Банк рефератов содержит более 364 тысяч рефератов, курсовых и дипломных работ, шпаргалок и докладов по различным дисциплинам: истории, психологии, экономике, менеджменту, философии, праву, экологии. А также изложения, сочинения по литературе, отчеты по практике, топики по английскому.
Полнотекстовый поиск
Всего работ:
364139
Теги названий
Разделы
Авиация и космонавтика (304)
Административное право (123)
Арбитражный процесс (23)
Архитектура (113)
Астрология (4)
Астрономия (4814)
Банковское дело (5227)
Безопасность жизнедеятельности (2616)
Биографии (3423)
Биология (4214)
Биология и химия (1518)
Биржевое дело (68)
Ботаника и сельское хоз-во (2836)
Бухгалтерский учет и аудит (8269)
Валютные отношения (50)
Ветеринария (50)
Военная кафедра (762)
ГДЗ (2)
География (5275)
Геодезия (30)
Геология (1222)
Геополитика (43)
Государство и право (20403)
Гражданское право и процесс (465)
Делопроизводство (19)
Деньги и кредит (108)
ЕГЭ (173)
Естествознание (96)
Журналистика (899)
ЗНО (54)
Зоология (34)
Издательское дело и полиграфия (476)
Инвестиции (106)
Иностранный язык (62791)
Информатика (3562)
Информатика, программирование (6444)
Исторические личности (2165)
История (21319)
История техники (766)
Кибернетика (64)
Коммуникации и связь (3145)
Компьютерные науки (60)
Косметология (17)
Краеведение и этнография (588)
Краткое содержание произведений (1000)
Криминалистика (106)
Криминология (48)
Криптология (3)
Кулинария (1167)
Культура и искусство (8485)
Культурология (537)
Литература : зарубежная (2044)
Литература и русский язык (11657)
Логика (532)
Логистика (21)
Маркетинг (7985)
Математика (3721)
Медицина, здоровье (10549)
Медицинские науки (88)
Международное публичное право (58)
Международное частное право (36)
Международные отношения (2257)
Менеджмент (12491)
Металлургия (91)
Москвоведение (797)
Музыка (1338)
Муниципальное право (24)
Налоги, налогообложение (214)
Наука и техника (1141)
Начертательная геометрия (3)
Оккультизм и уфология (8)
Остальные рефераты (21692)
Педагогика (7850)
Политология (3801)
Право (682)
Право, юриспруденция (2881)
Предпринимательство (475)
Прикладные науки (1)
Промышленность, производство (7100)
Психология (8692)
психология, педагогика (4121)
Радиоэлектроника (443)
Реклама (952)
Религия и мифология (2967)
Риторика (23)
Сексология (748)
Социология (4876)
Статистика (95)
Страхование (107)
Строительные науки (7)
Строительство (2004)
Схемотехника (15)
Таможенная система (663)
Теория государства и права (240)
Теория организации (39)
Теплотехника (25)
Технология (624)
Товароведение (16)
Транспорт (2652)
Трудовое право (136)
Туризм (90)
Уголовное право и процесс (406)
Управление (95)
Управленческие науки (24)
Физика (3462)
Физкультура и спорт (4482)
Философия (7216)
Финансовые науки (4592)
Финансы (5386)
Фотография (3)
Химия (2244)
Хозяйственное право (23)
Цифровые устройства (29)
Экологическое право (35)
Экология (4517)
Экономика (20644)
Экономико-математическое моделирование (666)
Экономическая география (119)
Экономическая теория (2573)
Этика (889)
Юриспруденция (288)
Языковедение (148)
Языкознание, филология (1140)

Реферат: Труды Георга Рихмана о распределении теплоты

Название: Труды Георга Рихмана о распределении теплоты
Раздел: Рефераты по физике
Тип: реферат Добавлен 06:37:52 03 мая 2010 Похожие работы
Просмотров: 298 Комментариев: 14 Оценило: 1 человек Средний балл: 5 Оценка: неизвестно     Скачать

Федеральное агентство по образованию

Государственное образовательное учреждение высшего профессионального образования

Тульский государственный университет

РЕФЕРАТ

По дисциплине «физика»

«Труды Георга Рихмана о распределении теплоты»

Тула 2010


Содержание

Введение

1. Георг Вильгельм Рихман

1.1 Биография

1.2 Трагическая гибель Рихмана

2. Работы: калориметрия, теплообмен, испарение жидкостей

Список использованной литературы


Введение

Труды Ломоносова и Рихмана получили широкую известность не только в России, но и в Европе. Известно, что И. И. Ползунов был хорошо знаком с высказываниями Ломоносова о природе теплоты. INoviCommentarii, просматривал Лавуазье, так как в его трудах имеются ссылки на статьи Рихмана, помещенные в том же томе. Вполне возможно, что именно из ломоносовских Размышлений о причине теплоты и холода он использовал аргументы, развитые Ломоносовым против огненной материи в химии. Опыты Ломоносова и Рихмана проводились с большим риском для жизни. В письме к Шувалову 26 июля 1753 г. Ломоносов, производивший опыты в этот день одновременно с Рихманом, писал о трагической гибели своего друга: Что я ныне к Вашему превосходительству пишу, за чудо почитайте, для того что мертвые не пишут. Я не знаю еще или по последней мере сомневаюсь, жив ли я или мертв. Для количественного изучения электричества Рихман сконструировал первый электроскоп, состоявший из металлической линейки с прикрепленной к ней тонкой питью. При электризации нить, отталкиваясь от линейки, отклонялась на некоторый угол, измерявшийся транспортиром


1. Георг Вильгельм Рихман

Георг Вильгельм Рихман (нем. Georg Wilhelm Richmann) (22 июля 1711 — 6 августа 1753) — российский физик. Основные работы по калориметрии и электричеству. Вывел носящую его имя формулу для определения температуры смеси однородных жидкостей, имеющих разные температуры. Проводил опыты по теплообмену и испарению жидкостей в различных условиях. Предложил первую работающую модель электроскопа со шкалой. Соратник и друг М. В. Ломоносова. Погиб при проведении опытов с атмосферным электричеством.

1.1 Биография

Родился 22 июля 1711 года в семье балтийских немцев в городе Пернау (сегодня Пярну, Эстония), что находилось в шведской Ливонии, но стало частью Российской империи в результате Великой Северной войны (1700—1721). Его отец умер от чумы до рождения сына, и его мать снова вышла замуж. Его обучение началось в Ревеле (ныне Таллин, Эстония), но университетские науки он изучал в Германии в Халле и Йене. Занимая должность домашнего учителя в семье графа Остермана, он прибыл вместе с ней в Петербург. Учениками его в этой семье были: Иван, ставший вице-канцлером, и Фёдор, исполнявший обязанности Московского губернатора.

23 июля 1735 года Рихман представил сочинение по предмету физики, вместе с просьбой о принятии автора под покровительство Академии и 13 октября 1735, распоряжением президента Петербургской Академии Наук барона Корфа о принят в студенты Академии Наук по классу физики. Рихман занимался этой наукой под руководством профессора Крафта и помогать ему в его исследованиях и опытах. С 15 апреля 1740 года адъюнкта, а с 2 апреля 1741 года назначен вторым профессором теоретической и практической физики. В 1744 г. Крафт ушел из академии и Рихман занял его место.

К физическим опытам Рихмана, и особенно с электричеством — проявляла интерес императрица Елизавета Петровна. В марте 1745 года во дворце была отведена даже особая комната, где Рихман должен был демонстрировать электрические эксперименты. Не раз приходилось Рихману показывать физические опыты и в самой Академии посещавшим ее, членам Святейшего Синода и послам различных европейских государств.

1.2 Трагическая гибель Рихмана

6 августа 1753 года во время грозы, когда Рихман стоял на расстоянии около 30 см от прибора, от последнего направился к его лбу бледно-синеватый огненный шар. Раздался удар, подобный пушечному выстрелу, и Рихман упал мёртвый, а находившийся тут же гравер Соколов был повален на пол и временно оглушён. Граверных дел мастер Иван Соколов оставил рисунок, запечатлевший гибель Рихмана.«…Красно-вишнёвое пятно видно на лбу, а вышла из него громовая электрическая сила из ног в доски. Ноги и пальцы синие, башмак разорван, а не прожжён…» Так описывал смерть своего соратника и друга в письме к графу Шувалову М. В. Ломоносов Там же Ломоносов, пишет: «Рихман умер прекрасной смертью, исполняя по своей профессии должность. Память его никогда не умолкнет», но в то же время беспокоится, «чтобы сей случай не был истолкован против приращений наук».Трагическая гибель Рихмана от шаровой молнии при исследовании атмосферного электричества «электрическим указателем» (прибором-прообразом электроскопа), который не был заземлён, имела большой резонанс во всем мире, в России временно запретили исследования электричества. В 1753 году российский ученый Георг Рихман, возможно, стал первым лицом, погибшим при проведении электрических экспериментов.


2. Работы: калориметрия, теплообмен, испарение жидкостей

К середине XVIII в. наука о теплоте прошла уже достаточно долгий путь. В трудах античных философов Демокрита, Эпикура, Лукреция высказывалась догадка о том, что тепловые явления связаны с движением специальных тепловых атомов, имеющих форму шара. По мнению Демокрита, эти атомы врезаются в тела и вызывают действие, называемое теплотой.

Из других воззрений на природу теплоты исходил Аристотель. Он считал теплоту одним из четырех (теплота, холод, сухость и влажность) «первичных качеств», или «стихий», которая в сочетании с сухостью образует огонь. А огонь всегда находится выше всех вещей, являясь общим началом всех горючих тел. Это учение, принятое церковью как догма, стало серьезным тормозом в развитии науки о теплоте.

Только в XVII в. в трудах Бэкона, Декарта, Гассенди, а также Бойля, Гука, Ньютона и других ученых получили дальнейшее развитие предположения философов античности о теплоте как о движении атомов. Считая теплоту движением мельчайших частиц тела, Бэкон в то же время не отрицал и существования особой огненной материи, которая производит движение этих частиц. По мнению Декарта, огонь представляет собой быстрое движение заостренных частиц, а теплота – движение частиц шарообразной формы. Он утверждал также, что в твердых телах частицы находятся в покое, однако это утверждение было опровергнуто исследованиями Гука, пришедшего в результате своих наблюдений к выводу о том, что во всех телах вообще частицы находятся в движении.

Против Декарта выступил и Гассенди. По его мнению, теплота и холод вызываются атомами теплоты и атомами холода, которые сами по себе не обладают теплотой или холодом, но порождают теплоту благодаря своей особой форме и движению. Эта точка зрения способствовала возникновению учения о теплоте как о невесомом веществе.

В конце XVII в. Бойль провел большое число опытов, связанных с изучением теплоты. Убедившись в том, что нагревание тел легко достигается механическим путем посредством трения или ковки металла, он тем не менее оказался непоследовательным в своих атомистических воззрениях. Например, увеличение веса металла после его прокаливания в сосуде он объяснял существованием теплового вещества, или весомой «материи огня». Выводы Бойля способствовали распространению представлений о теплороде – невесомой материи, которая, подобно весомой жидкости, может свободно перетекать из одного тела в другое.

Широкому распространению теории теплорода в XVIII в. способствовали и успехи математического метода в физике, получившего повсеместное признание после работ Ньютона, где было введено новое понятие – «количество теплоты». Его последователи стали трактовать теплоту как некую субстанцию и рассматривать тепловые явления как переходы и изменения различных количеств этой субстанции.

Различные «невесомые жидкости» (флюиды) были введены и для объяснения электрических, магнитных и световых явлений. Для объяснения химических явлений, например горения, широкое распространение получила теория флогистона, под которым ученые того времени понимали вещество, якобы являвшееся носителем горючести. Они утверждали, что при горении тело становится легче, т.к. из него выделяется флогистон – горючее весомое начало. Некоторые химики допускали даже существование флогистона с отрицательным весом.

Теория теплорода, ложная в своей основе, сыграла в истории науки и положительную роль. Она помогла физикам систематизировать накопленный материал и правильно подметить некоторые закономерности тепловых явлений. Так, при изучении явлений перераспределения теплоты или ее передачи, когда общее количество теплоты оставалось неизменным, теория теплорода давала возможность провести правильные расчеты, хорошо объясняющие тепловой баланс. Объясняла она и явление теплопроводности, исходя из того, что теплота переходит из одного тела в другое, сохраняя свое общее количество подобно тому, как это происходит с жидкостью.

Огромное значение для изучения тепловых явлений сыграла термометрия. Она, по существу, и положила начало количественному изучению этого важнейшего раздела физики. До ее возникновения на Руси, например, сведения о погоде записывали так: «1657 год, генваря, 30-го дня, пяток. День был до обеда холоден и ветрен, а после обеда оттепелен, в ночи было ветрено». Если требовалось отметить температуру воздуха в зимний день, то записывали так: «Мороз мал». Или: «Мороз лютый». Появление первых термометров связано с изобретенным Г.Галилеем термоскопом, а позже – пригодными для научных измерений термометрами Фаренгейта, Реомюра и Цельсия. С помощью термометра (хотя к началу 40-х гг. XVIII в. в употреблении находилось не менее тринадцати различных шкал) ученые сразу же приступили к количественным исследованиям тепловых явлений.

Таким образом, ни М.В.Ломоносов, ни Г.-В.Рихман не были первопроходцами в этой области физики, ибо вопросами термометрии и теории теплоты еще до них занимались петербургские академики Г.Бильфингер, Г.Крафт, И.Делиль, И.Вейтбрехт, а также академические мастера-приборостроители. В 1744 г. Г.Крафт представил в академию труд «Различные опыты с теплом и холодом», в котором обобщил свои многолетние исследования и нашел эмпирическую формулу для определения температуры смеси двух различных по массе и по температуре количеств одинаковых жидкостей:

(формула 1)

где a и b – массы смешиваемых жидкостей, m и n – их температуры соответственно, 11 и 8 – коэффициенты. Крафт брал воду, холодную и горячую, температуру измерял по шкале Фаренгейта. Эти опыты, положившие начало научным исследованиям по калориметрии, были успешно продолжены Г.-В.Рихманом. Его труды вошли в историю физики в качестве основополагающих.

В 1744 г. Рихман представляет в академию труд «Размышления о количестве теплоты, которое должно получаться при смешивании жидкостей, имеющих определенные градусы теплоты». Однако молодому ученому на академическом собрании были сделаны серьезные замечания, и он провел еще одно исследование, подтверждающее справедливость выведенной им формулы, которое и представил в академию в 1748 г. Рихман убедительно доказал, что формула Крафта для определения температуры смеси применима только для случая смешивания двух малых объемов воды и что она неточна. Проведя огромное число тщательно выверенных опытов, Рихман получил довольно точную формулу (вошедшую в историю физики под его именем) для определения температуры смеси произвольного числа разных порций одной и той же жидкости разной температуры:

(формула 2)

где m1, m2 ... mk – массы смешиваемых жидкостей, t1, t2 ... tk – соответствующие им температуры. Тогда понятия о теплоемкости тела еще не было, так что надо было обладать незаурядной интуицией, чтобы вывести уравнение, точность которого, с современной точки зрения, определяется лишь степенью зависимости теплоемкости от температуры.

Рихман первым использовал уравнение теплового баланса. И хотя это уравнение было составлено для температуры смеси различных количеств одной и той же жидкости, оно в первом приближении выражало правильное распределение теплоты при смешивании любого числа порций жидкости. Однако рассчитанные температуры всегда получались больше измеряемых. Разницу ученый относил за счет потерь тепла в окружающей среде. Немаловажное значение имеет выдвинутое им положение о том, что чем больше масса тела, тем меньше расхождение с расчетными формулами.

Используя формулу Рихмана, физики уже в XVIII в. успешно освоили новые методы калориметрических исследований, и вскоре английский физик и химик Дж.Блэк и независимо от него шведский физик И.Вильке открыли «скрытую теплоту плавления льда». На основе этой формулы был разработан способ смешивании жидкостей для определения их теплоемкостей. Этот способ также был назван именем Рихмана и до сих пор является одним из основных при определении теплоемкости, удельной теплоемкости и других теплофизических величин: из школьного курса физики известно, что удельная теплоемкость вещества рассчитывается по формуле

(формула 3)

где Q – количество теплоты, которое необходимо передать телу массой m, чтобы повысить его температуру от t1 до t2.

Научные публикации Рихмана говорят о том, что он понимал разницу между теплотой и степенью нагретости – температурой; понимал, что теплота не может быть измерена градусами. «Часто происходит ошибка, – писал ученый, – если о состоянии воздуха, с точки зрения его теплоты, судят по градусу, показываемому термометром». Позже, в 1855 г., его гипотезу доказал немецкий математик и физик Иоганн Ламберт. При исследовании металлов Г.-В.Рихман установил, что «наибольшую способность удерживать теплоту имеют латунь и медь, затем идет железо, после чего олово и свинец». Эти важные для науки о теплоте исследования он проводил совместно с Ломоносовым. Нагревая различные металлы на одно и то же число градусов, Рихман обратил внимание на еще одну закономерность: время нагрева было различно. По его мнению, это зависело от способности тел принимать или отдавать тепло, т.е., говоря современным языком, от их теплоемкости. В ходе исследований была составлена таблица, в которой металлы располагались не по теплопроводности, а в основном по их теплоемкости. Спустя несколько лет шведский физик Вильке назовет эту физическую величину относительной теплоемкостью.

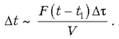
Большое значение для развития учения о теплоте имели работы ученого по исследованию самопроизвольного процесса переноса тепла из более нагретой среды к менее нагретой путем конвекции и теплопроводности. В первой серии опытов Рихман исследовал закономерность охлаждения воды, заключенной в стеклянный сосуд, который подвешивался на тонком шнуре и соприкасался только с воздухом, имеющим постоянную температуру. В других сериях он изучал влияние на теплообмен величины и формы поверхности охлаждаемой жидкости, а также ее объема. Охлаждение жидкости исследовалось как в стационарных условиях, так и при тепловом потоке, изменяющемся во времени. Ученый заметил, что в сухом неподвижном воздухе охлаждение жидкости происходит иначе, чем во влажном. Анализируя проведенные опыты, Рихман пришел к выводу о том, что теплообмен между телами является сложным физическим процессом, который зависит от температуры тел, поверхности нагрева или охлаждения, объема, а также от способности тел удерживать в себе теплоту. Подводя итоги своим экспериментам, он сделал вывод, что падение температуры нагретого тела на Dt при свободном его охлаждении в воздухе прямо пропорционально поверхности этого тела F, разности температур тела и среды (t – t1), времени Dt и обратно пропорционально объему тела V:

(формула 4)

Если через v обозначить скорость охлаждения тела, т.е. число градусов, на которое бы понизилась температура тела за бесконечно малый промежуток времени Dt, и ввести коэффициент пропорциональности с, имеющий размерность скорости движения, то закон охлаждения тел, к которому пришел Рихман, можно записать так:

(формула 5)

В своих последующих работах он отмечал, что понижение температуры нагретых тел, соприкасающихся со смежными холодными средами, происходит приблизительно в логарифмической зависимости. Только в 1751 г. ученый прочитал небольшую заметку «О шкале степеней тепла и холода», написанную Исааком Ньютоном пятьдесят лет тому назад. В ней были не только описаны различные опыты по охлаждению тел, но и на их основе сделаны выводы о том, что количество теплоты «в заданное время» отдаваемое нагретым железом «смежным с ним холодным телам» пропорционально «всей теплоте железа». При этом указывалось, что «если времена охлаждения принимать равными», то понижение температуры нагретого железа происходит в геометрической прогрессии и может быть найдено «легко по таблице логарифмов». Эта установленная Ньютоном закономерность вошла в науку как закон охлаждения тел. Тем не менее исследования Рихмана по конвективному теплообмену и открытый им закон были выдающимся вкладом в развитие теплофизики и получили самую высокую оценку в мировой науке.

Развитие метеорологии и гидрологии привели Г.Рихмана к мысли вплотную заняться изучением процессов, происходящих при испарении воды. Впервые он сделал попытку связать теорию испарения с законом охлаждения тел. Для своих опытов ученый использовал открытые цилиндрические сосуды, имеющие различные поверхности испарения, заполняя их на различную глубину водой. Количество испарившейся жидкости за определенный промежуток времени определялось по разности веса объема исходной и оставшейся воды. На основе многочисленных опытов Рихман установил, что испарение воды зависит от разности площадей поверхности, от массы и глубины воды в сосуде. Он также показал, что испарение всегда сопровождается понижением температуры воды.

С целью оснащения отечественных метеорологических станций новыми и точными теплоизмерительными приборами Рихман создал гидравлический испаритель для точного измерения количества испаряемой воды, метеорологический термометр для измерения средней температуры за сутки, барометр особой конструкции.


Список используемой литературы

1.Дорфман Я. Г. Выдающийся русский физик Г. В. Рихман и его роль в истории науки об электричестве. Электричество, № 8, 1953, с. 61—67.

2.Дягилев Ф. М. Из истории физики и жизни ее творцов. М.: Просвещение, 1986.

3.Елисеев А. А. Георг Вильгельм Рихман. М.: Просвещение, 1975.

4.Кравец Т. П. и Радовский М. И., К 200-летию со дня смерти академика Г. В. Рихмана. Успехи физических наук, 1953, т. 51, вып. 2.

5.Цверава Г. К. Георг Вильгельм Рихман, 1711—1753. Л.: Наука, 1977.

Оценить/Добавить комментарий
Имя
Оценка
Комментарии:
Хватит париться. На сайте FAST-REFERAT.RU вам сделают любой реферат, курсовую или дипломную. Сам пользуюсь, и вам советую!
Никита17:33:09 02 ноября 2021
.
.17:33:06 02 ноября 2021
.
.17:33:04 02 ноября 2021
.
.17:33:02 02 ноября 2021
.
.17:32:57 02 ноября 2021

Смотреть все комментарии (14)
Работы, похожие на Реферат: Труды Георга Рихмана о распределении теплоты

Назад
Меню
Главная
Рефераты
Благодарности
Опрос
Станете ли вы заказывать работу за деньги, если не найдете ее в Интернете?

Да, в любом случае.
Да, но только в случае крайней необходимости.
Возможно, в зависимости от цены.
Нет, напишу его сам.
Нет, забью.



Результаты(288032)
Комментарии (4159)
Copyright © 2005-2021 HEKIMA.RU [email protected] реклама на сайте