Тема 2. Фотонна теорія світла
План
1. Світло як потік фотонів. Фотонна теорія світла
2. Енергія та імпульс фотона. Досліди С.І. Вавилова
3. Досліди П.М. Лебєдева. Тиск світла
4. Ефект Компотна. Корпускулярно-хвильовий дуалізм світла
1. Світло як потік фотонів. Фотонна теорія світла
Як зазначалось, для пояснення розподілу енергії випромінювання в спектрі абсолютно чорного тіла М. Планк припустив, що світло випромінюється порціями, енергія яких .
Для пояснення фотоефекту довелось припустити, що світло також поглинається порціями енергії. Ці явища неможливо пояснити на основі класичної фізики. Для розкриття природи світла А. Ейнштейн висунув гіпотезу про те, що світло не тільки випромінюється і поглинається, але і поширюється у вигляді дискретних частинок, названих спочатку світловими квантами, а потім фотонами Гіпотеза Ейнштейна була підтверджена рядом спеціально поставлених експериментів, класичних за своїм задумом і виконанням.
Розглянемо найбільш оригінальні. З метою вивчення елементарного фотоефекту, зумовленого рентгенівськими променями, в 1922 р. А.Ф. Йоффе із співробітниками провів такий експеримент. В ебонітовому блоці (рис. 9.9) зроблено порожнину, з якої через трубку Rвідкачувалось повітря. Порожнина виконувала роль мініатюрної рентгенівської трубки, катодом якої є кінець тонкої алюмінієвої дротини К. Катод освітлювався ультрафіолетовими променями через кварцеве віконце L. До катода К і пластини А (анод рентгенівської трубки) прикладалась напруга близько 12000 В. Освітленість катода була такою, що з нього вивільнялось близько 1000 фотоелектронів за секунду, які після прискорення гальмувались пластиною А. Внаслідок гальмування електронів з антикатода А випромінювалось близько 1000 фотонів рентгенівського випромінювання в секунду. Алюмінієва пластина А (завтовшки мм) і пластина В утворювали плоский конденсатор, в якому зависала вісмутова пилинка W радіусом порядку см на відстані близько 0,02 см від пластини А. Час від часу порушувалась рівновага пилинки, оскільки рентгенівське випромінювання вибивало з неї електрон.
 
Спостереження показали, що цей електрон несе з собою всю енергію падаючого рентгенівського фотона. Втрати електрона пилинкою відбувались через різні проміжки часу (в середньому через 30 хв).
Результати дослідів неможливо пояснити на основі чисто хвильової теорії поширення світла. Якщо вважати, що енергія рентгенівських імпульсів рівномірно розподіляється по всьому сферичному фронту хвилі, то на долю одного електрона пилинки припадає досить мала енергія, яка недостатня для його вивільнення з металу. Для пояснення цих результатів треба припустити, що електрон неймовірно довго (30 хв.) накопичує енергію рентгенівського випромінювання, не віддаючи її сусіднім частинкам, або всі електрони пилинки незрозумілим шляхом передають поглинуту енергію одному електрону, який вивільняється з пилинки. Таке пояснення втрачає зміст, оскільки вивільнення електронів відбувається з однією й тією самою енергією через різні проміжки часу.
Результати дослідів можна пояснити тільки на основі уявлень про корпускулярну структуру випромінювання, а саме: з потоку рентгенівського випромінювання при поглинанні електрон сприймає енергію одного фотона, а не будь-яку кількість енергії; рентгенівський фотон, маючи енергію, достатню для вивільнення з металу тисячі електронів, поглинається тільки одним із них.
Ці досліди особливо цінні тим, що дають змогу простежити за дією окремих фотонів. Однак це не означає, що ейнштейнівське уявлення про фотони є просто поверненням до ньютонівських світлових корпускул. Квантова природа світла проявляється в тому, що пилинка може поглинути не частину енергії, а тільки повністю фотон. Якщо світло має дискретну, корпускулярну структуру, то процес взаємодії фотонів з частинками можна описати за допомогою методів математичної статистики.
Знайдемо середній час між двома наступними актами поглинання фотонів. Пилинку радіусом г видно з місця випускання фотонів на відстані d під тілесним кутом Відношення являє собою ймовірність попадання фотона в пилинку. Нехай в одиницю часу випускається N фотонів. Якщо вважати, що фотони, які падають на пилинку, повністю нею поглинаються, то кількість поглинутих пилинкою фотонів за час буде '' Для 

Отже, розрахунки збігаються з дослідом.
Якщо світло має корпускулярні властивості, то мають місце флуктуації в слабких світлових потоках. Такі флуктуації спочатку були виявлені для короткохвильового випромінювання (рентгенівського γ - випромінювання). До перших з дослідів по виявленню флуктуацій належать дослід В. Боте.
2.Енергія та імпульс фотона. Досліди С.І. Вавилова
Особливе значення має виявлення флуктуацій світлових потоків для видимого світла. Такі спостереження виконали С.І. Вавилов і його співробітники. Приймачем у цих дослідах було людське око, яке має сталий поріг зорового відчуття і до того ж дуже малий. Периферійна ділянка сітчатки людського ока, адаптованого до темноти, здатна реагувати на світловий потік, енергія якого дорівнює енергії близько двохсот фотонів. Оскільки світло перш, ніж досягне сітчатки ока, проходить крізь різні середовища, в яких зазнає відбивання і поглинання, то мінімальне число фотонів, що викликає зорове відчуття, значно менше від наведеної кількості і за оцінкою С.І. Вавилова становить кілька десятків, а можливо, і декілька фотонів.
Щоб зрозуміти ідею дослідів Вавилова, нагадаємо деякі відомості про око. Відомо, що в сітчатці ока є два типи елементів, які сприймають світло,— це колбочки і палички. Колбочки переважно знаходяться поблизу оптичної осі ока, і з ними зв'язаний апарат кольорового зору. Палички переважають у периферійній частині сітчатки, вони зумовлюють сірий, так званий сумерковий або периферійний зір. їх чутливість значно переважає чутливість колбочок. Досліди Вавилова базувались на існуванні чіткого порогу зорового відчуття. Схема установки С І. Вавилова для візуального спостереження флуктуацій світлового потоку зображена на рис. 9.10. Око фокусується на слабке червоне світло джерела S.

При цьому головний світловий потік від лампи L, виділений діафрагмою D, падає на периферійну частинку сітчатки ока. На шляху від дзеркала Zдо ока розміщено диск В з отвором. Диск приводиться в рух синхронним електродвигуном М і робить один оберт за секунду. Розмір отвору такий, що світло проходить крізь нього протягом 0,1 с і спостерігач реєструє короткочасний спалах. Зелений світлофільтр F і нейтральний фотометричний клин К дають змогу виділити досліджувану ділянку спектра і ослабити потік, що попадає в око. Для абсолютних вимірювань енергії, яка відповідає порогові зору, дзеркало Z приймають і діафрагму D освітлюють практичним повним випромінювачем Т. Спостерігач у момент спалаху на рухомій стрічці робив помітки. На ній же відмічався кожний оберт диска в момент, коли світло проходило крізь його отвір. Виявилось, що при світловому потоці, який перевищує поріг зорового відчуття, спостерігач фіксує кожний спалах, а при зменшенні потоку до величини, що відповідає порогу зорового відчуття, спостерігач фіксує не всі спалахи. Спостерігач фіксував також спалахи і при середньому потоці, меншому, ніж поріг зорового відчуття. Це зумовлено флуктуаціями кількості фотонів в окремих потоках: в одних випадках їх проходила достатня кількість, щоб викликати зорове відчуття, в інших — недостатня.
Застосовуючи статистичні методи, С.І. Вавилов на основі експериментальних даних визначив середню кількість фотонів у світловому потоці. Отже, безпосередньо доведена дискретна, квантова структура світла, тобто доведено існування особливих світлових частинок-фотонів, енергія яких Виходячи із закону взаємозв'язку маси і енергії, можна визначити масу фотона (9.4)
Так, для монохроматичних світлових променів, до яких чутливість людського ока максимальна , маса фотона 4 10-36 кг для жорсткого рентгенівського випромінювання маса фотона порівняна з масою електрона, а для ^"випромінювання — більша за масу електронів. Частинка, яка рухається зі швидкістю
v і має масу спокою m0
, матиме масу
(9.5)
Оскільки фотон рухається у вакуумі зі швидкістю с, то знаменник у (9.5) перетворюється в нуль. З рівності (9.4) випливає, що маса фотона скінченна. Це можливо за умови, коли маса спокою фотона дорівнює нулю. Отже, фотон — це особлива частинка, яка істотно відрізняється від таких частинок, як електрон, протон, нейтрон, що мають відмінну від нуля масу спокою, фотон не має маси в спокої і може існувати тільки в русі зі швидкістю с. Імпульс фотона
(9.6)

де — модуль хвильового вектора У векторній формі співвідношення (9.6) набуває вигляду
(9.7)
Ряд явищ вказує на те, що світло поводить себе як потік частинок (фотонів). Але не слід забувати, що такі явища, як інтерференція і дифракція світла, можуть бути пояснені тільки на основі хвильових уявлень.
Отже, для світла властивий корпускулярно-хвильовий дуалізм (двоїстість): в одних явищах проявляється хвильова природа світла і воно поводить себе як електромагнітна хвиля, в інших— його корпускулярна природа і воно поводить себе як потік фотонів.
3. Тиск світла. Досліди Лебедєва
Серед різних дій світла тиск займає особливе місце. Ідея про те, що світло повинно тиснути на освітлювані ним тіла, була висловлена ще Й. Кеплером, який вбачав у ній пояснення форми хвостів комет. Дж. Максвелл теоретично обґрунтував необхідність існування тиску світла.
Двоїста природа світла (хвильова і корпускулярна) значно затрудняє наочну інтерпретацію властивостей випромінювання. З іншого боку, нерозривна єдність хвильових і корпускулярних властивостей світла дає змогу глибше зрозуміти і пояснити ряд явищ, зумовлених взаємодією випромінювання з речовиною.
Розглянемо механічну дію світла — тиск з точки зору електромагнітної і квантової теорії світла. У електромагнітній теорії він пояснюється так. Нехай на тіло А перпендикулярно до його поверхні падає електромагнітна хвиля (рис. 9.11). Електричний Е і магнітний вектори світлової хвилі лежать у площині поверхні тіла А. Під дією сили додатні електричні заряди тіла зазнаватимуть зміщення у напрямі а від'ємні — у протилежному напрямі. Зміщення зарядів створюють поверхневий струм, паралельний вектору В металах та в інших провідниках це є струм провідності, а в діелектриках — поляризаційний струм зміщення. Магнітне поле світлової хвилі діятиме на цей струм за законом Ампера з силою , напрям дії якої збігається з напрямом поширення падаючої хвилі, тобто вона спрямована в середину тіла. Сила, що діє на одиницю площі поверхні, являє собою тиск світла. На основі електромагнітної теорії Дж. Максвелл одержав формулу для обчислення тиску на тіло, що створює плоска електромагнітна хвиля:
(9.8)
де — коефіцієнт відбивання; — об'ємна густина енергії падаю-270
хвилі; — кут падіння світла на тіло. При нормальному падінні світла (і = 0) тиск
(9.9)
З формули (9.9) випливає, що для ay=const тиск світла у два рази більший при падінні на дзеркальну поверхню порівняно з тиском при падінні на поверхню, яка повністю поглинає світло (р = 0).
У 1900 р. П.М. Лебедєв вперше експериментально виміряв тиск світла. Схема дослідної установки показана на рис. 9.12. Світло від джерела S за допомогою системи лінз і дзеркал спрямовувалось на одне з крилець легкого підвісу R, розміщеного у посудині Р, з якої відкачано повітря. Крильця, одне з яких було блискучим, а друге — зачорненим, розміщались симетрично відносно осі підвісу і являли собою складову частину чутливих крутильних терезів (рис. 9.13). Пересуванням подвійного дзеркала (рис. 9.12) світловий пучок від джерела 5 спрямовували на передню або задню поверхню крильця, змінюючи напрям закручення підвісу. За допомогою термоелемента Т вимірювалась інтенсивність світла.

У зв'язку з тим що тиск світла досить малий, при його вимірюванні виникли значні утруднення. До них належать дія конвекційних потоків газів і наявність радіометричної дії. Внаслідок конвекційних потоків всередині посудини Р виникає тиск, який на декілька порядків більший світлового. Освітлена поверхня крилець нагрівається сильніше неосвітленої. Молекули і атоми газу, що знаходяться в посудині, відбиваються від нагрітої поверхні крилець з більшою швидкістю, передаючи їм відповідно більший імпульс. Тиск, зумовлений такою дією, значно більший за світловий. Усунення дії конвекційних потоків здійснюється рухомою системою дзеркал S1
S2
за допомогою яких періодично освітлюються обидві поверхні крилець.

Для усунення радіометричного ефекту крильця виготовлялись досить тонкими і температура їх поверхонь була практично однаковою. На основі дослідів П. М. Лебедєв дійшов висновку, що тиск світла на дзеркальну поверхню у два рази більший за тиск на поверхню, що майже повністю поглинає світло. Значення тиску світла, одержане експериментально, узгоджувалося з теорією Максвелла з точністю . У 1923 р. В. Герлах повторив дослід Лебедєва і його результати узгоджувалися з теоретичними величинами з точністю . У 1908 р. П.М. Лебедєв виміряв тиск світла на гази. Вимірювання тиску світла відіграли важливу роль у встановленні того факту, що електромагнітні хвилі переносять не тільки енергію, але й імпульс, а отже, і масу.
З погляду квантової теорії тиск світла зумовлений зміною імпульсу фотонів при поглинанні та відбиванні їх поверхнею тіл.
Знайдемо формулу для визначення тиску світла. Якщо імпульс фотона, що падає нормально до заданої поверхні, відповідно до формули (9.6) дорівнює hv/c, то після відбивання його імпульс буде Тому зміна імпульсу фотона при відбиванні дорівнює при поглинанні фотона зміна імпульсу буде Якщо нормально на одиницю поверхні за одиницю часу падає N монохроматичних фотонів, то при їх повному відбиванні імпульс змінюється на , а при повному поглинанні — на Зміна імпульсу за одиницю часу дорівнює діючій силі. Оскільки на одиницю поверхні за одиницю часу падає N фотонів, то зміна їх імпульсу дорівнює діючій силі, що діє нормально на одиницю площі поверхні, тобто дорівнює тиску світла.
Отже, при повному відбиванні тиск світла визначається формулою
(9.10)
а при повному поглинанні —
(9.11)
Якщо коефіцієнт відбивання то поглинається фотонів, а відбивається і тиск в цьому випадку
(9.12)
Інтенсивність потоку фотонів можна виразити через їх об'ємну густину і швидкість рух} а саме: тоді
(9.13)
де об'ємна густина енергії фотонів. Отже, дані, одержані на основі хвильової і квантової теорій світла, збігаються.
Світловий тиск досить малий. Так, за межами атмосфери Землі інтенсивність сонячного випромінювання дорівнює Відповідний тиск при нормальному падінні світла на поверхню, для якої , дорівнює. Ця величина у 10і0 менша від атмосферного тиску. Незважаючи на те, що тиск світла малий, його необхідно враховувати у ряді випадків. Так, сила гравітаційної взаємодії частинок пропорційна кубу їх радіуса, а сила світлового тиску пропорційна квадрату радіуса частинки. Для частинок досить малих розмірів ці сили можуть бути однакових порядків. Це дає підставу зробити припущення, що хвости комет зумовлені світловим тиском.
Всередині зірок температура досягає мільйонів градусів. Таким температурам відповідають великі густини енергії випромінювання, і тиск світла перешкоджає гравітаційному стисканню зірок. Можливо, цим і пояснюється наявність верхньої межі маси зірок, яка має порядок кг. Крім цього, випромінювання і поглинання його всередині зірки зумовлює швидке перенесення деякої маси з одних областей в інші. Випромінювання, що виходить з центральних областей, має менший момент імпульсу, ніж ті маси периферійних областей, що поглинають випромінювання. Це зумовлює сповільнене обертання зірки. Нерівномірність освітлення поверхонь штучних супутників Землі викликає небажане їх обертання навколо деякої осі.
Фокусування лазерного пучка у «пляму» радіусом, рівним довжині хвилі, дає змогу одержати порівняно великі тиски. За їх допомогою можна мікроскопічним частинкам надати прискорення, які в мільйони разів більші за прискорення вільного падіння, а це набуває широкого практичного застосування.
4. Ефект Компотна. Корпускулярно-хвильовий дуалізм світла
Корпускулярні властивості світла найбільш переконливо проявляються в явищі, яке називається ефектом Комптона. Досліджуючи розсіяння рентгенівського випромінювання різними речовинами, А. Комптон у 1923 р. виявив, що в розсіяному випромінюванні, крім спектральних ліній, яким відповідає довжина падаючої хвилі ,, з'являються лінії, довжина хвиль яких При цьому було встановлено, що збільшення довжини хвилі не залежить від довжини падаючої хвилі . і від природи розсіюючої речовини, а залежить від кута між напрямом розсіяння і напрямом падаючого випромінювання. Експериментально встановлено, що (10.7) де —стала величина, яка дорівнює м.
Оскільки зміна довжини хвилі не залежить від природи розсіюючої речовини, то розсіяння рентгенівського випромінювання відбувається на слабко зв'язаних електронах різних речовин. Ефект Комптона можна пояснити тільки на основі уявлень про корпускулярну природу випромінювання, розглядаючи розсіяння як процес пружного зіткнення рентгенівських фотонів з електронами. Оскільки енергія фотона характеристичного рентгенівського випромінювання значно перевищує енергію зв'язку зовнішнього електрона в атомі, то такий електрон можна вважати практично вільним.

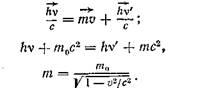
Розглянемо пружне зіткнення рентгенівського фотона, енергія якого ' і імпульс .Оберемо систему координат, в якій електрон до зіткнення з фотоном знаходиться у спокої і має масу . Після зіткнення з електроном розсіяний під кутом 9 фотон має енергію hv' і імпульс ', а електрон має енергію і імпульс (рис.10.4). На основі законів збереження імпульсу та енергії маємо:
де

Відповідно до теореми косинуса для трикутника імпульсів (рис. 10.4) рівняння (10.8) перепишемо так:
(10.11)
З виразів (10.9), (10.11) знаходимо

де величина називається комптонівською довжиною хвилі. Отже, теоретично одержані дані повністю збігаються з результатами експерименту. Цим самим ефект Комптона не тільки підтверджує фотонну структуру світла, але доводить справедливість законів збереження енергії та імпульсу при взаємодії фотона з електроном.
Наявність у розсіяному промінні спектральних ліній, довжина хвиль яких не зазнала змін, вказує на те, що деякі рентгенівські фотони розсіюються без зміни енергії. Таке розсіяння відбувається на електронах, які сильно зв'язані з ядром. При цьому розсіяння відбувається не на вільному електроні, а на системі електрон-ядро, маса якої значно перевищує масу електрона 3 рівняння (10.11) випливає, що змінок при цьому можна знехтувати. З цієї ж причини інтенсивність комптонівського розсіяння буде більшою для атомів, порядковий номер яких у періодичній системі Менделєєва менший.
Результати розсіяння рентгенівських фотонів на електронах удалося також спостерігати на фотографіях слідів у камері Вільсона. Крім цього, X. Гейгер і X. Бете експериментально довели, що розсіяний рентгенівський фотон і електрон віддачі з'являються одночасно.
|