.
Выпрямители применяются в достаточно большом количестве преобразовательных устройств и систем,. К ним, прежде всего, можно отнести системы для электрических приводов, телекоммуникационные устройства, электролизные и электротермические установки, сварочные и зарядные аппараты, системы бесперебойного электропитания и т. д. По сути перечисленное оборудование является нелинейной нагрузкой, применение которой приводит к возникновению искажений тока и напряжения в питающей сети, вследствие чего возникают проблемы, связанные с электромагнитной совместимостью источника питания и нагрузки. Поэтому необходимо нормировать отрицательное воздействие нелинейных нагрузок на питающую сеть. В России разработаны системы стандартов и сертификации по электромагнитной совместимости.
В настоящее время предложено большое разнообразие выпрямительных схем, позволяющих улучшить гармонический состав входного тока. В зарубежных публикациях уже предлагаются некоторые классификации выпрямительных схем, позволяющие выделить отдельные группы схем выпрямителей по тем или иным общим признакам. Руководствуясь классификацией, можно выделить две основные группы выпрямителей - "Unidirectional" и "Bidirectional", каждая из которых включает в себя следующие виды выпрямителей: Boostrectifier, Buckrectifier, Buck-Boostrectifier, Multilevelrectifier, Multipulserectifier. В России исследовательские работы в отношении перечисленных схем выпрямителей ведутся достаточно активно.
В последнее время усилился интерес к многоуровневым выпрямителям (Multilevelrectifier), позволяющим формировать входной ток, близкий к синусоиде. Несмотря на достаточно большое количество работ, посвящённых исследованию многоуровневых выпрямительных схем, остаются вопросы, которые по тем или иным причинам освещены в меньшей степени.
Рассмотрим алгоритмы управления дополнительными двунаправленными ключами однофазного трёхуровневого выпрямителя, проводём анализ электромагнитных процессов, позволяющий выявить свойства выпрямителя, выведем соотношения для токов и напряжений элементов схемы, а также внешней характеристики.
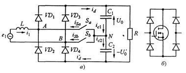
Схема выпрямителя приведена на рис. 1а, а на рис. 1б -
одна из возможных схемных реализаций, применяемых в схеме, дополнительных двунаправленных ключей S
а
Sb
.
Свойства рассматриваемого выпрямителя во многом зависят от алгоритмов управления дополнительными ключами. Используя широтно-импульсную модуляцию работы ключей можно добиться низкого содержания неосновных гармоник во входном токе выпрямителя. Однако хорошего качества входного тока возможно достичь и при других алгоритмах управления ключами Sa
,
Sb
,
при которых осуществляется их низкочастотное переключение. Это позволяет в значительной степени снизить коммутационные потери.
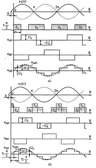
  На рис.2, а, б
отражены эпюры, характеризующие два возможных алгоритма управления двунаправленными ключами выпрямителя. Условимся называть их алгоритм I и алгоритм II. При этом Sa
,
Sb
-
длительности включённого состояния двунаправленных ключей; uAN
и uBN
-
напряжения на зажимах А
и В
относительно точки N
;
uAB
-
напряжение между зажимами А
и В;
U
0
и U
0
-
напряжения на конденсаторах C1
и С2
соответственно.
Алгоритм I. Основной принцип данного алгоритма заключается в том, что на определённых интервалах работают ключи Sa
,
Sb
,
а между ними -диоды выпрямителя рис.2, а.
Длительность интервалов управления ключами определяется коэффициентом γ, изменяющимся в пределах 0-1. Рассматриваемый алгоритм позволяет обеспечить форму входного тока (i1
), близкую к синусоиде, в этой связи при анализе будем полагать, что ток входной фазы выпрямителя синусоидальный. При этом токи id
и i
'
d
, формирующиеся в    схеме, будут иметь вид, показанный на рис.3.
Алгоритм
II
.
Второй алгоритм отличается от первого наличием интервала совместной работы ключей Sa
Sb
и позволяет получить меньший коэффициент гармоник входного тока по сравнению с алгоритмом I. При анализе будем, как и ранее, полагать, что входной ток выпрямителя чисто синусоидальный. Тогда, как видно из рис.4, ток ключей S
а
,
Sb
содержит в себе две составляющие i
', i
",
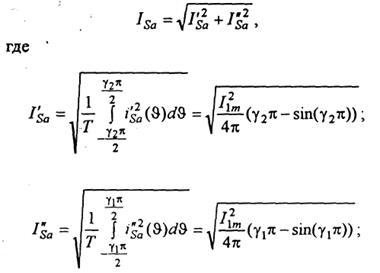
формирующиеся от двух интервалов работы ключей. Таким образом, действующее значение тока, например ключа S
а
,

γ1
= 0÷1 - коэффициент, определяющий длительность узкого импульса управления для дополнительных ключей; γ2
= 0÷1 - коэффициент, определяющий длительность широкого импульса управления для дополнительных ключей.
Следовательно,

Очевидно, что ISa
=
ISb
.
Согласно рис.4 максимальное значение токов ключей S
а
Sb
определяется следующим соотношением:
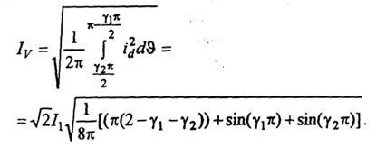
Действующее значение токадиода выпрямителя для рассматриваемого алгоритма
Согласно рис 4, среднее значение тока:

 
|