Реферат
по дисциплине "Автоматическое управление и средства автоматизации"
на тему "Структуры типовых регуляторов"
Курчатов 2008
Содержание
Введение
Структуры типовых регуляторов
1. П-регулятор
2. ПД-регулятор
3. ПИ-регулятор
4. ПИД-регулятор
Заключение
Список литературы
Введение
Каждый контур регулирования обобщенно можно рассматривать как систему, состоящую непосредственно из самого объекта регулирования и регулятора, который через исполнительное устройство может влиять на регулируемый параметр объекта.
Каждый регулятор можно охарактеризовать:
– законом, на основе которого осуществляется регулирование;
– типами входных сигналов (первичных датчиков);
– типами выходных сигналов управления (исполнительных устройств);
– способом задания установки регулирования;
– дополнительными возможностями (дополнительные функции, дополнительные входы/выходы).
По закону регулирования они делятся на двух- и трехпозиционные регуляторы, типовые регуляторы (интегральные, пропорциональные, пропорционально-дифференциальные, пропорционально-интегральные и пропорционально-интегрально-дифференциальные регуляторы — сокращенно И, П, ПД, ПИ и ПИД-регуляторы), регуляторы с переменной структурой, адаптивные (самонастраивающиеся) и оптимальные регуляторы.
Рассмотрим структурные схемы автоматических регуляторов с типовыми сервоприводами, воспроизводящие основные законы регулирования методом параллельной и последовательной коррекции.
Структуры типовых регуляторов
1. П
-регулятор
Функциональная схема П-регулятора с сервоприводом с пропорциональной или интегральной скоростью перемещения изображена на рис. 1.

Рис. 1. Структурная схема регулятора, состоящего из усилителя, сервопривода и отрицательной обратной связью
Отрицательная обратная связь в регуляторе осуществляется по положению регулирующего органа путем подачи на вход устройства обратной связи сигнала с выхода сервопривода. Конструктивно обратная связь осуществляется с помощью механической, электрической или другой передачи в зависимости от типов сервопривода и командно-усилительного устройства. Характеристики П-регуляторов (операторная и частотная) имеют вид:
Wр
(р) = 1 ⁄ Wо.с
(р); Wр
(iщ) = 1 ⁄ Wо.с
(iщ) (1.1)
Для того, чтобы приведенное выше выражение было тождественно уравнению пропорционального регулятора xр
= Kр
y*, необходимо выполнить условие:
Wо.с
(р) = Xо.с
(р) ⁄ xр
(р) = 1 ⁄ Kр
(1.2)
В соответствии с этим условием обратная связь должна выполняться на базе безинерционного усилительного звена. Коэффициент усиления звена обратной связи kо.с
= д = 1 ⁄ Kр
называют степенью жесткой (т. е. неизменной во времени) обратной связи.
П-регуляторы имеют орган настройки для изменения д (Kр
), который служит параметром его настройки. Переходная характеристика реального П-регулятора (рис. 2) несколько отличается от идеального в начальной своей части из-за ограниченной скорости сервопривода.

Рис. 2. Кривая переходного процесса П-регулятора
2. ПД
-регулятор
Функциональная схема ПД-регулятора представлена на рис. 3, а. Дифференцирующая составляющая формируется специальным прибором — дифференциатором, обладающим характеристикой реального дифференцирующего звена. На его выходе формируется сигнал, пропорциональный скорости изменения регулируемой величины.

Рис. 3. ПД-регулятор: а — структурная схема; б — кривая переходного процесса
Скоростной сигнал суммируется с сигналом по отклонению регулируемой величины. Результирующий сигнал поступает на вход усилителя. Усилитель и сервопривод охватываются жесткой отрицательной обратной связью. В замкнутом контуре усилитель— привод — обратная связьформируется П-закон регулирования с коэффициентом усиления Kр
.
Динамическая характеристика реального ПД-регулятора имеет вид
 
Переходная (временная) характеристика ПД-регулятора с сервоприводом с ограниченной скоростью изображена на рис. 3, б и представляет собой сумму временных характеристик пропорционального и реального дифференцирующего звеньев. Параметром настройки собственно регулятора служит Kр
(степень обратной связи д); параметрами настройки дифференциатора служат коэффициент усиления Кд
и постоянная дифференцирования Тд
,
произведение которых характеризует степень ввода дифференциальной составляющей в ПД-закон регулирования.
3. ПИ-регулятор
Реальные ПИ-регуляторы тепловых процессов имеют два вида функциональных схем (рис. 4). В первом варианте (рис. 4, а) сервопривод охватывается отрицательной обратной связью (ООС) и его характеристика не влияет на формирование закона регулирования, целиком определяемого характеристикой устройства обратной связи. Во втором варианте (рис. 4, б) сервопривод не охватывается обратной связью, и ПИ-закон регулирования формируется охватом обратной связью только усилителя Ку
. При этом динамические характеристики регулятора в целом определяются динамическими свойствами цепи, состоящей из последовательно включенных замкнутого контура (Ky
—Wo
.
c
) и сервопривода. Оба варианта структурных схем ПИ-регуляторов используются в их промышленных исполнениях.

Рис. 4. Структурные схемы ПИ-регуляторов:
а — сервопривод охваченООС;б—
сервопривод не охвачен ООС
В первом варианте устройство обратной связи должно иметь динамическую характеристику реального дифференцирующего звена

В этом случае регулятор в целом независимо от типа сервопривода воспроизводит динамику ПИ-регулятора
 
Если принять Тд
=Ти
и Kр
=1/Kд
, получим

т.е. передаточную функцию ПИ-регулятора, описываемого также дифференциальными уравнениями
 и
В промышленных ПИ-регуляторах в качестве обратных связей используют различные устройства: электрические, пневматические и гидравлические. Но все они служат аналогами реального дифференцирующего звена, имеют соответствующие ему динамические характеристики, и называются устройствами гибкой или упругой (изменяющейся во времени) обратной связи.
При втором варианте исполнения ПИ-регулятора (рис. 4, б) возможны два случая: 1) сервопривод имеет характеристику интегрального звена (например, электрический или гидравлический сервопривод с переменной скоростью); 2) сервопривод обладает характеристикой пропорционального звена (мембранный сервопривод с уравновешивающей пружиной). В обоих случаях в соответствии с правилом определения результирующей характеристики двух последовательно включенных звеньев
Wp
(p) = WКУУ
(p)Wс.п
(p), (3.3), гдеWКУУ
(p) = 1 ⁄ Wо.с
(р).
При использовании сервопривода с передаточной функцией интегрального звена Wс.п
(p) = 1⁄ TР
передаточная функция регулятора имеет вид
 
При этом для формирования ПИ-закона с помощью устройства обратной связи необходимо, чтобы выдерживалось соотношение
1/Wо.с
(р) = WКУУ
(р) = Kр
(1+TР
) (3.5)
что обеспечивает обратная связь с оператором
Wо.с
(р) = Kо.с
/(1+TР
) = д/(1+TР
) (3.6)

Рис. 5. Переходный процесс в устройстве Рис. 6. Переходный процесс ПИ-регулятора обратной связи
Последнее уравнение служит оператором инерционного звена первого порядка. При охвате Ку
такой обратной связью оператор регулятора в целом имеет вид
Wр
(р) = Kр
(1+1/TиР
)
Параметрами настройки ПИ-регулятора служат Kр
и Ти
.
Если сервопривод имеет характеристику пропорционального звена и не охватывается обратной связью (рис. 4, б), то для того, чтобы выполнялось условие (3.2), Wо.
c
(p) должно быть реальным дифференцирующим звеном.
Постоянная времени ПИ-регулятора Ти
численно равна подкасательной Тд
к переходной кривой реального дифференцирующего звена (рис. 5).
Промышленные регуляторы имеют специальные приспособления— органы настройки для изменения Kр
(д) и Ти
в достаточно широких, но ограниченных пределах. Так как подача на вход регулятора ступенчатого сигнала не составляет труда, фактически установленные значения Кр
и Tи
можно легко определить из его экспериментальной переходной кривой (рис. 6). Наклонный участок OA на кривой объясняется наличием у промышленного ПИ-регулятора сервопривода с конечной (ограниченной) скоростью перемещения выходного вала редуктора. Из этого графика следует, что
Kр
= xр1
/y* (3.7)
а Ти
численно равно времени, необходимому для перемещения выходного вала сервопривода из положения xр1
до его удвоенного значения 2хр1
. Отсюда второе название Tи
— время удвоения выходного сигнала ПИ-регулятора xр
при подаче на его вход ступенчатого сигнала у*.
Из уравнения динамики идеального ПИ-регулятора следует, что Кр
/Ти
определяет степень ввода интегральной составляющей в ПИ-закон регулирования

Действительно, при безграничном увеличении Ти
второй член в последнем уравнении стремится к нулю и регулятор из пропорционально-интегрального переходит в П-регулятор. При этом экспонента (вида де-
t
/
T
и
) на выходе реального дифференцирующего звена, используемого в качестве устройства обратной связи, вырождается в ступенчатый сигнал д (рис. 5).
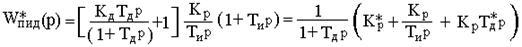
4. ПИД-регулятор
Закон регулирования
Wр
(р) = Kр
+Kр
/TиР
+Kд
TдР
(4.1)
в реальных регуляторах формируется путем последовательной (рис. 7, а) или параллельной (рис. 7, б) коррекций ПИ-регулятора с помощью реального дифференцирующего (РД) звена. В обоих случаях ПИД-закон воспроизводится лишь приближенно.
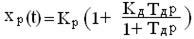
При последовательной коррекции
 
Где

При параллельной коррекции
 
Где


Рис. 7. Последовательная (а) и параллельная (б) коррекция ПИ-регулятора с помощью дифференцирующего звена

Рис. 8. Переходные характеристики ПИД-регуляторов
ПИД-регулятор имеет четыре параметра настройки: Kр
, Tи
, Tд
и Kд
, которые могут быть получены из экспериментальных кривых разгона ПИ-регулятора и РД-звена, снятых по отдельности. Комплексные параметры настройки реального ПИД-регулятора K*р
и T* можно определить по формулам (4.2) (4.3).
На рис. 8. приведена кривая разгона реального ПИД-регулятора с аналоговым выходом (сплошная линия). В отличие от идеального (прерывистая линия) она имеет ограниченный и плавно затухающий «всплеск» x*р
, связанный с дифференцированием ступенчатого сигнала с помощью РД-звена.
Заключение
Автоматические регуляторы, помимо высокой надежности, должны обладать высокой чувствительностью к изменениям входного сигнала, необходимой для точного поддержания регулируемых величин вблизи заданного значения. Для этого в составе регулятора предусматривается специальное измерительное устройство. Кроме того, автоматический регулятор должен развивать на выходе усилие, необходимое для перемещения регулирующих органов (клапанов, задвижек, шиберов), т. е. содержать в своей структуре достаточно мощный исполнительный механизм (сервопривод).
Для реализации выбранного закона регулирования и изменения параметров настройки регулятора в необходимых пределах в его состав должны входить устройства формирования закона регулирования и изменения (коррекции) параметров настройки. Необходимо также иметь возможность изменения в широких пределах заданного значения регулируемой величины, с которым сравнивается ее текущее значение. Это требование предусматривает наличие задатчика ручного или автоматического управления (ЗУ) в составе регулятора. Выполнение перечисленных требований возможно лишь при использовании автоматических регуляторов непрямого действия.
Список литературы
Плетнев Г.П. Автоматическое управление и защита теплоэнергетических установок электростанций: Учебник для техникумов. – 3-е изд., перераб. – М.: Энергоатомиздат, 1986.
Бесекерский В.А., Попов Е.П. Теория систем автоматического регулирования. Изд-во «Наука», 1966.
Михайлов В.С. Теория управления. – К.: высш. шк. Головное изд-во,1988.
Зайцев Г.Ф. Теория автоматического управления и регулирования. – 2-е изд., перераб. И доп. – К.: высш. шк. Головное изд-во, 1989.
|