Министерство образования и науки Российской Федерации
Набережночелнинский институт экономики управления и права
Кафедра философии
РЕФЕРАТ
По дисциплине: Концепция современного естествознания
На тему: Строение атомов, концепция непрерывной дескрепы и электромагнитных свойств атомов и материи
Выполнил: Кудряшова И.А., Горохова Е.В.
студентки экономического факультета 5210
Проверила: Замахова Е.Д.
Набережные Челны
2006 г.
СОДЕРЖАНИЕ
ВВЕДЕНИЕ.. 3
1. Эволюция строения атомов и возникновение лучей строения атомов 4
2. Спектры изучения постулатов Бора. 7
3. Корпускулярно-волновые свойства микрочастиц. 10
ЗАКЛЮЧЕНИЕ.. 20
СПИСОК ИСПОЛЬЗОВАННОЙ ЛИТЕРАТУРЫ... 22
Для познания окружающего нас мира человеку пришлось пройти увлекательный, но мучительно-длинный и трудный путь изучения вещества, начиная от самых сложных его форм и кончая элементарными частицами.
В данной работе будет рассмотрен этот путь не в прямом, а в самом в обратном направлении. Зная свойства элементарных частиц, будет уже сравнительно просто построить из них более сложные объекты – атомные ядра и атомы – и понять их свойства.
Открытие сложного строения атома - важнейший этап становления современной физики. В процессе создания количественной теории строения атома, позволившей объяснить атомные системы, были сформированы новые представления о свойствах микрочастиц, которые описываются квантовой механикой.
Первую попытку создать качественно новую модель атома предпринял в 1913г. датский физик Нильс Бор. Он связал в единое целое эмпирические закономерности линейчатого спектра излучения атома водорода, ядерную модель атома Резерфорда и квантовый характер излучения и поглощения света. В основу своей теории атома Бор положил два постулата.
Целью данной работы является изучение строения атомов, концепции непрерывной дескрепы, электромагнитных свойств атомов и материи. Исследование такой возможности представляет огромный интерес для науки.
В процессе изучения ставятся следующие задачи:
– охарактеризовать эволюцию представлений о строении атомов и строение атомов по моделям Э. Резерфорда и Н. Бора;
– раскрыть сущность открытия в области возникновения лучей при электрическом разряде;
– изучить спектры постулатов Н. Бора;
– рассмотреть двойственную природу корпускулярно-волновых микрочастиц.
Представление об атомах как неделимых мельчайших частицах вещества возникло еще в античные времена (Левкипп, Демокрит, Эпикур, Лукреций). В средние века учение об атомах, будучи материалистическим, не получило широкого признания. Атомистическая теория приобретает все большую популярность лишь к концу XVIII в. благодаря трудам великого русского ученого М.В. Ломоносова, английского химика и физика Д. Дальтона и др. Однако в то время вопрос о строении атомов даже не ставился - они считались неделимыми.
Большой вклад в развитие атомистической теории внес выдающийся русский химик Д.И. Менделеев. Исходя из единой природы атомов, он разработал в 1869 г. Периодическую систему элементов. Выраженная в ней закономерная связь между всеми химическими элементами наталкивала на мысль о том, что в основе строения всех атомов лежит общее свойство: все они находятся в близком родстве друг с другом. Однако до конца XIX в. в химии господствовало метафизическое убеждение: атом - наименьшая частица простого вещества, последний предел делимости материи. При этом предполагалось, что во всех химических превращениях распадаются и вновь создаются только молекулы, а атомы остаются неделимыми, т.е. не могут дробиться на более мелкие части. [3, с.144]
Существование закономерной связи между всеми химическими элементами, ярко выраженное в периодической системе Менделеева, наталкивает на мысль о том, что в основе строения всех атомов лежит общее свойство: все они находятся в близком родстве друг с другом.
Однако до конца XIX в. в химии господствовало метафизическое убеждение, что атом есть наименьшая частица простого вещества, последний предел делимости материи. При всех химических превращениях разрушаются и вновь создаются только молекулы, атомы же остаются неизменными и не могут дробиться на более мелкие части.
Различные предположения о строении атома долгое время не подтверждались какими-либо экспериментальными данными. Лишь в конце XIX в. были сделаны открытия, показавшие сложность строения атома и возможность превращения при определенных условиях одних атомов в другие. На основе этих открытий начало быстро развиваться учение о строении атома.
Первые косвенные подтверждения о сложной структуре атомов были получены при изучении катодных лучей, возникающих при электрическом разряде в сильно разреженных газах. Изучение свойств этих лучей привело к заключению, что они представляют собой поток мельчайших частиц, несущих отрицательный электрический заряд и летящих со скоростью, близкой к скорости света. Особыми приемами удалось определить массу катодных частиц и величину их заряда, выяснить, что они не зависят ни от природы газа, остающегося в трубке, ни от вещества, из которого сделаны электроды, ни от прочих условий опыта. Кроме того, катодные частицы известны только в заряженном состоянии и не могут быть лишены своих зарядов и превращены в электронейтральные частицы: электрический заряд составляет сущность их природы. Эти частицы, получившие название электронов, были открыты в 1897 г. английским физиком Дж. Томсоном.
Различные предположения о сложной структуре атома долгое время не подтверждались опытами. Лишь проведенные в конце XIX в. эксперименты доказали сложное строение атомов и возможность их взаимного превращения. Активное изучение строения атома началось в 1897 г. после открытия электрона английским физиком Дж. Томсоном. В 1903 г. он предложил первую модель атома: атом представляет собой непрерывно заряженный положительным электрическим зарядом шар, внутри которого около своих положений равновесия колеблются электроны; суммарный заряд электронов равен положительному заряду шара, поэтому атом в целом нейтрален. Однако предположение о непрерывном распределении положительного заряда внутри атома не подтвердилось экспериментом.
В развитии представлений о строении атома велико значение опытов английского физика Э. Резерфорда (1871-1937) по рассеянию альфа-частиц в веществе. Альфа-частицы испускаются при радиоактивных превращениях. Их электрический заряд положителен и равен по модулю двойному заряду электрона. Это тяжелые частицы: масса их примерно в 7 300 раз больше массы электрона. Исследуя прохождение альфа-частиц через золотую фольгу, Резерфорд обнаружил, что основная их часть испытывает незначительные отклонения, а некоторые из них (примерно, одна из 20 000) резко отклоняются от первоначального направления - вплоть до 180°. Поскольку электроны не могут существенно повлиять на характер движения столь тяжелых и быстрых альфа-частиц, Резерфорд сделал вывод: значительное отклонение альфа-частиц обусловлено их взаимодействием с положительным зарядом большей массы. Такое отклонение испытывали лишь немногие альфа-частицы, т.е. те, которые оказались вблизи положительного заряда сравнительно небольших размеров.
В центре атома находится положительно заряженное ядро, вокруг которого по разным орбитам вращаются электроны. Возникающая при их вращении центробежная сила уравновешивается притяжением между ядром и электронами, вследствие чего они остаются на определенных расстояниях от ядра. Поскольку масса электрона ничтожна мала, то почти вся масса атома сосредоточена в его ядре. На долю ядра и электронов, число которых сравнительно невелико, приходится лишь ничтожная часть всего пространства, занятого атомной системой. [3, с.145]
Анализируя результаты опытов, Резерфорд предложил в 1911 г. ядерную (планетарную) модель атома: вокруг положительного ядра, имеющего заряд Ze (Z - порядковый номер элемента в системе Менделеева, е - элементарный заряд), по замкнутым орбитам движутся электроны, образуя электронную оболочку атома. Движущиеся по замкнутым орбитам электроны обладают центростремительным ускорением. Согласно классической электродинамике, ускоренные электроны излучают электромагнитные волны, вследствие чего непрерывно теряют энергию. Поэтому электрон, вращаясь вокруг ядра, излучает энергию. В результате потери энергии, двигаясь по спирали и приближаясь к ядру, он в конце концов упадет на него. Таким образом, атом в модели Резерфорда оказался неустойчивой системой.
Попытки создать модель атома в рамках классической физики не привели к успеху: модель Томсона была опровергнута опытами Резерфорда, планетарная же модель не смогла объяснить устойчивость атомов. Преодоление возникших трудностей требовало принципиально нового подхода.
Планетарная модель атома позволила объяснить результаты опытов по рассеянию альфа-частиц вещества, однако возникли принципиальные трудности при обосновании устойчивости атомов.
Первая попытка построить качественно новую - квантовую - теорию атома была предпринята в 1913 г. Нильсом Бором. Он поставил цель связать в единое целое эмпирические закономерности линейчатых спектров, ядерную модель атома Резерфорда и квантовый характер излучения и поглощения света. В основу своей теории Бор положил ядерную модель Резерфорда. Он предположил, что электроны движутся вокруг ядра по круговым орбитам. Движение по окружности даже с постоянной скоростью обладает ускорением. Такое ускоренное движение заряда эквивалентно переменному току, который создает в пространстве переменное электромагнитное поле. На создание этого поля расходуется энергия. Энергия поля может создаваться за счет энергии кулоновского взаимодействия электрона с ядром. В результате электрон должен двигаться по спирали и упасть на ядро. Однако опыт показывает, что атомы - очень устойчивые образования. Отсюда следует вывод, что результаты классической электродинамики, основанной на уравнениях Максвелла, неприменимы к внутриатомным процессам. Необходимо найти новые закономерности. В основу своей теории атома Бор положил следующие постулаты. [3, с.145]
Первую попытку создать качественно новую модель атома предпринял в 1913 году датский физик Нильс Бор. Он связал в единое целое эмпирические закономерности линейчатого спектра излучения атома водорода, ядерную модель атома Резерфорда и квантовый характер излучения и поглощения света. В основу своей теории атома Бор положил два постулата.
Первый постулат Бора (постулат стационарных состояний): в атоме существуют стационарные (не изменяющиеся со временем) состояния, в которых он не излучает энергии. Стационарным состояниям атома соответствуют стационарные орбиты, по которым движутся электроны. Движение электронов по таким орбитам не сопровождается излучением электромагнитных волн.
Второй постулат Бора (правило частот): при переходе электрона с одной стационарной орбиты на другую излучается (поглощается) один фотон с энергией
hv = En-Em,
равной разности энергий En и Em, соответствующих стационарным состояниям атома до и после излучения (поглощения). [3, с.146]
Переходу электрона со стационарной орбиты с номером т на стационарную орбиту с номером п соответствует переход атома из состояния с энергией Em в состояние с энергией En (рис.1). При En > Em возможен переход атома из состояния с большей энергией в состояние с меньшей энергией, т.е. переход электрона с более удаленной от ядра орбиты на более близкую, при котором излучается фотон. Поглощение фотона происходит при переходе атома в состояние с большей энергией, т.е. переход электрона на более удаленную от ядра орбиту.

Набор возможных дискретных частот квантовых переходов определяет линейчатый спектр излучения атома.

Рис.1. К пояснению постулатов Бора.
Модель атома Бора блестяще объяснила экспериментально наблюдаемый линейчатый спектр излучения атомов водорода. Такой успех достигнут ценой отказа от фундаментального положения классической электродинамики. Поэтому большое значение имело прямое экспериментальное подтверждение справедливости постулатов Бора, особенно первого - о существовании стационарных состояний (второй постулат можно рассматривать как следствие закона сохранения энергии и гипотезы о существовании фотонов). Существование стационарных состояний и дискретность значений энергии атомов экспериментально подтвердили в 1913 г. немецкие физики Д. Франк и Г. Герц при исследовании взаимодействия электронов с атомами газообразной ртути.
Несмотря на несомненный успех концепции Бора в объяснении структуры атома водорода, для которого удалось создать количественную теорию спектра излучения, построить подобную теорию для следующего за водородом атома гелия на основании модели Бора не удалось. В современном представлении определенные орбиты, по которым движется электрон в атоме Бора, отражает один из этапов в понимании структуры атома. На самом деле движение электронов в атоме различных элементов имеет сложный характер и объясняется в рамках квантово-механической концепции. [3, с.146]
Если поведение атомов так непохоже на наш обыденный опыт, то к нему очень трудно привыкнуть. И новичку в науке, и опытному физику - всем оно кажется своеобразным и туманным. Даже большие ученые не понимают его настолько, как им хотелось бы, и это совершенно естественной потому что весь непосредственный опыт человека, вся интуиция - все прилагается к крупным телам. Мы знаем что будет с большим предметом; но именно так мельчайший тельца не поступают. Поэтому, изучая их, приходится прибегать к различного рода абстракциям, напрягать воображение и не пытаться связывать их с нашим непосредственным опытом. В доквантовой физике "понять" означало составить себе наглядный образ объекта или процесса. Квантовую физику нельзя понять в таком смысле слова. Всякая наглядная цель неизбежно будет действовать по классическим законам и поэтому непригодна для представления квантовых процессов. Поэтому самое правильное, что можно сделать, - это отказаться от попыток строить наглядные модели поведения квантовых объектов. Отсутствие наглядности поначалу может вызвать чувство неудовлетворенности, но со временем это чувство проходит, и все становится на свои места. [2, с.172]
B первое время физики были поражены необычными свойствами тех мельчайших частиц материи, которые они изучали микромире. Попытки описать, а тем более объяснить свойства микрочастиц с помощью понятий и принципов классической физики потерпели явную неудачу. Поиски новых понятий и методов объяснения в конце концов привели к возникновению новой квантовой механики, в окончательное построение и обоснование которой значительный вклад внесли Шредингер, В. Гейзенберг, М. Борн. В самом начале эта механика была названа волновой в противоположность обычной механике, которая рассматривает свои объекты как состоящие из корпускул, или частиц. В дальнейшем для механики микрообъектов утвердилось название квантовой механики.
Для облегчения понимания корпускулярно-волновой природы микрочастиц полезно рассмотреть такую же двойственную природу поведения электромагнитных волн, в частности света. В результате углубления представлений о природе света выяснилось, что в оптических явлениях обнаруживается своеобразный дуализм. Наряду с такими свойствами света, которые самым непосредственным образом свидетельствуют о его волновой природе (интерференция, дифракция), имеются и другие свойства, столь же непосредственно обнаруживающие его корпускулярную природу) эффект, явление Комптона). Рассмотрим их.
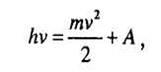
Фотоэлектрическим эффектом, или фотоэффектом, называется испускание электронов веществом под действием света. В 1905 г.А. Эйнштейн показал, что все закономерности фотоэффекта легко объясняются, если предположить, что свет поглощается такими же порциями (квантами) энергии Е = hχ, какими он, по предположению Планка, испускается. По мысли Эйнштейна, энергия, полученная электроном, доставляется ему в виде кванта hv, который усваивается им целиком. Часть этой энергии, равная работе выхода, т.е. наименьшей энергии, необходимой электрону, чтобы удалиться из тела в вакуум, затрачивается на то, чтобы электрон мог покинуть тело. Остаток энергии образует кинетическую энергию Ек электрона, покинувшего вещество. В этом случае должно выполняться соотношение

которое называется формулой Эйнштейна. Отсюда вытекает, что в случае, когда работа выхода А превышает энергию кванта hv, электроны не могут покинуть металл. Следовательно, для возникновения фотоэффекта необходимо, чтобы энергия кванта была больше работы выхода. Частота v0, ниже которой не наблюдается фотоэффект, называется красной границей фотоэффекта. Эйнштейн выдвинул гипотезу, что свет распространяется в виде дискретных частиц, названных световыми квантами. Впоследствии эти частицы получили название фотонов. Энергия фотона определяется его частотой Е = hv, масса покоя фотона равна нулю, и фотон всегда движется со скоростью с. Сказанное означает, что фотон представляет собой частицу особого рода, отличную от таких частиц, как электрон, протон и т.п., которые могут существовать, двигаясь со скоростями, меньшими с, и даже покоясь. [2, с.173]
Поток фотонов, падающих перпендикулярно на поглощающую свет поверхность, оказывает на нее давление. Если плотность фотонов равна n, то давление света равно Р = nΕ = nhv, так как каждый фотон сообщает стенке импульс

Особенно отчетливо проявляются корпускулярные свойства света в явлении, которое получило название эффекта Комптона. В 1923 г.А. Комптон, исследуя рассеяние рентгеновских лучей различными веществами, обнаружил, что в рассеянных лучах наряду с излучением первоначальной длины волны содержатся также лучи большей длины волны. Разность между этими длинами волн оказалась зависящей только от угла, образуемого направлением рассеянного излучения с направлением первичного пучка. От первоначальной длины волны и от природы рассеивающего вещества разность им волн не зависит. Все особенности эффекта Комптона можно объяснить, рассматривая рассеяние как процесс упругого столкновения рентгеновских фотонов с практически ободными электронами. Свободными можно считать слабее всего связанные с атомами электроны, энергия связи которых значительно меньше той энергии, которую фотон может передать электрону при соударении. Таким образом, мы рассмотрели ряд явлений, в которых свет ведет себя как поток частиц (фотонов). Однако не надо забывать, что такие явления, как интерференция и дифракция света, могут быть объяснены только на основе волновых представлений. Таким образом, свет обнаруживает корпускулярно-волновой дуализм (двойственность): в одних явлениях проявляется его волновая природа, и он ведет себя как электромагнитная волна, в других явлениях проявляется корпускулярная природа света, и он ведет себя как поток фотонов. [2, с.174]
Новый радикальный шаг в развитии физики был связан с распространением корпускулярно-волнового дуализма на мельчайшие частицы вещества - электроны, протоны, нейтроны и другие микрообъекты. В классической физике вещество всегда считалось состоящим из частиц, и потому волновые свойства казались явно чуждыми ему. Тем удивительнее оказалось открытие о наличии у микрочастиц волновых свойств, первую гипотезу о существовании которых высказал зал в 1924 г. известный французский ученый Луи де Бройль "В оптике, - писал он, - в течение столетия слишком пренебрегали корпускулярным способом рассмотрения по сравнению с волновым; не делалась ли в теории вещества обратная ошибка? ". Допуская, что частицы вещества наряду с корпускулярными свойствами имеют также и волновые, де Бройль перенес на случай частиц вещества те же правила перехода от одной картины к другой, какие справедливы и случае света. По идее де Бройля, движение электрона или какой-либо другой частицы связано с волновым процессом, с частотой
v = E/h.
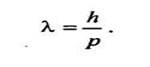
Гипотеза де Бройля была вскоре подтверждена экспериментально в 1927 г. американскими физиками К. Дэвинсоном: и Л. Джермером, впервые обнаружившими явление дифракции электронов на кристалле никеля, т.е. типично волновую картину. Формула

называется формулой де Бройля и является одним из соотношений, лежащих в основе современной физики. Для частицы с массой т, движущейся с малой скоростью v


Рис.2. Эксперимент по определению свойств микрочастиц.
Сочетая в себе свойства частицы и волны, микротела не ведут себя ни как волны, ни как частицы. Отличие микрочастицы от волны заключается в том, что она всегда обнаруживается как неделимое целое. Никто никогда не наблюдал, например, пол-электрона. В то же время волну можно разделить на части (например, направив световую волну на полупрозрачное зеркало) и воспринимать затем каждую часть в отдельности. Отличие микрочастицы от привычной нам микрочастицы заключается в том, что она не обладает одновременно определенными значениями координаты и импульса, вследствие чего понятие траектории применительно к микрочастице утрачивает смысл. [2, с.177]
Своеобразие свойств микрочастиц отчетливее всего обнаруживается в следующем мысленном эксперименте. Достоверность наблюдаемого в мысленном эксперименте эффекта вытекает из наблюдений, полученных в ряде реальных экспериментов. Направим на преграду с двумя узкими щелями параллельный пучок моноэнергетических (т.е. обладающих одинаковой кинетической энергией) электронов. За преградой поставим фотопластинку Фп. Сначала закроем вторую щель и произведем экспонирование в течение определенного времени. Почернение на обработанной фотопластинке будет характеризоваться кривой 1 на рисунке 2 (б). Вторую фотопластинку подвергнем экспозиции в течение того же времени, закрыв первую щель. Характер почернения передается в этом кривой 2 на рисунке 2 (б). Наконец, откроем обе щели и подвергнем экспонированию в течение того же времени третью пластинку. Картина почернения, получающаяся в последнем случае, изображена на рисунке 2 (в). Эта картина отнюдь не эквивалентна положению первых двух картин. Она оказывается аналогичной картине, получающейся при интерференции двух когерентных световых волн. Характер картины свидетельствует о том, что на движение каждого электрона оказывают влияние оба отверстия. Такой вывод несовместим с представлением о траекториях. Если бы электрон в каждый момент времени находился в определенной точке пространства и двигался по траектории, он проходил бы через определенное отверстие - первое или второе. Явление же дифракции доказывает, что в прохождении каждого электрона участвуют оба отверстия - и первое, и второе. Не следует, однако, представлять дело так, что какая-то часть электрона проходит через одно отверстие, а другая часть - через второе. Мы уже отмечали, что электрон, как и другие микрочастицы, всегда обнаруживается как целое, с присущей ему массой, зарядом и другими характерными для него величинами.
Таким образом, электрон, протон, атомное ядро представляют собой частицы с весьма своеобразными свойствами Обычный шарик, даже и очень малых размеров (макроскопическая частица), не может служить прообразом микрочастицы. С уменьшением размеров начинают проявляться качественно новые свойства, не обнаруживающиеся у микрочастиц. Однако при определенных условиях понятие траектории оказывается приближенно применимым к движению микрочастиц, подобно тому, как оказывается справедливым закон нелинейного распространения света. В формуле де Бройля нет ничего специфического для электрона как определенной частицы. Волновые свойства должны быть присущи любой частице вещества, имеющей массу m и скорость v. Убедительное доказательство справедливости формулы де Бройля наличия волновых свойств у частиц было получено в опытах по дифракции нейтронов на кристаллах. В ряде случаев с помощью дифракции нейтронов можно успешнее исследовать строение веществ, чем с помощью рентгеновских лучей или электронов.
Универсальность корпускулярно-волновой концепции. Французский ученый Луи де Бройль (1892-1987), осознавая существующую в природе симметрию и развивая представление о двойственной корпускулярно-волновой природе света, выдвинул в 1923 г. гипотезу об универсальности корпускулярно-волнового дуализма: [3, с.148]
не только фотоны, но и электроны и любые другие частицы материи наряду с корпускулярными обладают волновыми свойствами.
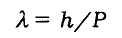
Согласно де Бройлю, любой микрообъект можно описать, с одной стороны, корпускулярными характеристиками - энергией Е и импульсом р, а с другой - волновыми характеристиками - частотой v и длиной волны X. Формулы, связывающие корпускулярные и волновые свойства частиц, такие же, как и для фотонов:

Смелость гипотезы де Бройля заключалась в том, что приведенные формулы постулировались не только для фотонов, но и для микрочастиц, обладающих массой покоя. Таким образом, любой частице с импульсом р соответствует волновой процесс с длиной волны, определяемой формулой де Бройля:

Вскоре гипотезу де Бройля экспериментально подтвердили американские физики К. Дэвиссон (1881-1958) и Л. Джермер (1896-1971), обнаружив дифракцию электронов, рассеивающихся от естественной дифракционной решетки.
Всем микрообъектам присущи и корпускулярные, и волновые свойства: для них существуют потенциальные возможности проявить себя в зависимости от внешних условий либо в виде волны, либо в виде частицы.
Принципы неопределенности и дополнительности. В классической механике всякая частица движется по определенной траектории, так что в любой момент времени можно определить ее координату и импульс. Микрочастицы из-за наличия у них волновых свойств существенно отличаются от классических частиц. Одно из основных различий - нельзя говорить о движении микрочастицы по определенной траектории и об одновременных точных значениях ее координаты и импульса. Это следует из корпускулярно-волнового дуализма. Так, понятие "длина волны в данной точке" лишено физического смысла, а поскольку импульс выражается через длину волны, микрочастица с определенным импульсом имеет неопределенную координату. И наоборот, если микрочастица находится в состоянии с определенным значением координаты, то ее импульс неопределен. [3, с.149]
Немецкий физик В. Гейзенберг (1901-1976), учитывая волновые свойства микрочастиц и связанные с волновыми свойствами ограничения в их поведении, пришел в 1927 г. к выводу: любой объект микромира невозможно одновременно с заданной наперед точностью характеризовать и координатой, и импульсом. Он сформулировал принцип неопределенности:
микрочастица (микрообъект) не может иметь одновременно определенную координату х и определенный импульс р, причем неопределенности этих величин удовлетворяют условию

Данное соотношение неопределенностей Гейзенберга означает, что произведение неопределенностей координаты ∆х и импульса ∆р не может быть меньше постоянной Планка h. Невозможность одновременно определить в пределах ошибки эксперимента координату и соответствующую ей составляющую импульса не связана с несовершенством методов измерения или измерительных приборов. Это следствие специфики микрообъектов, отражающей особенности их объективных свойств, их двойственной корпускулярно-волновой природы. Соотношение неопределенностей включает классические характеристики движения частицы (координату, импульс) с учетом ее волновых свойств. Поскольку в классической механике измерение координаты и импульса может быть произведено с заданной точностью, то соотношение неопределенностей является, таким образом, квантовым ограничением применимости классической механики к микрообъектам.
Соотношение неопределенностей, отражая специфику физики микрочастиц, позволяет оценить, например, в какой мере можно применять понятия классической механики к микрочастицам и, в частности, с какой степенью точности можно определить траекторию микрочастиц, характеризующихся в любой момент времени определенными значениями координат и скорости. Для макроскопических тел волновые свойства не играют существенной роли: их координату и скорость можно одновременно измерить в пределах ошибки эксперимента и для достоверного описания их движения можно пользоваться законами классической механики.
Анализируя принцип неопределенности, некоторые философы пришли к выводу: соотношение неопределенности устанавливает границу познаваемости мира. На самом деле соотношение неопределенностей не ограничивает познание микромира, а только указывает, насколько применимы к нему понятия и законы классической механики. [3, с.149]
Для описания микрообъектов Н. Бор сформулировал в 1927 г. принцип дополнительности:
· получение экспериментальной информации об одних физических величинах, описывающих микрообъект (элементарную частицу, атом, молекулу), неизбежно связано с потерей информации о некоторых других величинах, дополнительных к первым.
Такими взаимно дополнительными величинами можно считать, например, координату частицы и ее скорость (или импульс). С физической точки зрения принцип дополнительности часто объясняют влиянием измерительного прибора (макроскопического объекта) на состояние микрообъекта. При точном измерении (имеется в виду измерение в пределах ошибки эксперимента) одной из дополнительных величин (например, координаты частицы) с помощью соответствующего прибора другая величина (импульс) в результате взаимодействия частицы с прибором претерпевает полностью неконтролируемое изменение. С позиции квантовой теории роль прибора в измерениях заключается в "приготовлении" некоторого состояния системы. Состояния, в которых взаимно дополнительные величины имели бы одновременно точно определенные значения, принципиально невозможны, причем если одна из таких величин точно определена, то значения другой неопределенны. Таким образом, фактически принцип дополнительности отражает объективные свойства квантовых систем, не связанные с наблюдателем. [3, с.150]
Микромир образуют микрочастицы, которыми являются элементарные частицы (электроны, протоны, нейтроны, фотоны и другие простые частицы), а также сложные частицы, образованные из сравнительно небольшого числа элементарных частиц (молекулы, атомы, ядра атомов и т.п.) Термин "микрочастица" отражает только одну сторону объекта, к которому он применяется. Всякий микрообъект (молекула, атом, электрон, фотон и т.д.), представляет собой образование особого рода, сочетающее в себе свойства и частицы, и волны. Может быть, правильнее было бы называть его "частицей-волной". Микрообъект не способен воздействовать непосредственно на наши органы чувств - ни видеть, ни осязать его нельзя. Ничего подобного микрообъектам в воспринимаемом нами мире не существует. Микротела не похожи ни на что из того, что нам хоть когда-нибудь приходилось видеть.
Обнаружено, что элементарные частицы могут взаимно превращаться, т.е. не являются "последними кирпичиками" мироздания. Стало ясно, что число элементарных частиц не должно быть особенно большим.
В механике микромира уравнение Шредингера для волновой функции играет ту же роль, что и уравнение Ньютона в классической механике. В уравнении, объясняющем поведение электрона в атоме, содержится волновая функция, квадрат модуля которой определяет положение электрона в данной точке в каждый момент времени. Главным открытием квантовой механики является вероятностный характер законов микромира.
Частицам вещества в микромире присущ корпускулярно-волновой дуализм: в одних явлениях они проявляют волновые свойства, а в других - корпускулярную природу. Поэтому для изучения свойств микромира применяют принцип дополнительности, введенный Н. Бором в 1927 г.
Фундаментальным в квантовой теории является принцип неопределенности, определяющий границы применимости классических представлений при описании свойств микромира. Невозможно с одинаковой точностью определить и положение, и импульс микрочастиц.
В результате экспериментов по рассеянию α-частиц Резерфордом была предложена планетарная модель строения атома. При заполнении электронами орбит в атоме соблюдается принцип Паули: два электрона не могут находиться в одном и том же состоянии.
Важнейший философский вывод из квантовой механики заключается в принципиальной неопределенности результатов измерений и, следовательно, невозможности точного предвидения будущего.
1. Горелов А.А. Концепции современного естествознания. – М.: Центр, 2002. - 208 с.
2. Гусейханов М.К., Раджабов О.Р. Концепции современного естествознания: Учебник. - М.: Издательско-торговая корпорация "Дашков и К°", 2004. - 692 с.
3. Карпенков С.Х. Концепции современного естествознания. – М.: ГУП "Издательство "Высшая школа", 2003. – 487 с.
4. Найдыш В.М. Концепции современного естествознания: Учебное пособие. – М.: Гарадарики, 2003. – 476 с.
5. Рузавин Г.И. Концепции современного естествознания: Учебник для вузов. - М.: Культура и спорт, ЮНИТИ, 1999. - 288 с.
|