Оптические средства обнаружения
1. Назначение, классификация и основные характеристики оптических средств обнаружения
Средство обнаружения - это конструктивно завершенное устройство, реализующее рецепторную функцию, а также функции обработки и распознавания первичной информации. Функция обработки первичной информации заключается в выделении характерных для нарушителя признаков сигналов, изменяющих состояние внешней среды. Распознавание первичной информации представляет собой проверку соответствия выделенных сигналов заданным критериям и принятия решения о характере сигналов. СО не имеет самостоятельного применения, так как не реализует функцию отображения информации, но при этом СО является важной и неотъемлемой составной частью комплекса технических средств охранной сигнализации. В отдельных случаях СО может применяться для выдачи управляющих сигналов и команд на различные устройства.
Оптические СО получили широкое распространение и являются одними из основных средств сигнализации для защиты объемов помещений, проходов, коридоров, периметров. Десятки фирм многих стран мира производят сотни модификаций этих приборов, общий выпуск которых по оценкам западных экспертов ежегодно превышает миллион экземпляров.
Пассивные инфракрасные СО являются в последнее время одним из наиболее распространенных видов СО, используемых при охране помещений. Это обусловлено тем, что современные пассивные ИКСО обладают высокими показателями обнаружения и помехоустойчивости, широким разнообразием конфигураций зон обнаружения, удобны в эксплуатации, экономичны, экологически безопасны и не создают помех другим средствам электронной техники. ИКСО дешевле других средств, предназначенных для блокирования помещений.
Принцип действия ИКСО основан на регистрации собственного теплового излучения нарушителя или изменения ИК-излучения при взаимодействии его с нарушителем.
По своему функциональному назначению ИКСО можно разделить на две группы:
- ИКСО, предназначенные для охраны протяженных рубежей и периметров;
- ИКСО, предназначенные для охраны помещений и отдельных предметов.
В свою очередь по принципу работы и структуре ИКСО подразделяются на активные и пассивные.
Активные ИКСО чаще применяются для охраны протяженных рубежей и периметров; для охраны помещений и отдельных предметов предпочтение отдается пассивным ИКСО.
Современные пассивные ИКСО характеризуются большим разнообразием возможных форм диаграмм направленности. Зона чувствительности ИКСО представляет собой набор лучей различной конфигурации, расходящихся от СО по радиальным направлениям в одной или нескольких плоскостях. В связи с тем, что в ИКСО используются сдвоенные пироприемники, каждый луч в горизонтальной плоскости расщепляется на два. Пироприемник ИК-излучений - это прибор, измеряющий тепловое излучение. Однако для повышения вероятности правильного определения факта нарушения охраняемой зоны с помощью ИКСО измеряются дифференциальные величины - разности показателей пироприемников, применяемых в ИКСО.
На рис.1 представлены графические модели различных вариантов зон чувствительности ИКСО:
- одного или нескольких узких лучей, сосредоточенных в малом угле;
- нескольких узких лучей в вертикальной плоскости;
- одного широкого в вертикальной плоскости луча или в виде многовеерного занавеса;
- нескольких узких лучей в горизонтальной или наклонной плоскости;
- нескольких узких лучей в нескольких наклонных плоскостях.
При этом можно изменять протяженность зоны чувствительности от 1 до 50 м, угол обзора - от 3 до 180°, угол наклона каждого луча - от 0 до 90°, число лучей может составлять от одного до нескольких десятков.

Рис. 1
Многообразие и сложная конфигурация форм зоны чувствительности обусловлены в первую очередь следующими факторами:
- стремлением разработчиков обеспечить универсальность при оборудовании различных по конфигурации помещений - небольшие комнаты, длинные коридоры, формирование зоны чувствительности специальной формы, например, с зоной нечувствительности для домашних животных вблизи пола, и т.п.;
- необходимостью обеспечения равномерной по охраняемому объему чувствительности.
На требовании равномерной чувствительности целесообразно остановиться подробнее. Сигнал на выходе пироприемника при прочих равных условиях тем больше, чем больше степень перекрытия нарушителем зоны чувствительности детектора и чем меньше ширина луча и расстояние до СО. Для обнаружения нарушителя на большом расстоянии желательно, чтобы в вертикальной плоскости ширина луча не превышала 5...10° - в этом случае человек практически полностью перекрывает луч, что обеспечивает максимальную чувствительность. На меньших расстояниях чувствительность детектора в этом луче существенно возрастает, что может привести к ложным срабатываниям, например, от мелких животных. Для уменьшения неравномерности чувствительности используются оптические системы, формирующие несколько наклонных лучей. ИКСО при этом устанавливают на высоте выше человеческого роста. Общая длина зоны чувствительности тем самым разделяется на несколько зон, причем "ближние" к детектору лучи для снижения чувствительности делаются обычно более широкими. За счет этого обеспечивается практически постоянная чувствительность по расстоянию, что, с одной стороны, способствует уменьшению ложных срабатываний, а с другой стороны, повышает вероятность обнаружения за счет устранения "мертвых зон" вблизи СО.
При построении оптических систем ИКСО могут использоваться:
- линзы Френеля - фасеточные линзы, представляющие собой пластиковую пластину с отштампованными на ней несколькими призматическими линзами-сегментами;
- зеркальная оптика - в СО устанавливаются несколько зеркал специальной формы, фокусирующих тепловое излучение на пироприемник;
- комбинированная оптика, использующая и зеркала, и линзы Френеля.
В большинстве ИКСО используются линзы Френеля. К их достоинствам относятся:
- простота конструкции СО на их основе;
- низкая стоимость;
- возможность использования одного СО в различных приложениях при использовании сменных линз.
Обычно каждый сегмент линзы Френеля формирует свой луч диаграммы направленности. Использование современных технологий изготовления линз позволяет обеспечить практически постоянную чувствительность СО по всем лучам за счет подбора и оптимизации параметров каждой линзы-сегмента: площади сегмента, угла наклона и расстояния до пироприемника, прозрачности, отражающей способности, степени дефокусировки. В последнее время освоена технология изготовления линз Френеля со сложной точной геометрией, что дает 30%-е увеличение собираемой энергии по сравнению со стандартными линзами и, соответственно, увеличение уровня полезного сигнала от человека на больших расстояниях. Материал, из которого изготавливаются современные линзы, обеспечивает защиту пироприемника от белого света. К неудовлетворительной работе ИКСО могут привести такие эффекты как тепловые потоки, являющиеся результатом нагревания электрических компонентов СО, попадания насекомых на чувствительные пироприемники, возможные переотражения инфракрасного излучения от внутренних частей СО. Для устранения этих эффектов в ИКСО последнего поколения применяется специальная герметичная камера между линзой и пироприемником, например, в новых СО фирм PYRONIX и С&К. По оценкам специалистов, современные высокотехнологичные линзы Френеля по своим оптическим характеристикам практически не уступают зеркальной оптике.
Зеркальная оптика как единственный элемент оптической системы применяется достаточно редко. ИКСО с зеркальной оптикой выпускаются, например, фирмами SENTROL и ARITECH. Преимуществами зеркальной оптики являются возможность более точной фокусировки и, как следствие, увеличение чувствительности, что позволяет обнаруживать нарушителя на больших расстояниях. Использование нескольких зеркал специальной формы, в том числе многосегментных, позволяет обеспечить практически постоянную чувствительность по всей длине зоны обнаружения, причем эта чувствительность на удаленных участках зоны обнаружения приблизительно на 60% выше, чем при использовании простых линз Френеля. С помощью зеркальной оптики проще обеспечивается защита ближней зоны, расположенной непосредственно под местом установки ИКСО. По аналогии со сменными линзами Френеля ИКСО с зеркальной оптикой комплектуются сменными отстегивающимися зеркальными масками, применение которых позволяет выбирать требуемую форму зоны чувствительности и дает возможность адаптировать СО к различным конфигурациям защищаемого помещения.
В современных высококачественных ИКСО используется комбинация линз Френеля и зеркальной оптики. При этом линзы Френеля используются для формирования зоны чувствительности на средних расстояниях, а зеркальная оптика - для формирования ан-тисаботажной зоны под датчиком и для обеспечения очень большого расстояния обнаружения.
2. Активные оптические СО. Принцип действия, особенности применения
Разработка отечественных активных ИКСО ведется с начала 60-х гг. В первых разработках в качестве источников излучения использовались лампы накаливания. Модуляция излучения в этих изделиях осуществлялась с помощью механических модуляторов. Такие ИКСО имели низкую эффективность, большие габаритные размеры и значительные токи потребления.
Принцип действия активных ИКСО можно пояснить, воспользовавшись обобщенной структурной схемой.
Оптическая система источника излучения создает узконаправленный луч ИК-излучения. В качестве источника ИК-излучения используются полупроводниковые излучающие диоды с рабочей длиной волны 0,94 мкм, которые располагаются в фокусе оптической системы.

Для обеспечения необходимого значения тока через диод и снижения тока потребления ПРД питание диода осуществляется импульсным промодулированным напряжением, которое вырабатывается в устройстве электронной модуляции. Угол расхождения луча 2, как правило, составляет 1,5...2°, что позволяет получить необходимую мощность излучения ПРД для блокирования рубежа протяженностью 200...250 м с учетом воздействия метеорологических факторов.
Луч ПРД направлен на оптическую систему ПРМ, угол поля зрения 2<р которого составляет обычно 2...30
. Небольшой угол поля зрения ПРМ позволяет уменьшить влияние побочных фоновых засветок фотоприемника. Однако в ПРМ попадает поток ИК-излучения, охватываемый только световым диаметром DC
bоптической системы. Поэтому чувствительная зона активного двухпозиционного ИКСО представляет собой луч диаметром постоянного сечения по всей длине блокируемого участка 1_Б
л.
ИК-излучение фокусируется оптической системой ПРМ на чувствительную площадку фотоприемников. Получаемые с них импульсы фототока усиливаются и поступают на устройства обработки для формирования сигналов тревоги.

В зависимости от количества лучей и их расположения ИКСО могут выполнять различные тактические задачи. Горизонтальное расположение двух лучей позволяет за счет временной обработки сигналов определять направление движения нарушителя. Вертикальное расположение лучей в активных ИКСО повышает надежность блокирования рубежей и периметров по сравнению с однолучевыми СО.
Более подробно принцип действия активных ИКСО рассмотрим по структурным схемам ПРД и ПРМ двухканального ИКСО, позволяющего определять направление движения нарушителя. Эти схемы являются наиболее характерными для построения активных ИКСО.
ПРД имеет два идентичных канала. Каждый луч формируется импульсным излучением диодов VD1 и VD2. Схема излучения каждого канала запускается цепью синхронизации от переменного напряжения с частотой питающей сети, которое подается на входной трансформатор.


Выпрямленные полуволны напряжения, снимаемые со включенных противофазно вторичных обмоток входного трансформатора, формируются в прямоугольные импульсы и поступают в усилители мощности, нагрузкой которых являются выходные трансформаторы. Такое включение вторичных обмоток входного трансформатора обеспечивает подачу на входы формирователей прямоугольных импульсов напряжения от разных полупериодов, чем достигается поочередная работа каналов.
Со вторичных обмоток выходных трансформаторов снимаются импульсы тока, осуществляющие модуляцию излучения диодов VD1 и VD2.
Падающий на оптическую систему ПРМ поток излучения фокусируется на чувствительную площадку фотодиода и преобразуется им в фототок. Импульсы фототока образуют на входном сопротивлении усилителя импульсное напряжение, которое усиливается по мощности.
Так как ИКСО рассчитан на работу в различных метеоусловиях, то амплитуда импульсов может колебаться в широких пределах. Для поддержания амплитуды в определенных пределах предусмотрена АРУ.
Учитывая, что угол расхождения луча позволяет облучать одновременно обе оптические системы ПРМ, схема совпадения пропускает только импульсы "своего" канала от соответствующей полуволны напряжения синхронизации.
Порог усилителя АРУ выбран из расчета преобладания сигнала над уровнем шума в 5...6 раз при наихудших метеоусловиях и в 15...25 раз - при хороших метеоусловиях.
В зависимости от последовательности пересечения лучей на выходах схем согласования поочередно для каждого канала изменяются уровни напряжений, которые поступают на схему логической обработки. Соответствующие сигналы выдаются за счет срабатывания одного из реле ключевой схемы.
Генератор синхронизации синхронизирует работу датчика, выдавая на ПРД, а также на схемы совпадения и логической обработки ПРМ, синусоидальные напряжения соответствующих амплитуд и фаз при отсутствии сети 220 В.
В ИКСО с вертикальным расположением лучей цепь синхронизации работы каналов отсутствует. Различение "своего" канала обеспечивается взаимным расположением передающего и приемного устройств. В таких ИКСО схема обработки сигналов более простая, чем в активных ИКСО с горизонтальным расположением лучей.

Одним из факторов, ограничивающим возможность применения ИКСО, является туман с метеорологической дальностью видимости менее 200...250 м, при котором происходит выдача ложных сигналов тревоги или потеря работоспособности. Кроме того, в весенне-осенний и зимний периоды года активные ИКСО требуют обогрева оптических систем, что также ограничивает их применение при небольших емкостях источников постоянного тока.
3. Пассивные инфракрасные СО
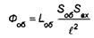
Принцип действия пассивных ИКСО. Принцип действия пассивных ИКСО основан на регистрации сигналов, порождаемых тепловым потоком, излучаемым объектом обнаружения. Полезный сигнал на выходе безынерционного одноплощадочного приемника излучения определяется выражением:

где Su
- вольтовая чувствительность приемника излучения, -изменение величины теплового потока, падающего на входное окно оптической системы и вызванное движением объекта в зоне обнаружения.
Максимальное значение соответствует случаю, когда объект полностью попадает в поле зрения ИКСО. Обозначим это значение как
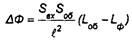
Считая, что потери в оптической системе настолько малы, что ими можно пренебречь, выразим через параметры объекта и фона. Пусть в пределах фона, поверхность которого обладает абсолютной температурой Тф
и излучательной способностью Еф
, появляется объект, абсолютная температура которого Тоб, а излучательная способность Еов. Площадь проекции объекта на плоскость, перпендикулярную направлению наблюдения, обозначим Soe, а площадь проекции фона в поле зрения - Бф
. Тогда величина теплового потока, падающего на входное окно оптической системы до появления объекта, определяется выражением:

где - расстояние от входного окна до фоновой поверхности; 1.ф
-яркость фона; SBX
- площадь входного окна оптической системы.

Величина теплового потока, создаваемого объектом, определяется аналогичным образом:

где t- расстояние от ИКСО до объекта; - яркость объекта.
При наличии объекта тепловой поток, падающий на входное окно, создается объектом и той частью фоновой поверхности, которая не экранируется объектом, откуда суммарный тепловой поток

Тогда изменение теплового потока АФ записывается в виде:

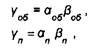
Считая, что для объекта и фона справедлив закон Ламберта, выразим яркости Lo6 и Ьф
через излучательные способности и абсолютные температуры:

где - постоянная Стефана-Больцмана.
Подставляя и в, получим выражение для АФ через абсолютные температуры и излучательные способности объекта и фона:

При заданных параметрах оптической системы и приемника излучения значение сигнала в соответствии с полностью определяется изменением облученности ДЕ.
Излучательная способность кожи человека очень высока, в среднем она составляет 0,99 относительно абсолютно черного тела на длинах волн больше 4 мкм. В ИК области спектра оптические свойства кожного покрова близки к характеристикам черного тела. Температура кожи зависит от теплообмена между кожей и окружающей средой. Измерения, проведенные с помощью тепловизора "Ага-750", показали, что при температуре воздуха +25°С температура по поверхности ладони человека изменяется в пределах +32...+ 34°С, а при температуре воздуха +19°С - в пределах +28...+30°С. Наличие одежды уменьшает яркость объекта, так как температура одежды ниже, чем температура обнаженной кожи. При температуре окружающей среды +25°С измеренная средняя температура поверхности тела одетого в костюм человека составила +26°С. Излучательная способность одежды также может быть иной, чем у обнаженной кожи.
Другие параметры, входящие в выражение, могут принимать различные значения в зависимости от конкретной обстановки и/или оперативной задачи.
Рассмотрим подробнее процесс сигналообразования и основные виды помех, влияющих на ложное срабатывание пассивных ИКСО.
Сигналообразование. Для лучшего понимания методов и алгоритмов повышения помехоустойчивости ИКСО необходимо иметь представление об основных параметрах сигнала - форме, амплитуде, длительности , зависимости от скорости движения человека и температуры фона

Рассмотрим одну лучевую зону обнаружения длиной 10 м с диаметром луча в основании конуса 0,3 м. Считается, что человек пересекает зону по нормали к ней с максимальной и минимальной скоростями при расстоянии от приемника Ю, 5 и 1 м. Форма сигнала при пересечении луча на расстоянии 10 м имеет вид треугольника с максимумом при полном перекрытии зоны. На рис. 4.8,6 показан спектр этого сигнала. При пересечении луча на меньшем расстоянии сигнал приобретает форму трапеции с крутыми фронтами и спектр этого сигнала приобретает вид, показанный на рис. 4.9,6.

Очевидно, что длительность сигнала обратно пропорциональна скорости движения и расстоянию до приемника.
Реальный сигнал отличается от идеальной картины за счет искажений, вносимых трактом усиления и наложением хаотических шумов, создаваемых температурными флуктуациями фона. Записи реальных сигналов, полученные с использованием отечественного пироприемника ПМ2Д, приведены на рис. 4.10. Здесь же представлены его спектральные характеристики, полученные пропусканием реальнозаписанных сигналов через спектроанализатор фирмы

Анализ записей позволяет определить спектральное "окно", необходимое для пропускания сигналов, образующихся при пересечении зоны в любом месте во всем диапазоне скоростей от 0,1 до 15 Гц. При этом на краях диапазона возможно ослабление сигнала, так как пироприемник имеет амплитудно-частотную характеристику со спадом в области 5... 10 Гц. Для его компенсации необходимо введение в тракт обработки сигнала специального корректирующего усилителя, обеспечивающего подъем АЧХ в области 5...20 Гц.
Температурный контраст. Амплитуда сигнала, как уже говорилось, определяется температурным контрастом между телом человека и фоном, на который направлен луч. Так как температура фона меняется вслед за изменением температуры в помещении, то и сигнал, пропорциональный их разности, также меняется.
В точке, где температура человека и фона совпадают, значение выходного сигнала равно нулю. В области более высоких температур сигнал меняет знак.
Температура фона в помещении отражает состояние воздуха вне помещения с некоторым запаздыванием, обусловленным тепловой инерцией конструктивных материалов здания.
Температурный контраст зависит также от температуры внешней поверхности человека, т.е. в основном от его одежды. Причем здесь оказывается существенным следующее обстоятельство. Если человек входит в помещение, где установлено ИКСО, извне, например с улицы, где температура может существенно отличаться от температуры в помещении, то в первый момент тепловой контраст может быть значительным. Затем, по мере "адаптации" температуры одежды к температуре помещения, сигнал уменьшается. Но даже после продолжительного пребывания в помещении величина сигнала зависит от вида одежды. На рис. 4.11 приведены экспериментальные зависимости температурного контраста человека от температуры окружающей среды. Штриховой линией показана экстраполяция экспериментальных данных для температуры выше 40°С.

Заштрихованная область 1 — это диапазон контрастов в зависимости от формы одежды, типа фона, размеров человека и скорости его движения.
Важно отметить, что переход величины температурного контраста через ноль происходил только в том случае, если в области температур 30...39,5°С измерения проводились после адаптации человека в нагретом помещении в течении 15 мин. В случае же вторжения в зону чувствительности СО человека находившегося до этого в помещении с температурой ниже 30°С или на открытом воздухе с температурой 44°С, уровни сигналов в диапазоне температур 30...39,5°С лежат в области 2 и не достигают нулевого значения.
Распределение температуры по поверхности человека не равномерно. Наиболее близка она к 36°С на открытых частях тела -лице и руках, а температура поверхности одежды ближе к фону помещения. Поэтому сигнал на входе пироприемника зависит от того, какой частью тела перекрывается лучевая зона чувствительности.
Рассмотрение процесса сигналообразования позволяет сделать следующие выводы:
- амплитуда сигнала определяется температурным контрастом поверхности человека и фона, который может составлять от долей градуса до десятков градусов;
- форма сигнала имеет треугольный или трапецеидальный вид, длительность сигнала определяется местом пересечения лучевой зоны и при движении по нормали к лучу может составлять от 0,05 до 10 с. При движении под углом к нормали длительность сигнала увеличивается. Максимум спектральной плотности сигнала лежит в интервале от 0,15 до 5 Гц;
- при движении человека вдоль луча сигнал минимален и определяется лишь разностью температур отдельных участков поверхности человека и составляет доли градуса;
- при движении человека между лучами сигнал практически отсутствует;
- при температуре в помещении, близкой к температуре поверхности тела человека, сигнал минимален, т.е. разность температур составляет доли градуса;
- амплитуды сигналов в разных лучах зоны обнаружения могут существенно отличаться друг от друга, так как определяются температурным контрастом тела человека и участком фона, на который направлен данный луч. Разность может достигать десяти градусов.
Помехи в пассивных ИКСО. Перейдем к анализу помеховых воздействий, вызывающих ложное срабатывание пассивных ИКСО. Под помехой будем понимать любое воздействие внешней среды или внутренние шумы приемного устройства, не связанные с движением человека в зоне чувствительности СО.
Существует следующая классификация помех:
- тепловые, обусловленные нагреванием фона при воздействии на него солнечного излучения, конвекционных потоков воздуха от работы радиаторов, кондиционеров, сквозняков;
- электрические, вызываемые наводками от источников электро-и радиоизлучений на отдельные элементы электронной части СО;
- собственные, обусловленные шумами пироприемника и тракта усиления сигнала;
- посторонние, связанные с перемещением в зоне чувствительности СО мелких животных или насекомых по поверхности входного оптического окна СО.
Наиболее значительной и "опасной" помехой является тепловая, вызываемая изменением температуры участков фона, на который направлены лучевые зоны чувствительности. Воздействие солнечного излучения приводит к локальному повышению температуры отдельных участков стены или пола помещения. При этом постепенное изменение температуры не проходит через схемы фильтрации прибора, однако, сравнительно резкие и "неожиданные" ее колебания, связанные, например, с затенением солнца проходящими облаками или проездом транспорта, вызывают помеху, аналогичную сигналу от прохождения человека. Амплитуда помехи зависит от инерционности фона, на который направлен луч. Например, время изменения температуры голой бетонной стены намного больше, чем деревянной или оклеенной обоями.
На рис. приведена запись типичной солнечной помехи на выходе пироприемника при прохождении облака, а также ее спектр.

При этом изменение температуры при солнечных помехах достигает 1,0...1,5°С, особенно в тех случаях, когда луч направлен на малоинерционный фон, например на деревянную стену или штору из ткани. Длительность таких помех зависит от скорости затенения и может попасть в диапазон скоростей, характерных для движения человека. Необходимо отметить одно существенное обстоятельство, которое позволяет бороться с такими помехами. Если два луча направлены на соседние участки фона, то вид и амплитуда помехового сигнала от воздействия солнца практически одинаковы в каждом луче, т.е. налицо сильная корреляция помех. Это позволяет соответствующим построением схемы подавить их за счет вычитания сигналов,
Конвективные помехи обусловлены воздействием перемещающихся потоков воздуха, например сквозняков при открытой форточке, щелей в окне, а также бытовых отопительных приборов -радиаторов и кондиционеров. Потоки воздуха вызывают хаотическое флуктуационное изменение температуры фона, амплитуда и частотный диапазон которого зависят от скорости потока воздуха и характеристик фоновой поверхности.
В отличие от солнечной засветки конвективные помехи от различных участков фона, воздействующие даже на расстоянии 0,2...0,3 м, слабо коррелированы между собой и их вычитание не дает эффекта.
Электрические помехи возникают при включении любых источников электро- и радиоизлучения, измерительной и бытовой аппаратуры, освещения, электродвигателей, радиопередающих устройств, а также при колебаниях тока в кабельной сети и линиях электропередач. Значительный уровень помех создают также разряды молний.
Чувствительность пироприемника очень высока — при изменении температуры на 1°С выходной сигнал непосредственно с кристалла составляет доли микровольта, поэтому наводки от источников помех в несколько вольт на метр могут вызвать помеховый импульс, в тысячи раз превышающий полезный сигнал. Однако большая часть электрических помех имеет малую длительность или крутой фронт, что позволяет отличить их от полезного сигнала.
Собственные шумы пироприемника определяют высшую границу чувствительности ИКСО и имеют вид белого шума. В связи с этим методы фильтрации здесь не могут быть использованы. Интенсивность помехи увеличивается при повышении температуры кристалла приблизительно в два раза на каждые десять градусов. Современные пироприемники имеют уровень собственных шумов, соответствующих изменению температуры на 0,05...0,15°С.
Выводы:
1. Спектральный диапазон помех перекрывает диапазон сигналов и лежит в области от долей до десятков герц.
2. Наиболее опасный вид помех - солнечная засветка фона, воздействие которой увеличивает температуру фона на 3...5°С.
3. Помехи от солнечной засветки для близких участков фона жестко коррелированы между собой и могут быть ослаблены при использовании двухлучевой схемы построения СО.
4. Конвективные помехи от тепловых бытовых приборов имеют вид флуктуационных случайных колебаний температуры, достигающих 2...3°С в диапазоне частот от 1 до 20 Гц при слабой корреляции между лучами.
5. Электрические помехи имеют вид коротких импульсов или ступенчатых воздействий с крутым фронтом, наведенное напряжение может в сотни раз превышать сигнал.
6. Собственные шумы пироприемника, соответствующие сигналу при изменении температуры на 0,05...0,15°С, лежат в диапазоне частот, перекрывающем диапазон сигнала, и увеличиваются пропорционально температуре приблизительно вдвое на каждые 10°С.
Далее рассмотрим несколько классических методов повышения помехоустойчивости пассивных ИКСО.
Методы повышения помехоустойчивости пассивных ИКСО. Дифференциальный метод приема Ж-излучения получил довольно широкое распространение. Сущность этого метода заключается в следующем: с помощью двухплощадочного приемника формируются две пространственно разнесенные зоны чувствительности. Сигналы, формирующиеся в обоих каналах, взаимно вычитаются:

Понятно, что две пространственно разнесенные зоны чувствительности не могут быть пересечены движущимся объектом одновременно. Сигналы в каналах в этом случае возникают поочередно, следовательно, амплитуда их не уменьшается. Из формулы следует, что помеха на выходе дифференциального приемника равна нулю при совместном выполнении следующих условий:
1. Формы помех в каналах совпадают.
2. Амплитуды помех одинаковы.
3. Помехи имеют одинаковое временное положение.
В случае солнечной помехи выполняются условия 1 и 3. Условие 2 выполняется только в случае, когда в качестве фона в обоих каналах служит один и тот же материал или углы падения солнечной энергии на фон одинаковы в обоих каналах или в обоих каналах поток солнечного излучения попадает на всю площадь фона, ограничивающего зоны чувствительности. На рис. показана зависимость амплитуды помехи на выходе дифференциального каскада от амплитуды помехи на его входе.
Параметром является отношение амплитуд помеховых воздействий в каналах. В этом случае имеется в виду, что условия 1 и 3 выполняются.
Из рис. видно, что при достаточно хорошем совпадении амплитуд помеховых воздействий в каналах достигается 5... 10 кратное подавление этих помех. При значениях UB
xi/UB
x2>
1.2 подавление помехи уменьшается и характеристика ивых=/ стремится к аналогичной характеристике одиночного приемника.


При воздействии конвективной помехи степень ее подавления дифференциальным приемником определяется степенью корреляции ее в пространственно-разнесенных точках фоновой поверхности. Оценка степени пространственной корреляции конвективной помехи может быть проведена путём измерения ее интенсивности при дифференциальном и обычном методах приема. Результаты некоторых измерений показаны на рис. 4.14.
Оптимальная частотная фильтрация. Эффективное подавление помех этим методом возможно при существенном различии в частотных спектрах сигналов и помех. Из приведенных выше данных следует, что такого различия в нашем случае нет. Поэтому использование этого метода для полного подавления помех не представляется возможным.
Основным видом шума, определяющим чувствительность ИКСО, является собственный шум приемника. Поэтому оптимизация полосы пропускания усилителя в зависимости от спектра сигнала и характера шума приемника позволяет реализовать предельные возможности приемной системы.
Оптическая спектральная фильтрация. Сущность метода оптической спектральной фильтрации такая же, как и в случае оптимальной частотной фильтрации. При спектральной фильтрации помеха подавляется за счет различий в оптических спектрах сигналов и помех. Эти различия практически отсутствуют для конвективной помехи и для составляющей солнечной помехи, возникающей за счет изменения температуры фона под действием солнечного излучения, однако спектр отраженной от фона составляющей солнечной помехи в значительной мере отличается от спектра сигнала. Спектральная плотность энергетической светимости абсолютно черного тела определяется формулой Планка:

где - длина волн; к - постоянная Больцмана; Т - температура тела; h - постоянная Планка; с - скорость света.
Графическое изображение функции, пронормированной по , для контрастного излучения объекта и солнечного излучения представлено на рис. 4.15.
Согласно классической теории линейной оптимальной фильтрации для обеспечения максимального отношения сигнал/помеха спектральная полоса пропускания оптического фильтра должна быть согласована со спектром контрастного излучения объекта и иметь вид, показанный на рис. 4.15.

Наиболее полно этому условию из серийно выпускаемых материалов удовлетворяет бескислородное стекло ИКС-33.
Степень подавления солнечной помехи указанными фильтрами для различных фонов показана в табл. 4.1. Из таблицы видно, что наибольшее подавление солнечной помехи достигается фильтром ИКС-33. Черная полиэтиленовая пленка несколько уступает ИКС-33.
Таким образом, даже при использовании фильтра ИКС-33 солнечная помеха подавляется всего в 3,3 раза, что не может привести к радикальному улучшению помехоустойчивости пассивного оптического средства обнаружения.
Оптимальная пространственно-частотная фильтрация. Известно, что характеристики обнаружения в условиях оптимальной линейной фильтрации однозначно связаны с величиной отношения сигнал/помеха. Для их оценки и сравнения удобно пользоваться величиной

где U - амплитуда сигнала; - спектральная плотность мощности сигнала; - спектральная плотность мощности помехи.
Таблица 1. Степень подавления солнечной помехи различными фильтрами для различных фонов
| Материал Фильтра |
Фон |
| Линолиум |
Ткань красного цвета |
Дерево |
Бетонная стена |
Средний коэффициент подавления |
| Полиэтилен черный |
0,4 |
0,68 |
0,4 |
0,34 |
0,45 |
| Оптическая керамика КО-41 |
0,96 |
1,0 |
0,98 |
0,98 |
0,98 |
| Инфракрасное стекло ИКС-27 |
0,5 |
0,43 |
0,57 |
0,67 |
0,54 |
| Инфракрасное стекло ИКС-33 |
0,38 |
0,27 |
0,4 |
0,18 |
0,3 |
По физическому смыслу величина представляет собой отношение энергии сигнала к спектральной плотности мощности помехи. Очевидно, что при изменении телесного угла элементарной зоны чувствительности меняется интенсивность помехи, излучаемой фоном и попадающей в приемный канал. В то же время амплитуда сигнала зависит от геометрической формы элементарной зоны чувствительности. Выясним, при какой конфигурации элементарной зоны чувствительности величина ц достигает максимального значения, для чего рассмотрим простейшую модель обнаружения. Пусть зона чувствительности ИКСО неподвижна относительно фона, а обнаруживаемый объект движется с угловой скоростью Vo6 относительно точки наблюдения. Зона чувствительности и объект в нормальной к оптической оси плоскости прямоугольны, а угловые размеры объекта и поля зрения настолько малы, что с достаточной степенью точности можно считать

где - телесный угол, под которым виден объект; - телесный угол зоны чувствительности; - угловой размер объекта соот-
ветственно в горизонтальной и вертикальной плоскостях; угловой размер зоны чувствительности соответственно в горизонтальной и вертикальной плоскостях;
Энергетическая яркость объекта Воб
одинакова по всей его поверхности, а спектральная плотность энергетической яркости фонового шума одинакова по всей поверхности фона. Сигнал и фоновая помеха аддитивны. Движение объекта происходит равномерно в плоскости угла а„. Приемник энергии безынерционный, квадратичный. Сигнал с приемника подается на перестраиваемый оптимальный фильтр. Тогда спектральная плотность мощности фоновой помехи на выходе приемника будет определяться выражением:

где Копт - коэффициент передачи оптической системы; Кт
- коэффициент передачи трассы распространения сигнала; Кп
- чувствительность приемника.
При пересечении поля зрения объектом на выходе приемника формируется сигнальный импульс, форма которого и спектр, в случае когда и , определяются выражениями:

где U0
- сигнальный импульс единичной амплитуды; - спектр сигнального импульса единичной амплитуды.
Для фона, излучающего помеху, спектральная плотность мощности которой имеет вид , величина выходе безинерционного приемника в соответствии с выражением определяется как

Характер зависимости величины от и имеет вид, показанный на рис. 4.16. Из вышеизложенного следует, что для обеспечения максимального отношения сигнал/фоновая помеха форма зоны чувствительности должна быть сопряжена с формой объекта.
Для случая флуктуационной фоновой помехи максимальное значение отношения сигнал/фоновая помеха достигается при совпадении геометрической формы элементарной зоны чувствительности с формой объекта. Этот вывод применим и для случая импульсной солнечной помехи. Подтверждением тому является очевидный факт, что при увеличении телесного угла зоны чувствительности от значения, равного телесному углу, под которым виден объект, амплитуда сигнала не меняется, а амплитуда солнечной помехи растет пропорционально телесному углу зоны чувствительности. То есть метод оптимальной пространственно-частотной фильтрации позволяет повысить помехоустойчивость пассивного оптического средства обнаружения как к конвективной, так и к солнечной помехам.

Двухдиапазонный метод приема ИК излучений. Сущность этого метода заключается во введении в ИКСО второго канала, обеспечивающего прием ИК излучений в видимом или ближнем ИК диапазонах, с целью получения дополнительной информации, отличающей сигнал от помехи. Использование такого канала в совокупности с основным каналом в условиях одного помещения малоэффективно, поскольку как сигнал, так и помеха при наличии освещенности формируются в обоих спектральных диапазонах. Значительно более эффективным является использование канала видимого диапазона при его установке вне охраняемых помещений, в местах, недоступных для блокировки этого канала искусственными источниками света. В этом случае при изменении солнечной освещенности канал формирует сигнал, запрещающий возможное срабатывание ИКСО под воздействием солнечной помехи. При такой организации двухдиапазонный метод позволяет полностью ликвидировать ложные срабатывания ИКСО, возможные за счет возникновения солнечных помех. Возможность блокировки теплового канала на время действия помехи очевидна.
Параметрические методы повышения помехоустойчивости ИКСО. В основу параметрических методов повышения помехоустойчивости ИКСО положена идентификация полезных сигналов по одному или совокупности параметров характерных для вызывающих появление этих сигналов объектов. В качестве таких параметров, могут быть использованы скорость движения объекта, его габариты, расстояние до объекта. На практике, как правило, конкретные значения параметров заранее не известны. Однако имеется некоторая область их определения. Так, скорость человека, передвигающегося пешком, меньше 7 м/с. Совокупность таких ограничений может существенно сузить область определения полезного сигнала и, следовательно, уменьшить вероятность ложного срабатывания.
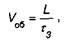
Рассмотрим некоторые способы определения параметров объекта при его пассивном оптическом обнаружении. Для определения скорости движения объекта, его линейного размера в направлении перемещения и расстояния до него необходимо организовать две параллельные зоны чувствительности, разнесенные в плоскости перемещения объекта на некоторое базовое расстояние L. Тогда несложно определить, что нормальная к зонам чувствительности скорость движения объекта

где - время задержки между сигналами в приемных каналах.
Линейный размер объекта Ьоб в нормальной к зонам чувствительности плоскости определяется как

где тио.5 - длительность сигнального импульса на уровне U=0,5Umax
.
При условии расстояние до объекта определяется выражением

где - угловой размер элементарной зоны чувствительности в радианах; - длительность фронта сигнального импульса.
Полученные значения параметров Уоб, b^, Do
6
сравниваются с областями их определения, после чего принимается решение об обнаружении объекта. В случае, когда организация двух параллельных зон чувствительности невозможна, в качестве идентифицирующих параметров могут служить параметры сигнального импульса: длительность фронта, длительность импульса и т.д. Основным условием реализации этого метода является широкая полоса пропускания приемного тракта, необходимая для приема сигнала без искажения его формы, т.е. в этом случае исключается применение метода оптимальной фильтрации. Неискаженным в процессе оптимальной фильтрации параметром является длительность задержки между сигналами, возникающая в пространственно-разнесенных каналах. Поэтому идентификация по этому параметру может производиться без расширения полосы пропускания приемного тракта. Для осуществления идентификации полезного сигнала в ИКСО с многолучевой зоной чувствительности по параметру т3
необходимо, чтобы она формировалась в плоскости перемещения объекта с помощью независимых приемников.
Для примера рассмотрим области определения параметров сигнального импульса и величины т3
для однопозиционного ИКСО с многолучевой зоной чувствительности при реальных значениях угловой расходимости элементарной зоны чувствительности ап
= 0,015 рад, размером входного зрачка d=0,05 м и углом между зонами чувствительности ар
=0,3 рад.
Длительность импульса по нулевому уровню определяется выражением

Область определения длительности импульса для диапазона скоростей VO
6=0,1.7,0 м/с, составляет тио
=0,036... 4,0 с. Динамический диапазон
Область определения длительности импульса по уровню 0,5Umax
уже и составляет 0,036... 2,0 с, а динамический диапазон
Длительность фронта сигнального импульса определяется выражением

Откуда область определения , а динамический
диапазон
Длительность задержки между импульсами, возникающими в соседних каналах, можно определить по формуле:

Область определения величины задержки 0...30 с. Для принятого значения d=0,05 м и диапазона дальности Do
6
= 1... 10 м область определения 4,5...14,0, а динамический диапазон 3,1.
При d=0 динамический диапазон для всех значений дальности Do6=0...10 м.
Таким образом, наиболее устойчивым идентифицирующим параметром является величина т3
/тф.
Благодаря синхронности появления солнечной помехи в пространственно-разнесенных каналах отмеченной в разд. 4.3, имеется возможность полной отстройки от нее с помощью параметра
Использование независимых каналов позволяет повысить устойчивость прибора и к конвективным помехам, так как конечное решение об обнаружении принимается только в случае обнаружения сигналов хотя бы в двух каналах в течение некоторого временного интервала, определяемого максимально-возможной задержкой сигнального импульса между каналами. При этом вероятность ложной тревоги определяется выражением

где Рл
с1. Рлсг - вероятности ложной тревоги в отдельных каналах.
Сравнительный анализ методов повышения помехоустойчивости ИКСО. Рассмотренные выше методы повышения помехоустойчивости ИКСО довольно разнообразны как по своей физической сущности, так и по сложности реализации. Каждый из них в отдельности обладает как определенными достоинствами, так и недостатками. Для удобства сравнения этих методов по совокупности положительных и отрицательных качеств составим морфологическую табл. 4.2.
Из таблицы видно, что ни один метод в отдельности не позволяет полностью подавить все помехи. Однако, одновременное использование нескольких методов позволяет существенно повысить помехоустойчивость ИКСО при незначительном усложнении прибора в целом. По совокупности положительных и отрицательных качеств наиболее предпочтительным является сочетание: спектральная фильтрация + пространственно-частотная фильтрация + параметрический метод.
Рассмотрим основные методы и средства, реализованные на практике в современных ИКСО, позволяющие обеспечить достаточно высокую вероятность обнаружения при минимальной частоте ложных тревог.
Для защиты приемного устройства от воздействия излучений, лежащих вне спектрального диапазона сигнала, предпринимаются следующие меры:
- входное окно пиромодуля закрывается пластинкой из германия, не пропускающей излучения с длиной волны менее 2 мкм;
- входное окно всего СО изготавливается из полиэтилена высокой плотности, обеспечивающего достаточную жесткость для сохранения геометрических размеров и в то же время не пропускающего излучения в диапазоне длин волн от 1 до 3 мкм;
Таблица 2. Методы повышения помехоустойчивости ИКСО
| Метод |
Положительные качества |
Отрицательные качества |
| Дифференциальный |
Частичное подавление солнечных и конвективных помех |
Низкая помехоустойчивость к некоррелированным помехам |
| Частотная фильтрация |
Частичное подавление солнечных и конвективных помех |
Сложность реализации для многоканальных систем |
| Спектральная фильтрация |
Простота реализации. Частичное подавление солнечных помех. |
Не подавляются конвективные помехи |
| Двухдиапазонный |
Полное подавление солнечных помех, Простота тракта обработки |
Возможность блокировки средства внешними источниками света. Не подавляются конвективные помехи. Необходимость дополнительного оптического канала |
| Оптимальная пространст-венночастот-ная фильтрация |
Частичное подавление фоновых и солнечных помех. Простота реализации |
Необходимость применения приемников со специальной формой чувствительной площадки |
| Параметрические методы |
Частичное подавление фоновых помех. Значительное подавление солнечных помех |
Сложность тракта обработки |
- линзы Френеля изготавливаются в виде выштампованных на поверхности входного окна из полиэтилена концентрических окружностей с фокусным расстоянием, соответствующим максимальному уровню излучения, характерному для температуры тела человека. Излучения других длин волн будут "размываться", проходя через эту линзу и, тем самым, ослабляться.
Этими мерами удается ослабить воздействие помех от источников вне спектрального диапазона в тысячи раз и обеспечить возможность функционирования ИКСО в условиях сильной солнечной засветки, использования осветительных ламп и т. п.
Мощным средством защиты от тепловых помех является использование двухплощадочного пироприемника с формированием двухлучевой зоны чувствительности. Сигнал при проходе человека возникает последовательно в каждом из двух лучей, а тепловые помехи в значительной степени коррелированы и могут быть ослаблены при использовании простейшей схемы вычитания. Во всех современных пассивных ИКСО применены двух-площадочные, а в последних моделях используются и счетверенные пироэлементы.
Далее перейдем к рассмотрению наиболее широко используемых в настоящее время алгоритмов обработки сигналов в ИКСО.
В начале рассмотрения алгоритмов обработки сигналов необходимо сделать следующее замечание. Для обозначения алгоритма у разных фирм-производителей может использоваться различная терминология, так как производитель часто дает уникальное наименование некоторому алгоритму обработки и использует его под своей торговой маркой, хотя по сути при этом может применяться какой-либо традиционный метод анализа сигналов, используемый и другими фирмами.
Алгоритм оптимальной фильтрации предполагает использование не только амплитуды сигнала, а всю его энергию, т. е. произведение амплитуды на длительность. Дополнительным информативным признаком сигнала является наличие двух фронтов - на входе в "луч" и на его выходе, что позволяет отстроиться от многих помех, имеющих вид "ступеньки". Например, в ИКСО Vision-510 блок обработки анализирует двухполярность и симметрию формы сигналов с выхода дифференциального пироприемника. Суть обработки состоит в сравнении сигнала с двумя порогами и в ряде случаев - в сравнении амплитуды и длительности сигналов разной полярности. Возможна также комбинация этого метода с раздельным подсчетом превышений положительного и отрицательного порогов. Компания PARADOX дала этому алгоритму название Entry/ExitAnalysis.
В связи с тем, что электрические помехи имеют или небольшую длительность, или крутой фронт, для повышения помехоустойчивости наиболее эффективно применение алгоритма отстройки -выделения крутого фронта и блокирования выходного устройства на время их действия. Таким образом достигается устойчивая работа СО даже в условиях интенсивных электро- и радиопомех в диапазоне от сотен килогерц до одного гигагерца при напряженности поля до ЮВ/м. В паспортах на современные ИКСО указывается устойчивость к электромагнитным и радиочастотным помехам с напряженностью поля до 20...30 В/м.
Следующим эффективным методом повышения помехоустойчивости является использование схемы "счета импульсов". Диаграмма чувствительности для самых распространенных "объемных" СО имеет многолучевую структуру. Это означает, что при движении человек пересекает последовательно несколько лучей. При этом их число прямо пропорционально количеству лучей, образующих зону обнаружения СО и расстоянию, преодолеваемому человеком. Реализация этого алгоритма различна в зависимости от модификации СО. Чаще всего используется ручная установка переключателя на счет определенного числа импульсов. Очевидно, что в связи с этим при увеличении числа импульсов повышается помехоустойчивость ИКСО. Для срабатывания прибора человек должен пересечь несколько лучей, но при этом может снижаться обнаружительная способность прибора из-за наличия "мертвых зон". В ИКСО фирмы PARADOX используется запатентованный алгоритм обработки сигналов пироприемника APSP, обеспечивающий автоматическое переключение счета импульсов в зависимости от уровня сигналов. Для сигналов высокого уровня детектор сразу вырабатывает тревогу, работая при этом как пороговый, а для сигналов низкого уровня автоматически переключается в режим подсчета импульсов. Это снижает вероятность ложных тревог при сохранении неизменной обнаружительной способности.
В ИКСО Enforcer-QX применены следующие алгоритмы счета импульсов:
- SPP - подсчет импульсов ведется только для сигналов с чередующимися знаками;
- SGP3 - под-считываются только группы импульсов, имеющие противоположную полярность. Здесь состояние тревоги возникает при появлении трех таких групп в течение установленного времени.
В последних модификациях ИКСО для повышения помехоустойчивости применяется схема "адаптированного приема". Здесь порог срабатывания автоматически отслеживает уровень шума, а при его повышении также увеличивается. Однако этот способ не свободен от недостатков. При многолучевой диаграмме чувствительности весьма вероятно, что один или несколько лучей будут направлены на участок интенсивных помех. При этом устанавливается минимальная чувствительность всего прибора, в том числе и тех лучей, где интенсивность помех незначительна. Тем самым снижается общая вероятность обнаружения всего прибора. Для устранения этого недостатка предлагается перед включением прибора "выявлять" лучи с максимальным уровнем шума и затенять их с помощью специальных непрозрачных экранов. В некоторых модификациях приборов они входят в комплект поставки.
Анализ длительности сигналов может проводиться как прямым методом измерения времени, в течение которого сигнал превышает некоторый порог, так и в частотной области путем фильтрации сигнала с выхода пироприемника, в том числе с использованием "плавающего" порога, зависящего от диапазона частотного анализа. Порог срабатывания устанавливается на низком уровне внутри частотного диапазона полезного сигнала и на более высоком уровне вне этого частотного диапазона. Этот метод заложен в ИКСО Enforcer-QX и был запатентован под названием IFT.
Еще один вид обработки, предназначенный для улучшения характеристик ИКСО - это автоматическая термокомпенсация. В диапазоне температур окружающей среды 25...35°С чувствительность пироприемника снижается за счет уменьшения теплового контраста между телом человека и фоном, а при дальнейшем повышении температуры чувствительность снова повышается, но "с противоположным знаком". В так называемых "обычных" схемах термокомпенсации температура измеряется и при ее повышении автоматически увеличивается усилене. При "настоящей", или "двухсторонней" компенсации, учитывается повышение теплового контраста для температур выше 25...35°С. Использование автоматической термокомпенсации обеспечивает почти постоянную чувствительность ИКСО в широком диапазоне температур. Такая термокомпенсация применена в ИКСО фирм PARADOX и С&К SYSTEMS.
Перечисленные виды обработки могут проводиться аналоговыми, цифровыми или комбинированными средствами. В современных ИКСО все шире начинают применяться методы цифровой обработки с использованием специализированных микроконтроллеров с АЦП и сигнальных процессоров, что позволяет проводить детальную обработку "тонкой" структуры сигнала для лучшего выделения его на фоне помех. В последнее время появились сообщения о разработке полностью цифровых ИКСО, вообще не использующих аналоговых элементов. В этом ИКСО сигнал с выхода пироприемника непосредственно поступает на аналого-цифровой преобразователь с высоким динамическим диапазоном и вся обработка производится в цифровом виде. Использование полностью цифровой обработки позволяет избавиться от таких "аналоговых эффектов" как возможные искажения сигналов, фазовые сдвиги, избыточные шумы. В Digital 404 используется запатентованный алгоритм обработки сигналов SHIELD, включающий в себя APSP, а также анализ следующих параметров сигналов: амплитуды, длительности, полярности, энергии, времени нарастания, формы, времени появления и порядка следования сигналов. Каждая последовательность сигналов сравнивается с образцами, соответствующими движению и помехам, причем опознается даже вид движения и если не удовлетворяются критерии тревоги, то данные сохраняются в памяти для анализа следующей последовательности или вся последовательность подавляется. Совместное применение металлического экранирования и программного подавления помех позволило повысить устойчивость Digital 404 к электромагнитным и радиочастотным помехам до 30...60 В/м в диапазоне частот от 10 МГц до 1 ГГц.
Известно, что вследствие случайного характера полезных и помеховых сигналов наилучшими являются алгоритмы обработки, основанные на теории статистических решений. Судя по заявлениям разработчиков, эти методы начинают использоваться в последних моделях ИКСО фирмы С&К SYSTEMS.
Вообще говоря, объективно судить о качестве используемой обработки, основываясь только на данных фирмы-производителя, довольно трудно. Косвенными признаками обладания СО высокими тактико-техническими характеристиками могут быть наличие аналого-цифрового преобразователя, микропроцессора и большого объема используемой программы обработки.
Выводы
1. Принцип действия ИКСО основан на регистрации собственного теплового излучения нарушителя или изменении параметров ИК-излучения при пересечении луча нарушителем.
2. Развитие ИКСО идет главным образом в направлении повышения помехоустойчивости за счет совершенствования оптических систем, алгоритмов обработки сигналов, широкого применения методов цифровой обработки сигналов с использованием специализированных микроконтроллеров и процессоров.
3. При выборе типов и количества СО для обеспечения охраны конкретного объекта следует учитывать возможные пути и способы проникновения нарушителя, требуемый уровень защиты, расходы на приобретение, монтаж и эксплуатацию СО, особенности объекта, соответствие тактико-технических характеристик СО предполагаемым условиям эксплуатации.
4. Особенностью ИКСО является их универсальность. С их использованием возможно блокирование проникновения в самые разнообразные помещения и блокирование подходов к различным конструкциям и предметам.
|