оборотності агрегатів активів та пасивів у 2003 році в 2-3 рази при різкому зростанні валюти балансу, що характеризує зниження темпів ділової активності;
реалізацією у 2004 році більш швидкої оборотності основних агрегатів балансу та ліквідація різкого росту кредиторської заборгованості переходом на видачу векселів;
Показники використання активів та основних засобів в ТОВ “УНІРЕМ-АГРО” за 2002 –2004 роки характеризується: зниженням практично в 2 рази рівней фондовіддачі основних засобів в виручку та рівня трансформації активів у виручку від реалізації продукції з рівня 0,45 –0,58(2002 рік) до 0,24-0,35 (2004 рік), що характеризує екстенсивний шлях розвитку підприємства; низким рівнем зносу основних фондів (11-16%) при різкому їх оновленні на 57,5 % у 2003 році, тобто основні фонди характеризуються як нові( при зносі до 25%).
Рівень характеристик фінансової стійкості по покриттю запасів в ТОВ “УНІРЕМ-АГРО” за 2002 –2004 роки свідчить про кризисну нестачу власного капіталу та довгострокових банківських кредитів для покриття запасів, що загрожує кризовим фінансовим станом при сбоях в реалізації продукції.
Сумарне процентне навантаження податків в собівартості на чистий прибуток зросло з 4,7% у 2002 році до 6,6% у 2004 році, в основному за рахунок зборів в пенсійний фонд із зростаючого фонду оплати праці найманих праців-ників.
Процентне навантаження фіксованого сільгоспподатку в собівартості на чистий прибуток становить від 1,0 до 1,5% від чистого прибутку.
Розділ 3. Шляхи вдосконалення механізму оподаткування сільськогосподарських підприємств
3.1 Динаміка структурної долі фіксованого сільськогосподарського податку в податкових надходженнях по ДПІ в м.Дніпродзержинську та по Дніпропетровській області
В табл.3.1 наведені статистичні результати аналізу надходжень до місцевих бюджетів у 2004 році по Дніпропетровській області, в якій динаміка загаль-ної чисельності платників податків у 2002 –2004 роках становить:
а) В Дніпропетровській області :
зареєстрованих платників податків – юридичних осіб – 60 431 у 2002 році та 58890 у 2004 році;
з них фактично сплачували податки (юридичні особи) – 40 772 у 2002 році та 44874 у 2004 році;
зареєстрованих платників податків – фізичних осіб(підприємців) –
124 698 у 2002 році та 93 326 у 2004 році;
з них фактично сплачували податки (фізичні особи- підприємці) – 109070 у 2002 році та 73 762 у 2004 році;
б) В ДПІ у м.Дніпродзержинську :
зареєстрованих платників податків – юридичних осіб – 4 139 у 2002 році та 3 257 у 2004 році;
з них фактично сплачували податки (юридичні особи) – 2 791 у 2002 році та 1 493 у 2004 році;
зареєстрованих платників податків – фізичних осіб(підприємців) – 11473 у 2002 році та 10 011 у 2004 році;
з них фактично сплачували податки (фізичні особи- підприємці) – 10744 у 2002 році та 6 875 у 2004 році;
Станом на 01.01.2005 року в Дніпропетровській області зареєстровано 3021 сільськогосподарський суб”єкт підприємницької діяльності, який вико-ристовує спрощену систему оподаткування – фіксований сільськогосподарсь-кий податок (або 5,14 % від загальної чисельності СГД-юросіб в області).
Якщо ставки земельного податку з одного гектара сільськогосподарських угідь установлено ч. 1 ст. 6 Закону „Про плату за землю” у відсотках від їх грошової оцінки у розмірах:
– для ріллі, сіножатей, пасовищ – 0,1 %;
– для багаторічних насаджень – 0,03 %,
То ставки фіксованого сілськогосподарського податку з одного гектара сільськогосподарських угідь установлено Законом „Про фіксований сільсько-господарський податок” у відсотках від їх грошової оцінки у розмірах:
– для ріллі, сіножатей, пасовищ – 0,15 %;
– для багаторічних насаджень – 0,09 %.
Таким чином ФСП, аналогічно земельному податку, має природу рент-ного податка з нормативної родючості сільськогосподарських угідь та погли-нає в собі земельний податок, як одну - дві третини від ФСП.
Станом на 01.02.2005 року по Дніпропетровській області 406 СГД мали недоїмку по фіксованому сільськогосподарському податку на загальну суму (-1 576 366 грн.), а інші СГД мали сумарну переплату по ФСП на суму (+888 594 грн.).
Нарахована сума ФСП за 2004 рік становить по області 9 025,13 тис.грн., загальна фактично зібрана у місцеві бюджети сума ФСП у Дніпропетровській області за 2004 рік склала – 8 781,13 тис.грн., що при загальній сумі надход-жень до місцевих бюджетів області у 2004 році - 776 627,02 тис.грн. становить структурну долю 1,13%. Надходження ФСП до ДПІ у м.Дніпродзержинську становили 3,44 тис.грн., а надходження ФСП до МДПІ у Криничанському районі, де діє сільськогосподарська дільниця (смт. Адамівна) досліджуємого ТОВ “УНІРЕМ-АГРО”, становить 546,93 тис.грн..
 Таблиця 3.1

В табл.Ж.1, Ж.2 Додатку Ж наведені статистичні таблиці по плановій мобілізації податків у розрізі структури податків, територіального розподілу по Дніпропетровській області та розподілу в Державний бюджет України і місцеві бюджети.
Планова сума фіксованого сільськогосподарського податку на 2005 рік по Дніпропетровській області складає 8 941,33 тис.грн., при цьому 100% цього податку у 2005 році надходить до місцевих бюджетів.
Планова сума доходів місцевих бюджетів Дніпропетровської області на 2005 рік складає 2 055 203,42 тис.грн., планова сума доходів держбюджету з Дніпропетровської області становить 3 990 965,4 тис.грн..
Таким чином, структурна доля ФСП в місцевих бюджетах Дніпропетров-ської області на 2005 рік складає 0,435% , а доля ФСП у зведеному бюджеті Дніпропетровської області зовсім незначна та складає 0,147%.
З погляду податкової адміністрації витрати на окреме адміністрування такої незначної суми фіксованого сільськогосподарського податку з врахуванням “тонкощів” контролю та перевірок є недоцільним.
Розглянемо ефективність фіксованого сільгоспподатку з погляду сільгоспвиробника.
В додатку І викладенаеконометрична модель розрахунку прибутку сіль-госппідприємства та сумарного податкового навантаження при різних моделях оподаткування :
стандартна схема оподаткування +ПДВ;
схема оподаткування при єдиному налогу 6% від чистого валового доходу + ПДВ;
спрощена схема податкування сільгоспвиробників фіксованим сільськогосподарським податком (ФСП) + ПДВ;
3.2 Порівняльний аналіз загального порядку оподаткування та впливу продовження існування фіксованого сільськогосподарського податку на ефективність роботи сільгоспвиробника (на прикладі ТОВ “УНІРЕМ-АГРО”)
Для виявлення ефективності застосування фіксованого сільгоспподатка для сільгоспвиробника проведемо модельний економетричний аналіз на ПЕОМ (програмне середовище “електронних” таблиць EXCEL-2000) результатів фі-нансової діяльності ТОВ “УНІРЕМ-АГРО” в 2002 – 2004 р.р. при застосуванні :
а) Вихідного варіанту № 1 (Додаток І):
– сплати фіксованого сільгоспподатку незалежно від результатів діяльності (рентна плата з сільгоспугідь);
- сплата всіх додаткових податків (за забруднення навколишнього середовища, зборів в пенсійно-соціальні фонди) з валового операційного доходу (стаття - інші витрати);
б) Варіант стандартного оподаткування № 2 (Додаток І):
- сплата податку на отриманий валовий прибуток за ставкою 25% взалежності від результатів діяльності;
- сплата всіх податків та зборів (податок на землю, за забруднення навколишнього середовища, зборів в пенсійно-соціальні фонди) за рахунок валових витрат в собівартості;
в) Варіант сплати єдиного податку 6% +ПДВ (№ 3) (Додаток І):
- сплата єдиного податку на валовий дохід по ставці 6% в залежності від результатів діяльності;
- сплата всіх додаткових податків та зборів (зборів в пенсійно-соціальні фонди за найманих працівників) за рахунок операційного доходу (стаття - інші витрати);
В табл.3.2, 3.3 наведені результати моделювання фінансових результатів діяльності ТОВ “УНІРЕМ-АГРО” за модельними варіантами № 2 та № 3, варіант № 1 є фактичними результатами оподаткування ФСП.
Таблиця 3.2

Моделювання фінансових результатів ТОВ “УНІРЕМ-АГРО” при стандартній схемі сплаті податку на прибуток та сплаті податків на землю і зборів в пенсійно-соціальні фонди (№ 2)
Таблиця 3.3
Моделювання фінансових результатів ТОВ “УНІРЕМ-АГРО”при схемі сплаті єдиного податку 6%+ПДВ та сплаті зборів в пенсійно-соціальні фонди (№ 3)
На рис.3.1 наведені результати порівняльного аналізу ефективності застосування для сільгоспвиробника варіанту оподаткування за фіксованим сільгоспподатком та за модельними варіантами № 2 та №3 (табл.3.2, 3.3).Рис.3.1 Порівняльний аналіз податкового навантаження на чистий прибуток та валовий дохід при схемах оподаткування ТОВ “УНІРЕМ-АГРО” за варіантами № 1 (фіксований СП +ПДВ), № 2 (стандартне оподаткування прибутку+ПДВ) та № 3 (єдиний податок 6%+ПДВ)
Як показує аналіз графіків рис.3.1, при моделюванні схеми стандартного оподаткування діяльності ТОВ “УНІРЕМ-АГРО”(варіант №2) податкова нагрузка на валовий дохід становитиме (з врахуванням ПДВ) :
- 25,2% - 28,6%;
При моделюванні схеми єдиного податку 6%+ПДВ оподаткування діяльності ТОВ “УНІРЕМ-АГРО”(варіант № 3) податкова нагрузка на валовий дохід становитиме (з врахуванням ПДВ):
- 24,0 % - 25,4% (тобто на 1,2 –3,2% менше, ніж при стандартному оподаткуванні);
При фактично використовуємій схемі фіксованого сільськогосподарсь-кого податку при оподаткуванні діяльності ТОВ “УНІРЕМ-АГРО”(варіант №1) податкова нагрузка на валовий дохід становить (з врахуванням ПДВ):
- 18,6 % - 19,6% (тобто на 6,6 – 9,0% менше, ніж при стандартному оподаткуванні);
Враховуючи, що чистий дохід в ТОВ “УНІРЕМ-АГРО” при оподаткуванні за схемою фіксованого СП становить 28,1%(2002) – 20,9%(2004) від валового доходу, можна констатувати, що одна третина чистого доходу в ТОВ “УНІРЕМ-АГРО” реалізується за рахунок застосування спрощеної системи фіксованого сільськогосподарського податку та запезпечує стійку прибуткову та вискорентабельну роботу сільськогосподарського підприємства.
Таким чином, продовження Верховною Радою України дії спрощеної форми оподаткування – Закону України “Про фіксований сільськогосподар-ський податок” – з 2005 до 2009 року слід класифікувати як вагомий вклад в підтримку розвитку вітчизняних сільгоспвиробників та сільського господарства України.
Висновки
Предметом дослідження дипломної роботи була оцінка ефективності ро-боти сільгоспвиробників при переході на спрощене оподаткування сільгоспви-робників у вигляді інтегрального фіксованого сільськогосподарського податку (ФСП). Фіксований сільськогосподарський податок сплачується в рахунок та-ких податків і зборів (обов'язкових платежів):
- податку на прибуток підприємств;
- плати (податку) за землю;
- податку з власників транспортних засобів та інших самохідних машин і механізмів;
- комунального податку;
- збору за геологорозвідувальні роботи, виконані за рахунок державного бюджету;
- плати за придбання торгового патенту на здійснення торговельної діяль-ності;
- збору за спеціальне водокористування.
Інші податки та збори (обов'язкові платежі), визначені Законом України "Про систему оподаткування", сплачуються сільськогосподарськими товарови-робниками в порядку і розмірах, визначених законодавчими актами України.
Якщо ставки земельного податку з одного гектара сільськогосподарських угідь установлено ч. 1 ст. 6 Закону „Про плату за землю” у відсотках від їх грошової оцінки у розмірах:
– для ріллі, сіножатей, пасовищ – 0,1 %;
– для багаторічних насаджень – 0,03 %,
то ставки фіксованого сілськогосподарського податку з одного гектара сільськогосподарських угідь установлено Законом „Про фіксований сільсько-господарський податок” у відсотках від їх грошової оцінки у розмірах:
– для ріллі, сіножатей, пасовищ – 0,15 %;
– для багаторічних насаджень – 0,09 %.
Таким чином ФСП, аналогічно земельному податку, має природу рентно-го податка з нормативної родючості сільськогосподарських угідь та поглинає в собі земельний податок, як одну - дві третини від ФСП.
Проведений в дипломній роботі аналіз фінансового стану, ділової актив-ності та податкового навантаження в сільськогосподарському підприємстві ТОВ “УНІРЕМ-АГРО”, що сплачує фіксований сільськогосподарський податок, за 2002 – 2004 роки показав, що його економічні параметри є наступними:
статутний капітал займає долю 45,1%(2002) – 24,2%(2004) в структурі джерел (пасивів) та відіграє суттєву роль в діяльності підприємства;
практично половину основних джерел в пасивах займає власний капітал, тобто статутний +додатковий накопичений за роки роботи капітал, доля якого становить:
а) 76,2% пасивів в 2002 році, цілком вкладений в необоротні активи, які займають долю 77,75% в балансі активів;
б) 48,4% пасивів в 2003 році, цілком вкладений в необоротні активи, які займають доля 67,6% в балансі активів;
в) 52,6% пасивів в 2004 році, цілком вкладений в необоротні активи, які займають долю 67,3% в балансі активів;
негативним є факт повної відсутності власного оборотного капіталу, оскільки весь власний капітал імобілізований в необоротних активах;
також негативним фактом є вкладення частини залученого позикового капіталу в необоротні активи, що може створювати проблеми з платоспроможністю підприємства при поверненні позичених коштів;
у 2002 –2003 роках при загальному рості валюти балансу на +78,9 % (з 3,71 млн.грн. до 6,63 млн.грн.), власний капітал зріс на + 13,6 % (з 2,823 млн.грн. до 3,208 млн.грн.) за рахунок прибутку 2003 року в 0,38 млн.грн. та переведення всієї суми прибутку 2002 року в статутний та резервний капітали;
у 2003 –2004 при продовженні загального росту валюти балансу на + 4,24 % (з 6,63 млн.грн. до 6,91 млн.грн.), власний капітал зріс на -13,3 % (з 3,2 млн.грн. до 3,63 млн.грн.) за рахунок прибутку в 0,426 млн.грн. та переведення всього прибутку 2003 року в 0,38 млн.грн. в резервний капітал;
у 2002 –2004 роках структурна доля довгострокових кредитів банків, які прирівнюються за стійкістю до власного капіталу становила 21,5% (2002), 20,9% (2003) та 18,7%(2004) від валюти балансу, при цьому у 2003 та 2004 роках довгострокові кредити були імобілізовані в необоротні кошти, оскільки власного капіталу на ці цілі не вистачало;
У такий спосіб підприємство ТОВ “УНІРЕМ-АГРО” в 2002 – 2004 роках максимально впроваджує у своїй діяльності механізми фінансових важелів у вигляді довгострокових банківських позичкових коштів та комерційних позичок (видані векселі та кредиторська заборгованість).
Проведений аналіз активів валюти балансу свідчить, що зростання валюти балансу пропорційно зростанню основних необоротних фондів, а в структурі оборотних фондів реалізована бартерна схема реалізації продукції з мінімумом дебіторської заборгованості та практичною відсутністю грошових коштів.
Стану виконання нормативів ліквідності в ТОВ “УНІРЕМ-АГРО” за 2002 –2004 роки характеризується :
- виконання нормативу загальної ліквідності (>1,0);
катастрофічним невиконанням нормативів строкової та моментальної ліквідності, що пов’язано з переходом на бартерну систему реалізації продукції з доплатами грошами, які тут же використовуються на покриття кредиторської заборгованості та оплату векселів;
Стан виконання нормативів фінансової стійкості в ТОВ “УНІРЕМ-АГРО” за 2002 –2004 роки характеризується :
- зниженням запасу коефіцієнту фінансової незалежності до нижньої границі нормативу (>0,5);
- виконанням нормативу фінансової стійкості ;
- нестачею з власних оборотних коштів, оскільки весь власний капітал є забезпеченням необоротних активів;
Рентабельності активів та власного капіталу в ТОВ “УНІРЕМ-АГРО” за 2002 –2004 роки характеризується зниженням всіх показників рентабельності у 2003 році на 20–60% при різкому рості валюти балансу та стабілізацією досягнутих рівней рентабельності 2003 року і в 2004 році при додатковому невеликому рості валюти балансу.
При цьому досягнуті рівні рентабельності 2004 року становлять :
рентабельність активів по валовому прибутку – 6,8%;
рентабельність власного капіталу по валовому прибутку – 12,93%;
що на рівні альтернативної прибутковості капіталу по депозитним ставкам банків (12 –14 %) робить підприємство інвестиційно привабливим, хоча період окупності власного капіталу становить 8,7 років, що привабливо тільки для довгострокових інвестицій.
Стан показників ділової активності в ТОВ “УНІРЕМ-АГРО” за 2002 –2004 роки характеризується :
різким підвищенням строків оборотності агрегатів активів та пасивів у 2003 році в 2-3 рази при різкому зростанні валюти балансу, що характеризує зниження темпів ділової активності;
реалізацією у 2004 році більш швидкої оборотності основних агрегатів балансу та ліквідація різкого росту кредиторської заборгованості переходом на видачу векселів;
Показники використання активів та основних засобів в ТОВ “УНІРЕМ-АГРО” за 2002 –2004 роки характеризується:
зниженням практично в 2 рази рівней фондовіддачі основних засобів в виручку та рівня трансформації активів у виручку від реалізації продукції з рівня 0,45 –0,58(2002 рік) до 0,24-0,35 (2004 рік), що характеризує екстенсивний шлях розвитку підприємства;
низьким рівнем зносу основних фондів (11-16%) при різкому їх оновленні на 57,5 % у 2003 році, тобто основні фонди характеризуються як нові( при зносі до 25%);
Рівень характеристик фінансової стійкості по покриттю запасів в ТОВ “УНІРЕМ-АГРО” за 2002 –2004 роки свідчить про кризисну нестачу власного капіталу та довгострокових банківських кредитів для покриття запасів, що загрожує кризовим фінансовим станом при збоях в реалізації продукції.
Сумарне процентне навантаження податків в собівартості на чистий прибуток зросло з 4,7% у 2002 році до 6,6% у 2004 році, в основному за рахунок зборів в пенсійний фонд із зростаючого фонду оплати праці найманих працівників.
Процентне навантаження фіксованого сільгоспподатку в собівартості на чистий прибуток становить від 1,0 до 1,5% від чистого прибутку, що є прийнят-ним рівнем податкового навантаження.
Проведений аналіз податкової вагомості ФСП показав, що станом на 01.01.2005 року в Дніпропетровській області зареєстровано 3021 сільськогосподарський суб’єкт підприємницької діяльності, який вико-ристовує спрощену систему оподаткування – фіксований сільськогосподарсь-кий податок (або 5,14 % від загальної чисельності СГД-юросіб в області).
Нарахована сума ФСП за 2004 рік становить по області 9 025,13 тис.грн., загальна фактично зібрана у місцеві бюджети сума ФСП у Дніпропетровській області за 2004 рік склала – 8 781,13 тис.грн., що при загальній сумі надход-жень до місцевого бюджету 776 627,02 тис.грн. становить структурну долю 1,13%. Надходження ФСП до ДПІ у м.Дніпродзержинську становили 3,44 тис.грн., а надходження ФСП до МДПІ у Криничанському районі, де діє сільськогосподарська дільниця (смт. Адамівна) досліджуємого ТОВ “УНІРЕМ-АГРО”, становить 546,93 тис.грн..
Планова сума фіксованого сільськогосподарського податку на 2005 рік по Дніпропетровській області складає 8 941,33 тис.грн., при цьому 100% цього податку у 2005 році надходить до місцевих бюджетів. Планова сума доходів місцевих бюджетів Дніпропетровської області на 2005 рік складає 2 055 203,42 тис.грн., планова сума доходів держбюджету з Дніпропетровської області становить 3 990 965,4 тис.грн..
Таким чином, структурна доля ФСП в місцевих бюджетах Дніпропетров-ської області на 2005 рік складає 0,435% , а доля ФСП у зведеному бюджеті Дніпропетровської області зовсім незначна та складає 0,147%.
З погляду податкової адміністрації витрати на окреме адміністрування такої незначної суми фіксованого сільськогосподарського податку з врахуванням “тонкощів” контролю та перевірок є недоцільним, тому в проекті Податкового Кодексу та в Законі України “Про фіксований сільськогосподарський податок” експеримент спрощення закінчувався у 2004 році.
Але сільгоспвиробники мали свою точку зору, оскільки , наприклад, ос-новні податки, які сплачувало досліджуване ТОВ “УНІРЕМ-АГРО” в 2004 році, за структурою розподіляються відносно загальної суми податків як :
а) ПДВ (1401) – 2,05 %;
б) Фіксований СГП (1604) – 9,73%;
в) Орендна плата (1305) – 11,06%;
г) Податок з доходів найманих працівників (1101) – 54,63 %
д) Податок на прибуток несільськогосподарської діяльності (1102) – 0,03%;
е) Страхові внески в Пенсійний фонд (5002) – 22,06%;
ж) Страхові внески в соціальні фонди (5003) – 0,65%;
з) Збір за забруднення навколишнього середовища(5008) - 1,84%;
В проектній частині дипломної роботи для виявлення ефективності сплати фіксованого сільгоспподатка для сільгоспвиробника проведений модельний економетричний аналіз на ПЕОМ (програмне середовище “електронних” таблиць EXCEL-2000) результатів фінансової діяльності ТОВ “УНІРЕМ-АГРО” в 2002 – 2004 р.р. при застосуванні :
а) Вихідного варіанту № 1:
– сплати фіксованого сільгоспподатку незалежно від результатів діяльності (рентна плата з сільгоспугідь);
- сплата всіх додаткових податків (за забруднення навколишнього середовища, зборів в пенсійно-соціальні фонди) з валового операційного доходу (стаття - інші витрати);
б) Варіант стандартного оподаткування № 2 :
- сплата податку на отриманий валовий прибуток за ставкою 25% в залежності від результатів діяльності;
- сплата всіх податків та зборів (податок на землю, за забруднення навколишнього середовища, зборів в пенсійно-соціальні фонди) за рахунок валових витрат в собівартості;
в) Варіант сплати єдиного податку 6% +ПДВ (№ 3) :
- сплата єдиного податку на валовий дохід по ставці 6% в залежності від результатів діяльності;
- сплата всіх додаткових податків та зборів (зборів в пенсійно-соціальні фонди за найманих працівників) за рахунок операційного доходу (стаття - інші витрати);
Аналіз результатів моделювання показав, що при схемі стандартного оподаткування діяльності ТОВ “УНІРЕМ-АГРО”(варіант №2) податкова нагрузка на валовий дохід становитиме (з врахуванням ПДВ) :
- 25,2% - 28,6%;
При схемі єдиного податку 6%+ПДВ оподаткування діяльності ТОВ “УНІРЕМ-АГРО”(варіант № 3) податкова нагрузка на валовий дохід становитиме (з врахуванням ПДВ):
- 24,0 % - 25,4% (тобто на 1,2 –3,2% менше, ніж при стандартному оподаткуванні);
При фактично використовуємій схемі фіксованого сільськогосподарсь-кого податку при оподаткуванні діяльності ТОВ “УНІРЕМ-АГРО”(варіант №1) податкова нагрузка на валовий дохід становить (з врахуванням ПДВ):
- 18,6 % - 19,6% (тобто на 6,6 – 9,0% менше, ніж при стандартному оподаткуванні);
Враховуючи, що чистий дохід в ТОВ “УНІРЕМ-АГРО” при оподаткуванні за схемою фіксованого СП становить 28,1%(2002) – 20,9%(2004) від валового доходу, можна констатувати, що одна третина чистого доходу в ТОВ “УНІРЕМ-АГРО” реалізується за рахунок застосування спрощеної системи фіксованого сільськогосподарського податку та забезпечує стійку прибуткову та високорентабельну роботу сільськогосподарського підприємства.
Таким чином, продовження Верховною Радою України дії спрощеної форми оподаткування – Закону України “Про фіксований сільськогосподар-ський податок” – з 2005 до 2009 року слід класифікувати як вагомий вклад в підтримку розвитку вітчизняних сільгоспвиробників та сільського господарства України.
Список використаної літератури
1. БЮДЖЕТНИЙ КОДЕКС УКРАЇНИ // від 21 червня 2001 року N 2542-III (Із змінами і доповненнями, внесеними Законами України станом на 17 червня 2004 року N 1801-IV)
2. ГОСПОДАРСЬКИЙ КОДЕКС УКРАЇНИ // від 16 січня 2003 року N 436-IV
3. Кодекс України про адміністративні правопорушення //від 7 грудня 1984 року № 8073-Х(Із змінами і доповненнями станом на 24 червня 2004 року N 1876-IV)
4. КРИМІНАЛЬНИЙ КОДЕКС УКРАЇНИ // від 5 квітня 2001 року N 2341-III (Іззмінами і доповненнями, внесеними Законами України на 15 травня 2003 року N 744-IV, ОВУ, 2003 р., N 23, ст. 1016)
5. ЗЕМЕЛЬНИЙ КОДЕКС УКРАЇНИ // від 25 жовтня 2001 року N 2768-III (Із змінами і доповненнями, внесеними Законами України станом змін від 14 грудня 2004 року N 2229-IV, ОВУ, 2005 р., N 1, ст. 2)
6. Закон України “Про систему оподаткування в Україні” // від 25.06.1991 N 1251-XII (із змінами станом на 5 червня 2003 року N 906-IV)
7. Закон України „Про оподаткування прибутку підприємств” // від 22 травня 1997 року N 283/97-ВР (станом змін від 20 січня 2005 року N 2377-IV)
8. ЗАКОН УКРАЇНИ “Про податок на додану вартість “ // від 3 квітня 1997 року N 168/97-ВР ( Із змінами і доповненнями, внесеними Законами України станом на 23 грудня 2004 року N 2287-IV)
9. ЗАКОН УКРАЇНИ «Про господарські товариства» // від 19 вересня 1991 року N 1576-XII (Із змінами і доповненнями, внесеними Законами України станом на 19 лютого 2004 року N 1519-IV)
10. Закон України “Про оренду землі” // від 6 жовтня 1998 року N 161-XIV (Із змінами і доповненнями, внесеними Законами України станом від 23грудня 2004 року N 2285-IV)
11. ЗАКОН УКРАЇНИ “Про фіксований сільськогосподарський податок”// від 17 грудня 1998 року N 320-XIV (Із змінами і доповненнями, внесеними Законами України станом від 23 грудня 2004 року N 2287-IV)
12. ЗАКОН УКРАЇНИ “Про Державний бюджет України на 2005 рік” // від 23 грудня 2004 року N 2285-IV (Із змінами і доповненнями, внесеними Законами України станом від )
13. ЗАКОН УКРАЇНИ “Про порядок погашення зобов'язань платників податків перед бюджетами та державними цільовими фондами // від 21 грудня 2000 року N 2181-III (Із змінами і доповненнями, внесеними Законами України станом від 24 червня 2004 року N 1868-IV)
14. ЗАКОН УКРАЇНИ «Про Державний бюджет України на 2004 рік» // від 27 листопада 2003 року N 1344-IV (Із змінами і доповненнями, внесеними Законами України станом від 17 червня 2004 року N 1801-IV )
15. ДЕРЖАВНА ПОДАТКОВА АДМІНІСТРАЦІЯ УКРАЇНИ „ Про організаційну структуру органів державної податкової служби „// Н А К А З від 25 грудня 2004 року № 722
16. ІНСТРУКЦІЯ про порядок ведення органами державної податкової служби оперативного обліку податків і зборів (обов'язкових платежів), що надходять до бюджетів та до державних цільових фондів //(у редакціїнаказу Державної податкової адміністрації України від 3.09.2001 N 342)
17. Інструкція про порядок застосування та стягнення сум штрафних (фінансових) санкцій органами державної податкової служби // Наказ Державної податкової адміністрації України від 17 березня 2001 року N 110 (Із змінами і доповненнями, внесеними наказами Державної податкової адміністрації України станом на 11 квітня 2003 року N 174)
18. ІНСТРУКЦІЯ про порядок ведення органами державної податкової служби оперативного обліку податків і зборів (обов'язкових платежів), що надходять до бюджетів та до державних цільових фондів //(у редакції наказу Державної податкової адміністрації України від 3.09.2001 N 342)
19. Інструкція про порядок застосування та стягнення сум штрафних (фінансових) санкцій органами державної податкової служби // Наказ Державної податкової адміністрації України від 17 березня 2001 року N 110 (Із змі нами і доповненнями, внесеними наказами Державної податкової адміністрації України станом на 11 квітня 2003 року N 174)
20. Інструкції про порядок обчислення і сплати страхувальниками та застрахованими особами внесків на загальнообов'язкове державне пенсійнестрахування до Пенсійного фонду України // Постанова правління Пенсійного фонду України від 19 грудня 2003 року N 21-1 ( Із змінами ідоповненнями, внесеними постановами правління Пенсійного фонду Українивід 31 січня 2005 року N 3-1)
21. Порядок розрахунку фіксованого сільськогосподарського податку та заповнення форми розрахунку // Наказ Державної податкової адміністрації України від 26 березня 2004 року N 170
22. Положення про порядок справляння та обліку фіксованого сільськогосподарського податку // КАБІНЕТ МІНІСТРІВ УКРАЇНИ ПОСТАНОВА від 23 квітня 1999 р. N 658 (Із змінами і доповненнями, внесеними постановами Кабінету Міністрів України станом від 20 листопада 2003 року N 1789)
23. Положення (стандарт) бухгалтерського обліку 1 "Загальні вимоги до фінансової звітності", Наказ Мінфіна України № 87 від 31.03.1999 + № 304 від 30.11.2000.
24. Положення (стандарт) бухгалтерського обліку 2 "Баланс", Наказ Мінфіна України № 87 від 31.03.1999 + № 304 від 30.11.2000.
25. Положення (стандарт) бухгалтерського обліку 3 " Звіт про фінансові результати «, Наказ Мінфіна України № 87 від 31.03.1999 + № 304 від 30.11.2000.
26. Про затвердження Методичних рекомендацій щодо розподілу платників податків за категоріями уваги та їх супроводження органами державної податкової служби // Наказ ДПА України від 23 лютого 2005 року № 78
27. Про затвердження форми податкової декларації по ПДВ та Порядку її заповнення і подання //Наказ Державної податкової адміністрації України від 30 травня 1997 року N 166 /Із змінами і доповненнями, внесеними наказому ДПА України від 30.09.2003 № 466
28. Про затвердження Методичних рекомендацій по визначенню питомої ваги доходу (виручки) від реалізації сільськогосподарської продукції власного виробництва та продуктів її переробки в загальному обсязі валового доходу підприємства // МІНІСТЕРСТВО АГРАРНОЇ ПОЛІТИКИ УКРАЇНИ НАКАЗ від 29 грудня 2002 року N 419
29. Про затвердження форми декларації з податку на прибуток підприємства та Порядку її складання // Наказ Державної податкової адміністрації України від 29 березня 2003 року N 143 (Із змінами і доповненнями, внесеними наказом Державної податкової адміністрації України від 10 грудня 2003 року N 593)
30. Автоматизована інформаційна система «ОБЛІК податків і платежів». ЗАГАЛЬНИЙ ОПИС СИСТЕМИ // ДПА України, 1999 -2003
31. Буряковский В.В., Кармазин В.Я., Каламбет С.В., Водолазская О.А. Налоги. - Днепропетровск, “Пороги”, 1998.
32. Ефимова М.Р., Ганченко О.И., Петрова Е.В. Практикум по общей теории статистики: Учебное пособие. – Москва: Финансы и статистика, 2000.
33. Ізмайлова К.В. Фінансовий аналіз: Навч.посібник.- К.: МАУП,2000
34. Мельник П. В. Розвиток податкової системи в перехідній економіці / Держ. подат. адміністрація України; Акад. ДПС України. — Ірпінь: Акад. ДПС України,2001.—355 с. 35. Михасюк І., Залога З., Мельник А., Крупка М. Державне регулювання економіки, Київ, “Ельга-Н”, 2000.
36. Податковий кодекс України (основні положення доопрацьованого проекту) // «Вісник податкової служби України», серпень 2000 р., № 30, с. 31.
37. Подання Президента України до Верховної Ради – 2004 “Про внутрішнє та зовнішнє положення України в 2003 році”(статистичні таблиці) // інформаційна система “ЛІГА-ЗАКОН”
38. Радіонова І. Макроекономіка та економічна політика : Підручник для студентів економічних спеціальностей ВНЗ – Київ : “Таксон”, 1996 – 238 с.
39. Римма Грачова - Як нам облаштувати податкову систему // газета «Дзеркало Тижня», 19 січня 2004
40. Савченко Л. А., Цимбалюк А. В., Капіца В. А. та ін. Фінансово-правовий механізм формування дохідної частини бюджетів: Курс лекцій / Держ. подат. адміністрація України; Акад. ДПС України. — Ірпінь: Акад. ДПС України, 2002. — 356 с.
41. Фінанси підприємств. Підручник/ За ред. А.М. Поддєрьогіна. – К.:КНЕУ,2000
42. Чефранов О. Фіксований сільгоспподаток (частина 1) // «Бухгалтерський тиждень», 22 грудня 2003 р., № 51 (103), с. 41
43. Чефранов О. Фіксований сільгоспподаток (частина 2) // «Бухгалтерський тиждень», 5 січня 2004 р., № 1 (105), с. 37
44. Чефранов О. Перерахунок фіксованого сільгоспподатку за новою формою // «Бухгалтерський тиждень», 26 квітня 2004 р., № 17 (121), с. 12
45. Циганок Ю. Земельний податок-2004: нараховуємо, звітуємо та сплачуємо // «Бухгалтерський тиждень», 5 січня 2004 р., № 1 (105), с. 12
46. WWW.LIGA-ZAKON.COM.UA – Законодавча-довідкова система
Додаток А
Декларація про податок на прибуток несільськогосподарського підрозділу ТОВ “УНІРЕМ-АГРО” за 2004 рік
| (дата, штамп ДПА) |
УЗГОДЖЕНО. Рішення Комітету Верховної Ради України з питань фінансів і банківської діяльності від 31.03.2003 № 06 10/239 |
Затверджено Наказ Державної податкової адміністрації України 31.03.2003 №143 |
| 1 |
ДЕКЛАРАЦІЯ З ПОДАТКУ НА ПРИБУТОК ПІДПРИЄМСТВА |
Звітна |
| Повна декларація надаються додатки у разі заповнення рядків з позначкою "Р" та "К" |
Звітна консолідована |
| Спрощена декларація надаються додатки у разі заповнення рядків з позначкою "К" |
Звітна нова |
| 2 |
Звітний рік |
2 |
0 |
0 |
рік |
| 3 |
Повна назва платника податку |
ТОВ "УНІРЕМ-АГРО" |
Юридична особа |
| інша категорія платника |
| 4 |
Ідентифікаційний код за ЄДРПОУ |
Код виду економічної діяльності (КВЕД) |
| 5 |
Місцезнаходження платника податку : |
Поштовий індекс |
| Телефон |
| Факс* |
| Emaіl* |
| 6 |
До державної податкової інспекції (адміністрації) в |
| Показники |
Код рядка |
Сума |
| 1 |
2 |
3 |
| Валовий дохід від усіх видів діяльності, у тому числі: |
01 |
67072,0 |
| доходи від продажу товарів (робіт, послуг) |
01.1 |
67072,0 |
| приріст балансової вартості запасів |
01.2 K1 |
| доходи від виконання довгострокових договорів |
01.3 K2 |
| прибуток від операцій з цінними паперами, фондовими та товарними деривативами |
01.4 K3 |
| прибуток від операцій з землею |
01.5 K1 |
| інші доходи, крім визначених у 01.1 +01.5 |
01.6 |
| Коригування валових доходів, у тому числі : (+02.1+02.2+02.3) |
02 |
| зміна суми компенсації вартості товарів (робіт, послуг) |
02.1 |
| самостійно виявлені помилки за результатами минулих податкових періодів |
02.2 |
| врегулювання сумнівної (безнадійної) заборгованості |
02.3 K4 |
| Скоригований валовий дохід (01+02) |
03 |
67072,0 |
| Валові витрати, у тому числі: |
04 |
66858,0 |
| витрати на придбання товарів (робіт, послуг), крім визначених у 04.11 |
04.1 |
62133,0 |
| убуток балансової вартості запасів |
04.2 K1 |
4677,0 |
| витрати на оплату праці |
04.3 |
48,0 |
| сума страхового збору (внесків) до фондів державного загальнообов'язкового страхування |
04.4 |
| сума внесків на довгострокове страхування життя, додаткове пенсійне страхування |
04.5 P1 |
| сума податків, зборів (обов'язкових платежів), крім визначених у 04.4 |
04.6 P2 |
| витрати, пов'язані із виконанням довгострокових договорів |
04.7 K2 |
| добровільне перерахування коштів, передача товарів (робіт, послуг) |
04.8 P3 |
| від'ємне значення об'єкта оподаткування попереднього податкового року |
04.9 |
| витрати на поліпшення основних фондів та нафтогазових свердловин |
04.10 K1 |
| 85% витрат від вартості товарів (робіт, послуг), придбаних у офшорних нерезидентів |
04.11 P4 |
| інші витрати, крім визначених у 04.104.11 |
04.12 |
| Коригування валових витрат, у тому числі: (+05.1+05.2+05.3) |
05 |
| зміна суми компенсації вартості товарів (робіт, послуг) |
05.1 |
| самостійно виявлені помилки за результатами минулих податкових періодів |
05.2 |
| врегулювання сумнівної (безнадійної) заборгованості |
05.3 K4 |
| Скориговані валові витрати (04+05) |
06 |
66858,0 |
| Сума амортизаційних відрахувань |
07 K1 |
144,0 |
| Об'єкт оподаткування позитивний (+) від'ємний () (+03(+06)07) |
08 |
70,0 |
| Балансові збитки, некомпенсовані прибутками до 01.01.2003 |
09 |
| Прибуток, звільнений від оподаткування |
10 K5 |
| Прибуток, що підлягає оподаткуванню, у тому числі: (080910) |
11 |
70,0 |
| за базовою ставкою |
11.1 |
70,0 |
| за пільговою ставкою * .. .. % |
11.2 |
| Нарахована сума податку **, у тому числі: |
12 |
18,0 |
| за базовою ставкою |
12.1 |
18,0 |
| за пільговою ставкою |
12.2 |
| Зменшення нарахованої суми податку: |
13 K6 |
| Податкове зобов'язання звітного періоду ** (12 13) |
14 |
18,0 |
| Сума нарахованого податку за попередній податковий період поточного року |
15 |
17,0 |
| Сума надміру сплаченого податку минулих податкових періодів (переплати)*** |
16 |
| Сума податку до сплати (позитивне значення 14 15 16) |
17 |
1,0 |
* пільгові ставки зазначаються платниками самостійно ** у разі позитивного значення *** не заповнюється при заповненні рядка 18 декларації.
| Сума надміру сплаченого податку минулих податкових періодів (переплати), яка підлягає поверненню на розрахунковий рахунок платника податку в банкурезиденті |
18 |
Додаткові показники.
| Суми податків, які утримуються при виплаті доходів (прибутків), у тому числі : |
19 |
| від грального бізнесу |
19.1 K7 |
| з нерезидентів (крім 19.3) |
19.2 |
| з фрахту |
19.3 |
| Авансові внески, нараховані на суму дивідендів та прирівняних до них платежів |
20 |
| Дивіденди та прирівняні до них платежі, що сплачуються до бюджету державними некорпоратизованими, казенними або комунальними підприємствами |
21 |
| Сума штрафу, самостійно нарахованого у зв'язку з виправленням помилок |
22 |
| Пеня, нарахована у зв'язку з врегулюванням сумнівної (безнадійної) заборгованості |
23 K4 |
До декларації додаються (потрібне позначити):
| Додатки до рядків |
K1/1 |
K1/2 |
K2 |
K3 |
K4 |
K5 |
K6 |
K7 |
P1 |
P2 |
P3 |
P4 |
| Пояснення (розкриття) окремих результатів фінансово-господарської діяльності на |
арк |
Ця частка податкової декларації заповнюєтьс службовими особами ДПІ(ДПА)
| Відмітка про внесення даних до електронної бази податкової звітності. |
200_ року. |
| Службова особа ДПІ (ДПА) (підпис, прізвище) |
| За результатами камеральної перевірки декларації (потрібне позначити): |
| порушень (помилок) не виявлено |
складено акт від 200_ року № |
| 200_ року |
| Службова особа ДПІ (ДПА) (підпис, прізвище) |
Додаток К1/1 до рядків 01.2, 01.5, 04.2, 04.10 та 07 декларації
| Ідентифікаційний код за ЄДРПОУ |
Податковий період 200_ року |
| 1 квартал |
Півріччя |
3 квартали |
Рік |
Таблиця 1. Розрахунок приросту (убутку) балансової вартості запасів
| Показники |
Код рядка |
На початок року |
Запаси, використані не у господарській діяльності |
На кінець звітного періоду |
Приріст () Убуток (+) (345) |
| 1 |
2 |
3 |
4 |
5 |
6 |
| Балансова вартість усього, у тому числі: (сума рядків A1A6 відповідної графи) |
A |
1000100,0 |
995423,0 |
4677,0 |
| на складах (місцях зберігання) |
A1 |
1000100,0 |
995423,0 |
4677,0 |
| у незавершеному виробництві |
A2 |
| у готовій продукції |
A3 |
| малоцінні та швидкозношувані предмети на складах |
A4 |
| на оптових складах (місцях зберігання) |
A5 |
| у роздрібній торгівлі |
A6 |
Метод оцінки убутку запасів (потрібне позначити):
| Вартості запасів перших за часом надходження (ФІФО) |
Ідентифікованої вартості відповідної одиниці запасів |
Таблиця 2. Розрахунок амортизаційних відрахувань
| Код рядка |
Показники |
Балансова вартість на початок роз рахункового кварталу |
Амортизаційні відрахування |
| Розрахунковий квартал |
Звітний період наростаючим підсумком |
| 1 |
2 |
3 |
4 |
5 |
| Б1 |
Основні фонди групи 1 |
| Б2 |
Основні фонди групи 2 |
42800,0 |
144,0 |
144,0 |
| Б3 |
Основні фонди групи 3 |
| Б4 |
Основні фонди групи 4 |
| В |
Нематеріальні активи |
| 07 |
Загальна сума амортизаційних відрахувань, що відображається у рядку 07 декларації (сума рядків Б1, Б2, Б3, Б4, В графи 5) |
144,0 |
Додаток Б
Декларація про податок на додану вартість ТОВ “УНІРЕМ-АГРО” за місяці 2004 року
| 01 |
ПОДАТКОВА ДЕКЛАРАЦIЯ З ПОДАТКУ НА ДОДАНУ ВАРТIСТЬ |
011 |
Звiтна |
| 012 |
Звiтна нова |
| 013 |
Спецiальнi режими оподаткування: |
| 0131 |
переробного пiдприємства (пункт 11.21 Закону) |
| 0132 |
сiльськогосподарського пiдприємства (пункт 11.21 Закону) |
| 0133 |
сiльськогосподарського товаровиробника (пункт 11.29 Закону) |
| 0134 |
технологiчного парку (пункт 11.12 Закону) |
| 0135 |
заготiвельного пiдприємства (пункт 11.35 Закону) |
| 0136 |
| 04 |
Платник |
ТОВ "УНІРЕМ-АГРО" |
(назва - для юридичної особи; прiзвище, iм'я, по батьковi - для фiзичної особи; для спiльної дiяльностi - назва, дата та номер договору)
| 041 |
- юридична особа |
31329842 |
Iдентифiкацiйний код платника згiдно ЄДРПОУ
Iдентифiкацiйний код платника згiдно ДРФО
Реєстрацiйний (облiковий) номер платника Договiр про спiльну дiяльнiсть вiд _____________________ № _________
| 05 |
Iндивiдуальний податковий номер платника ПДВ |
313298404723 |
| (номер свiдоцтва про реєстрацiю платника ПДВ) |
| 04711776 |
| 06 |
Мiсцезнаходження платника податку: 51927, м.ДНIПРОДЗЕРЖИНСЬК, БIЛЬШОВИЦЬКИЙ |
Поштовий iндекс |
51927 |
| Телефон |
25043 |
| Факс* |
| E-mail* |
* за бажанням платника податку (район, мiсто)
| Декларацiя подається до державної податкової iнспекцiї (адмiнiстрацiї) в ДПI У МIС. ДНIПРОДЗЕРЖИНСЬКУ |
| Код рядка |
I. ПОДАТКОВI ЗОБОВ'ЯЗАННЯ |
Колонка А |
Колонка Б |
| Обсяг продажу без урахування ПДВ |
Сума ПДВ |
| 1 |
Операцiї, що оподатковуються за ставкою 20%, крiм операцiй iз ввезення iмпортних товарiв, податок на додану вартiсть за якi сплачується митним органам при розмитненнi |
5031,0 |
1006,0 |
| 1.1 |
з рядка 1 - передача товарiв (робiт, послуг) у межах балансу платника для невиробничого використання, витрати на яке не вiдносяться до валових витрат виробництва (обiгу) i не пiдлягають амортизацiї (п. 4.2 ст. 4 Закону) |
| 1.2 |
з рядка 1 - лiквiдацiя основних фондiв за рiшенням платника (п. 4.9 ст. 4 Закону) |
| 2 |
Операцiї, що оподатковуються за ставкою 0% |
X |
X |
| 2.1 |
експортнi операцiї |
0 |
| 2.1.1 |
з рядка 2.1 - товарообмiннi (бартернi) операцiї |
0 |
| 2.1.2 |
з рядка 2.1 - експорт робiт (послуг) |
0 |
| 2.2 |
iншi операцiї, що оподатковуються за нульовою ставкою |
0 |
| 3 |
Операцiї, що не є об'єктом оподаткування (п. 3.2 ст. 3 Закону) |
X |
| 4 |
Операцiї, якi звiльненi вiд оподаткування (статтi 5, 11 Закону, iншi нормативно-правовi акти) |
X |
| 5 |
Загальний обсяг продажу (сума значень з 1-го до 4-го рядка колонки A) |
5031,0 |
X |
| 5.1 |
з рядка 5 - товарообмiннi (бартернi) операцiї |
X |
| 5.2 |
(р.1+р.2.1+р.2.2+р.4) колонки Аз рядка 5 - загальний обсяг оподатковуваних операцiй звiтного перiоду |
5031,0 |
X |
| 6 |
Ввезення (пересилання) на митну територiю України протягом звiтного перiоду товарiв, сплату ПДВ за якi було вiдстрочено шляхом оформлення податкового векселя (п. 11.5 ст. 11 Закону) |
| Термiн погашення податкового векселя (указати дату, додати перелiк) |
| 7 |
Роботи (послуги), отриманi вiд нерезидента для їх використання або споживання на митнiй територiї України, та готова продукцiя, виготовлена з давальницької сировини нерезидента, що реалiзується на територiї України |
| 8 |
Коригування на основi попереднiх звiтних перiодiв (+ чи -) (у разi заповнення цiєї графи обов'язковим є подання додатка 2 до декларацiї): |
X |
(+чи-) |
| 8.1 |
самостiйне виправлення помилки, що мiститься в ранiше поданiй податковiй декларацiї |
X |
| 8.2 |
нецiльове використання товарiв, ввезених у пiльговому режимi |
| 8.3 |
iншi випадки (п. 4.5 ст.4 Закону та iнше) |
X |
| 9 |
Усього податкових зобов'язань (сума значень рядкiв(1 + 6 + 7 + 8 (- чи +) колонки Б) |
X |
1006,0 |
| Код рядка |
II. ПОДАТКОВЙ КРЕДИТ |
Колонка А |
Колонка Б |
| Обсяг придбання без урахування ПДВ |
Дозволений податковий кредит |
| 10 |
Придбанi з податком на додану вартiсть на митнiй територiї України товари (роботи, послуги), вартiсть яких включається до складу валових витрат виробництва (обiгу), та основнi фонди й нематерiальнi активи, якi пiдлягають амортизацiї: |
X |
X |
| 10.1 |
для здiйснення операцiй, якi пiдлягають оподаткуванню |
448,0 |
90,0 |
| 10.2 |
для здiйснення операцiй, якi не пiдлягають оподаткуванню (п.3.2 ст.3 Закону) або/та звiльненi вiд оподаткування (статтi 5, 11 Закону, iншi нормативно-правовi акти) |
X |
| 11 |
Придбанi без податку на додану вартiсть на митнiй територiї України товари (роботи, послуги), вартiсть яких включається до складу валових витрат виробництва (обiгу), та основнi фонди й нематерiальнi активи, якi пiдлягають амортизацiї: |
X |
X |
| 11.1 |
для здiйснення операцiй, якi пiдлягають оподаткуванню |
X |
| 11.2 |
для здiйснення операцiй, якi не пiдлягають оподаткуванню (п.3.2 ст.3 Закону) або/та звiльненi вiд оподаткування (статтi 5, 11 Закону, iншi нормативно-правовi акти) |
X |
| 12 |
iмпортованi товари (роботи, послуги), вартiсть яких включається до складу валових витрат виробництва (обiгу), та основнi фонди й нематерiальнi активи, якi пiдлягають амортизацiї (для здiйснення операцiй, якi оподатковуються за ставкою 20 % та нульовою ставкою): |
X |
X |
| 12.1 |
ПДВ, сплачений митним органам |
| 12.2 |
погашенi податковi векселi, що дають право на збiльшення податкового кредиту в поточному звiтному перiодi |
| 12.3 |
звiльненi вiд ПДВ (статтi 5, 11 Закону, iншi нормативно-правовi акти) |
X |
| 12.4 |
роботи (послуги), отриманi вiд нерезидента |
| 13 |
iмпортованi товари (роботи, послуги), вартiсть яких включається до складу валових витрат виробництва (обiгу), та основнi фонди й нематерiальнi активи, якi пiдлягають амортизацiї (для здiйснення операцiй, якi не є об'єктом оподаткування та якi звiльненi вiд оподаткування): |
X |
X |
| 13.1 |
з рядка 13 - для здiйснення операцiй, якi не пiдлягають оподаткуванню (п.3.2 ст.3 Закону) |
X |
X |
| 13.1.1 |
ПДВ, сплачений митним органам |
X |
| 13.1.2 |
звiльненi вiд ПДВ (статтi 5, 11 Закону, iншi нормативно-правовi акти) |
X |
| 13.1.3 |
роботи (послуги), отриманi вiд нерезидента |
X |
| 13.2 |
з рядка 13 - для здiйснення операцiй, якi звiльненi вiд оподаткування (статтi 5, 11 Закону, iншi нормативно-правовi акти): |
X |
X |
| 13.2.1 |
ПДВ, сплачений митним органам |
X |
| 13.2.2 |
звiльненi вiд ПДВ (статтi 5, 11 Закону, iншi нормативно-правовi акти) |
X |
| 13.2.3 |
роботи (послуги), отриманi вiд нерезидента |
X |
| 14 |
Придбанi з податком на додану вартiсть вiтчизнянi та iмпортнi товари (роботи, послуги), вартiсть яких не включається до складу валових витрат виробництва (обiгу), та основнi фонди й нематерiальнi активи, якi не пiдлягають амортизацiї: |
X |
X |
| 14.1 |
на митнiй територiї України |
X |
| 14.2 |
ввезенi (пересланi) з-за меж митної територiї України |
X |
| 14.3 |
роботи (послуги), отриманi вiд нерезидента |
X |
| 15 |
Придбанi без податку на додану вартiсть вiтчизнянi та iмпортнi товари (роботи, послуги), вартiсть яких не включається до складу валових витрат виробництва (обiгу), та основнi фонди й нематерiальнi активи, якi не пiдлягають амортизацiї: |
X |
X |
| 15.1 |
на митнiй територiї України |
X |
| 15.2 |
ввезенi (пересланi) з-за меж митної територiї України |
X |
| 15.3 |
роботи (послуги), отриманi вiд нерезидента |
X |
| 16 |
Коригування податкового кредиту за попереднi звiтнi перiоди (у разi заповнення цiєї графи є обов'язковим подання додатка 2 до декларацiї): |
X |
(-чи+) |
| 16.1 |
самостiйне виправлення платником помилки, що мiститься в ранiше поданiй податковiй декларацiї |
X |
| 16.2 |
iншi випадки (п. 4.5 ст.4 Закону та iншi) |
X |
| 17 |
Усього податкового кредиту (Сума значень рядкiв (10.1 + 12.1 + 12.2 + 12.4 + 16 (- чи +) колонки Б) |
X |
90,0 |
| Код рядка |
III. РОЗРАХУНКИ З БЮДЖЕТОМ ЗА ЗВIТНИЙ ПЕРIОД |
Колонка А |
Колонка Б |
| 18 |
(рядок 9 - рядок 17)Чиста сума зобов'язань з ПДВ за поточний звiтний перiод: |
X |
X |
| 18.1 |
позитивне значення (+) |
0 |
916,0 |
| 18.2 |
вiд'ємне значення (-) |
0 |
| 19 |
Коригування платежiв з урахуванням положень про вексельну форму оплати податку на додану вартiсть при ввезеннi (пересиланнi) товарiв на митну територiю України (п. 11.5 ст. 11 Закону): |
X |
X |
| 19.1 |
до зменшення (-): суми податку на додану вартiсть, якi не пiдлягають включенню до складу податкових зобов'язань у поточному звiтному перiодi (податковi векселi, виданi за поточний звiтний перiод /рядок 6 декларацiї/) |
0 |
-
|
| 19.2 |
до збiльшення (+): суми податку на додану вартiсть, якi пiдлягають включенню до складу податкових зобов'язань у поточному звiтному перiодi (податковi векселi, термiн погашення яких припадає на поточний звiтний перiод) |
0 |
+
|
| 20 |
(позитивне значення суми рядкiв 18 i 19)Сума ПДВ, яка в поточному звiтному перiодi пiдлягає нарахуванню |
0 |
916,0 |
| 21 |
(вiд'ємне значення суми рядкiв 18 i 19)Сума ПДВ, яка зменшує податковi зобов'язання наступних звiтних перiодiв |
0 |
| 22* |
Вiдповiдно до окремого рiшення Уряду вiд № отримано в звiтному перiодi через галузеве мiнiстерство чи iнший центральний орган виконавчої влади фiнансування в рахунокцентралiзованого повернення з Державного бюджету України вiдшкодування податку на додану вартiсть |
| * У разi заповнення рядка 22 вiдшкодуванню пiдлягає позитивна рiзниця рядкiв 21 i 22 |
| Вiдмiтка платника про порядок здiйснення вiдшкодування вiдповiдно до термiнiв проведення вiдшкодування |
% |
Сума |
| 23 |
Сума бюджетного вiдшкодування, яка може бути вiдшкодована платнику протягом 30 календарних днiв вiд датиподання цiєї декларацiї (рядок 6 Розрахунку експортного вiдшкодування /додаток 1/) |
100% |
| 23.1 |
зарахування в рахунок платежiв, повне або часткове: |
X |
X |
| 23.1.1 |
з податку на додану вартiсть |
X |
| 23.1.2 |
iнших платежiв (роздiл бюджетної класифiкацiї ) |
X |
| 23.2 |
перерахування на рахунок в установi банку |
X |
| 23.3 |
видача казначейського чека |
X |
| 24 |
Сума бюджетного вiдшкодування, яка може бути вiдшкодована платнику протягом мiсяця, що настає пiсля подання цiєї декларацiї (рядок 6 Розрахунку бюджетного вiдшкодування /додаток 3/) |
100% |
| 24.1 |
зарахування в рахунок платежiв, повне або часткове: |
X |
X |
| 24.1.1 |
з податку на додану вартiсть |
X |
| 24.1.2 |
iнших платежiв (роздiл бюджетної класифiкацiї ) |
X |
| 24.2 |
перерахування на рахунок в установi банку |
X |
| 24.3 |
видача казначейського чека |
X |
| 25 |
(рiзниця рядкiв (21-22-23-24) колонки Б)Залишок суми ПДВ, що пiдлягає вiдшкодуванню пiслпогашення податкових зобов'язань платника протягом трьох наступних звiтних перiодiв |
100% |
| 25.1 |
зарахування в рахунок платежiв, повне або часткове: |
X |
X |
| 25.1.1 |
з податку на додану вартiсть |
X |
| 25.1.2 |
iнших платежiв (роздiл бюджетної класифiкацiї ) |
X |
| 25.2 |
перерахування на рахунок в установi банку |
X |
| 25.3 |
видача казначейського чека |
X |
| 26 |
(рядок 26.1 + рядок 26.2)Сума штрафiв та пенi, самостiйно нарахованих платником |
X |
| 26.1 |
сума штрафу, нарахована платником самостiйно у зв'язку з виправленням помилки |
X |
| 26.1.1 |
(рядок 8.1 - рядок 16.1)загальна сума помилки: |
X |
X |
| 26.1.2 |
позитивне значення (+) |
X |
| 26.1.3 |
вiд'ємне значення (-) |
X |
| 26.2 |
пеня за операцiї, указанi в рядку 8.2 (розрахунок додається) |
X |
До декларацiї додаються:
Додатки до рядкiв цiєї декларацiї (зазначити номери рядкiв декларацiї)
Додатки, що мiстять iнформацiю щодо уточнених показникiв поданої ранiше декларацiї, у якiй платником самостiйно виявленi помилки (зазначити номери рядкiв декларацiї)
Наведена iнформацiяє вiрною
| Дата заповнення декларацiї |
18-05-2004 |
рiк |
| Керiвник |
ФЕСУН ВIКТОР ВАСИЛЬОВИЧ пiдписIнiцiали та прiзвище |
| Головний бухгалтер |
ЧЕРНИШ ЛЮБОВ ПАВЛIВНА пiдписIнiцiали та прiзвище |
| Платник ПДВ (для фiзичної особи платника податку) |
пiдписIнiцiали та прiзвище |
IV. Ця частка податкової декларацiї заповнюється службовими особами ДПI(ДПА)
| Вiмiтка про внесення даних до електронної бази податкової звiтностi. Дата "__"__________200__ року. |
| Службова особа ДПI(ДПА) (пiдпис, прiзвище) |
| За результатами перевiрки декларацiї |
| порушень не виявлено |
складено акт вiд "___"____________ 200_ року № __ |
| (непотрiбне закреслити) |
"___"____________ 200_ року
Службова особа ДПI(ДПА) (пiдпис, прiзвище)
|
Додаток В
Таблиця В.1
Баланси сільгосппідприємства ТОВ «УНІРЕМ-АГРО» за 2002 – 2004 роки

Таблиця В.2
 Звіти про фінансові результати сільгосппідприємства ТОВ “УНІРЕМ-АГРО” за 2002 – 2004 роки
Таблиця В.3
“Горизонтально-вертикальний” розрізи динаміки балансів ТОВ “УНІРЕМ-АГРО” у 2002 –2003 роках

Таблиця В.4
“Горизонтально-вертикальний” розрізи динаміки балансів ТОВ “УНІРЕМ-АГРО” у 2002 –2003 роках
Таблиця В.5
“Горизонтально-вертикальний” розрізи звітів про фінансові результати ТОВ “УНІРЕМ-АГРО” у 2002 –2003 роках
Таблиця В.6
“Горизонтально-вертикальний” розрізи звітів про фінансові результати ТОВ “УНІРЕМ-АГРО” у 2003 –2004 роках
Додаток Г
Таблиця Г.1
Види податкових платежів та сплачені суми податків ТОВ “УНІРЕМ-АГРО” за 2002 рік
| Дата звіту |
Код інспекції |
Вид бюджету |
Розділ податку |
Параграф податку |
Стаття податку |
Код бюджетної класифікації |
Сальдо на початок року |
Нараховано |
Сплачено |
Недоїмка |
Переплата |
| всього |
коштами |
| 1.01.2003 |
419 |
30 |
5008 |
2 |
0 |
50080200 |
0,00 грн. |
0,00 грн. |
0,00 грн. |
0,00 грн. |
0,00 грн. |
8,81 грн. |
| 1.01.2003 |
403 |
30 |
1401 |
1 |
21 |
14010100 |
0,00 грн. |
73,06 грн. |
78,06 грн. |
78,06 грн. |
0,00 грн. |
5,00 грн. |
| 1.01.2003 |
419 |
30 |
5008 |
2 |
0 |
50080200 |
17,96 грн. |
0,00 грн. |
0,00 грн. |
0,00 грн. |
0,00 грн. |
17,96 грн. |
| 1.01.2003 |
403 |
30 |
1401 |
1 |
20 |
14010120 |
0,00 грн. |
9 620,00 грн. |
9 620,97 грн. |
9 620,97 грн. |
0,00 грн. |
0,97 грн. |
| 1.01.2003 |
403 |
30 |
5008 |
2 |
21 |
50080200 |
0,04 грн. |
54,10 грн. |
54,10 грн. |
54,06 грн. |
0,00 грн. |
0,00 грн. |
| 1.01.2003 |
419 |
50 |
5008 |
2 |
0 |
50080200 |
0,00 грн. |
0,00 грн. |
0,00 грн. |
0,00 грн. |
0,00 грн. |
20,55 грн. |
| 1.01.2003 |
419 |
50 |
1604 |
1 |
0 |
16040100 |
784,25 грн. |
1 089,11 грн. |
717,60 грн. |
717,60 грн. |
0,00 грн. |
412,73 грн. |
| 1.01.2003 |
419 |
50 |
5008 |
2 |
0 |
50080200 |
11,97 грн. |
0,00 грн. |
0,00 грн. |
-0,58 грн. |
0,00 грн. |
11,39 грн. |
| 1.01.2003 |
419 |
50 |
1406 |
2 |
0 |
14060200 |
0,00 грн. |
0,00 грн. |
100,00 грн. |
100,00 грн. |
0,00 грн. |
0,00 грн. |
| 1.01.2003 |
419 |
50 |
1604 |
1 |
0 |
16040100 |
1274,16 грн. |
11025,01 грн. |
12 365,00 грн. |
12 365,00 грн. |
0,00 грн. |
2614,15 грн. |
| 1.01.2003 |
403 |
50 |
5008 |
2 |
0 |
50080200 |
0,10 грн. |
126,19 грн. |
126,19 грн. |
126,09 грн. |
0,00 грн. |
0,00 грн. |
| 1.01.2003 |
403 |
50 |
1101 |
1 |
0 |
11010100 |
0,00 грн. |
0,00 грн. |
14 898,82 грн. |
14 898,82 грн. |
0,00 грн. |
0,00 грн. |
| 1.01.2003 |
419 |
70 |
5003 |
1 |
0 |
50030100 |
52,28 грн. |
72,61 грн. |
47,84 грн. |
47,84 грн. |
0,00 грн. |
27,52 грн. |
| 1.01.2003 |
419 |
70 |
5002 |
1 |
0 |
50020100 |
1777,62 грн. |
2468,65 грн. |
1 626,56 грн. |
1 626,56 грн. |
0,00 грн. |
935,53 грн. |
| Всього |
3918,38 грн. |
24528,73 грн. |
39635,14 грн. |
39634,42 грн. |
0,00 грн. |
4054,61 грн. |
Таблиця Г.2
Види податкових платежів та сплачені суми податків ТОВ “УНІРЕМ-АГРО” за 2003 рік
| Дата звіту |
Код інспекції |
Вид бюджету |
Розділ податку |
Параграф податку |
Стаття податку |
Код бюджетної класифікації |
Сальдо на початок року |
Нараховано |
Сплачено |
Недоїмка |
Переплата |
| всього |
коштами |
| 1.01.2004 |
472 |
30 |
5008 |
2 |
21 |
50080200 |
0,00 грн. |
232,20 грн. |
232,20 грн. |
232,20 грн. |
0,00 грн. |
0,00 грн. |
| 1.01.2004 |
472 |
30 |
1401 |
1 |
21 |
14010100 |
5,00 грн. |
-3 612,00 грн. |
0,00 грн. |
0,00 грн. |
0,00 грн. |
3 617,00 грн. |
| 1.01.2004 |
419 |
30 |
5008 |
2 |
0 |
50080200 |
0,00 грн. |
0,00 грн. |
0,00 грн. |
0,00 грн. |
0,00 грн. |
8,81 грн. |
| 1.01.2004 |
472 |
50 |
5008 |
2 |
21 |
50080200 |
0,00 грн. |
541,79 грн. |
541,79 грн. |
541,79 грн. |
0,00 грн. |
0,00 грн. |
| 1.01.2004 |
419 |
50 |
5008 |
2 |
0 |
50080200 |
0,00 грн. |
0,00 грн. |
0,00 грн. |
0,00 грн. |
0,00 грн. |
20,55 грн. |
| 1.01.2004 |
419 |
50 |
1604 |
1 |
0 |
16040100 |
784,25 грн. |
5 467,93 грн. |
5 040,90 грн. |
5 040,90 грн. |
0,00 грн. |
357,21 грн. |
| 1.01.2004 |
419 |
50 |
1305 |
2 |
0 |
13050200 |
0,00 грн. |
0,00 грн. |
8 830,30 грн. |
8 830,30 грн. |
0,00 грн. |
0,00 грн. |
| 1.01.2004 |
419 |
70 |
5003 |
1 |
0 |
50030100 |
52,28 грн. |
364,53 грн. |
336,06 грн. |
336,06 грн. |
0,00 грн. |
23,81 грн. |
| 1.01.2004 |
419 |
70 |
5002 |
1 |
0 |
50020100 |
1777,62 грн. |
12 393,98 грн. |
11 426,04 грн. |
11 426,04 грн. |
0,00 грн. |
809,68 грн. |
| 1.01.2004 |
472 |
52 |
1101 |
1 |
0 |
11010100 |
0,00 грн. |
0,00 грн. |
21 489,57 грн. |
21 489,57 грн. |
0,00 грн. |
0,00 грн. |
| 1.01.2004 |
403 |
75 |
1401 |
1 |
20 |
14010120 |
0,97 грн. |
0,00 грн. |
0,00 грн. |
0,00 грн. |
0,00 грн. |
0,97 грн. |
| Всього |
2 620,12 грн. |
15388,43 грн. |
47896,86 грн. |
47896,86 грн. |
0,00 грн. |
4 838,03 грн. |
Таблиця Г.3
Види податкових платежів та сплачені суми податків ТОВ “УНІРЕМ-АГРО” за 2004 рік
| Дата звіту |
Код інспекції |
Вид бюджету |
Розділ податку |
Параграф податку |
Стаття податку |
Код бюджетної класифікації |
Сальдо на початок року |
Нараховано |
Сплачено |
Недоїмка |
Переплата |
| всього |
коштами |
| 1.01.2005 |
403 |
75 |
1401 |
1 |
20 |
14010120 |
0,97 грн. |
0,00 грн. |
0,00 грн. |
0,00 грн. |
0,00 грн. |
0,97 грн. |
| 1.01.2005 |
419 |
30 |
5008 |
2 |
0 |
50080200 |
8,81 грн. |
1,98 грн. |
0,00 грн. |
0,00 грн. |
0,00 грн. |
6,83 грн. |
| 1.01.2005 |
419 |
50 |
1101 |
1 |
0 |
11010100 |
0,00 грн. |
0,00 грн. |
24 046,61 грн. |
24 046,61 грн. |
0,00 грн. |
0,00 грн. |
| 1.01.2005 |
419 |
50 |
1604 |
1 |
0 |
16040100 |
357,21 грн. |
5 908,42 грн. |
5 949,90 грн. |
5 949,90 грн. |
0,00 грн. |
398,69 грн. |
| 1.01.2005 |
419 |
50 |
5008 |
2 |
0 |
50080200 |
20,55 грн. |
4,61 грн. |
0,00 грн. |
0,00 грн. |
0,00 грн. |
15,93 грн. |
| 1.01.2005 |
419 |
70 |
5002 |
1 |
0 |
50020100 |
809,68 грн. |
13 392,42 грн. |
13 486,44 грн. |
13 486,44 грн. |
0,00 грн. |
903,71 грн. |
| 1.01.2005 |
419 |
70 |
5003 |
1 |
0 |
50030100 |
23,81 грн. |
393,89 грн. |
396,66 грн. |
396,66 грн. |
0,00 грн. |
26,58 грн. |
| 1.01.2005 |
472 |
30 |
1102 |
8 |
21 |
11020800 |
0,00 грн. |
17,00 грн. |
17,00 грн. |
17,00 грн. |
0,00 грн. |
0,00 грн. |
| 1.01.2005 |
472 |
30 |
1401 |
1 |
21 |
14010100 |
3 617,00 грн. |
1 046,00 грн. |
0,00 грн. |
0,00 грн. |
0,00 грн. |
2571,00грн |
| 1.01.2005 |
472 |
30 |
5008 |
2 |
21 |
50080200 |
0,00 грн. |
337,03 грн. |
337,03 грн. |
337,03 грн. |
0,00 грн. |
0,00 грн. |
| 1.01.2005 |
472 |
50 |
5008 |
2 |
21 |
50080200 |
0,00 грн. |
786,41 грн. |
786,41 грн. |
786,41 грн. |
0,00 грн. |
0,00 грн. |
| 1.01.2005 |
472 |
52 |
1101 |
1 |
0 |
11010100 |
0,00 грн. |
0,00 грн. |
9 348,52 грн. |
9 348,52 грн. |
0,00 грн. |
0,00 грн. |
| 1.01.2005 |
472 |
52 |
1305 |
2 |
0 |
13050200 |
0,00 грн. |
0,00 грн. |
6 759,00 грн. |
6 759,00 грн. |
0,00 грн. |
0,00 грн. |
| Всього |
4 838,03 грн. |
21 887,76 грн. |
61 127,57 грн. |
61 127,57 грн. |
0,00 грн. |
3923,71грн |
Таблиця Г.4
Види податкових платежів та сплачені суми податків ТОВ “УНІРЕМ-АГРО” за 1 квартал 2005 року
| Дата звіту |
Код інспекції |
Вид бюджету |
Розділ податку |
Параграф податку |
Стаття податку |
Код бюджетної класифікації |
Сальдо на початок року |
Нараховано |
Сплачено |
Недоїмка |
Переплата |
| всього |
коштами |
| 1.04.2005 |
403 |
75 |
1401 |
1 |
20 |
14010120 |
0,97 грн. |
0,00 грн. |
0,00 грн. |
0,00 грн. |
0,00 грн. |
0,97 грн. |
| 1.04.2005 |
419 |
30 |
5008 |
2 |
0 |
50080200 |
6,83 грн. |
0,00 грн. |
0,00 грн. |
0,00 грн. |
0,00 грн. |
6,83 грн. |
| 1.04.2005 |
419 |
50 |
1101 |
1 |
0 |
11010100 |
0,00 грн. |
0,00 грн. |
1 189,94 грн. |
1 189,94 грн. |
0,00 грн. |
0,00 грн. |
| 1.04.2005 |
419 |
50 |
1305 |
2 |
0 |
13050200 |
0,00 грн. |
0,00 грн. |
103,39 грн. |
103,39 грн. |
0,00 грн. |
0,00 грн. |
| 1.04.2005 |
419 |
50 |
1604 |
1 |
0 |
16040100 |
1 328,98 грн. |
2 413,89 грн. |
2 498,00 грн. |
2 498,00 грн. |
0,00 грн. |
1 413,09 грн. |
| 1.04.2005 |
419 |
50 |
5008 |
2 |
0 |
50080200 |
15,93 грн. |
0,00 грн. |
0,00 грн. |
0,00 грн. |
0,00 грн. |
15,93 грн. |
| 1.04.2005 |
472 |
30 |
1102 |
10 |
21 |
11021000 |
0,00 грн. |
1,00 грн. |
1,00 грн. |
1,00 грн. |
0,00 грн. |
0,00 грн. |
| 1.04.2005 |
472 |
30 |
1401 |
1 |
21 |
14010100 |
2 571,00 грн. |
1,00 грн. |
0,00 грн. |
0,00 грн. |
0,00 грн. |
2 570,00 грн. |
| 1.04.2005 |
472 |
30 |
5008 |
2 |
21 |
50080200 |
0,00 грн. |
28,22 грн. |
28,22 грн. |
28,22 грн. |
0,00 грн. |
0,00 грн. |
| 1.04.2005 |
472 |
50 |
5008 |
2 |
21 |
50080200 |
0,00 грн. |
65,84 грн. |
65,84 грн. |
65,84 грн. |
0,00 грн. |
0,00 грн. |
| 1.04.2005 |
472 |
52 |
1101 |
1 |
0 |
11010100 |
0,00 грн. |
0,00 грн. |
2 22,18 грн. |
2 122,18 грн. |
0,00 грн. |
0,00 грн. |
| 1.04.2005 |
472 |
52 |
1305 |
2 |
0 |
13050200 |
0,00 грн. |
0,00 грн. |
2253,00 грн. |
2 253,00 грн. |
0,00 грн. |
0,00 грн. |
| Всього |
3 923,71 грн. |
2 509,95 грн. |
8261,57 грн. |
8 261,57 грн. |
0,00 грн. |
4 006,82 грн. |
Таблиця Г.5
Динаміка щомісячної сплати фіксованого СГподатку ТОВ “УНІРЕМ-АГРО” у 2001 –2005 роках
| Дата звіту |
Код інспекції |
Вид бюджету |
Розділ податку |
Параграф податку |
Стаття податку |
Код бюджетної класифікації |
Сальдо на початок року |
Нараховано |
Сплачено |
Недоїмка |
Переплата |
| всього |
коштами |
| 1.04.2005 |
419 |
50 |
1604 |
1 |
0 |
16040100 |
1 328,98 грн. |
2 413,89 грн. |
2 498,00 грн. |
2 498,00 грн. |
0,00 грн. |
1 413,09 грн. |
| 1.03.2005 |
419 |
50 |
1604 |
1 |
0 |
16040100 |
1 328,98 грн. |
2 214,57 грн. |
2 254,00 грн. |
2 254,00 грн. |
0,00 грн. |
1 368,41 грн. |
| 1.02.2005 |
419 |
50 |
1604 |
1 |
0 |
16040100 |
1 328,98 грн. |
2 015,25 грн. |
2 010,00 грн. |
2 010,00 грн. |
0,00 грн. |
1 323,73 грн. |
| 1.01.2005 |
419 |
50 |
1604 |
1 |
0 |
16040100 |
357,21 грн. |
5 908,42 грн. |
5 949,90 грн. |
5 949,90 грн. |
0,00 грн. |
398,69 грн. |
| 1.12.2004 |
419 |
50 |
1604 |
1 |
0 |
16040100 |
357,21 грн. |
5 303,81 грн. |
5 379,90 грн. |
5 379,90 грн. |
0,00 грн. |
433,30 грн. |
| 1.11.2004 |
419 |
50 |
1604 |
1 |
0 |
16040100 |
357,21 грн. |
3 691,53 грн. |
4 779,90 грн. |
4 779,90 грн. |
0,00 грн. |
1 445,58 грн. |
| 1.10.2004 |
419 |
50 |
1604 |
1 |
0 |
16040100 |
357,21 грн. |
3 691,53 грн. |
3 697,80 грн. |
3 697,80 грн. |
0,00 грн. |
363,48 грн. |
| 1.09.2004 |
419 |
50 |
1604 |
1 |
0 |
16040100 |
357,21 грн. |
2 683,86 грн. |
2 698,20 грн. |
2 698,20 грн. |
0,00 грн. |
371,56 грн. |
| 1.08.2004 |
419 |
50 |
1604 |
1 |
0 |
16040100 |
357,21 грн. |
1 676,18 грн. |
1 698,60 грн. |
1 698,60 грн. |
0,00 грн. |
379,63 грн. |
| 1.07.2004 |
419 |
50 |
1604 |
1 |
0 |
16040100 |
357,21 грн. |
1 486,05 грн. |
1 498,50 грн. |
1 498,50 грн. |
0,00 грн. |
369,67 грн. |
| 1.06.2004 |
419 |
50 |
1604 |
1 |
0 |
16040100 |
357,21 грн. |
1 105,78 грн. |
1 298,40 грн. |
1 298,40 грн. |
0,00 грн. |
549,84 грн. |
| 1.05.2004 |
419 |
50 |
1604 |
1 |
0 |
16040100 |
357,21 грн. |
1 105,78 грн. |
1 098,30 грн. |
1 098,30 грн. |
0,00 грн. |
349,74 грн. |
| 1.04.2004 |
419 |
50 |
1604 |
1 |
0 |
16040100 |
357,21 грн. |
915,64 грн. |
898,20 грн. |
898,20 грн. |
0,00 грн. |
339,77 грн. |
| 1.03.2004 |
419 |
50 |
1604 |
1 |
0 |
16040100 |
357,21 грн. |
535,37 грн. |
708,00 грн. |
708,00 грн. |
0,00 грн. |
529,85 грн. |
| 1.02.2004 |
419 |
50 |
1604 |
1 |
0 |
16040100 |
357,21 грн. |
535,37 грн. |
517,80 грн. |
517,80 грн. |
0,00 грн. |
339,65 грн. |
| 1.01.2004 |
419 |
50 |
1604 |
1 |
0 |
16040100 |
784,25 грн. |
5 467,93 грн. |
5 040,90 грн. |
5 040,90 грн. |
0,00 грн. |
357,21 грн. |
| 1.12.2003 |
419 |
50 |
1604 |
1 |
0 |
16040100 |
784,25 грн. |
4 397,20 грн. |
4 523,10 грн. |
4 523,10 грн. |
0,00 грн. |
910,15 грн. |
| 1.11.2003 |
419 |
50 |
1604 |
1 |
0 |
16040100 |
784,25 грн. |
4 397,20 грн. |
4 005,30 грн. |
4 005,30 грн. |
0,00 грн. |
392,35 грн. |
| 1.10.2003 |
419 |
50 |
1604 |
1 |
0 |
16040100 |
784,25 грн. |
3 504,91 грн. |
3 137,40 грн. |
3 137,40 грн. |
0,00 грн. |
416,73 грн. |
| 1.09.2003 |
419 |
50 |
1604 |
1 |
0 |
16040100 |
2 614,15 грн. |
5 931,13 грн. |
7 565,00 грн. |
7 565,00 грн. |
0,00 грн. |
4 248,02 грн. |
| 1.08.2003 |
419 |
50 |
1604 |
1 |
0 |
16040100 |
2 614,15 грн. |
5 931,13 грн. |
4 672,00 грн. |
4 672,00 грн. |
0,00 грн. |
1 355,02 грн. |
| 1.07.2003 |
419 |
50 |
1604 |
1 |
0 |
16040100 |
784,25 грн. |
1 434,23 грн. |
1 236,00 грн. |
1 236,00 грн. |
0,00 грн. |
586,02 грн. |
| 1.06.2003 |
419 |
50 |
1604 |
1 |
0 |
16040100 |
784,25 грн. |
1 419,82 грн. |
1 063,20 грн. |
1 063,20 грн. |
0,00 грн. |
427,63 грн. |
| 1.05.2003 |
419 |
50 |
1604 |
1 |
0 |
16040100 |
784,25 грн. |
1 254,47 грн. |
890,40 грн. |
890,40 грн. |
0,00 грн. |
420,18 грн. |
| 1.04.2003 |
419 |
50 |
1604 |
1 |
0 |
16040100 |
784,25 грн. |
1 089,11 грн. |
717,60 грн. |
717,60 грн. |
0,00 грн. |
412,73 грн. |
| 1.03.2003 |
419 |
50 |
1604 |
1 |
0 |
16040100 |
2 614,15 грн. |
2 528,00 грн. |
1 840,00 грн. |
1 840,00 грн. |
0,00 грн. |
1 926,15 грн. |
| 1.02.2003 |
419 |
50 |
1604 |
1 |
0 |
16040100 |
2 614,15 грн. |
2 528,00 грн. |
1 288,00 грн. |
1 288,00 грн. |
0,00 грн. |
1 374,15 грн. |
| 1.01.2003 |
419 |
50 |
1604 |
1 |
0 |
16040100 |
1 274,16 грн. |
11 025,01 грн. |
12 365,00 грн. |
12 365,00 грн. |
0,00 грн. |
2 614,15 грн. |
| 1.01.2003 |
419 |
50 |
1604 |
1 |
0 |
16040100 |
784,25 грн. |
1 089,11 грн. |
717,60 грн. |
717,60 грн. |
0,00 грн. |
412,73 грн. |
| 1.12.2002 |
419 |
30 |
1604 |
1 |
0 |
16040100 |
1 274,16 грн. |
9 796,01 грн. |
11 077,00 грн. |
11 077,00 грн. |
0,00 грн. |
2 555,15 грн. |
| 1.12.2002 |
419 |
30 |
1604 |
1 |
0 |
16040100 |
1 274,16 грн. |
9 796,01 грн. |
11 077,00 грн. |
11 077,00 грн. |
0,00 грн. |
2 555,15 грн. |
| 1.11.2002 |
419 |
30 |
1604 |
1 |
0 |
16040100 |
1 274,16 грн. |
9 796,01 грн. |
9 789,00 грн. |
9 789,00 грн. |
0,00 грн. |
1 267,15 грн. |
| 1.10.2002 |
419 |
30 |
1604 |
1 |
0 |
16040100 |
1 274,16 грн. |
7 747,68 грн. |
7 642,00 грн. |
7 642,00 грн. |
0,00 грн. |
1 168,48 грн. |
| 1.09.2002 |
419 |
30 |
1604 |
1 |
0 |
16040100 |
1 274,16 грн. |
5 699,35 грн. |
5 592,00 грн. |
5 592,00 грн. |
0,00 грн. |
1 166,81 грн. |
| 1.08.2002 |
419 |
30 |
1604 |
1 |
0 |
16040100 |
1 274,16 грн. |
3 651,02 грн. |
3 542,00 грн. |
3 542,00 грн. |
0,00 грн. |
1 165,14 грн. |
| 1.07.2002 |
419 |
30 |
1604 |
1 |
0 |
16040100 |
1 274,16 грн. |
2 831,68 грн. |
3 132,00 грн. |
3 132,00 грн. |
0,00 грн. |
1 574,48 грн. |
| 1.06.2002 |
419 |
30 |
1604 |
1 |
0 |
16040100 |
1 274,16 грн. |
2 831,68 грн. |
2 722,00 грн. |
2 722,00 грн. |
0,00 грн. |
1 164,48 грн. |
| 1.05.2002 |
419 |
30 |
1604 |
1 |
0 |
16040100 |
1 274,16 грн. |
2 422,01 грн. |
2 312,00 грн. |
2 312,00 грн. |
0,00 грн. |
1 164,15 грн. |
| 1.04.2002 |
419 |
30 |
1604 |
1 |
0 |
16040100 |
1 274,16 грн. |
1 602,67 грн. |
1 902,00 грн. |
1 902,00 грн. |
0,00 грн. |
1 573,49 грн. |
| 1.03.2002 |
419 |
30 |
1604 |
1 |
0 |
16040100 |
1 274,16 грн. |
1 602,67 грн. |
1 492,00 грн. |
1 492,00 грн. |
0,00 грн. |
1 163,49 грн. |
| 1.02.2002 |
419 |
30 |
1604 |
1 |
0 |
16040100 |
1 274,16 грн. |
1 193,00 грн. |
1 082,00 грн. |
1 082,00 грн. |
0,00 грн. |
1 163,16 грн. |
| 1.01.2002 |
419 |
85 |
1604 |
1 |
0 |
16040100 |
0,00 грн. |
10 006,84 грн. |
10 088,00 грн. |
10 088,00 грн. |
0,00 грн. |
81,16 грн. |
| 1.12.2001 |
419 |
85 |
1604 |
1 |
0 |
16040100 |
0,00 грн. |
8 813,84 грн. |
8 895,00 грн. |
8 895,00 грн. |
0,00 грн. |
81,16 грн. |
| 1.11.2001 |
419 |
85 |
1604 |
1 |
0 |
16040100 |
0,00 грн. |
7 620,84 грн. |
7 702,00 грн. |
7 702,00 грн. |
0,00 грн. |
81,16 грн. |
| 1.10.2001 |
419 |
85 |
1604 |
1 |
0 |
16040100 |
0,00 грн. |
5 632,51 грн. |
5 712,00 грн. |
5 712,00 грн. |
0,00 грн. |
79,49 грн. |
| 1.09.2001 |
419 |
85 |
1604 |
1 |
0 |
16040100 |
0,00 грн. |
3 644,18 грн. |
3 722,00 грн. |
3 722,00 грн. |
0,00 грн. |
77,82 грн. |
| 1.09.2001 |
419 |
30 |
1604 |
1 |
0 |
16040100 |
1 274,16 грн. |
1 193,00 грн. |
1 082,00 грн. |
1 082,00 грн. |
0,00 грн. |
1 163,16 грн. |
| 1.08.2001 |
419 |
85 |
1604 |
1 |
0 |
16040100 |
0,00 грн. |
1 610,48 грн. |
1 732,00 грн. |
1 732,00 грн. |
0,00 грн. |
121,52 грн. |
| 1.07.2001 |
419 |
85 |
1604 |
1 |
0 |
16040100 |
0,00 грн. |
1 258,18 грн. |
1 282,00 грн. |
1 282,00 грн. |
0,00 грн. |
23,82 грн. |
Додаток Ж
Таблиця Ж.1






Таблиця Ж.2


 Додаток З


Додаток І
Економетрична модель розрахунку прибутку сільгосппідприємства та сумарного податкового навантаження при різних моделях оподаткування
а) Вихідний варіант № 1 :
– сплата фіксованого сільгоспподатку незалежно від результатів діяльності (рентна плата з сільгоспугідь);
- сплата всіх додаткових податків (за забруднення навколишнього середовища, зборів в пенсійно-соціальні фонди та інші) з валовогоопераційного доходу (стаття - інші витрати);
1. Чистий валовий дохід від реалізації продукції ЧВД розраховується як:
(І.1)
де ВД – валова виручка від реалізації продукції
ПДВотр – сума ПДВ, отримана при продажу продукції;
ПДВ сплач – сума ПДВ, сплачена за той же період за куплену продукцію, матеріали та послуги;
ПДВекс_відш – сума ПДВ, яка підлягає експортному відшкодуванню з бюджету при експорті продукції;
АКЦзбір - акцизний збір з реалізованої продукції;
2. Валовий прибуток від реалізації продукції ВПРреал розраховується як :
ВПРреал =ЧВД – СОБпрод (І.2)
де СОБпрод – собівартість продукції, яка розраховується як :
СОБпрод = МВИТРпрод+ЗАРПЛ+ПЕНС_Ф+ФОНД_СС+ФСП+ПОДАТКИ_ФСП+АМОРТ+ВИТРреал+НАКЛвитр (І.3)
де МВИТРпрод – матеріальні витрати на виробництво продукції;
ЗАРПЛ – обсяг фонду заробітної плати, сплаченої найманим виробникам;
ПЕНС-Ф – обсяг зборів в Пенсійний фонд з фонда заробітної плати;
ФОНД_СС – обсяги зборів у 2 фонди соціального страхування з фонду заробітної плати (тимчасової непрацездатності, безробіття, нещасного випадку);
ФСП – фіксований сільськогосподарський податок
ПОДАТКИ_ФСП – сплачені підприємством податки та збори, які входять до собівартості продукції та сплачуються зверх ФСП:
1) збір за забруднення навколишнього природного середовища;
2) місцевий податок з реклами;
3) місцеві збори
АМОРТ – відрахування в фонд амортизації основних засобів;
ВИТРреал – витрати на реалізацію продукції (реклама, транспортування та інше);
НАКЛвитр – накладні витрати – додаткові витрати, які відносятьсядо собівартості продукції;
3. Чистий прибуток підприємства зі всіх видів діяльності ЧИСТ_ПРИБ розраховується як :
ЧИСТ_ПРИБ=ВПРреал +ДОХнереал-ВИТРнереал (І.4)
де ДОХнереал – всі інші види доходів підприємства зверх реалізації продукції, які мають право бути віднесені до валових доходів;
ВИТРнереал – всі види витрат підприємства поверх собівартості, які мають право бути віднесені до валових витрат;
4. Податкова нагрузка на валовий дохід в % розраховується як :

5. Податкова нагрузка на чистий прибуток в % розраховується як :
(І.6)
б) Варіант стандартного оподаткування № 2 :
- сплата податку на отриманий валовий прибуток за ставкою 25% в залежності від результатів діяльності;
- сплата всіх податків та зборів (податок на землю, за забруднення навколишнього середовища, зборів в пенсійно-соціальні фонди) за рахунок валових витрат в собівартості;
1. Чистий валовий дохід від реалізації продукції ЧВД розраховується як:
(І.7)
де ВД – валова виручка від реалізації продукції
ПДВотр – сума ПДВ, отримана при продажу продукції;
ПДВ сплач – сума ПДВ, сплачена за той же період за куплену продукцію, матеріали та послуги;
ПДВекс_відш – сума ПДВ, яка підлягає експортному відшкодуванню з бюджету при експорті продукції;
АКЦзбір - акцизний збір з реалізованої продукції;
2. Валовий прибуток від реалізації продукції ВПРреал розраховується як :
ВПРреал =ЧВД – СОБпрод (І.8)
де СОБпрод – собівартість продукції, яка розраховується як :
СОБпрод =МВИТРпрод+ЗАРПЛ+ПЕНС_Ф+ФОНД_СС+ПОДАТКИ+ +АМОРТ+ВИТРреал+НАКЛвитр (І.9)
де МВИТРпрод – матеріальні витрати на виробництво продукції;
ЗАРПЛ – обсяг фонду заробітної плати, сплаченої найманим виробникам;
ПЕНС-Ф – обсяг зборів в Пенсійний фонд з фонда заробітної плати;
ФОНД_СС – обсяги зборів у 2 фонди соціального страхування з фонду заробітної плати (тимчасової непрацездатності, безробіття, нещасного випадку);
ПОДАТКИ – сплачені підприємством податки та збори, які входять до собівартості продукції :
1) податок на нерухоме майно (нерухомість);
2) плата (податок) за землю;
3) рентні платежі;
4) податок з власників транспортних засобів та інших самохідних машин і механізмів;
5) збір за геологорозвідувальні роботи, виконані за рахунок державного бюджету;
6) збір за спеціальне використання природних ресурсів;
7) збір за забруднення навколишнього природного середовища;
8) плата за торговий патент на деякі види підприємницької діяльності.
9) збір на розвиток виноградарства, садівництва і хмелярства;
10) збір у вигляді цільової надбавки до діючого тарифу на електричну та теплову енергію.
11) місцевий податок з реклами;
12) місцевий комунальний податок.
13) місцеві збори
АМОРТ – відрахування в фонд амортизації основних засобів;
ВИТРреал – витрати на реалізацію продукції (реклама, транспортування та інше);
НАКЛвитр – накладні витрати – додаткові витрати, які відносяться до собівартості продукції;
3. Балансовий прибуток підприємства зі всіх видів діяльності БАЛ_ПРИБ розраховується як :
БАЛ_ПРИБ=ВПРреал +ДОХнереал-ВИТРнереал (І.10)
де ДОХнереал – всі інші види доходів підприємства зверх реалізації продукції, які мають право бути віднесені до валових доходів;
ВИТРнереал – всі види витрат підприємства поверх собівартості, які мають право бути віднесені до валових витрат;
4. Податок на прибуток розраховується як :
ПОД_ПРИБ=БАЛ_ПРИБ*25% (І.11)
де 25% - законодавча ставка податку на балансовий прибуток у 2005 році;
5. Чистий прибуток до розподілу розраховується як :
ЧИСТ_ПРИБ = БАЛ_ПРИБ – ПОД_ПРИБ (І.12)
6. Податкова нагрузка на валовий дохід в % розраховується як :

7. Податкова нагрузка на чистий прибуток в % розраховується як :

в) Варіант сплати єдиного податку 6% +ПДВ (№ 3) (Додаток І):
- сплата єдиного податку на валовий дохід по ставці 6% в залежності від результатів діяльності;
- сплата всіх додаткових податків та зборів (зборів в пенсійно-соціальні фонди за найманих працівників) за рахунок операційного доходу (стаття - інші витрати);
1. Чистий валовий дохід від реалізації продукції ЧВД розраховується як:
(І.15)
де ВД – валова виручка від реалізації продукції
ПДВотр – сума ПДВ, отримана при продажу продукції;
ПДВ сплач – сума ПДВ, сплачена за той же період за куплену продукцію, матеріали та послуги;
ПДВекс_відш – сума ПДВ, яка підлягає експортному відшкодуванню з бюджету при експорті продукції;
АКЦзбір - акцизний збір з реалізованої продукції;
2. Валовий прибуток від реалізації продукції ВПРреал розраховується як :
ВПРреал =ЧВД – СОБпрод (І.16)
де СОБпрод – собівартість продукції, яка розраховується як :
СОБпрод =МВИТРпрод+ЗАРПЛ+ПЕНС_Ф+ФОНД_СС+ +ПОДАТКИ_ЕП +АМОРТ+ ВИТРреал+НАКЛвитр (І.17)
де МВИТРпрод – матеріальні витрати на виробництво продукції;
ЗАРПЛ – обсяг фонду заробітної плати, сплаченої найманим виробникам;
ПЕНС-Ф – обсяг зборів в Пенсійний фонд з фонда заробітної плати;
ФОНД_СС – обсяги зборів у 2 фонди соціального страхування з фонду заробітної плати (тимчасової непрацездатності, безробіття, нещасного випадку);
ПОДАТКИ_ЕП – сплачені підприємством податки та збори, які входять до собівартості продукції зверх єдиного податку:
1) збір за забруднення навколишнього природного середовища;
2) збір на розвиток виноградарства, садівництва і хмелярства;
3) місцевий податок з реклами;
4) місцеві збори
АМОРТ – відрахування в фонд амортизації основних засобів;
ВИТРреал – витрати на реалізацію продукції (реклама, транспортування та інше);
НАКЛвитр – накладні витрати – додаткові витрати, які відносяться до собівартості продукції;
3. Чистий прибуток підприємства зі всіх видів діяльності ЧИСТ_ПРИБ розраховується як :
ЧИСТ_ПРИБ=ВПРреал+ДОХнереал-ВИТРнереал-ЕДИНИЙ_ПОДАТОК
де ДОХнереал – всі інші види доходів підприємства зверх реалізації продукції, які мають право бути віднесені до валовихдоходів;
ВИТРнереал – всі види витрат підприємства поверх собівартості, які мають право бути віднесені до валових витрат;
ЕДИНИЙ_ПОДАТОК=(ЧВД+ДОХнереал)*6%/100% (І.19)
6. Податкова нагрузка на валовий дохід в % розраховується як :

7. Податкова нагрузка на чистий прибуток в % розраховується як :
(І.21)
[1]
Мельник П. В. Розвиток податкової системи в перехідній економіці / Держ. подат. адміністрація України; Акад. ДПС України. — Ірпінь: Акад. ДПС України,2001
[2]
Михасюк І., Залога З., Мельник А., Крупка М. Державне регулювання економіки, Київ, “Ельга-Н”, 2000.
[3]
Савченко Л. А., Цимбалюк А. В., Капіца В. А. та ін. Фінансово-правовий механізм формування дохідної частини бюджетів: Курс лекцій / Держ. подат. адміністрація України; Акад. ДПС України. — Ірпінь: Акад. ДПС України, 2002.
[4]
УКАЗ ПРЕЗИДЕНТА УКРАЇНИ „Про затвердження Положення про Державну податкову адміністрацію України” станом змін від 18 червня 2003 року N 533/2003
[5]
ДЕРЖАВНА ПОДАТКОВА АДМІНІСТРАЦІЯ УКРАЇНИ, НАКАЗ « 25 » грудня 2004 р. № 722 „Про організаційну структуру органів державної податкової служби”
|